Abstract
The thermodynamic surface properties and Lewis acid–base constants of H-β-zeolite supported rhodium catalysts were determined by using the inverse gas chromatography technique at infinite dilution. The effect of the temperature and the rhodium percentage supported by zeolite on the acid base properties in Lewis terms of the various catalysts were studied. The dispersive component of the surface energy of Rh/H-β-zeolite was calculated by using both the Dorris and Gray method and the straight-line method. We highlighted the role of the surface areas of n-alkanes on the determination of the surface energy of catalysts. To this aim various molecular models of n-alkanes were tested, namely Kiselev, cylindrical, Van der Waals, Redlich–Kwong, geometric and spherical models. An important deviation in the values of the dispersive component of the surface energy \({\gamma }_{s}^{d}\) determined by the classical and new methods was emphasized. A non-linear dependency of \({\gamma }_{s}^{d}\) with the specific surface area of catalysts was highlighted showing a local maximum at 1%Rh. The study of RTlnVn and the specific free energy ∆Gsp(T) of n-alkanes and polar solvents adsorbed on the various catalysts revealed the important change in the acid properties of catalysts with both the temperature and the rhodium percentage. The results proved strong amphoteric behavior of all catalysts of the rhodium supported by H-β-zeolite that actively react with the amphoteric solvents (methanol, acetone, tri-CE and tetra-CE), acid (chloroform) and base (ether) molecules. It was shown that the Guttmann method generally used to determine the acid base constants KA and KD revealed some irregularities with a linear regression coefficient not very satisfactory. The accurate determination of the acid–base constants KA, KD and K of the various catalysts was obtained by applying Hamieh’s model (linear regression coefficients approaching r2 ≈ 1.000). It was proved that all acid base constants determined by this model strongly depends on the rhodium percentage and the specific surface area of the catalysts.
Similar content being viewed by others
Introduction
The determination of the surface and interface properties of solid materials is of vital importance in many industrial domains including catalysis, biomedicine, chemical engineering, adsorption, adhesion, membrane fabrication, polymers and composites, clays1,2, nanomaterials and clay-polymer composites3,4, pharmaceutical and food products5,6,7,8. One of the most popular and interesting technique to determine the surface properties of solid materials is the inverse gas chromatography (IGC) at infinite dilution. The IGC technique can advantageously give access to the acid base properties in Lewis terms as well as to the thermodynamic parameters such as specific free energy, enthalpy and entropy of adsorption. In addition, Lewis acid–base character of the surface, surface nanoroughness parameter, can be also determined5,6,7,8,9,10,11,12. The IGC technique appears a real source of physiochemical data of surfaces and interfaces13 allowing the observation of the interactions between oxides, polymers or polymers adsorbed on oxides and organic solvent systems14. This is an important tool, precise, sensitive, and more competitive to determine the heterogeneous surfaces of textiles, their physicochemical properties15, and to determine surface energy and surface area of powdered materials16,17. In previous studies18,19, we used IGC technique to determine the surface characteristics of various oxides and polymers or polymers adsorbed on oxides, especially, their surface energies, their interactions with some organic molecules and the acid–base properties of solid materials or nanomaterials. The IGC technique was preferentially applied to characterize the surface properties of catalysts or metals containing catalysts that can be advantageously used in industrial applications20,21,22.
It is well known that rhodium is used in automobile industries during the manufacturing of automobile catalytic converts20. It plays an important role in the oxidation of ammonia and carbon monoxide and also in the elimination of nitric oxide21,22. On the other hand, beta zeolite was proved to be an excellent catalyst due to the relatively high density of Brønsted acid sites and favorable pore structure23,24,25. Zeolite can be considered as an interesting support for metal catalysts. Moloy et al.26 studied the adsorption properties of zeolite and metal loaded zeolite. However, they did not provide details on the specific surface properties, the acid base constants in Lewis terms and the surface energy of H-β-zeolite supported rhodium catalysts.
In this paper, a new approach for the determination of the surface and interfacial properties of H-β-zeolite and the rhodium impregnated in H-β-zeolite catalysts is developed. We used the inverse gas chromatography technique at infinite dilution, Papirer’s approach27,28,29 and Hamieh’s model18,19 to determine the specific free enthalpy and enthalpy of adsorption and the acid–base constants of the above materials. The dispersive component of the surface energy of such catalysts was also studied by using the various molecular models of n-alkanes.
Theory and methods
Inverse gas chromatography can be considered as powerful technique used to determine the superficial phenomena, the surface energy, the specific free energy enthalpy and entropy of adsorption and the acid–base properties of solid materials. IGC technique was applied in this study to determine the changes of the superficial properties of H-β-zeolite/rhodium catalysts as a function of the temperature. Probes of known properties were injected into the column containing the solid. The retention times of these probes, measured at infinite dilution, allowed us to determine the interactions between model organic molecules and the solid assuming that there was no interaction between the probe molecules.
In parallel, the surface specific area of the various catalyst samples was determined by using Brunauer–Emmett–Teller (BET). The nitrogen adsorption–desorption experiments were carried out using BET gas adsorption method at 77 K, in an automatic Micromeritics ASAP 2420 apparatus. The samples were degassed under vacuum for 2 h at 100 °C followed by 300 °C for 10 h before the measurements. The specific surface SBET area was determined by using the classical BET method. The mesopore size distribution of the catalysts were calculated using the model of Barrett–Joyner–Halenda (BJH).
Retention volume
The net retention volume Vn was calculated from:
where tR is the retention time of the probe, t0 the zero retention reference time measured with a non adsorbing probe such as methane, Dc the corrected flow rate and j a correction factor taking into account the compression of the gas30.
Dc and j are respectively given by the following expressions:
and
where Dm is the measured flow rate, Tc the column temperature, Ta the room temperature, η(T) the gas viscosity at temperature T, P0 the atmospheric pressure and ∆P the pressure variation.
Determination of the dispersive component of the surface energy of a solid
The free enthalpy of adsorption ∆G0 of n-alkanes on a solid is given by:
where R is the ideal gas constant, T the absolute temperature and C a constant depending on the reference state of adsorption. In the case of n-alkanes, ∆G0 is equal to the free energy of adsorption corresponding to dispersive interactions ∆Gd only.
The increment method
Dorris and Gray31 proposed the increment method by applying the well-known relationship of Fowkes32 which gives at the same time the dispersive component of the surface energy of solids \({\gamma }_{s}^{d}\) by using the geometric mean of the dispersive components (exponent d) of the surface energy of the probe \({\gamma }_{l}^{d}\) and the solid \({\gamma }_{s}^{d}\):
where Wa is the work of adhesion between the probe and the solid.
