Abstract
The PREoperative therapy and Supportive Care in EarLy and Locally Advanced breast cancers (PreSCella) study, conducted within Singapore’s SingHealth network, explored how quality of life (QOL) and supportive care needs change over the course of neoadjuvant therapy (NAT) for breast cancer. Using a longitudinal design, data were collected at three points: before NAT (T1), within two months post-surgery (T2), and at the one-year follow-up (T3). Of 241 patients enrolled, 235 were analysed. Overall QOL improved over time, especially emotional well-being. FACT-B scores rose from 113.3 at T1 to 114.3 at T2 and 120.6 at T3 (T1–T3 change: +7.3 points; 95% CI 4.7–9.8; effect size 0.47). Age-specific assessment tools were used. Women under 40 completed three additional surveys—Body Image Scale (BIS), Dyadic Assessment Scale (DAS), and Female Sexual Function Index (FSFI). They reported mild body image distress (BIS: 6.3 at T1 to 7.2 at T3), stable relationships (DAS: 16.5 to 17.0), but notable declines in sexual function (13% at T1, 75% at T2, 57% at T3). Patients over 65 completed tools like the Attitude Scale and prioritised QOL over survival length. Findings underscore the evolving nature of supportive care needs and the value of age-personalised interventions throughout cancer treatment.
Similar content being viewed by others
Introduction
Breast cancer is the most common malignancy and leading cause of cancer death in women1. In Singapore, over half of breast cancer cases are diagnosed at stages II (19%) and III (12.1%), where treatment intent is cure2. The use of neoadjuvant therapy (NAT), which is the sequencing of systemic therapies pre-operatively, has become the standard of care. Originally used to impact surgery through the downstaging of inoperable tumours or to permit breast-conserving surgery (BCS), there are now consistent reports of the prognosticating value of responses to NAT and opportunities to tailor therapeutics based on tumour responses to improve breast cancer survival3,4,5,6,7. The NAT treatment strategy is employed primarily in aggressive tumour subtypes such as triple-negative, human epidermal growth factor receptor 2 (HER2)-positive (HER2 + ) or locally advanced high grade estrogen receptor (ER)-positive breast cancers.
NAT is resource-intensive and requires the coordination of pre-operative investigations—including imaging of the breast primary, cancer staging, clip placement, axillary nodal biopsy, cardiac imaging, and baseline laboratory investigations—all within a short period of time. Patients are concurrently referred to a variety of specialties, including breast surgery, medical oncology, plastic surgery, clinical genetic service, obstetrics (in cases of pregnancy associated breast cancers), reproductive medicine, and psychosocial oncology. Navigating this process can be challenging; hence, several large academic cancer centers have a NAT program in place to support the required workflows.
Quality of life (QOL) is a broad, multifaceted concept, and we expect that different domains contributing to overall QOL will be impacted in various ways over time. While many existing studies focus on isolated aspects of QOL, our goal is to capture a more comprehensive picture of how QOL evolves throughout the care journey. Patients receiving NAT are often impacted as many suffer from physical symptoms related to chemotherapy. Common toxicities, including nausea and vomiting8, fatigue9, insomnia10 and decline in cognitive function11,12 often cause significant decline in QOL. Many patients also suffer from body-image related psychological effects13 and psychiatric issues of depression and anxiety. In a meta-analysis of QOL of patients receiving NAT, influences on QOL are reflected in physical symptoms in up to 80% of patients and psychological effects in 52% of patients14. Understanding QOL outcomes in patients with breast cancer undergoing neoadjuvant treatment is critical. While much of the current literature focuses on clinical efficacy and pathological response, there is growing recognition that patient-centred outcomes, such as QOL, are equally important.
In view of the influence on QOL, newly diagnosed patients with breast cancer experience high levels of supportive care needs15,16. The types and extent of supportive care needs differ at different stages of cancer therapy. Contextual understanding of supportive care needs is crucial for effective cancer care while maintaining a patient’s optimal physical, psychological, and social function throughout their cancer treatment journey. Many cross-sectional studies in breast cancer have included patients of all ages in various points in the disease trajectory; few have followed the evolution of supportive care needs of patients with breast cancer longitudinally15,16,17,18. Evidence for treatment and supportive care is particularly lacking in distinct subgroups of patients at the extremes of age. These patients have unique needs and are at high risk for disparate outcomes19,20,21,22,23,24. Findings of supportive care needs in specific subgroups of younger or older patients with breast cancer have generally been based on Caucasian populations in Western countries, whilst less is known about ethnically diverse Asian patients. Cultural perceptions and beliefs, as well as family support and dynamics are important aspects that can influence health outcomes. A specific example of differences is the close relationship and shared decision-making between the Asian patient with breast cancer and her family members. Therefore, it is essential to evaluate the quality of life and health status of patients in Asian countries, such as Singapore, who are undergoing neoadjuvant treatment. This will allow us to better understand their needs and refine the neoadjuvant program to provide more effective supportive care to help our patients navigate the challenges of treatment. With the inherent complexities of the NAT treatment approach, the NAT program—which follows patients with breast cancer from the time of the new diagnosis, treatment with intensive systemic therapy, breast surgery, through to survivorship—forms an ideal context within which to study breast cancer supportive care needs.
The NAT program at the National Cancer Centre Singapore (NCCS), a comprehensive cancer centre within Singapore’s largest public healthcare cluster, was established in 2015. Singapore operates a clustered public healthcare system, and NCCS serves as the national referral centre for cancer care within the SingHealth cluster, which encompasses multiple hospitals and specialist centres across the city-state. The program employs a coordinated care model to streamline the complex treatment pathway for breast cancer patients. When breast surgical oncologists identify candidates for neoadjuvant therapy, patients are referred to a dedicated nurse practitioner who serves as a central coordinator. This specialist nurse facilitates referrals across multiple disciplines, coordinates necessary investigations and guides patients through the intricate treatment process. This systemic approach has significantly reduced treatment delays and improved care coordination. The program now achieves same-day genetic counselling referrals for patients requiring hereditary cancer assessment, fertility specialist consultations within 48 hours for patients of reproductive age, and cardiac evaluations within one week to assess fitness for cardiotoxic therapies. These rapid turnaround times enable prompt initiation of systemic therapy which is crucial for optimal outcomes. The program also incorporates age-specific supportive care pathways. Younger patients are automatically referred to psychology services and the Adolescent and Young Adult (AYA)/Young Women with Breast Cancer (YoWo) cancer support program which addresses the unique psychosocial needs of this population. Elderly patients receive comprehensive geriatric assessments through the geriatric oncology program to optimize treatment planning for older adults with multiple co-morbidities.
