Abstract
In pursuit of a practical quantum advantage1, analogue quantum systems provide an invaluable way to simulate the physics of quantum materials2,3,4, quantum systems out of equilibrium5,6 or interaction-induced localization7. Notable recent progress to realize such systems has been achieved in ultracold atoms8,9,10,11,12, superconducting circuits13,14,15 and twisted van der Waals materials16,17,18,19. However, so far, these platforms have struggled to simulate large-scale strongly interacting fermionic systems at low temperatures, at which electronic correlations dominate materials properties and numerical simulations remain restricted in accuracy and scope20,21. Here we demonstrate the realization of a new platform consisting of large-scale 2D arrays of sub-nanometre precision-engineered atom-based quantum dots (15,000 sites) to simulate strongly interacting, low-temperature physics. By observing a metal–insulator (MI) transition on a 2D square lattice of atom-based quantum dots, we demonstrate independent and precise control of the on-site interaction U and tunnelling t. Magneto-transport measurements further indicate the formation of an insulating state driven by Mott–Hubbard/Anderson physics and promising signatures of correlated electron physics. These precision-engineered analogue quantum simulators provide a unique platform to simulate quantum materials on arbitrary 2D lattices and to explore many unanswered questions in the formation of quantum magnetism, interacting topological quantum matter and unconventional superconductivity.
Main
Strongly correlated quantum states, ubiquitous in quantum systems with complex band topology and strong interactions, are one of the most active areas of research in quantum materials and chemistry3,20,21,22,23. Analogue quantum simulations are a useful tool for investigating these systems, particularly in regimes in which the applicability of numerical techniques is limited. For different simulator platforms1,8,9,10,11,12,13,14,15,16,17,18,19, figures of merit include the electron bandwidth and interaction strength, temperature and the number of simulated lattice sites. Their use is further underscored by the ability to realize distinct lattice geometries, on-site degrees of freedom and by the physical observables that are accessible to experimental measurement.
Recent works on topological states in 1D chains24 and Fermi–Hubbard physics in small 2D arrays25 have shown that atom-based quantum dots, precision-manufactured using scanning tunnelling microscope (STM) lithography26,27 (Supplementary Information Section S1A), have many unique qualities advantageous to analogue quantum simulation. The strong Coulomb potential of the donor nuclei naturally creates strong local and long-range interactions that play a key role in many complex phenomena in quantum materials and chemistry and the precision and flexibility of STM lithography enables the patterning of arbitrary quantum dot and lattice geometries. Furthermore, atom-based quantum dots do not require confinement electrodes as in gate-defined quantum dots, creating a simpler system that is amenable to scaling up to thousands of lattice sites. These unique qualities of atom-based quantum dot arrays make them attractive for reaching simulation regimes that are challenging to access for other platforms such as gate-defined quantum dots28,29,30, ultracold atoms8,9,10,11 and van der Waals materials16,17,18,19, in which physical limitations in temperature12 and lattice geometry16 reduce the scope of systems that can be simulated. So far, atom-based quantum dot arrays have not yet been demonstrated at a scale useful for analogue quantum simulation owing to the challenge of maintaining sub-nanometre precision control in STM fabrication over the scale of micrometres.
