Abstract
Infection of highly pathogenic avian influenza (HPAI) H5N1 clade 2.3.4.4b in dairy cows causes severe mastitis and milk production losses. Whether cows can develop protective immunity is unclear. Here we infected three lactating cows with HPAI H5N1 genotype B3.13 via the hindquarters of the udder to mimic intra-mammary infection. Inoculated cows displayed clinical responses consistent with affected dairy herds in the United States including virus shedding almost exclusively in inoculated hindquarters that peaked between Days 2–4 post inoculation and gradually declined by Day 21. Histologically, peak virus shedding in milk corresponded with severe acute necrotic mastitis in the inoculated hindquarters but not in the uninoculated forequarters. Two cows were reinfected with HPAI H5N1 virus at unaffected forequarters following resolution of infection. Secondary inoculation did not result in clinical manifestations or virus shedding in milk. Virus-neutralizing antibodies were detected at Day 14 post inoculation in milk with higher titres observed in the inoculated hindquarters relative to the forequarters. We also detected HPAI H5N1 viral RNA in air samples from animal rooms during routine husbandry activity. These data indicate that primary infection via intra-mammary inoculation can generate protective immunity against bovine HPAI H5N1 virus in dairy cows.
Similar content being viewed by others
Main
In 2021, an incursion of clade 2.3.4.4b highly pathogenic avian influenza (HPAI) A(H5N1) viruses into North America was detected in wild birds1. Clade 2.3.4.4b A(H5N1) spread rapidly causing millions of deaths in domestic poultry and wild birds2. The reassortment with North American low pathogenicity viruses (LPAI) resulted in the emergence of diverse genotypes3. Moreover, an unprecedented number of HPAI infections have been reported in terrestrial and marine mammals, often with mammalian adaptation signatures and neurotropic infection4. Frequent HPAI infection of mammals4,5 raises a concern that viral adaptions will lead to increased infectivity and transmissibility between humans, which could potentially trigger the next pandemic.
In 2024, HPAI H5N1 infection was detected in dairy cows in Texas following an outbreak in which infected cows experienced dramatic reductions in milk production6,7. Since then, outbreaks have been confirmed in at least 986 dairy herds in the United States; this is probably an underestimate due to limited testing in many states (https://www.cdc.gov/bird-flu/index.html). Genetic analysis of dairy cow HPAI isolates showed that the genotype of the virus, B3.13, consists of PB2, PB1, NP and NS gene segments from North American lineage LPAI viruses and that the virus isolates sequenced from all dairy herds so far descended from a single common ancestor, suggesting a single spillover event into cattle8,9. Furthermore, molecular clock analyses suggest that an initial spillover probably occurred between November 2023 and January 20249. There have been at least 20 human cases due to exposure to infected cattle; however, cattle-to-human transmission routes remain unresolved but could involve airborne, fomite, ingestive or contact exposure (https://www.cdc.gov/bird-flu/index.html). Cow-to-cow transmission has been attributed to contaminated milking equipment and movement of infected cows from herd to herd, but other routes of transmission have not been ruled out. Dairy cattle isolates characterized so far maintain a preference for α2,3 sialic acid10, which is found abundantly in cow mammary glands, exhibit comparable virulence in mice and ferrets compared to other strains within the B3.13 genotype11, and recent studies reported that a viral isolate from a conjunctival swab of an infected dairy worker is able to spread via airborne droplet transmission in a ferret model12,13.
Recent experimental infection of lactating dairy cows with a bovine H5N1 isolate showed that intra-mammary inoculation causes severe mastitis and milk production losses that mimic what has been reported in naturally infected herds14,15. Infectious virus is detected at high levels in milk 1–2 days after inoculation and viral RNA detection can persist for several weeks14,15. Rebound in milk production appears to be influenced by the initial infectious dose and dependent on the number of quarters inoculated. Systemic spread of the virus and high viral shedding in other samples, such as nasal discharge, saliva, faeces or urine, was not evident. Respiratory infection of calves resulted in only minor disease with low levels of viral shedding. Infected cows seroconverted with detectable anti-influenza neutralizing and H5 anti-hemagglutinin antibodies, indicating the possibility of protective immunity generated following infection. However, rechallenge studies with homologous or heterologous strains of HPAI in previously infected dairy cattle have not been reported. This remains a critical question surrounding the ongoing risk of HPAI to both naive dairy herds and those that have experienced HPAI infection. Here we experimentally reproduce localized H5N1 clade 2.3.3.4b infection and disease in lactating dairy cows to determine the extent to which natural immunity confers protection against disease and reinfection.
Results
Clinical observations
Three 6-year-old late-lactation cows (>300 days in milk) were acclimated to Contaminant Level 3 agriculture rooms before inoculation (Figs. 1 and 2a). Cows were inoculated with 104 tissue culture infectious doses (TCID50) of A/dairy cattle/Texas/24-008749-002/2024 (bovine H5N1 virus) into each of the hindquarters of the udder via the teat canal. Milk yield dropped drastically (>50%) beginning at 2 days post inoculation (DPI) reaching its lowest levels at 4 DPI. By 15 DPI, milk recovered to ~50% relative to Day 0 and remained consistently at this level throughout the remainder of the study (Fig. 2a). Clinical mastitis was apparent in all cows by 3 DPI, including changes in hindquarter milk quality such as colour and consistency (thickened and yellow) and visibly abnormal or detectably painful udder; milk quality in the uninoculated forequarters was not affected (Fig. 2b). All cows had a persistent fever beginning at 2 DPI and resolving by 5 DPI (Fig. 2c). All cows were visually depressed within 48 h of challenge corresponding with the onset of pyrexia and anorexia. Cows were first positive for California mastitis test (CMT) in the hindquarters at 3 DPI and remained positive throughout the study, except for one cow that was temporarily negative between 25 and 28 DPI (Fig. 2d). Cow #11 developed severe mastitis in the hindquarters at 7 DPI, characterized by red-brown discoloured and clumped milk and was treated with Spectramast LC. Consistent with the CMT, qualitative observation of the milk leucocyte pellet following centrifugation of whole milk revealed a marked increase in leucocytes in milk from hindquarters but not from forequarters relative to 0 DPI. Milk leucocyte pellets were visually equivalent by 28 DPI. All cows were observed eating at 3 DPI, and feed consumption noticeably increased by 5 DPI. Temperatures and attitude (depression) scores returned to normal between 5 and 8 DPI (Supplementary Table 1). Visible differences in milk quality between hind and forequarters were decreased by 7 DPI and was indistinguishable by 21 DPI.
