Abstract
Topography is a critical factor that determines the characteristics of regional soil formation. Small-scale topographic changes are referred to microtopographies. In hilly mountainous regions, the redistribution of water and soil materials caused by microtopography is the main factor affecting the spatial heterogeneity of soil and the utilization of land resources. In this study, the influence of microtopography on pedogenesis was investigated using soil samples formed from mudstones with lacustrine facies deposition in the middle of the Sichuan Basin. Soil profiles were sampled along the slopes at the summit, shoulder, backslope, footslope, and toeslope positions. The morphological, physicochemical, and geochemical attributes of profiles were analyzed. The results showed that from the summit to the toeslope, soil thickness increased significantly and profile configuration changed from A–C to A–B–C. The total contents of Ca and Na decreased at the summit, backslope, and footslope, while the total contents of Al, Fe and Mg showed an opposite trend. On the summit and shoulder of the hillslope, weathered materials were transported away by gravity and surface erosion, exposing new rocks. As a result, soil development in these areas was relatively weak. In flat areas such as the footslope and toeslope with sufficient water conditions, the addition of weathered components and the prolonged contact between water, soil, and sediment led to further chemical weathering, resulting in highly developed characteristics. Microtopography may influence physicochemical properties, chemical weathering, and redistribution of water and materials, causing variations in pedogenic characteristics at different slope positions.
Similar content being viewed by others
Introduction
Soil, as an independent natural body, sustains the lives and reproduction of various creatures on the land surface, while also developing and changing under the control of the soil-forming environment. Pedogenesis refers to the evolution from the profile scale to the regional scale, encompassing significant changes in the soil under physical, chemical, or biological conditions1. Among the five major soil forming factors, topography does not contribute new substances to the soil formation process. However, it strongly influences the physicochemical properties of soils by affecting the redistribution of water, soil materials, and nutrients2,3,4. The variations in water characteristics, combined with intense erosion, impact the redistribution of soil materials and elements during soil formation. This ultimately results in variations in the level of soil development across different parts of the terrain5,6,7,8,9. Therefore, soils on steep terrain tend to have rather shallow, poorly developed profiles compared to soils on nearby, more level sites10. Furthermore, the large topographic relief also results in orographic rain and temperature variations, which can affect the water and temperature conditions, as well as vegetation distribution, eventually impacting pedogenesis.
Small-scale topographic changes are defined as microtopographies. Microtopography refers to the concept that are relative to macrotopography, with amplitudes markedly smaller than the hillslope or basin scales11. Compared to microtopography, the greater variation of climate conditions and parent material due to large-scale topography often results in spatial heterogeneity of soil types. For instance, in the subtropical mountains of southeast China, the soils exhibit a vertical zonal distribution with yellow soil, yellow–red soil, and red soil from the summit to the footslope of the mountains12. However, in a small-scale toposequence, the differences between soils are primarily a result of topographic effects. This is because the soils in the sequence typically share the same parent material and have similar conditions such as climate, vegetation, and time10,13. A series of toposequences derived from granite, sandstone-gneiss, limestone, and slate have shown that topography plays an essential role in pedogenesis14,15,16,17,18. Therefore, the difference between large- and micro-topography in the impact on soil formation process makes it necessary to explore the pedogenesis under the influence of small-scale terrain, especially in hilly mountainous regions with little relief. Compared to the equivalent background state, the presence of microtopography increases the proportion of rainfall infiltration11. Within the influence of microtopography, the rainfall distribution pattern and surface operation mode are completely different. In addition, microtopography can control a series of geomorphic processes, such as collapse, transportation, and accumulation, to alter the spatial redistribution of light, heat, water, nutrients, and soils in a small area, thus affecting vegetation growth3,4,19. The redistribution of water and soil material caused by microtopography is the main factor in soil spatial variation and an poses an obstacle to the utilisation of soil resources13, especially in hilly mountainous regions. Several studies have demonstrated the close relationship between small-scale landscape topography and soil physicochemical properties such as soil compactness index (bulk density, clay and clay/organic matter ratio)7, pH3, weathering degree20,21,22, clay mineral composition23, and microbial community abundance4,24. These factors should be considered in small-scale environmental analysis13. Specifically, microtopography characteristics are key factors that control soil pH in flysch regions across Switzerland by affecting pedogenesis processes and vegetation3. Pal et al.25 discovered that presence of microtopography led to the formation of non-alkaline and highly alkaline soils on the upper and lower slopes, respectively, of the southwestern Indo-Gangetic Plain. Botschek et al.26 noted that the organic matter content was highest in the mineral topsoil on the uphill slope, gradually decreasing towards the foot of the slope. The current research on the influence of topography on soil formation or soil type primarily focuses on large-scale topography12. The topography of hilly areas (with a relative height of less than 200 or 100 m) does not usually affect the higher classification types of soil. However, the redistribution of water and heat by microtopography can impact the lower classification types of soil, such as soil species. Soil species are directly related to soil fertility and land use. There are large hilly areas in the world, and the redistribution of water and temperature conditions by microtopography will have an important impact on soil formation. However, there are few relevant studies at present, so the study of microtopography on soil formation has broad significance.