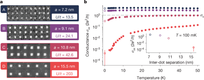
In this work, we greatly expand the quantum simulation capabilities of atom-based quantum dots in terms of both precision and size (see Figs. 1 and 2a) and simulate a MI transition driven by Mott–Hubbard and Anderson physics in a series of 2D quantum dot arrays, each containing 15,000 atom-based quantum dots on a 100 × 150 square lattice. This array size eclipses the previous largest reported arrays of about ten quantum dots24,25 and reflects a notable step up in STM-based atomic fabrication. To achieve uniformity across such large arrays, in both the size of and the spacing between the atom-based quantum dots, we incorporated and optimized the use of an advanced STM controller (Zyvex Labs) that can correct for piezo creep and hysteresis across micron-sized areas. This method allows us to pattern arbitrary lattice geometries, as shown in Fig. 1b,d. The quantum dot array is integrated into a fully epitaxial Hall bar architecture to enable charge-transport measurements (Fig. 1c and Supplementary Information Section S4). Here the source/drain and Hall probes are also patterned using STM lithography, yielding metallic, highly phosphorus-doped silicon leads31. Ohmic contacts to the leads along with a metallic (Ti/Pd) global top gate for electrostatic control are added using semiconductor processing techniques. The behaviour of the system is determined by the energy scales engineered into the lattice (see Fig. 2b,c): the on-site interaction Ui (energy cost to add/remove an electron on site i), inter-site interaction Vij (cost to add an electron on site i as a result of one on site j), tunnel coupling tij (hopping energy between sites i and j) and electrochemical potential μi (single-particle energy of site i). For next-nearest neighbour sites, we find typical Vij and tij that are 50–70% and ≱5% of their nearest neighbour values, respectively (see Supplementary Information Section S2 and ref. 25). Next-nearest neighbour interactions are therefore substantial, whereas next-nearest neighbour tunnelling is negligible. We simulate a MI transition by manufacturing four different quantum dot arrays (labelled A–D) with increasing inter-dot separation a (7.2 nm, 9.1 nm, 10.8 nm and 15.5 nm), quenching the inter-dot tunnel coupling t from 1.54 ± 0.28 meV to 0.10 ± 0.02 meV. The quantum dot area was kept in the range A = 22–28 nm2 corresponding to about 50 phosphorus atoms in each dot and an on-site energy U = 20.63 ± 0.94 meV. As a result of the increasing dot separation, the effective interaction strength U/t increases from 14 to 203. Disorder in these energies is estimated at <1 meV; see Supplementary Information Section S3D. Scanning tunnelling micrographs of sections of the lithographic masks used to define each array are shown in Fig. 3a, along with the ratio U/t calculated from a combination of continuum and atomistic modelling techniques (Supplementary Information Section S3). The collective behaviour of charge carriers in the array is first examined by measuring the longitudinal conductance σxx, plotted in Fig. 3b as a function of temperature. We observe that the conductance at base temperature (approximately 100 mK) decreases exponentially with increasing inter-dot separation a (that is, larger U/t). Theories of transport in granular metals, in which both interactions and disorder are present32,33,34,35,36, predict a MI transition at a critical conductance σc, determined by the interaction strength U and level spacing δ of the quantum dots, with the latter estimated independently from the high-temperature conductance in each sample (Supplementary Information Section S4 and Fig. 4e). We obtain a value of the critical conductance \({\sigma }_{{\rm{c}}}\approx 1.11\frac{2{e}^{2}}{h}\), indicated by the dashed line in Fig. 3b. Consistent with this prediction, arrays A and B are metallic, whereas arrays C and D show weakly and strongly insulating low-temperature behaviour, respectively.
a, Illustration of the STM hydrogen lithography technique used to fabricate the quantum dot arrays. An atomically sharp metallic tip scans a hydrogen-terminated silicon surface and selectively removes individual hydrogen atoms to create a lithographic mask of dangling silicon bonds. Subsequent phosphine dosing is used to selectively dope the lithographic region, embedding arbitrary 2D geometries of atom-based quantum dots. b, Examples of STM-defined lattices: hexagonal lattice with circular quantum dots (top left); honeycomb structure (top right); Lieb lattice with rectangular and cross-shaped quantum dots (bottom right). c, Schematic of the quantum analogue simulator. The STM-defined array and Hall probes are encapsulated in about 80 nm of epitaxial silicon and a metallic top gate (Ti/Pd) is patterned directly over the array on the silicon surface. Charge-transport measurements are performed by applying a current or voltage through the source/drain contacts and reading out the two-point or four-point voltages at the source/drain or Hall contacts. d, A large-scale STM image of a square-lattice array, showing about 700 out of its 15,000 quantum dots. The terraces visible in the image have no impact on the physics of the dot array, as they are removed when the device is encapsulated in epitaxial silicon. Scale bars, 100 nm (b top left, d); 50 nm (b top right); 40 nm (b bottom right).
a, Approximate range of the interaction strength U/t and number of lattice sites N in different platforms of analogue quantum simulation. For atom-based quantum dots, we plot the range for both previous 2D simulations25 and this work. b, Top, schematic of a Hubbard model on a 2D square lattice. The sites (grey) hold up to two electrons (red arrows) with electron hopping terms t and on-site (inter-site) electron–electron interaction U (V). Bottom, zoomed-in image of a quantum dot array showing the equivalent Hubbard parameters realized in our quantum simulators; see also Fig. 1. c, The energy term in the Hubbard model, the corresponding quantity in the quantum analogue simulator and the respective method of control.