a, Three late-lactation cows (>300 days in milk) were housed in VIDO Containment Level 3 large animal facility and acclimated for 14 days. At Day 0 (D0) all 3 cows were challenged with 104 TCID50 of bovine H5N1 virus in 1 ml volume inoculated into the teat canal of each hindquarter (b). Blood and nasal secretions, urine and faeces were taken at regular intervals as indicated. Foremilk was collected daily during the morning milking from each of the four quarters. D4 represented peak virus shedding in milk, at which time one cow was euthanized to determine viral tissue distribution and to perform gross and histological examination of tissues. On D31 post primary inoculation, the remaining two cows were inoculated with the same dose into the previously unaffected forequarters. At 10 days post secondary inoculation (DPSI), cows were euthanized and tissues collected for gross and histological examination. c, Dairy cow, during the acclimation period before infection, being prepared for milking using a portable mechanical milker in the dedicated milking room at the VIDO CL3 large animal facility. d, Air samplers were strategically positioned at three distinct sites in the CL3 large animal rooms to simulate farm activities with potential risk of aerosolization and transmission to agricultural workers. Air sampling was conducted during morning milking of the cows which occurred in the milking room (Site 3), during power washing of the living quarters (Site 2), and in the living quarters in the evening (Site 1) to capture bioaerosols generated during these activities. Filter eluent was used to extract RNA and perform RT–qPCR to detect bovine H5N1 viral RNA.
a, Cows were milked twice daily. Total milk yield (kg) per day is shown for each cow (#4, 6, 11) during the acclimation period, following bovine H5N1 virus inoculation into the hindquarters, and following re-exposure (DPSI) by inoculation into the forequarters. b, Top: representative milk sample from the hindquarter and forequarter following primary inoculation of bovine H5N1 virus into the hindquarters. Hindquarter milk appeared thickened and yellow in contrast to the normal consistency and colour of milk collected from the forequarters. Middle: representative milk sample collected from each quarter illustrating differences in colour and consistency of hindquarter milk and forequarter milk. Bottom: representative image of the CMT performed on the samples shown in the middle panel. c, Daily rectal temperatures from each cow. d, CMT results shown for select timepoints in the study. The four squares represent each individual quarter of a cow (forequarters, top row; hindquarters, bottom row). FL, forequarter left; FR, forequarter right; HL, hindquarter left; HR, hindquarter right.
At 31 DPI, the cows were re-exposed to A/dairy cattle/Texas/24-008749-002/2024 strain by inoculating the previously uninoculated forequarters with 104 TCID50 of bovine H5N1 virus into each of the forequarters of the udder via the teat canal. No observable clinical responses or changes in daily milk yield, quality, milk leucocyte pellet or CMT reactivity in the forequarters was apparent following re-exposure (Fig. 2a–d), suggesting that natural immunity conferred protection against disease.
Viral tissue distribution and histopathology following primary infection
At 4 DPI, Cow #6 was euthanized to examine disease pathology. The left hindquarter mammary tissue appeared grossly mildly hyperaemic compared with the other quarters (Extended Data Fig. 1). Milk in the forequarters had a grossly normal appearance, whereas milk in the hindquarters was thickened and discoloured. Mammary tissue was not visually or tactilely different between quarters. All other major organs, including the lungs, were grossly normal. Viral RNA was abundantly detected in the hindquarters (threshold cycle (Ct) < 12) in contrast to the forequarters (Ct > 36) (Extended Data Table 1). Viral RNA was detected in the inguinal/supra-mammary lymph node (Ct = 24.9), spleen (Ct = 32.3), liver (Ct = 35.9) and mesenteric lymph node (Ct = 36.6) but undetected in the mediastinal lymph node, lung and kidney.
Histologically, the inoculated mammary glands were affected by severe acute necrotic mastitis at 4 DPI (Fig. 3). The alveoli were filled with proteinaceous materials, mixed with fat droplets. Frequently, the alveoli epithelial cells slough into the lumen. The sloughed cells were rounded, frequently with increased eosinophilic cytoplasm and nuclear debris. The sloughed cells in the alveoli were strongly positive on immunohistochemistry (IHC), as well as most of the alveolar epithelial cells (Fig. 4a). There were small numbers of neutrophils in some alveoli and in the stroma. On the sections examined histologically, ~90% or more of the areas were affected. In addition, there was attenuation of the epithelial cells of the teat cistern and moderate infiltration of lymphocytes and plasma cells under the epithelium, with stromal oedema. IHC positivity was also noted in the epithelial cells of the teat cistern (Fig. 4a).
Cow #6 was euthanized at 4 days post inoculation. Representative H&E staining is shown for the teat cistern and mammary alveoli for each quarter, including an intralobular duct from the forequarter and hindquarter. Inoculated hindquarters (HR, HL) show severe acute necrotic mastitis with alveoli filled with proteinaceous material mixed with fat droplets. Images were captured at ×200 magnification, insets are digital magnifications of the boxed area. Cow schematic illustrating anatomical location of each quarter of the udder; mammary gland schematic shows tissue sampled for histological examination. Select figure elements were generated using BioRender.com.
a, Cow #6 was euthanized at 4 days post inoculation. Representative IHC staining (dark brown colour) for influenza A in the teat cistern and mammary alveoli. Cytoplasmic staining for influenza A indicated by black arrows. Sloughed cells in the mammary alveoli of the left hindquarter showing positive staining. Images were captured at ×200 magnification, insets are digital magnifications of the boxed area. b,d, Virus detection in milk by RT–qPCR. Each sample was tested in duplicate, with the mean Ct value converted to TCID50 equivalent per ml (represented by each data point) by interpolating from a standard curve generated by downtitrating bovine H5N1 virus in milk. c,e, Infectious virus titres in milk. Each data point represents the TCID50 value calculated using the Spearman and Karber algorithm. Cow schematic generated using BioRender.com.
