Abstract
As projected by climate models in the high emission scenarios, the El Niño–Southern Oscillation (ENSO) exhibits a non-monotonic amplitude shift. However, its key drivers remain poorly quantified. Here we introduce a framework using an intermediate coupled model (ICM) that coherently represents mean-state oceanic climatologies in the tropical Pacific, derived from eight selected climate models across three periods (1940–1990, 2040–2090 and 2240–2290). By applying vertical baroclinic mode decomposition to ocean density, we extract wind projection coefficients (pn; n is mode number) governing upper-ocean dynamical responses. The ICM with the explicitly prescribed climatological fields, including stratification and the thermocline structure, successfully reproduces the non-monotonic ENSO shifts, which is illustrated to be primarily driven by opposite changes in p1 and p2 post 2140. Sensitivity experiments further confirm stratification as the dominant modulator. This study establishes a coherent mechanistic framework for disentangling stratification impacts on ENSO in climate model projections under global warming.
Similar content being viewed by others
Introduction
As the global climate continues to warm1,2,3,4,5,6,7, the El Niño–Southern Oscillation (ENSO)—the dominant mode of interannual variability—undergoes significant changes that have far-reaching impacts on global weather, ecosystems, and socio-economic systems8,9,10,11,12,13,14. Understanding how ENSO responds to sustained warming is a critical scientific challenge, especially given its influence on rainfall extremes, droughts, and marine productivity worldwide15,16,17,18,19,20,21. Recent advances in climate modeling have leveraged coupled general circulation models (CGCMs) to project ENSO behavior under future climate scenarios, including those represented in the Coupled Model Intercomparison Project Phase 6 (CMIP6)22,23,24.
Despite model-to-model differences, some of the CMIP6 models under the Shared Socioeconomic Pathway 585 (SSP585) scenario reveal a coherent yet non-monotonic response of ENSO amplitude to warming25,26,27. Specifically, ENSO variability is weak during 1940–1990, intensifies during 2040–2090, and then weakens again after 2100. However, the physical processes and mechanisms underlying these shifts remain poorly understood.
ENSO variability is tightly linked to the climatological mean state of the tropical Pacific Ocean28,29,30. Prior studies have pointed to key components of this mean state in the ocean—such as stratification, thermocline depth, surface-layer fields (currents and sea surface temperature (SST))—as important modulators of ENSO15,31,32,33,34,35,36,37,38. While CGCM simulations provide valuable datasets, the interactions among these components and their net effects on ENSO are complex and intertwined, making it difficult to rigorously isolate the individual contributions of each factor. As a result, many previous assessments have been largely qualitative and diagnostic in nature. Although often mentioned as a key influence in the literatures, stratification effects have rarely been represented and quantified in a consistent or physically explicit way26,27,39,40,41,42,43. In particular, the role played by upper-ocean stratification in modulating ENSO under global warming remains elusive.
This study addresses that gap by developing a modeling framework using an intermediate coupled model (ICM) in which three components of the mean ocean state—(1) upper-ocean stratification, (2) surface-layer fields (velocity and SST), and (3) thermocline structure—are explicitly prescribed based on eight CMIP6 model mean (8CMM) simulations across historical and future climate change scenarios during 1990–2300. This modeling framework enables us to systematically isolate and quantify individual and collective impacts of these mean oceanic components on ENSO responses under sustained global warming. In particular, we focus on the role of oceanic stratification, represented through vertical baroclinic mode decomposition, to explore how changes in ocean density structure alter the dynamical and thermodynamical response characteristics that govern ENSO variability. The mechanistic explanation resolves a key paradox in CMIP6 simulations: ENSO amplitude declines after 2100 despite continued increases in upper-ocean mean stratification.
Results
(1) Changes in ENSO amplitudes and the mean ocean state
Previous studies have comprehensively analyzed the ENSO responses and changes in the mean atmospheric and oceanic states using CMIP6 simulations under different climate change scenarios27,42. Here, we focus on CMIP6 historical and future simulations under SSP585 during 1990-2300 to illustrate ENSO responses (see the details in Method). To adequately represent ENSO variability, we use the standard deviation or magnitude of Niño3.4 or equatorial Pacific SST anomalies as proxies for ENSO amplitude, rather than the amplitudes of explicitly identified ENSO events. Also, we consider interannual variability of Niño3.4 or equatorial Pacific SST, which are used to reflect ENSO amplitude. So, SST anomalies used in the following analyses are based solely on the interannual component, which is obtained by subtracting the 51-year running mean climatology for each selected CMIP6 model.
Figure 1a shows the amplitude of Niño3.4 SST anomalies from eight individual CMIP6 models during 1900–2300 (Supplementary Table 1) and their ensemble mean; a 51-year running mean is performed to highlight a consistent change in ENSO amplitudes among the selected 8CMM simulations. The 8CMM in historical and future simulations reveal a non-monotonic evolution of ENSO amplitude: ENSO variability is weak during the historical simulation, increases during the future simulation up to around 2100, and is followed by a decline post-2100.
a The amplitude of Niño3.4 sea surface temperature (SST) anomalies (°C; regionally averaged between 170°W - 120°W and 5°S - 5°N); the various blue lines represent 8 individual models from CMIP6; the black line indicates their multi-model ensemble mean, with the gray shadings showing 1.0 standard deviation of a total of 10000 inter-realizations based on a Bootstrap method. b The eight CMIP6 model mean (8CMM) upper-ocean (0–300 m) density in the central equatorial Pacific (CEP; 160°E–160°W, 2°S–2°N; contours with an interval of 1 kg m-3). c The corresponding 8CMM upper-ocean (0-300 m) stratification (represented as buoyancy frequency,\(\,{N}^{2}\)) in the CEP (contours with an interval of \(5\times {10}^{-4}{{\mbox{s}}}^{-2}\)). The colored areas and vertical lines are added to highlight the three periods for 1940–1990 (P1), 2040-2090 (P2), and 2240–2290 (P3), respectively.
Specifically, SST fields from the 8CMM with a 51-year running mean show three distinct periods in terms of ENSO amplitudes: weak ENSO amplitude during 1940–1990 (denoted as P1), an enhancement during 2040–2090 (P2), and a decline during 2240–2290 (P3), respectively. The differences in ENSO amplitudes are quantified by the standard deviation of SST anomalies calculated separately from the 8CMM during these three different periods, which is shown in Fig. 2a.
Left panels for the eight climate model mean (8CMM)-based results that are calculated separately during three periods of 1940–1990 (denoted as P1), 2040–2090 (P2) and 2240–2290 (P3); right panels for the corresponding ICM simulations obtained when the 8CMM climatological mean ocean fields estimated during the three periods are specified for intermediate coupled model (ICM) experiments. a, c Standard deviation of SST anomalies (∘C) along the equator (averaged between 2°S and 2°N; red line for P1, blue line for P2 and black line for P3); b, d The BJ-index and its contributing terms analyzed from the 8CMM and ICM simulations, with the corresponding red, blue, and black bars for the three periods.
These three periods also correspond to pronounced changes in the tropical Pacific mean ocean state, including upper-ocean stratification, surface wind and SST patterns, and thermocline structure; previous studies have analyzed these atmospheric and oceanic changes in great details25,26,27. Figure 1b, c illustrate examples for the pronounced changes in the stratification (as seen in upper-ocean density and the corresponding buoyancy frequency,\(\,{N}^{2}\)) over the central equatorial Pacific during 1900-2300; these fields are obtained by performing a 51-year running mean based on monthly outputs. The stratification exhibits clear temporal changes: a stable stratification up to 2000, a gradual increase during 2000–2160, and strong stratification after 2160.