This energy of adhesion can be correlated to the free enthalpy of adsorption following
where \(\mathcal{N}\) is Avogadro’s number and a the surface area of o adsorbed molecule on the solid.
Dorris and Gray were the first who determined the dispersive component of the surface energy of a solid by considering the increment of \(\Delta {G}_{-CH2-}^{0}\) per methylene group in the n-alkanes series of general formula CnH2(n+1). They defined the increment \(\Delta {G}_{-CH2-}^{0}\) by:
where \({C}_{n}{H}_{2(n+1)}\) and \({C}_{n}{H}_{2(n+1)}\) represent the general formula of two consecutive n-alkanes.
By using the retention volumes \({V}_{n}\left({C}_{n}{H}_{2(n+1)}\right)\) and \({V}_{n}\left({C}_{n+1}{H}_{2(n+2)}\right)\) of two consecutive n-alkanes and the relation (4), the dispersive component of the surface energy \({\gamma }_{s}^{d}\) can be determined by the following equation:
where a-CH2- is the surface area of methylene group (a-CH2- = 6 Å2) and \({\gamma }_{-CH2-}\) the surface energy of –CH2– group of a polyethylene polymer (with a finite molecular mass). The latter is given by:
By applying Dorris and Gray’s method, we determined the dispersive cponent of the surface energy \({\gamma }_{s}^{d}\) of H-β-zeolite for various temperatures. We only gave here the value determined at 480 K which was equal to \({\gamma }_{s}^{d}\) = 240.3 mJ/m2. The variation of \({\gamma }_{s}^{d}\)(T) of H-β-zeolite as a function of the temperature is given by the following straight-line equation:
Note that the temperature T is in K while \({\gamma }_{s}^{d}\) is expressed in mJ/m2. The correlation coefficient was R2 = 0.9994.
The n-alkane straight-line method
This method, also based on Fowkes approach32, replaced the free enthalpy of adsorption by its value taken from relation (4). It leads to the following relationship:
By plotting RTlnVn as a function of \(2\mathcal{N}a \sqrt{{\gamma }_{l}^{d}}\) of n-alkanes, one obtains a typical straight line that allows to deduce, from its slope, the value of dispersive component \({\gamma }_{s}^{d}\) of the surface energy of the solid.
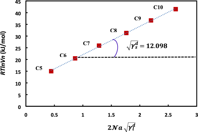
The evolution of RTlnVn as a function of \(2\mathcal{N}a \sqrt{{\gamma }_{l}^{d}}\) of n-alkanes adsorbed on H-β-zeolite is reproduced in the Fig. 1. The experimental relation can be extracted:
The slope of the straight line is \(\sqrt{{\gamma }_{s}^{d}}=12.098\) and then \({\gamma }_{s}^{d}\) = 146.36 mJ/m2.
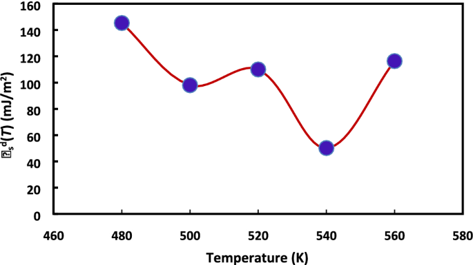
The same method was applied, at different temperatures, in order to obtain the values \({\gamma }_{s}^{d}\)(T) of H-β-zeolite at different temperatures. The results are displayed in the Fig. 2.
A non-linear variation of \({\gamma }_{s}^{d}\)(T) with the temperature can be noticed. This is certainly due to the presence of hydroxide layer on the zeolite surface which is likely to evolve with the heat treatment. In addition, a large deviation between the results obtained by this method compared to those of Dorris and Gray’s method is observed. This is because of the high temperatures reaching 560 K that can extremely affect the values of the surface tensions of n-alkanes depending on the temperature interval; whereas, the surface tension of ethylene group is given by the relation \({\gamma }_{-CH2-}\)= 52.603–0.058 T for all temperatures.
Critics of the classic methods18
It is obvious, in the two previous methods based on Fowkes relation, that the determination of the dispersive surface energy component \({\gamma }_{s}^{d}\) of a solid, necessitates the precise knowledge of the surface areas, a, of n-alkanes adsorbed on the solid substrate. However, the surface area of a molecule adsorbed on a solid is not known with a good accuracy due to the large dependency on the temperature change. In a previous study, Hamieh and Schultz18 criticized the classical way and proposed to use various models giving the molecular areas of n-alkanes. The geometrical model, cylindrical molecular model, liquid density model, BET method, Kiselev results and the model using the two-dimensional Van der Waals (VDW) constant b that depends on the critical temperature and pressure of the liquid were considered. Redlich–Kwong (R–K) equation transposed from three-dimensional space to two-dimensional space was also used to calculate the areas of organic molecules. The value of \({\gamma }_{s}^{d}\) depends significantly on the chosen molecular models of the surface area of n-alkanes and on the temperature. The different molecular models for the different n-alkanes are listed in Table 1.
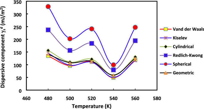
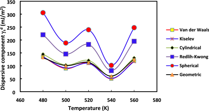
It appears relevant to strengthen our analysis and to show the effect of the method used and the molecular models chosen on \({\gamma }_{s}^{d}\) values. The variations of \({\gamma }_{s}^{d}\) as a function of the temperature for the various molecular models of n-alkane surface areas are displayed, respectively, in the case of the increment method (Fig. 3) and the straight methods (Fig. 4).
Figures 3 and 4 clearly highlighted the extreme variation of \({\gamma }_{s}^{d}\)(T) depending on the chosen method and molecular model of the surface area of n-alkanes. The difference between the values of \({\gamma }_{s}^{d}\) reached about 100% from Kiselev, van der Waals or cylindrical models to Redlich–Kwong or spherical models for all used temperatures regardless of the method (increment method and straight-line method). However, for any method and molecular model used, some physico-chemical behavior can be deduced when comparing the surface energy of two solid materials. This can be useful to understand the change of catalyst properties when the temperature varies.
Determination of the specific interactions
The free energy of adsorption ∆G0 of a probe on a solid generally contains the two contributions relative to the dispersive and specific interactions. In the case of n-alkanes, ∆G0 is equal to the free energy of adsorption corresponding to the dispersive interactions ∆Gd only. When polar molecules are injected into the column, specific interactions are established between these probes and the solid surface and ∆G0 is now given by:
where ∆Gsp refers to specific interactions of a polar molecule adsorbed on solid substrate.
