Abstract
Only few cases of human immunodeficiency virus (HIV) remission have been reported after allogeneic haematopoietic stem cell transplantation (HSCT), mostly involving stem cell donors with the homozygous CCR5Δ32 (CCR5Δ32/Δ32) mutation, which confers resistance to CCR5-tropic HIV-1. Here we report the case of a 63-year-old man in off-treatment HIV remission, 5 years after HSCT with a CCR5Δ32/Δ32 sibling donor for myelodysplastic syndrome. In-depth clinical characterization including virological and immunological analyses of peripheral blood, gut and bone marrow samples revealed that full donor chimerism was achieved. Antiretroviral therapy was discontinued after 24 months, and 48 months after HSCT, no intact HIV DNA was detected in blood or gut biopsies. Replication-competent virus and HIV-specific T cell responses were absent, and HIV antibody responses showed a gradual decline. Full donor chimerism in the gut, which is the primary viral reservoir, underscores the likelihood of a cure.
Similar content being viewed by others
Main
Human immunodeficiency virus (HIV) persists in various anatomical and cellular reservoirs in the body despite successful antiretroviral therapy (ART) with fully suppressed plasma viral load1,2,3. A viral rebound from intact integrated proviruses in cellular reservoirs will occur when ART is discontinued, even after many years of efficient treatment. Allogeneic haematopoietic stem cell transplantation (HSCT) in people with HIV (PWH) and haematological malignancies has shown to substantially reduce the viral reservoirs and, in several patients, completely eradicate all replication-competent viruses, leading to a cure of HIV. Until recently, the reported cases of successful HIV cure, known as the Berlin patient4, the London patient5, the Düsseldorf patient6, the City of Hope patient7 and the New York patient8, received CCR5Δ32/Δ32 allografts conferring extended resistance to HIV owing to the absence of the surface expression of CCR5, which serves as a coreceptor for HIV entrance to CD4+ cells. However, two PWH have experienced sustained HIV remission after HSCT with a CCR5wt/wt graft9 and a CCR5Δ32/wt graft10, respectively, pointing to factors beyond a lack of CCR5 surface expression as critical for an eradicating HIV cure.
This study presents an in-depth clinical characterization along with extensive virological and immunological analyses of peripheral blood, gut and bone marrow of a 63-year-old male individual with possible HIV eradication. The patient was in good health with undetectable HIV RNA in plasma 60 months after CCR5Δ32/Δ32 allogeneic HSCT for myelodysplastic syndrome and 36 months into analytical treatment interruption (ATI). We also provide a detailed comparison with other successful HIV cure cases so far (Supplementary Tables 1 and 2) including data from the IciStem cohort, the largest database connecting allogeneic HSCT cases with HIV persistence parameters11.
Results
Case report
An overview of the clinical course and treatments administered to the patient is provided in Fig. 1. In brief, the patient was diagnosed with HIV-1 subtype B in 2006, at the age of 44 years. The CD4+ T cell count was 430 cells μl−1 and, plasma HIV RNA was 2.6 × 104 copies ml−1. The virus was predicted to be CCR5-tropic by Sanger sequencing, with a false positive rate of 17%12. With a nadir CD4+ T cell count of 309 cells μl−1 and plasma HIV RNA level of 1 × 105 copies ml−1, an ART regimen consisting of emtricitabine, tenofovir disoproxil and atazanavir–ritonavir was initiated in February 2010 (Fig. 1). In line with national guidelines, the treatment was changed to emtricitabine and tenofovir disoproxil in combination with efavirenz in November 2010 and then rilpivirine in 2012. From 2017, emtricitabine and tenofovir alafenamide were given in combination with rilpivirine. The patient was also treated with emtricitabine and tenofovir alafenamide in combination with elvitegravir–cobicistat over a short period of time in 2017, before switching back to emtricitabine, tenofovir alafenamide and rilpivirine. The patient had sustained suppressed plasma HIV RNA from August 2010 (Fig. 1).
Top: the blue arrow shows the timeline of main clinical events. Longitudinal levels of plasma HIV RNA are shown in purple, CD4+ T cell count in peripheral blood in blue, chimerism level in red and HIV proviral DNA in black. The HIV RNA assay was performed with a limit of quantification of 40 HIV RNA copies per millilitre until 2010 and 20 HIV RNA copies per millilitre from 2010. The yellow-shaded panel shows the period from HSCT to ATI, and the blue-shaded panel shows the period from ATI to 48-month follow-up. Solid circles represent the detection of target; open circles represent no target detected. Bottom: overview of the ART regimens and immunosuppressant treatments. MDS, myelodysplastic syndrome; ND, not detected. Figure created in BioRender; Gullaksen, H. https://biorender.com/y4vnc63 (2026).
In November 2017, the patient experienced fatigue and pancytopenia, requiring erythrocyte transfusions. He was diagnosed with myelodysplastic syndrome with isolated 5q deletion in January 2018. The patient started treatment with lenalidomide, a cytotoxic and immunomodulating drug improving host immunity by enhancing T cell proliferation and natural killer (NK) cells activity13. After initial remission, the patient experienced cytogenetic relapse after 2 years, without clonal evolution, TP53 mutations or increased blast count, and HSCT was planned.
A systematic search for a compatible stem cell donor with a homozygous CCR5Δ32 mutation was initiated, with the goal of curing HIV through the same procedure. However, because only human leucocyte antigen (HLA)-mismatched (9/10) donors with the homozygous CCR5Δ32 mutation were available, the patient’s 60-year-old HLA-identical brother was ultimately selected as the donor. In November 2020, at the age of 58 years, the patient underwent HSCT with mobilized haematopoietic stem cells from his brother. On the day of the procedure, it was unexpectedly verified that his brother carried a homozygous CCR5Δ32 mutation, whereas the patient was found to be heterozygous for the CCR5Δ32 mutation.
On day 44 post HSCT, the patient developed acute graft-versus-host disease (GvHD) (Mount Sinai Acute GVHD International Consortium grade III) in the gut (Extended Data Fig. 1a) and skin, complicated by cytomegalovirus (CMV) reactivation with colitis. The patient was treated with methylprednisolone from day 46 (2 mg kg−1), followed by a single dose of the α4β7 integrin inhibitor vedolizumab on day 58, prolonged treatment with a Janus kinase (JAK) 1/2 inhibitor from day 93 (ruxolitinib), extracorporeal photopheresis from day 163 and cyclosporine until day 325 (Fig. 1). The CMV colitis was treated with ganciclovir and foscarnet. Despite a marked CD8+ lymphocytosis at the onset of GvHD, the cellular reconstitution followed a familiar pattern post HSCT with neutrophil recovery at day 14, leucopenia during GvHD and a gradual normalization of T cell counts within a year (Fig. 2a,b). B-cell reconstitution was delayed with IgG levels less than 4 g l−1 requiring intravenous immunoglobulins (0.4 g kg−1 every 4 weeks) for 34 weeks (Fig. 2a). During the first year post HSCT, he was also treated with valganciclovir for recurrent CMV reactivations and had a self-limiting Epstein–Barr virus viraemia. The patient remained on ART (emtricitabine–tenofovir alafenamide–rilpivirine) during and after the HSCT with no detectable HIV RNA in plasma or proviral DNA in peripheral blood (Fig. 1). After careful consideration, ATI was initiated 24 months post HSCT. He has since been followed every 3 months up to 36 months into ATI with normal CD4+ T cell counts and without any signs of viral rebound with undetectable HIV RNA by ultrasensitive plasma analyses (ultrasensitive viral load <0.1 copies ml−1 of plasma).
a, Longitudinal levels of lymphoid cell lines in months after HSCT. b, Longitudinal levels of total leukocytes and neutrophils in months after HSCT. The asterisks mark time points for GvHD (*) and full donor chimerism (**).
Full donor chimerism in blood, bone marrow and GALT
Full donor chimerism occurs with different kinetics in different anatomical compartments after HSCT14. The patient had full donor chimerism in blood (>99%) on day 90 and in the bone marrow (99% in CD34+ cells) at 48 months post HSCT. Although full donor chimerism in blood and bone marrow has been reported in previous cure cases (Supplementary Table 2), donor chimerism in the gut has not been previously analysed in cases of HIV remission. Chimerism analyses of CD45+ cell subsets from gut-associated lymphoid tissues (GALT) 48 months post HSCT showed full donor chimerism in both the terminal ileum (98%) and the sigmoid colon (97%) biopsies (Fig. 1).