a, Scanning tunnelling micrographs that show close-up sections of the lithographic masks used to fabricate the quantum dot arrays. For arrays A–D (top to bottom), the inter-dot distance is increased, reducing the tunnel coupling. The predicted interaction strengths U/t are as indicated. b, Temperature dependence of the conductance σxx, exhibiting metallic behaviour for arrays A and B and a weak and strong insulating behaviour in arrays C and D, respectively. Open circles indicate that the conductance at base temperature (0.1 K) decreases exponentially as the inter-dot distance a is increased (see inset). Error bars obtained from fits to I–V curves are smaller than the symbols for all but one data point. The horizontal dashed line indicates the critical conductance σc of the MI transition predicted for these four devices.
a, STM micrographs of arrays F, D and E (left to right), with inter-dot separation a ≈ 15 nm and distinct quantum dot areas A. The predicted interaction strength U is shown for each array. b, Bias spectroscopy for the three arrays, with bias voltage Vdc normalized by the Mott–Hubbard gap \({\Delta }_{{\rm{c}}}^{{\rm{th}}}\). A total depletion of charge transport occurs in the Coulomb gap \({\Delta }_{{\rm{eh}}}^{{\rm{th}}}\), indicated by the coloured arrows. The stronger-interacting devices D and E show a coherence peak at the Mott–Hubbard value \(e{V}_{{\rm{dc}}}\approx \pm 2{\Delta }_{{\rm{c}}}^{{\rm{th}}}\), indicated by the vertical dashed lines, whereas device F exhibits one just outside the Coulomb gap. c, Increase of the charge gap Δc in an applied magnetic field, normalized by the interaction U. The linear dependence suggests electron exchange as the underlying mechanism; an effective Landé factor geff is extracted from a linear fit for each device. The data are offset by 0.3 for better visibility. d, Thermal activation of the low-bias conductance σxx in the three arrays. Transport is driven by incoherent or coherent electron co-tunnelling, with a switch at the cross-over scale Tc indicated by the vertical dashed lines. In both regimes, the conductance follows an Efros–Shklovskii (ES) law and depends exponentially on the inverse square root of temperature, but with distinct activation temperatures \({T}_{0}^{{\rm{in}},{\rm{el}}}\) (slopes of fitted dashed grey lines). e, The quantum dot level spacing δ (in meV) and the spin susceptibility χs (dimensionless), extracted from analysis of the data in Figs. 3b and 4c, versus the quantum dot area A.
To further examine the nature of the observed insulating state, we manufactured two more quantum dot arrays with inter-dot separations a ≃ 15.1 nm and 17.1 nm (similar to the insulating array D in Fig. 3) but changing the quantum dot area A to 9 nm2 and 62 nm2 (arrays E and F, respectively; Fig. 4a). Electron interactions are weaker in larger quantum dots and stronger in smaller quantum dots, allowing us to control the interaction energy scales U and V by changing the quantum dot area A (Supplementary Information Section S3A,B). Figure 4a shows close-up STM micrographs of the lithographic masks used to define the three insulating arrays, with the corresponding dot area A and interaction strength U indicated. For a Mott–Hubbard system in the strongly interacting limit, theory predicts a single-particle charge gap of the order \({\Delta }_{{\rm{c}}}^{{\rm{th}}}\simeq \frac{1}{2}U+4V+\cdots \) (refs. 20,21,35) with extra terms owing to long-range interactions. Conversely, the onset of bulk charge transport in the dot arrays is governed by the Mott–Coulomb gap for electron–hole excitations \({\Delta }_{{\rm{eh}}}^{{\rm{th}}}=U-c{g}_{{\rm{T}}}{E}_{{\rm{eh}}}\), in which Eeh = 2U − V is the bare excitation energy cost, gT the inter-dot conductance and c ≈ 0.281 (refs. 35,37) (see Supplementary Information Section S4C). The bias spectroscopy measurements in Fig. 4b are taken at base temperature (T ≈ 100 mK), for which we use the longitudinal voltage measured between the Hall probes as a proxy for the presence of current-carrying states in the array. For arrays E and D, these indicate a hard insulating gap at low bias within the Coulomb gap, \(e|{V}_{{\rm{dc}}}|\le {\Delta }_{{\rm{eh}}}^{{\rm{th}}}\), and a coherence peak (boost of spectral weight) with subsequent saturation of the signal as the source/drain bias overcomes the Mott–Hubbard excitation energy (at \(e{V}_{{\rm{dc}}}=\pm 2{\Delta }_{{\rm{c}}}^{{\rm{th}}}\) in Fig. 4b, with Vdc = VS − VD the total source–drain bias). For the largest-dot array F, we find a coherence peak just above the Coulomb gap \({\Delta }_{{\rm{eh}}}^{{\rm{th}}}\) and only faint features at the Mott–Hubbard scale \({\Delta }_{{\rm{c}}}^{{\rm{th}}}\) (Supplementary Information Section S4C,D). We attribute the different behaviours of the devices to the weaker interactions, smaller dot level spacing and larger inter-dot conductance going from devices E, D to F. The bias spectroscopy data show that the strength of interactions in our devices can be tuned using the size of the quantum dots.