To calculate the specific interactions between the solid substrates and polar probes, several methods were used in the literature5,6,7,8,18,19,27,28,29. To avoid the use of the method based on the surface area of n-alkanes that cannot be known precisely as a function of the temperature, the method developed by Papier et al.29 is preferred. It allows to quantify more precisely the specific interactions.
Saint Flour and Papirer's method
Papirer method is employed to quantify the specific free energy of adsorption of polar molecules and obtain the acid–base constants of the different hydrocarbon materials. This method gives access to the specific enthalpy of interaction between a probe and a solid27,28,29 from the obtained straight line when plotting RTlnVn against the logarithm of the vapor pressure of the probes, i.e. lnP0.
For a homologous series of n-alkanes, whatever the nature of the solid substrates:
where A and B are constants which depend on the nature of the solid substrate.
Following Saint Flour and Papirer's approach26,27, RTlnVn values of the various solutes are first plotted versus the logarithm of their vapor pressure at saturation, Po. The points representative of n-alkanes define the so-called “n-alkane straight line” (see Fig. 5), and the distance between this line and the points corresponding to RTlnVn (polar molecule) value of polar probes are then taken as a measure of the specific interactions and it is defined as the specific free enthalpy of adsorption, ∆Gs, of polar molecule on the solid. It is given, for any temperature T, by the following equation:
As example, the variations of RTlnVn of different n-alkanes and polar probes as a function of lnP0 in the case of H-β-zeolite at 480 K are reproduced in the Fig. 5. The equation of n-alkanes straight line is given with an excellent linearity:
From this equation, the specific free enthalpy of adsorption of polar molecules can be deduced. For example, for trichloroethylene ∆Gsp is equal to 7.960 kJ/mol.
In the following, the specific free enthalpy of adsorption of polar probes ∆Gs(T) can be determined by varying the temperature. The corresponding values of (∆Hsp) and entropy ∆Ssp of adsorption of polar molecules are obtained.
Determination of acid–base constants of solid substrates
By plotting ∆Gsp(T) of the polar molecules as a function of the temperature, the specific enthalpy.
(∆Hsp) and entropy ∆Ssp of adsorption are calculated from:
The evolution of ∆Gsp(T) of the polar molecules as a function of the temperature in the case of H-β-zeolite is plotted in Fig. 6. In general, this relationship (17) is linear if ∆Hsp and ∆Ssp do not depend on the temperature. However, when the linear correlation coefficient is too small in front of 1, then the linearity is not verified; therefore, ∆Hsp(T) and ∆Ssp(T) strongly depend on the temperature. The curves representing the variations of ∆Gsp(T) versus the temperature give access to the thermodynamic calculations of specific enthalpy and entropy as a function of the temperature by using the classical thermodynamic equations. The specific enthalpy and entropy of adsorption determined from the linear relation between ∆Gsp and T are summarized in the Table 2.
The Guttmann method
Gutmann33 classified the polar molecules by assigning an electron donor (DN) and a number of electron acceptor (AN) which realize, respectively, the acidity and the basicity of the molecule. In analogy to the Guttmann approach, Papirer et al.27,28,29 proposed to characterize the solid by two parameters. The parameters KA and KD reflect the basic and the acidic character of the solid, respectively. These two constants measure the ability of the solid to develop, respectively, the acid and base interactions with basic, acidic or amphoteric probes. They are connected to the specific enthalpy ΔHaSP through the following equation:
where KA and KD represent the acidic and the basic character of the solid, respectively, while AN and DN represent the donor number and the electron acceptor of the probe according to the scale of Gutmann33.
Equation 11 can be rewritten as:
The representation of \(\frac{-\Delta {H}^{Sp}}{AN}\) as a function of \(\frac{DN}{AN}\) gives, in general, a straight line of slope KA and intercept KD.
The new model
For several solid substrates, the Guttmann method cannot be applied because the linearity of Eq. 19 is not satisfied. This classical relationship was corrected. Then, a new equation was proposed18,19. A third parameter K was added. It reflected the amphoteric character of the oxide or polymer. The final expression becomes:
By dividing by AN, one can obtain:
The Eq. (21) can be symbolically written as:
where \(X_{1} = { - }\frac{{\Delta H^{sp} }}{AN}\),\(X_{2} = \frac{DN}{{AN}}\), \(X_{3} = DN\) and K = K(KA,KD).
Note that X1, X2 and X3 are known for every polar molecule, whereas KD, KA and K are unknown. By using N probes, relationship (22) leads to a set of linear system of three equations with three unknown variables: KD, KA and K. The matrix representing this linear application is a symmetrical one. It appears that Eq. (22) possesses a unique solution for N ≥ 3. This method can be applied to calculate the acid–base constants of solids if the Gutmann relation falls.
Experimental results on rhodium supported by H-β-zeolite
Materials and solvents
The different catalysts analyzed in this study containing rhodium supported by H-β-zeolite were obtained by following the method developed by Navio et al.24 and Zhang et al.25 to have different percentages of rhodium. Classical organic probes, characterized by their donor and acceptor numbers, were used. Corrected acceptor number AN′ = AN–ANd were utilized. They were given by Riddle and Fowkes34. The idea was to subtract the contribution of Van der Waals interactions (or dispersion forces). The corrected acceptor number was then normalized by a dimensionless donor number DN′ according to the following relationship18,19:
However, if one wants to use DN in kcal/mol, AN′ can be easily transformed to the kcal/mol unit using the following relationship:
The solvents used as probes for IGC measurements were selected based on their ability to interact with three different types of interaction forces, namely dispersive, polar, and hydrogen bonding. All probes were obtained from Aldrich. They were highly pure grade (i.e., 99%). The probes used were n-alkanes (pentane, hexane, heptane, octane, and nonane), amphoteric solvents (methanol, acetone, trichloroethylene (Tri-CE), tetrachloroethylene (Tetra-CE)), strong basic solvent (diethyl ether), very weak basic solvent (benzene), very acidic solvent (chloroform), and very weak acid (cyclohexane). The Table 3 gives the donor and acceptor numbers18,33 of polar probes used in this study.