Undetectable intact proviral HIV DNA in blood and gut- associated lymphoid tissue
To interrogate the evidence of a persisting HIV reservoir, droplet digital PCR (ddPCR) assays were used to detect both total and intact HIV proviruses. No intact proviral DNA was detected in CD4+ T cells from peripheral blood at 3, 9 and 27 months post HSCT (Extended Data Table 1). Traces of total HIV DNA were detected in CD4+ T cells, but no intact proviral DNA was detected in more than 3 million CD4+ T cells from peripheral blood assayed 48 months post HSCT (Extended Data Table 1), comparable to HIV-negative controls and lower than a previously studied cohort of HIV-seropositive aviremic controls on ART15 (Fig. 3a,b).
a, The total proviral HIV DNA in CD4+ T cells at 48 months post HSCT quantified with ddPCR, compared with HIV-seronegative (n = 1) and HIV-seropositive aviremic controls on ART (n = 25 individual experiments). b, CS-IPDA in CD4+ T cells compared with HIV-seronegative controls (n = 2) and HIV-seropositive aviremic controls on ART (n = 24 individual experiments). c, The qVOA performed in leukapheresis sample 48 months post HSCT compared with PWH with suppressed HIV RNA on long-term ART. The IUPM value for the Oslo patient was calculated on the basis of no viral outgrowth in a single qVOA experiment of 1,312 total culture wells, each assaying 50,000 CD4+ T cells, for a total of 65,600,000 CD4+ T cells. The limit of quantification is based on the IUPM value for one culture well of viral outgrowth in the same experimental conditions. As a comparator, IUPM values for 97 individuals on suppressive ART (HIV positive) were sourced from previously published articles16,17. The centre line represents the median, and whiskers represent the interquartile range. The Oslo patient is marked in red.
Given that GALT harbours most of the HIV reservoir, the patient underwent diagnostic colonoscopy at 48 months post HSCT with extensive sampling of biopsies from the sigmoid colon and the terminal ileum showing normal histological morphology (Extended Data Fig. 1b). CD45+ cells were isolated from the ileum and colon biopsies, enriching the dominant cellular reservoir from GALT. Traces of total HIV DNA were detected in CD45+ cells in the ileum but not in the colon (Extended Data Table 1). Importantly, no intact proviral DNA was detected in either the ileum or colon biopsies 48 months post HSCT. Interestingly, at the time of GvHD debut (day 45) as well as day 155, retrospective analyses of proviral DNA in formalin-fixed colon biopsies showed no evidence of residual HIV DNA (Extended Data Table 1). However, the sensitivity of these analyses was limited by the use of formalin-fixed biopsy samples, with DNA fragmentation as an inherent problem.
Absence of replication-competent virus in CD4+ T cells by qVOA
At 48 months post HSCT, leukapheresis was performed to collect a large quantity of white blood cells that could be used for an in-depth analysis of the HIV reservoir by quantitative viral outgrowth assay (qVOA). Despite analysing more than 65 million CD4+ T cells, no replication-competent viruses were detected by qVOA, compared with PWH with suppressed HIV RNA on long-term ART16,17, suggesting that the inducible HIV reservoir had been eradicated (Fig. 3c).
Absence of detectable HIV-specific T cells
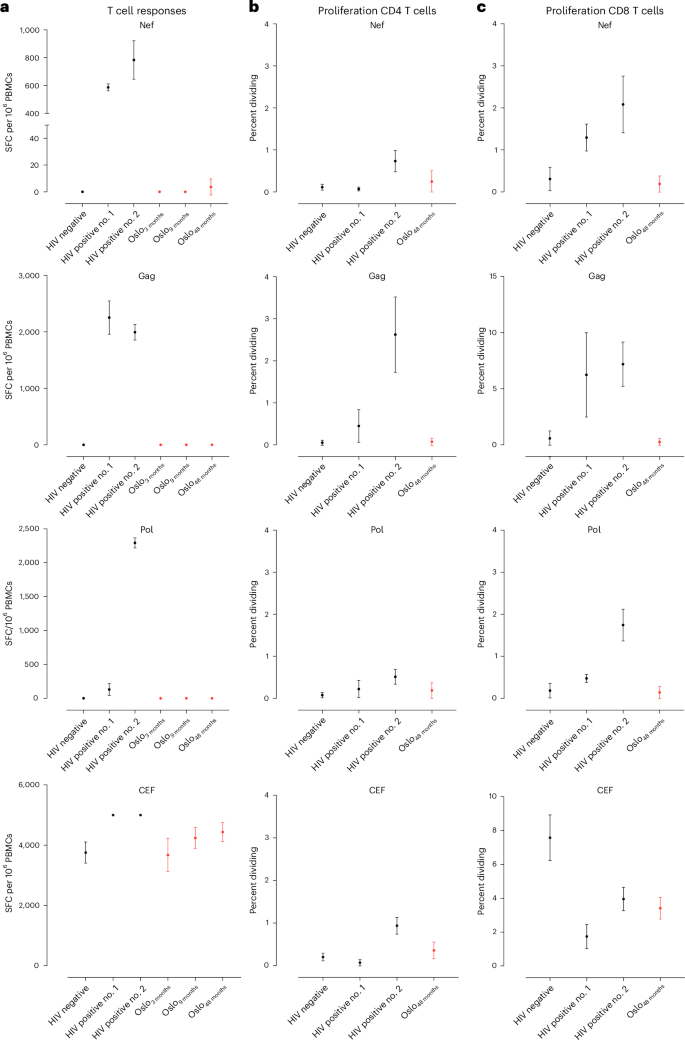
To examine whether the immune system would still recognize the virus, HIV-specific T cell responses against the negative factor (Nef), group-specific protein (Gag) and Pol protein (Pol) were analysed in the blood. In enzyme-linked immunosorbent spot (ELISpot) assays, the interferon (IFN)-γ responses to Nef, Gag and Pol peptide stimulation were completely absent 3, 9 and 48 months post HSCT, whereas the patient showed normal responses to CMV, Epstein–Barr virus and influenza (CEF) (Fig. 4a). Proliferation assays of CD4+ and CD8+ T cells stimulated with HIV Nef, Gag and Pol peptides incubated over 6 days showed that the patient had non-reactive HIV lymphocyte proliferative responses indistinguishable from HIV-negative controls 48 months post HSCT (Fig. 4b,c).
a, HIV-specific T cell responses to Nef, Gag, Pol and T cell responses to CEF at 3, 9 and 48 months post HSCT. b, Proliferation assays of CD4+ T cells at 48 months post HSCT. c, Proliferation assays of CD8+ T cells at 48 months post HSCT. Results are shown in comparison with HIV-negative control (n = 1) and HIV-positive aviremic controls on ART (n = 2). The Oslo patient is marked in red. Data are presented as mean values ± s.d. The experiments were performed on four technical replicates for the HIV-negative control, three technical replicates for the HIV-positive controls and three, four or five and eight technical replicates for the Oslo patient at 3, 9 and 48 months, respectively.
Waning anti-HIV humoral response
To examine changes in HIV-specific antibodies over time, we performed western blot analyses targeting the envelope (Env), Gag and Pol proteins using stored serum samples from pre-HSCT to 48 months post HSCT and found waning antibody responses (Fig. 5a). Notably, the responses to Gag and Pol decreased as early as 3 months post HSCT and were completely absent 9 months post HSCT. By contrast, antibody responses to the Env protein persisted throughout the study period. In line with previous cure cases, the patient remained HIV antigen-negative (0.26) and antibody-positive, exhibiting a signal-to-cut-off (S/CO) ratio of 143 at 48 months post HSCT11 (Fig. 5b). However, serum antibody avidity tests showed weak functional affinity (Fig. 5c), comparable with historical cure cases from the IciStem cohort11.
a, The western blot to Env, Gag and Pol from pre-HSCT to 48 months post HSCT. Dark blue indicates a strong band, and light blue indicates a weak band. b, The HIV antibody (Ab) level (S/CO) compared with the IciStem cohort. LIASON XL HIV Ag/Ab values were converted by using a standard curve created from a battery of samples from the IciStem cohort. The Oslo patient is marked in red, and historical cure cases from IciStem are marked in black. c, The serum Ab avidity in S/CO with the Oslo patient marked in red and historical cure cases from IciStem in black and open (low avidity) circles. GP, glycoprotein; P, protein.
Discussion
We report a case of sustained HIV remission after allogeneic HSCT from a sibling donor, extending observations from previous HIV cure cases. This is evidenced by the absence of detectable plasma HIV RNA, undetectable intact proviral HIV DNA in both peripheral blood and GALT, absence of replication-competent HIV DNA in peripheral blood and lack of HIV-specific T cell responses after the initiation of ATI. The Oslo patient is, together with the City of Hope patient (63 years old), one of the oldest patients to experience HIV remission after HSCT7. Notably, the Oslo patient also exhibits full donor chimerism of GALTs after HSCT.