Virus shedding in milk
Foremilk was collected daily from each quarter of the udder to measure viral RNA (Fig. 4b,d); select timepoints were used to confirm recovery of infectious virus (Fig. 4c,e). In the 2 cows maintained for secondary challenge, viral RNA in the inoculated hindquarters was detected at 1 DPI, peaked at 2–4 DPI and gradually declined to 103 TCID50 equivalent per ml by 20–21 DPI. Beyond this timepoint, the hindquarters remained quantitative PCR with reverse transcription (RT–qPCR) positive for the remainder of the study. A 102 TCID50 equivalent per ml was set as the limit of detection on the basis of our bovine H5N1 virus titration in milk. Cow #11 at 0 DPI appears to have a positive value (exact value after interpolation is 163 TCID50 equivalent per ml); however, since this sample was collected before H5N1 inoculation, it was deemed negative. By contrast, virus in the uninoculated forequarters for Cow #11 was positive by 2–4 DPI with TCID50 equivalent per ml levels significantly lower relative to the hindquarters but overall remained near or slightly above the limit of detection for both cows. Infectious virus was recovered from the milk hindquarters at 3, 5 and 7 DPI, with peak titres reaching >108 TCID50 ml−1. In contrast, low titres of infectious virus (<102 TCID50 ml−1) were recovered from the forequarters at only one timepoint and in only one quarter for each cow. By 10 DPI, no infectious virus was recovered. Viral RNA was not detected in faeces, but low levels were detected in blood, nasal secretions and urine (Ct > 33) (Supplementary Table 2).
At 31 DPI, bovine H5N1 virus was inoculated into the previously unaffected forequarters. No infectious virus was recovered at 3, 5, 7 and 10 days post secondary inoculation (DPSI; Fig. 4c,e), consistent with the RT–qPCR results showing no significant change in viral RNA detection (Fig. 4b,d). Taken together, this suggests that infection-induced immunity provided complete protection from virus replication and shedding.
Histopathology following secondary exposure
At 10 DPSI, tissues were collected to examine disease pathology. Histologically, no active cellular damage was noted in any of the mammary quarters in two cows, in any of the sections examined (Extended Data Fig. 2). Mild changes indicative of healing were seen occasionally, such as multifocal lymphoplasmacytic to histiocytic inflammation in the stroma of the gland and squamous metaplasia of the epithelium of the teat cistern (Fig. 5). Viral RNA was detected (Ct > 28) for each of the four quarters of the udder, lymph nodes, lung, liver, spleen, kidney and bladder (Extended Data Table 1). These data further confirm that infection-induced immunity confers protection in the udder with neither pathological evidence of mastitis nor indication of virus replication or shedding.
Cow #4 and #11 were euthanized at 10 days post secondary inoculation (Day 41 post primary inoculation). Representative H&E staining of the teat cistern is shown for the hindquarters of both cows. Representative H&E images of the mammary alveoli from the hindquarters are pictured, showing multifocal lymphoplasmacytic to histiocytic inflammation in the stroma (black arrows). Cow #11 teat cistern shows squamous metaplasia of the epithelium (black star). Images were captured at ×200 magnification, insets are digital magnifications of the boxed area.
Systemic and local antibody responses
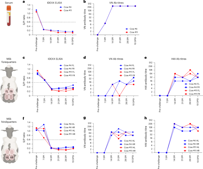
ELISA for NP-specific milk and serum antibodies revealed that both cows seroconverted at 7 DPI, with no difference at 14, 21 and 28 DPI and at 10 DPSI (Fig. 6a). As the assay does not discriminate between antibody isotypes, these data probably represent an early IgM response. In the udder, milk from the inoculated hindquarters and uninoculated forequarters was deemed positive at 14 DPI and remained positive throughout the study (Fig. 6c,f).
a,c,f, NP-reactive antibodies in serum (a) and milk stripped from individual quarters (c,f) were measured using the IDEXX Influenza A Ab test; S/P ratios < 0.6 were deemed positive. Each data point represents the calculated S/P ratio. Virus-neutralizing (VN) antibody titres in serum (b) and milk stripped from individual quarters (d,g) were quantified using the microneutralization assay. Each data point represents the highest dilution of serum or milk that protected cells from CPE in at least 2 out of 4 replicates. Haemagglutinin inhibition (HAI) antibody titres were measured using the haemagglutination assay for milk stripped from individual quarters (e,h). Each data point represents the reciprocal of the last dilution of milk with complete haemagglutination inhibition, performed in duplicate.
Virus-neutralizing (VN) antibody titres in serum were first detected at 7 DPI and plateaued by 14 DPI (Fig. 6b). Re-exposure to bovine H5N1 virus did not boost serum VN antibody titres. Milk VN antibodies in the hindquarters were first detected at 14 DPI and remained in the range of 1:40–1:160 throughout the study (Fig. 6d,g). By contrast, VN antibody titres in the uninoculated forequarters were not consistently detected in both quarters until 21 DPI (Cow #4) or 28 DPI (Cow #11). Re-exposure did not boost milk VN antibody titres. However, VN antibody titres were greater in the hindquarters relative to forequarters at 28 DPI (P = 0.03).
To define the capacity of the VN antibody titres measured in milk to neutralize doses more reflective of that which could be introduced into the teat canal via contaminated milking equipment, we performed microneutralization assays with milk from the forequarters collected at 0 and 28 DPI using 103 to 106 TCID50 of bovine H5N1 virus; these quarters had the lowest VN antibody titres yet showed complete protection against reinfection. As expected, 0 DPI milk did not neutralize bovine H5N1 virus at any of the above doses (Extended Data Table 3). By contrast, 28 DPI forequarter milk neutralized bovine H5N1 virus up to 106 TCID50, except for Cow #4 right forequarter milk which neutralized up to 105 TCID50.
