Abstract
Two aspects of host infectiousness shape pathogen transmission and distribution but are underappreciated: the relationship between pathogen load and infectiousness, and variability in pathogen load within species. We quantified the relationship between host pathogen load (parasitemia) for avian malaria (Plasmodium relictum) and infectiousness for biting Culex quinquefasciatus mosquitoes with experimental infections in canaries (Serinus canaria). Using this relationship, we estimated the infectiousness of 17 bird species in 11 communities in Hawaiʻi and quantified the relative contributions of infection stage (acute versus chronic) to transmission. We show that infectiousness to mosquitoes increased with parasitemia, temperature, and time since feeding. The relationship’s gradual (low) parasitemia slope resulted in a wide range of parasitemias being partly infectious, and high within-host species variability in parasitemia led to extensive overlap in infectiousness among hosts. Disproportionate mosquito host utilization (inferred from relative infection prevalence) elevated the importance of a few host species, yet broad overlap in species infectiousness resulted in similar total infectiousness across most bird communities. This similarity likely contributed to avian malaria’s widespread distribution throughout Hawaiʻi despite diverse host community assemblages. Our findings highlight the importance of both the shape of the pathogen load–infectiousness relationship and within-species variability in determining a pathogen’s host range, transmission intensity, and spatial spread.
Similar content being viewed by others
Introduction
Some pathogens are specialists while others have broad taxonomic host ranges, and a pathogen’s host range influences its geographic range1,2. In each location, transmission of multi-host pathogens depends on the composition of the host community, because hosts vary in abundance, infectiousness, survival, and contact rates3,4. Understanding how changes in host community composition affect pathogen transmission requires estimates of the infectiousness of different host species3,4,5. However, quantifying host infectiousness in natural disease systems can be challenging because it entails measuring pathogen loads in wild animals and establishing a relationship between host pathogen load and infectiousness. These data can be difficult to obtain6, and as a result, the roles of individual species in the transmission of many multi-host pathogens are unclear (but see refs. 3,4,6,7,8). For vector-borne multi-host pathogens, quantifying host species’ importance also requires understanding host utilization of biting insects (vectors)9. Collectively, host pathogen loads, the pathogen-load infectiousness relationship, and vector host utilization shape how changes in host community composition will influence the spatial distribution and transmission intensity of vector-borne diseases. As anthropogenic activities such as land use change, climate change, and exotic species introductions reshape host and vector communities worldwide, improving our understanding of host infectiousness and its relationship with vectors is essential for predicting multi-host disease transmission10,11,12,13.
The relationship between host pathogen load and vector infection (fraction of infectious vectors; Fig. 1) is a critical aspect of transmission that can vary across pathogens, strains, vector species and vector populations14,15,16,17,18. The steepness of the relationship (i.e., the slope), the location of the threshold/inflection point, and the range of pathogen load variation within host species determine both the variation and the overlap in infectiousness among species (Fig. 1). For example, when there is little within-species variation in pathogen load (Fig. 1B, narrow green and orange distributions), a relationship with a steep slope and a high threshold (Fig. 1A, black line A) will result in only hosts with higher pathogen loads infecting biting vectors; species with low pathogen loads will be dead-end, non-infectious hosts. In contrast, if the threshold is low (Fig. 1A, red line B), all high pathogen load species and most low pathogen load species will infect most vectors. Alternatively, a shallow relationship (Fig. 1A, blue line C) will result in both high and low pathogen load species being partly infectious and smaller differences in infectiousness among species. We note that a shallow relationship can arise, in part, from heterogeneity or variation in mosquito susceptibility, which can have multiple impacts on disease dynamics19,20,21. Finally, if within-species variation in pathogen load is large (Fig. 1B, wide green and orange distributions), then individuals of both high and low pathogen load species will be partly (blue line C) or almost completely infectious (red line B or black line A). The transmission of multi-host vector-borne pathogens is, therefore, the result of interactions between multiple species’ host pathogen loads with the pathogen load-infectiousness relationship. These two aspects have received relatively little study for most pathogens. Most research has focused on differences in mean pathogen loads between hosts or pathogens (West Nile and St. Louis encephalitis viruses22,23,24), which can be adequate when relationships between pathogen load and infectiousness are linear or nearly so across the range of host pathogen loads (Fig. 1, blue line C). However, doing so is problematic when relationships are nonlinear (Fig. 1, red lines A and B), which is the case for many diseases, including dengue, malaria, and many arboviral diseases24,25,26. When the relationship is nonlinear and there is variation in pathogen load within species, the mean load may be an inaccurate measure of infectiousness because, for example, a host species’ mean load may be non-infectious (i.e., Fig. 1, x-axis locations where the black and red lines are at 0), while some individuals with higher than average loads may be quite infectious.
A Three possible relationships (lines A, B, and C) between pathogen load and the fraction of infectious vectors that transmit after feeding on a host with that pathogen load. B Wide and narrow distributions show ranges of variation in pathogen load for two hypothetical species with higher (dark green distributions and vertical dashed line) and lower mean (dashed lines) pathogen load (orange distributions).
Plasmodium relictum is a globally-distributed and widely studied multi-host vector-borne parasite causing avian malaria, and yet it is emblematic of the uncertainty in the roles different host species play in transmission27. The GRW4 lineage of P. relictum has contributed to the decline and extinction of many bird species in Hawaiʻi28,29,30,31, where it is the only P. relictum lineage and has limited genetic variation32. Native Hawaiian birds are hypothesized to be the primary reservoirs infecting mosquitoes with avian malaria, because it is thought that they develop higher acute and chronic parasitemias (i.e., pathogen loads) after infection than the few introduced species so far studied29,33,34,35,36,37. However, more than 50 introduced bird species are established in Hawaiʻi, and avian malaria transmission occurs in communities composed entirely of introduced birds37,38. While parasitemias of most introduced birds are unknown, parasitemias in some species are similar to those of native birds39. To better understand avian malaria transmission and the contributions of different bird species in Hawai’i, three key components are needed. First, parasitemias (including within-species variation; Fig. 1 distributions) in most introduced bird species need to be measured. Second, the relationship between host parasitemia and infectiousness to biting mosquitoes needs to be quantified (Fig. 1 lines). Finally, mosquito feeding patterns relative to host abundance need to be determined.
In this work, our goal was to determine the role of different bird species and thereby community composition in shaping the transmission ecology of avian malaria in Hawai’i. In our multi-step approach, we first used laboratory experiments to quantify the relationship between three key factors: host parasitemia, temperature, and time since feeding, and infectiousness, or the fraction of infected biting Hawaiian Culex quinquefasciatus mosquitoes that had disseminated infections. We note that this definition of infectiousness incorporates midgut escape (a mosquito trait), and we did so because the extent of midgut escape depends on host parasitemia. Second, we compared the infectiousness and role in transmission of the acute and chronic stages of malaria infection to assess whether parasitemia data from wild-caught birds, which are likely to be chronically-infected39, can be used to estimate species’ infectiousness and role in transmission. Third, we used the parasitemia-infectiousness relationship to estimate the infectiousness of 17 bird species using parasitemia data from wild-caught birds. Fourth, we estimated relative mosquito host utilization using patterns of avian malaria infection at 78 sites. Fifth, we integrated our estimates of host infectiousness, mosquito host utilization, and bird density from 11 sites in Hawai’i to evaluate species-specific contributions to mosquito infection and pathogen transmission potential, R0. Finally, we examined spatial patterns of avian malaria occurrence across sites with differing species composition. Here, we show that avian malaria has a very broad distribution in Hawai’i due in part to a gradual pathogen load-infectiousness relationship and substantial variation within species in pathogen load.