As the patient was in HIV remission after transplantation from a donor with the CCR5Δ32/Δ32 mutation, the disabled CCR5 coreceptor probably played a crucial role in preventing reseeding of HIV to the allograft. As presented in Supplementary Table 2, six published cure cases, including this patient, have been in HIV remission after transplants with CCR5Δ32/Δ32 allografts. So far, only one unsuccessful case of HIV remission after CCR5Δ32/Δ32 transplant, due to a CXCR4 tropic virus, has been reported18, underscoring the relevance of the viral coreceptor CCR5 in sustaining HIV replication. Notably, four cases of HIV remission after HSCT have involved CCR5Δ32 heterozygous recipients. Although the CCR5Δ32/wt genotype could potentially limit HIV entry in new cycles of viral replication, previous reports have not consistently reported any effect on the reservoir size19,20,21, and two cases with viral rebound also involved CCR5Δ32/wt recipients22. Of note, the CCR5Δ32 gene variant occurs most frequently in Northern Europe, with a north–south gradient across the continent, and most reported cases of HIV remission after allogeneic HSCT originate from regions where this variant is relatively common23.
Another notable factor in most cases of HIV remission after allogenic HSCT is GvHD, although the presentation, degree and duration of GvHD have varied substantially (Supplementary Table 2). Allogeneic donor immunity could potentially reduce viral reservoirs through a graft-versus-reservoir effect11,24, and the duration and severity of GvHD are relevant for the efficacy of such an effect. The Oslo patient had severe and prolonged acute GvHD, which has potentially contributed to eradicating his viral reservoirs, in line with the clinical course of the Geneva patient9. Both patients received the JAK 1/2 inhibitor ruxolitinib as part of the GvHD treatment, a drug that has been shown to block HIV replication, viral reactivation and reservoir reseeding in vitro and ex vivo25,26 possibly involving the downregulation of CCR527, and was discussed as a potential key factor for the cure of the Geneva patient9. He also received vedolizumab, which has been suggested to reduce HIV reservoirs but may also impair the homing of donor-derived lymphocytes to the gut mucosa, potentially attenuating a graft-versus-reservoir effect28,29,30. In this case, only a single dose was administered, as concurrent CMV colitis precluded further treatment. Of note, at the time of the patient’s GvHD onset, proviral DNA was already undetectable in formalin-fixed gut biopsies and in peripheral blood at first timepoint of planned analysis a few weeks later. Thus, although we believe the prolonged allo-reaction contributed to the depletion of viral reservoirs, the impact of GvHD or its treatment cannot be determined.
Of potential relevance, the patient received the allograft from an HLA-identical sibling, in contrast to other successful HIV cure cases (Supplementary Table 2). HLA-matching mitigates the risk of unwanted graft–host immune interplay such as graft rejection and GvHD but is not necessary for full donor chimerism. Although full donor chimerism is usually swiftly achieved in peripheral blood, the shift to a predominance of donor lymphocytes may be delayed in other tissues14. Mathematical modelling has suggested that full donor chimerism in combination with negative outgrowth assays and prolonged ATI strongly predicts a functional HIV cure11. A limitation of these models has been the absence of chimerism data from major viral reservoirs such as the gut. Hence, the finding of full donor chimerism in blood, bone marrow and gut, including the terminal ileum, where traces of viral DNA were detected, addresses a gap in prior reports and supports its relevance as a predictor of sustained HIV remission and cure. Although the standardized definition of >95% for full donor chimerism31 can be questioned, both in the context of HIV cure and haematological remission, the definition reflects variability in, for example, assay sensitivity, cell compartment and underlying disease, among other factors. Exclusive DNA purity from gut CD45⁺ cells or the absence of contamination by bone marrow CD34⁺ endothelial cells cannot be conclusively ensured, thereby justifying the use of a conservative definition.
In line with previous HIV cure cases, the patient showed waning antibodies with weak affinity and progressive restriction to only Env-specific antibodies11. Interestingly, all cases of HIV remission with detectable antibody responses have remained seropositive, suggesting one of two possible sources of the antibodies: either remaining long-lived plasma cells from the patient or new plasma cells from the graft exposed to intact HIV or parts of HIV proteins in the window period before full chimerism was established32. The finding of traces of HIV DNA, although without intact proviral DNA in gut biopsies, could have antigen-presenting effects contributing to sustained seropositivity. Of note, because a previous HSCT case (IciS-28) rebounded after ATI despite negative HIV antibodies, it has been speculated that HIV-specific T cell responses could be the most sensitive marker of remaining viral reservoirs11. The absence of HIV-specific T cell responses in our data supports the hypothesis that such an absence correlates with sustained HIV remission.
This study has limitations. As the transplantation from a CCR5Δ32/Δ32 donor was unexpected, there were few samples available from before the transplant. In addition, the sampling, preservation method and limited amount of tissue available after the HSCT restricted the assays that could be performed. For the reservoir analyses of biopsy samples obtained at 1.5 and 5 months post HSCT, only formalin-fixed biopsy material was available. The limited amount and quality of DNA recovered from formalin-fixed tissue is an inherent constraint when working with such samples. Consequently, although we believe an early and prolonged allo-reaction played a substantial role in depleting viral reservoirs, we cannot determine the relative contribution of full donor chimerism, GvHD or treatment of GvHD, including JAK inhibitors, in this process. A strength of the study is the thorough work-up performed 24 months into ATI, with analyses of viral reservoirs, HIV-specific immune responses and donor chimerism from different tissues being performed in independent laboratories, as well as the detailed comparison with previous cure cases, including data from the IciStem cohort.
Moving forward, a critical step will be to compare existing cases of HIV cure to identify the most effective combination of biomarkers. The IciStem cohort provides a solid infrastructure for conducting this analysis33. Conducting individual patient data meta-analyses is a logical next step, ideally followed by prospective sampling and new analyses that apply harmonized protocols in centralized laboratories. Given the potential to perform ATI even after CCR5 wild-type grafts, the identification of reliable biomarkers for predicting sustained remission becomes increasingly important. Furthermore, exploring additional cases involving both wild-type and CCR5Δ32 mutated donors (homozygous and heterozygous) would enhance our understanding of the mechanisms of cure in existing cases, thereby informing future cure research.
Finally, although allogeneic HSCT is not a scalable strategy for HIV cure owing to its substantial procedure-related mortality, most commonly occurring within the first year after transplant, it remains justified to prevent otherwise fatal malignant relapse. In contemporary cohorts, procedure-related (non-relapse) mortality at 1 year has been reported to be in the range of 10–20%. Relapse nevertheless continues to be the leading cause of death, both in those living with HIV and in the general transplant population34,35. Without transplantation these malignancies would, in the vast majority of cases, prove fatal. The case of the Oslo patient contributes valuable evidence to the existing knowledge base regarding HIV cure cases. Moreover, this and other studies on HIV cure enhance our understanding of HIV pathology, molecular mechanisms and predictive biomarkers that may be of broader interest, extending beyond patients treated with allogeneic HSCT.
Methods
Patient consent and ethical considerations
We confirm that this research complies with all relevant ethical regulations. The study protocol was approved by the Norwegian Regional Committee for Medical and Health Research Ethics (REK, approval number REK no. 469419) and was conducted in accordance with the Declaration of Helsinki and institutional guidelines of Oslo University Hospital. The patient provided written informed consent for participation in the study and for publication of anonymized data. In addition to the approvals noted above, the patient was enroled in the IciStem cohort (IciS256) and the EU2Cure cohort (study no. 110723823).
Sample collection and preparation
Whole blood, serum and plasma samples were collected every 3–6 months from transplantation to 48 months follow-up, when the patient also underwent leukapheresis.
PBMC and CD4+ cell isolation
Whole blood was collected in a BD CPT Cell Preparation Tube (Becton Dickinson, cat. no. 362780) coated with sodium heparin, and peripheral blood mononuclear cells (PBMC) were isolated following the manufacturer’s instruction. In brief, CPT tubes were mixed by inverting the tube eight times and centrifuged (1,650g, 15 min, room temperature (RT)). The PBMC layer was transferred to a new tube (Corning 50-ml centrifuge tubes; Merck, cat. no. 430291) and washed twice with phosphate-buffered saline (PBS) (Euroclone, cat. no. ECB5004L), followed by centrifugation (300g, 15 min, RT). A portion of the PBMCs was cryopreserved in 10% dimethyl sulfoxide (DMSO) (Sigma-Aldrich, cat. no. D2650) and 90% foetal calf serum (FCS) (Biowest, cat. no. S181H) and stored at −150 °C for subsequent ELISpot and proliferation analyses. After isolation, PBMCs were resuspended in autoMACS rinsing buffer (Miltenyi Biotec, cat. no. 130-091-222) for positive selection through the magnetic bead isolation of CD4+ cells with human CD4+ MicroBeads (Miltenyi Biotec, cat. no. 120-000-440), following the manufacturer’s instructions using an autoMACS Pro Separator (Miltenyi Biotec, cat. no. 140-005-371.03). Pelleted CD4+ cells (300g, 15 min, RT and supernatant completely removed) were stored at −80 °C before lysis or DNA isolation.