Also, we calculate the corresponding ocean climatology from the 8CMM simulations and highlight their differences for the three periods (Supplementary Figs. 1–3). There are apparent changes in SST and surface winds, characterized by reduced surface currents and zonal SST gradients. As a result, the equatorial upwelling is reduced in association with the changing mean surface velocity and SST fields. In addition, the thermocline shows pronounced changes in its depth, intensity and sharpness (Supplementary Fig. 4). For example, the thermocline continues to shoal in the equatorial Pacific, with its increased sharpness. In particular, the stratification exhibits non-uniform vertical changes in the upper ocean, with an increase in the upper 120 m, but a decrease below (Supplementary Fig. 5).
(2) ENSO amplitude changes in ICM simulations
Under sustained warming in the 8CMM, the mean ocean state in the tropical Pacific undergoes pronounced changes. From a process-based perspective, the mean ocean state modulating ENSO can be decomposed into three distinct components: stratification, surface fields (velocity and SST), and thermocline structure (Methods; Supplementary Table 2).
To quantify the influences of these mean ocean state on ENSO, we employ an intermediate coupled model (ICM) 44,45(see Method, Supplementary Text 1-3 and Supplementary Fig. 6). The ICM is an anomaly model featuring an empirically constructed atmospheric component to represent surface wind stress response to SST variability45, which is coupled to a simplified dynamic ocean model46,47. A key advantage of this framework is its capacity to directly produce interannual anomalies, while oceanic climatologies are allowed to be prescribed. Although the ICM has been widely applied in ENSO simulations and predictions44,45,48,49,50,51,52, the present version introduces several key advances (Supplementary Text 4). Notably, the thermocline component is now presented through an entrainment temperature (Te) parameterization, which is analytically formulated using a hyperbolic tangent (tanh) function53. This formulation explicitly links Te to mean thermocline properties (i.e., its depth, intensity, and sharpness), which collectively modulate the sensitivity of Te to thermocline depth anomalies. Furthermore, spatially-varying density and stratification fields are incorporated to derive corresponding modal parameters (e.g., wind projection coefficients, pn), enabling a more realistic representation of oceanic feedbacks. Critically, all three influencing components are coherently and explicitly integrated within the unified ICM framework. Then, this enhanced modeling framework is applied to the post-2100 period in CMIP6 simulations, where a counterintuitive decline in ENSO variability emerges despite continued warming, a phenomenon that existing theories struggle to explain. Through this approach, we systematically isolate the relative contributions of mean ocean state components to ENSO amplitude changes, offering a mechanistic interpretation of complex climate projections. Nevertheless, the current ICM framework and its modeling study for ENSO modulations in the global warming context also exhibits limitations in its representation of ENSO variability (Supplementary Text 4).
Considering the ENSO amplitude changes in the 8CMM simulations, three representative periods (1940–1990, 2040–2090, and 2240–2290) are separately considered to characterize changes in three components of the mean ocean state and their possible relationships with ENSO. We derive mean ocean fields, including stratification, surface velocity, and SST, and thermocline properties from the 51-year running mean of the 8CMM during the three periods. These related fields and parameters (including modal properties) are then explicitly incorporated into the ICM to assess ENSO responses under different mean ocean climatologies, which are fully three-dimensional and are all spatially varying (Method). Each experiment is freely run for 50 years using the ICM subject to different mean ocean conditions corresponding to the three periods from the 8CMM. Note that in its current ICM, its atmospheric component model was trained only using present-day climate data44, with empirical relationships between anomalies of surface winds and SST derived through singular vector decomposition (SVD) analysis. Since stochastic atmospheric forcing is not included, the ICM tends to produce an unusually regular ENSO cycle. In addition, in this study for ENSO modulations, the surface winds-SST coupling relationship in the ICM is fixed using SVD modes constructed from the present-day climate and then applied directly to future climate states. As such, ICM simulations with three components of the mean ocean state explicitly represented can be examined to isolate and quantify their effects on ENSO. Nevertheless, there is a suitability issue using the current modeling framework to study ENSO modulation under global warming, which is discussed in Supplementary Text 5.
Figure 2c presents standard deviation of SST anomalies from the ICM simulations when the 8CMM ocean climatological fields estimated during the three periods are prescribed; these results can be compared with those directly from the 8CMM (Fig. 2a). Consistent with the 8CMM showing pronounced changes in ENSO amplitude during 1900–2300, ENSO amplitudes in the ICM simulations also exhibit apparent shifts (Fig. 2b): low amplitude during 1940-1990, enhanced one during 2040-2090, and low amplitude after 2100, respectively. Figure 3 illustrates examples for longitude-time sections of simulated SST anomalies over the equatorial Pacific from the ICM. Notably, weak ENSO variability during P1, enhanced ENSO variability during P2 and its later suppression during P3 are all simulated very well.
a–c Longitude-time evolutions of simulated SST anomalies (°C) over the equatorial Pacific (averaged between 2°S and 2°N) when the mean ocean fields estimated during three periods are incorporated into ICM experiments: (a) 1940-1990 (P1); (b) 2040-2090 (P2); (c) 2240-2290 (P3). d The corresponding time series of Niño3.4 SST anomalies for 1940-1990 (P1), 2040-2090 (P2) and 2240-2290 (P3), respectively.
(3) Mechanism Analyses
The comparable SST amplitude changes and associated feedback structures between the 8CMM and the ICM-based experiments (Fig. 2) affirm the ICM’s capability to represent essential ENSO modulation-related processes under long-term global warming. Thus, the ICM experiments serve as a robust basis for mechanistic inquiry (Method; Supplementary Table 3). As indicated in Fig. 1a, variations in ENSO amplitude across the three distinct periods—P1, P2, and P3—coincide with notable changes in the mean ocean state (Fig. 1b, c). These ENSO modulations involve multiple oceanic parameters and fields, and three primary components are explicitly incorporated in the ICM framework. We begin with a focused analysis on the stratification component and its dynamical implications for ENSO variability.
(a) Baroclinic mode responses controlled by stratification and their relationship to ENSO variability
Whereas previous studies have offered qualitative assessments of stratification impacts, we here provide a quantitative treatment using vertical baroclinic mode decomposition32,37,38,39,46,47 (Methods). This approach is applied to upper-ocean density fields from the 8CMM to extract spatially varying vertical structure functions (ψn), wind projection coefficients (pn), and wave speeds (cn) for the first ten baroclinic modes (n = 1–10).
Figure 4 illustrates the spatial distributions of p₁, p₂, and p₃ across the equatorial Pacific for each period. These parameters exhibit well-defined spatial structure across the equatorial Pacific. The amplitude of the first baroclinic mode (p₁) decreases eastward along the equator, indicating a more surface-intensified response in the western-central equatorial Pacific. Conversely, p₂ and p₃ amplitudes increase toward the east, reflecting deeper thermocline sensitivities in the eastern equatorial Pacific. Using these modal parameters, reconstruction calculations for upper-ocean variability indicate that the first three baroclinic modes dominate the ocean’s dynamical responses to wind forcing.
a–c The first, second, and third baroclinic modes are calculated from the eight climate model mean separately during the three periods of 1940-1990 (denoted as P1; red line), 2040-2090 (P2; green line), and 2240-2290 (P3; black line), representing their historical and future distributions under the SSP585 scenario.
