Abstract
This paper is concerned with a kind of Bobwhite quail population model
where the parameters and initial values are positive parabolic fuzzy numbers. According to g-division of fuzzy sets and based on the symmetrical parabolic fuzzy numbers, the conditional stability of this model is proved. Besides the existence, boundedness and persistence of its unique positive fuzzy solution. When some fuzzy stability conditions are satisfied, the model evolution exhibits oscillations with return to a fixed fuzzy equilibrium no matter what the initial value is. This phenomena provided a vivid counterexample to Allee effect in density-dependent populations of organisms. As a supplement, two numerical examples with data-table are interspersed to illustrate the effectiveness. Our findings have been verified precise with collected northern bobwhite data in Texas, and will help to form some efficient density estimates for wildlife populations of universal applications.
Similar content being viewed by others
Background and motivation
Most biological phenomena use natural language and qualitative reasoning to describe ecological relationships in the description process, and artificial intelligence provides a way to process natural language knowledge, such as rule-based expert systems. In this process, knowledge is given in the form of ”IF (trigger condition) -THEN (event conclusion)”, and an ecosystem rule can be assumed as ”IF the number of species A is large and the number of species B and species C is small, THEN the number of species A increases to medium and the number of species B decreases to medium.” And the number of species C increases slowly ”, in which ”large”, ”small”, ”increase (decrease) to the medium amount” and ”slow increase” are vague and inaccurate.
To address this situation, Zadeh proposed fuzzy set theory in 19651. Its core idea is to use membership function to represent fuzzy sets, membership function assigns each fuzzy object a value in the range of 0 to 1, which are classes with not sharply defined boundaries in which the transition from membership to non-membership is gradual. Fuzzy set theory provides a powerful tool for solving fuzzy expert knowledge. Fuzzy rule models composed of expert experience, fuzzy sets, fuzzy logic, etc., have been proved rational and effective for general ecosystem behavior analysis2,3,4, specially, for fishery ecological modelings5,6, and some epidemic prevention treatments7,8.
Meanwhile,a classic fuzzy set, ”\(\alpha \)-cut set” was proposed as a means of handling uncertainty that is due to imprecision or vagueness rather than to randomness. Algebraic structures arising out of the family of fuzzy \(\alpha \)-cuts and fuzzy strict ”\(\alpha \)-cuts” were investigated in9, and some significance and usefulness of fuzzy \(\alpha \)-cut set are discussed. Based on \(\alpha \)-cut sets, revealing the relationship of deterministic and uncertain models, many fuzzy models were studied worldwide. According to the \(\alpha \)-cut sets skills, we considered the discrete time Beverton-Holt model with fuzzy uncertainty parameters and initial conditions in10, and a delayed fuzzy Skellam equation in11, that responded to a lag between the variations of external conditions and response of the population to several variations. Meanwhile, Li and Teng12 studied an uncertain SIS epidemic model in 2019. More references can be sought in13.
Considering the biological population models, the process of habitat fragmentation has been intensified by human action of extractive, agriculture and live- stock activities. Among a habitat fragmentation, an Allee effect is an vital feature by both theoretically oriented and applied ecologists. Allee effect is a positive association between absolute average individual fitness and population size over some finite interval, as objects researched in14and15,16. However, several biology systems do not follow Allee effect in the habitats. Such as a p-fuzzy drosophila mediopunctata population system, depicted by Castanho M, which in South America Atlantic forest fragments(see17), exhibits oscillations with return to equilibrium. These phenomena raised doubts that the positive association of density dependence may, but does not necessarily, give rise to a critical population size, below which the population cannot persist. For example in 2013, Hefley, Tyre and Blankenship expected the bobwhite quail population extinct in a habitat-deteriorating and losing region with two independent data sets as in18. Then, our next concern is about the bobwhite quail population with two generation delays and inevitable data-errors. We will conclude that this type of population system does not affected by Allee effect, which result helps institutional to conducive ecological maintenance programs. The following is the applicable scene and development of so-called bobwhite quail population model.
In 2003, Abu-Saris et al.19 studied the global asymptotic stability and semicycle character of an ordinary difference equation as
Contemporaneously, Papaschinopoulos,G et al.20 researched the corresponding fuzzy model,
where \(x_n\) is a sequence of fuzzy numbers, the parameter A is a fuzzy number. They presented the existence,boundedness and the asymptotic behavior of the positive fuzzy solutions .
Inspired by the rational difference equation system in Yang’s concern21, in 2005,
Zhang22studied the following FDE in 2015. Taşdemir did so and went further in23, 2021.
According to survey, the estimated abundance of two typical Bobwhite quails is declining by 3\(\%\) per year since 199624,thereby some long-term conservation efforts to the main poultry in Southern Texas are indispensable. A original bobwhite quail population model in25 focused only on the density of the population at spring, that is net increase, and fall, net decrease accordingly. Besides seasonal factor, living environment(brush canopy cover26,the effect of natural predators trap and removal27,28, a regular harvest29 ) influenced the process of bobwhite quail population evolution usually. Focusing trajectories of Bobwhite quail populations in four reasons is deemed sensible, our observations can be expressed in a generalization model of a form originally introduced by30,31,32 as
According to Zhang and Taşdemir’s work, the following fuzzy difference equation, typically and not unexpectedly, described a general fuzzy bobwhite quail population model (GFBQP model).