Results
Avian malaria pathogen load-infectiousness relationship
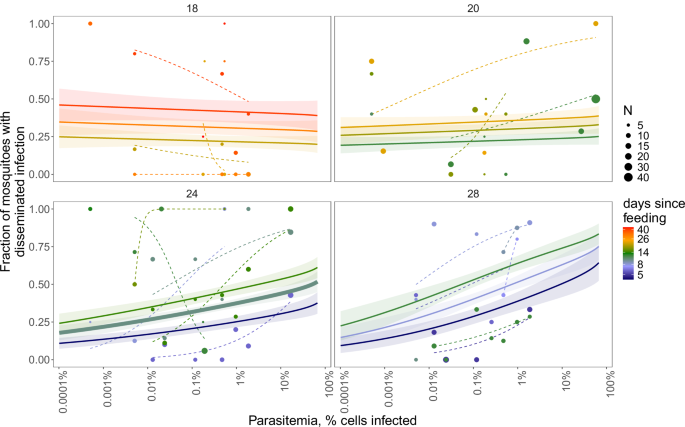
We fed 820 mosquitoes on canaries with 21 parasitemias over seven orders of magnitude, ranging from 0.0000051–0.573 (fraction of infected red blood cells (RBCs)) and tested their abdomens and combined thorax/head/legs (disseminated infection) for avian malaria DNA by qPCR. While there was observation error due to small-moderate sample sizes for each data point (a parasitemia-temperature-day), the probability of mosquitoes having disseminated infections, which was our measure of bird infectiousness, increased with parasitemia, temperature, days since feeding, age, and the effects of both parasitemia and days since feeding increased as temperature increased (Fig. 2 and Table S1; Cox-Snell pseudo-R2 = 46%). At the warmer temperatures, the effect of parasitemia on the probability of mosquitoes having disseminated infections was strong, whereas at the coolest temperature (18 °C), the effect was undetectable (Fig. 2; compare the slope of lines in the lower right panel at 28 °C to the upper left panel at 18 °C). Although this four-dimensional analysis (with 2 two-way interactions) is somewhat complex, the increase in the probability of mosquitoes having disseminated infections with increasing parasitemia was present in almost all (13/14) groups of mosquitoes tested on the same day post-feeding and in each of the three warmer temperatures (the dashed lines in Fig. 2 for the 20, 24, and 28 °C panels). Despite the consistent positive effect of parasitemia on disseminated infections at temperatures ≥20 °C, the relationship was relatively gradual, even at the warmer 24 °C temperature: increasing parasitemia across a 105 range (from 10⁻⁶ to 10⁻¹) increased the probability of disseminated infections in mosquitoes 10 days after feeding by only ~2.4-fold, from 18.0% to 43.7% (Fig. 2, 24 °C degree panel, middle line).
Points show groups of blood-fed mosquitoes tested on a single day, with the size of points indicating sample size (mean 8.2, range 4–40), and color showing the number of days since feeding. Colored lines and ribbons show the fitted model for the probability of disseminated infection and SE, which included bird parasitemia, days since feeding, temperature, and both two-way interactions (Table S1). The thicker middle line in the 24 °C panel shows the model fit for 10 d after feeding and is used for bird infectiousness calculations (Fig. 3 and Table S4). Dashed lines show individual fitted binomial regression lines to each set of points from the same day, since feeding and temperature, to illustrate the trends between parasitemia and the fraction of mosquitoes with disseminated infections.
Increasing temperatures also increased the effect of time on infectiousness: at 20 °C, a four day increase in days since feeding (18 to 22) only increased the probability of mosquitoes having disseminated infections by 19% (from 29% to 34% averaged across the range of parasitemias); whereas at 28 °C, a four-day interval (8 to 12) led to a 27% increase, from 39% to 49%. The patterns for abdominal infections were similar (Fig. S3 and Table S2).
Role of host infection stage in transmission
For two native Hawaiian birds, ‘Apapane (Himatione sanguinea) and Hawai’i ‘Amakihi (Chlorodrepanis virens), we found that the low parasitemia phase of infection likely results in many more disseminated mosquito infections than the high parasitemia phase (Figs. S4 and S5; Table S4). We estimated that approximately 8.54–13.8 times more infectious mosquitoes would be generated when feeding on ‘Apapane and Hawaiʻi ‘Amakihi during their much longer (13.2–25.3 times) low parasitemia chronic stage than during their short high parasitemia acute phase. This is because the much higher parasitemias were only 1.54–1.83 times more infectious to mosquitoes (Fig. S4 and S5; Table S4).
Parasitemias and infectiousness across bird species
We tested 4218 blood samples from 34 bird species captured at 78 sites in the wild, and 1275 samples from 28 species tested positive for avian malaria by qPCR (Fig. 1). Although there was variation among species in parasitemia, the variation within species was enormous, and parasitemias broadly overlapped for many species (Fig. 3A; filled circles and violins). For example, parasitemias and infectiousness estimates from native ‘Apapane (see Table S5 for bird English common and scientific names) and Hawai’i ‘Amakihi (2.5th and 97.5th quantiles: Parasitemia 10-5–20%, Infectiousness 14–39%) broadly overlapped with those of introduced Warbling White-eyes (Zosterops japonicus) and House Finches (Haemorhous mexicanus; 2.5th and 97.5th quantiles: Parasitemia 10-5–10-1%, Infectiousness 14–32%) (Fig. 3A, B). Nonetheless, on average, native bird species had 8.0-fold higher geometric mean parasitemias than introduced bird species (native = 2.68 × 10-3 %, introduced = 3.36 × 10-4 %; Fig. 3A and Fig. S4), and this difference resulted in a 4.2% higher probability of mosquitoes developing disseminated infections (introduced species = 20.2%; native species = 24.4%; Fig. 3B and Fig. S4).
A Plasmodium relictum GRW4 parasitemia on a log10 scale. B Infectiousness was estimated as the fraction of mosquitoes with disseminated infections, 10 days at 24 °C after feeding on each parasitemia estimate from A. In A and B, points show values for individual wild-caught birds, with the number of parasitemia values displayed above each species (total N = 1207). Black circles and error bars are the mean values and SE for each species. Native and introduced species differed significantly in both parasitemia and infectiousness (generalized linear mixed effects model with a beta distribution and logit link with species as a random effect: Parasitemia: Native coef. 0.27 ± SE 0.091, z = 2.97, P = 0.0030, Intercept −5.77, random effect variance 0.0086; Infectiousness: Native coef. 0.21 ± SE 0.071, z = 2.91, P = 0.0036; Intercept −1.35, random effect variance 0.016; see also Fig. S4).
Infection prevalence varied substantially among species for both native and introduced birds (Fig. S6). When accounting for site, all native birds had higher or similar infection prevalence than the abundant, widespread, introduced Warbling White-eye. However, other introduced species had both higher (House Finch) or much lower infection prevalence (Northern Cardinal; Cardinalis cardinalis). Given evidence that species are equally susceptible (see Methods), differences in infection prevalence patterns suggest that mosquito host utilization varies substantially. House Finches appeared to be the most overutilized hosts, followed by four native species, while Warbling White-eye, Northern Cardinal and Red-billed Leothrix (Leiothrix lutea), were much less frequently fed on by mosquitoes (Fig. S6). These differences in host utilization (estimated using the differences in infection prevalence), played a key role in the importance of both native and introduced species in avian malaria transmission, as described below.
