Abstract
Globally, the number of social protests has increased in the 21st century, and these have been associated with mental health consequences. Here we examined how interpersonal conflicts and social media use are associated with depression in a 15-year prospective cohort of 1,044–17,000 adults, assessed at 23 time points before, during and after two major protests in Hong Kong. During the 2019 social unrest, 32.4% of participants reported conflicts with family, friends, colleagues or strangers, higher than during the 2014 Occupy Central period (11.6–27.5%) and the following year (6.0–10.3%). Interpersonal conflicts were associated with depressive outcomes, with long-term associations persisting over 13 years (odds ratio (OR) = 1.49, 95% CI = 1.12–1.97). During the 2019 social unrest, almost half of adults spent ≥1 h per day on politics-related content on social media (47.4%), television (46.5%) and newspapers and radio (42.1%). Only heavy social media use (≥2 h per day) was positively associated with interpersonal conflicts and depression. Our findings suggest that protests are associated with depression in the long term as a result of sustained interpersonal conflicts, while heavy social media use may contribute to the association. To mitigate this impact, it is vital to provide social support to improve mental health of the affected individuals.
This is a preview of subscription content, access via your institution
Access options
Access Nature and 54 other Nature Portfolio journals
Get Nature+, our best-value online-access subscription
$32.99 / 30 days
cancel any time
Subscribe to this journal
Receive 12 print issues and online access
$259.00 per year
only $21.58 per issue
Buy this article
- Purchase on SpringerLink
- Instant access to the full article PDF.
USD 39.95
Prices may be subject to local taxes which are calculated during checkout



Similar content being viewed by others
Data availability
To protect participants’ privacy, de-identified individual participant data are available under restricted access, as approved by the Institutional Review Board. Data access is limited to the Institutional Review Board for ethics review purposes and to authorized researchers for noncommercial academic use. Researchers must submit a detailed research proposal for collaboration, which will be reviewed by the FAMILY Cohort Research Committee on the basis of scientific merit, ethical review and regulatory requirements. Access will be granted only after the proposal is approved and a signed undertaking on data transfer and access is received. Limited access to the data is also allowed for auditing and validation of this study, which requires a letter of intent outlining the intended purposes of data use. Data will be available for a period of 5 years after publication. Researchers interested in accessing the data should submit their requests to the FAMILY Cohort Research Committee through email at familyco@hku.hk. All requests will be reviewed and processed within 1 month. For additional information, please visit the FAMILY Cohort website at https://www.familycohort.sph.hku.hk/database.
Code availability
The codes used for analyses in this study can be found at https://github.com/jianshi3/Interpersonal-Conflicts-Social-Media-Use-and-Depression-Study.git.
References
Ortiz, I., Burke, S., Berrada, M. & Saenz Cortés, H. World Protests: A Study of Key Protest Issues in the 21st Century (Springer Nature, 2022).
Whiteman, H. & Watson, A. Australian student protests show US campus divisions over Gaza war are going global. http://edition.cnn.com/2024/05/02/australia/university-student-protests-palestinian-gaza-intl-hnk (2024).
Ni, M. Y. et al. Mental health during and after protests, riots and revolutions: a systematic review. Aust. N. Z. J. Psychiatry 54, 232–243 (2020).
Ni, M. Y. et al. Depression and post-traumatic stress during major social unrest in Hong Kong: a 10-year prospective cohort study. Lancet 395, 273–284 (2020).
Ni, M. Y. et al. Longitudinal patterns and predictors of depression trajectories related to the 2014 Occupy Central/Umbrella Movement in Hong Kong. Am. J. Public Health 107, 593–600 (2017).
Ni, M. Y. et al. Direct participation in and indirect exposure to the Occupy Central Movement and depressive symptoms: a longitudinal study of Hong Kong adults. Am. J. Epidemiol. 184, 636–643 (2016).
VanderWeele, T. J. On the promotion of human flourishing. Proc. Natl Acad. Sci. USA 114, 8148–8156 (2017).
Garcia, D. & Rimé, B. Collective emotions and social resilience in the digital traces after a terrorist attack. Psychol. Sci. 30, 617–628 (2019).
Norris, F. H. & Kaniasty, K. Received and perceived social support in times of stress: a test of the social support deterioration deterrence model. J. Pers. Soc. Psychol. 71, 498–511 (1996).
Shek, D. T. L. Protests in Hong Kong (2019–2020): a perspective based on quality of life and well-being. Appl. Res. Qual. Life 15, 619–635 (2020).