Isolation of CD34+ cells from bone marrow aspirate
A bone marrow aspirate was drawn from the iliac crest using heparin as an anticoagulant. The aspirate was filtered through a 50-µM pore filter, and CD34+ cells were isolated using human CD34 MicroBeads (Miltenyi Biotec, cat. no. 130-046-702), following the manufacturer’s instructions using an autoMACS Pro Separator (Miltenyi Biotec). The cells were pelleted (300g, 15 min, RT), and the supernatant was removed. The CD34+ cells were stored at –80 °C until further analysis.
Colonoscopy and isolation of LPMCs
The patient underwent bowel lavage with 24 h of fasting and with administration of 10 mg sodium picosulphate (CitraFleet) 18 and 5 h before colonoscopy. The colonoscopy, which included the examination of the entire lower intestine and terminal ileum, was performed by an experienced gastroenterologist using a video colonoscope (Olympus). During the procedure, sets of pinch biopsies were collected with a single-use oval cup biopsy forceps with needle (EndoJaw 3.7 mm, Olympus) from sigmoid colon and terminal ileum, respectively. Biopsies for reservoir analysis with ddPCR were preserved in 10% DMSO (Merck, cat. no. 1.02931) and 90% FCS (Biowest, cat. no. S1860-500) and stored at −150 °C. In total, 20 biopsies from each site were pooled in a 50-ml Falcon tube with precooled 30 ml RPMI medium–L-glutamine (Lonza, cat. no. 12-702 F) with 10% FCS and 1% penicillin (100 U ml−1)–streptomycin (100 μg ml−1) (Gibco, cat. no. 10378016). The biopsies from each site were processed separately using an established enzymatic tissue digestion protocol. In brief, biopsies were washed twice in RPMI medium and transferred to digestion tubes containing preheated (37 °C) RPMI collagenase blend type H (1 mg ml−1 final concentration; Sigma-Aldrich, cat. no. C8051-1G) and DNAse I (20 U ml−1 final concentration; Invitrogen, cat. no. 18047-019). The tubes were incubated at 37 °C with gentle agitation for 40 min. Following enzymatic digestion, the samples were placed on ice, and the resulting tissue suspensions were repeatedly aspirated and expelled until a homogeneous single-cell suspension was obtained. The suspension was then filtered through a 70-μm cell strainer and washed once with cold medium. Lamina propria mononuclear cells (LPMCs) were cryopreserved in 10% DMSO (Sigma-Aldrich, cat. no. D2650) and 90% FCS (Biowest, cat. no. S181H) and stored at −150 °C until further analysis.
LPMCs were thawed, washed and rested for 12 h before staining. Cells were then washed and stained for 30 min at RT with the following fluorochrome-conjugated antibodies: anti-CD45 PerCP-Cy5.5 (BD Biosciences, cat. no. 332784), anti-CD3 AmCyan (BD Biosciences, cat. no. 339186), anti-CD4 PE (BD Biosciences, cat. no. 566910) and anti-CD8 APC (BD Biosciences, cat. no. 555369). CD45+ cells were sorted on a BD FACS Melody cell sorter (BD Biosciences) by gating on lymphocytes (forward scatter (FSC)-height (H) versus side scatter (SSC)-H), followed by gating on single (FSC-H versus SSC-width) CD45+ cells. Sorted cells were pelleted and cryopreserved for downstream analyses.
HIV reservoir quantification in blood
Plasma HIV RNA quantification
Blood samples were collected in BD Vacutainer standard EDTA-containing tubes or BD Vacutainer plasma preparation tubes (PPTs, cat. no. 362788). Standard EDTA-containing tubes were centrifuged at 1,100g for 20 min within 6 h of sample collection. PPTs were centrifuged at 1,100g for 10 min within 2 h of collection before transportation. PPTs centrifuged before transportation were recentrifuged after transport to minimize the number of peripheral blood cells in the plasma. The plasma samples were transferred to a secondary tube and stored at −70 °C until the day of analysis. The quantification of HIV RNA in EDTA-plasma was performed by the Cobas AmpliPrep-Cobas TaqMan HIV test, v1.0 before 2010 (Roche, cat. no. 03542998) and v2.0 from 2010 (Roche, cat. no. 05212308). From 2018, Cobas HIV on the 6800 system (Roche) was used. All tests were performed according to manufacturer’s instructions, and the limit of quantification was 40 HIV RNA copies per millilitre until 2010 and 20 copies ml−1 thereafter.
The ultrasensitive viral load was measured 48 months post HSCT. In brief, 9 ml of plasma were ultraconcentrated at 170,000g at 4 °C for 30 min. Viral RNA was extracted from the pellet using the m2000sp Abbott 244 RealTime HIV Assay device and the corresponding laboratory-defined application software. HIV RNA was quantified with a validated in-house calibration curve, set with a limit of detection (LOD) of 0.11 copies ml−1.
HIV proviral DNA routine analysis
HIV qualitative proviral DNA analysis was performed regularly post HSCT. Total nucleic acids were isolated from 200 µl EDTA whole blood using the EZ1 Advanced XL extraction instrument with the DSP Virus Card and EZ1 DSP Virus Kit (Qiagen, cat. no. 62724). The elution volume was 150 µl. HIV DNA was amplified by an in-house multiplex nested PCR in six parallel reactions with the JA17 through JA20 primer sets, which target the pol gene36, and the OG 462 and OG 502 primer set, which targets the vif region37. See Supplementary Table 3 for primer sequences. The first PCR was performed in a total volume of 50 µl containing 10 µl DNA extract, 1× AccuStart II PCR ToughMix (Quanta Biosciences, cat. no. 95142-100), 0.25 µM each of the primers JA17_IF and JA20_IR, OG462_IF and OG502_IR and was run on a Perkin Elmer GeneAmp PCR System 2720 (Applied Biosystems, Thermo Fisher). The cycling conditions were 5 min at 95 °C, followed by 25 cycles with 26 s at 94 °C, 30 s at 50 °C and 59 s at 72 °C, and the final extension was at 72 °C for 5 min. The nested PCR was performed in a total volume of 50 µl containing 1 µl of the first PCR product and 0.25 µM each of primers JA18 IIF and JA19_IIR, OG465_IIF and OG483_IIR using the same PCR master mix and PCR conditions as described for the first PCR. See Supplementary Table 3 for primer sequences. The PCR products were visualized by agarose gel electrophoresis and ethidium bromide staining. A quantitative PCR assay using primers and probe targeting the human retinoblastoma (RB) gene were used as an internal extraction control38. The PCR assay was performed in a total volume of 25 μl containing 5 µl DNA extract, 1× TaqMan Universal PCR Master Mix, no AmpErase UNG (Applied Biosystems, cat. no. 4324018), 0.4 μM of each forward and reverse primer and 0.2 μM probe. The forward primer RB1-2672F, the reverse primer RB1-2750R and the probe RB1-2727_FAM were synthesized by Tib-Molbiol. The thermal cycling was performed on AriaDx real-time PCR instrument (Agilent Technologies) with cycling conditions set at: initial denaturation at 95 °C for 10 min followed by 45 cycles of 95 °C for 15 s and 60 °C for 60 s.
HIV DNA quantification in CD4+ T cells by ddPCR
Proviral total HIV-1 DNA was quantified from CD4+ T cells isolated from leukapheresis sampled 48 months post HSCT and HIV-negative control samples. Genomic DNA was isolated using the AllPrep DNA/RNA Mini Kit (Qiagen, cat. no. 80204) according to the manufacturer’s instructions. Total HIV-1 DNA and RPP30 was measured by ddPCR15. Reaction mixtures consisted of 1× Supermix no dUTP (Bio-Rad, cat. no. 1863025), 400 nM primers (Integrated DNA Technologies) and 125 nM probes (Thermo Fisher) targeting long terminal repeat (LTR)/gag, DNA template (4 µl and 2 µl for HIV and RPP30 reactions, respectively) and H2O to a final volume of 22 µl. See Supplementary Table 3 for primer and probe sequences. Droplets were prepared using the Automated Droplet Generator (Bio-Rad) and cycled at 95 °C for 10 min, 45 cycles of 95 °C for 30 s, 59 °C annealing and extension for 60 s and, finally, 98 °C for 10 min. Droplet analysis was performed on a QX200 Droplet Reader (Bio-Rad) using the QX Manager software (Bio-Rad, version 2.1.0.25). HIV and human RPP30 reactions were performed separately in parallel, and the results were normalized to the amount of DNA input.