As the climate becomes warm over the 1900–2300 period, substantial changes in the mean density field (Fig. 1b, c) yield corresponding variations in stratification and baroclinic mode parameters (Fig. 4 and Supplementary Figs. 4 and 5). One major finding from this study is the relatively changing amplitude of the first three vertical baroclinic modes across the three periods, as derived from the modal decomposition of stratification. While wave speeds (cn) remain relatively stable, the wind projection coefficients (pn) undergo pronounced temporal changes across P1, P2, and P3, which determine the vertical structure and spatial patterning of the ocean’s responses to wind forcing.
From P1 to P2, p₁ increases notably in the western-central equatorial Pacific, signaling strengthened surface-layer responses. Simultaneously, p₂ and p₃ exhibit marked intensification in the eastern equatorial Pacific, indicating enhanced thermocline-layer effects. From P2 to P3, however, p₁ decreases systematically, particularly over the western-central equatorial Pacific, whereas p₂ exhibits a zonal dipole structure—increasing west of ~120°W and decreasing to the east. A similar pattern is observed in p₃, with a weaker dipole centered near ~110°W.
These findings highlight a key transition in the wind projection coefficients that are determined by stratification: during P3, the amplitude of p₁ decreases systematically, while p₂ increases in the western-central equatorial Pacific. This shift reflects a redistribution of wind energy from surface layers to deeper thermocline layers, ultimately reducing the net upper-ocean response amplitudes. Consequently, given the same wind anomalies, the ocean’s dynamical response becomes attenuated in the vertical direction during P3, contributing to reduced ENSO amplitude.
The redistribution in the modal wind projections with opposite changes in p₁ and p₂ amplitudes from P2 to P3 corresponds to a broader regime shift in ENSO dynamics. During P2, increased stratification enhances the projection of wind forcing onto all three leading modes, reinforcing surface and thermocline anomalies and intensifying ENSO variability. During P3, in contrast, the diminished p₁ amplitude suppresses surface-layer responses, while the enhancement of p₂ in the western-central Pacific bolsters subsurface responses. These competing effects on upper-ocean responses during P3, with the decreased p₁ amplitude but increased p₂ amplitude, result in partial cancellation of their contributions to anomaly responses, causing reduced ENSO variability despite continued increases in stratification. These are only qualitative arguments based on analyses from the 8CMM simulations.
In addition, the stratification effects and changes are accompanied with other effects associated with changes in surface fields and the thermocline (Supplementary Figs. 1–5). So, there exist interactions among these influencing components, with their net effects on ENSO being complex and intertwined, making it difficult to rigorously isolate the individual contributions of each factor.
(b) Sensitivity experiments and component-specific contributions
Given the interdependence of mean stratification, thermocline structure, and surface fields, it is non-trivial to isolate their individual contributions of influencing components to ENSO amplitude changes using CMIP6 outputs alone. Therefore, a suite of controlled sensitivity experiments is conducted using the ICM, in which each component of the mean ocean state (stratification, surface velocity/SST, and thermocline structure) is independently varied across the three periods. Each experiment involves a 50-year free run using the ICM, during which a single mean state component from one period is substituted into the baseline conditions of another period. This allows us to isolate and quantify the individual and combined effects of each component on ENSO amplitude.
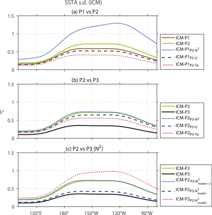
As shown in Fig. 5a for considering the two periods (P1 and P2), replacing the P1 stratification with that from P2 (denoted as ICM-P1P2-N2) leads to a significant enhancement of ENSO amplitude relative to the P1 control run. In contrast, substituting the surface velocity/SST (ICM-P1P2-U) and thermocline components (ICM-P1P2-Te) respectively from P2 into P1 both act to dampen ENSO amplitude. Among these, the stratification effect is the most influential, confirming its primary amplifying role in driving the P1-to-P2 increase in ENSO variability. Here, the enhanced stratification increases the wind projection onto the first three baroclinic modes (Fig. 4), thereby amplifying both surface-layer and thermocline effects through stronger surface-layer and thermocline anomalies.
They are calculated from intermediate coupled model (ICM) experiments for three periods of 1940-1990 (P1), 2040-2090 (P2) and 2240-2290 (P3), respectively. a ICM-P1 and ICM-P2 are control experiments (solid lines), in which three components of the mean ocean state during one period are correspondingly used for the same period; then, focusing on the control experiment during P1 (ICM-P1), one of its three mean component is replaced by the corresponding one during P2 (dashed or dotted lines): ICM-P1P2-N2 is an experiment in which the stratification component (N2) during P1 is replaced by the one during P2; the similar denotations are for ICM-P1P2-U (the surface velocity_SST component in ICM-P1 (denoted as U) is replaced by the one during P2) and ICM-P1P2-Te (the thermocline component (Te) in ICM-P1 is replaced by the one during P2), respectively. b The same as (a), but with ICM-P2 and ICM-P3 being the control experiments, in which sensitivity experiments are performed. Focusing on the ICM-P2 control experiment: one of its three mean components during P2 is replaced by the corresponding one during P3 (dashed or dotted lines): ICM-P2P3-N2 is a sensitivity experiment in which the stratification component during P2 (denoted as N2) is replaced by that during P3; the similar denotations are for ICM-P2P3-U and ICM-P2P3-Te, respectively. c The same as (b), with mode-specific sensitivity experiments performed based on ICM-P2, in which only p₁ or p₂ for the stratification component is replaced by corresponding one from P3 (dashed or dotted lines): ICM-P2P3-N2 mode1+2 is a sensitivity experiment in which the stratification parameters for mode 1 (p1) and mode 2 (p2) during P2 are both replaced by those during P3; this experiment is similar to that shown in b (ICM-P2P3-N2). Then, parameters for mode 1 (p1) or mode 2 (p2) in ICM-P2 are individually replaced by those during P3. ICM-P2P3-N2 mode1 is a sensitivity experiment in which only mode 1 (p1) is replaced by the corresponding one during P3; ICM-P2P3-N2 mode2 is an experiment in which only p2 is replaced, disentangling the stratification effects on ENSO attributed to different baroclinic modes.
The P2-to-P3 transition presents a more complex and puzzling picture (Fig. 5b). Notably, when the P3 stratification (all pn fields) is substituted into the P2 baseline (\({{\rm{ICM}}}\mbox{-}{{\rm{P2}}}_{{\rm{P3}}\mbox{-}{{\rm{N}}}^2}\)), ENSO amplitude does not decrease as expected. To resolve this apparent paradox, we then perform additional mode-specific experiments: replacing only p₁ or p₂ from P3 into the P2 stratification configuration. The results (Fig. 5c) reveal that the decline in p₁ during P3 leads to reduced ENSO amplitude, while the rise in p₂ leads to an increase. Thus, the effects due to the decreased p1 but increased p2 are opposing in terms of their contributions to ENSO amplitude; their nearly canceling effects on upper-ocean responses explain why ENSO amplitude remains largely unchanged between the ICM-P2 baseline and ICM-P2P3-N2 as shown in Fig. 5b.
Thus, the observed ENSO amplitude reduction from P2 to P3 is attributable to the spatial redistribution of baroclinic mode contributions: the decreased p₁ weakens surface responses primarily in the western-central equatorial Pacific, while the increased p₂ enhances subsurface effects. Meanwhile, in the eastern equatorial Pacific, both p₂ and p₃ decrease during P3, acting to weaken the subsurface effects. Then, despite continued stratification intensification during P3, the wind-induced upper-ocean responses become increasingly inefficient, leading to a weakened ENSO amplitude. Notably, the intensification of stratification during P3 does not translate into stronger ENSO variability. Instead, wind projections onto the surface-layer (p₁) and eastern equatorial Pacific thermocline layers (p₂) are diminished, while higher-mode contributions in the western-central equatorial Pacific increase. These opposing effects result in weakened surface-layer currents and thermocline fluctuations, particularly in the eastern equatorial Pacific, thereby suppressing ENSO amplitude.