The purple mudstone and sandstone in the middle of the Sichuan Basin were eroded by water, leading to the creation of hilly topography. Heat and water are redistributed in different locations of topography, combined with severe soil erosion, resulting in differences in particle size distribution, nutrient content, water holding capacity, drought resistance, and fertiliser retention. Therefore, the degree of soil development varies. Finding an effective solution for soil erosion and its related issues in this region is a significant challenge we are currently facing. Moreover, the mudstone-derived soils that develop from purple mudstone undergo rapid physical weathering but slow chemical weathering, resulting in the formation of soil particles (i.e., formation of a regolith) in approximately five years27. We hypothesize that in mudstone soil-forming regions with similar parent materials, comparable climatic conditions, minimal relief of topography, and rapid physical weathering rates, the impact of microtopography might be dominant. Despite numerous researches on soil water, nutrients, texture and erosion in Sichuan Basin27, there is a lack of research on soil formation characteristics of mudstone under the influence of microtopography. Therefore, we selected five toposequences of soil derived from mudstone in the hilly regions of Sichuan Basin to explore their physicochemical, morphological, and geochemical properties. The aim of the present study was to illuminate the weathering development and pedogenic characteristics of mudstone under the influence of microtopographic conditions, ultimately providing a basis for the management of mudstone soil in mountainous and hilly regions.
Materials and methods
Study area
The study area, Tongnan District and Dazu District, located in the central Sichuan Basin (Fig. 1). The area is characterized by predominantly hilly topography and a subtropical monsoon climate. Vegetation types in the study area are consist primarily of subtropical evergreen broad-leaved forests. The slope of the study area, calculated using a 12.5 m DEM, ranges from 0° to 69°, with a corresponding slope length factor varying from 0 to 55.64. In the period of 2001 to 2020, the multi-year average precipitation and temperature were 1125.4 mm and 18.1 °C, respectively. According to the third national land resource survey, the predominant land use types in the study area were cultivated land and forest land, both of which account for more than 65% of the total land area (http://ghzrzyj.cq.gov.cn, http://www.cqtn.gov.cn). The soils were classified as Cambisols in the WRB classification28.
Study area (a, b), 3D models (c, d, e), and the satellite images and 12.5 m DEM (f, g, h) of sampling points. Take the S2, S4, and S5 as examples. The background DEM dataset was downloaded from Earthdata, NASA (https://search.asf.alaska.edu). The satellite images were obtained from Tianditu (https://map.tianditu.gov.cn).
Soil sampling
Five natural and typical toposequences were identified, and along each toposequence, five profiles were selected for sampling based on the microtopography conditions. The sampling points were detailed in Table 1. According to the 1:200,000 regional geological map of China (https://geocloud.cgs.gov.cn) and the field survey, the parent material of all the sampling points was purple mudstone of the Upper Jurassic Shaximiao Formation in Mesozoic. Additionally, in order to ensure uniformity, other soil-forming factors such as climate (specifically rainfall and temperature) and organisms (mainly grasses and crops as the predominant surface vegetation, with soil animals detailed in Table 2) were also investigated for each sampling point, in addition to the terrain (Table 1). Additionally, according to the formula reported by Caniani et al.29, the topographic index (TPI) of each sampling point was calculated by using a 12.5 m DEM, which reflected the flow accumulation of each sampling point (Table 1). A higher TPI indicates a larger accumulation of discharge, relatively low-lying terrain, and higher soil water content. Five soil samples with five repetitions each were collected at the summit, shoulder, backslope, footslope, and toeslope positions of the hillslope (Fig. 2). Soil samples were collected from the excavated soil profiles, sampling from the toeslope to the summit based on soil genesis characteristics, which were divided into horizons A, B, and C. The GPS locator was used to record the coordinates, altitude, and slope of the sampling points. Additionally, the morphological characteristics of the soil profiles were recorded according to the Field Book for Describing and Sampling Soils (version 3.0)30 (Table 2). Soil samples were taken to the laboratory for chemical, physical and mineralogical analyses, totalling 125 samples (approximately 500 g each). All the samples were air-dried. and then sieved through a 2 mm sieve after the removal of visible plant debris for laboratory analysis.