The cross-subtype intact proviral DNA assay (CS-IPDA) was used to assess intact proviral HIV DNA39,40. CD4+ T cells were isolated from PBMCs (CD4+ T Cell Isolation Kit, Miltenyi Biotec, cat. no. 130-096-533), and genomic DNA was extracted using a method optimized to minimize DNA shearing41. First, cell pellets were resuspended in 3 M guanidine HCl (Life Technologies, cat. no. 24115) and 20 mM proteinase K (Qiagen, cat. no. 19133) and incubated at 56 °C for 1 h. Then, 6 M guanidine isothiocyanate (Merck, cat. no. 50983) was added and incubated at 42 °C for 10 min followed by precipitation of DNA using isopropanol (Merck, cat. no. I9516). Samples were resuspended in buffer EB (Qiagen, cat. no. 19086), and the extracted genomic DNA (gDNA) was then digested by Bg1I (New England Biolabs, cat. no. R0143L) overnight. Finally, DNA was precipitated using ethanol and resuspended in buffer EB at 150 ng µl−1. The number of intact HIV copies per million CD4+ T cells was measured by multiplex ddPCR, targeting LTR/gag, 5′ pol and env, and the number of CD4+ T cells assayed was measured by the reference assay targeting RPP30 and deltaD, using the primers and probes in Supplementary Table 3. Reaction mixtures (final volume of 22 µl) were prepared as follows: HIV multiplex (LTR–gag/env/pol) reactions comprising 1× Supermix no dUTP (Bio-Rad, cat. no. 186-3024), 0.225 µM Env primer–probe mix, 0.228 µM 5′LTR/gag primer–probe mix, 0.288 µM 5′pol primer–probe mix, 3.7 µl nuclease-free water, 4 µl template. For the reference (RPP30/deltaD) reactions, 1× Supermix no dUTP (Bio-Rad, cat. no. 186-3024), 0.550 µM 5′RPP30 primer–probe mix, 0.550 µM 3′ RPP30 primer–probe mix, 0.550 µM deltaD primer–probe mix, 3 µl nuclease-free water and 2 µl template were mixed in a total volume of 22 µl. Droplets were prepared using the Automated Droplet Generator (Bio-Rad) and cycled at 95 °C for 10 min, 65 cycles of 94 °C for 30 s, 60.5 °C annealing/extension for 60 s and, finally, 98 °C for 10 min. Droplet analysis was performed on a QX200 Droplet Reader (Bio-Rad) using the QX Manager software (Bio-Rad, version 2.1.0.25). Gates for single-, dual- and triple-positive HIV-1 droplets were set on the basis of the positive control. HIV and human RPP30 reactions were performed separately in parallel, and the results were normalized to the amount of DNA input.
qVOA
For qVOA determination, we set up a limiting dilution virus culture assay using 65 million CD4+T cells from leukapheresis. Cryopreserved PBMCs were subject to negative selection to isolate total CD4 T cells using the Miltenyi CD4+ T Cell Isolation Kit (cat. no. 130-096-533), following the manufacturers’ instructions. On the same day, CD4+ T cells were played in 96-well round bottom culture plates at 50,000 CD4+ T cells per well (total of 1,312 culture wells) and cultured in medium consisting of RPMI with L-glutamine, 1% streptomycin and penicillin, 10% FCS, recombinant human IL-2 (100 U ml−1) (Gibco, cat. no. PHC0027) and conditioned media from a mix lymphocyte reaction culture. The cells were then stimulated with 1 µg ml−1 phytohemagglutinin (Remel PHA Purified, Thermo Scientific, cat. no. R30852801) in the presence of irradiated allogeneic PBMCs from HIV-negative healthy donors (10,000 cells per well), with a total culture volume of 200 µl. Culture wells consisting of irradiated PBMCs from healthy donors (10,000 cells per well) in 200 µl media with PHA were included as negative controls, and wells consisting of irradiated PBMCs (10,000 cells per well) and 30,000 ACH2 cells in 200 µl media with PHA were included as positive controls. After 2 days, the PHA was washed away, and the cultures were supplemented with 10,000 MOLT4/CCR5 cells per well. On days 5, 7 and 9, the culture media was replenished. On day 9, the cultures were supplemented with a further 10,000 MOLT4/CCR5 cells per well. On day 12, 50 µl culture supernatants were transferred to cultures of TZMbl cells (10,000 cells per well; total volume 200 µl; cultured in DMEM + 10% FBS), and these were cultured for a further 3 days. The number of infectious HIV units per million CD4+ T cells was then measured in a firefly luciferase reporter assay in TZMbl cells using the Britelite plus Reporter Gene Assay System, 100 ml (Perkin Elmer, cat. no. 6066761) and calculated using limiting dilution analysis42. As the qVOA experiment yielded no positive culture wells, the limit of quantification was assigned as the infectious units per million cells (IUPM) value for one culture well of viral outgrowth in the same experimental conditions. ACH2 cells (cat. no. 349), MOLT4/CCR5 (cat. no. 4984) and TZM-bl cells (cat. no. 8129) were obtained from the NIH HIV Reagent Program.
HIV reservoir quantification in tissues
Ileum and sigmoid colon biopsies (8 and 12 pieces, respectively) obtained 48 months post HSCT were cryopreserved as described above. After thawing, the biopsies were processed to isolate lamina propria leucocytes (LPLs)43 by incubating them in Hank’s Balanced Salt Solution (HBSS; without Ca2+/Mg2+, Gibco, cat. no. 14170-070) containing 1 mM dithiothreitol (DTT; Sigma-Aldrich, cat. no. D5545-1G) and 1 mM EDTA (Gibco, cat. no. 15575-020) for 25 min, at RT with constant shaking, to remove the epithelial layer. Then, biopsies were transferred to fresh complete media, containing antifungal and antibiotics, and one to two biopsies per well were cultured overnight in six-well low-binding plates (Costar, cat. no. CLS-3471-24EA). Afterwards, culture supernatants were collected to recover the released cells, and the remaining tissue was disrupted by gentle pipetting. Finally, cell suspensions were cleared from tissue debris using a 40-μm nylon mesh (BD Falcon, cat. no. 734-0002). LPMCs were resuspended in PBS (Gibco) supplemented with 2 mM EDTA and 2% FBS and stained for 30 min at 4 °C with the following fluorochrome-conjugated antibodies: anti-CD45 FITC (Becton Dickinson, cat. no. 555482), anti-CD3 APC (Becton Dickinson, cat. no. 555335) and anti-CD8 PerCP (Becton Dickinson, cat. no. 345884). CD45⁺ cells were sorted using a BD FACS Aria II cell sorter (BD Biosciences) by first gating on singlets (FSC-H versus FSC-area (A)) and then selecting CD45⁺ cells from the lymphocyte gate (SSC-A versus FSC-A). Sorted CD45⁺ cells, defined as LPLs, were pelleted and resuspended in lysis buffer at a concentration of 5 × 10⁴ cells μl−1 (minimum volume of 10 μl). The lysis buffer consisted of 0.1% Triton X-100 (Sigma-Aldrich, cat. no. T8787) and 400 μg ml−1 proteinase K (Ambion, cat. no. AM2546) in 10 mM Tris–HCl (pH 9.0, Sigma-Aldrich, cat. no. T2819). Cell lysates were incubated at 55 °C for 15–20 h, followed by proteinase K inactivation at 95 °C for 5 min and then stored at −20 °C. Cells were lysed, and HIV DNA was quantified by LPL-viral-DNA ddPCR assay targeting LRT and gag43. Total proviral HIV DNA was measured with probes targeting 5′ LTR and gag (FAM/HEX-ZEN-Iowa BlackFQ double-quenched probes, Integrated DNA Technologies). See Supplementary Table 3 for primer and probe sequences. Potential primer–template mismatches from viral sequence variation were avoided by using two primer–probe sets targeting conserved regions of the HIV-1 genome (5′ LTR and gag). For each reaction, 2 µl lysate was mixed with ddPCR Supermix for Residual DNA quantification (Bio-Rad, cat. no. 186–4037), 0.9 µM primers and 0.25 µM probe and H2O to a final volume of 20 µl. The annealing and extension step was set at 57 °C to quantify vDNA using the C1000 Touch Thermal Cycler (Bio-Rad) and subsequently analysed using a QX100 droplet reader (Bio-Rad) and the QuantaSoft v.1.6 software (Bio-Rad). PBMCs from HIV-negative donors were used as negative controls and assayed in each plate to set the positive and negative threshold for ddPCR analysis, and the number of those negative control wells was the same as replicas for each sample. Undetectable values are represented as the value of the LOD. LOD was defined as the lowest HIV DNA concentration that would produce one positive target in the set of wells analysed. Total cell counts were calculated from RPP30 measurements across all wells, and the LOD is reported as HIV copies per 10⁶ cells. Undetectable samples are reported as the value of the LOD. Intact proviral HIV DNA was analysed by IPDA as described above.