In addition to stratification, changes in the other two components—the mean surface velocity–SST and the thermocline—also play important roles in damping ENSO amplitude (Fig. 5a, b). For example, replacing the P1 surface velocity–SST component with that from P2 (denoted as ICM-P1P2-U) leads to a reduction in ENSO amplitude relative to the P1 control run (Fig. 5a). Similarly, substituting the P1 thermocline component with that from P2 (ICM-P1P2-Te) leads to a reduction in ENSO amplitude (Fig. 5a). In a parallel manner, replacing respectively the surface velocity-SST component and thermocline component from P2 with those from P3 (ICM-P2P3-U and ICM-P2P3-Te) leads to a reduction in ENSO amplitude relative to the P2 control run (Fig. 5b).
It is worth noting that the influence of the mean thermocline changes on \({T}_{e}^{{\prime} }\) is not apparent by directly examining the spatial distributions of the thermocline-related mean fields alone (Supplementary Figs. 2–4). However, its effects can be illustrated and quantified from ICM-based simulations, as clearly demonstrated in Fig. 5a, b. In this study, the tahn-based parameterization scheme for Te, coherently incorporated into the ICM, allows to estimate upper-ocean temperature anomalies (the equation (3.4) in Supplementary Text 3) and changes in the relationship between the mean thermocline properties and Te. The ICM-based sensitivity simulations reveal period-dependent changes in ENSO amplitude, resulting from coherent interplays among upper-ocean stratification, mean thermocline properties and surface fields, which is consistent with the changes of ENSO amplitude seen in the 8CMM. These results provide another evidence for using the ICM as an appropriate modeling tool to study the physical processes that drive future changes in ENSO amplitude.
(c) Further mechanistic insights into post-2100 ENSO weakening
The proposed mechanism invokes changes in the wind projection coefficients (pn) derived from stratification and their amplifying effects on ENSO, which are accompanied by damping effects from the thermocline and surface field components. The increases in the amplitudes of p1 and p2 offer a plausible explanation for the amplification of ENSO until the late-21st century (during P2). However, its ability to account for the subsequent weakening beyond 2100 (e.g., Fig. 5) appears less compelling. A particular challenge lies in explaining why continued stratification strengthening from period P2 to P3 differentially projects onto ocean vertical baroclinic modes (primarily p₁ and p₂). This subsection aims to clarify this issue through additional analyses and discussions, thereby strengthening the physical interpretation for ENSO changes under prolonged warming.
As shown in Fig. 1c, the stratification in the upper ocean undergoes marked changes with progressive warming. Closer examination reveals that these changes are non-uniform in both vertical and horizontal directions. For instance, the vertical structure of stratification (Supplementary Fig. 5) indicates intensification in the upper 120 m, but a reduction at subsurface depths between 120–150 m. This vertical reconstruction of the stratification alters the relative contributions of wind projections to the baroclinic mode amplitudes: the amplitude of p₁ decreases while that of p₂ increases during P3 (Supplementary Fig. 4), reflecting an amplifying of surface-layer stratification but vertically a gradual weakening of subsurface stratification. From P2 to P3, this shift in the vertical distribution of stratification modifies the respective influences of p₁ and p₂ on upper-ocean responses. During P3, the reduced amplifying effects on ocean anomalies from the decreased p1 amplitude are insufficient to offset the increased amplifying effects from the increased p2 amplitude, resulting in reduced stratification-related net amplifying effects.
It should be noted that other processes associated with mean ocean fields also contribute to ENSO modulation in the coupled system. As indicated in Fig. 5, the Te modulation due to changes in thermocline depth, strength, and sharpness exerts a damping influence on ENSO variability. Similarly, changes in the mean surface ocean fields also play a suppressive role (Fig. 5). Thus, in the ICM framework, three key components coexist that represent their competing effects on ENSO: the thermocline and surface field components both dampen ENSO, whereas the stratification generally amplifies it, which is determined by the respective amplitudes of p₁ and p₂ (i. e., when both p₁ and p₂ increase, ENSO intensifies). Thus, the overall ENSO amplitude is governed by the combined and synergistic effects of these influencing components, and the resultant ENSO amplitude reflects a balance between amplifying and damping effects in the coupled system. In particular, during P3, p₁ decreases while p₂ increases, resulting in a partial cancellation of their amplifying contributions to ENSO amplitudes. Concurrently, damping mechanisms remain active. When the thermocline- and surface fields-related damping effects dominate, the amplification due to changes in stratification is insufficient to offset the damping, and the net effect leads to a reduction in ENSO amplitude—as is the case during P3.
(4) Budget analyses for ENSO feedback processes
The underlying mechanisms are further analyzed using the BJ-index and its contributing terms54 (Method; Supplementary Table 4; Supplementary Text 6), which are calculated from the 8CMM and ICM simulations (Fig. 2b, d), respectively. Various feedback processes responsible for ENSO modulations show coherent relationships with SST variabilities, including the thermocline feedback (TH), dynamical damping (DD), and thermodynamical damping (TD), respectively. These budget analyses of the mixed-layer SST further corroborate the changes in the three key influencing components of the mean ocean state and dominant feedbacks. In general, when the first baroclinic mode (p₁) dominates in the upper-ocean responses and its amplitude is large, surface-layer responses are intensified, leading to enhanced zonal advection feedback. In contrast, when higher-order baroclinic modes (p₂ and p₃) dominate and their amplitudes are large, thermocline anomalies strengthen, corresponding to enhanced thermocline effect.
These arguments indicate how changes in mean stratification influence the strength of major ENSO feedbacks in the tropical Pacific. During P2, for example, the increased stratification strengthens both zonal advection and thermocline feedbacks, leading to increased ENSO amplitude. The stratification favors pronounced thermocline effects (reflected in increased p₂ and p₃), allowing thermocline variability to exert a strong influence on SST through the thermocline feedback. Simultaneously, surface-layer responses (indicated by p₁) are also amplified, enhancing zonal advection feedback through surface currents. The combined effect leads to strong ENSO variability during this period.
During P3, structural and amplitude shifts occur in the mean stratification and associated baroclinic modal properties. The reduced amplitude of p₁ over the western-central equatorial Pacific reflects weakened surface-layer responses, resulting in diminished zonal advection feedback. Meanwhile, thermocline feedback weakens, particularly in the eastern equatorial Pacific, where the amplitudes of p₂ and p₃ decrease. These simultaneous reductions in thermocline and surface zonal advection feedbacks collectively dampen SST variability. Furthermore, weakened thermocline variability and associated vertical advection in the eastern equatorial Pacific under continued warming also contribute to the overall decline in thermocline feedback strength. Consequently, ENSO amplitude is reduced during P3.
The changes in ENSO amplitude across the three periods align with findings from the baroclinic mode analyses. For instance, the enhanced ENSO amplitude during P2 is associated with stronger mean stratification and corresponding increases in both zonal advection and thermocline feedbacks. Conversely, the weakened ENSO amplitude during P3 results from structural shifts in mean stratification that act to reduce the efficacy of these feedbacks, especially in key regions of the eastern equatorial Pacific.