Milk haemagglutination inhibition (HAI) antibody titres (Fig. 6e,h) from the inoculated hindquarters peaked at 14 DPI (1:128–1:256). By contrast, HAI antibody titres were overall lower in the uninoculated forequarters (1:16–1:64). Re-exposure did not boost HAI antibody titres. HAI antibody titres were greater (P = 0.057) in the hindquarters relative to the forequarters only at 10 DPSI. Collectively, intra-mammary H5N1 infection-induced immunity generates protective virus-neutralizing antibodies with the capacity to neutralize up to 106 TCID50 of virus.
Air sampling
Air samplers were strategically positioned in the animal rooms (Fig. 1d). Viral RNA was detected by RT–qPCR in air samples collected during morning milking, power washing the living quarters, and routine animal activity at 2, 3 and 4 DPI (Extended Data Table 2). Thus, routine husbandry activities involving H5N1-infected cows can generate bioaerosols containing viral RNA. These data may be an underestimate relative to a true agricultural environment, given that this air sampling was performed in CL3 large animal zones for which industrial ventilation results in more than 15 air exchanges per hour.
Discussion
We describe the experimental reinfection of lactating cows with bovine H5N1 virus. Using an infectious dose 1–2 log10 lower than those of previous studies14,15, our primary inoculation with bovine H5N1 virus into both hindquarters reproduced clinical signs, clinical mastitis and milk production losses consistent with those observed in US dairy cows7. Daily milk production rebounded to slightly over 50% relative to the pre-inoculation levels consistent with a previous study15 but not with ref. 14, in which most cows failed to produce milk after challenge. Bulk milk production, and not individual milk production per quarter, was measured as specialized equipment to measure the latter was not available; manually milking was not considered feasible in high biocontainment for several reasons, most importantly the potential increase in dispersing virus-containing milk droplets into the environment resulting in increased risk of exposure to personnel. Furthermore, manually milking and additional handling of infected teats increases the risk of cross contaminating the uninoculated teats, which could have compromised the study design. Clinical responses in cows were consistent with those observed in ref. 15, which self-resolved with 7 days; by contrast, some cows in the ref. 14 study reached humane intervention endpoints. Despite using a lower infectious dose, virus titres in milk reached levels equivalent to cows inoculated with higher doses. Moreover, a lower infectious dose did not change the duration of viral shedding, as measured by infectious virus recovery or viral RNA. Peak virus shedding in milk was associated with high viral RNA in the tissue of inoculated hindquarters, negative in the tissue of uninoculated forequarters, and uniquely identified in spleen and liver (Extended Data Table 1). Low-level, short-lived viraemia has been suggested but not conclusively demonstrated; detection of H5N1 virus dissemination to supra-mammary lymph node (potentially driven by lymphatic drainage) and spleen in our study supports this hypothesis but warrants further investigation. It remains to be determined what the lowest infectious dose is that can cause disease, but this study advances this understanding by refining the animal model demonstrating a more relevant challenge dose. Because our study followed these cows for an additional 20 days, compared to the previous studies, we observed signs indicative of healing in the teat cistern and mammary glands of hindquarters at 41 DPI. Although infectious virus was not recovered from milk, viral RNA was low in these tissues, and tissue architecture appears to be restored. Milk yield at this point had not recovered to pre-inoculation production. Field reports have suggested that it can take more than 4 weeks to return to preinfection milk production7. Because of the requirement to perform experimental infection in high biocontainment, it may not be feasible to monitor cows for this extended time. Field evaluation of H5N1-infected cows is ultimately needed to determine the longer-term impacts of H5N1-virus-induced mastitis on cow performance and productivity. However, this model can be used to interrogate the impact of virus-induced mastitis on mammary gland function shortly after resolution.
Experimental re-exposure of cows by inoculating the previously unaffected forequarters revealed that natural immunity can confer protection against disease and virus replication and shedding in the udder. Cows seroconverted shortly after infection (Fig. 6) and by 14 DPI, neutralizing antibodies were detected in milk. Unique to this study, we followed cows to a later timepoint (28 DPI) and consistent with ref. 15, observed that neutralizing antibody titres were greater in the inoculated hindquarters relative to the uninoculated forequarters, pointing to the induction of a local immune response and/or differential trafficking of B cells to the inoculated hindquarters—transudation of antibodies from blood to milk is expected to equally occur across all four glands. Despite this difference in neutralizing antibody titres, the forequarters were protected from disease and infection following inoculation with bovine H5N1 virus. For human seasonal influenza vaccine, titres ranging from 1:20 to 1:40 are regarded as correlates of protection16,17. Our study shows that milk VN antibody titres of 1:10 are sufficient to neutralize up to 106 TCID50 of bovine H5N1 virus. This further supports the hypothesis that VN antibody is probably a major determinant of protection and furthermore warrants efforts focused on designing vaccines that induce strong, local neutralizing antibody responses in the mammary gland.
Beyond neutralizing antibodies, the extent to which macrophages or neutrophils are needed to facilitate antibody-mediated phagocytosis remains to be determined. Of note, neutrophil infiltration occurred after primary inoculation but was neither enhanced nor observed in the forequarters following re-exposure as confirmed by CMT and qualitative evaluation of the milk leucocyte pellet. This suggests that protective immunity was probably not mediated by neutrophils. Other innate immune cells resident to the mammary gland should be considered; for example, the gamma delta T cells or mammary epithelial cells that can perform effector innate immune functions18 in addition to adaptive immune responses mediated by T lymphocytes, given their importance in controlling bacteria-causing mastitis19. The extent to which innate immunity in the previously unaffected hindquarters was affected, or upregulated, due to the initial infection in the hindquarters should be considered. Given our observations that disease, cellular infiltration and neutrophil recruitment was exclusively contained to the inoculated quarters during initial infection confirms that each quarter of the udder is indeed highly compartmentalized and that the uninoculated quarters were largely naïve before reinfection. Although it cannot be excluded that there may have been some systemic impact on the entire udder, this warrants increase of the reinfection interval beyond the 31-day window performed in this study to potentially reduce or eliminate this interaction; unfortunately, housing large animals under experimental conditions for long periods in high biocontainment is a challenge. Field studies focused on monitoring antibody responses in dairy cattle herds recovering from H5N1 outbreaks are best positioned to address when infection-induced immunity wanes and when cows are once again susceptible to reinfection. Whether this protective response is uniquely induced via intra-mammary exposure or can be generated by alternative routes such as parenteral vaccination needs to be addressed; historically, this has presented a challenge to the development of effective vaccines for bacteria-causing mastitis pathogens in dairy cows. Alternative approaches using small ruminants as a surrogate model could extend the duration of these studies in high biocontainment. Equally of value is determining the duration of neutralizing antibody responses in the milk of lactating cows following vaccination, as this could help advance the development of therapeutics to mitigate HPAI H5N1.