This paper simplified above model with \(C=1, ~D=0, ~m=2, ~p_1=p_2=1\), saying a fuzzy bobwhite quail population (FBQP) model
where the initial population size values \(x_{i}, i=-2,-1,0\), and parameters A , that indicates some natural logarithm item of process error term during population-size change, see33 , and B, that indexes population threshold density25, are positive fuzzy numbers.
We proposed and studied the behavior of positive fuzzy solutions of Eq. (2), applying \(\alpha \)- cut sets and g-division(more natural to understand than Zadeh Extension principle, as in34.
This article is mainly to investigate the dynamical behaviors of a third-order fuzzy Bobwhite quail populations Model. The content of this paper is organized as follows. Section 2 introduced the related terms and definitions. Section 3 proposes the main theorems and proofs including existence, boundedness, persistence and asymptomatic stability of positive fuzzy solutions under some sufficient conditions. A unique positive fuzzy equilibrium x and every positive fuzzy solution \(x_n\) of Eq. (2) also was drawn to converges to x as \(n\rightarrow \infty \). Section 4 presents the numerical results for two test problems in parabolic fuzzy number35, which is an upgraded vision of triangle fuzzy number, and is well-adapted for application more information and application can refer36,37 and38. The conclusion of the article is presented in Section 5.
Some definitions
Firstly we give some definitions will be used in the following.
Definition 2.1
39 A function \(H: R\rightarrow [0,1]\) is called a fuzzy number if the following conditions (i)-(iv) hold true:
-
(i)
H is normal, namely, there is at least an \(x\in R\) satisfying \(H(x)=1\);
-
(ii)
H is fuzzy convex, namely, for each \(\lambda \in [0,1]\) and \(x_1, x_2\in R\), it has
$$\begin{aligned} H(\lambda x_1+(1-\lambda )x_2)\ge \min \{H(x_1),H(x_2)\}; \end{aligned}$$ -
(iii)
H is upper semi-continuous;
-
(iv)
The support of H, \(\text{ supp }H=\overline{\bigcup _{\alpha \in (0,1]}[H]_{\alpha }}=\overline{\{x: H(x)>0\}}\) is compact.
The \(\alpha \)-level set of fuzzy number H is written \([H]_\alpha =\{x\in R: H(x)\ge \alpha \}\) for \(\alpha \in (0,1]\). It is clear that \([H]_\alpha \) is a closed interval. H is positive (or negative) if \(\text{ supp } H\subset (0,+\infty ) (\text{ supp } H\subset (-\infty ,0) ).\) If H is a positive real number (trivial fuzzy number), then \([H]_\alpha =[H, H],\) for \(\alpha \in (0,1].\)
Let H, P be fuzzy numbers with \(\alpha \) level set \([H]_\alpha =[H_{l,\alpha }, H_{r,\alpha }], [P]_\alpha =[P_{l,\alpha }, P_{r,\alpha }],\alpha \in [0,1]\), the addition and multiplication of fuzzy numbers are defined as follows:
The collection of all fuzzy numbers satisfying Eqs.(2.1)-(2.2) is denoted by \(R_F\).
Definition 2.2
39 The metric D between arbitrary two fuzzy numbers H and P is denoted by
It is obvious that \((R_F, D)\) forms a complete metric space.
Definition 2.3
40 Let \(H,P\in R_F\), \([H]_\alpha =[H_{l,\alpha }, H_{r,\alpha }], [P]_\alpha =[P_{l,\alpha }, P_{r,\alpha }]\), with \(0\notin [P]_\alpha , \forall \alpha \in [0,1]\). The g-division (\(\div _g\)) is denoted by \(W=H\div _g P\) having level sets \([W]_\alpha =[W_{l,\alpha },W_{r,\alpha }]\)(here \([H]_\alpha ^{-1}=[1/H_{r,\alpha },1/H_{l,\alpha }]\))
If W is a proper fuzzy number, i.e., \(W_{l,\alpha }\) and \(W_{r,\alpha }\) are nondecreasing and nonincreasing respectively, and \(W_{l,1}\le W_{r,1}\).
Compared with utilizing Zadeh extension principle, g-division introduced in40 has an obvious advantage that it decreases the singularity of fuzzy solution due to reduction of the length of the support interval. The g-division reduced some negligible ambiguity degree, is superior to the Zadeh Extension principle in fuzzy number operations. The g-division is the logic basis of several analysis methods, for example, Fanny method was considered to be one of the best choices in41, because it produced the largest reductions in the variance of three fields cultivated with soya bean and maize in Brazil. It is utilized by us in42 to present large time behaviors of positive fuzzy solution of a kind of second-order fractal difference equation with positive fuzzy parameters, including persistence, boundedness, global convergence.
Remark 2.1
In this paper, according to40, if the positive fuzzy number \(H\div _g P=W\in R_F\) exists, then one and only one of following two cases will be held.