The PREoperative therapy and Supportive Care in EarLy and Locally Advanced breast cancers (PreSCella) utilises the established NAT programme within the SingHealth cluster to create a comprehensive, prospective multi‑institutional registry of patients with breast cancer treated with NAT. This study employs a mixed-methods approach, combining quantitative clinical data collection with qualitative patient-reported outcome measures to provide a holistic view of the treatment experience (Fig. 1). Clinical data captured includes detailed patient characteristics, treatment protocols administered, health status indicators, and tumour response rates. Health-related quality-of-life outcomes are assessed through validated patient reported outcome measures administered at three key timepoints: at baseline diagnosis, immediately following definitive surgery, and at one-year post‑diagnosis. Recognising that supportive care needs vary significantly across age groups, the study incorporates age-specific outcome assessments (Table 1). For younger patients under 40 years, particular attention is given to sexuality-related concerns and their impact on quality of life throughout treatment. For older patients over 65 years, the focus shifts to understanding treatment preferences and health outcome priorities that matter most to this population. This longitudinal design allows the study of how supportive care needs evolve throughout the treatment continuum from initial diagnosis through recovery with the ultimate goal of generating evidence that will inform the development of personalised, age-appropriate supportive care interventions that can be integrated into routine NAT protocols to optimise patient outcomes and wellbeing.
Adult female patients ( ≥ 21 years) scheduled to receive neoadjuvant chemotherapy or endocrine therapy were enrolled in the study. Participants completed patient-reported outcome surveys at three predefined time points during treatment. All participants completed the Functional Assessment of Cancer Therapy–Breast (FACT-B). Age-specific instruments were additionally administered: participants younger than 40 years completed the Body Image Scale, Dyadic Adjustment Scale–4 (DAS-4), and Female Sexual Function Index (FSFI), while participants older than 65 years completed health outcomes assessment tools.
Results
A total of 241 patients were recruited between June 2020 and July 2022 (Fig. 2). Six of these patients were confirmed to have stage IV disease after recruitment and were excluded from analysis. Of the 235 patients analysed, 33 (14%) were young women aged ≤40 years, 134 (57%) were aged 41-64 years, and 68 (29%) were older patients aged 65 years or over.
A total of 241 patients were recruited, 6 were excluded due to stage IV disease diagnosed afterrecruitment. Of the 235 patients, 33 (15%) were young women aged ≤40 years, 134 (57%) were aged 41-64 years and 68 (29%) were older patients aged 65 years or over. All patients enrolled were requested to complete the FACT-B questionnaire at three timepoints with subgroups of patients (young women and older women) identified to complete additional questionnaires as statedinthe study design.
Demographics and clinicopathological characteristics
The median age of the analysed population was 56 years old (Table 2). Most patients were ethnically Chinese (74%), followed by Indians (13.6%), Malay (8.9%) and others (3.4%)—concordant with Singapore’s racial distribution. One pregnant patient was included in the study, and most patients were ECOG 0-1 (99%) at the initiation of NAT. There were expected significant differences in demographic characteristics by age groups. For example, a higher percentage of older patients were widowed, retired, post-menopausal, and had more children and comorbidities. There were no distinct differences in tumour characteristics between the 3 age groups. 27% of patients had triple negative breast cancer (TNBC), 19% had HR positive, HER2-negative breast cancers, while the remaining 53% of patients had HER2+ breast cancers. The majority of patients (95%) had stage II–III breast cancers. 29% of patients had a positive family history of breast and ovarian cancer, and genetic testing was commonly carried out amongst the younger female patients, with 88% vs 16% in the entire cohort. More than 80% of patients aged ≤40 years old were offered fertility preservation.
NAT characteristics and clinical outcomes
Anthracycline-based chemotherapy regimens were more commonly received by younger patients while anthracycline-sparing chemotherapy regimens were more commonly received by older patients (Table 3). This trend was also observed amongst the subset of HER2+ patients. The majority of HER2+ patients (92%) received dual HER2 blockade (trastuzumab and pertuzumab).
Among the patients with TNBC, 82% of younger patients received anthracycline with platinum chemotherapy—higher than the corresponding 35% among older patients. Only a minority (13%) of patients with TNBC received immunotherapy because immunotherapy had not yet received local regulatory approval during the period of recruitment and treatment. One-fifth of patients did not complete their NAT, with the commonest reason being adverse events and poor tolerance of chemotherapy. As anticipated, compared with older patients, a significantly higher proportion of younger patients successfully completed NAT (88% vs 69%, p = 0.006) and demonstrated a higher pCR (57% vs 27%, p = 0.012).
Seven patients did not undergo breast surgery after NAT; two patients had disease progression, two patients declined surgery, one patient defaulted surgery, one patient passed away before surgery and the last patient was lost to follow-up (returned to their home country before surgery). Most of the young women had either BCS (30%) or a mastectomy with breast reconstruction surgery (64%), while most older patients had a mastectomy without breast reconstruction (74%).
Among the 228 patients who underwent breast surgery, 74% had their breast cancers downstaged after NAT. A total of 99 patients (43%) achieved pCR to their NAT.
FACT-B scores
The mean FACT-B total score was 113.3 at T1, 114.3 at T2 (T1 to T2 change: 1.0 points, 95% CI -1.6 to 3.5) and increased to 120.6 at T3 (T2 to T3 change: 6.3 points, 95% CI 3.7 to 8.9, effect size 0.48; T1 to T3 change: 7.3 points, 95% CI 4.7 to 9.8, effect size 0.47) (Fig. 3 and Table S1). Improvements in patients’ QOL over the entire period were mainly due to emotional well-being (2.9 points), followed by their responses to items in the breast cancer subscale (1.8 points), physical well-being (1.3 points), and functional well-being (1.0 points). There were no significant changes to social/family well-being scores over time. Between T1 and T2, there was an improvement in the emotional well-being score by 2.2 points (95% CI, 1.5–3.0). However, this was negated by a corresponding deterioration in the functional well-being score. Between T2 and T3, the functional well-being score recovered to a level higher than baseline (T1). There was also a distinct improvement in the breast cancer subscale score in this period. Results of corresponding analyses by age groups were shown in Table S2 – S4.