GC conditions
The IGC measurements were performed on a commercial Focus GC gas chromatograph equipped with a flame ionization detector. Dried nitrogen was the carrier gas. The gas flow rate was set at 20 mL/min. The injector and detector temperatures were maintained at 400 K during the experiments30. To achieve infinite dilution, 0.1 μL of each probe vapor was injected with 1 μL Hamilton syringes, in order to approach linear condition gas chromatography. All four columns used in this study were prepared using a stainless-steel column with a 2 mm inner diameter and with an approximate length of 20 cm. The column was packed with 1 g of solids in powder forms. In general, the surface properties of materials are studied by IGC at low temperatures. However, in certain case for lower temperatures, the retention times of organic molecules are very long due to the difficulties for the probes to find its path through the catalyst particles. For this reason, the experiments were conducted at higher temperatures in order to quantify the surface properties of catalysts by IGC at infinite dilution and deduce the acid base and dispersive surface energy of solid substrates. The column temperatures were 480–560 K, varied in 20 °C steps. Each probe injection was repeated three times, and the average retention time, tR, was used for the calculation. The standard deviation was less than 1% in all measurements.
Results and discussion
Variations of the net retention volume
Experimental results obtained by IGC at infinite dilution with different percentages of rhodium (from 0 to 2%) supported by H-β-zeolite at various temperatures (from 480 to 560 K), are presented in Tables 4, 5, 6, 7, 8.
The Tables indicate substantial variations of RTlnVn between the probes adsorbed on the solid substrates. Consequently, significant variations of the surface free enthalpy of adsorption are expected. This aspect is emphasized in the Fig. 7.
It is interesting to note a particular point represented by a maximum of RTlnVn. In the case of n-alkanes adsorbed on the catalysts it takes place for a percentage of rhodium %Rh/H-β-Z = 0.75% (Fig. 7). However, this maximum of the surface free enthalpy shifts to a percentage %Rh/H-β-Z of 1.00% in the case of polar solvents. This shift maybe attributed to the strong specific interaction of the polar molecules with rhodium.
The evolution of RTlnVn as a function of the temperature for n-alkanes and polar molecules is given in the Fig. 8. In the case of H-β-zeolite substrate, a linear dependency for all alkane solvents is observed (Fig. 8a). Conversely, for all the polar molecules, a non-linear behavior occurs with a minimum for T = 500 K where the surface groups of the solid substrate are strongly affected by the temperature change. The same behavior takes place with all the polar molecules on H-β-zeolite at 500 K. At this temperature, they have identical resident or retention time due to a minimum polarity of the catalyst at this temperature leading to weak polar interactions between the probes and the H-β-zeolite.
The dispersive interactions can be considered similar for all polar molecules in this case. This gives similar values of RTlnVn at T = 500 K. It seems that, at this temperature, some surface groups of H-β-zeolite are inaccessible for polar probes that cross more quickly the chromatographic column. In addition, when the temperature increases, the acid base surface groups of the solid increases. Consequently, the values of RTlnVn also increase for all the polar molecules.
In the presence of rhodium incorporated into H-β-zeolite catalyst, the minimum of RTlnVn with the temperature disappears for polar molecules (Fig. 8b). In addition, a global linear tendency is observed for polar and non-polar molecules. The presence of the rhodium particles on the surface of H-β-zeolite catalyst affects strongly the specific interactions between the polar molecules and the catalyst while whereas the dispersive interactions remain stable and constant.
However, in order to better quantify the specific free enthalpy of interaction between the catalyst and the polar molecules, the classical thermodynamic equations are used in the “Determination of the specific interactions and acid–base properties”. The obtained specific free enthalpy of adsorption gives a real idea of the nature of acid base interactions at any temperature.
Determination of the dispersive component of the surface energy of catalysts
In this section, the dispersive component of the surface energy of the rhodium supported by H-β-zeolite are determined at different percentages of Rh and for various temperatures. The various surface areas of n-alkanes given by the different molecular models are also used knowing the values of the dispersive component of the surface energy \({\gamma }_{l}^{d} (T)\) of n-alkanes as a function of the temperature. The calculations of \({\gamma }_{s}^{d}\)(T) are performed using the increment method of Dorris and Gray and the method of the straight-line for all solid substrates. They are calculated at different temperatures and molecular models. The results obtained by using Dorris and Gray method are listed on Table 9 while those calculated thanks to the straight-line method are given in Table 10. They are estimated for different temperatures, rhodium percentages and molecular models.
Significant difference between the values of \({\gamma }_{s}^{d}\) obtained by the two applied methods can be noticed. This large difference in the values of \({\gamma }_{s}^{d}\) is due to the high temperatures neighboring 500 K. The surface tension of n-alkanes at such temperatures does not give an identical surface tension of the methylene group than that given by the classical relation (\({\gamma }_{-CH2-}\)= 52.603–0.058 T). The results also prove that \({\gamma }_{s}^{d}\) strongly depends on the molecular model chosen to estimate the surface areas of n-alkanes. Equation (11) can be also written as:
This equation clearly shows an important variation of \({\gamma }_{s}^{d}\) of a solid substrate as a function of the surface area a of molecules. Table 1 gave the different molecular models for the different n-alkanes and showed a larger variation of the surface area of molecules depending on the chosen molecular model. The standard deviation can rich in many cases more than 50% from a molecular model to another model. This leads to larger difference between the obtained values of \({\gamma }_{s}^{d}\) of a solid substrate at fixed temperature for the various molecular models. The value of \({\gamma }_{s}^{d}\) can vary from the simple to the double when passing from geometric model to the spherical model. This problem was solved by another study showing the variation of the surface areas of polar and n-alkane molecules as a function of the temperature35.
The variations of \({\gamma }_{s}^{d}\) with the temperature in the case of H-β-Zeolite (for 0%Rh) were given previously in “Critics of the classic methods”. The aim here is to study the effect of the methods (increment or the straight-line methods) on the values of \({\gamma }_{s}^{d}\) with the temperature increases for the different molecular models in the case of 2%Rh catalyst. To this aim, the curves of \({\gamma }_{s}^{d}\)(T) are plotted in in Fig. 9 for the case of where the increment method is used while the same curves with the straight-line method are given in Fig. 10. The same behavior is obtained with rhodium catalyst (supported by zeolite) as that of H-β-zeolite (without rhodium): linearity for the “increment method” and non-linearity for the “straight-line method”.
The rhodium percentage deposited on the H-β-zeolite has a high impact on the dispersive component of the surface energy of catalysts whatever the used temperature (Fig. 11) and molecular model (Fig. 12).
It seems also relevant to evaluate the Variations of \({\upgamma }_{\mathrm{s}}^{\mathrm{d}}\) as a function of the specific surface area of the catalysts. Experimental results obtained by the BET method are presented in Table 11 and Fig. 13.