Next we subject the insulating devices to a perpendicular magnetic field, for which we observe a distinct interaction effect in quantum dots: the enhancement of the charge addition energy (and hence charge gap) owing to the electron exchange mechanism38. Here electron spin states in an applied magnetic field are split by a large Zeeman energy that can be framed in terms of an interaction-enhanced Landé g-factor geff. The measurements of the field-enhanced gap for devices D, E and F are in shown in Fig. 4c, with geff extracted from the linear fit indicated by the solid lines (for the full field-dependent voltage-bias spectroscopy data, see Supplementary Information Section S4D). The exchange mechanism acts locally on each quantum dot and we take geff ≃ g0(1 + χs) with the bare value g0 = 2. Using the data in Fig. 4c, we can extract the ‘excess’ spin susceptibility χs and in Fig. 4e see that χs ~ U with increasing dot size A and decreasing on-site interaction strength U (Supplementary Information Section S4D). This scaling is consistent with predictions for granular metallic systems and quantum dots in which the wavefunction is spread across the donor sites within each individual dot38,39,40,41.
As well as bias spectroscopy, we take measurements of the low-bias longitudinal conductance σxx in devices D, E and F, shown in Fig. 4d, and observe a distinct two-step thermal activation. According to the theory of granular metals (Supplementary Information Section S4A,B), a transition from inelastic to elastic co-tunnelling of electrons in the arrays is set by the cross-over scale \({k}_{{\rm{B}}}{T}_{{\rm{c}}}\approx 0.2\sqrt{\delta U}\) (refs. 35,37,42). Both regimes lead to a conductance described by the Efros–Shklovskii law \({\sigma }_{{\rm{ES}}}(T)\simeq {\sigma }_{0}\exp (\,-\sqrt{{T}_{0}/T})\) (refs. 35,37,42,43,44) but with different activation temperatures \({T}_{0}^{{\rm{in}}}\) and \({T}_{0}^{{\rm{el}}}\) in the inelastic and elastic co-tunnelling regimes, respectively. Our data (Fig. 4d) show that we observe this two-step thermal activation in devices F and E and that the observed transition temperature (kink in the experimental data) closely coincides with the predicted cross-over temperature Tc (vertical dashed lines). The observed activation temperatures \({T}_{0}^{{\rm{in}},{\rm{el}}}\) extracted from fits to the data are larger in the devices with stronger interactions and broadly conform with theory expectations35,37,42 (see Supplementary Information Section S4B).
Within the Mott–Hubbard/Anderson picture, the findings in Figs. 3 and 4 provide evidence of a MI transition and that the atom-based quantum dots in our arrays host electron states spread across the geometric area of individual dots, with wavefunction characteristics, inter-dot tunnelling and interaction energies that match design expectations. In Fig. 4e, we plot the dot level spacing and spin susceptibility extracted for the various devices, which served as important metrics to understand the underlying physics. Going forward, the ability to precision-engineer the size, shape and lattice spacing of the dots demonstrated in Fig. 1 provides an intricate level of control, to interpolate from few donors per dot to the metallic limit or to promote the impact of different electron orbitals. Likewise, we can target future devices to fall close to or far from the MI transition, while hosting coherent electrons up to a high temperature Tc.
Finally, we present measurements of the temperature-dependent Hall coefficient RH, which can be used to investigate subtle changes in the nature of charge transport in interacting electron systems16,17,18,19,20,21,33,34,45,46. Hall coefficient data for the conductive arrays A–C of Fig. 3 are plotted in Fig. 5, with arrays D, E and F being too resistive to reliably perform Hall measurements. At temperatures >20 K, the Hall coefficient saturates at a value that, for array A, matches a non-interacting picture with carrier density nH = 1/eRH close to the number of dopants in the device. The dashed lines in Fig. 5 indicate the expected non-interacting Hall coefficients assuming a doping density of 2 nm−2 within the quantum dots. For arrays B and C, the saturated Hall coefficient reflects a lower carrier density than expected from the number of dopants, with a stronger discrepancy the larger the inter-dot spacing a. This is probably because of the weaker tunnelling t, for which some electron states in the quantum dots split off and stop contributing to transport. In the context of analogue quantum simulation, we may equate this to a trend towards band insulation or electron localization in the artificial atom lattice.