Formalin-fixed biopsy samples collected at days 45 and 155 post HSCT were processed for DNA extraction using the AllPrep DNA/RNA FFPE kit (Qiagen, cat. no. 80234) on a QIAcube automated workstation (Qiagen), following the manufacturer’s instructions and eluted in 100 µl. Extracted DNA was quantified on a Qubit fluorometer and assessed for purity using Nanodrop spectrophotometer before downstream analysis. Total proviral HIV DNA was quantified by ddPCR using the QX200 ddPCR System (Bio-Rad Laboratories), targeting the 5′ LTR and gag regions, as described above in this section, using 4.45 µl eluate as input for LTR/gag and 1.1 µl input for RPP3043.
CCR5 genotyping and viral coreceptor tropism analysis
Testing for the CCR5Δ32 allele was performed in a buccal swab sample from the donor at DKMS Life Science Lab in Dresden, Germany and in a blood sample from the patient at Histogenetics Lab in NY, USA.
For viral coreceptor tropism analysis, HIV RNA was isolated from 400 µl EDTA-plasma collected in 2006, using the protocol Total_NA_Plasma_100_400_V3_2 on the MagNA Pure Compact extraction instrument (Roche) and Magna Pure Compact Nucleic Acid Isolation Kit I (Roche, cat. no. 03730964001). The elution volume was 50 µl. HIV RNA was amplified by nested reverse transcriptase PCR (RT–PCR) using the primers targeting the V3-loop of the env gene44. The RT–PCR was performed in a total volume of 50 µl using One-Step RT–PCR kit (Qiagen, cat. no. 210212) according to the manufacturer’s instructions, 10 µl RNA extract, 0.2 µM each of primers V3-forward and V3-reverse, 0.4 mM deoxynucleoside triphosphates each and 20 U RNasin (Promega, cat. no. N2111). See Supplementary Table 3 for primer sequences. RT–PCR was run on a Perkin Elmer GeneAmp PCR System 2720 (Biosystems) under the following cycling conditions: 30 min at 50 °C, 15 min at 95 °C, followed by 35 cycles with 30 s at 95 °C, 30 s at 57 °C and 90 s at 72 °C, and the final extension was at 72 °C for 10 min. The nested PCR was performed in a total volume of 50 µl containing 1 µl RT–PCR product, 1× AccuStart II PCR ToughMix (Quanta Biosciences, cat. no. 95142-04 K) and 0.2 µM each of primers V3-nested-for and V3-nested-rev and run on a Perkin Elmer GeneAmp PCR System 2720 (Applied Biosystems) under the following cycling conditions: 3 min at 94 °C, followed by 33 cycles with 30 s at 94 °C, 30 s at 57 °C and 60 s at 72 °C, and the final extension was at 72 °C for 5 min.
Before cycle sequencing, the nested PCR product was diluted 1:50 in PCR-grade water. The cycle sequencing was performed by forward and reverse priming using the PCR primers V3-nested-for and V3-nested-rev, BigDye Terminator v1.1 Cycle Sequencing Kit (Applied Biosystems, cat. no. 4337450) and 2 µl diluted PCR product. The amplification was performed using a Perkin Elmer GeneAmp PCR System 2720 (Applied Biosystems) with cycling conditions set at: 25 cycles at 96 °C for 10 s, 50 °C for 5 s and 60 °C for 150 s and kept at 4 °C until ready for purification with BigDye XTerminator (Applied Biosystems, cat. no. 4376486). Nucleotide sequences were determined by Sanger’s dideoxy chain termination method using the automated capillary DNA sequencer, Applied Biosystems 3130xl Genetic Analyser (Thermo Fisher). Coreceptor tropism was determined by analysing the V3 sequence using the online bioinformatics tool geno2pheno[coreceptor] (https://coreceptor.geno2pheno.org/). The submitted sequence returned a score termed the false positive rate, which is defined as the probability of incorrectly classifying an R5 strain as X4 with a cut-off more than 10% (ref. 12).
HIV antibody detection
Plasma samples from multiple time points were analysed using a qualitative western blot, with the MP Diagnostics HIV Blot 2.2 kit (MP Biomedicals, cat. no. 11030-018), following the manufacturer’s instructions.
The sample from 48 months post HSCT was analysed by the standard version of the LIASON XL HIV Ag/Ab assay (DiaSorin, cat. no. 310260). The same platform was used to measure avidity45. Samples were diluted in duplicate in 200-μl aliquots at 1:10 in PBS or 1 M guanidine, using 20 μl of plasma to 180 μl of PBS or guanidine and incubating at RT for 10 min. Both guanidine- and PBS-treated duplicates were tested using the manufacturer’s recommended procedure for the LIASON XL HIV Ag/Ab assay. The avidity results were reported as an avidity index, which was calculated as a ratio of the S/C of the sample incubated in guanidine to the S/C of the sample incubated in PBS. Using a selection of samples from the IciStem cohort, a standard curve was created to compare values from the LIASON XL HIV Ag/Ab to the avidity versions of the VITROS Anti-HIV assay. These results were then compared with earlier cohort data45.
HIV-specific T cell response assay
The IFN-γ ELISpot and lymphocyte proliferation assays were performed on cryopreserved PBMCs. PBMCs used for ELISpot were left for 3 h at 37 °C, whereas for lymphocyte proliferation assay, they were processed immediately. Positive control samples from PWH (n = 2) were obtained from the ROADMAP study46. A confirmed HIV-negative buffy coat donor served as the negative control (n = 1).
In the IFN-γ ELISpot assay, 1 × 105 cells per well were seeded in Multiscreen 96-well plates (Millipore, MSIPS4W10) precoated with unconjugated anti-human IFN-γ monoclonal antibody (clone 1-D1K; Mabtech, cat. no. 3420-3-1000). PBMCs were stimulated and incubated overnight (~18 h). For each sample replicate, eight conditions were examined: three negative controls (DMSO), three HIV-1 peptide pools each at a concentration of 1 μg ml−1 (Gag (JPT, PM-HIV-Gag), Nef (JPT, PM-HIV-Nef), Pol (JPT, PM-HIV-Pol)), two positive controls (CEF peptide pool (JPT, PM-CEF-S-3, 1 μg ml−1) and staphylococcal enteroxin B (SEB, 1 μg ml−1)). Following incubation, plates were washed and incubated for 1 h with biotinylated anti-human IFN-γ monoclonal antibody (clone 7-B6-1, Mabtech, cat. no. 3420-6-250). After washing, plates were incubated for 1 h with streptavidin–alkaline phosphatase conjugate (Mabtech, cat. no. 3310-10-1000). Spots were developed by the AP conjugate substrate kit (Bio-Rad, cat. no. 1706432) and counted using the CTL Immunospot reader (S6 Entry M2, Cellular Technology). Responses were quantified as spot-forming cells (SFC) per 106 input cells. A response was considered positive if the background-subtracted spot count exceeded the highest of the following three criteria: ≥5 spots per well, mean number of spots in negative-control wells plus three standard deviations or three times the mean number of spots in negative-control wells.
For the lymphocyte proliferation assay, PBMCs (1 million per millilitre) were stained with 5 µM CellTrace Violet (Thermo Fisher, C34557) for 20 min at RT. Subsequently, the reaction was quenched by adding RPMI glutamine supplemented with penicillin–streptomycin and 10% FCS at five times the original staining volume and incubated for 5 min at RT. Stained cells were seeded in 96-well U-bottom plates at 2 × 105 cells per well and stimulated with three different HIV peptide pools: Gag (JPT, PM-HIV-Gag), Nef (JPT, PM-HIV-Nef) and Pol (JPT, PM-HIV-Pol) at a final concentration of 1 µg ml−1 for 6 days. DMSO served as an assay negative control, whereas anti-human CD3 and anti-human CD28.2 (Nordic Biosite) were used as positive controls.
On day six, cells were stained for viability (LIVE/DEAD Fixable NEAR-IR, Invitrogen) by incubating for 20 min at RT. Cells were then treated with Human TruStain FcX (BioLegend, cat. no. 422302) for 10 min at RT, followed by 30 min of surface staining (PE/Dazzle 594 anti-human CD3 (Biolegend, cat. no. 317345), PE/Fire 700 anti-human CD4 (Biolegend, cat. no. 344665) and APC anti-human CD8 (Biolegend, cat. no. 344721)) in Brilliant Stain Buffer Plus (BD Horizon, cat. no. 566385) at RT. Samples were acquired on the MACSQuant16 (Miltenyi Biotec) and analysed using FlowJo v10.8.1 (BD Biosciences). The percentage of proliferating cells was determined by gating cells dimmer than the undivided peak with the DMSO control subtracted. The gating strategy is illustrated in Extended Data Fig. 2.