Mean Functional Assessment of Cancer Therapy–Breast (FACT-B) total and subscale scores over time, stratified by age group. Health-related quality of life was assessed at three time points (T1–T3). Bars represent mean scores with 95% confidence intervals. Results are shown for the overall cohort (blue) and by age group: ≤40 years (green), 41–64 years (grey), and ≥65 years (yellow). Mean FACT-B total scores increased from 113.3 at T1 to 114.3 at T2 (mean change 1.0 points; 95% CI − 1.6 to 3.5), followed by a clinically meaningful improvement to 120.6 at T3. The increase from T2 to T3 was 6.3 points (95% CI 3.7 to 8.9; effect size 0.48), with an overall improvement of 7.3 points from T1 to T3 (95% CI 4.7 to 9.8; effect size 0.47). Improvements in overall quality of life were primarily driven by gains in emotional well-being, followed by improvements in the breast cancer subscale, physical well-being, and functional well-being. Social/family well-being scores remained relatively stable across all time points. Between T1 and T2, emotional well-being improved, while functional well-being declined, resulting in minimal net change in total FACT-B scores. Between T2 and T3, functional well-being recovered to levels exceeding baseline, alongside further improvements in breast cancer-specific concerns. Similar temporal trends were observed across age groups, although absolute scores differed.
Young women: body image scale (BIS)—behavioural and body image symptoms
A total of 29 (88%) young women filled up the BIS form at T1 and at T2. Only one patient was lost to follow-up and did not fill up the form at T3. Most of the patients responded “Not at all” or “A little” to each of the 10 questions on body image issues at each assessment timepoint (Fig. 4A). The mean BIS score was 6.3 at T1, 8.4 at T2 (T1 to T2 change: 2.0, 95% CI −0.4 to 4.5) and 7.2 at T3 (T2 to T3 change: −1.1, 95% CI −3.6 to 1.3; T1 to T3 change: 0.9, 95% CI −1.6 to 3.4) (Fig. 4B and Table S5). The changes in BIS score between assessment timepoints were not statistically significant. The low level of BIS scores over time (maximum score of 30) suggested that most young women were not distressed over body image issues. However, despite average numbers being low, 25.9% at T1, 40.8% at T2 and 26.6% at T3 of young women had a BIS score of ≥10, indicating that a significant proportion of young women do experience body image difficulties.
Error bars indicate 95% confidence interval of the mean score at each assessment timepoint. Body Image Scale (BIS) responses and mean scores over time in young women ( ≤ 40 years). Body image was assessed at three time points (T1–T3) using the 10-item Body Image Scale. Twenty-nine participants (88%) completed the BIS at T1 and T2; one participant was lost to follow-up and did not complete the assessment at T3. A Stacked bar charts show the distribution of responses for each BIS item at each time point. Response categories are colour-coded as follows: Not at all (very light blue), A little (light blue), Quite a bit (medium blue), Very much (dark blue), Not applicable (white), and Did not answer (grey). Across all items and time points, most participants reported minimal body image concerns, with the majority of responses falling within the “Not at all” or “A little” categories. B Mean BIS total scores at each time point are shown with 95% confidence intervals. The mean BIS score increased from 6.3 at T1 to 8.4 at T2 (mean change 2.0 points; 95% CI − 0.4 to 4.5), followed by a reduction to 7.2 at T3 (T2 to T3 change −1.1 points; 95% CI − 3.6 to 1.3). Overall change from T1 to T3 was small and not statistically significant (mean change 0.9 points; 95% CI − 1.6 to 3.4).
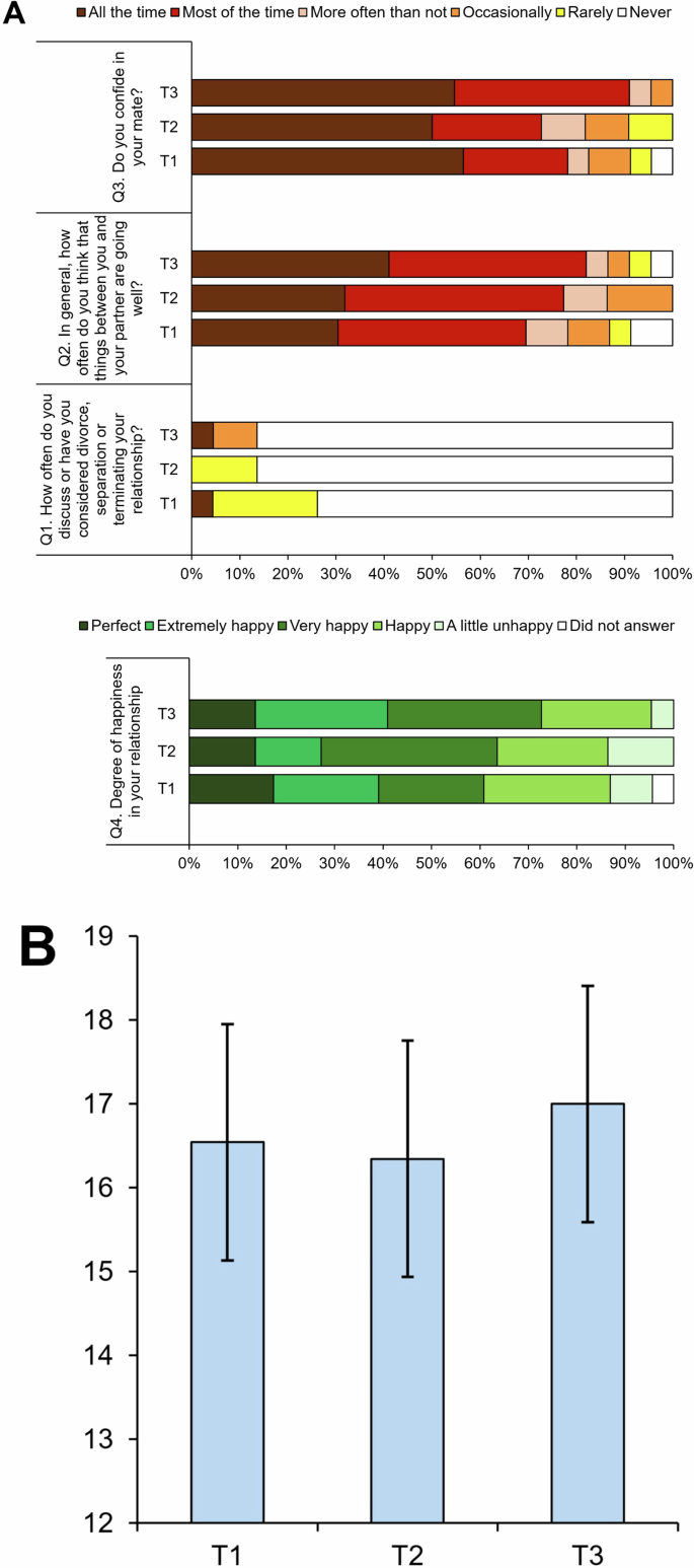
Young women: dyadic adjustment scale (DAS)—relationship with intimate partner
A total of 25 (75%) patients filled up the DAS form on at least one of the assessments timepoints (23 at T1, 22 at T2, and 22 at T3). Except for the patient lost to follow-up who did not fill up the form at T3, the remaining patients did not fill up the form at an assessment timepoint because they did not have a partner at that timepoint.