Case I if \(H_{l,\alpha }P_{r,\alpha }\le H_{r,\alpha }P_{l,\alpha },\forall \alpha \in [0,1],\) then \(W_{l,\alpha }=\frac{H_{l,\alpha }}{P_{l,\alpha }}, W_{r,\alpha }=\frac{H_{r,\alpha }}{P_{r,\alpha }},\)
Case II if \(H_{l,\alpha }P_{r,\alpha }> H_{r,\alpha }P_{l,\alpha },\forall \alpha \in [0,1],\) then \(W_{l,\alpha }=\frac{H_{r,\alpha }}{P_{r,\alpha }}, W_{r,\alpha }=\frac{H_{l,\alpha }}{P_{l,\alpha }}.\)
Definition 2.4
Let \(\{x_n\}\) be a sequence of positive fuzzy number, if there exists a \(M>0\), resp. \(N>0\), satisfying
then \(\{x_n\}\) is persistent, resp. bounded.
If there exist \(M, N>0\) such that
then the sequence \(\{x_n\}\) is bounded and persistent.
If the norm \(\Vert x_n\Vert ,n=1,2,\cdots ,\) is an unbounded sequence, then the sequence \(\{x_n\}\) is unbounded.
Definition 2.5
\(x_n\) is said to be a positive solution of Eq. (2) if a sequence \(\{x_n\}\) satisfies Eq. (2). x is a positive equilibrium of Eq. (2) if
If \(\lim _{n\rightarrow \infty }D(x_n,x)=0\), then \(\{x_n\}\) converges to x as \(n\rightarrow \infty \).
Main results and its proof
Existence of a unique solution of equation (2)
Firstly, we propose the lemma of multi-variable fuzzy function with \(\alpha \)-cut set.
Lemma 3.1
39 Let \(g: R^+\times R^+\times R^+\times R^+\rightarrow R^+\) be continuous, \(A_i\in R_F^+, i=1,2,3,4\), then
Theorem 3.1
Consider Eq. (2), where coefficients \(A, B\in R_F^+\) and \(x_i\in R_F^+,i=-2,-1, 0\). Then there is a unique positive fuzzy solution \(x_n\) of Eq. (2).
Proof
Assume that a sequence of fuzzy numbers \(\{x_n\}\) is satisfied with Eq. (2) for initial conditions \(x_i\in R_F^+,i=-2,-1,0.\) Consider the \(\alpha \)-level set, \(\alpha \in (0,1],\)
By virtue of (3.1) and Lemma 3.1, taking \(\alpha -\)level set, it follows from Eq. (2) that
According to g-division, we have two cases. \(\square \)
Case I
Case II
If Case I occurs, for \(n\in \{0,1,2,\cdots \}, \alpha \in (0,1]\), it follows from (3.2) that
Then, for each initial values \((x_{j,l,\alpha },x_{j,r,\alpha }), j=-2, -1,0,\alpha \in (0,1]\), there is a unique solution \(x_{n,\alpha }\).
Now we show that \(x_{n,\alpha },\alpha \in (0,1]\), ascertains the fuzzy solution of Eq. (2) with initial values \(x_i,i=-2,-1,0\) satisfying
Since \(x_j\in R_F^+, j=-2, -1,0\), It follows from reference19 that, for any \(\alpha _i\in (0,1] (i=1,2),\alpha _1\le \alpha _2\),
Firstly, we prove that, for \(n=0,1,2,\cdots ,\)
Since (3.6) hold true, (3.7) is true by mathematical induction for \(n=0\). When \(n= k, k\in \{1,2,\cdots \}\), Let (3.7) be true. Then, for \(n=k+1\), it follows from (3.5)-(3.7) that
Therefore, (3.7) is true.
From (3.5), we know
Since \(x_j\in R_F^+, j=-2, -1, 0,\) and \(A, B\in R_F^+\), it follows that \(x_{j,l,\alpha },x_{j,r,\alpha }, j=0,-1,-2,\) are left continuous.
Therefore, it follows from (3.8) that \(x_{1,l,\alpha }\) and \(x_{1,r,\alpha }\) are left continuous. So, it’s natural by induction that \(x_{n,l,\alpha }\) and \(x_{n,r,\alpha }\)are left continuous
Secondly, it is sufficient that \(\text{ supp } x_n=\overline{\bigcup _{\alpha \in (0,1]}[x_{n,l,\alpha },x_{n,r,\alpha }]}\) is compact, namely, \(\bigcup _{\alpha \in (0,1]}[x_{n,l,\alpha },x_{n,r,\alpha }]\) is bounded.
Let \(n=1\), since \(A, B\in R_F^+\) and \(x_j\in R_F^+,j=-2, -1, 0\), for each \(\alpha \in (0,1]\), there are positive real numbers \(A_{l,0},A_{r,0},B_{l,0},B_{r,0}, x_{j,l,0}, x_{j,r,0},j=-2,-1,0,\) such that
Hence from (3.8) and (3.9), it has
Then
Therefore, \(\overline{\bigcup _{\alpha \in (0,1]}[x_{1,l,\alpha }, x_{1,r,\alpha }]}\subset (0,\infty )\) is compact.