Community composition, total infectiousness, and malaria distribution
We recorded 28 species during point counts at 11 community sites on Hawai’i Island and estimated densities (birds/ha) for the 20 species detected multiple times (Fig. 4A; Figs. S1 and S7, Table S5). Warbling White-eye was the most abundant species, comprising 9–58% of birds at the 11 sites, and Hawai’i ‘Amakihi was the most abundant of four native bird species, comprising 4–59% of all birds at the 6 sites where it was present (Fig. 4A and Fig. S7).
A Relative abundance of species based on point count sampling (see Fig. S7 for absolute densities). B Mean infectiousness (from Fig. 3B). C Inferred host utilizations, on a log scale, estimated using the exponentiated coefficient from the model fit to infection prevalence data (Fig. S6) and relative abundance (see Methods); the horizontal line shows a host utilization of 1 (mosquitoes feed on hosts in proportion to their abundance). D Estimated relative contributions of species to transmission quantified as: Inferred host utilization2 * Relative abundance * Inferred infectiousness (see Methods). Points show values from individual sites, open squares and error bars show mean and SE across sites, except for species’ Infectiousness values, which were not site specific. The y-axes in panels A, B, and D are on a square root transformed scale to improve interpretability. The error bars in panels A, C, and D show ±1 SE with sample size (# of sites) shown in panel A. The error bars in (B) are taken from Fig. 3B with sample sizes from Fig. 3A.
We detected P. relictum at 63 of 64 sites where we sampled >8 birds for infection prevalence and parasitemia (Fig. S8). This included many high elevation sites (>1700 m), where temperature limits mosquito populations and P. relictum replication40. Avian malaria was detected in all 11 sites that we censused on Hawai’i Island (Fig. S9), and although these communities varied substantially in species composition (Fig. 4A and Fig. S7), their estimated community infectiousness values, or the sum of species’ contribution to transmission, were similar (Figs. 4D and 5: coefficient of variation across sites: 11.8%, range: 0.265–0.371). This was due to the relatively small differences among species in infectiousness (Figs. 3B and 4B). In contrast, the highly varying estimates of mosquito host utilization (Fig. 4C), derived from relative infection prevalence (Fig. S6), substantially influenced the role of individual species in transmission and suggested that some species were much more important than others (Fig. 4D). Introduced House Finches, which were uncommon, moderately infectious, and frequently infected, were the most important species at five of the nine sites where they were present (making up an average of 30.4%, range 13–55%, of the estimated contribution to transmission or community infectiousness), despite being only 3.2% (range 1.2–5.6%) of the birds at these sites (Fig. 4A). Native ‘Apapane and Hawai’i ‘Amakihi were the most important species at five sites where House Finches were absent or rare (Figs. 4D and 5) and were the next most important species at most sites where House Finches were present (Figs. 4D and 5) because they were overutilized, moderately abundant, and highly infectious. In contrast, Warbling White-eyes, which were present at all sites and often highly abundant (Fig. 4A; mean 34%, range 9%–58% of all birds), likely played a minor role in transmission (Figs. 4D and 5; mean 9.4%, range 1.3–15.7%), despite being moderately infectious (Fig. 4B). This was because they had much lower relative infection prevalence (Fig. S6), suggesting they were infrequently fed upon (Fig. 4C). It’s worth noting that at most sites, only two or three species likely played an important role in transmission (Figs. 4D and 5), primarily due to the highly skewed estimates of mosquito host utilization (Fig. 4C). Host contributions to transmission were uncorrelated with species mass and did not differ between native/introduced species (generalized linear model of mean contributions to transmission with a gamma distribution and log link: Log(contribution to R0) = −2.97 to 0.023 (SE 0.025)*Mass + 1.22 (SE 0.74)*Native; P(Mass) = 0.39; P(Native) = 0.14).
Estimated community infectiousness, or the sum of species contributions to transmission at each site, is the total height of each bar. Comparisons of individual species contributions are also visualized in Fig. 4D.
Discussion
Avian malaria transmission occurs widely across the Hawaiian Islands, including at nearly all of our sites, despite highly variable host communities37,38. In contrast, many other pathogens are only present in a subset of host communities, often because only a few hosts are infectious enough to sustain transmission41,42,43. We found that the widespread distribution of avian malaria in Hawai’i is likely driven, at least in part, by a relatively gradual relationship between host parasitemia and infectiousness to biting mosquitoes, and by substantial within-species variation in parasitemia (Fig. 1A, line C, Fig. 1B, broad distributions). Together, these two factors produced broad overlap in the infectiousness of many native and introduced bird species to mosquitoes, allowing many species in both groups to contribute to transmission. In comparison, a relationship with a steeper slope/threshold (but an inflection point) and lower variability in parasitemia within host species would have resulted in a far more limited geographic distribution and host range for avian malaria in Hawai’i because only a few high parasitemia species would be infectious, rather than a broader set of moderately infectious host species. The role of these two factors in influencing the distribution of other vector-borne pathogens has yet to be explored, but substantial variation exists among pathogens. For example, West Nile virus, another near globally-distributed pathogen, also exhibits a relatively gradual viremia-infectiousness relationship22, and substantial within-species variation in viremia23,24. In contrast, the viremia-infectiousness relationship is quite steep for the relatively host-specific Plasmodium falciparum26. For dengue virus (DENV), the viremia-infectiousness relationship varies among serotypes: DENV2 shows a steeper relationship in Aedes aegypti than other serotypes25, while in Aedes albopictus, DENV1 has the steepest relationship of the serotypes44. This variation in the slope of these relationships likely arises from a combination of variation in susceptibility among mosquitoes, the steepness of the relationship for individual mosquitoes, and variation among pathogen genotypes. Future studies could examine the effect of variation in the slope of this relationship using distribution data for DENV or other pathogens45.
We found that a limited set of species likely play an important role in infecting mosquitoes with avian malaria, with mosquito host utilization playing a key role in determining the importance of species in transmission, as is the case for other mosquito-borne pathogens4,9,46,47. One introduced species with low relative abundance, the House Finch, was the most important species for infecting mosquitoes at most sites where it was present. This was because it was moderately infectious and had a higher infection prevalence and thus was inferred to be highly fed upon by mosquitoes. Two native bird species were also important when they were present at moderate abundances, due to a combination of being highly infectious and having moderate infection prevalence (and inferred attractiveness to mosquitoes). In contrast, the most abundant and widespread species, the introduced Warbling White-eye, appeared to be relatively unimportant in transmission because it had low infection prevalence, suggesting it was infrequently fed upon by mosquitoes. The role of mosquito feeding patterns in amplifying the importance of uncommon species and diminishing the role of highly abundant species in Hawai’i mirrors the disease ecology of American Robins (Turdus migratorius; uncommon, disproportionately fed upon) and House Sparrows (abundant, infrequently fed upon) in West Nile virus transmission4,7,48. More generally, evidence suggests that vectors rarely feed on hosts in proportion to their abundance and disproportionate feeding on some species can play a key role in influencing the role of different species in transmission9,46,47. The importance of host utilization by vectors can be especially influential if variation among species in infectiousness is limited, as we found here.