A non-linear decrease of the specific area with the amount of Rh occurs until 0.5%Rh. It is followed by a slight increase to reach a local maximum at 1%Rh. Then, the specific area decreases up to a plateau of specific surface area observed for %Rh larger than 1.50%. The same conclusion can be drawn for the microporous volume. However, the highest value of the specific surface area is obtained for H-β-zeolite.
It can be deduced from the figure that when the rhodium is added to zeolite, more metal particles would block the micropores causing a decrease in the specific surface area and in the catalyst microporosity. However, the increase of the specific surface area, for the catalysts containing a rhodium percentage comprised between 0.5 and 1.0, can result from the smaller particle sizes that cannot block the zeolite micropores. For catalysts with a rhodium percentage larger than 1.50% Rh, the lower surface area and pore volume are certainly due to the larger nanoparticles blocking the micropores and, then, decreasing the surface area and the pore volume. The curves of Fig. 14 giving the variations of—\(\frac{{d\gamma }_{s}^{d}}{dT}\) as a function of the impregnated rhodium percentage give a similar behavior as that reported in the Fig. 13 for all the molecular models of n-alkane surface area.
Determination of the specific interactions and acid–base properties
Variations of the specific free enthalpy
The experimental results obtained by IGC technique at infinite dilution previously presented in the Tables 4, 5, 6, 7, 8 lead to the determination of the specific free enthalpy ∆Gsp(T) of polar molecules adsorbed on H-β-zeolite and rhodium supported by zeolite for various temperatures and impregnated rhodium percentages. The results are summarized in Table 12.
The results of the table gives a lot of information to understand the surface physicochemical properties of the various zeolite catalysts. Examples of the values of the specific free enthalpy ∆Gsp(T) of different polar molecules adsorbed on different catalysts are displayed in the Fig. 15. For H-β-zeolite at T = 480 K, the strong amphoteric behavior of this catalyst is emphasized (Fig. 15a). The catalyst actively reacts with the amphoteric solvents (methanol, acetone, tri-CE and tetra-CE), acid (chloroform) and base (ether) molecules.
For 0.25% of rhodium impregnated into H-β-zeolite, similar behavior take place. However, an evolution in the surface acid–base properties of catalyst is observed. The presence of 0.25% of rhodium produces a decrease of the amphoteric character of the catalyst. The magnitudes of methanol and acetone ∆Gsp decrease from 10.9 kJ/mol and 14.5 kJ/mol, respectively, to 9.3 kJ/mol and 11.6 kJ/mol. However, there is an increase in the acid character with a diminution of basic specific free enthalpy. It seems that the impregnation of the rhodium in H-β-zeolite causes a reduction in base character and an enhancement in the acid force. The tendency of the decrease of the basic character and the increase of acid character becomes more accentuated for greater percentage of impregnated rhodium (2%Rh, see Fig. 15c). The same behaviors are observed at all the temperatures (Table 12).
Other thermodynamic measurements
Some other thermodynamic parameters can be calcualted in this study. Experimental results led to determine the differential heat of adsorption ∆H 0 and the standard entropy change of adsorption ∆S 0 of the probe. These parameters can be obtained from relation (4) by using the two following Eqs. (25) and (26):
By plotting \(ln{V}_{n}\) as a function of (1/T), one obtained the curves of Fig. 16. A linear dependency was proved and the following general Eq. (27) was obtained for all polar and n-alkanes adsorbed on the catalyst of 2% of rhodium supported by H-β-zeolite:
where A and B are constants depending on the probe nature.
One deduced ∆H 0 and ∆S 0 from Eq. (27):
By using relations (25–28) and Fig. 16, we obtained the values of the differential heat the standard entropy change of adsorption given by Table 13.
The values of \(\left(-\Delta {H}^{0}\right)\) and \(\left(-\Delta {S}^{0}\right)\) of the probe increase when the carbon atom number \({n}_{C}\) increases. Linear relations (29) and (30) were obtained as a function of \({n}_{C}\) for n-alkanes:
This increase is due to the increase in the boiling points of n-alkanes and to the stronger interaction between the solute and catalyst surface.
Table 13 clearly showed that benzene exhibits more negative \(\Delta {H}^{0}\) than the corresponding values for n-alkanes with the same carbon atom number (as for example n-hexane or cyclohexane where \({n}_{C}=6\)) The more negative the heat, the greater the interaction between the adsorbate and the adsorbent. This can be explained by the specific interactions between benzene’s electrons and the surfaces. The same results were previously observed by Bilgiç and Tümsek36.
The \(\left(-\Delta {H}^{0}\right)\) values of polar probes increase in the following order for the catalyst 2% of rhodium supported by H-β-zeolite:
Chloroform < Ether < Methanol < Cyclohexane < Acetone < Tri-CE < Tetra-CE < benzene.
This is conform to the relative polarities of polar molecules that decrease in the same order.
Variations of the specific enthalpy and entropy of adsorption on different catalysts
From the Table 12 it can be deduced that the curves of ∆Gsp(T) of the polar molecules as a function of the temperature follow linear dependency for all used catalysts in agreement with Eq. (17):
An example of straight lines obtained with the catalyst containing 1.75% of rhodium is shown in Fig. 17.
The specific enthalpy ∆Hsp and entropy ∆Ssp of adsorption can be calculated by applying Eq. (17) to the data of Table 12. The results are reported in Tables 14 and 15. Note also that all linear regression coefficients, r2, are close to 1.
The specific enthalpy of interaction between the catalysts and polar molecules is very large for the amphoteric probes as acetone and methanol and for base and acid solvents as ether and chloroform (Table 14). The negative value of the specific entropy of interaction proves the more ordered systems for basic and acidic interactions. This confirms the previous results concerning the acid–base properties of the catalysts.
Lewis acid base constants of catalysts
The acid–base constants KA and KD of the various catalysts can be obtained using the experimental data and applying the relation (19). To this aim, the evolution of − ∆Hsp/AN' as a function of DN'/AN' for H-β-zeolite is followed for various rhodium percentages. The Fig. 18 gives examples of these variations, for four amounts of Rh. The extracted acid and base constants obtained for the different solid substrates are presented in Table 16 with the corresponding linear regression coefficients used to fit the linear curves.
It seems also interesting to follow the acid and base constants (KD and KA) as a function of the percentage of rhodium impregnated. The results are given in Fig. 19.