Generation of bioaerosols that can facilitate H5N1 spread between cows and other hosts has yet to be fully resolved. Influenza-like illness and conjunctivitis caused by bovine H5N1 virus has been documented in dairy workers. In most influenza-susceptible species, respiratory infection facilitates airborne transmission. In cows, bovine H5N1 virus titres are highest in milk followed by urine14. On-farm activities such as milking and power washing are known to generate bioaerosols. We demonstrate that viral RNA can be detected in the air during mechanical milking, while power washing the animal living quarters, and in the animal living quarters in the absence of the above two activities (Extended Data Table 2). We were restricted to measuring viral RNA and did not have the appropriate samplers to recover air into cell culture medium to provide optimal recovery of viable virus; thus, we cannot conclude to what extent the material captured by the filters represents infectious or non-infectious virus. Nonetheless, the data suggest that natural barn environments, specifically milking parlours where large numbers of lactating cows are concentrated in space and dairy workers are nearest to these animals, could represent high exposure risk environments for transmission from cow to human. Urgent studies are needed to address the occupational risks for zoonotic influenza A infection in dairy farming environments. This study helps inform the basis of timing, placement and equipment to facilitate air sampling studies that could be extended to natural farm environments.
Although we were restricted to a few animals due to high contaminant space constraints, infection and reinfection dynamics in the cows were quite consistent. This reinfection model will enable researchers to discover both correlates of protection and specific immune mechanisms mediating protection to H5N1 infection and disease in the mammary gland. Protection against reinfection supports the potential for vaccination as an effective control strategy.
Methods
Biosafety and ethics statement
Work with HPAI H5N1 was carried out in Vaccine and Infectious Disease Organization (VIDO) containment level 3 (CL3) and CL3 large animal facility, in compliance with the Canadian Biosafety Standard, 3rd edition, under the authority of the Public Health Agency of Canada and the Canadian Food Inspection Agency.
All animal experiments were completed at the University of Saskatchewan following guidelines provided by the Canadian Council on Animal Care and approved by the University of Saskatchewan Animal Care Committee (Protocol #20240042).
Cells and viruses
Madin-Darby canine kidney (MDCK; ATCC, CRL-2936) cells were used for virus stock propagation and for viral titration. The MDCK cells were maintained in minimal essential medium (MEM) (Sigma-Aldrich, M4655) supplemented with 10% fetal bovine serum (FBS) (Thermo Fisher, 16000-044), and were kept in a humidified 5% CO2 incubator at 37 °C. HPAI H5N1 virus isolate A/dairy cattle/Texas/24-008749-002/2024 genotype B3.13 (referred to as bovine H5N1 virus herein) was obtained from the US Department of Agriculture. Virus stock was made by inoculating MDCK cells at a multiplicity of infection of 0.001 and culturing in viral growth media [MEM containing 0.2% bovine serum albumin (BSA) (Sigma-Aldrich, A7030) with 1 μg ml−1 l-[(toluene-4-sulphonamido)-2-phenyl] ethyl chloromethyl ketone (TPCK)-trypsin] for 3 days, when the complete cytopathogenic effect (CPE) was observed.
Animals, study design and sample collection
Three 6-year-old late-stage lactation (>300 days in milk) Holstein cows were purchased from a local dairy farm in Saskatchewan, Canada. Cows were housed at the VIDO CL3 large animal facility. Due to the physical size of adult dairy cows, only 3 animals could be co-housed in a single CL3-agriculture room, hence sample size was restricted to n = 3 and no randomization occurred as all animals were assigned to the experimental challenge group. Cows were transitioned to an ad libitum diet consisting of alfalfa cube, pelleted ration (dairy ration, 16% protein) and water. Animal housing involved two interconnected CL3-agriculture rooms; one room served as the living quarters and the other served as a dedicated milking room.
Cows, milked twice daily, were brought into the milking room chute and the teats individually cleaned of visible material using a WypAll general-purpose wipe soaked with iodine-based disinfectant. Milk was hand stripped 2–3 times to allow milk let down before wiping one additional time with iodine-based solution. A portable milking machine dedicated for each cow was used for milking and disinfected after each milking by rinsing with hot water, detergent and sanitizer (12% sodium hypochlorite diluted to 200 ppm). Gloved hands were cleaned with Prevail disinfectant after handling inoculated quarters.
Cows were acclimated for 14 days before viral challenge (Fig. 1). All 3 cows were inoculated with 104 TCID50 of HPAI H5N1 bovine virus in a 1-ml volume per quarter in both hindquarters per cow via the teat canal. On the day of the inoculation, after the morning milking, a sterile 3-ml syringe connected to a sterile teat cannula was used to draw up 1 ml of the virus inoculum. The teat orifice was prepared using isopropyl alcohol wipes. The teat cannula was inserted to its full length before depositing the solution into the teat canal. The bottom of the teat was held with firm pressure before removing the teat cannula and the teat massaged using an upward motion to encourage solution up the teat cistern. The cannula and syringe were slowly removed to ensure no leakage of the inoculum. One cow was randomly selected to be euthanized at 4 DPI to collect tissues. The remaining two cows were re-exposed to the virus at 31 DPI, by inoculating the forequarters with 104 TCID50 per quarter (1 ml) as described above. Back titration of the virus challenge inoculum confirmed that virus titres were 104 TCID50. Both cows were euthanized for tissue collection at 10 DPSI. Cows were euthanized by intravenous injection with Euthanyl (20 ml per 45 kg body weight; Bimeda-MTC).