Most patients responded positively to each of the 4 questions on relationship issues at each assessment timepoint (Fig. 5A). The mean DAS score was 16.5 at T1, 16.3 at T2 (T1 to T2 change: −0.2, 95% CI −1.6 to 1.2), and 17.0 at T3 (T2 to T3 change: 0.7, 95% CI −0.7 to 2.0; T1 to T3 change: 0.5, 95% CI −0.9 to 1.8) (Fig. 5B and Table S6). The changes in DAS score between assessment timepoints were again not statistically significant. The high level of DAS scores over time (maximum score of 21) suggested that most young women patients were not distressed over relationship issues. Only 7.5–11% of these patients were potentially experiencing relationship distress over this period.
Relationship quality was assessed at three time points (T1–T3) using the DAS-4. A Stacked bar charts show the distribution of responses for each DAS-4 item at each time point. Response categories for Questions 1–3 are colour-coded as follows: All the time (dark brown), Most of the time (red), More often than not (light pink), Occasionally (orange), Rarely (yellow), and Never (white). Responses to Question 4 (degree of happiness in the relationship) are colour-coded as: Perfect (dark green), Extremely happy (green), Very happy (medium green), Happy (light green), A little unhappy (very light green), and Did not answer (white). Across all four items and time points, most participants reported positive relationship experiences, with the majority of responses clustering in the higher-frequency and positive categories. B Mean DAS-4 total scores at each time point are shown with 95% confidence intervals. The mean DAS-4 score was 16.5 at T1 and remained stable at T2 (mean 16.3; T1 to T2 change −0.2; 95% CI − 1.6 to 1.2), before increasing slightly to 17.0 at T3 (T2 to T3 change 0.7; 95% CI − 0.7 to 2.0). The overall change from T1 to T3 was small and not statistically significant (mean change 0.5; 95% CI − 0.9 to 1.8), indicating generally stable relationship satisfaction over time.
Young women: female sexual function index scoring (FSFI)—sexual functioning
A total of 29 (88%) young women patients filled up the FSFI form at T1 and at T2. Only one patient was lost to follow-up and did not fill up the form at T3. The assessment of female sexual functioning using the FSFI form was applicable only for patients who had sexual activity and attempted intercourse in the last four weeks prior to interview. The number of patients who met this criterion was eight, four and seven at T1, T2 and T3 respectively.
The mean FSFI full scale score was 29.5 at T1, 21.1 at T2 (T1 to T2 change: −8.4, 95% CI −14.6 to −2.2), and 25.4 at T3 (T2 to T3 change: 4.4, 95% CI −1.9 to 10.7; T1 to T3 change: −4.0, 95% CI −9.2 to 1.2) (Fig. 6A and Table 4). There was a reduction of scores in all FSFI domains between T1 and T2 (Fig. 6B). Except for pain, scores in all the other domains increased between T2 and T3. The change in full scale score between T1 and T2 and between T2 and T3 was mainly driven by changes of scores in the domains of satisfaction, arousal, and orgasm. In tandem with the changes in full scale score over time, the estimated percentage of patients with female sexual dysfunction increased between T1 and T2 (13% to 75%) and decreased between T2 and T3 (75% to 57%).
Mean Female Sexual Function Index (FSFI) full-scale scores at T1, T2, and T3. A The mean FSFI score decreased from T1 to T2, followed by partial recovery at T3, although scores did not fully return to baseline levels. Bars represent mean values and error bars indicate 95% confidence intervals. B Mean FSFI domain scores for desire, arousal, lubrication, orgasm, satisfaction, and pain at T1, T2, and T3. All domain scores showed a reduction from T1 to T2, with partial recovery observed at T3 across most domains. Bars represent mean values and error bars indicate 95% confidence intervals.
Older patients: attitude scale—agreement with outcome related statements
The attitude scale comprises two subscales designed to assess different aspects of health-related decision-making. Subscale 1 evaluates individuals’ preferences when faced with trade-offs between quality and quantity of life, for example, whether a person would prefer a shorter life with better health or a longer life with poorer health. Subscale 2 measures attitudes toward trade-offs between present and future health, capturing the extent to which individuals prioritize immediate well-being versus long-term health outcomes. A total of 37 (57%) older patients participated in survey questionnaires (Table 5). Half of the patients scored a total of 14 points or over (out of maximum 20 points) for subscale 1. This suggested that most patients favored QOL over quantity of life. For subscale 2, the median total score was 15 points (out of a 30-point maximum). There was no strong indication that patients were in favor of future health over their present health.
Older patients: now vs later tool—quality-of-life at three timepoints
Around half of the 37 older patients (n = 19) would rather have QOL now than 1 year later (Table 6). About three-quarters of these patients (n = 14, 74%) expected their QOL to reduce in a year’s time from now. This was higher than the corresponding 67% amongst patients who would rather have QOL a year later than now. When the timeline was extended to 5 years, a lower 27% (n = 10) would rather have QOL now than 5 years from now. Most of these patients (n = 8, 80%) expected their QOL to reduce in 5 years from now. In comparison, the corresponding percentage of patients who expected their QOL to reduce in 5 years from now was 67% amongst those who rather have QOL 5 years later than now.
Older patients: health outcome tool—prioritization of outcomes (survival, independence, symptoms)
Of all the outcomes, maintaining independence was given the highest scores by patients, followed by keeping alive, and then reducing/eliminating of pain and other symptoms (Table 7). Relative to the conventional outcome of survival prolongation, 86% of patients assigned either a higher or the same score to maintaining independence. The corresponding percentage of patients for the reducing/eliminating of pain and other symptoms were 65% and 54%, respectively.