The acid base properties of the zeolite surface are significantly affected by the impregnation of rhodium metal in H-β-zeolite. For a rhodium percentage less than 0.75%, the surface acidity of the catalysts decreases whereas the basicity increases. Conversely, for %Rh larger than 0.75%Rh, an opposite trend takes place since an increase of the acidity and decrease of the basicity are visible. For rhodium percentage larger than or equal to 1.5%Rh, KD and KA do not vary with the rhodium percentage. Note that, negative values of the basic constant for rhodium percentages larger than 1.25%Rh are observed. In this range of %Rh, the linear regression coefficients are not very satisfactory since r2 are comprised between 0.800 and 0.900. Actually, for all the rhodium percentages %Rh, no perfect straight line is obtained. This confirms that the model (Eq. (19)) does not satisfactorily apply to the results. One of reasons for obtaining bad linear regression coefficients r2 was the larger value of the ratio DN/AN equal to 25 for cyclohexane, the second reason was the insufficiency of the classical equation to describe with accuracy the experimental results. It becomes then pertinent to employ the Hamieh’s model in order to improve the accuracy of the acid–base constants.
Discussion on the light of the new model
Some similar irregularities when using Eq. (19) were observed by Hamieh et al.18,19. They proposed a new relationship by adding a third parameter K reflecting the amphoteric character of solid surfaces. This method is applied here and the Eq. (21) is used to calculate the three acid–base constants KA, KD and K of the various catalysts. These constants are obtained with an excellent three-dimension linear regression coefficients approaching r2 ≈ 1.000. The obtained results are presented in Table 17 and Fig. 20 where the acid–base constants KD, KA, K and the ratio KA/KD of different substrates are expressed for various rhodium percentages %Rh.
The H-β-zeolite is more acidic than basic. In the presence of rhodium, the acidity constant KA decreases from 2.7 to 1.5 kJ/mol when the percentage %Rh increases from 0 to 0.75%. On the opposite, the basicity constant KD, increases from 1.2 to 1.7 kJ/mol and dramatically decreases until 0.3 kJ/mol at rhodium percentage equal to 1%. For Rh percentages larger than 1%Rh, the acid base constants increase until %Rh reaches 1.5% and then stabilize. On the other hand, the amphoteric constant K remains constant up to 1%Rh. It then decreases to reach a plateau above 1.5%Rh. The ratio KA/KD showing a maximum at 1%Rh confirms the previous results on the incorporation of rhodium into the channels of H-β-zeolite observed when discussing the variations of RTlnVn, ∆Gsp and the dispersive component of the surface energy \({\gamma }_{s}^{d}\) of the different catalysts.
It seems interesting to compare the order of magnitudes of the constants with those reported in the literature. Bilgiç and Tümsek determined the surface acid base properties of MgY and NH4Y using inverse gas chromatography36. According to results obtained by the above authors for KA and KD, the surface of MgY exhibits predominantly basic character with the ratio of KD/KA = 3.50, while surface of NH4Y shows a less basic character with the ratio of KD/KA = 2.61. These results showed basic than acidic character of the zeolite materials. However, when comparing these data with those obtained in our study, it appears that our catalysts are rather acidic than basic since the ratios KA/KD are comprised between 0.9 and 5.7. The difference between the two materials results from the presence of framework oxygens adjacent to alkali cations which are the Lewis basic sites in zeolites. This was previously proved by Bilgic and Tumsek36, Barr and Lishka37, Okamoto et al.38 and Vinek et al.39. Other catalysts exhibit acidic surface similar to the catalysts of the present study. As an example, the sepiolite surface characterized by Morales et al.40 for which the ratio of acid base constants KA/KD was equal to 3.
It seems also relevant to evaluate the error committed on the values of acid base constants. To this aim, the following approach is employed.
The error committed on the net retention time is:
The relative standard deviation on the retention time is given by the following inequalities:
This gives a relative standard deviation on the net retention volume:
And therefore, we obtain for free enthalpy of adsorption the following error:
Moreover, the relative deviation is given by:
And the error on the specific free enthalpy reads as:
Finally, the relative error committed on the acid–base constants KA, KB and K are:
Therefore, the error committed on the values of acid base constants is equal to \(5\times {10}^{-3}\).
Conclusion
In this paper, new thermodynamic methods and models were developed to study the surface energy and acid base properties of H-β-zeolite impregnated with rhodium metal at different percentages %Rh. The effect of the temperature and the rhodium content on the acid base properties in Lewis terms of the various catalysts were analyzed by inverse gas chromatography at infinite dilution. The variation of RTlnVn of n-alkanes adsorbed on the catalysts with the rhodium percentage revealed the presence of a maximum at %Rh = 0.75%. Conversely, for polar solvents the maximum occurs at 1.00%Rh. This is due to the variation of some surface groups because of the change in the acid base properties of the catalysts when adding rhodium in zeolite.
The specific surface area SBET of different catalysts decreases with the rhodium percentage until 0.5%Rh, followed by a slight increase to reach a local maximum at 1%Rh. Finally, SBET decreases up to a plateau observed for %Rh larger than 1.50%. The same conclusion was observed for the microporous volume. The highest value of the specific surface area was obtained for H-β-zeolite. In the presence of rhodium, the metal particles block the micropores causing a decrease in the specific surface area and in the catalyst microporosity. However, the increase of the specific surface area, for the catalysts containing a rhodium percentage comprised between 0.5 and 1.0, can result from the smaller particle sizes that cannot block the zeolite micropores. For catalyst with a rhodium percentage larger than 1.50% Rh, the much lower observed surface area and pore volume is certainly due to the larger nanoparticles which block the micropores. The same behavior was observed when studying the variations \(\frac{{d\gamma }_{s}^{d}}{dT}\) of catalysts as a function of the impregnated rhodium percentage regardless of the molecular model of n-alkane surface areas used.
The results relative to the specific free enthalpy ∆Gsp(T) of different polar molecules adsorbed on H-β-zeolite clearly demonstrated the strong amphoteric behavior of all supported Rh catalysts. The rhodium supported by H-β-zeolite actively react with the amphoteric solvents (methanol, acetone, tri-CE and tetra-CE), acid (chloroform) and base (ether) molecules. A decrease of the amphoteric character of the catalyst with 0.25% of rhodium is reported. The magnitudes of methanol and acetone ∆Gsp decrease from 10.9 kJ/mol and 14.5 kJ/mol, respectively, to 9.3 kJ/mol and 11.6 kJ/mol. Whereas, an increase in the acid character with a decrease of basic specific free enthalpy were highlighted. It seems that the impregnation of the rhodium in H-β-zeolite causes a decrease in base character and an increase in the acid magnitude. The tendency of the decrease of basic character and the increase of acid character became more accentuated for greater percentage of impregnated rhodium (2%Rh) for all temperatures.