Deducing inductively, it is easy to get that \(\overline{\bigcup _{\alpha \in (0,1]}[x_{n,l,\alpha }, x_{n, r,\alpha }]}\) is compact, and
Noting (3.7) and (3.11), \(x_{n,l,\alpha },\) and \(x_{n, r,\alpha }\) are left continuous, \([x_{n,l,\alpha },x_{n,r,\alpha }]\) ascertains a sequence of positive fuzzy numbers \(x_n\) satisfying (3.5).
Now we show that \(x_n\) is the positive fuzzy solution of Eq. (2) with the initial conditions \(x_i, i=0,-1,-2\). For \(\alpha \in (0,1]\),
We deduce \(x_n\) is a positive fuzzy solution of Eq. (2) with initial values \(x_i, i=-2,-1,0\).
If there is another positive fuzzy solution \({\overline{x}}_n\) of Eq. (2) with initial values \(x_i, i=-2, -1, 0\), it is easy to show that
From (3.5) and (3.12), then \([x_n]_\alpha =[{\overline{x}}_n]_\alpha , \alpha \in (0,1],n=0,1,2,\cdots ,\) so \(x_n={\overline{x}}_n, n=0,1,\cdots .\)
Suppose Case II occurs, for \(n\in \{0,1,2,\cdots \}, \alpha \in (0,1]\), it follows from (3.3) that
The proof is similar to those of Case I. Thus we finish the proof of Theorem 3.1.
Dynamics of equation (2)
In this section, by virtue of g-division of fuzzy numbers, we investigate the dynamical behavior of the positive fuzzy solutions of Eq. (2) by cases I and cases II.
Firstly, if case I occurs, we draw a conclusion of corresponding crisp system in the following lemma.
Lemma 3.2
Consider the following difference equation
where \(y_i>0, \ \ i=-2,-1,0\), if
then for \(n\ge 0\)
Proof
From (3.14) it is clear that \(y_n>p\) for \(n\ge 1\) . For \(n\ge 4\), one can get that
Deducing inductively, for \(n-k\ge 3\), it follows that
\(\square \)
Noting that \(k\le n-3\) is equivalent to \(n-k\ge 3\). So (3.16) is true.
By Lemma 3.2, the following theorem interprets the sufficient conditions for the positive fuzzy solution \(x_n\) of Eq. (2) will be bounded and persistent.
Theorem 3.2
Consider Eq. (2), where the parameters \(A, B\in R_F^+\) and the initial conditions \(x_i\in R_F^+, i=-2, -1, 0\), if
then every positive fuzzy solution \(x_n\) of Eq. (2) is bounded and persistent.
Proof
(i) Let \(x_n\) be a positive solution of Eq. (2) satisfying (3.5). It follows from (3.4) that
Then from (3.9), (3.18) and Lemma 3.2, we get from(3.1) and (3.4)
\(\square \)
Theorem 3.2 reveals the relation between the population development error and the population threshold density to guarantee a FBQP model steady, when initial size meets Case I.
Lemma 3.3
Consider difference equation (3.14), if
then Eq. (3.14) is asymptotically stable, and its equilibrium point is \({\bar{y}}=\frac{p+\sqrt{p^2+4(1-a)}}{2(1-a)}\).
Proof
It is easy to obtain the equilibrium point \({\bar{y}}\) of (3.14). Considering the linearized equation of (3.14) on \({\overline{y}}\), by the methodologies in43,44,45 associated with (3.14), is
where \(G=\frac{2(1-a)^2}{p^2+2(1-a)+p\sqrt{p^2+4(1-a)}}.\)
Since \(3p^2 > 4(1-a)\), it leads
Using Theorem 1.3.7 in43, the equilibrium \({\overline{y}}\) of (3.14) is asymptotically stable. \(\square \)
Lemma 3.4
Consider the system of ordinary difference equations in Case I
if
Then every positive solution \((y_n,z_n)\) of (3.24) tends to equilibrium
Proof
Let \((y_n,z_n)\) be positive solution of (3.24). Set
From Lemma 3.2, we have \(0<p<\lambda _1\le {\overline{y}}\le \Lambda _1<\infty , 0<q<\lambda _2\le {\overline{z}}\le \Lambda _2<\infty .\) Then
Relations (3.27) implies that
That is
Since condition (3.25) hold, we can get
Since \(\lambda _1\le \Lambda _1,\lambda _2\le \Lambda _2\), then from (3.28), it is obvious that
Thus \(\lim _{n\rightarrow \infty }y_n\) and \(\lim _{n\rightarrow \infty }z_n\) exist, referring46. From the uniqueness of the positive equilibrium of (3.14), we have that \(\lim _{n\rightarrow \infty }y_n={\overline{y}}, \ \lim _{n\rightarrow \infty }z_n={\overline{z}}.\) \(\square \)
Theorem 3.3
For \(\alpha \in (0,1],\) \(A \in R_F^+, B \in R^+\), if
then every positive solution \(x_n\) of Eq. (2) converges to the positive equilibrium x, where \([x]_\alpha =[x_{l,\alpha }, x_{r,\alpha }],\)
and \(\lim _{n\rightarrow \infty }D(x_n,x)=0\).