Discussion
We present here a contemporary overview of our institutional experience half a decade after the inception of a neoadjuvant program complete with longitudinal capture of measures of quality of life with a focus on age extremes.
A review of institutional data for this study revealed a notable trend toward the increased administration of NAT for patients with breast cancer25. Notably, fertility preservation was addressed and discussed with a significant proportion of young patients, with 85% being referred to a fertility clinic. A reassuring proportion of young patients at our institution are being offered the opportunity to make informed decisions about fertility preservation. In general, there are significant barriers reported in the literature, both among physicians and patients, that hinder consistent discussions about fertility preservation. Referral rates to fertility specialists vary widely; in one study, only 10.7%26 of patients were referred to reproductive specialist, whilst another study reported 44.7%27 of breast cancer surgeons referred patients to reproductive specialists for fertility preservation counselling. For patients, common barriers include concerns about potential delays in cancer treatment and the financial cost of fertility preservation28. The rates of germline genetic testing were encouraging, with close to 90% of younger women undergoing genetic testing in our study. This is a significant change in the uptake compared to previous studies in Singapore where uptake was only about 35% about ten years ago29,30. This phenomenon likely indicates improvement in knowledge and understanding of the role of genetic testing and awareness of therapeutic implications in hereditary breast and ovarian cancer syndrome.
High compliance with the paper-based questionnaires, facilitated by a dedicated research team member, contributed to excellent completion rates at various treatment timepoints. This enabled us to follow patients longitudinally and generate robust results for assessing their overall quality of life (QOL). The mean FACT-B score indicated a generally acceptable QOL among our patients receiving NAT. Notably, the improvement in QOL over the course of treatment is encouraging, reflecting an objective “return to normalcy” after breast cancer treatment. The relatively stable FACT-B score is different from similar studies assessing QOL where FACT-B scores generally deteriorate following NAT31,32. While reassuring, the FACT-B score provides a quantitative analysis that enables us to examine results across large populations, identifying trends that can be further analysed for future research. The improvement in emotional well-being following neoadjuvant chemotherapy aligns with findings from a German study32 assessing quality of life (QOL) in patients undergoing NAT. This positive change may be linked to the clinical response of the tumour to treatment and potentially related to relief with treatment completion. While the objective approach of assessing QOL with FACT-B helps minimise bias, it does not provide a deeper understanding of the underlying reasons nor capture all the factors that may contribute to QOL. Results from qualitative interviews with patients will be presented in a follow-up publication which may provide insights into whether the perceived return to normalcy is due to shifts in expectations or actual recovery. Hopefully, with more in-depth understanding, more can be done to support patients in their recovery.
In the young women population, the mean BIS score remained low throughout the treatment course, even after breast surgery. This may be attributed to higher rates of BCS or reconstruction among younger patients. The availability of these options is crucial in addressing body image concerns, particularly for this demographic. Studies have consistently demonstrated improvement in body image with the use of BCS or reconstruction33,34,35,36. This further supports the use of a NAT approach which facilitates BCS and allows patients and surgeons time to contemplate surgical and reconstruction options.
The DAS scores were consistently positive across treatment time points, indicating that young patients maintained healthy relationships with their partners throughout their treatment journey. Despite the DAS scores indicating relatively healthy relationships, only a small number of respondents completed the FSFI scoring. This suggests that most young women might not have been sexually active or attempted intercourse in the four weeks prior to the interview. The underlying reasons for this remain unclear, but we hypothesize that the breast cancer diagnosis and physical impact of treatment-related toxicities may have played a significant role. Multiple studies over the years have demonstrated sexual dysfunction after diagnosis and treatment of breast cancer37,38,39, common factors affecting sexual health include vaginal dryness and lower perceived sexual attractiveness40. Patients with breast cancer often face significantly worse sexual health than patients suffering from other cancers37,38 attributed to treatment with chemotherapy, radiotherapy, and often prolonged endocrine therapy for patients with hormone-positive breast cancer. In our study, among those who are sexually active, 75% reported experiencing sexual dysfunction post-surgery, with over 50% continuing to face this issue one year after baseline. The high percentage of sexual dysfunction is concerning, and we suspect it might be underrepresented, given that many patients were not sexually active. Various factors could contribute to the poor scores in sexual health, necessitating further follow-up or studies to identify potentially modifiable factors in this patient group. Despite the reported low levels of sexual activity, the DAS score indicating a healthy relationship suggests that the determinants of a healthy relationship in the Asian context might not be heavily influenced by sexual factors. This is seemingly consistent with other Asian studies which showed no significant influence on a patients’ relationship with their partner, regardless of the impaired sexual functioning they experience41,42. In one study, patients reported symptoms such as vaginal dryness, painful intercourse, difficulty achieving orgasm, reduced sexual interest, and decreased satisfaction. However, 90.5% of patients indicated that their relationships with their partners were not negatively affected after completing cancer treatment, with some even reporting improvements in their marital relationships following diagnosis and treatment. This contrasts with Western studies demonstrating deterioration in relationship with patients’ partners and a deterioration in DAS score43,44. This may be related to differences in cultural values and social bonding in the Asian population; however, this remains an area warranting further research.
In older patients, the attitude scale revealed that most prioritized QOL over quantity of life. To our knowledge, this is one of the first studies to evaluate the attitudes of older patients with breast cancer toward their life goals. These patients expressed equal concern for both present and future health. In the “Now vs Later” tool, respondents were evenly split between those who preferred QOL now and those who favoured it one year later. Among those prioritizing QOL now, many anticipated a decline in their quality over the next year, which is concerning in the context of curative breast cancer treatment. This suggests a need for enhanced supportive care and better communication regarding treatment intentions for elderly patients. When the timeline was extended to five years, a larger proportion of patients favoured QOL at that point, but more individuals believed their QOL would diminish. This reflects potential concerns regarding the confidence of elderly patients in Singapore about healthy aging, even with curative treatment for their cancer. Moreover, older patients rated living independently and reducing or eliminating pain as more important outcomes than simply prolonging life, aligning with their desire for a fulfilling and healthy aging process. Introducing education on healthy aging earlier and focusing on maintaining overall health are likely vital to improving these patients’ outlooks and should be considered in cancer survivorship programmes.
The results of the survey reflect the robust delivery of supportive care to patients with curable breast cancers within the SingHealth group of hospitals and specialist centres. We recognize that the provision of seamless and multidisciplinary care is feasible primarily within the context of a comprehensive cancer centre in a large tertiary unit. This model may not be easily applicable to single oncology practices due to the significant coordination required for the care of these patient groups.