The shallow slope of the parasitemia-infectiousness relationship and the large variation in parasitemia within species can partly explain the substantial transmission of avian malaria in bird communities in Hawai’i containing only introduced species37,38, which were hypothesized to be non-infectious hosts29,49. Our findings suggest these communities are moderately infectious despite introduced species having lower mean parasitemias (Figs. 3A and 4). If these sites have higher mosquito abundance, survival, or other factors that increase transmission37, these factors could counterbalance the slightly lower infectiousness of the host community. Our results suggest that many, and possibly most, bird communities in Hawai’i can support transmission of avian malaria. The widespread distribution of malaria in Hawai’i may prevent native birds, including many endangered or threatened species that suffer substantial mortality from infection29,34, from persisting in or recolonizing many sites where they could otherwise exist.
We found that many more infected mosquitoes arise from chronic, low parasitemia stages of infection than from acute high parasitemia stage infections in Hawai’i ‘Amakihi and ‘Apapane, as is the case for other pathogens such as Plasmodium vivax, and filarial parasites50,51. Low-level parasitemias also play an important role in the transmission of human malaria P. falciparum, in part due to a highly variable relationship between overall parasite density and mosquito-infecting gametocyte density within hosts26,52. A highly variable fraction of malaria parasites being gametocytes may explain the gradual relationship we observed between total parasite density (parasitemia) and disseminated infections in mosquitoes53. Regardless of the mechanism, the much larger importance of the chronic phase of infection in infecting mosquitoes may reduce the need for experimental infection studies to quantify the species’ role in transmission. This is fortunate because these studies are challenging to conduct, especially with threatened species. Instead, parasitemia data generated from sampling of wild animals, which are mostly chronically-infected individuals39, can provide an initial estimate of a species’ infectiousness, as we have done here.
Four limitations affected this study. First, we were unable to analyze the probability of transmission given disseminated infection, or the fraction of mosquitoes with positive salivary secretions54. We attempted to use a salivary secretion assay on anaesthetized mosquitoes, but the method sometimes produced false negative results (i.e., no mosquito DNA in the salivary secretions), likely due to inadequate mosquito saliva being expectorated into the capillary tube55. Previous work on P. relictum in Cx. quinquefasciatus from Hawai’i found the fraction of mosquitoes with malaria oocysts in their midgut that also had vertebrate-infecting sporozoites in their salivary glands increased with temperature from 21% at 17 °C to 98% at 29 °C40 (Fig. S10). This pattern supports the temperature-dependence we found in the parasitemia-infectiousness relationship, but this study40 did not examine what fraction of mosquitoes had infections in their thoraxes or how the fraction with sporozoites changed with days since feeding or parasitemia. Second, we assumed our pathogen load-infectiousness relationship generated from infected domestic canaries could be used to estimate infectiousness for wild bird species using their parasitemias. One previous study found variation between two bird species in the fraction of mosquito vectors infected with West Nile virus despite similar viremias56; however, sample sizes in this study were small, and it’s unclear how common and large this variation is in nature. Third, we estimated mosquito host utilization using relative patterns of infection prevalence, rather than identifying the source of blood-fed mosquitoes. This approach assumes that species are equally susceptible, have similar infectious periods, and that chronic infections are equally likely to be detected in all species. If some species are less susceptible or have chronic infections that are more difficult to detect (e.g., they are below the threshold of detection by qPCR; a parasitemia of approximately 1×10-7 infected RBCs39), our approach will underestimate mosquito host utilization for that species. However, even if there are unmeasured differences in susceptibility or undetectable infections among species (which is inconsistent with available data29,34,35,57,58,59,60), simulations indicate that using relative infection prevalence or directly measured feeding patterns are approximately equally accurate (Fig. S11). This is because species with undetectable infections will be poorly infectious (the qPCR threshold of 40 cycles or 1 × 10-7 infected RBCs is <10% infectious; Fig. 3B) and species or individuals that don’t become infected (i.e., aren’t susceptible) won’t transmit malaria to biting mosquitoes. Finally, we had no parasitemia data for several bird species that were present at our 11 community sites. We estimated the infectiousness of some of these species using evolutionarily close relatives, but for a few others, we were forced to use a broad average. Some of these species may be dead-end hosts for P. relictum (e.g., Phasianidae). These limitations likely add uncertainty to the precise quantitative results we found, but are unlikely to alter our broader findings.
Some pathogens are generalists with wide spatial distribution, whereas others are limited to a small set of hosts and a narrow geographic range. Avian malaria (P. relictum) is a globally distributed vector-borne pathogen that infects hundreds of bird species27. In Hawai’i, it has contributed to multiple species extinctions and continues to limit the distribution of several endangered species28,29,30,61. Our results suggest that large within-species variability in pathogen load, coupled with a gradual relationship between pathogen load and infectiousness, increases the number of host species contributing to transmission: both individual host species and whole communities had broadly overlapping infectiousness. More generally, the steepness of the relationship between pathogen load and infectiousness and variation in pathogen load within species likely influence not only which species can act as competent hosts, but also the spatial extent of pathogen transmission. These factors may therefore play a central role in shaping the host range and geographic distribution of many vector-borne diseases.
Methods
Avian malaria and mosquito collection and maintenance
We collected three isolates of P. relictum (lineage GRW4) from wild birds at three sites on Hawai’i Island as previously described62. Past studies found limited genetic variation and no difference in pathogenicity between Hawaiian isolates of GRW457,63. Isolates were passaged one to five times in canaries via intramuscular inoculations of 50–100 µl of infected fresh blood before use in mosquitoes feeding trials (see below), or before cryopreservation for future use64. All work with wild and laboratory birds was performed under animal care and use protocols approved by the Institutional Animal Care and Use Committee at the University of California in Santa Cruz, USA (Kilpm2003).
Culex quinquefasciatus mosquito egg rafts were collected from three locations on Hawai’i Island between 2020 and 2023 (Fig. S1) and shipped within 24 h to Santa Cruz, California (U.S. Veterinary Permits 139503 and 611-21-327-00722). Upon arrival, rafts were floated in plastic pans (44 cm × 25 cm × 10 cm) filled with 1 L of deionized water at 26 °C with 70–80% humidity under a 12 L:12D h photoperiod. Hatched larvae (200–350 per pan) were fed daily 0.2–0.4 g of ground fish food (Koi’s Choice® Premium Fish Food), and pupae were transferred to cages (30 cm3, BugDorm) in the same incubator. Emerged adults were fed ad libitum on 10% sucrose solution-soaked cottons. Five- to 37-day-old (x̄ = 20) wild-collected, F1, and F2 generation adults were used in experimental feedings. All mosquitoes were sucrose-starved for 48 h prior to blood feeding. To create F1 and F2 generations, blood-fed mosquitoes were provided a small cup of water for egg laying starting 2 d after blood feeding. Cups were checked daily for egg rafts.