Cows were visually monitored twice daily by veterinarians or veterinary technical staff and any deviations from normal health or behaviour were recorded. Structured clinical assessments of each animal were conducted during morning milkings to measure rectal temperatures and assign scores to categories of behaviour, respiration and udder condition (Supplementary Table 1). Collective feed intake was also monitored.
Before morning milking, foremilk was manually stripped from each quarter and collected to quantify infectious virus, viral RNA and antibody titres. Milk consistency and colour were visually evaluated, and California mastitis test (CMT; JorVet, Jorgensen Laboratories) was performed. Serum was collected before challenge and at regular intervals post inoculation (Fig. 1). Nasal secretions, blood, urine and faeces were regularly collected post primary and secondary inoculation to monitor viral load. At necropsy, tissues including teat cistern, mammary gland, supra-mammary lymph node, mesenteric lymph node, mediastinal lymph node, liver, spleen, kidney and bladder were collected for viral RNA detection and histology.
Air sampling
Two interconnected rooms were used, with one serving as the milking room and the other the living quarters. Air samplers were strategically positioned at three distinct sites to simulate on-farm activities with potential risk of aerosolization and transmission to agricultural workers. GilAir Plus Air Sampling Pump (Gilian) equipped with a PTFE filter cassette (1.0 μm, 37 mm; SKC) and operating at 5 l min−1, for ~30–40 min, was used during routine morning milking that involved manual stripping of each quarter and mechanical milking. This device was positioned level to the udders to simulate the position of a human in a conventional milking parlour. A similar sampler was placed at ~1.5 m above the floor during power washing to capture particles aerosolized during this activity to simulate cleaning in a milking parlour. An AirPrep ACD210 Cub Sampler (Innovaprep) was positioned on the floor (outside the reach of the cows) and operating at 200 l min−1 for 3 continuous hours in the animal living quarters after the evening milking. Material captured on the AirPrep filter was eluted using the manufacturer’s elution kit. Air samples were collected at each distinct site 1 day before H5N1 inoculation of the cows and served as negative controls. PTFE filter cassettes were disassembled and the filter immersed in 2 ml DMEM medium. Filters were agitated for 30 s using a mechanical homogenizer, and the media aliquoted and stored at −80 °C. Eluent was used to extract RNA and perform RT–qPCR to detect viral RNA.
Viral load by TCID50 assay
MDCK cells (2 × 104) were plated into 96-well plates. Whole milk was 10-fold serially diluted and 100 µl of the diluent was incubated with the monolayer of MDCK cells for 1 h. After 1 h of incubation, the inoculum was replaced with viral growth media. CPE development was documented at 72 h post infection. The TCID50 titre of each sample was calculated using the Spearman and Kärber algorithm20,21.
RNA extraction and quantitative RT-PCR
Milk collected from each individual quarter, blood and urine was diluted 1:4 in phosphate-buffered saline (PBS). Nasal secretions and air filter eluent were used neat (without dilution). Of the body fluid or eluent, 140 μl was mixed with 560 μl of Buffer AVL, and RNA was extracted following manufacturer instructions (QiaAMP viral RNA kit, QIAGEN) and eluted using 50 μl of elution buffer.
Tissue samples were immediately submerged in RNAlater (QIAGEN) following tissue collection and stored at −80 °C. Bovine tissues from an independent study involving healthy animals served as negative controls to confirm the absence of virus. Tissue (30 μg) was homogenized in 600 μl Buffer RLT (QIAGEN) using an OMNI Bead Ruptor Elite (OMNI International). RNA was extracted following manufacturer instructions (RNeasy, QIAGEN) and eluted using 50 μl of elution buffer.
RT–qPCR was performed using the Luna qPCR kit (New England Biolabs (NEB), E3006L) and the StepOne Plus Real-Time PCR System (QuantStudio6, Applied Biosciences) using a primer probe set specific for influenza A virus M gene. Forward primer sequence: 5′-GGCCCCCTCAAAGCCGA-3′, reverse primer sequence: 5′-CGTCTACGYTGCAGTCC-3′; probe sequence: 5′ (FAM)-TCACTGGGCACGGTGAGCGT-3′ (MGBNFQ) (IDT). A volume of 5 µl of RNA was used as template for each reaction in duplicate. A standard curve was generated by spiking tissue culture medium, body fluid (urine, nasal secretions, blood) and homogenized tissue with a known titre of bovine H5N1 virus and extracting RNA from these samples. A standard curve was generated each time RT–qPCR was performed on samples. The standard curve was used to interpolate TCID50 equivalents from Ct values and to determine the limit of detection.
Antibody titres in milk and serum
Rennet (30 µl) from Mucor miehei (5 mg ml−1; MilliporeSigma, R5876) was added per ml of milk and incubated at 37 °C for 5 min until milk curdled. Milk was centrifuged at 1,300 × g for 5 min, resulting in the formation of three fractions: the top fraction consisting of fat, a soluble fraction consisting of whey and a pellet fraction consisting of curdled milk. The top fraction was carefully removed and discarded by pipetting, and the soluble whey fraction was collected. The soluble whey fraction was divided into two aliquots, one of which was added with Triton X-100 to a final concentration of 0.5% v/v. Both aliquots were incubated at 60 °C for 30 min. The aliquot without Triton X-100 was used for viral neutralization and HAI assay, the aliquot with Triton X-100 was used for the IDEXX ELISA. For serum samples, one aliquot was heat inactivated at 56 °C for 30 min for use in viral neutralization assays, the other aliquot was heated at 60 °C for 30 min for use with the IDEXX ELISA.