Existing studies have typically examined individual aspects of patient well-being8,9,10,11,12,13 such as sleep disturbances, fatigue, or body image concerns in isolation, and often within healthcare settings or populations that differ significantly from Singapore. In contrast, our study offers a more comprehensive assessment of psychological health in patients undergoing neoadjuvant therapy, capturing a broader spectrum of experiences within a local context. This holistic approach not only highlights unique patient needs but also helps identify critical gaps in care, offering valuable insights to enhance the design and delivery of our neoadjuvant therapy program. To our knowledge, no prior study has assessed these psychosocial dimensions as broadly or within a similar patient cohort.
This survey provides valuable insights into the priorities of patients across different age groups. We recognize specific issues identified for the extremes of age can impact individuals across all age groups. However, this study was specifically designed to focus on disturbances most prevalent within age groups. In future research, we can broaden the scope to examine how these issues affect people across all age ranges, identifying similarities and differences in their impact. The field remains expansive, and further follow-up studies could offer deeper understanding and opportunities to improve outcomes and QOL for patients undergoing neoadjuvant treatment. Sexual functioning was assessed using the FSFI, which is only applicable to participants who were sexually active and had attempted intercourse within the four weeks prior to completing the questionnaire. At each assessment time point, fewer than 10 participants met this criterion. As a result, the sample size was insufficient to allow for a meaningful analysis. Areas for future research include exploring the reasons behind the lower likelihood of achieving pCR in elderly patients, conducting qualitative analyses of QOL, and investigating the role of sexual health in maintaining healthy relationships. These findings also support the need to design more targeted supportive care services for specific patient cohorts—for example, body image counselling for patients who have undergone mastectomy, and educational workshops or courses to help patients better understand their disease and manage their long-term health.
This study showcases the strength of our NAT program while identifying key areas for further development. Enhanced support during the immediate post-operative period, where patient needs are most acute, is essential. For younger women, prioritizing body image, sexual health, and relationship dynamics is crucial, while for older women, efforts should focus on boosting confidence in their long-term health following curative breast cancer treatments.
Methods
Study design and oversight
The PreSCella study is a prospective cohort study of patients with breast cancer treated with NAT at three centers within the SingHealth cluster’s institutions. Patients completed various surveys at predefined timepoints (Fig. 1). These surveys were completed by patients using pen and paper facilitated by our study research coordinator. All patients completed the Functional Assessment of Cancer Therapy – Breast (FACT-B)45,46 which is an instrument designed to measure five domains (physical, social, emotional, functional well-being, and breast cancer subscale) of QOL in patients with breast cancer. Younger patients under 40 years old completed (i) Body Image Scale (BIS)47 which measured affective, behavioural and body image symptoms (10-item questionnaire), (ii) Dyadic Assessment Scale (DAS)48 which measures an individual’s perception of his or her relationship with an intimate partner (32-item questionnaire), and (iii) Female Sexual Function Index scoring (FSFI)49 which measures the sexual functioning of women in six different domains (desire, arousal, lubrication, orgasm, satisfaction and pain) (19-item questionnaire). Older patients over 65 years old completed three validated outcome prioritization tools (i) Attitude Scale (AS) which rates agreement with outcome related statements, (ii) Now vs Later Tool (NLT) which related to the importance of QOL at three timepoints (today vs 1 or 5-year in the future) and (iii) Health Outcome Tool (HOT) which prioritizes outcomes (survival, independence, symptoms) using a visual analog scale.
This study was conducted in accordance with the Good Clinical Practice guidelines of the International Council for Harmonisation of Technical Requirements for Pharmaceuticals for Human Use, the principles of the Declaration of Helsinki and local clinical research regulations. The protocol was approved by the SingHealth Centralized Institutional Review Board (IRB Reference Number: 2020–2042). All patients provided written informed consent.
Patients selection
Patients aged 21 and over who were diagnosed with non-metastatic breast cancers and planned for NAT at NCCS, Singapore General Hospital (SGH) and Sengkang General Hospital (SKH) were recruited into the study. Patients with bilateral breast cancers were included. For these patients, the side with the higher-stage tumour was selected for analysis. ER negative patients included patients with weak ER expression ( ≤ 10%) and progesterone receptor (PR) negative included patients with weak PR ( ≤ 10%) because of potentially limited benefit from adjuvant endocrine therapies. HER2 testing was in accordance with ASCO/CAP guidelines (updated 2018)50. Hormone receptor (HR) positive is defined as ER and/or PR positive ( > 10%).
Study procedures
Patients were treated with NAT according to local clinical practice. Clinical characteristics, treatment regimens, responses, and survival data were extracted from clinical records. All patients enrolled completed the FACT-B version 4 questionnaire at three timepoints: baseline before the start of NAT (T1), within two months post-breast surgery (T2) and a year from baseline (T3). Subgroups of patients (young women <40 years old and older women >65 years old) were identified to complete additional questionnaires as stated in study design (Table 1). These patients were also identified for longitudinal qualitative needs assessment study to investigate the evolution of supportive care needs throughout their breast cancer treatment journey. The qualitative needs assessment will be reported separately.
Sample size
We expected to recruit 120 patients into the PreSCella study annually based on the number of new patient referrals to the NAT program at SingHealth. Of the 120 patients, we anticipated a 20% dropout rate and around 100 enrolled patients would have serial measures available for longitudinal evaluation. A sample of 100 patients would provide 80% power to detect an effect size of 0.28 in the mean change score of FACT-B between two timepoints with 5% significance level. Previous research suggested that effect sizes of 0.3 to 0.5 corresponded to minimally important differences for FACT-B51.
Statistical analysis
Differences in categorical characteristics between different age groups were compared using Fisher’s exact test. For continuous characteristics, comparisons between patient groups were made using the Kruskal-Wallis test.
Each questionnaire was scored according to specific scoring guidelines. Missing values in the FACT-B and the BIS form were also imputed as indicated in their scoring guideline. The mean scores in the FACT-B, BIS, DAS, and FSFI form at each assessment timepoint were estimated based on linear mixed effect models, with time-variables included as fixed factors, patient-specific random intercepts, and an unstructured covariance matrix. Each pairwise difference in the estimated mean score between assessment timepoints was tested based on an approximate t-test, and p-values were adjusted for multiple comparisons using the Tukey-Kramer method. The mean percentage of patients with body image difficulties (BIS score ≥10), patients who were distressed partners in their relationship (DAS score <13) and patients who had female sexual dysfunction (FSFI full scale score ≤26) at each assessment timepoint were estimated based on generalized linear mixed effect models with a logit link function, time-variables as fixed factors, patient-specific random intercepts, and an unstructured covariance matrix. Study center effects were not accounted for in these models because SGH and SKH were satellite centers of NCCS. Patients who joined NAT program at these 3 sites would undergo the same treatment protocol and care under the same group of doctors; the only key difference being the venue where they received their doctor consultation and treatment.