Experimental infection and mosquito feeding assays
To establish our infection assays for birds and mosquitoes, we inoculated canaries intramuscularly with 50–200 µL of 0.1–4.25% P. relictum infected whole blood. Infected blood was either fresh, containing an isolate passaged 1–4 times in other canaries, or a thawed deglycerolized sample. Starting on day 5 post-infection and every 3 d after, we took 5–10 µL of blood by brachial venipuncture and screened blood using both thin blood smears and quantitative PCR (qPCR) to detect infection and estimate parasitemia39,65. Once parasitemia was detectable, unrestrained canaries were placed inside a vertical PVC cylinder within a mosquito cage containing 100 female mosquitoes (Fig. S2). Birds and mosquitoes were held together overnight from 2000 to 0600 h (10 h) at 24 °C. We collected engorged mosquitoes, divided them into four groups, and transferred the groups into incubators set to 18, 20, 24, or 28 °C, temperatures which are common across a range of bird habitats in Hawai’i66. We held mosquitoes within each incubator until dissection. Individual infected birds could be exposed multiple nights to biting mosquitoes, but individual mosquitoes were only exposed once to an infected bird.
We dissected a subset of mosquitoes from each incubator at three time points between days 5 and 44, the points varying depending on the temperature of the incubator. We chose time points that would capture the rise in the fraction of mosquitoes with disseminated infections over time67. Mosquitoes were dissected by separating the thorax from the abdomen at the scutellum with a sterile dissection needle. The abdomen was placed in one 1 mL vial containing 0.5 mL of 70% ethanol, and the combined head, thorax, and legs were placed in a second vial. All samples were stored for 1–90 d and frozen at −20 °C before qPCR was used to detect P. relictum DNA.
Bird sample collection and censuses
We collected blood samples to quantify P. relictum infection from 34 species of wild birds captured using 38-mm mesh mist-nets at 78 forested sites between 29–2000 m on the islands of Kauaʻi, Oʻahu, Maui, and Hawai’i Island (Hawai’i, USA) between 2015–202238,68. We drew 25–100 μL of blood by brachial venipuncture and placed it in 1 mL of Queen’s Lysis Buffer69. We stored samples at room temperature for 1–90 days or froze them at −20 °C before using qPCR to quantify parasitemia.
To characterize the composition and relative abundance of species in bird communities, we conducted unlimited-distance point counts at 11 of our sampling sites (Fig. S1). At each community site, we conducted four 6 min point counts between 0600 and 1000 h from February to June 2020, with points separated by at least 200 m. We estimated the density of each species (birds/ha) using distance sampling using the Distance package in R70. We used a half-normal key function, a truncation distance of 95 m, and a species-by-site detection function (which fit better than just species-specific detection functions; ΔAIC = 180.6); the model fit was very good (“badness” of fit: P = 0.82). We conducted fieldwork under Hawai’i Division of Forestry and Wildlife Protected Wildlife Permits (WL19-23; WL 17-08), USGS Bird Banding Laboratory permit numbers (#23600, #21144), and a Hawai’i State Access and Forest Reserve Special Use Permit.
qPCR analysis
We extracted DNA from avian blood and mosquito samples using a Qiagen DNeasy Blood & Tissue kit (Qiagen, Hilden, Germany) following the manufacturer’s protocols for the Purification of Total DNA from nucleated red blood cells and from saliva. To process mosquito abdomens and thoraxes/legs/heads, we modified the kit protocol to include a bead-beating step (2000 strokes/min for 2 min using a GenoGrinder Mini tissue homogenizer) prior to overnight lysis. We quantified the concentration of genomic DNA with a Qubit fluorometer (Invitrogen) and normalized samples to a starting concentration of 2 ng/μL. We quantified P. relictum in blood and mosquito samples using a qPCR assay with a hydrolysis probe that targets the cytochrome b gene, optimized for the only lineage of P. relictum found in Hawai’i, GRW471. We tested each sample in duplicate or triplicate, with a 40-cycle cut-off, and averaged the cycle threshold (Ct) scores for all detections. A qPCR with a 40 Ct score corresponds to a parasitemia of approximately 1 × 10-7 infected RBCs39.
Statistical analyses
As noted above, we used the fraction of blood-fed mosquitoes with disseminated infections (any quantity of parasite DNA in the thorax, head, and legs combined) as our measure of host infectiousness because it is strongly correlated with the presence of the vertebrate-infecting malaria life stage26,72 (sporozoites) in mosquitoes’ salivary glands and thus is a strong indicator of a mosquito’s ability to transmit malaria. Essentially, we are assuming that if the head/thorax/legs have detectable Plasmodium DNA, the mosquito would likely transmit sporozoites if it fed on a host. We used a generalized linear model with a binomial distribution and a logit link to analyze the effect of mosquito age, study year (a categorical predictor that accounts for differences in mosquito populations used), parasitemia, temperature, and days post-feeding and two-way interactions of parasitemia, temperature, and days post-feeding on the fraction of mosquitoes with disseminated infections. We estimated parasitemia (the fraction of red blood cells infected) by converting qPCR Ct value to parasitemia values using a previously published relationship (Logit(Parasitemia) = 17.78 − 0.85*qPCR Ct score39). We then tested whether native and introduced bird species differed in parasitemia and in infectiousness using a generalized linear mixed effects model with a beta distribution and species as a random effect using the glmmTMB package73. For all statistical tests, we used two-tailed P-values.
We assessed the relative importance of the early, high parasitemia and short acute stage of infection in producing infectious mosquitoes compared to the later, lower parasitemia and long chronic stage. We focused on Hawai’i’s two most abundant native honeycreepers37,49,74,75, the Hawai’i ‘Amakihi and ‘Apapane, for which we had robust sample sizes of parasitemias from wild-caught birds and published experimental infection studies29,35,57,58,60. Using the fitted relationship between parasitemia and disseminated infection prevalence just described, we calculated the relative number of mosquitoes that would have disseminated infections 10 days after feeding on birds with high or low phase parasitemias, assuming mosquitoes were held at 24 °C. Ten days is the approximate average lifespan of Cx. quinquefasciatus and Cx. pipiens mosquitoes in the field76,77, and 24 °C is an average daily temperature at low elevations in Hawai’i66. We used a parasitemia threshold of 1% to separate high and low parasitemias39.
For the high parasitemia stage, we calculated the average infectiousness of parasitemia values measured throughout its duration, which lasts 38 d in Hawai’i ‘Amakihi, and 60 days in ‘Apapane29,35,57,58,60. For the low parasitemia stage, we averaged infectiousness estimates from wild-caught individuals with parasitemia below 1%. To establish the duration of the low parasitemia phase, we used lifespan data from infected Hawai’i ‘Amakihi78, which, assuming constant type II survival as adults, is 365/(1 − adult annual survival, 0.62) or 961 days, minus the number of days in the high parasitemia stage. Hawai’i ‘Amakihi are frequently infected in their first year, have a lower likelihood of infection as adults, and then remain chronically infected for life36,37,63. Capture data suggest ‘Apapane infections are similar; their adult lifespan and estimated low parasitemia phase were 365/(1 − 0.54) = 789 days75.
We had no direct information on mosquito feeding patterns, so we estimated the relative host utilization of mosquitoes for different bird species using data on infection prevalence (fraction of infected individuals). Relative host utilization (sometimes called “feeding preference” or “forage ratio”; we use “host utilization” throughout) refers to whether hosts are fed on in proportion to their abundance (a utilization value of 1), are overutilized (a value > 1) or underutilized (a value < 1), which is influenced by several factors including vector preferences, host defense, and host location4,79,80. We corrected prevalence estimates for Hawai’i ʻAmakihi and ʻApapane for mortality following infection using a previously developed approach23. We first used a generalized linear model with a binomial distribution and a logit link with the infection prevalence of each bird species as the response and site, species, and age as predictors. We used the exponent of the species coefficient (the odds ratio) from this model to infer the relative probability of being fed on because this is the same as the coefficient that would be obtained in a multinomial analysis of feeding patterns where the data points were blood-fed mosquitoes that had fed on that host. Using relative patterns of infection prevalence to estimate mosquito feeding patterns assumes that all species are equally susceptible to infection and, once infected, all species have the same probability of infection being detected by qPCR, which can detect parasitemias above 1 × 10-7 parasites/red blood cell39 (see below for additional discussion of these assumptions). At each site, we calculated the expected fraction of feedings at a site from each species j by multiplying the odds ratio by the relative abundance and dividing it by the sum of this product for all species at a site (feeding fraction = abundj*exp(coef sppj)/∑[abundj*exp(coef sppj)]).