This mean stratification-induced shifts in baroclinic mode properties—both in structure and amplitude—drive changes in the dominant ENSO feedback mechanisms. This mechanistic explanation resolves a key paradox in CMIP6 simulations: ENSO amplitude declines after 2100 despite continued increases in upper-ocean mean stratification. Our findings underscore the importance of not only the magnitude but also the vertical and zonal structures of mean stratification in modulating ENSO dynamics under global warming scenarios. Note that the similarity of the BJ index in the 8CMM and ICM simulations (Fig. 2b, d) provides another evidence for using the ICM as an appropriate modeling tool for studying the physical feedbacks that drive future changes in ENSO amplitude.
Discussion
Figure 6 presents a schematic diagram summarizing the changes in wind projection coefficients of the first three baroclinic modes (p1, p2, and p3) during the three periods (P1, P2, and P3) and their relationships with the combined and individual effects of different influencing components on ENSO amplitudes. Our study establishes a mechanistic framework to resolve how tropical Pacific mean-state changes modulate ENSO under sustained warming. By deconstructing the mean state into stratification, surface current–SST, and thermocline components within an ICM forced by the 8CMM mean ocean climatologies, we isolate stratification as the dominant control on ENSO’s non-monotonic amplitude changes. The ICM successfully replicates ENSO amplitude shifts seen in the 8CMM changes: ENSO weakens (1940–1990), strengthens (2040–2090), then weakens again (2240-2290). Crucially, sensitivity experiments demonstrate that these shifts arise primarily from stratification-driven alterations in baroclinic mode responses to wind forcing, which rebalance key ENSO feedback processes.
They are simulated in various targeted experiments during the selected three periods (1940-1990 (P1), 2040-2090 (P2) and 2240-2290 (P3), respectively). a Values of p1, p2 and p3 calculated in the central equatorial Pacific during P1, P2 and P3. b The corresponding effects on ENSO amplitudes associated with three influencing components for stratification (denoted as N2), surface fields (denoted as U), and the thermocline (denoted as Te), respectively; the values within each vertical bar indicate standard deviation of SST anomalies averaged in the central equatorial Pacific, which are obtained from different experiments. E1, E2 and E3 are three control experiments, in which three components of the mean ocean state during one period are correspondingly used for the same period. Next, focusing on E1 during P1, one of its three mean components is replaced by the corresponding one in E2: E2-N2, E2-U, and E2-Te are experiments in which one component of stratification (N2), surface field (U), or the thermocline in E1 is respectively replaced by the corresponding one in E2. Then, focusing on E2: one of its three mean components is replaced by the corresponding one in E3: E3-N2, E3-U, and E3-Te are sensitivity experiments in which one component of N2, U, or Te in E2 is replaced by the corresponding one in E3. Further, for mode specification experiments, only p₁ or p₂ for N2 is replaced by the corresponding one in E3: E3-N2m1+2 is a sensitivity experiment in which the stratification parameters for mode 1 (p1) and mode 2 (p2) in E2 are both replaced by those in E3. Additionally, the parameter for individual mode 1 (p1) or mode 2 (p2) in E2 is replaced separately by that in E3: E3-N2m1 and E3-N2m2 are sensitivity experiments in which only mode 1 (p1) or mode 2 (p2) in E2 is respectively replaced by the corresponding one in E3.
These ICM-based simulations provide a quantitative explanation for the apparent paradox in which ENSO variability can diminish in a more strongly stratified ocean, and thus helps reconcile conflicting results in the literature, where increased stratification is sometimes related with either stronger or weaker ENSO variabilities, depending on relative dominances of various feedbacks associated with surface layer or thermocline-dominated ocean responses. These findings establish a paradigm for interpreting ENSO responses to climate warming, highlighting how subtle changes in the vertical density structure can fundamentally alter ENSO variability. A detailed examination of the methodological and scientific innovations is provided in Supplementary Text 4.
Nevertheless, several limitations warrant consideration. The current framework incorporates simplifications—most notably in its atmospheric representation, where surface wind stress anomalies are treated as deterministic responses to SST variability, excluding stochastic components and extratropical influences. Furthermore, our conclusions are derived from a selective subset of CMIP6 models, raising questions about generalizability across the full ensemble. A comprehensive discussion of these limitations, including the ICM’s performance and suitability considerations, is presented in Supplementary Text 5.
Looking forward, this mechanistic framework opens several promising research avenues. Future work could incorporate transient background climate states and stochastic atmospheric component to assess robustness across more realistic climate regimes55,56. Moreover, while this study focuses exclusively on ENSO modulations in the tropical Pacific, examining analogous processes in the Indian and Atlantic Oceans may offer valuable insights for understanding climate variability in these basins, representing a promising research direction that could advance understanding of global climate variability patterns and potentially guide the development of next-generation regional climate projections.
Methods
CMIP6 simulations and analysis periods
To investigate ENSO responses to global warming, we analyze CMIP6 historical and future simulations under the high-emission SSP585 scenario, following methodologies established in previous studies27. These simulations are further used to derive climatological mean oceanic fields, which are subsequently prescribed in an ICM to quantitatively assess their influences on ENSO amplitude.
We select eight CMIP6 models (Supplementary Table 1) based on their consistent projection of a distinct non-monotonic ENSO amplitude changes under sustained warming, a feature that is not widely present across the full CMIP6 ensemble. The eight CMIP6 model mean (8CMM) is characterized by three phases in terms of ENSO amplitudes: a weak period (1940–1990, P1), an enhanced period (2040–2090, P2), and a later declining period (2240–2290, P3), respectively. It should be noted that the mechanisms identified using this subset of models require validation across a broader ensemble, given the considerable intermodel spread in ENSO projections. A detailed discussion of sampling considerations is further provided in Supplementary Text 5.
The selection of these three periods (1940-1990 (P1), 2040-2090 (P2), and 2240-2290 (P3)), while consistent with prior work27, reflects key differentially evolving behaviors in both ENSO amplitude and oceanic mean state. Notably, the changes in mean stratification associated modal parameters (pn) and ENSO amplitude are not synchronous—each peaks and declines with distinct timing (Fig. 1 and Supplementary data Fig. 5). The P3 period (2240-2290), for example, represents a later phase during which ENSO amplitude has declined considerably (Fig. 1). Should an early period (say 2100–2150) be considered when stratification continues to intensify and the first baroclinic mode (p₁) peaks near 2140 before decreasing, ENSO amplitude is just seen to begin to decline under intensified stable stratification with the increased p₁ period. In this case, the qualitative relationship among these fields becomes inconsistent and even out of phase. These results suggest that the physical processes identified are robust based on the currently selected three periods, but may not be during the earlier transitional periods (say 2100–2150) when changes in stratification intensity and ENSO amplitude are asynchronous under global warming. Further analyses and modeling efforts are clearly needed to address these issues as the mean ocean state continues to evolve.
An intermediate coupled model (ICM)
We adopt an ICM to examine ENSO responses to changes in mean ocean state (Supplementary Text 1–3; Supplementary Fig. 6). The ICM is an anomaly model of intermediate complexity, which directly takes interannual anomaly fields as predictive variables from its governing equation, while mean ocean climatology is prescribed from observations or model simulations47,48. Its atmospheric component is represented by surface wind stress anomalies that are formulated by singular value decomposition (SVD) method, with anomaly coupling to the ocean. Symbolically, this coupling can be expressed as τ = ατ × f(SST), where ατ is a scalar parameter representing coupling intensity, and f denotes the spatial structure derived from SVD modes. This formulation allows ατ to modulate the strength of ocean–atmosphere coupling, offering a convenient means to tune model sensitivity. In all ICM experiments, the same value is prescribed for ατ (ατ = 1.0).