Chimerism analysis
The assessment of donor chimerism by short tandem repeat PCR analysis was performed by the Department of Forensic Medicine, Oslo University Hospital, as part of routine practice following HSCT, on the basis of donor and patient profiles obtained before HSCT. The method enables quantitative detection of recipient DNA with an analytical sensitivity of approximately 1%. DNA was isolated from peripheral blood (total nuclear cells) and CD2+ lymphocytes selected by magnetic beads (Dynabeads CD2, Invitrogen, cat. no. 111590), gut leucocytes (CD45+ cells sorted by flow cytometry as described above) and bone marrow stem cells (CD34+ cells) as described above. DNA was extracted using the EZ1&2 DNA blood kit (Qiagen, cat. no. 951054) and eluted in 350 µl. PCR amplification and short tandem repeat analysis were performed using the Promega PowerPlex Fusion 6C System (Promega).
Histology
Endoscopic biopsies were formalin-fixed and paraffin-embedded, cut at 4 µm and stained with haematoxylin and eosin. The slides were scanned, and images were obtained with Slideviewer (3DHISTECH).
Reporting summary
Further information on research design is available in the Nature Portfolio Reporting Summary linked to this article.
Data availability
Data may be requested from the corresponding author, M. Trøseid (marius.troseid@medisin.uio.no). All requests will receive an initial response within ten working days. The timeline for providing the data will depend on the scope and purpose of the request and the time needed to ensure compliance with GDPR and to protect participant confidentiality. Source data are provided with this paper.
References
Wong, J. K. et al. Recovery of replication-competent HIV despite prolonged suppression of plasma viremia. Science 278, 1291–1295 (1997).
Finzi, D. et al. Identification of a reservoir for HIV-1 in patients on highly active antiretroviral therapy. Science 278, 1295–1300 (1997).
Chun, T. W. et al. Presence of an inducible HIV-1 latent reservoir during highly active antiretroviral therapy. Proc. Natl Acad. Sci. USA 94, 13193–13197 (1997).
Hütter, G. et al. Long-term control of HIV by CCR5 Δ32/Δ32 stem-cell transplantation. N. Engl. J. Med. 360, 692–698 (2009).
Gupta, R. K. et al. HIV-1 remission following CCR5Δ32/Δ32 haematopoietic stem-cell transplantation. Nature 568, 244–248 (2019).
Jensen, B. O. et al. In-depth virological and immunological characterization of HIV-1 cure after CCR5Δ32/Δ32 allogeneic hematopoietic stem cell transplantation. Nat. Med. 29, 583–587 (2023).
Dickter, J. K. et al. HIV-1 remission after allogeneic hematopoietic-cell transplantation. N. Engl. J. Med. 390, 669–671 (2024).
Hsu, J. et al. HIV-1 remission and possible cure in a woman after haplo-cord blood transplant. Cell 186, 1115–1126 (2023).
Sáez-Cirión, A. et al. Sustained HIV remission after allogeneic hematopoietic stem cell transplantation with wild-type CCR5 donor cells. Nat. Med. 30, 3544–3554 (2024).
Gaebler, C. et al. Sustained HIV-1 remission after heterozygous CCR5Δ32 stem cell transplantation. Nature 650, 701–709 (2026).
Salgado, M. et al. Dynamics of virological and immunological markers of HIV persistence after allogeneic haematopoietic stem-cell transplantation in the IciStem cohort: a prospective observational cohort study. Lancet HIV 11, e389–e405 (2024).
Vandekerckhove, L. P. et al. European guidelines on the clinical management of HIV-1 tropism testing. Lancet Infect. Dis. 11, 394–407 (2011).
Kotla, V. et al. Mechanism of action of lenalidomide in hematological malignancies. J. Hematol. Oncol. 2, 36 (2009).
Divito, S. J. et al. Peripheral host T cells survive hematopoietic stem cell transplantation and promote graft-versus-host disease. J. Clin. Invest. 130, 4624–4636 (2020).
Leth, S. et al. HIV-1 transcriptional activity during frequent longitudinal sampling in aviremic patients on antiretroviral therapy. AIDS 30, 713–721 (2016).
McMyn, N. F. et al. The latent reservoir of inducible, infectious HIV-1 does not decrease despite decades of antiretroviral therapy. J. Clin. Invest. https://doi.org/10.1172/jci171554 (2023).
Siliciano, J. D. et al. Long-term follow-up studies confirm the stability of the latent reservoir for HIV-1 in resting CD4+ T cells. Nat. Med. 9, 727–728 (2003).
Verheyen, J. et al. Rapid rebound of a preexisting CXCR4-tropic human immunodeficiency virus variant after allogeneic transplantation with CCR5 Δ32 homozygous stem cells. Clin. Infect. Dis. 68, 684–687 (2019).
Martínez-Bonet, M. et al. Relationship between CCR5((WT/Δ32)) heterozygosity and HIV-1 reservoir size in adolescents and young adults with perinatally acquired HIV-1 infection. Clin. Microbiol. Infect. 23, 318–324 (2017).
Henrich, T. J. et al. CCR5-Δ32 heterozygosity, HIV-1 reservoir size, and lymphocyte activation in individuals receiving long-term suppressive antiretroviral therapy. J. Infect. Dis. 213, 766–770 (2016).
Wu, H. L. et al. Allogeneic immunity clears latent virus following allogeneic stem cell transplantation in SIV-infected ART-suppressed macaques. Immunity 56, 1649–1663 (2023).
Henrich, T. J. et al. Antiretroviral-free HIV-1 remission and viral rebound after allogeneic stem cell transplantation: report of 2 cases. Ann. Intern. Med. 161, 319–327 (2014).
Solloch, U. V. et al. Frequencies of gene variant CCR5-Δ32 in 87 countries based on next-generation sequencing of 1.3 million individuals sampled from 3 national DKMS donor centers. Hum. Immunol. 78, 710–717 (2017).
Prator, C. A., Donatelli, J. & Henrich, T. J. From Berlin to London: HIV-1 reservoir reduction following stem cell transplantation. Curr. HIV/AIDS Rep. 17, 385–393 (2020).
Gavegnano, C. et al. Novel mechanisms to inhibit HIV reservoir seeding using Jak inhibitors. PLoS Pathog. 13, e1006740 (2017).
Gavegnano, C. et al. Ruxolitinib and tofacitinib are potent and selective inhibitors of HIV-1 replication and virus reactivation in vitro. Antimicrob. Agents Chemother. 58, 1977–1986 (2014).
Wang, L., Yukselten, Y., Nuwagaba, J. & Sutton, R. E. JAK/STAT signaling pathway affects CCR5 expression in human CD4+ T cells. Sci. Adv. 10, eadl0368 (2024).
Jimenez-Leon, M. R. et al. Vedolizumab and ART in recent HIV-1 infection unveil the role of α4β7 in reservoir size. JCI Insight https://doi.org/10.1172/jci.insight.182312 (2024).
Santangelo, P. J. et al. Early treatment of SIV+ macaques with an α4β7 mAb alters virus distribution and preserves CD4+ T cells in later stages of infection. Mucosal Immunol. 11, 932–946 (2018).
Arthos, J. et al. The role of integrin α4β7 in HIV pathogenesis and treatment. Curr. HIV/AIDS Rep. 15, 127–135 (2018).
Sureda, A. et al. Harmonizing definitions for hematopoietic recovery, graft rejection, graft failure, poor graft function, and donor chimerism in allogeneic hematopoietic cell transplantation: a report on behalf of the EBMT, ASTCT, CIBMTR, and APBMT. Bone Marrow Transplant. 59, 832–837 (2024).
Eberhard, J. M. et al. Vulnerability to reservoir reseeding due to high immune activation after allogeneic hematopoietic stem cell transplantation in individuals with HIV-1. Sci. Transl. Med. 12, eaay9355 (2020).
Martinez-Picado, J., Kwon, M. & Salgado, M. The power of ten in HIV remission: insights from hematopoietic stem cell transplantation. Curr. Opin. HIV AIDS 20, 456–462 (2025).
Arslan, S. et al. Risks and outcomes of allogeneic hematopoietic stem cell transplantation for hematologic malignancies in patients with HIV infection. Biol. Blood Marrow Transplant. 25, e260–e267 (2019).
McDonald, G. B. et al. Survival, nonrelapse mortality, and relapse-related mortality after allogeneic hematopoietic cell transplantation: comparing 2003–2007 versus 2013–2017 cohorts. Ann. Intern. Med. 172, 229–239 (2020).