We estimated the infectiousness of different bird communities and the contribution of each species j to transmission using an expression for R0 for a vector borne-pathogen with a single vector81:
with mosquito terms: density (M), biting rate (β), vector competence (b), feeding fraction on host j (aj), mortality rate (μm); host terms: total density (N), susceptibility to infection (sj), average infectiousness (cj), relative abundance (nj), mortality rate (μj), recovery rate (γj), disease-caused death rate (αj); and pathogen term: extrinsic incubation period (1/q). The relative contribution of each bird species to R0 is:
Where fj is the vector host utilization or forage ratio (aj/nj) described above (in which host utilization values are inferred from relative infection prevalence), and dj is the average duration of infectiousness (the inverse of sum of the death and recovery rates). We note that prevalence estimates were only used once in the calculation of species contribution to transmission, to infer fj. We assumed that all species were equally susceptible, sj, based on previous experimental infection studies29,34,35,56,57,58,59, and had similar durations of infectiousness dj. We used our estimates of host infectiousness values described above to estimate cj. These estimates integrate host parasitemias and the estimated probability of mosquitoes having disseminated infections 10 days later from the mosquito experimental infections (Fig. 2). For the 6 species without estimates of parasitemia (most were rare), we used estimates from the nearest taxonomic group (genus, family, order, or class, after averaging empirical data at the same taxonomic level to generate a mean).
Reporting summary
Further information on research design is available in the Nature Portfolio Reporting Summary linked to this article.
Data availability
The datasets analyzed in this study can be downloaded from Dryad at https://doi.org/10.5061/dryad.g1jwstr24.
Code availability
The source code is available on Dryad at https://doi.org/10.5061/dryad.g1jwstr24.
References
Cleaveland, S., Laurenson, M. K. & Taylor, L. H. Diseases of humans and their domestic mammals: pathogen characteristics, host range and the risk of emergence. Philos. Trans. R. Soc. Lond. B. Biol. Sci. 356, 991–999 (2001).
Wilson, M. E. Geography of infectious diseases. In Infectious Diseases 3rd edn (eds Cohen, J., Opal, S. M. & Powderly, W. G.) 1055–1064 (Mosby, Philadelphia, 2010).
LoGiudice, K., Ostfeld, R. S., Schmidt, K. A. & Keesing, F. The ecology of infectious disease: effects of host diversity and community composition on Lyme disease risk. Proc. Natl. Acad. Sci. USA. 100, 567–571 (2003).
Kilpatrick, A. M., Daszak, P., Jones, M. J., Marra, P. P. & Kramer, L. D. Host heterogeneity dominates West Nile virus transmission. Proc. R. Soc. B Biol. Sci. 273, 2327–2333 (2006).
Young, H. S., Parker, I. M., Gilbert, G. S., Sofia Guerra, A. & Nunn, C. L. Introduced species, disease ecology, and biodiversity–disease relationships. Trends Ecol. Evol. 32, 41–54 (2017).
Brunner, J. L., LoGiudice, K. & Ostfeld, R. S. Estimating reservoir competence of Borrelia burgdorferi hosts: prevalence and infectivity, sensitivity, and specificity. J. Med. Entomol. 45, 139–147 (2008).
Hamer, G. L. et al. Host selection by Culex pipiens mosquitoes and West Nile virus amplification. Am. J. Trop. Med. Hyg. 80, 268–278 (2009).
Johnson, P. T. J., Preston, D. L., Hoverman, J. T. & Richgels, K. L. D. Biodiversity decreases disease through predictable changes in host community competence. Nature 494, 230–233 (2013).
Takken, W. & Verhulst, N. O. Host preferences of blood-feeding mosquitoes. Annu. Rev. Entomol. 58, 433–453 (2013).
Tylianakis, J. M., Tscharntke, T. & Lewis, O. T. Habitat modification alters the structure of tropical host–parasitoid food webs. Nature 445, 202–205 (2007).
Sheldon, K. S., Yang, S. & Tewksbury, J. J. Climate change and community disassembly: impacts of warming on tropical and temperate montane community structure. Ecol. Lett. 14, 1191–1200 (2011).
Kilpatrick, A. M. et al. Lyme disease ecology in a changing world: consensus, uncertainty and critical gaps for improving control. Philos. Trans. R. Soc. B Biol. Sci. 372, 20160117 (2017).
Cleveland, C. A. et al. Vector communities under global change may exacerbate and redistribute infectious disease risk. Parasitol. Res. 122, 963–972 (2023).
Turell, M. J., O’Guinn, M. L., Dohm, D. J. & Jones, J. W. Vector competence of North American mosquitoes (Diptera: Culicidae) for West Nile virus. J. Med. Entomol. 38, 130–134 (2001).
Lord, C. C., Rutledge, C. R. & Tabachnick, W. J. Relationships between host viremia and vector susceptibility for arboviruses. J. Med. Entomol. 43, 623–630 (2006).
Tiawsirisup, S., Platt, K. B., Evans, R. B. & Rowley, W. A. A comparison of West Nile virus transmission by Ochlerotatus trivittatus (COQ.), Culex pipiens (L.), and Aedes albopictus (Skuse). Vector Borne Zoonotic Dis. 5, 40–47 (2005).
Kilpatrick, A. M., Fonseca, D. M., Ebel, G. D., Reddy, M. R. & Kramer, L. D. Spatial and temporal variation in vector competence of Culex pipiens and Cx. restuans mosquitoes for West Nile virus. Am. J. Trop. Med. Hyg. 83, 607–613 (2010).
Cecilia, H. et al. Heterogeneity of Rift Valley fever virus transmission potential across livestock hosts, quantified through a model-based analysis of host viral load and vector infection. PLoS Comput. Biol. 18, e1010314 (2022).
Dwyer, G., Elkinton, J. S. & Buonaccorsi, J. P. Host heterogeneity in susceptibility and disease dynamics: tests of a mathematical model. Am. Nat. 150, 685–707 (1997).
Gomes, M. G. M. et al. A missing dimension in measures of vaccination impacts. PLoS Pathog 10, e1003849 (2014).
Langwig, K. E. et al. Vaccine effects on heterogeneity in susceptibility and implications for population health management. mBio 8, e00796-17 (2017).
Kilpatrick, A. M., LaDeau, S. L. & Marra, P. P. Ecology of West Nile virus transmission and its impact on birds in the Western Hemisphere. The Auk 124, 1121–1136 (2007).
Komar, N. et al. Experimental infection of North American birds with the New York 1999 strain of West Nile virus. Emerg. Infect. Dis. 9, 311–322 (2003).