Proof
Suppose that there is a positive fuzzy number x satisfying
where \(x_{l,\alpha }, x_{r,\alpha }\ge 0\). Then
it gets (3.30)
Let \(x_n\) be a positive solution of Eq. (2). Since(3.29), it follows from system (3.4), by Lemma 3.3 and Lemma 3.4, that
Namely,
This completes the proof of Theorem 3.3. \(\square \)
Theorem 3.3 describes the development process error item may much less than the population threshold density as (3.29), when the initial fuzzy size meet Case I of the FBQP (2).
Secondly, if Case II occurs, it follows that, for \( \alpha \in (0,1], n=0,1,2,\cdots ,\)
To obtain the dynamical behavior of Eq. (2) in Case II as (3.3) , we need the following lemma.
Lemma 3.5
Consider the system of difference equations
if \(0<a<1,~0<b<1, y_{i}>0, z_{i}>0, i=-2,-1,0\). Then, for \(n\ge 1,\)
where
Proof
From (3.32), for \(n\ge 1,\) it is clear that \(y_n\ge p, z_n\ge q.\) And for \(n\ge 4\),
\(\square \)
Similarly,
By recursive method, one can get that
This completes the proof of Lemma 3.5.
Theorem 3.4
Consider Eq. (2), where the parameters \(A, B\in R_F^+\) and the initial conditions \(x_i\in R_F^+, i=-2, -1, 0\). If
for \(\alpha \in (0,1]\), then every positive fuzzy solution \(x_n\) of Eq. (2) is bounded and persistent.
Proof
Set \(C=(C_{l,\alpha },C_{r,\alpha }), \alpha \in (0,1],\) the proof process is similar to Theorem 3.2. With (3.33) in Lemma3.5,
where
\(\square \)
We completes the proof that the positive fuzzy solution \(x_n\) is bounded and persistent.
Theorem 3.4 reveals the sufficient condition for a fuzzy Bobwhite quail population steady, in Case II, is only related to the population initial size and its threshold density.
Lemma 3.6
Consider the system of difference equations (3.32), if
then there exists the unique positive equilibrium \(({\widetilde{y}},{\widetilde{z}}),\) which
is asymptotically stable.
Proof
According (3.32), its equilibrium should meet
It is easy to obtain the unique positive equilibrium point \(({\widetilde{y}},{\widetilde{z}})\) with expression in (3.36). \(\square \)
We have the series partial derivatives of \(y_n, z_n\) to the recording delayed values \(y_{n-1},y_{n-2},z_{n-2}\) and \(z_{n-2}\) for \(n=0,1,\cdots \) as
The linearized equation of system (3.32) about \(({\widetilde{y}},{\widetilde{z}})\) is
where \(\Psi _n=(y_n,y_{n-1},y_{n-2},z_n,z_{n-1},z_{n-2})^T\), and
Let \(G=\text{ diag }(1,\varepsilon ^{-1},\varepsilon ^{-2},\cdots ,\varepsilon ^{-5})\) be a diagonal matrix, let
Clearly, G is invertible. Computing \(GTG^{-1}\), we have
From (3.35), we know
By , it follows the positive equilibrium \(({\widetilde{y}},{\widetilde{z}})\) is asymptotically stable.
Lemma 3.7
Consider the system of difference equations (3.32), if
hold true, then every positive solution \((y_n,z_n)\) of (3.32) tends to the equilibrium \(({\widetilde{y}},{\widetilde{z}}).\)
Proof
Suppose that \((y_n,z_n)\) is an arbitrary positive solution of (3.32). Set
where \(l_i, L_i\in (0,+\infty ), i=1,2.\) Then
where \(({\widetilde{y}},{\widetilde{z}})\) is the positive equilibrium of (3.32). Then
From (3.32), (3.37) and (3.38) it can follow that \(L_i=l_i, i=1,2.\) Therefore,
The proof of Lemma 3.7 is completed. \(\square \)
Combining Lemma 3.6 with Lemma 3.7, we know Eq. (2) globally asymptotically stable with fuzzy equilibrium solution x as the following theorem.
Theorem 3.5
Consider Eq. (2), if the following conditions hold true for \(\alpha \in (0,1], \)
Then there exists a unique positive fuzzy equilibrium x, where \([x]_\alpha =[x_{l,\alpha }, x_{r,\alpha }],\)
and \(\lim _{n\rightarrow \infty }D(x_n,x)=0.\)
Proof
Assume there is a fuzzy number x satisfying
From which, we have (3.40).
Let \(x_n\) be a positive solution of (2). Since (3.39) is satisfied, by virtue of Lemma 3.6 and Lemma 3.7, we have
Then
The proof of Theorem 3.5 is completed. \(\square \)
Theorem 3.5 revelates the relationship between the error threshold item and the population threshold density of FBQP model (2), when the initial fuzzy size meets Case II. Condition (3.39) is necessary to condition (3.29).
Numerical examples
Example 4.1
For reversing the quail decline in Texas, the State Wildlife Department and Texas A & M Agrilife Extension Service had funded a series of research and investigations, such as mentioned in24, which scaled quail and bobwhite in the North Texas by a pairwise sequentially Markovian coalescent (PSMC) model (47).