Experimental method and data analysis
Physical and mineralogical methods
The soil bulk density was determined using the soil core (volume = 100 cm3) method. Prior to conducting the soil particle size analysis (PSA), hydrogen peroxide was used to remove organic matter. The removal of iron oxide was achieved using a sodium bicarbonate-buffered, sodium dithionite-citrate system, while sodium acetate was utilized to remove carbonate. Sodium hexametaphosphate was used to disperse soil particles and PSA was determined by pipette method32.
Soil porosity (φ) can be calculated by the following formula32,
where ρb and ρp represent bulk density (g cm−3) and particle density, respectively. Particle density was determined by pycnometer method.
X-ray diffraction (XRD: D8 Advance X-ray diffractometer, Bruker, Germany) was utilized to analyze the mineral composition of soil samples. The soil samples were crushed to particle size < 1 mm, soaked in distilled water, and dispersed by ultrasonic wave. Carbonate and organic matter were removed from the samples, and the clay particles were absorbed by suspension centrifugation to settle. After centrifugation, the samples were dried at a temperature below 60 °C. The dried samples were ground with an agate mortar until the hands had no granular feeling, and then wrapped in paper for XRD determination. The X-ray diffractometer parameters were set as follows: the radiation source was CuKα, the scanning speed was set to 2° min−1, the sampling step width was 0.02°, and the scanning range was 5°–45°. The diffraction data was interpreted based on the X-ray diffraction pattern of soil samples, and then compared with known standard minerals data to identify the minerals types present in the soil. The percentage of minerals in the soil was calculated by using the integral intensity of diffraction peaks on the diffraction pattern and the reference intensity of common minerals33.
Chemical methods
A glass electrode was used to measure the soil pH in a 1:2.5 soil/water suspension ratio. Soil organic carbon (SOC) content was determined using the dichromate-wet combustion method, and the C/N ratio was calculated as the ratio of SOC to total nitrogen (TN) content (determined by the Kjeldahl method). Cation exchange capacity (CEC) was determined using the Na saturation method. Each sample (0.5 g) was ground to 100 mesh (0.15 mm) in an agate mortar and formed into a tablet to measure the geochemical elements of the test soil using X-ray fluorescence spectrometry32,34. These geochemical elements include macroelements, trace elements, rare-earth elements, and radioactive elements. The content and composition characteristics of macroelements are widely used as indicators. Therefore, the geochemical elements in this study refer to the 10 macroelements35.
The chemical index of alteration (CIA) is the measure of the degree of the feldspar-to-clay conversion, which is proportional to the clay mineral/feldspar ratio. During chemical weathering, alkali metals are leached out from feldspar in the form of ions, leading to the formation of clay minerals and simultaneous fluctuation in the molar content of Al2O3. Thus, CIA is defined as follows36,
where all variables represent the molar faction of macroelement oxides and CaO* is the molar faction of CaO associated with silicate minerals calculated using the McLennan method37. Generally, CIA values are below 50 for unweathering with feldspar, 50–65 for weak weathering with plagioclase, 65–85 for moderate weathering with illite and montmorillonite, and near 100 for strong weathering with kaolinite and chlorite. Additionally, CIA indirectly indicates the change in climate, with higher CIA values reflecting warmer and wetter climates.
The chemical index of weathering (CIW) is conceptually and computationally similar to CIA, except for the lack of K2O. Many scholars have found that the content of K in a sedimentary area is higher than that in provenance rock area, probably due to K metasomatism or the addition of eolian dust undergoing diagenetic processes. To eliminate the interference of diagenetic K, the concept of the CIW was proposed by Holail and Moghazi38,
where the oxides are given in molar faction and CaO* is calculated by the same method of the CIA. Chemical weathering increase is indicated by high CIW values.