Jones, J. M. Trump job approval sets new record for polarization. https://news.gallup.com/poll/245996/trump-job-approval-sets-new-record-polarization.aspx (2019).
Prescott-Smith, S. Brexit has caused more arguments than the general election. https://yougov.co.uk/politics/articles/26760-brexit-has-caused-more-arguments-general-election (2019).
Yiu, E., Li, S. & Ng, E. Hong Kong protests 2019 vs Occupy Central: after 79 days, retailers, investors, developers hit far worse by this year’s demonstrations. https://www.scmp.com/business/banking-finance/article/3024412/occupy-versus-todays-protests-these-are-far-worse-terms (2019).
Torous, J. et al. The growing field of digital psychiatry: current evidence and the future of apps, social media, chatbots, and virtual reality. World Psychiatry 20, 318–335 (2021).
Galea, S. & Buckley, G. J. Social media and adolescent mental health: a consensus report of the National Academies of Sciences, Engineering, and Medicine. PNAS Nexus 3, pgae037 (2024).
Nyhan, B. et al. Like-minded sources on Facebook are prevalent but not polarizing. Nature 620, 137–144 (2023).
Mayshak, R., Sharman, S. J. & Zinkiewicz, L. The impact of negative online social network content on expressed sentiment, executive function, and working memory. Comput. Hum. Behav. 65, 402–408 (2016).
Seabrook, E. M., Kern, M. L. & Rickard, N. S. Social networking sites, depression, and anxiety: a systematic review. JMIR Ment. Health 3, e50 (2016).
Nayak, S. S., Fraser, T., Panagopoulos, C., Aldrich, D. P. & Kim, D. Is divisive politics making Americans sick? Associations of perceived partisan polarization with physical and mental health outcomes among adults in the United States. Soc. Sci. Med. 284, 113976 (2021).
Jost, J. T. et al. How social media facilitates political protest: information, motivation, and social networks. Polit. Psychol. 39, 85–118 (2018).
Tarrow, S. Power in Movement (Cambridge University Press, 2022).
Silver, L., Fetterolf, J. & Connaughton, A. Diversity and division in advanced economies. https://www.pewresearch.org/global/2021/10/13/diversity-and-division-in-advanced-economies/ (2021).
Bakshy, E., Messing, S. & Adamic, L. A. Exposure to ideologically diverse news and opinion on Facebook. Science 348, 1130–1132 (2015).
Leung, C. M. C. et al. Mental disorders following COVID-19 and other epidemics: a systematic review and meta-analysis. Transl. Psychiatry 12, 205 (2022).
Goodwin, R., Palgi, Y., Hamama-Raz, Y. & Ben-Ezra, M. In the eye of the storm or the bullseye of the media: social media use during Hurricane Sandy as a predictor of post-traumatic stress. J. Psychiatr. Res. 47, 1099–1100 (2013).
Hong, W. et al. Social media exposure and college students’ mental health during the outbreak of COVID-19: the mediating role of rumination and the moderating role of mindfulness. Cyberpsychol. Behav. Soc. Netw. 24, 282–287 (2020).
Alonzo, R., Hussain, J., Stranges, S. & Anderson, K. K. Interplay between social media use, sleep quality, and mental health in youth: a systematic review. Sleep Med. Rev. 56, 101414 (2021).
Meshi, D. & Ellithorpe, M. E. Problematic social media use and social support received in real-life versus on social media: associations with depression, anxiety and social isolation. Addict. Behav. 119, 106949 (2021).
Kramer, A. D. I., Guillory, J. E. & Hancock, J. T. Experimental evidence of massive-scale emotional contagion through social networks. Proc. Natl Acad. Sci. USA 111, 8788–8790 (2014).
US Department of Health and Human Services. Social media and youth mental health: the U.S. Surgeon General’s Advisory. https://www.hhs.gov/sites/default/files/sg-youth-mental-health-social-media-advisory.pdf (2023).
Twenge, J. M., Haidt, J., Joiner, T. E. & Campbell, W. K. Underestimating digital media harm. Nat. Hum. Behav. 4, 346–348 (2020).
Haidt, J. & Allen, N. Scrutinizing the effects of digital technology on mental health. Nature 578, 226–227 (2020).
Orben, A. & Przybylski, A. K. The association between adolescent well-being and digital technology use. Nat. Hum. Behav. 3, 173–182 (2019).
Luo, Y., Yip, P. S. F. & Zhang, Q. Positive association between internet use and mental health among adults aged ≥50 years in 23 countries. Nat. Hum. Behav. 9, 90–100 (2025).