The oceanic component was developed by Keenlyside and Kleeman47 (2000); its dynamical ocean model is solved by the vertical mode decomposition method (Supplementary Text 1). An SST anomaly model is embedded into this dynamical ocean model to depict SST variability (Supplementary Text 2). In order to close the equation of SST anomalies, the temperature of subsurface waters entrained into the mixed layer (Te) needs to be determined; previously, an SVD-based statistical model was developed to parameterize interannual variability of Te in terms of sea level anomalies for SSTA simulations48,49. In this work, an analytical parameterization of Te has been developed to link Te to thermocline depth (or sea level) anomalies, as well as mean thermocline properties53 (Yuan et al. 2020; Supplementary Text 3). The ICM has been widely used for ENSO modeling studies48,49,50,51,52, including routine applications for real-time predictions since 2003 (see a summary of the model ENSO forecasts at the International Research Institute for Climate and Society (IRI) website: http://iri.columbia.edu/climate/ENSO/currentinfo/update.html; Supplementary Fig. 7).
To investigate the role of the mean ocean state in modulating ENSO under global warming, we develop a novel modeling framework based on the ICM (Supplementary Text 4), in which three mean ocean components in the tropical Pacific are explicitly incorporated into the ICM (Supplementary Text 2). This approach enables us to explicitly prescribe and systematically evaluate the effects of three mean components of the upper ocean state in the tropical Pacific. In this study, the ICM is freely run for 50 years to represent ENSO responses to different global warming conditions during the three periods. ENSO simulations from targeted ICM experiments can be compared with those from the 8CMM and can be further analyzed to quantify the effects of various components of the mean ocean state.
Vertical baroclinic mode decomposition performed using upper-ocean density
Given a density field, we perform vertical decomposition into baroclinic modes46,47. The relevant variables of the model in physical space (Equation 1.1 in Supplementary Text 1) can be transformed into modal space (Equation 1.3 in Supplementary Text 1) as a function of vertical structure; its n-th baroclinic mode is written to be \({\psi }_{n}\), which, given the background ocean density field (N2), is determined by \({(\frac{1}{{N}^{2}}{\psi }_{nz})}_{z}=-\frac{1}{{c}_{n}^{2}}{\psi }_{n}\); the parameter cn denotes the characteristic speed of Kelvin waves associated with different baroclinic modes. This equation, together with boundary conditions, can be solved as a Sturm-Liouville eigenvalue problem to produce \({\psi }_{n}\); its integral in the vertical direction is called the wind projection coefficients, \({p}_{n}=\frac{\frac{1}{{H}_{m}}{\int }_{-{H}_{m}}^{0}{\psi }_{n}{dz}}{{\int }_{-H}^{0}{\psi }_{n}^{2}}\), which govern the coupling strength between baroclinic modes and wind forcing; note that here a lowercase letter is used for pn, whereas a capital letter is used in Supplementary Text 1 (that is, Pn in Equation 1.6). These coefficients determine how wind energy is distributed among different baroclinic modes, thereby shaping the characteristics of upper-ocean responses and influencing the sensitivity of ocean responses to atmospheric wind forcing.
In this study, we compute the corresponding wind projection coefficients (pn) and phase speeds (cn) for the first ten modes (n is the mode number). Different from previous similar studies32,33,35,36,37,38,39, these modal parameters in our modeling study are calculated in a spatially varying manner so that spatial structure of climatological mean density can be adequately taken into account. Computational analyses reveal pronounced spatial changes in pn across the equatorial Pacific, with p1 having a large amplitude in the western-central equatorial Pacific; in contrast, the second and third modes (p2 and p3) tend to have large amplitudes in the eastern equatorial Pacific. As these modal parameters determine the characteristics of upper ocean responses to wind, their spatial structures control how surface wind forcing projects onto the ocean’s vertical modes, thereby shaping the amplitudes and characteristics of upper-ocean responses, with oceanic anomalies being dominantly seen at surface layers or in the thermocline. Then, changes in these modal parameters act to modulate characteristics and vertical structure of the upper-ocean dynamical responses to wind forcing.
Representation of mean ocean state in the ICM
It is well recognized that the mean ocean state in the tropical Pacific is a main factor affecting ENSO characteristics. The ICM is formulated in ways that climatological mean ocean fields can be explicitly represented (Supplementary Fig. 6), including stratification, surface velocity and SST, and thermocline properties. Correspondingly, mean ocean fields are explicitly considered to comprise the mean stratification component, the velocity_SST component, and the thermocline component, respectively.
(1) Stratification component
Upper-ocean stratification, represented by the climatological mean buoyancy frequency (N²), is used to perform vertical mode decomposition analyses. It is quantified through vertical structure \(\left({\psi }_{n}\right)\), projection coefficients (pn), and wave speeds (cn). This component governs the vertical structure of the ocean response to wind forcing, with wind projections onto baroclinic modes (pn) being particularly relevant. The relationship among these parameters can be denoted as \(\bar{{N}^{2}} \sim f\left({\psi }_{n},\,{p}_{n},\,{c}_{n}\right)\). Note that the effects of this stratification component on dynamical ocean responses are not apparent when directly examining the distributions of the stratification-related parameters and fields (\({\psi }_{n}\) and pn), but can be revealed through ICM-based simulations.
(2) Surface velocity-SST component
In the SST anomaly equation (Supplementary Text 2), mean ocean fields of surface velocity (\(\bar{U}\); \({{{\rm{its}}}}\; {{{\rm{components}}}}\; {{{\rm{taken}}}}\; {{{\rm{as}}}}\;\bar{u},\,\bar{v},\,\bar{w}\)) and SST \(\left(\overline{{SST}}\right)\) directly affect the surface-layer heat budget via zonal advection, vertical advection, Ekman transport, and other processes. This mean surface field component is symbolically denoted as \(\bar{U\,} \sim f(\bar{u},\,\bar{v},\,\bar{w},\,\bar{T})\).
(3) Thermocline component associated with Te
The thermocline component is represented through Te, which is analytically expressed in a hyperbolic tangent (tanh) function (Yuan et al., 2020; Supplementary Text 3) as follows.
in which variables with bar indicate mean fields and with primes are for interannual anomalies; \({T}_{r}\) represents the radiative-convective equilibrium temperature (i.e., the upper bound of the warm pool SST in °C): \({H}_{m}\) is the mixed layer depth; \({D}_{{tc}}\) is the thermocline depth that is defined by the depth of the maximum temperature vertical gradient; \({\bar{T}}_{{tc}}\) represents the temperature at the climatological thermocline depth; \(\bar{{h}^{*}}\) indicates the thermocline sharpness53 (Yuan et al., 2020). This component represents the modulating effects of mean thermocline properties on Te and further on SST. Thermocline properties include its depth, intensity, and sharpness, which collectively modulate the sensitivity of Te to thermocline depth anomalies. So, Te depends on not only thermocline depth anomalies, but also the mean thermocline properties (D̅tc, T̅tc, and h̅*). For convenience, the thermocline component associated with mean thermocline effects on Te is symbolically denoted as \(\bar{{T}_{e}} \sim f(\bar{{D}_{{tc}}},\,\bar{{T}_{{tc}}},\,\bar{{{h}}^{*}})\).
Examples for the distributions and changes associated with this component are shown in Supplementary Figs. 3 and 4. While the direct effects of this component on subsurface thermal anomalies are not obvious when directly examining the mean fields, they can be clearly illustrated in ICM-based simulations.