Virus neutralization assay
VN assay was performed in a 96-well microtitre plate according to methods described in the WHO Manual on Animal Influenza Surveillance and Diagnosis. For each sample tested, MDCK cells (2 × 104) were seeded in quadruplicate. Four replicates of 50 µl of 2-fold serially diluted serum or whey were incubated with equal volume of bovine H5N1 virus containing 100 TCID50 at 37 °C for 1 h. The mixture was then added to the MDCK cells and the CPE at 72 h post infection was observed and recorded. The highest dilution of serum or milk that completely protected the cells from CPE in at least 2 out of 4 replicate wells was deemed the virus-neutralizing antibody titre.
To test the extent to which the antibody titre present in milk could neutralize virus in quantities more reflective of challenge doses, forequarter milk collected at 0 and 28 DPI was heat inactivated at 60 °C for 30 min. Inactivated milk (50 µl) was mixed with 50 µl of MEM containing 106, 105, 104 or 103 TCID50 of bovine H5N1 virus and incubated at 37 °C for 1 h. The milk/virus mixture was then applied to MDCK cells seeded in a 96-well microtitre plate in triplicate. After a 1 h incubation, the milk/virus mixture was removed and replaced with viral growth media. After 3 days, cells were examined for CPE.
IDEXX ELISA and haemagglutinin inhibition assay
IDEXX Influenza A Ab test (Influenza A Ab, IDEXX) was performed according to manufacturer instructions using serum or whey diluted 1:10. A sample to positive ratio (S/P) < 0.6 was deemed positive.
Chicken red blood cells (Poultry Center, University of Saskatchewan) were used in HAI assay. Heat-inactivated whey was incubated with 4 HAU (haemagglutination units) of bovine H5N1 virus before incubating with 1% red blood cells for HAI assay22.
Histology and immunohistochemistry
Tissue samples were immediately submerged in 10% neutral-buffered formalin for 7 days and transferred to fresh 10% neutral-buffered formalin for 24 h before transfer out of the CL3 laboratory. Tissue embedding, sectioning, haematoxylin and eosin (H&E) staining, and immunohistochemical staining (for influenza A virus NP protein) was completed by Prairie Diagnostic Services. Stained tissue sections were imaged using an Olympus Virtual Slide Scanning Microscope (Olympus-Life Science) completed by the WCVM Imaging Centre (University of Saskatchewan).
Data presentation and statistical analysis
Data collection and analysis were not performed blind to the conditions of the experiments. GraphPad Prism 10.1.0 (GraphPad Software) was used for all data visualization and statistical analysis. Statistical analysis was performed to compare antibody titres in the hindquarters to those in the forequarters. The antibody titres in the forequarters (two cows × two forequarters, n = 4) and hindquarters (two cows × two hindquarters, n = 4) were grouped together and an unpaired Mann–Whitney test was then performed. P ≤ 0.05 was considered statistically significant. Data distribution was assumed not to be normal but this was not formally tested. Select images were created with BioRender.com (Agreement number YZ281QTDGE).
Reporting summary
Further information on research design is available in the Nature Portfolio Reporting Summary linked to this article.
Data availability
All data supporting the findings of this study are reported in the paper and are available in the online version. Source data are provided with this paper.
References
Kandeil, A. et al. Rapid evolution of A(H5N1) influenza viruses after intercontinental spread to North America. Nat. Commun. 14, 3082 (2023).
Ramey, A. M. et al. Highly pathogenic avian influenza is an emerging disease threat to wild birds in North America. J. Wildl. Manage. 86, e22171 (2022).
Giacinti, J. A. et al. Avian influenza viruses in wild birds in Canada following incursions of highly pathogenic H5N1 virus from Eurasia in 2021–2022. mBio 15, e0320323 (2024).
Peacock, T. et al. The global H5N1 influenza panzootic in mammals. Nature 637, 304–313 (2025).
Ulloa, M. et al. Mass mortality event in South American sea lions (Otaria flavescens) correlated to highly pathogenic avian influenza (HPAI) H5N1 outbreak in Chile. Vet. Q. 43, 1–10 (2023).
Burrough, E. R. et al. Highly pathogenic avian influenza A(H5N1) clade 2.3.4.4b virus infection in domestic dairy cattle and cats, United States, 2024. Emerg. Infect. Dis. 30, 1335–1343 (2024).
Caserta, L. C. et al. Spillover of highly pathogenic avian influenza H5N1 virus to dairy cattle. Nature 634, 669–676 (2024).
Hu, X. et al. Genomic characterization of highly pathogenic avian influenza A H5N1 virus newly emerged in dairy cattle. Emerg. Microbes Infect. 13, 2380421 (2024).
Worobey, M. et al. Preliminary report on genomic epidemiology of the 2024 H5N1 influenza A virus outbreak in U.S. cattle. Virological https://virological.org/t/preliminary-report-on-genomic-epidemiology-of-the-2024-h5n1-influenza-a-virus-outbreak-in-u-s-cattle-part-1-of-2/970 (2024).
Rios Carrasco, M., Grone, A., van den Brand, J. M. A. & de Vries, R. P. The mammary glands of cows abundantly display receptors for circulating avian H5 viruses. J. Virol. 98, e0105224 (2024).
Eisfeld, A. J. et al. Pathogenicity and transmissibility of bovine H5N1 influenza virus. Nature 633, 426–432 (2024).
Gu, C. et al. A human isolate of bovine H5N1 is transmissible and lethal in animal models. Nature 636, 711–718 (2024).
Pulit-Penaloza, J. A. et al. Transmission of a human isolate of clade 2.3.4.4b A(H5N1) virus in ferrets. Nature 636, 705–710(2024).
Halwe, N. J. et al. H5N1 clade 2.3.4.4b dynamics in experimentally infected calves and cows. Nature 637, 903–912 (2025).
Baker, A. L. et al. Dairy cows inoculated with highly pathogenic avian influenza virus H5N1. Nature 637, 913–920(2025).
Hobson, D., Curry, R. L., Beare, A. S. & Ward-Gardner, A. The role of serum haemagglutination-inhibiting antibody in protection against challenge infection with influenza A2 and B viruses. J. Hyg. 70, 767–777 (1972).
Coudeville, L. et al. Relationship between haemagglutination-inhibiting antibody titres and clinical protection against influenza: development and application of a Bayesian random-effects model. BMC Med. Res. Methodol. 10, 18 (2010).