Valdez, D., Ten Thij, M., Bathina, K., Rutter, L. A. & Bollen, J. Social media insights Into US mental health during the COVID-19 pandemic: longitudinal analysis of Twitter data. J. Med. Internet Res. 22, e21418 (2020).
Correia, R. B., Wood, I. B., Bollen, J. & Rocha, L. M. Mining social media data for biomedical signals and health-related behavior. Annu. Rev. Biomed. Data Sci. 3, 433–458 (2020).
Bathina, K., Ten Thij, M. & Bollen, J. Quantifying societal emotional resilience to natural disasters from geo-located social media content. PLoS ONE 17, e0269315 (2022).
Fan, R. et al. The minute-scale dynamics of online emotions reveal the effects of affect labeling. Nat. Hum. Behav. 3, 92–100 (2019).
VanderWeele, T. J., Jackson, J. W. & Li, S. Causal inference and longitudinal data: a case study of religion and mental health. Soc. Psychiatry Psychiatr. Epidemiol. 51, 1457–1466 (2016).
Hammen, C. Stress generation in depression: reflections on origins, research, and future directions. J. Clin. Psychol. 62, 1065–1082 (2006).
Cheung, F. & Lucas, R. E. Assessing the validity of single-item life satisfaction measures: results from three large samples. Qual. Life Res. 23, 2809–2818 (2014).
Henson, P., Rodriguez-Villa, E. & Torous, J. Investigating associations between screen time and symptomatology in individuals with serious mental illness: longitudinal observational study. J. Med. Internet Res. 23, e23144 (2021).
Jorm, A. F., Patten, S. B., Brugha, T. S. & Mojtabai, R. Has increased provision of treatment reduced the prevalence of common mental disorders? Review of the evidence from four countries. World Psychiatry 16, 90–99 (2017).
Akhtar, S. & Barlow, J. Forgiveness therapy for the promotion of mental well-being: a systematic review and meta-analysis. Trauma Violence Abuse 19, 107–122 (2016).
Durlak, J. A., Weissberg, R. P., Dymnicki, A. B., Taylor, R. D. & Schellinger, K. B. The impact of enhancing students’ social and emotional learning: a meta-analysis of school-based universal interventions. Child Dev. 82, 405–432 (2011).
Halperin, E. Emotion, emotion regulation, and conflict resolution. Emot. Rev. 6, 68–76 (2013).
Klimecki, O. M. The role of empathy and compassion in conflict resolution. Emot. Rev. 11, 310–325 (2019).
De Hesselle, L. C. & Montag, C. Effects of a 14-day social media abstinence on mental health and well-being: results from an experimental study. BMC Psychol. 12, 141 (2024).
Lambert, J., Barnstable, G., Minter, E., Cooper, J. & McEwan, D. Taking a one-week break from social media improves well-being, depression, and anxiety: a randomized controlled trial. Cyberpsychol. Behav. Soc. Netw. 25, 287–293 (2022).
Brevers, D. & Turel, O. Strategies for self-controlling social media use: classification and role in preventing social media addiction symptoms. J. Behav. Addict. 8, 554–563 (2019).
American Psychological Association. Health advisory on social media use in adolescence. https://www.apa.org/topics/social-media-internet/health-advisory-adolescent-social-media-use (2023).
Kickbusch, I. et al. The Lancet and Financial Times Commission on governing health futures 2030: growing up in a digital world. Lancet 398, 1727–1776 (2021).
Leung, G. M. et al. Cohort profile: FAMILY Cohort. Int. J. Epidemiol. 46, e1 (2017).
Kroenke, K., Spitzer, R. L. & Williams, J. B. The PHQ-9: validity of a brief depression severity measure. J. Gen. Intern. Med. 16, 606–613 (2001).
Negeri, Z. F. et al. Accuracy of the Patient Health Questionnaire-9 for screening to detect major depression: updated systematic review and individual participant data meta-analysis. BMJ 375, n2183 (2021).
Farber, G. K., Gage, S., Kemmer, D. & White, R. Common measures in mental health: a joint initiative by funders and journals. Lancet Psychiatry 10, 465–470 (2023).
Chan, D. H. S. & Donnan, S. A survey of family APGAR in Shatin private ownership homes. Hong Kong Pract. 10, 3295–3299 (1988).
Spitzer, R. L., Kroenke, K., Williams, J. B. W. & Löwe, B. A brief measure for assessing generalized anxiety disorder: the GAD-7. Arch. Intern. Med. 166, 1092–1097 (2006).
Howe, C. J., Cole, S. R., Lau, B., Napravnik, S. & Eron, J. J. Jr. Selection bias due to loss to follow up in cohort studies. Epidemiology 27, 91–97 (2016).