Experimental design using the ICM
Mean ocean fields and parameters are estimated from eight selected CMIP6 models spanning 1900–2300 under the SSP585 scenario. Monthly-mean fields from the 8CMM during 1900–2300 are subjected to a 51-year running mean26,27. Mean ocean states (12-month seasonally varying climatological fields and annual mean) are then separately calculated during three representative periods for 1940–1990 (historical), 2040–2090 (mid-to-late 21st century), and 2240–2290 (mid-to-late 23rd century), which are used in the ICM. For the stratification and thermocline components, we use annual-mean fields to calculate the corresponding parameters for each period in ICM simulations, including pn, D̅tc, T̅tc, and h̅*. For the surface velocity–SST component, we use seasonally varying climatological wind stress fields from the 8CMM to force the ICM’s dynamical ocean model and derive climatological mixed-layer currents (u̅, v̅, w̅); climatological SST fields (T̅) are directly taken from the 8CMM.
These mean annual and climatological fields are incorporated into the ICM in a modular manner, enabling targeted sensitivity experiments performed to isolate the effects of each component (Supplementary Fig. 6 and Table 3). The ICM has been freely run for 50 years in each case to capture ENSO responses to different mean ocean conditions. This ICM-based framework provides a physically grounded, computationally efficient alternative to full coupled GCM simulations for diagnosing the drivers of ENSO modulations. Through controlled experiments, we quantify the contributions of each mean ocean component to ENSO changes and assess the interplay between stratification and key feedback processes such as zonal advection and thermocline feedbacks. Importantly, these experiments reproduce key features of ENSO amplitude changes seen in CMIP6 simulations, namely weak amplitude in the mid-20th century, enhanced amplitude during the mid-to-late 21st century, and a later decline in the mid-to-late 23rd century, respectively.
Analyses of the Bjerknes stability index (BJ-index)
The Bjerknes stability index (BJ-index) provides a concise framework for assessing ENSO-related feedback processes controlling ENSO amplitude increase or decrease. Developed by Jin et al. (2006) within the recharge–discharge oscillator paradigm and the Zebiak–Cane (ZC) model57, the BJ-index decomposes ENSO growth into distinct positive and negative feedback processes (Supplementary Text 6).
Data availability
All data supporting the findings of this study are openly available. CMIP6 outputs: https://esgf-node.llnl.gov/projects/cmip6/. The source data for figures in the text are available at https://doi.org/10.5281/zenodo.16417338
Code availability
The code is publicly available via Zenodo at https://doi.org/10.5281/zenodo.16417445.
References
Knutson, T. R. & Manabe, S. Time-mean response over the tropical Pacific to increased CO2 in a coupled ocean–atmosphere model. J. Clim. 8, 2181–2199 (1995).
Knutson, T. R., Manabe, S. & Gu, D. Simulated ENSO in a global coupled ocean–atmosphere model: Multidecadal amplitude modulation and CO2 sensitivity. J. Clim. 10, 138–161 (1997).
Meehl, G. A. & Washington, W. M. El Niño-like climate change in a model with increased atmospheric CO2 concentrations. Nature 382, 56–60 (1996).
Meehl, G. A., Teng, H. & Branstator, G. Future changes of El Nino in two global coupled climate models. Clim. Dyn. 26, 549–566 (2006).
Merryfield, W. J. Changes to ENSO under CO2 doubling in a multimodel ensemble. J. Clim. 19, 4009–4027 (2006).
DiNezio, P. N. et al. Climate response of the equatorial Pacific to global warming. J. Clim. 22, 4873–4892 (2009).
Cai, W. et al. Increased ENSO sea surface temperature variability under four IPCC emission scenarios. Nat. Clim. Chang. 12, 228–231 (2022).
Bjerknes, J. Atmospheric teleconnections from the equatorial Pacific. Mon. Weather Rev. 97, 163–172 (1969).
Cai, W. et al. Increasing frequency of extreme El Niño events due to greenhouse warming. Nat. Clim. Change 4, 111–116 (2014).
Cai, W. et al. Changing El Niño-Southern Oscillation in a warming climate. Nat. Rev. Earth. Environ. 2, 628–644 (2021).
Carréric, A. et al. Change in strong Eastern Pacific El Niño events dynamics in the warming climate. Clim. Dyn. 54, 901 (2020).
Trenberth, K. E. & Hoar, T. J. El Nino and climate change. Geophy Res. Lett. 24, 3057–3060 (1997).
Zhang, R.-H., Rothstein, L. M. & Busalacchi, A. J. Origin of upper-ocean warming and El Niño change on decadal scales in the tropical Pacific Ocean. Nature 391, 879–883 (1998).
Zhang, R.-H., Gao, C. & Feng, L. Recent ENSO evolution and its real-time prediction challenges. Natl. Sci. Rev. 9, nwac052 (2022).
Collins, M. Understanding uncertainties in the response of ENSO to greenhouse warming. Geophy Res. Lett. 27, 3509–3513 (2000).
Fredriksen, H.-B., Berner, J., Subramanian, A. C. & Capotondi, A. How does El Niño-Southern Oscillation change under global warming-A first look at CMIP6. Geophys. Res. Lett. 47, e2020GL090640 (2020).
Lee, S. et al. On the future zonal contrasts of equatorial Pacific climate: Perspectives from Observations, Simulations, and Theories. npj Clim. Atmos. Sci. 5, 82 (2022).
Xie, S.-P. et al. Global Warming Pattern Formation: Sea Surface Temperature and Rainfall. J. Clim. 23, 966–986 (2010).
Power, S. B., Delage, F., Chung, C., Kociuba, G. & Keay, K. Robust twenty-first century projections of El Niño and related precipitation variability. Nature 502, 541–545 (2013).
van Oldenborgh, G. J., Philip, S. Y. & Collins, M. El Nino in a changing climate: a multi-model study. Ocean Sci. 1, 81–95 (2005).
Yeh, S. W. et al. El Nin ̃o in a changing climate. Nature 461, 511–514 (2009).
Eyring, V. et al. Overview of the Coupled Model Intercomparison Project Phase 6 (CMIP6) experimental design and organization. Geosci. Model Dev. 9, 1937–1958 (2016).
Zelle, H., van Oldenborgh, G. J., Burgers, G. & Dijkstra, H. El Nino and Greenhouse warming: results from ensemble simulations with the NCAR CCSM. J. Clim. 18, 4669–4683 (2005).
Zheng, X. T., Hui, C. & Yeh, S. W. Response of ENSO amplitude to global warming in CESM large ensemble: uncertainty due to internal variability. Clim. Dyn. 50, 4019–4035 (2018).
Callahan, C. W. et al. Robust decrease in El Niño/Southern Oscillation amplitude under long-term warming. Nat. Clim. Chang. 11, 752–757 (2021).
Geng, T. et al. Increased occurrences of consecutive La Niña events under global warming. Nature 619, 774–781 (2023).
Peng, Q., Xie, S.-P. & Deser, C. Collapsed upwelling projected to weaken ENSO under sustained warming beyond the twenty-first century. Nat. Clim. Change 14, 815–822 (2024).
Vecchi, G. A. & Soden, B. J. Global warming and the weakening of the tropical circulation. J. Clim. 20, 4316–4340 (2007).
Watanabe, M., Dufresne, J. L., Kosaka, Y., Mauritsen, T. & Tatebe, H. Enhanced warming constrained by past trends in equatorial Pacific sea surface temperature gradient. Nat. Clim. Change 11, 33–37 (2021).
Wengel, C. et al. Future high-resolution El Niño/Southern oscillation dynamics. Nat. Clim. Chang. 11, 758–765 (2021).