The temperature-dependent Hall coefficient RH obtained from magneto-transport measurements for the three conductive devices A–C of Fig. 3. Horizontal dashed lines denote the value expected if each donor contributes one free electron, ignoring dot lattice and interaction effects. Vertical lines indicate temperatures Tc,t,J for device C at which the physics of the electrons are predicted to undergo notable changes.
More pronounced effects are observed in the coherent tunnelling regime in the weakly insulating array C, at temperatures below Tc ≈ 17 K. We find a sharp increase in the magnitude of the Hall coefficient at temperature T < 6 K and a distinct turnaround at a lower T < 2 K. Similar trends are predicted to arise owing to Fermi-surface reconstruction for correlated electrons33,34,45,46,47,48,49,50 or the formation of mini-bands in moiré superlattices16,17,18,19. The temperature scales Tt ≈ 5.7 K and TJ ≈ 0.7 K indicated in Fig. 5 are related to the inter-dot hopping t and exchange coupling Jexc, respectively (Supplementary Information Section S4E). Here we refrain from drawing too close a comparison with either such systems. The devices studied by us exhibit several electron states per dot, chemical potential disorder, inter-site interactions and other characteristics that may affect the Hall coefficient in unknown ways. Hence it is difficult to conclusively link the data in Fig. 5 to a Fermi-surface reconstruction51,52. Note that we also observe differences between forward and backward magnetic field sweeps that hint at magnetic hysteresis in devices B and C (raw data and analysis in Supplementary Information Section S2B). Yet the behaviour of the Hall coefficient below the coherence temperature Tc in device C (Fig. 5, pink) clearly differs from what is expected for a charge carrier freeze-out owing to non-correlated effects such as chemical potential disorder, for which we would find a gradual logarithmic increase of the Hall coefficient32,33,34,35,36,37,53. This indeed is what seems to happen in device B and has been observed in many granular metals or disordered doped semiconductors, including in continuously doped silicon phosphorus delta layers54,55,56.
In summary, we have presented a new class of analogue quantum simulators using precision-engineered atom-based quantum dots in silicon for simulating strongly interacting electron systems. Using the nanometre accuracy of STM hydrogen lithography, we pattern arrays containing 15,000 quantum dots with varying inter-dot separations (7.2 nm to 17.1 nm) and quantum dot areas (9 nm2 to 62 nm2) to simulate a Mott–Anderson MI transition. Embedding the quantum dot arrays in a Hall bar device geometry allows us to characterize their physics through a comprehensive suite of magneto-transport measurements. The observations reported here include a MI transition, the dot size dependence and exchange-interaction enhancement of the charge-transport gap, a temperature-driven cross-over from incoherent to coherent electron co-tunnelling in the insulating dot arrays and, finally, promising signatures of a Fermi-surface reconstruction witnessed by the temperature-dependent Hall coefficient. The presented data paints an encouraging picture for the use of atom-based quantum dots as a platform for large-scale analogue quantum simulation.
Having extensively tested and characterized our atom-based quantum dot arrays, we believe that this system has the potential to shed light on contemporary challenges in physics such as quantum spin liquids, interacting topological quantum matter and unconventional superconductivity. This is because of the unique capabilities of the physical platform, such as the ability to engineer large values of the interaction strengths U and V with a varying ratio U/t. As demonstrated in Fig. 1, we can implement arbitrary 2D lattice geometries as long as the dot edge length and inter-dot separation are larger than the silicon lattice constant (\(a,\sqrt{A}\gg {a}_{0}=0.54\,{\rm{nm}}\)) and engineer specific orbitals as valence states of individual quantum dots or multidot unit cells. This includes geometries that are hard to realize or altogether inaccessible in the ultracold atom and twisted moiré material platforms, such as the Lieb lattice or quasicrystals. An immediate next step in our experiments is the systematic exploration of electron correlation and Fermi-surface reconstruction effects hinted at by the Hall coefficient data in Fig. 5. On tuning the electron density by means of the top gate (see Fig. 1), we should be able to observe various band-filling or correlation effects16,17,18,19. Further, it may be possible to simulate a correlated state such as superconductivity that has very distinct transport signatures2,3 or to observe various kinds of magnetic order in the arrays57,58. Another interesting direction is the 2D Lieb lattice, as shown in Fig. 1b, with p-type and d-type ‘atomic’ orbitals on distinct sites and adjustable level detunings in the presence of strong interactions. Such a set-up mimics the Hubbard model description of a copper–oxygen plane in the cuprates, which is believed to lead to its coveted charge-transfer insulator and high-temperature superconducting states2,3,20,21,46.