Fitzmaurice, G. M., Laird, N. M. & Ware, J. H. Applied Longitudinal Analysis (John Wiley & Sons, 2012).
Lumley, T. Complex Surveys: A Guide to Analysis Using R (John Wiley & Sons, 2011).
Robins, J. M., Hernán, M. A. & Brumback, B. Marginal structural models and causal inference in epidemiology. Epidemiology 11, 550–560 (2000).
Cole, S. R. & Hernán, M. A. Constructing inverse probability weights for marginal structural models. Am. J. Epidemiol. 168, 656–664 (2008).
Leyrat, C., Carpenter, J. R., Bailly, S. & Williamson, E. J. Common methods for handling missing data in marginal structural models: what works and why. Am. J. Epidemiol. 190, 663–672 (2021).
Moodie, E. E., Delaney, J. A., Lefebvre, G. & Platt, R. W. Missing confounding data in marginal structural models: a comparison of inverse probability weighting and multiple imputation. Int. J. Biostat. 4, 13 (2008).
Von Hippel, P. T. How to impute interactions, squares, and other transformed variables. Sociol. Methodol. 39, 265–291 (2009).
Muller, C. J. & MacLehose, R. F. Estimating predicted probabilities from logistic regression: different methods correspond to different target populations. Int. J. Epidemiol. 43, 962–970 (2014).
Riehm, K. E. et al. Associations between time spent using social media and internalizing and externalizing problems among US youth. JAMA Psychiatry 76, 1266–1273 (2019).
VanderWeele, T. J. Explanation in Causal Inference: Methods for Mediation and Interaction (Oxford University Press, 2015).
VanderWeele, T. J., Li, S. S., Tsai, A. C. & Kawachi, I. Association between religious service attendance and lower suicide rates among US women. JAMA Psychiatry 73, 845–851 (2016).
Molenberghs, G. & Kenward, M. Missing Data in Clinical Studies (John Wiley & Sons, 2007).
White, I. R., Royston, P. & Wood, A. M. Multiple imputation using chained equations: issues and guidance for practice. Stat. Med. 30, 377–399 (2011).
Acknowledgements
The authors thank S.-H. Lin for expert advice, and C. Yau, H. W. Wong, E. Wong, A. Au, K. Tam, C. K. M. Ng and M. Chow for technical support. The authors would also like to thank the funders, including the Hong Kong Jockey Club Charities Trust, the Research Grants Council of the Hong Kong Special Administrative Region of the People’s Republic of China (awards HKU 17609818 and HKU 17609923 to M.Y.N.), and the Government of the Hong Kong Special Administrative Region of the People’s Republic of China (awards COVID19F04, COVID19F11 and one additional grant to M.Y.N.), for providing financial support. J.S., R.C., X.X., F.P.F., K.N. and M.Y.N. had access to and verified data in the study, and take responsibility for the integrity of the data and the accuracy of the data analysis.
Author information
Authors and Affiliations
Contributions
M.Y.N. conceived the study. M.Y.N. and J.S. designed the study. J.S., C.M.C.L., C.S.M.W., K.N. and M.Y.N. carried out the study. J.S., C.M.C.L., T.S.W.M., R.C. and S.B.K.W. conducted the literature review. J.S., R.C., X.X., F.P.F., K.N. and M.Y.N. analyzed the data. M.Y.N., J.S. and C.M.C.L. wrote the manuscript. M.Y.N. obtained funding. All authors interpreted the data, critically revised the manuscript and approved the final version.
Corresponding author
Ethics declarations
Competing interests
The establishment of the original cohort was supported by the Hong Kong Jockey Club Charities Trust from 2007 to 2014. The research was supported by Research Grants Council (Projects HKU 17609818, HKU 17609923), Health Bureau (Projects COVID19F04, COVID19F11) and the Government of the Hong Kong Special Administrative Region. All grants from the Government of the Hong Kong Special Administrative Region were provided for the real-time monitoring of psychobehavioral responses to the pandemic in Hong Kong and supported data collection for this study during the COVID-19 pandemic. The funders, including the Government of the Hong Kong Special Administrative Region, had no role in any aspects of the submitted work, including the design and conduct of the study; collection, management, analysis and interpretation of the data; preparation, review or approval of the manuscript; or the decision to submit the manuscript for publication. C.S.M.W. reports a research grant from the Government of the Hong Kong Special Administrative Region, outside of the submitted work. G.M.L. was formerly the Under Secretary for Food and Health from 2008 to 2011, and Director of the Office of the Chief Executive, the Government of Hong Kong Special Administrative Region, from 2011 to 2012. He also served in unpaid roles on various commissions and committees of the Government of the Hong Kong Special Administrative Region, including his service as a nonofficial member of the Youth Development Commission, a member of the COVID-19 Expert Advisory Panel and a nonofficial member of the Steering Committee on Primary Healthcare Development. All declared roles of G.M.L. are outside of the submitted work. M.Y.N. declares research grants from the Government of the Hong Kong Special Administrative Region for the real-time monitoring of psychobehavioral responses to the COVID-19 pandemic in Hong Kong, as well as for other studies unrelated to the submitted work. The other authors declare no competing interests.