An, S.-I., Kug, J.-S., Ham, Y.-G. & Kang, I.-S. Successive modulation of ENSO to the future greenhouse warming. J. Clim. 21, 3–21 (2008).
Dewitte, B. Sensitivity of an intermediate coupled ocean–atmosphere model of the tropical Pacific to its oceanic vertical structure. J. Clim. 13, 2363–2388 (2000).
DeWitte, B., Yeh, S. W., Moon, B. K., Cibot, C. & Terray, L. Rectification of ENSO variability by interdecadal changes in the equatorial background mean state in a CGCM simulation. J. Clim. 20, 2002–2021 (2007).
Fedorov, A. V. & Philander, S. G. H. Is El Nino changing? Science 288, 1997–2002 (2000).
Moon, B. K. et al. Vertical structure variability in the equatorial Pacific before and after the Pacific climate shift of the 1970s. Geophy. Res. Lett. 31, https://doi.org/10.1029/2003GL018829 (2004).
Moon, B. K., Yeh, S. W., Dewitte, B., Jhun, J. G. & Kang, I. S. Source of low frequency modulation of ENSO amplitude in a CGCM. Clim. Dyn. 29, 101–111 (2007).
Thual, S., Dewitte, B., An, S.-I. & Ayoub, N. Sensitivity of ENSO to stratification in a recharge-discharge conceptual model. J. Clim. 4, 4331–4348 (2011).
Yeh, S. W., Dewitte, B., Yim, B.oY. oung & Noh, Y. ign Role of the upper ocean structure in the response of ENSO-like SST variability to global warming. Clim. Dyn. 35, 355–369 (2010).
Yeh, S. W. & Kirtman, B. P. ENSO amplitude changes due to climate change projections in different coupled models. J. Clim. 20, 203–217 (2007).
Cai, W. et al. Increased variability of eastern Pacific El Niño under greenhouse warming. Nature 564, 201–206 (2018).
Timmermann, A. et al. Increased El Niño frequency in a climate model forced by future greenhouse warming. Nature 393, 694–697 (1999).
Li, G. et al. Increasing ocean stratification over the past half century. Nat. Clim. Change 10, 1116–1123 (2020).
Geng, T., Cai, W., Jia, F. & Wu, L. Decreased ENSO post-2100 in response to formation of a permanent El Niño-like state under greenhouse warming. Nat. Commun. 15, 5810 (2024).
Zhang, R.-H. at al. A new intermediate coupled model for El Niño simulation and prediction. Geophys. Res. Lett. 30, 2012 (2003).
Zhang, R.-H. & Gao, C. The IOCAS intermediate coupled model (IOCAS ICM) and its real-time predictions of the 2015–2016 El Niño event. Sci. Bull. 61, 1061–1070 (2016).
McCreary, J. A linear stratified ocean model of the equatorial undercurrent. Philos. Trans. R. Soc. Lond. 298, 603–635 (1981).
Keenlyside, N. & Kleeman, R. Annual cycle of equatorial zonal currents in the pacific. J. Geophys. Res. 107, 3093 (2002).
Zhang, R.-H., Busalacchi, A. J. & DeWitt, D. G. The roles of atmospheric stochastic forcing (SF) and oceanic entrainment temperature (Te) in decadal modulation of ENSO. J. Clim. 21, 674–704 (2008).
Zhang, R.-H., Busalacchi, A. J. & Xue, Y. Decadal change in the relationship between the oceanic entrainment temperature and thermocline depth in the far western tropical Pacific. Geophy Res. Lett. 34, L23612 (2007).
Gao, C., Chen, M., Zhou, L., Feng, L. & Zhang, R.-H. The 2020-21 prolonged La Niña evolution in the tropical Pacific. Sci. China Earth Sci. 65, 2248–2266 (2022).
Chen, M., Gao, C. & Zhang, R.-H. How the central-western equatorial Pacific easterly wind in early 2022 affects the third-year La Niña occurrence. Clim. Dyn. 62, 3047–3066 (2024).
Zhang, R.-H. & Busalacchi, A. J. Interdecadal changes in properties of El Niño in an intermediate coupled model. J. Clim. 18, 1369–1380 (2005).
Yuan, X., Jin, F. & Zhang, W. A concise and effective expression relating subsurface temperature to the thermocline in the equatorial Pacific. Geophys. Res. Lett. 47, 5131–5149 (2020).
Jin, F.-F., Kim, S. T. & Bejarano, L. A coupled-stability index for ENSO. Geophys. Res. Lett. 33, L23708 (2006).
Hu, J., Zhang, R.-H. & Gao, C. A hybrid coupled ocean-atmosphere model and its simulation of ENSO and atmospheric responses. Adv. Atmos. Sci. 36, 643–657 (2019).
Dong, X., Zhang, R.-H., Hu, J., Gao, C. & Chen, M. Thermodynamic processes prolong La Niña events in a hybrid coupled ocean-atmosphere model. Clim. Dyn. 63, 1–16 (2025).
Zebiak, S. E. & Cane, M. A. A model El Niño Southern Oscillation. Monthly Weather Rev. 115, 2262–2278 (1987).
Acknowledgements
This work is supported by the National Natural Science Foundation of China (NSFC; Nos. 42030410, 42176032, 42405062, 42505030, 42506020, 42406202), Laoshan Laboratory (No. LSKJ202202402), National Key R&D Program of China (No. 2024YFC2815702), Jiangsu Innovation Research Group (JSSCTD 202346), Natural Science Foundation of Jiangsu Province (BK20250746, BK20240718), State Key Laboratory of Climate System Prediction and Risk Management (CPRM202607), Jiangsu Funding Program for Excellent Postdoctoral Talent (2024ZB391), and the China Postdoctoral Science Foundation (2141062400101, GZC20231148, 2024M761472).
Author information
Authors and Affiliations
Contributions
H.-R.Z., M.C., and C.G. designed the study. M.C., C.G., L.Z. carried out the modeling and analyses; H.Z., S.L., L.T., M.W., J.G., H.W. performed data collections and analyses. H.-R.Z., M.C., and C.G. wrote the first draft. All authors contributed to editing the manuscript.
Corresponding authors
Ethics declarations
Competing interests
The authors declare no competing interests.
Peer review
Peer review information
Nature Communications thanks the anonymous reviewer(s) for their contribution to the peer review of this work. A peer review file is available.
Additional information
Publisher’s note Springer Nature remains neutral with regard to jurisdictional claims in published maps and institutional affiliations.
Supplementary information
Rights and permissions
Open Access This article is licensed under a Creative Commons Attribution-NonCommercial-NoDerivatives 4.0 International License, which permits any non-commercial use, sharing, distribution and reproduction in any medium or format, as long as you give appropriate credit to the original author(s) and the source, provide a link to the Creative Commons licence, and indicate if you modified the licensed material. You do not have permission under this licence to share adapted material derived from this article or parts of it. The images or other third party material in this article are included in the article’s Creative Commons licence, unless indicated otherwise in a credit line to the material. If material is not included in the article’s Creative Commons licence and your intended use is not permitted by statutory regulation or exceeds the permitted use, you will need to obtain permission directly from the copyright holder. To view a copy of this licence, visit http://creativecommons.org/licenses/by-nc-nd/4.0/.
About this article
Cite this article
Zhang, RH., Chen, M., Gao, C. et al. Upper-ocean stratification changes control ENSO amplitude shift under sustained global warming. Nat Commun 17, 3126 (2026). https://doi.org/10.1038/s41467-026-69931-x
Received:
Accepted:
Published:
Version of record:
DOI: https://doi.org/10.1038/s41467-026-69931-x