Reisen, W. K., Fang, Y. & Martinez, V. M. Avian host and mosquito (Diptera: Culicidae) vector competence determine the efficiency of West Nile and St. Louis encephalitis virus transmission. J. Med. Entomol. 42, 367–375 (2005).
Nguyen, N. M. et al. Host and viral features of human dengue cases shape the population of infected and infectious Aedes aegypti mosquitoes. Proc. Natl. Acad. Sci. USA 110, 9072–9077 (2013).
Andolina, C. et al. Sources of persistent malaria transmission in a setting with effective malaria control in eastern Uganda: a longitudinal, observational cohort study. Lancet Infect. Dis. 21, 1568–1578 (2021).
Valkiūnas, G. et al. Characterization of Plasmodium relictum, a cosmopolitan agent of avian malaria. Malar. J. 17, 184 (2018).
Warner, R. E. The role of introduced diseases in the extinction of the endemic Hawaiian avifauna. The Condor 70, 101–120 (1968).
van Riper, C., van Riper, S., Goff, M. L. & Laird, M. The epizootiology and ecological significance of malaria in Hawaiian land birds. Ecol. Monogr. 56, 327–344 (1986).
Paxton, E. H. et al. Collapsing avian community on a Hawaiian island. Sci. Adv. 2, e1600029 (2016).
Paxton, E. H., Laut, M., Enomoto, S. & Bogardus, M. Hawaiian forest bird conservation strategies for minimizing the risk of extinction: biological and biocultural considerations. Hawaii Cooperative Studies Unit Technical Report https://pubs.usgs.gov/publication/70230509 (2022).
Jarvi, S. I., Farias, M. E. & Atkinson, C. T. Genetic characterization of Hawaiian isolates of Plasmodium relictum reveals mixed-genotype infections. Biol. Direct 3, 25 (2008).
van Riper, C. The impact of introduced vectors and avian malaria on insular passeriform bird populations in Hawai’i. Bull. Soc. Vector Ecol. 16, 59–83 (1991).
Atkinson, C. T., Woods, K. L., Dusek, R. J., Sileo, L. S. & Iko, W. M. Wildlife disease and conservation in Hawaii: pathogenicity of avian malaria (Plasmodium relictum) in experimentally infected iiwi (Vestiaria coccinea). Parasitology 111, S59–S69 (1995).
Yorinks, N. & Atkinson, C. T. Effects of malaria on activity budgets of experimentally infected juvenile apapane (Himatione sanguinea). The Auk 117, 731–738 (2000).
Atkinson, C. T. & Samuel, M. D. Avian malaria Plasmodium relictum in native Hawaiian forest birds: epizootiology and demographic impacts on ‵apapane Himatione sanguinea. J. Avian Biol. 41, 357–366 (2010).
McClure, K. M., Fleischer, R. C. & Kilpatrick, A. M. The role of native and introduced birds in transmission of avian malaria in Hawaii. Ecology 101, e03038 (2020).
Neddermeyer, J. H., Parise, K. L., Dittmar, E., Kilpatrick, A. M. & Foster, J. T. Nowhere to fly: avian malaria is ubiquitous from ocean to summit on a Hawaiian island. Biol. Conserv. 279, 109943 (2023).
Seidl, C. M. et al. Linking avian malaria parasitemia estimates from quantitative PCR and microscopy reveals new infection patterns in Hawai’i. Int. J. Parasitol. 54, 123–130 (2024).
LaPointe, D. A., Goff, M. L. & Atkinson, C. T. Thermal constraints to the sporogonic development and altitudinal distribution of avian malaria Plasmodium relictum in Hawai’i. J. Parasitol. 96, 318–324 (2010).
Swetnam, D. M. et al. Movement of St. Louis encephalitis virus in the Western United States, 2014-2018. PLoS Negl. Trop. Dis. 14, e0008343 (2020).
Rogers, D. J., Wilson, A. J., Hay, S. I. & Graham, A. J. The global distribution of yellow fever and dengue. Adv. Parasitol. 62, 181–220 (2006).
Penna, M. L. F., Wand-del-Rey de Oliveira, M. L. & Penna, G. Spatial distribution of leprosy in the Amazon Region of Brazil. Emerg. Infect. Dis. 15, 650–652 (2009).
Whitehorn, J. et al. Comparative susceptibility of Aedes albopictus and Aedes aegypti to Dengue virus infection after feeding on blood of viremic humans: implications for public health. J. Infect. Dis. 212, 1182–1190 (2015).
Qiu, Y. et al. The global distribution and diversity of wild-bird-associated pathogens: an integrated data analysis and modeling study. Med 6, 100553 (2025).
Gurtler, R. E., Cohen, J. E., Cecere, M. C. & Chuit, R. Shifting host choices of the vector of Chagas disease, Triatoma infestans, in relation to the availability of host in houses in North-West Argentina. J. Appl. Ecol. 34, 699–715 (1997).
Gashururu, R. S. et al. Trypanosomes infection, endosymbionts, and host preferences in tsetse flies (Glossina spp.) collected from Akagera park region, Rwanda: a correlational xenomonitoring study. One Health 16, 100550 (2023).
Kilpatrick, A. M., Kramer, L. D., Jones, M. J., Marra, P. P. & Daszak, P. West Nile virus epidemics in North America are driven by shifts in mosquito feeding behavior. PLoS Biol 4, e82 (2006).
Woodworth, B. L. et al. Host population persistence in the face of introduced vector-borne diseases: Hawaii amakihi and avian malaria. Proc. Natl. Acad. Sci. USA. 102, 1531–1536 (2005).
Paily, K. P., Hoti, S. L. & Das, P. K. A review of the complexity of biology of lymphatic filarial parasites. J. Parasit. Dis. Off. Organ Indian Soc. Parasitol. 33, 3–12 (2009).
Howes, R. E. et al. Global epidemiology of Plasmodium vivax. Am. J. Trop. Med. Hyg. 95, 15–34 (2016).
Okell, L. C. et al. Factors determining the occurrence of submicroscopic malaria infections and their relevance for control. Nat. Commun. 3, 1237 (2012).
Barry, A. et al. Higher gametocyte production and mosquito infectivity in chronic compared to incident Plasmodium falciparum infections. Nat. Commun. 12, 2443 (2021).
Valkiūnas, G. Avian Malaria Parasites and Other Haemosporidia. (CRC Press, Boca Raton, 2005).
Gloria-Soria, A., Brackney, D. E. & Armstrong, P. M. Saliva collection via capillary method may underestimate arboviral transmission by mosquitoes. Parasit. Vectors 15, 103 (2022).
Vaughan, J. A., Newman, R. A. & Turell, M. J. Bird species define the relationship between West Nile viremia and infectiousness to Culex pipiens mosquitoes. PLoS Negl. Trop. Dis. 16, e0010835 (2022).
Atkinson, C. T., Dusek, R. J. & Lease, J. K. Serological responses and immunity to superinfection with avian malaria in experimentally-infected Hawaii amakihi. J. Wildl. Dis. 37, 20–27 (2001).
Atkinson, C. T., Dusek, R. J., Woods, K. L. & Iko, W. M. Pathogenicity of avian malaria in experimentally-infected Hawaii amakihi. J. Wildl. Dis. 36, 197–201 (2000).
Atkinson, C. T., Lease, J. K., Drake, B. M. & Shema, N. P. Pathogenicity, serological responses, and diagnosis of experimental and natural malarial infections in native Hawaiian thrushes. The Condor 103, 209–218 (2001).