Considering the inevitable error during data acquisition and prepossessing, with incompleteness of living environment parameters, we belive the FBQP model may depict and evolve the population of quail bobwhite more practically, rather than PSMC model. We set the parameters A with median 1.75 in (2), for the stable governmental input on agricultural resources, and B with median 0.15 for the reason that quail bobwhite had a pessimistic natural growth rate in situation in those years.
Furthermore, the preceding population structure with three periods is an appropriate delay for the biotic population. For simplicity, first of the population size are set to be a unit with cumulative fuzzy degrees as following,
From (4.1), the corresponding fuzzy parameters and initial values are expressed in Parabolic fuzzy numbers(PFNs) as mentioned in35,36,37,38 to depict fuzzy phenomenons, special expressing the system and period efficiencies of non-performing assets in48, where the degree of fuzzy \(\alpha \in (0,1],\)
The parabolic fuzzy numbers are functions according to \(\alpha \), which brings out simulation with Matlab with expression as following,
The FBQP model (2):
with (4.2) fits both Case I and Case II in the method of fuzzy g-division. Based on Theorem 3.2 and Theorem 3.3, model (2) have stable evolution ultimately in Table 1 and numerical simulation diagram in Fig. 1.
Obviously, every fuzzy \(x_n\) of FBQP model.(2) tends to the unique fuzzy equilibrium \(x^*\) with respect to D as \(n\rightarrow \infty \), see Fig. 1.
An Example of FBQP model. (2) in Case I.
Based on Theorem 3.4 and Theorem 3.5, model (2) have stable evolution ultimately in Table 2 and numerical simulation diagram in Fig. 2.
Furthermore every positive solution \(x_n\) of Eq. (2) tends to the unique fuzzy equilibrium \(x^*\) with respect to D as \(n\rightarrow \infty \), see Fig. 2.
In Fig. 3, we compared the evolution of model (2) with (4.2) in method of classic division (Zadah extension principle) and general division (g-division) in Case I and Case II, with the maximum degree of ambiguity (\(\alpha =0\)). Meanwhile, the crisp model evolution (\(\alpha =1\)) is arranged to demonstrate the relationship between fuzzy solutions with crisp solution.
Example 4.2
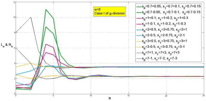
Accounting FBQP model.(2) constitutionally, we say it is an anti-example to Allee effect not only from the analysis in Theorem3.3 and Theorem 3.5, but also from the phenomenon with several initial population, higher or lower than the unit. Without losing the generation, Fig. 4 demonstrates a FBQP model with A, B in (4.2).
A demonstration of eventual stability of FBQP model (2) with A, B in (4.2), in Case I of g-division.
As a matter of fact, it has a similar line-trend in Case II. We hope these phenomenon with wide original value range may convince one that Allee effect will not work in the thematic model.
Conclusion and postscript
We applied an uncertainty analysis with fuzzy degree to anticipate some species and organism in surrounding with vagueness and uncertainty,studied a class of fuzzy Bobwhite quail populations model.
In fact, the results interpreted some ecological population experiment. For example, a research group from Colorado-state University trapped and translocated quail from source populations to a large contiguous release site in Knox County, Texas, USA during 2016-2017, as in49. They evaluated mortality and dispersal of these individuals by using a multi-state mark-recapture model with state uncertainty. Our results served Ruzicka’s conclusions that the population size difference in mortality and dispersal was the largest effect potentially and is likely attributable to weather conditions in seasons. More compatible findings are reflected in several recent relevant research,as in50, and51so on.
Data availability
The datasets used and/or analyzed during the current study are available from the first author on reasonable request.
References
Zadeh, L. A. Fuzzy sets. Inf. Control 8, 338–353 (1965).
Paul, S. et al. Discussion on fuzzy quota harvesting model in fuzzy environment: fuzzy differential equation approach. Model. Earth Syst. Environ. 2(2), 1–15 (2016).
Ducharme-Barth, N. D. & Vincent, M. T. Focusing on the front end: a framework for incorporating uncertainty in biological parameters in model ensembles of integrated stock assessments. Fish. Res. 255, 106452 (2022).
Ullah, A. et al. On solutions of fuzzy fractional order complex population dynamical model. Numer. Methods Partial Differ. Equ. 39(6), 4595–4615 (2023).
Khatua, A. et al. A fuzzy rule-based model to assess the effects of global warming, pollution and harvesting on the production of Hilsa fishes. Ecol. Inf. 57, 101070 (2020).
Tagliarolo, M. et al. Stock assessment on fishery-dependent data: effect of data quality and parametrisation for a red snapper fishery. Fish. Manag. Ecol. 28(6), 592–603 (2021).
Mahato, P. et al. An epidemic model through information-induced vaccination and treatment under fuzzy impreciseness. Model. Earth Syst. Environ. 8(3), 2863–2887 (2022).
Majumder, S. et al. A fuzzy rough hybrid decision making technique for identifying the infected population of COVID-19. Soft Comput. 27(5), 2673–2683 (2023).
Jana, P. & Chakraborty, M. K. Fuzzy \(\alpha \)-cut and related mathematical structures. Soft Comput. 25(1), 207–13 (2021).