All reported p-values were two-sided. A p-value < 0.05 was considered statistically significant. All analyses were performed using SAS version 9.4 (SAS Institute Inc., Cary, NC).
Data availability
The surveys that support the findings of this study are available from National Cancer Centre Singapore, but restrictions apply to the availability of these data, which were used under licence for the current study and so are not publicly available. The data are, however, available upon request and with the permission of the investigators.
References
Organization WH: Breast Cancer, pp https://www.who.int/news-room/fact-sheets/detail/breast-cancer, (2024).
Singapore Cancer Registry Annual Report National Registry of Diseases, pp https://www.nrdo.gov.sg/, (2022).
Masuda, N. et al. Adjuvant capecitabine for breast cancer after preoperative chemotherapy. N. Engl. J. Med. 376, 2147–2159 (2017).
von Minckwitz, G. et al. Trastuzumab emtansine for residual invasive HER2-positive breast cancer. N. Engl. J. Med. 380, 617–628 (2019).
Cortazar, P. et al. Pathological complete response and long-term clinical benefit in breast cancer: the CTNeoBC pooled analysis. Lancet 384, 164–172 (2014).
Symmans, W. F. et al. Long-term prognostic risk after neoadjuvant chemotherapy associated with residual cancer burden and breast cancer subtype. J. Clin. Oncol. 35, 1049–1060 (2017).
Tutt, A. N. J. et al. Adjuvant olaparib for patients with BRCA1- or BRCA2-mutated breast cancer. N. Engl. J. Med. 384, 2394–2405 (2021).
Jung, S. et al. The longitudinal effects of chronotype on chemotherapy-induced nausea and vomiting in patients with breast cancer receiving neoadjuvant chemotherapy. J. Psychosom. Res. 157, 110804 (2022).
Schmidt, M. E. et al. Fatigue and quality of life in breast cancer survivors: temporal courses and long-term pattern. J. Cancer Surviv 6, 11–19 (2012).
Palesh, O. G. et al. Prevalence, demographics, and psychological associations of sleep disruption in patients with cancer: university of rochester cancer center–community clinical oncology program. J. Clin. Oncol. 28, 292–298 (2010).
Hermelink, K. et al. Cognitive function during neoadjuvant chemotherapy for breast cancer: results of a prospective, multicenter, longitudinal study. Cancer 109, 1905–1913 (2007).
Lange, M. et al. Cancer-related cognitive impairment: an update on state of the art, detection, and management strategies in cancer survivors. Ann. Oncol. 30, 1925–1940 (2019).
Vieira Carvalho, A. et al. Assessment of quality of life, pain, depression, and body-image in breast cancer patients in neoadjuvant therapy. Psychol. Health Med. 30, 325–340 (2025).
Zhao, Y. et al. Quality of life in patients with breast cancer with neoadjuvant chemotherapy: a systematic review. BMJ Open 12, e061967 (2022).
Ng, R. et al. Unmet psychosocial needs among cancer patients undergoing ambulatory care in Singapore. Support Care Cancer 20, 1049–1056 (2012).
Liao, M. N. et al. Changes and predictors of unmet supportive care needs in Taiwanese women with newly diagnosed breast cancer. Oncol. Nurs. Forum 39, E380–E389 (2012).
von Heymann-Horan, A. B. et al. Unmet needs of women with breast cancer during and after primary treatment: a prospective study in Denmark. Acta Oncol. 52, 382–390 (2013).
Perez-Fortis, A. et al. Course and predictors of supportive care needs among Mexican breast cancer patients: A longitudinal study. Psychooncology 27, 2132–2140 (2018).
Freedman, R. A. & Partridge, A. H. Emerging data and current challenges for young, old, obese, or male patients with breast cancer. Clin. Cancer Res. 23, 2647–2654 (2017).
Shachar, S. S., Hurria, A. & Muss, H. B. Breast cancer in women older than 80 years. J. Oncol. Pr. 12, 123–132 (2016).
Biganzoli, L. et al. Management of elderly patients with breast cancer: updated recommendations of the International Society of Geriatric Oncology (SIOG) and European Society of Breast Cancer Specialists (EUSOMA). Lancet Oncol. 13, e148–e160 (2012).
Scotte, F. et al. Addressing the quality of life needs of older patients with cancer: a SIOG consensus paper and practical guide. Ann. Oncol. 29, 1718–1726 (2018).
Tjong, M. C. et al. The perceptions and expectations of older women in the establishment of the Senior Women’s Breast Cancer Clinic (SWBCC): a needs assessment study. J. Cancer Educ. 32, 850–857 (2017).
Celis ESPD, L.iD. et al. Patient-defined goals and preferences among older adults with cancer starting chemotherapy (CT). J. Clin. Oncol. 36, 10009–10009 (2018).
Wong, F. Y. et al. Advancing breast cancer research through real-world data from the Singapore Joint Breast Cancer Registry. ESMO Real World Data and Digital. Oncology 9, 100159 (2025).
Korkidakis, A. et al. Patterns of Referral for Fertility Preservation Among Female Adolescents and Young Adults with Breast Cancer: A Population-Based Study. J. Adolesc. Young. Adult Oncol. 8, 197–204 (2019).
Yuan, X. et al. Fertility preservation in young breast cancer patients: a nationwide survey on knowledge, attitudes, and practices among breast surgical healthcare providers in China. Breast 81, 104426 (2025).
Hong, Y. H. et al. Fertility Preservation in Young Women With Breast Cancer: A Review. J. Breast Cancer 26, 221–242 (2023).
Li, S. T. et al. Impact of subsidies on cancer genetic testing uptake in Singapore. J. Med Genet 54, 254–259 (2017).
Chieng, W. S. & Lee, S. C. Discrepancy between initial high expression of interest in clinical cancer genetic testing and actual low uptake in an Asian population. Genet. Test. Mol. Biomark. 16, 785–793 (2012).