The Na/K molar ratio indicates the extent of chemical weathering of plagioclase. Plagioclase is rich in Na, especially compared to potassium feldspar, which is rich in K. Plagioclase undergoes a higher rate weathering compared to potassium feldspar10,35, resulting in an inverse relationship between chemical weathering intensity and the Na/K molar ratio39.
The migration coefficient of element X (MCX) represents the migration and enrichment characteristics of soil profile relative to bedrock during pedogenesis40,41,42. Titanium (Ti) is commonly used as a stationary component to determine the movement of other elements40, enabling for the inference of soil development degree and rate. The MCX can be calculated by the following formula,
where soil and rock subscripts in the formula represent the concentrations of elements X and Ti in soil and bedrock, respectively. A MCX > 0 indicates that element X is enriched in the soil horizon relative to the parent rock and Ti, while a MCX < 0 indicates X is leaching or migration in the soil horizon.
Statistical analysis methods
One-way ANOVA and a mean comparison according to the LSD (p < 0.05) were used to evaluate the differences in physicochemical properties among landscape slope positions and soil profile horizons. Statistical analyses were conducted using SPSS 19.0. The distribution map of the sampling sites was drafted using ArcGIS 10.8, and the other diagrams were created using Excel 2016 and Origin 9.3.
Results
Soil morphology
As shown in Table 2, the profiles with the pattern of A–C horizons were mainly concentrated at the summit and shoulder of the hillslope, the profile at the backslope and footslope was the A–B–C horizon, and the toeslope was the A–B horizon within the excavation depth. From the summit to the toeslope, the soil thickness increased significantly with the change in the soil profile configuration from 16.50 to 93.60 cm (p = 0.000). In the study area, there were three types of soil colour hues, including 10R, 2.5YR, and 5YR. The soil texture of horizon C was loam, whereas that of horizon B was mostly loam and clay loam. The soil texture of horizon A was loam to clay loam, from the summit to the toeslope (Table 3). The main soil structure of each horizon was blocky or/and granular, and the organic matter accumulation in the surface horizon, combined with mechanical ploughing, loosened the soil. The presence of a granular structure in the soil, typically characterized by loose porosity and good permeability, was generally beneficial for improving soil structure. The cohesiveness of the soil in horizon A was non-sticky, slightly sticky, and sticky from the summit to the toeslope. The cohesiveness of horizon B was mostly sticky, while that of horizon C was mostly non-sticky. Due to human cultivation or mechanical tillage, there was a small amount of intrusive material in the soil, mainly consisting of brick, tile debris, and a small amount of coal cinder. The parent rock of mudstone soil was sedimentary rock, most lacustrine facies sedimentary rock deposited during the Jurassic and Cretaceous periods, resulting in the presence of a small number of shells in the soil.
Soil physical and chemical properties
The bulk density and porosity of the soil profiles at different slope positions were showed in Table 3. The bulk density of horizons A and B of the soil profiles gradually increased from the summit to the toeslope. Additionally, the bulk density of horizon A was found to be lower than that of horizon B at all slope positions. The porosity in horizons A and B of the soil profiles also decreased gradually from the summit to the toeslope. The porosity of horizon A was higher than that of horizon B. This was primarily due to clays and oxides (such as iron and aluminum oxides) were leached downward and accumulated in the horizon B under the action of percolating water, leading to a decrease in porosity. Additionally, the topsoil was typically rich in organic matter and had higher porosity compared to the subsoil. As indicated in Table 3, the content of sand and silt fractions in horizons A and B decreased gradually from the summit to the toeslope. Conversely, the clays fraction content in horizons A and B increased gradually from the summit to the toeslope.