Data availability
The raw data and code used in this article are available at Zenodo: https://doi.org/10.5281/zenodo.17782840 (ref. 59).
References
Daley, A. J. et al. Practical quantum advantage in quantum simulation. Nature 607, 667–676 (2022).
Keimer, B., Kivelson, S. A., Norman, M. R., Uchida, S. & Zaanen, J. From quantum matter to high-temperature superconductivity in copper oxides. Nature 518, 179–186 (2015).
Keimer, B. & Moore, J. The physics of quantum materials. Nat. Phys. 13, 1045–1055 (2017).
Balents, L. Spin liquids in frustrated magnets. Nature 464, 199–208 (2010).
Basov, D., Averitt, R. & Hsieh, D. Towards properties on demand in quantum materials. Nat. Mater. 16, 1077–1088 (2017).
Oka, T. & Kitamura, S. Floquet engineering of quantum materials. Annu. Rev. Condens. Matter Phys. 10, 387–408 (2019).
Abanin, D. A., Altman, E., Bloch, I. & Serbyn, M. Colloquium: Many-body localization, thermalization, and entanglement. Rev. Mod. Phys. 91, 021001 (2019).
Gross, C. & Bloch, I. Quantum simulations with ultracold atoms in optical lattices. Science 357, 995–1001 (2017).
Sompet, P. et al. Realizing the symmetry-protected Haldane phase in Fermi–Hubbard ladders. Nature 606, 484–488 (2022).
Lebrat, M. et al. Observation of Nagaoka polarons in a Fermi–Hubbard quantum simulator. Nature 629, 317–322 (2024).
Argüello-Luengo, J., González-Tudela, A., Shi, T., Zoller, P. & Cirac, J. I. Analogue quantum chemistry simulation. Nature 574, 215–218 (2019).
Schäfer, F., Fukuhara, T., Sugawa, S., Takasu, Y. & Takahashi, Y. Tools for quantum simulation with ultracold atoms in optical lattices. Nat. Rev. Phys. 2, 411–425 (2020).
Houck, A. A., Türeci, H. E. & Koch, J. On-chip quantum simulation with superconducting circuits. Nat. Phys. 8, 292–299 (2012).
Zhang, X., Kim, E., Mark, D. K., Choi, S. & Painter, O. A superconducting quantum simulator based on a photonic-bandgap metamaterial. Science 379, 278–283 (2023).
Karamlou, A. H. et al. Probing entanglement in a 2D hard-core Bose–Hubbard lattice. Nature 629, 561–566 (2024).
Kennes, D. M. et al. Moiré heterostructures as a condensed-matter quantum simulator. Nat. Phys. 17, 155–163 (2021).
Cao, Y. et al. Unconventional superconductivity in magic-angle graphene superlattices. Nature 556, 43–50 (2018).
Cao, Y. et al. Correlated insulator behaviour at half-filling in magic-angle graphene superlattices. Nature 556, 80–84 (2018).
Tang, Y. et al. Simulation of Hubbard model physics in WSe2/WS2 Moiré superlattices. Nature 579, 353–358 (2020).
Arovas, D. P., Berg, E., Kivelson, S. A. & Raghu, S. The Hubbard model. Annu. Rev. Condens. Matter Phys. 13, 239–274 (2022).
Qin, M., Schäfer, T., Andergassen, S., Corboz, P. & Gull, E. The Hubbard model: a computational perspective. Annu. Rev. Condens. Matter Phys. 13, 275–302 (2022).
Hasan, M. Z. & Kane, C. L. Colloquium: Topological insulators. Rev. Mod. Phys. 82, 3045–3067 (2010).
Qi, X.-L. & Zhang, S.-C. Topological insulators and superconductors. Rev. Mod. Phys. 83, 1057–1110 (2011).
Kiczynski, M. et al. Engineering topological states in atom-based semiconductor quantum dots. Nature 606, 694–699 (2022).