Zhang, Q. H., Lin, F. B. & Zhong, X. Y. On discrete time Beverton–Holt population model with fuzzy environment. Math. Biosci. Eng. 16(3), 1471–1488 (2019).
Zhang, Q. H., Ouyang, M. & Zhang, Z. N. On second-order fuzzy discrete population model. Open Math. 20(1), 125–139. https://doi.org/10.1515/math-2022-0018 (2022).
Li, Z. & Teng, Z. Analysis of uncertain SIS epidemic model with nonlinear incidence and demography. Fuzzy Optim. Decis. Mak.https://doi.org/10.1007/s10700-019-09303-x (2019).
Dick, D. G. & Laflamme, M. Fuzzy ecospace modelling. Methods Ecol. Evol.https://doi.org/10.1111/2041-210x.13010 (2018).
Gao, C. W., Zhang, Z. Q. & Liu, B. L. Uncertain Logistic population model with Allee effect. Soft. Comput. 27(16), 11091–11098 (2023).
Jin, Y., Peng, R. & Wang, J. F. Enhancing population persistence by a protection zone in a reaction–diffusion model with strong Allee effect. Physica D 454, 133840 (2023).
Amarti, Z., Nurkholipah, N. S., Anggriani, N. & Supriatna, A. K. Numerical solution of a logistic growth model for a population with Allee effect considering fuzzy initial values and fuzzy parameters. IOP Conf. Ser. Mater. Sci. Eng. 332(1), 012051 (2018).
Castanho, M. J. P., Mateus, R. P. & Hein, K. D. Fuzzy model of drosophila mediopunctata population dynamics. Ecol. Model. 287, 9–15 (2014).
Demaso, S. J. et al. Simulating density-dependent relationships in south Texas northern bobwhite populations. J. Wildl. Manag. 77(1), 24–32 (2013).
Abu-Saris, R. M. & DeVault, R. Global stability of \(y_{n+1} =A+ \frac{y_n}{y_{n-k}}\). Appl. Math. Lett. 16, 173–178 (2003).
Papaschinopoulos, G. & Papadopoulos, B. K. On the fuzzy difference equation \(x_{n+1} =A+\frac{x_n}{x_{n-m}}\). Fuzzy Sets Syst. 129, 73–81 (2002).
Yang, X. On the system of rational difference equations\(x_n=A+\frac{y_{n-1}}{x_{n-p}x_{n-q}}, y_n=A+\frac{x_{n-1}}{x_{n-r}y_{n-s}}\). J. Math. Anal. Appl. 307, 305–311 (2005).
Zhang, Q. H., Liu, J. Z. & Luo, Z. G. Dynamical behavior of a third-order rational fuzzy difference equation. Adv. Differ. Equ.https://doi.org/10.1155/2015/530453 (2015).
Taşdemir, E. Global dynamical properties of a system of quadratic-rational difference equations with arbitrary delay. Sarajevo J. Math. 18(1), 161–175 (2022).
Oldeschulte, D. Annotated draft genome assemblies for the northern bobwhite (colinus virginianus) and the scaled quail (callipepla squamata) reveal disparate estimates of modern genome diversity and historic effective population size. G3 Genes Genomes Genet. 7(9), 3047–3058 (2017).
Milton, J. G. & Bélair, J. Chaos, noise, and extinction in models of population growth. Theor. Popul. Biol. 37(2), 273–290 (1990).
DeMaso, S. Short-and long-term influence of brush canopy cover on northern bobwhite demography in southern Texas. Rangel. Ecol. Manag. 67(1), 99–106 (2014).
Rectenwald, J. Top-down effects of raptor predation on northern bobwhite. Oecologia 197(1), 143–155 (2021).
Yeiser, J. Predation management and spatial structure moderate extirpation risk and harvest of northern bobwhite. J. Wildl. Manag. 85(1), 50–62 (2021).
Sands, J. Tests of an additive harvest mortality model for northern bobwhite Colinus virginianus harvest management in Texas, USA. Wildl. Biol. 19(1), 12–18 (2013).
Nesemann, T. Positive nonlinear difference equations: some results and applications. Nonlinear Anal. 47(7), 4707–4717 (2001).
Li, X. Y. & Zhu, D. M. Qualitative analysis of bobwhite quail population model. Acta Math. Sci. (Ser. B) 23(1), 46–52 (2003).
Bilgin, A. & Kulenović, M. R. S. Global asymptotic stability for discrete single species population models. Discrete Dyn. Nat. Soc. 2017, 5963594 (2017).
Hefley, T. J., Tyre, A. J. & Blankenship, E. E. Statistical indicators and state-space population models predict extinction in a population of bobwhite quail. Thyroid Res. 6(3), 319–331 (2013).
Zhang, Q. H., Yang, L. H. & Liao, D. X. On first order fuzzy Riccati difference equation. Inf. Sci. 270, 226–236 (2014).
Jagadeeswari, M., GomathiNayagam, V.L. Approximation of Parabolic Fuzzy Numbers. Fuzzy Syst. Data Min. III, 107–124 (2017).
Zhang, W. & Wang, Z. Exponential learning synchronization for a class of stochastic delayed parabolic fuzzy cellular neural networks. J. Xianyang Normal Univ. 32(6), 23–30 (2017).