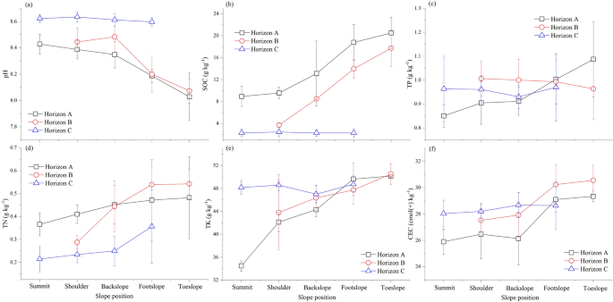
As shown in Fig. 3, the pH of the different horizons showed an order of C > B > A, and with a decreasing trend from the summit to the toeslope. The SOC content in horizon C was low, with no significant difference among the different slope positions (p = 0.978). The SOC content in horizons A and B gradually increased with decreasing slope elevation, and the difference in SOC above and below the backslope was significant (p = 0.000). The accumulation of SOC in horizon A at the footslope and toeslope was mainly due to soil erosion, cultivation and fertilisation, while the accumulation of SOC in horizon B was mainly caused by detachment, transportation, accumulation, and burial of deep soil in the higher topography. The hilly terrain was conducive to the accumulation of SOC content at the footslope and toeslope. Part of the P in the soil came from the parent rock, whereas the other part came from the application of chemical fertilisers and plant decomposition. Although phosphorus was generally considered to be relatively immobile in the soil, it could also be redistributed through the erosion of phosphorus-containing soil particles, dissolution into runoff and migration along the slope, and leaching into the ground. Therefore, the variation in phosphorus content was observed across different slope positions and profile levels during the soil formation process (Fig. 3). Total phosphorus (TP) in the soil at the summit of the slope was significantly lower than that in the toeslope (p = 0.043). The TP in the soil above the backslope was in the order of horizon B > C > A, whereas that in the footslope and toeslope was A > B > C. The TN content from the summit to the toeslope increased with decreasing slope elevation, and there was a significant difference above and below the backslope (p = 0.000), indicating that there was TN accumulation at the foot and toeslope. In general, the TN above the backslope was in the order of horizon A > B > C of the soil profile, whereas that of the footslope and toeslope was horizon B > A > C (Fig. 4). The total potassium (TK) content from the summit to the toeslope gradually increased with decreasing slope elevation. There was a significant difference between the summit, shoulder of the slope and footslope, and toeslope, indicating that K in the soil accumulated at a lower topographic position (p = 0.000). According to the different horizons, the TK in the soil above the backslope was in the order of horizon C > B > A, whereas that at the footslope was horizon A > C > B (Fig. 3). There were differences in the CEC content among the different soil horizons. The average CEC contents in horizons A, B, and C were 27.37, 29.67, and 28.36 cmol(+) kg−1, respectively. These results indicated that cations migrated and leached in horizon A, accumulating and becoming enriched in horizon B. The CEC above the backslope followed the order of horizon C > B > A, while below the backslope it was B > A > C.
As shown in Table 4, a noticeable negative correlation was found between sand content and SOC, TN, TK, CEC, and bulk density, and a significant positive correlation was observed between sand content and pH and porosity (p < 0.05). There was a significant negative correlation between silt content and the levels of SOC, TN, TP, TK, and CEC, as well as a significant positive correlation between silt content and pH (p < 0.05). Additionally, there was a negative correlation between clay content and pH and porosity, but a significant positive correlation between clay content and SOC, TN, TK, CEC, and bulk density (p < 0.05).
Geochemical composition and chemical weathering indices
In general, the footslope and toeslope of the hillslope showed accumulation of Al, Fe, Mg, and K, and leaching loss of Ca and Na compared with the summit and shoulder of the hillslope. There was a leaching loss of K in horizon A at the summit of the hillslope, while the variation in elements in each horizon at the shoulder of the hillslope was not obvious (Table 5).
As demonstrated in Table 5, Al, Fe, and Mg accumulated in horizon B, whereas the percentages of Ca and Na in horizon B were lower compared to horizons A and C. Additionally, Si exhibited a trend of A > B > C across various soil profile horizons. Generally, weathering tended to be most intense nearest the soil surface. Part of the weathering products formed in horizon A were leached downward under the action of percolating water, coupled with the weathering materials of horizon B itself, which led to the accumulation of Al, Fe and Mg in horizon B. Simultaneously, minerals with low weathering stability were gradually destroyed and reduced, while quartz with high weathering stability was enriched. This resulted in a sequential decrease in the percentage of Si from topsoil to subsoil. The leaching of Na and Ca was significant in horizons A and B (p < 0.05), whereas the leaching of Ca and Na was obvious in horizon B relative to horizon A in the hillslope. During the development of silicate soils, Na and Ca were leached first, followed by K, and Al and Fe were relatively enriched. The soil in this study was in the stage of leaching of Ca and Na, the leaching of soil geochemical elements was not strong, and the degree of soil development was weak. The effect of microtopography on soil chemical weathering was greater than that on the profile.