The classic Gutmann relationship was not well suited for an accurate determination of the acid base constants. Negative values of the basic constant for rhodium percentage more than 1.25%Rh coupled to weak linear regression coefficients of the order of 0.8 and 0.9 are obtained. The previous results were corrected by applying the Hamieh’s model. In this case, the acid–base constants KA, KD and K of the various catalysts were determined with an excellent accuracy. The H-β-zeolite is more acidic than basic with more important specific interactions. The acidity constant KA decreases with the Rh content while the basicity constant KD, increases up to 1%Rh. At the same time, the amphoteric constant K remains constant until 1%Rh and then decreases to reach its plateau from 1.5%Rh. An interesting correlation was highlighted between the surface specific area of the various catalysts, the rhodium percentage in zeolites and the specific acid base interactions between the catalysts and the polar organic molecules.
References
Chow, A. H. L., Tong, H. H. Y., Shekunov, B. Y. & York, P. Letter to editor: Use of inverse gas chromatography (IGC) to determine the surface energy and surface area of powdered materials. Pharma. Res. 21(9), 1718–1720. https://doi.org/10.1023/B:PHAM.0000041470.92345.e8 (2004).
Askin, A. & Yazici, D. T. A study of the surface analysis of some water-soluble polymers by inverse gas chromatography. Surf. Interface Anal. 40, 1237–1241. https://doi.org/10.1002/sia.2869 (2008).
Sreekanth, T. V. M. & Reddy, K. S. Analysis of solvent-solvent interactions in mixed isosteric solvents by inverse gas chromatography. Chromatographia 65, 326–330. https://doi.org/10.1365/s10337-006-0149-7 (2007).
Yang, Y. C. & Yoon, P. R. Examination of the surface properties of kaolinites by inverse gas chromatography: Acid–base properties. Korean J. Chem. Eng. 24, 451–456. https://doi.org/10.1007/s11814-007-0078-7 (2007).
Ansari, D. M. & Price, G. J. Polymer, chromatographic estimation of filler surface energies and correlation with photodegradation of kaolin filled polyethylene. Polymer 45, 1823–1831. https://doi.org/10.1016/j.polymer.2004.01.018 (2004).
Fekete, E., Móczo, J. & Pukánszky, B. Determination of the surface characteristics of particulate fillers by inverse gas chromatography at infinite dilution: A critical approach. J. Colloid Interface Sci. 269, 143–152. https://doi.org/10.1016/S0021-9797(03)00719-7 (2004).
Ward, T. C., Lloyd, D. R., Schreiber, H. P. (Eds.), Inverse Gas Chromatography, ACS Symp. Ser. No. 391 (Washington, DC, 1989).
Cline, D. & Dalby, R. Predicting the quality of powders for inhalation from surface energy and area. Pharm. Res. 19, 1274–1277. https://doi.org/10.1023/A:1020338405947 (2002).
Santos, J. M. R. C. A. & Guthrie, J. T. Analysis of interactions in multicomponent polymeric systems: The key-role of inverse gas chromatography. Mater. Sci. Eng. R. 50, 79–107. https://doi.org/10.1016/j.mser.2005.07.003 (2005).
Gamelas, J. A. F. The surface properties of cellulose and lignocellulosic materials assessed by inverse gas chromatography: A review. Cellulose 20, 2675–2693. https://doi.org/10.1007/s10570-013-0066-5 (2013).
Mukhopadhyay, P. & Schreiber, H. P. Aspects of acid–base interactions and use of inverse gas chromatography. Colloids Surf. A 100, 47–71. https://doi.org/10.1016/0927-7757(95)03137-3 (1995).
Gamelas, J. A. F., Ferraz, E. & Rocha, F. An insight into the surface properties of calcined kaolinitic clays: The grinding effect. Colloids Surf. A 455, 49–57. https://doi.org/10.1016/j.colsurfa.2014.04.038 (2014).
Feeley, J. C., York, P., Sumby, B. S. & Dicks, H. Processing effects on the surface properties of α-lactose monohydrate assessed by inverse gas chromatography (IGC). Int. J. Pharm. 172, 89–96. https://doi.org/10.1023/A:1013103521464 (1998).
Ticehurst, M.D. Characterisation of the surface energetics of pharmaceutical powders by inverse gas chromatography. University of Bradford, York, Ph.D. thesis, 1995.
Voelkel, A. & Grzeskowiak, T. The use of solubility parameters in characterization of titanate modified silica gel by inverse gas chromatography. Chromatographia 51, 608–614. https://doi.org/10.1007/BF02490820 (2000).
Newell, E., Buckton, G., Butler, D. A., Thielmann, F. & Williams, D. R. The use of inverse phase gas chromatography to measure the surface energy of crystalline, amorphous, and recently milled lactose. Pharm. Res. 18, 662–666. https://doi.org/10.1023/A:1011089511959 (2001).
Kalantzopoulou, F. R., Artemiacti, T., Bassiotis, I., Katsanos, N. A. & Plagianakos, V. Time separation of adsorption sites on heterogeneous surfaces by inverse gas chromatography. Chromatographia 53, 315–320. https://doi.org/10.1007/BF02490431 (2001).
Hamieh, T. & Schultz, J. New approach to characterise physicochemical properties of solid substrates by inverse gas chromatography at infinite dilution. I. Some new methods to determine the surface areas of some molecules adsorbed on solid surfaces. J. Chromatogr. A. 969(1–2), 17–36. https://doi.org/10.1016/S0021-9673(02)00368-0 (2002).
Hamieh, T., Rageul-Lescouet, M., Nardin, M., Haidara, H. & Schultz, J. Study of acid–base interactions between some metallic oxides and model organic molecules. Colloids Surf. A Phys. Eng. Aspects. 125, 155–161. https://doi.org/10.1016/S0927-7757(96)03855-1 (1997).
Nakatsuji, T. & Komppa, V. A catalytic NOx reduction system using periodic steps, lean and rich operations. Catal. Today 75(1–4), 407–412 (2002).
Carroll, A. M., O’Sullivan, T. P. & Guiry, P. J. The development of the asymmetric rhodium-catalysed olefin hydroboration. Adv. Synth. Catal. 347(5), 609–631 (2005).