Wang, X. et al. Experimental realization of an extended Fermi-Hubbard model using a 2D lattice of dopant-based quantum dots. Nat. Commun. 13, 6824 (2022).
Rueß, F. J. et al. Realization of atomically controlled dopant devices in silicon. Small 3, 563–567 (2007).
Simmons, M. et al. Scanning probe microscopy for silicon device fabrication. Mol. Simul. 31, 505–515 (2005).
Barthelemy, P. & Vandersypen, L. M. K. Quantum dot systems: a versatile platform for quantum simulations. Ann. Phys. 525, 808–826 (2013).
Hensgens, T. et al. Quantum simulation of a Fermi–Hubbard model using a semiconductor quantum dot array. Nature 548, 70–73 (2017).
Wang, C.-A. et al. Probing resonating valence bonds on a programmable germanium quantum simulator. npj Quantum Inf. 9, 58 (2023).
Weber, B. et al. Ohm’s law survives to the atomic scale. Science 335, 64–67 (2012).
Lee, P. A. & Ramakrishnan, T. V. Disordered electronic systems. Rev. Mod. Phys. 57, 287 (1985).
Belitz, D. & Kirkpatrick, T. R. The Anderson-Mott transition. Rev. Mod. Phys. 66, 261 (1994).
Imada, M., Fujimori, A. & Tokura, Y. Metal-insulator transitions. Rev. Mod. Phys. 70, 1039 (1998).
Beloborodov, I. S., Lopatin, A. V., Vinokur, V. M. & Efetov, K. B. Granular electronic systems. Rev. Mod. Phys. 79, 469 (2007).
Beloborodov, I. S., Efetov, K. B., Lopatin, A. V. & Vinokur, V. M. Transport properties of granular metals at low temperatures. Phys. Rev. Lett. 91, 246801 (2003).
Beloborodov, I. S., Lopatin, A. V. & Vinokur, V. M. Coulomb effects and hopping transport in granular metals. Phys. Rev. B 72, 125121 (2005).
Alhassid, Y. The statistical theory of quantum dots. Rev. Mod. Phys. 72, 895 (2000).
Brouwer, P. W., Oreg, Y. & Halperin, B. I. Mesoscopic fluctuations of the ground-state spin of a small metal particle. Phys. Rev. B 60, R13977 (1999).
Blanter, Y. M., Mirlin, A. D. & Muzykantskii, B. A. Fluctuations of conductance peak spacings in the Coulomb blockade regime: role of electron-electron interaction. Phys. Rev. Lett. 78, 2449 (1997).
Andreev, A. V. & Kamenev, A. Itinerant ferromagnetism in disordered metals: a mean-field theory. Phys. Rev. Lett. 81, 3199 (1998).
Feigel’man, M. V. & Ioselevich, A. S. Variable-range cotunneling and conductivity of a granular metal. JETP Lett. 81, 277–283 (2005).
Efros, A. L. & Shklovskii, B. I. Coulomb gap and low temperature conductivity of disordered systems. J. Phys. C Solid State Phys. 8, L49 (1975).
Shklovskii, B. I. & Efros, A. L. Electronic Properties of Doped Semiconductors (Springer, 1984).
Nair, S. et al. Hall effect in heavy fermion metals. Adv. Phys. 61, 583–664 (2012).
Proust, C. & Taillefer, L. The remarkable underlying ground states of cuprate superconductors. Annu. Rev. Condens. Matter Phys. 10, 409–429 (2019).
Assaad, F. F. & Imada, M. Hall coefficient for the two-dimensional Hubbard model. Phys. Rev. Lett. 74, 3868 (1995).
Wang, W. O., Ding, J. K., Moritz, B., Huang, E. W. & Devereaux, T. P. DC Hall coefficient of the strongly correlated Hubbard model. npj Quantum Mater. 5, 51 (2020).
Wang, W. O. et al. Numerical approaches for calculating the low-field DC Hall coefficient of the doped Hubbard model. Phys. Rev. Res. 3, 033033 (2021).
Khait, I., Bhattacharyya, S., Samanta, A. & Auerbach, A. Hall anomalies of the doped Mott insulator. npj Quantum Mater. 8, 75 (2023).
Mattey, N., Whall, T., Kubiak, R. & Kearney, M. Weak localization and hole-hole interaction effects in silicon-boron delta layers. Semicond. Sci. Technol. 7, 604 (1992).
Kashirin, V. Y. et al. Peculiarities of electronic properties of δ〈Sb〉layers in epitaxial silicon. I. General physical pattern. Low Temp. Phys. 22, 891–896 (1996).