Abbasi, F. Fuzzy reliability of an imprecise failure to start of an automobile using pseudo-parabolic fuzzy numbers. N. Math. Natl. Comput. 14(3), 323–341 (2018).
Dutta, P., Saikia, B., Doley, D. Decision making under uncertainty via generalized parabolic intuitionistic fuzzy numbers. Recent Adv. Intell. Inf. Syst. Appl. Math. 234–247 (2020).
Dubois, D. & Prade, H. Possibility Theory: An Approach to Computerized Processing of Uncertainty (Plenum Publishing Corporation, New York, 1998).
Stefanini, L. A generalization of Hukuhara difference and division for interval and fuzzy arithmetic. Fuzzy Sets Syst. 161, 1564–1584 (2010).
Gavioli, A. et al. An evaluation of alternative cluster analysis methods. Identification of management zones in precision agriculture. Biosyst. Eng. 181, 86–102 (2019).
Zhang, Q. H. et al. Large time behavior of solution to second-order fractal difference equation with positive fuzzy parameters. J. Intell. Fuzzy Syst. 45, 5709–5721 (2023).
Kocic, V. L. & Ladas, G. Global Behavior of Nonlinear Difference Equations of Higher Order with Applications (Kluwer Academic Publishers, Dordrecht, 1993).
Kulenović, M.R.S., Ladas, G. Dynamics of Second Order Rational Difference Equations with Open Problems and Conjectures. Chapman & Hall/CRC, Florida (2001).
Grove, E.A., Ladas, G. Periodicities in Nonlinear Difference Equations, (Chapman & Hall/CRC, 4, 2005).
Berezansky, L., Braverman, E. & Liz, E. Sufficient conditions for the global stability of nonautonomous higher order difference equations. J. Differ. Equ. Appl. 11(9), 785–798 (2005).
Li, H. & Durbin, R. Inference of human population history from individual whole-genome sequences. Nature 475, 493–496 (2011).
Kaur, R. & Puri, J. A novel dynamic data envelopment analysis approach with parabolic fuzzy data: case study in the Indian banking sector. RAIRO Oper. Res. 56(4), 2853–2880 (2022).
Ruzicka, E., Rollins, D., Doherty, F. et al. Longer holding times decrease dispersal but increase mortality of translocated scaled quail. J. Wildl. Manag. (2023).
Sandercock, B. K., Jensen, W. E. & Williams, C. K. Demographic sensitivity of population change in northern bobwhite. J. Wildl. Manag. 72(4), 970–982 (2008).
Palarski, J., et al. Northern bobwhite subspecies exhibit reduced survival and reproduction when translocated outside their native range. J. Wildl. Manag. 87(3) (2023).
Tomecek, J. M., Pierce, B. L. & Peterson, M. J. Quail abundance, hunter effort, and harvest of two Texas quail species: implications for hunting management. Wildl. Biol. 21(6), 303–311 (2015).
Olsen, A., et al. Helminths and the northern bobwhite population decline: a review. Wildl. Soc. Bull. 40(2), 388-393 (2016).
Acknowledgements
This work was financially supported by Guizhou Scientific and Technological Platform Talents ([2022]020-1), Scientific Research Foundation of Guizhou Provincial Department of Science and Technology( [2022]021, [2022]026), and Scientific Climbing Programme of Xiamen University of Technology (XPDKQ20021)Xiamen Institute of Technology high-level talents research launch project (2023).
Author information
Authors and Affiliations
Contributions
M.O.: Data curation; Formal analysis; Methodology; Resources; Software; Validation; Visualization; Writing - original draft. Q.Z.: Conceptualization; Funding acquisition; Project administration; Supervision; Writing - review editing. M.C.: Beautify legend. Z.Z.: Check the data in tables.
Corresponding author
Ethics declarations
Competing interests
The authors declare no competing interests.
Additional information
Publisher's note
Springer Nature remains neutral with regard to jurisdictional claims in published maps and institutional affiliations.
Supplementary Information
Rights and permissions
Open Access This article is licensed under a Creative Commons Attribution 4.0 International License, which permits use, sharing, adaptation, distribution and reproduction in any medium or format, as long as you give appropriate credit to the original author(s) and the source, provide a link to the Creative Commons licence, and indicate if changes were made. The images or other third party material in this article are included in the article’s Creative Commons licence, unless indicated otherwise in a credit line to the material. If material is not included in the article’s Creative Commons licence and your intended use is not permitted by statutory regulation or exceeds the permitted use, you will need to obtain permission directly from the copyright holder. To view a copy of this licence, visit http://creativecommons.org/licenses/by/4.0/.
About this article
Cite this article
Ouyang, M., Zhang, Q., Cai, M. et al. Dynamic analysis of a fuzzy Bobwhite quail population model under g-division law. Sci Rep 14, 9682 (2024). https://doi.org/10.1038/s41598-024-60178-4
Received:
Accepted:
Published:
Version of record:
DOI: https://doi.org/10.1038/s41598-024-60178-4
This article is cited by
-
Global Stability of a System of Fuzzy Difference Equations of Higher-Order
Journal of Applied Mathematics and Computing (2025)