Matolin, V., Masek, K., Elyakhloufi, M. H. & Gillet, E. Adsorption of CO on small supported rhodium particles: SSIMS and TPD study. J. Catal. 143(2), 492–498 (1993).
Hwang, C. P., Yeh, C. T. & Zhu, Q. M. Rhodium-oxide species formed on progressive oxidation of rhodium clusters dispersed on alumina. Catal. Today 51(1), 93–101. https://doi.org/10.1016/S0920-5861(99)00011-5 (1999).
Navio, J. A., Colon, G., Litter, M. I. & Bianco, G. N. J. Mol. Catal. A: Chem. 106(3), 267–276 (1996).
Zhang, X., Qian, L., Xu, P., He, H. & Du, Q. Study of H-β–zeolite supported Rh catalyst by inverse gas chromatography. Chem. Eng. J. 137, 579–586. https://doi.org/10.1016/j.cej.2007.05.020 (2008).
Moloy, E. C., Davila, L. P., Shackelford, J. F. & Navrotsky, A. A relationship between energetics and internal surface area. Micropor. Mesopor. Mater. 54(1/2), 1–13. https://doi.org/10.1016/S1387-1811(02)00328-1 (2002).
Saint Flour, C. & Papirer, E. Gas-solid chromatography. A method of measuring surface free energy characteristics of short glass fibers. 1. Through adsorption isotherms. Ind. Eng. Chem. Prod. Res. Dev. 21, 337–341. https://doi.org/10.1021/i300006a029 (1982).
Saint Flour, C. & Papirer, E. Gas-solid chromatography: method of measuring surface free energy characteristics of short fibers. 2. Through retention volumes measured near zero surface coverage. Ind. Eng. Chem. Prod. Res. Dev. 21, 666–669. https://doi.org/10.1021/i300008a031 (1982).
Papirer, E., Brendlé, E., Balard, H. & Ozil, F. IGC determination of surface properties of fullerenes: Comparison with other carbon materials. Carbon 37, 1265–1274 (1999).
Conder, J. R. & Young, C. L. Physical Measurements by Gas Chromatography 632 (Wiley, New York, 1979).
Dorris, G. M. & Gray, D. G. Adsorption of normal-alkanes at zero surface coverage on cellulose paper and wood fibers. J. Colloid Interface Sci. 77, 353–362 (1980).
Fowkes, F. M. In Surface and Interfacial Aspects of Biomedical Polymers (ed. Andrade, J. D.) 337–372 (Plenum Press, New York, 1985).
Gutmann, V. The Donor–Acceptor Approach to Molecular Interactions (Plenum, New York, 1978).
Riddle, F. L. & Fowkes, F. M. Spectral shifts in acid-base chemistry Van der Waals contributions to acceptor numbers, Spectral shifts in acid–base chemistry. 1. van der Waals contributions to acceptor numbers. J. Am. Chem. Soc. 112(9), 3259–3264. https://doi.org/10.1021/ja00165a001 (1990).
Hamieh, T. Study of the temperature effect on the surface area of model organic molecules, the dispersive surface energy and the surface properties of solids by inverse gas chromatography. J. Chromatogr. A 1627, 461372. https://doi.org/10.1016/j.chroma.2020.461372 (2020).
Bilgiç, C. & Tümsek, F. Determination of the acid/base properties of MgY and NH4Y molecular sieves by inverse gas chromatography. J. Chromatogr. A 1162, 83–89. https://doi.org/10.1016/j.chroma.2007.04.003 (2007).
Barr, T. L. & Lishka, M. A. ESCA studies of the surface chemistry of zeolites. J. Am. Chem. Soc. 108, 3178–3186. https://doi.org/10.1021/ja00272a004 (1986).
Okamoto, Y., Maezawa, M. & Imanaka, T. Electronic structure of zeolites studied by X-ray photoelectron spectroscopy. J. Catal. 112, 427–436. https://doi.org/10.1016/0021-9517(88)90157-1 (1988).
Vinek, H., Noller, H., Ebel, M. & Schwarz, K. X-ray photoelectron spectroscopy and heterogeneous catalysis, with elimination reactions as an example. J. Chem. Soc. Faraday Trans. I(73), 734–746. https://doi.org/10.1039/F19777300734 (1977).
Morales, E., Dabrio, M. V., Herrero, C. R. & Acosta, L. Acid/base characterization of sepiolite by inverse gas chromatography. Chromatographia 31, 357–361. https://doi.org/10.1007/BF02262192 (1991).
Funding
This research did not receive any specific grant from funding agencies in the public, commercial, or not-for-profit sectors.
Author information
Authors and Affiliations
Contributions
T.H.: conceptualization; formal analysis; investigation; methodology; supervision; validation; writing—review & editing. A.A.A.: investigation; methodology. T.R.C.: conceptualization; supervision; validation; writing—review & editing. J.T.: conceptualization; formal analysis; investigation.
Corresponding author
Ethics declarations
Competing interests
The authors declare no competing interests.
Additional information
Publisher's note
Springer Nature remains neutral with regard to jurisdictional claims in published maps and institutional affiliations.
Rights and permissions
Open Access This article is licensed under a Creative Commons Attribution 4.0 International License, which permits use, sharing, adaptation, distribution and reproduction in any medium or format, as long as you give appropriate credit to the original author(s) and the source, provide a link to the Creative Commons licence, and indicate if changes were made. The images or other third party material in this article are included in the article's Creative Commons licence, unless indicated otherwise in a credit line to the material. If material is not included in the article's Creative Commons licence and your intended use is not permitted by statutory regulation or exceeds the permitted use, you will need to obtain permission directly from the copyright holder. To view a copy of this licence, visit http://creativecommons.org/licenses/by/4.0/.
About this article
Cite this article
Hamieh, T., Ali Ahmad, A., Roques-Carmes, T. et al. New approach to determine the surface and interface thermodynamic properties of H-β-zeolite/rhodium catalysts by inverse gas chromatography at infinite dilution. Sci Rep 10, 20894 (2020). https://doi.org/10.1038/s41598-020-78071-1
Received:
Accepted:
Published:
Version of record:
DOI: https://doi.org/10.1038/s41598-020-78071-1
This article is cited by
-
Physicochemical characterization of thermodynamic parameters and isomer separation of Hemin by inverse gas chromatography
Brazilian Journal of Chemical Engineering (2025)
-
Investigation of Physicochemical Characteristics of Aspergillus niger Biomass and Examination of Its Ability to Separate Butyl Acetate Isomers
Applied Biochemistry and Biotechnology (2024)






