Peer review
Peer review information
Nature Medicine thanks Jon Roozenbeek, Daniel Shek and the other, anonymous, reviewer(s) for their contribution to the peer review of this work. Primary Handling Editor: Liam Messin, in collaboration with the Nature Medicine team.
Additional information
Publisher’s note Springer Nature remains neutral with regard to jurisdictional claims in published maps and institutional affiliations.
Extended data
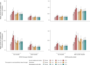
Extended Data Fig. 1 Trends in levels of interpersonal sociopolitical conflicts in Hong Kong adults, 2009–2023.
Bars represent weighted mean levels of conflicts with 95% confidence intervals. The analyzed sample sizes of waves 1 and 2 (aged 18 years or above) were 17,000 and 12,896, respectively. All participants of waves 3 to 23 were included, with the respective sample sizes presented in Extended Data Fig. 3. Inverse probability of censoring weighting and raking were applied.
Extended Data Fig. 2 Association of cumulative interpersonal sociopolitical conflicts and probable depression by sociodemographic groups, 2014–2019.
The forest plot shows estimated odds ratios of probable depression in 2019 (wave 9) with 95% confidence intervals. The odds ratios of probable depression were obtained through marginal structural models adjusting for baseline sociodemographics, past history of exposure (that is, sociopolitical conflicts with family members or friends and colleagues), probable depression, family support, time spent on social media and online for sociopolitical news during protests, protest participation, and prior levels of other types of sociopolitical conflicts (that is, adjusted for prior sociopolitical conflicts with friends and colleagues in the model examining association between intrafamilial sociopolitical conflicts and probable depression). Weights were truncated at 1st and 99th percentiles. Cumulative interpersonal sociopolitical conflicts were defined as the mean score of the conflicts from 2014 to 2019 (waves 3 to 8).
Extended Data Fig. 3 Sampling and retention of participants of the FAMILY Cohort, 2009–2023.
An asterisk (*) indicates that sample size of the random core of wave 1 is 19,533 participants aged 10 years or above. A dagger (†) indicates that sample size of the random core of wave 2 is 14,536 participants aged 10 years or above. A crossed dagger (‡) indicates replenishment of random samples from wave 2. The symbol ‘§’ denotes cooperation rates.
Extended Data Fig. 4 Causal diagram for relationships over time between interpersonal sociopolitical conflicts and depression.
C1 denotes baseline covariates, including sex, age, educational attainment, marital status, employment status, monthly household income, family support, sociopolitical conflicts with family members, and probable depression or depressive symptoms at wave 1. Ln denotes time-varying confounding variables, including probable depression or depressive symptoms, interpersonal sociopolitical conflicts, family support, time spent on social media and online for sociopolitical news, political participation, COVID-19-related sources of stress, and anxiety levels during COVID-19 at wave n. An denotes the time-varying exposure (for example, sociopolitical conflicts with family members or those with friends and colleagues) at wave n. Y denotes the outcome of interest, final probable depression or depressive symptoms. Covariates were selected a priori based on the literature review on potential determinants of the exposure and outcome.
Supplementary information
Supplementary Information (download PDF )
Supplementary Tables 1–18.
Rights and permissions
Springer Nature or its licensor (e.g. a society or other partner) holds exclusive rights to this article under a publishing agreement with the author(s) or other rightsholder(s); author self-archiving of the accepted manuscript version of this article is solely governed by the terms of such publishing agreement and applicable law.
About this article
Cite this article
Shi, J., Leung, C.M.C., Chen, R. et al. Interpersonal conflicts, social media use and depression associated with protests. Nat Med 32, 224–230 (2026). https://doi.org/10.1038/s41591-025-04145-0
Received:
Accepted:
Published:
Version of record:
Issue date:
DOI: https://doi.org/10.1038/s41591-025-04145-0
This article is cited by
-
Political protests, social media use and mental well-being
Nature Medicine (2026)