Albert, J. & Fenyö, E. M. Simple, sensitive, and specific detection of human immunodeficiency virus type 1 in clinical specimens by polymerase chain reaction with nested primers. J. Clin. Microbiol. 28, 1560–1564 (1990).
Grankvist, O. et al. Nested PCR assays with novel primers yield greater sensitivity to Tanzanian HIV-1 samples than a commercial PCR detection kit. J. Virol. Methods 62, 131–141 (1996).
Andréasson, H., Gyllensten, U. & Allen, M. Real-time DNA quantification of nuclear and mitochondrial DNA in forensic analysis. Biotechniques 33, 402-404–407-411 (2002).
Fish, C. S. et al. Protocol for high-throughput reservoir quantification across global HIV subtypes using a cross-subtype intact proviral DNA assay. STAR Protoc. 3, 101681 (2022).
Cassidy, N. A. J. et al. HIV reservoir quantification using cross-subtype multiplex ddPCR. iScience 25, 103615 (2022).
Green, M. R. & Sambrook, J. Precipitation of DNA with ethanol. Cold Spring Harb. Protoc. https://doi.org/10.1101/pdb.prot093377 (2016).
Hu, Y. & Smyth, G. K. ELDA: extreme limiting dilution analysis for comparing depleted and enriched populations in stem cell and other assays. J. Immunol. Methods 347, 70–78 (2009).
Morón-López, S. et al. Sensitive quantification of the HIV-1 reservoir in gut-associated lymphoid tissue. PLoS ONE 12, e0175899 (2017).
Paar, C., Geit, M., Stekel, H. & Berg, J. Genotypic prediction of human immunodeficiency virus type 1 tropism by use of plasma and peripheral blood mononuclear cells in the routine clinical laboratory. J. Clin. Microbiol. 49, 2697–2699 (2011).
Keating, S. M. et al. Lower-sensitivity and avidity modifications of the VITROS anti-HIV 1+2 assay for detection of recent HIV infections and incidence estimation. J. Clin. Microbiol. 50, 3968–3976 (2012).
Gruell, H. et al. Effect of 3BNC117 and romidepsin on the HIV-1 reservoir in people taking suppressive antiretroviral therapy (ROADMAP): a randomised, open-label, phase 2A trial. Lancet Microbe 3, e203–e214 (2022).
Acknowledgements
We thank the Oslo patient for his invaluable contributions. We thank the contribution of G. Campos-González, I. González-Navarro, M. d. C. García-Guerrero from IrsiCaixa; Á. Hernández Rodríguez, V. González Soler y G. Fernández-Rivas from the Microbiology Department of the University Hospital Germans Trias i Pujol; and G. Requena from Germans Trias i Pujol Research Institute. We thank the Flow Cytometry Core Facility and the Department of Forensic Medicine at Oslo University Hospital for their technical support. Research in the JM-P lab was supported by the Spanish Ministry of Science and Innovation (grant nos. PID2019-109870RB-I00, PID2022-139271OB-I00 and CB21/13/ 00063, Spain), NIH/NIAID (grant nos. 1 UM1 AI164561-01 and 1P01AI178376-01, USA), EU HORIZON-HLTH-2021-DISEASE-04-07 (grant nos. 101057100 and 101095606, European Union), Research Centers of Catalonia (CERCA, grant no. 2017 SGR 252, Spain), Fundació La Marató de TV3 (grant no. 202120-30-31-32, Spain), Generalitat de València (grant no. PROMETEO/2021/ 036, Spain) and Grifols (Spain). M.S. was supported by the Miguel Servet Fellowship Program (grant no. CP22/00038) and I+D+I RTI-A Grant (grant no. PID2023-147320OB-100) from the Ministry of Science and Innovation. Work in the O.S.S. lab was funded by the Danish Council for Independent Research (grant no. 3101-00360B OSS), Central Region Denmark Research Fund, the Lundbeck Foundation (J.D.G.: grant no. R381–2021–1405), The Novo Nordisk Foundation (grant no. NNF24OC0095086) and Aarhus University. Research reported in this publication was also supported by the National Institute of Allergy and Infectious Diseases of the National Institutes of Health (award no. 1R01AI184285; O.S.S.).
Author information
Authors and Affiliations
Consortia
Contributions
The authors in the Oslo HIV Cure Study Group are listed alphabetically within each institution. A.E.M., M.H.M.-M., M.K. and M.Tr. designed the study. A.E.M., M.H.M.-M., H.H.G., B.H., A.M.D.-R., A.M.B.K. J.S.B., D.H.R., P.A., T.G.-D., T.B.D., M.K. and M. Trøseid conceived and coordinated experiments. M.H.M.-M., H.H.G., O.S.S., M. Tolstrup, M.H.P., A.K.J., M.H.S., J.D.G., A.T., K.S.F., A-M.B.K., M.S. and J.M.P. designed, performed and analysed the experiments. A.E.M., M.H.M.-M., H.H.G., M.K. and M. Trøseid wrote the manuscript. H.H.G., A.K.J., K.S.F., A.T. and M.S. designed the figures. All authors gave conceptual advice and commented on the manuscript.
Corresponding authors
Ethics declarations
Competing interests
A.E.M. has received consultancy fees and research funding from Medac (treosulfan), speaker honoraria from Novartis (ruxolitinib) and consultancy and speaking fees from Takeda (vedolizumab); none of which were related to this study. M.H.M.-M. has received consultancy and speaker fees from GSK and ViiV Healthcare; none of which were related to this study. The other authors declare no competing interests.
Peer review
Peer review information
Nature Microbiology thanks Scott Kitchen, Gabrielle Meyers and the other, anonymous, reviewer(s) for their contribution to the peer review of this work. Peer reviewer reports are available.
Additional information
Publisher’s note Springer Nature remains neutral with regard to jurisdictional claims in published maps and institutional affiliations.
Extended data
Extended Data Fig. 1 Histological image of small intestinal mucosa post HSCT.
A) Histological image of small intestinal mucosa with acute graft-versus-host disease on day 44 post HSCT. Note epithelial cell apoptosis (some arrowed) and granulation tissue as a sign of mucosal ulceration (right side). B) Histological image of small intestinal mucosa with normal morphology obtained from terminal ileum 48 months post HSCT. Histology sections from two separate tissue blocks were evaluated at each time point, and the images shown are representative of the evaluated sections.
Extended Data Fig. 2 Gating strategy for lymphocyte proliferation.
Gating strategy for the lymphocyte proliferation assay. Live cells were gated as the negative population in a dead cell stain. Single cells were gated in an SSC-A/SSC-H plot, while lymphocytes were gated in an SSC-A/FSC-A plot. CD3 positive cells were identified in an SSC-A/CD3-A plot. Single positive CD4 and CD8 cells were gated using a CD8-A/CD4-A plot. The percentage of proliferating cells was assessed in an SSC-A/CTV-A plot for both CD4 and CD8 single positive cells. CTV-A: CellTrace™ Violet–Area. Comp: compensation. FSC-A: forward scatter area. FL1-A: fluorescence channel 1 area. SSC-A: side scatter area. SSC-H: side scatter height.
Supplementary information
Source data
Source Data Fig. 1 (download XLSX )
Statistical source data.
Source Data Fig. 2 (download XLSX )
Statistical source data.
Source Data Fig. 3 (download XLSX )
Statistical source data.
Source Data Fig. 4 (download XLSX )
Statistical source data.
Source data Fig. 5a (download PDF )
Western blot.
Source Data Fig. 5b,c (download XLSX )
Statistical source data.
Source Data Extended Data Table 1 (download XLSX )
ddPCR output.
Rights and permissions
Open Access This article is licensed under a Creative Commons Attribution-NonCommercial-NoDerivatives 4.0 International License, which permits any non-commercial use, sharing, distribution and reproduction in any medium or format, as long as you give appropriate credit to the original author(s) and the source, provide a link to the Creative Commons licence, and indicate if you modified the licensed material. You do not have permission under this licence to share adapted material derived from this article or parts of it. The images or other third party material in this article are included in the article’s Creative Commons licence, unless indicated otherwise in a credit line to the material. If material is not included in the article’s Creative Commons licence and your intended use is not permitted by statutory regulation or exceeds the permitted use, you will need to obtain permission directly from the copyright holder. To view a copy of this licence, visit http://creativecommons.org/licenses/by-nc-nd/4.0/.
About this article
Cite this article
Myhre, A.E., Meyer-Myklestad, M.H., Gullaksen, H.H. et al. Long-term HIV-1 remission achieved through allogeneic haematopoietic stem cell transplant from a CCR5Δ32/Δ32 sibling donor. Nat Microbiol (2026). https://doi.org/10.1038/s41564-026-02304-8
Received:
Accepted:
Published:
Version of record:
DOI: https://doi.org/10.1038/s41564-026-02304-8