The chemical index of alteration (CIA) exhibited an increasing trend, whereas Na/K demonstrated a converse trend from summit to toeslope (Fig. 4a). The CIA values of summit, shoulder, backslope, footslope, and toeslope were 71.78, 73.17, 72.51, 74.55, and 74.55, respectively (Fig. 4b). The CIA values of horizons A, B, and C were 72.92, 74.37, and 72.61, respectively (Fig. 4c). There were significant differences in CIA values between horizons A and B, B and C (p = 0.000). The variation trend of chemical index of weathering (CIW) was basically the same as that of CIA. Furthermore, both CIA and CIW have similar indicators for reflecting the degree of soil weathering. The variance F value of the soil chemical weathering index under different factors demonstrated that the CIA, CIW, and Na/K of soil varied significantly between different horizons at various slope positions. Additionally, there was a significant interaction between slope position and horizon (Table 6). Simultaneously, the CIA, CIW, and Na/K values indicated that the soil in the study area had moderate chemical weathering, and the chemical weathering of the soil parent horizon remained at the same level from the summit to the toeslope of the hillslope. The CIA, CIW, and Na/K values of horizons A and B showed a trend of initially increasing and then decreasing with decreasing slope elevation. Horizon B at the footslope exhibited the highest degree of development, which indicated that the eroded and weathered material stripped and transported from higher landscape positions was deposited into horizon B at the footslope duo to topographical influences.
As shown in Fig. 5, the mobility of the elements varied at different landscape positions. The migration directions of Ca and Na at the summit and backslope were completely opposite to that at the footslope. The average migration coefficients of Ca at the summit, backslope, and footslope were 1.43%, − 4.93%, and − 33.43%, respectively. The average migration coefficients of Na were 16.15%, 1.73%, and − 18.43%, respectively, and the migration direction changed from enrichment to leaching. Al, Fe, and Mg were first leached and then enriched from the summit to the footslope, which may be due to the higher sand content in the soil and relatively large intergranular pores, resulting in the loss of elements under the action of rainfall and underground runoff. However, in areas with relatively low terrain, like the footslope, the abundant water conditions provided the ideal environment for soil chemical weathering. This led to the leaching of Ca and Na, while Al and Fe became enriched.
Mineralogy characteristics
The mineral composition of the soils was analysed using X-ray diffraction (Fig. 6). There was an evident mineralogical similarity between the soils at different slope positions and horizons. The mudstone soils in this study were primarily composed of illite, kaolinite, and an illite/smectite mixed horizon. The mineral composition of the soils closely resembled that of their parent rock. These results indicated that the clay minerals in the soils originated mostly from the parent material and that they were only slightly influenced by soil-forming processes.
X-ray diffraction data for soils at different slope positions (A–horizon A, B–horizon B, and C–horizon C). The sequence of treatments is represented by three different colours: the black (top), red (middle position), and blue (bottom) curves represent the air-dried mount (AD) samples, samples heated at 550 °C (K550), and glycol solvated (EG) samples, respectively. I: illite; K: kaolinite; I/S: illite/smectite mixed-horizon.