Atkinson, C. T., Saili, K. S., Utzurrum, R. B. & Jarvi, S. I. Experimental evidence for evolved tolerance to avian malaria in a wild population of low elevation Hawai’i ‘amakihi (Hemignathus virens). EcoHealth 10, 366–375 (2013).
Bensch, S., Hellgren, O. & Pérez-Tris, J. MalAvi: a public database of malaria parasites and related haemosporidians in avian hosts based on mitochondrial cytochrome b lineages. Mol. Ecol. Resour. 9, 1353–1358 (2009).
Kilpatrick, A. M. et al. Transinfection of Wolbachia wAlbB into Culex quinquefasciatus mosquitoes does not alter vector competence for Hawaiian avian malaria (Plasmodium relictum GRW4). PLoS Pathog. 20, e1012052 (2024).
Jarvi, S. I., Schultz, J. J. & Atkinson, C. T. PCR diagnostics underestimate the prevalence of avian malaria (Plasmodium relictum) in experimentally-infected passerines. J. Parasitol. 88, 153–158 (2002).
Ismail, H. A. Freezing and thawing of asexual Plasmodium spp. In Methods in Malaria Research 6th edn (eds Moll, K., Kaneko, A., Scherf, A. & Wahlgren, M.) (EVIMalaR Glasgow, UK, 2013).
Paxton, K. L. et al. Gene expression reveals immune response strategies of naïve Hawaiian honeycreepers experimentally infected with introduced avian malaria. J. Hered. 114, 326–340 (2023).
Kagawa-Viviani, A. K. & Giambelluca, T. W. Spatial patterns and trends in surface air temperatures and implied changes in atmospheric moisture across the Hawaiian Islands, 1905–2017. J. Geophys. Res. Atmos. 125, e2019JD031571 (2020).
LaPointe, D. A., Goff, M. L. & Atkinson, C. T. Comparative susceptibility of introduced forest-dwelling mosquitoes in Hawai’i to avian malaria, Plasmodium relictum. J. Parasitol. 91, 843–849 (2005).
Paxton, E. H. Hawaiian Forest Bird Avian Malaria Prevalence 2018–2021. U.S. Geological Survey data release. https://doi.org/10.5066/P9F519WO (2022).
Seutin, G., White, B. N. & Boag, P. T. Preservation of avian blood and tissue samples for DNA analyses. Can. J. Zool. 69, 82–90 (1991).
Miller, D. L., Rexstad, E., Thomas, L., Marshall, L. & Laake, J. L. Distance sampling in. R. J. Stat. Softw. 89, 1–28 (2019).
Beadell, J. S. et al. Global phylogeographic limits of Hawaii’s avian malaria. Proc. R. Soc. B Biol. Sci. 273, 2935–2944 (2006).
Stone, W. J. R. et al. The relevance and applicability of oocyst prevalence as a read-out for mosquito feeding assays. Sci. Rep. 3, 3418 (2013).
Brooks, M. et al. glmmTMB: balances speed and flexibility among packages for zero-inflated generalized linear mixed modeling. R Journal 9, 378–400 (2017).
Ralph, C. J. & Fancy, S. G. Demography and movements of Apapane and Iiwi in Hawaii. The Condor 97, 729–742 (1995).
Samuel, M. D., Woodworth, B. L., Atkinson, C. T., Hart, P. J. & LaPointe, D. A. Avian malaria in Hawaiian forest birds: infection and population impacts across species and elevations. Ecosphere 6, 1–21 (2015).
Elizondo-Quiroga, A. et al. Gonotrophic cycle and survivorship of Culex quinquefasciatus (Diptera: Culicidae) using sticky ovitraps in Monterrey, northeastern Mexico. J. Am. Mosq. Control Assoc. 22, 10–14 (2006).
Jones, C. E., Lounibos, L. P., Marra, P. P. & Kilpatrick, A. M. Rainfall influences survival of Culex pipiens (Diptera: Culicidae) in a residential neighborhood in the mid-Atlantic United States. J. Med. Entomol. 49, 467–473 (2012).
Kilpatrick, A. M. et al. Effects of chronic avian malaria (Plasmodium relictum) infection on reproductive success of Hawaii amakihi (Hemignathus virens). The Auk 123, 764–774 (2006).
Fikrig, K. & Harrington, L. C. Understanding and interpreting mosquito blood feeding studies: the case of Aedes albopictus. Trends Parasitol. 37, 959–975 (2021).
Janousek, W. M., Marra, P. P. & Kilpatrick, A. M. Avian roosting behavior influences vector-host interactions for West Nile virus hosts. Parasit. Vectors 7, 399 (2014).
Kilpatrick, A. M. Globalization, land use, and the invasion of West Nile virus. Science 334, 323–327 (2011).
Acknowledgements
We thank the field teams that collected samples over the years, including the U.S. Geological Survey’s Avian Malaria Genomic Research Project team and the Hawai’i Vertebrate Introductions and Novel Ecosystems project. We thank the State of Hawai’i Division of Forestry and Wildlife and the Natural Area Reserve System for land access and logistical support. Funding was provided by the National Science Foundation (NSF) grants DEB-1717498 to authors A.M.K., J.T.F., and E.H.P. and DEB 1911853 to authors A.M.K. and J.T.F., and a NSF Graduate Research Fellowship to C.M.S. Portions of this article were developed from the thesis of C.M.S. Any use of trade, firm, or product names is for descriptive purposes only and does not imply endorsement by the U.S. Government.
Author information
Authors and Affiliations
Contributions
C.M.S. and A.M.K.: conceptualization, data curation, formal analysis, investigation, methodology, validation, visualization, funding acquisition, writing—original draft, review, editing; K.L.P. and K.B.: data curation, investigation; I.J.I., S.L., D.H., R.M., F.C.F., E.C.A.: investigation; J.T.F. and E.H.P.: funding acquisition, resources, writing—review and editing; All authors gave final approval for publication and agreed to be held accountable for the work performed therein.
Corresponding author
Ethics declarations
Competing interests
The authors declare no competing interests.
Peer review
Peer review information
Nature Communications thanks Michael Reiskind, Panpim Thongsripong and the other, anonymous, reviewer(s) for their contribution to the peer review of this work. A peer review file is available.
Additional information
Publisher’s note Springer Nature remains neutral with regard to jurisdictional claims in published maps and institutional affiliations.
Rights and permissions
Open Access This article is licensed under a Creative Commons Attribution 4.0 International License, which permits use, sharing, adaptation, distribution and reproduction in any medium or format, as long as you give appropriate credit to the original author(s) and the source, provide a link to the Creative Commons licence, and indicate if changes were made. The images or other third party material in this article are included in the article’s Creative Commons licence, unless indicated otherwise in a credit line to the material. If material is not included in the article’s Creative Commons licence and your intended use is not permitted by statutory regulation or exceeds the permitted use, you will need to obtain permission directly from the copyright holder. To view a copy of this licence, visit http://creativecommons.org/licenses/by/4.0/.
About this article
Cite this article
Seidl, C.M., Parise, K.L., Ipsaro, I.J. et al. Variation in pathogen load and the pathogen load–infectiousness relationship broaden avian malaria’s distribution. Nat Commun 17, 1213 (2026). https://doi.org/10.1038/s41467-026-68927-x
Received:
Accepted:
Published:
Version of record:
DOI: https://doi.org/10.1038/s41467-026-68927-x