Okuyama, H. et al. QOL evaluation of nab-paclitaxel and docetaxel for early breast cancer. Eur. J. Breast Health 14, 194–198 (2018).
Pelzer, F. et al. Fatigue and quality of life during neoadjuvant chemotherapy of early breast cancer: a prospective multicenter cohort study. Breast Cancer 31, 124–134 (2024).
Yilmazer, N. et al. A comparison of body image, self-esteem and social support in total mastectomy and breast-conserving therapy in Turkish women. Support Care Cancer 2, 238–241 (1994).
Moyer, A. Psychosocial outcomes of breast-conserving surgery versus mastectomy: a meta-analytic review. Health Psychol. 16, 284–298 (1997).
Khang, D., Rim, H. D. & Woo, J. The Korean version of the body image scale-reliability and validity in a sample of breast cancer patients. Psychiatry Investig. 10, 26–33 (2013).
Teo, I. et al. Body image and quality of life of breast cancer patients: influence of timing and stage of breast reconstruction. Psychooncology 25, 1106–1112 (2016).
Oberguggenberger, A. et al. Self-reported sexual health: Breast cancer survivors compared to women from the general population–an observational study. BMC Cancer 17, 599 (2017).
Vrancken Peeters NJMC, V. looswijkC. et al. Sexual quality of life of adolescents and young adult breast cancer survivors. ESMO Open 9, 102234 (2024).
Gan, L. et al. Investigation on sexual function in young breast cancer patients during endocrine therapy: a latent class analysis. Front. Med. 10, 1218369 (2023).
Burwell, S. R. et al. Sexual problems in younger women after breast cancer surgery. J. Clin. Oncol. 24, 2815–2821 (2006).
Chow K. M., Chan C. W. H., Law B. M. H.: Perceptions of Chinese patients treated for gynaecological cancer about sexual health and sexual information provided by healthcare professionals: a qualitative study. Cancers. 13 (2021).
Molassiotis, A. et al. Life after cancer: adaptation issues faced by Chinese gynaecological cancer survivors in Hong Kong. Psychooncology 11, 114–123 (2002).
Krychman, M. & Millheiser, L. S. Sexual health issues in women with cancer. J. Sex. Med 10 Suppl 1, 5–15 (2013).
Fischer, O. J., Marguerie, M. & Brotto, L. A. Sexual function, quality of life, and experiences of women with ovarian cancer: a mixed-methods study. Sex. Med. 7, 530–539 (2019).
Hahn, E. A. et al. Validation of the functional assessment of cancer therapy-breast (FACT-B) quality of life instrument. J. Clin. Oncol. 33, e17753–e17753 (2015).
Ng, R. et al. Measurement properties of the English and Chinese versions of the Functional Assessment of Cancer Therapy-Breast (FACT-B) in Asian breast cancer patients. Breast Cancer Res. Treat. 131, 619–625 (2012).
Hopwood, P. et al. A body image scale for use with cancer patients. Eur. J. Cancer 37, 189–197 (2001).
Sabourin, S., Valois, P. & Lussier, Y. Development and validation of a brief version of the dyadic adjustment scale with a nonparametric item analysis model. Psychol. Assess. 17, 15–27 (2005).
Rosen, R. et al. The Female Sexual Function Index (FSFI): a multidimensional self-report instrument for the assessment of female sexual function. J. Sex. Marital Ther. 26, 191–208 (2000).
Wolff, A. C. et al. Human Epidermal Growth Factor Receptor 2 Testing in Breast Cancer: American Society of Clinical Oncology/College of American Pathologists Clinical Practice Guideline Focused Update. J. Clin. Oncol. 36, 2105–2122 (2018).
Eton, D. T. et al. A combination of distribution- and anchor-based approaches determined minimally important differences (MIDs) for four endpoints in a breast cancer scale. J. Clin. Epidemiol. 57, 898–910 (2004).
Acknowledgements
This work was supported by Singapore Cancer Society Cancer Research Grant (Grant Reference Number: SCS-GRA-2019-00051) and the SingHealth Duke-NUS Academic Medicine / Academic Clinical Programmes-Designated Philanthropic Fund Award (08/FY22022/EX/06-A47).
Author information
Authors and Affiliations
Contributions
H.Y.L, W.S.O and T.J.Y.T wrote the main manuscript text and prepared all figures and tables. W.S.O. interpreted and did statistical analysis of dataJ.M, Z.Z., S.Y.T., Y.S.Y., J.J.C., R.S.Y.C.T., W.M.T., E.L., H.S., S.Y.B., L.T.S., W.Y.C., R.D., M.W, B.K.T.T, F.Y.W., K.M.V.T., T.J.T acquired patients for analysisJ.Y.T.T, G.M.J.Y., W.L.G., R.K., T.J.T. contributed to conception and design of the studyAll authors reviewed the manuscript, approved the submitted versionAll authors agreed to be personally accountable for the author's own contributions and to ensure that questions related to the accuracy or integrity of any part of the work, even ones in which the author was not personally involved, are appropriately investigated, resolved, and the resolution documented in the literature.
Corresponding author
Ethics declarations
Competing interests
The authors declare no competing interests.
Additional information
Publisher’s note Springer Nature remains neutral with regard to jurisdictional claims in published maps and institutional affiliations.
Supplementary information
Rights and permissions
Open Access This article is licensed under a Creative Commons Attribution-NonCommercial-NoDerivatives 4.0 International License, which permits any non-commercial use, sharing, distribution and reproduction in any medium or format, as long as you give appropriate credit to the original author(s) and the source, provide a link to the Creative Commons licence, and indicate if you modified the licensed material. You do not have permission under this licence to share adapted material derived from this article or parts of it. The images or other third party material in this article are included in the article’s Creative Commons licence, unless indicated otherwise in a credit line to the material. If material is not included in the article’s Creative Commons licence and your intended use is not permitted by statutory regulation or exceeds the permitted use, you will need to obtain permission directly from the copyright holder. To view a copy of this licence, visit http://creativecommons.org/licenses/by-nc-nd/4.0/.
About this article
Cite this article
Lee, H.Y., Ong, W.S., Tan, J.Y.T. et al. Outcomes of a prospective cohort study of PREoperative therapy and supportive care in early & locally advanced breast cancers—PreSCella study. npj Breast Cancer 12, 32 (2026). https://doi.org/10.1038/s41523-026-00898-0
Received:
Accepted:
Published:
Version of record:
DOI: https://doi.org/10.1038/s41523-026-00898-0