Kharitonov, M. Y. & Efetov, K. B. Hall resistivity of granular metals. Phys. Rev. Lett. 99, 056803 (2007).
Goh, K. E. J., Oberbeck, L., Simmons, M. Y., Hamilton, A. R. & Butcher, M. J. Influence of doping density on electronic transport in degenerate Si:P δ-doped layers. Phys. Rev. B 73, 035401 (2006).
Goh, K. E. J., Simmons, M. Y. & Hamilton, A. R. Electron-electron interactions in highly disordered two-dimensional systems. Phys. Rev. B 77, 235410 (2008).
McKibbin, S. R., Clarke, W. R. & Simmons, M. Y. Investigating the surface quality and confinement of Si:P δ-layers at different growth temperatures. Physica E Low Dimens. Syst. Nanostruct. 42, 1180–1183 (2010).
Chien, C. Magnetism and giant magneto-transport properties in granular solids. Annu. Rev. Mater. Sci. 25, 129–160 (1995).
Nagaosa, N., Sinova, J., Onoda, S., MacDonald, A. H. & Ong, N. P. Anomalous Hall effect. Rev. Mod. Phys. 82, 1539–1592 (2010).
Donnelly, M. B., Data and code for ‘Large-scale analogue quantum simulation using atom dot arrays’. Zenodo https://doi.org/10.5281/zenodo.17782840 (2025).
Acknowledgements
We acknowledge the work of R. Ormeno-Cortes in fabricating and installing the cryogenic temperature control system used in this work. The research was supported by Silicon Quantum Computing Pty. Ltd. (ACN 619 102 608) and the Australian Research Council Centre of Excellence for Quantum Computation and Communication Technology (project number CE170100012).
Funding
Open access funding provided through UNSW Library.
Author information
Authors and Affiliations
Contributions
M.B.D., Y.C., J.G.K. and S.K.G. conceived the project. M.B.D., Y.C., M.K. and J.G.K. fabricated the devices. M.B.D., D.P., R.G., J.T.-I. and S.K.G. performed the measurements of the devices and analysed the data, along with S.P., S.S., L.K. and B.V. M.B.D., Y.C., R.G., S.P., C.R.M., B.V. and S.K.G. contributed to the interpretation of the data. M.M.M., Y.L.H., A.M.S.-E.H. and R.R. performed the electrostatic modelling of the devices. The manuscript was written by M.B.D., R.G., S.P., J.G.K., S.K.G. and M.Y.S., with input from all authors. S.K.G. and M.Y.S. supervised the project.
Corresponding authors
Ethics declarations
Competing interests
M.Y.S. is the CEO and a director of the company Silicon Quantum Computing Pty. Ltd. M.B.D., Y.C., S.P., J.T.-I., M.M.M., B.V., L.K., Y.L.H., A.M.S.-E.H., C.R.M., R.R., J.G.K., S.K.G. and M.Y.S. declare equity interest in Silicon Quantum Computing Pty. Ltd.
Peer review
Peer review information
Nature thanks Ingmar Swart and the other, anonymous, reviewer(s) for their contribution to the peer review of this work.
Additional information
Publisher’s note Springer Nature remains neutral with regard to jurisdictional claims in published maps and institutional affiliations.
Supplementary information
Supplementary Information
Supplementary Information Sections S1–4, including Supplementary Figs. 1–17 and Supplementary References.
Rights and permissions
Open Access This article is licensed under a Creative Commons Attribution 4.0 International License, which permits use, sharing, adaptation, distribution and reproduction in any medium or format, as long as you give appropriate credit to the original author(s) and the source, provide a link to the Creative Commons licence, and indicate if changes were made. The images or other third party material in this article are included in the article’s Creative Commons licence, unless indicated otherwise in a credit line to the material. If material is not included in the article’s Creative Commons licence and your intended use is not permitted by statutory regulation or exceeds the permitted use, you will need to obtain permission directly from the copyright holder. To view a copy of this licence, visit http://creativecommons.org/licenses/by/4.0/.
About this article
Cite this article
Donnelly, M.B., Chung, Y., Garreis, R. et al. Large-scale analogue quantum simulation using atom dot arrays. Nature (2026). https://doi.org/10.1038/s41586-025-10053-7
Received:
Accepted:
Published:
Version of record:
DOI: https://doi.org/10.1038/s41586-025-10053-7