Rainard, P., Gilbert, F. B. & Germon, P. Immune defenses of the mammary gland epithelium of dairy ruminants. Front. Immunol. 13, 1031785 (2022).
Rainard, P., Foucras, G. & Martins, R. P. Adaptive cell-mediated immunity in the mammary gland of dairy ruminants. Front. Vet. Sci. 9, 854890 (2022).
Spearman, C. The method of right and wrong cases (constant stimuli) without Gauss’s formulae. Br. J. Psychol. 2, 227–242 (1908).
Karber, G. 50% end point calculation. Arch. Exp. Pathol. Pharmakol. 162, 480–483 (1931).
Manual for the Laboratory Diagnosis and Virological Surveillance of Influenza (World Health Organization, 2011).
Acknowledgements
We thank the entire VIDO Veterinary Services team for the care and handling of the animals and performing all animal procedures; E. Scruten (VIDO) for technical assistance; the VIDO Biosafety Team (T. Thue, S. Strom and J. Van Kessel) for their services in support of this study; the United States Department of Agriculture for providing bovine HPAI H5N1 virus isolate; and the local dairy farmer in Saskatchewan for providing the animals. Y.Z. was supported by Natural Sciences and Engineering Research Councillor Canada (NSERC) (Discovery grant RGPIN-2019-04578) and Canadian Institutes of Health Research (CIHR) (FRN: PJT-166138 and 202309PPE-512254). Y.Z., A.F., B.W., Y.B. and S. Mubareka received a CIHR Catalyst Grant: Avian Influenza One Health Research, administered by the NSERC Alliance Grant ALLRP 598054 - 24. Y.B. received funding from the Canadian Safety and Security Program CSSP-2024-TI-267. Partial funding for air sampling was provided through an EPIC 2022 Rapid Response to Mpox Grant to A.M. VIDO receives operational funding from the Government of Saskatchewan through Innovation Saskatchewan and the Ministry of Agriculture, and from the Canada Foundation for Innovation through the Major Science Initiatives for its CL3 facility. The funders had no role in the study design, data collection and analysis, decision to publish or preparation of the manuscript. This work is published with the permission of the Director of VIDO as manuscript series #1095.
Author information
Authors and Affiliations
Contributions
A.F., B.W. and Y.Z. conceived study, conducted experiments, analysed data, prepared the manuscript and received funding. L.A., U.B.-C., N.B., N.P., L.M.J., C.N. and S. McCreary conducted experiments. Y.H. analysed data. S. Mubareka, A.M. and Y.B. contributed to study design and analysed data. A.V.K. and V.G. contributed to study design and acquired funding.
Corresponding author
Ethics declarations
Competing interests
Y.H. is the CEO of PDS (which provided fee-for-service work that included H&E and IHC staining) and is a board-certified pathologist who provided expert interpretation of the histological slides. The other authors declare no competing interests.
Peer review
Peer review information
Nature Microbiology thanks Nico Halwe, Vincent Munster and the other, anonymous, reviewer(s) for their contribution to the peer review of this work. Peer reviewer reports are available.
Additional information
Publisher’s note Springer Nature remains neutral with regard to jurisdictional claims in published maps and institutional affiliations.
Extended data
Extended Data Fig. 1 Gross pathology of mammary gland from Cow #6.
Cow #6 was euthanized at 4 days post-inoculation which coincided with peak virus shedding in milk. The mammary tissue of the left hindquarter appeared grossly mildly hyperemic when compared to the other quarters (marked by asterisk). Milk in the forequarters had a grossly normal appearance (black arrow) relative to milk in the hindquarters was thick and discolored (white arrow).
Extended Data Fig. 2 Histological examination of the teat cistern and mammary gland following re-exposure.
Cows #4 and #11 were euthanized at 10 days post secondary inoculation (Day 41 post primary inoculation). Representative H&E staining of teat cistern and mammary alveoli for the forequarters. Images were captured at 200X magnification, insets are digital magnifications of the boxed area.
Supplementary information
Supplementary Information (download PDF )
Supplementary Tables 1 and 2.
Source data
Source Data Figs. 2,4 and 6 and Extended Data Tables 1–3 (download XLSX )
Single file containing all source data.
Rights and permissions
Open Access This article is licensed under a Creative Commons Attribution-NonCommercial-NoDerivatives 4.0 International License, which permits any non-commercial use, sharing, distribution and reproduction in any medium or format, as long as you give appropriate credit to the original author(s) and the source, provide a link to the Creative Commons licence, and indicate if you modified the licensed material. You do not have permission under this licence to share adapted material derived from this article or parts of it. The images or other third party material in this article are included in the article’s Creative Commons licence, unless indicated otherwise in a credit line to the material. If material is not included in the article’s Creative Commons licence and your intended use is not permitted by statutory regulation or exceeds the permitted use, you will need to obtain permission directly from the copyright holder. To view a copy of this licence, visit http://creativecommons.org/licenses/by-nc-nd/4.0/.
About this article
Cite this article
Facciuolo, A., Aubrey, L., Barron-Castillo, U. et al. Dairy cows develop protective immunity against reinfection with bovine H5N1 influenza virus. Nat Microbiol 10, 1366–1377 (2025). https://doi.org/10.1038/s41564-025-01998-6
Received:
Accepted:
Published:
Version of record:
Issue date:
DOI: https://doi.org/10.1038/s41564-025-01998-6
This article is cited by
-
An outbreak of highly pathogenic avian influenza H5N1 could impact the dairy cattle sector and the broader economy in the United States
Communications Earth & Environment (2026)
-
Highly pathogenic avian influenza H5N1 viral infection in cattle: an emerging threat to global dairying?
Bulletin of the National Research Centre (2025)
-
Immunogenicity and safety of a rabies-based highly pathogenic influenza A virus H5 vaccine in cattle
npj Vaccines (2025)
-
The emergence of highly pathogenic avian influenza H5N1 in dairy cattle: implications for public health, animal health, and pandemic preparedness
European Journal of Clinical Microbiology & Infectious Diseases (2025)