Discussion
Effect of microtopography on the physical and chemical weathering of the soil at different slope positions
The spatial heterogeneity in particle size distribution, pH, SOC, elements, and CEC across landscape positions were influenced by microtopography43,44. A study conducted on the Moody and Nora soil system toposequences formed in calcareous loess in eastern Nebraske showed that sand, silt, and pH exhibited an overall increasing trend from the top to the bottom of the slope. Inversely, clay particles, organic matter (excluding toeslope), and CEC showed a decreasing trend43. This is contrary to our findings. The differences in particle size distribution among landscape positions may be attributed to soil erosion and the downward migration of clay particles under the action of percolating water10. In the present study, the texture of horizon A primarily ranged from loam to clay loam. On one hand, due to the influence of surface runoff, partial clay particles migrated along the slope and accumulate at the bottom45,46,47. On the other hand, under the action of percolating water, the smallest clay particles were leaching downward into the underlying horizons, resulting in an increase in the percentage of clay in horizon B (Table 3). Zhong et al.48 also showed that the sand content and mineral sand of 0.25–2 mm in the soil, developed by shale and mudstone, decreased from the top to the foot of the slope. In contrast, the clay content and aggregate content of 0.25–2 mm increased. The opposite trend in pH observed may be attributed to the topsoil analyzed by Brubaker et al.43 being rich in Ca, and the Mg content increased continuously from the summit to toeslope. Although some leaching occurs during the downslope migration, a considerable portion still migrates to the bottom of the slope, resulting in enrichment. The decrease in organic matter from summit to footslope may also contribute to the increase in pH. In this study, the continuous enrichment of Al, leaching of Ca and accumulation of organic matter from the summit to toeslope resulted in the decrease of soil pH. This was further illustrated by the significant negative correlation between pH and aluminum oxide and SOC in Table 4. The increase in SOC from the summit to the toeslope may be related to soil erosion. A study of toposequences in olive grove in the Mediterranean also indicated that erosion caused the transfer of organic matter from the summit to the toeslope44. Ouyang et al.17 conducted a study on the CEC value of soils developed in granite, slate, limestone, sandstone and quaternary red clay in mid-subtropical Hunan Province, China. This study demonstrated that the CEC value was higher on the footslope compared to the backslope. The findings of the present study corroborate these results, showing that the CEC values on the footslope and toeslope were higher compared to other landscape positions. This higher CEC value was attributed to the accumulation of SOC and clay particles, as indicated by a significant positive correlation in Table 4.
The degree of soil chemical weathering varied with changes in the slope position and soil depth. Topographic changes caused differences in chemical weathering of the soil profile, mainly because the soil at the top and shoulder of the slope was mostly developed under natural conditions and rarely affected by human beings. In these areas, soil weathering mainly depended on the changes in natural climate conditions and the effect of soil organisms. Conversely, at the footslope and other relatively low topographic locations, soil moisture is retained, providing ideal moisture conditions for chemical weathering to occur. Meanwhile, the soil on the footslope and toeslope was affected by cultivation practices. Irrigation alters the soil moisture status, tillage changes soil aeration conditions49, and fertilisation increases soil nutrient elements. These factors contribute to soil mineral weathering and nutrient leaching, while also intensifying soil erosion50,51,52. Therefore, soil erosion caused by tillage promotes chemical weathering in the soil.
The redistribution of flow and materials by microtopography resulted in the difference of pedogenic characteristics at different slope positions
Water runs through the entire process of soil occurrence and development. It plays a crucial role in soil formation by serving as the primary medium for transporting solids and ions within the soil53. Microtopography dominates surface hydrological processes and affects water redistribution54,55, leading to variations in the physicochemical properties of soil at different slope positions15. In low-lying areas, the regolith is typically more extensively weathered, and the soil profile is developed with greater intensity due to the accumulation of flowing water. This water saturation also restricts drainage and ventilation, limiting the weathering of certain minerals and the decomposition of organic matter10. Therefore, even within a microdomain of tens of meters, the soil of the same genus also forms different textures owing to the various properties. In this study, the physicochemical properties of the soil varied with the change in the slope position, particularly between the soil above and below the backslope, with differences also seen among different horizons. The mudstone parent rock, exposed at the summit of the hilly mountainous region caused by erosion, is rich in clay minerals and has a strong water absorption capacity. Therefore, it is easily weathered physically under the influence of moist heat expansion. Consequently, stony subsoil is frequently formed at or near the summit of the slope48. Obi et al.46 showed that sand content is affected by rainfall and infiltration. Excessive rainfall, when surpassing infiltration, leads to the redistribution of sand within the slope and soil horizon. This particular occurrence is commonly witnessed during thunderstorm weather conditions, subsequently compromising the stability of the soil surface on the slope56,57. Additionally, the study findings indicate that the level of chemical weathering in horizon A at the footslope and toeslope was comparatively lower than that of horizon B. This disparity can be attributed to the redistribution of soil materials brought about by microtopography3. This finding contradicts the results of other toposequences, which indicated that horizon A (or topsoil) undergoes greater chemical weathering than horizon B (or subsoil)21,58. This could be due to severe soil and water loss in hilly mountainous regions, where materials transported by upper erosion are deposited at the footslope and toeslope. Long-term contact between water and sediment leads to further chemical action, resulting in soil with a high organic matter content and fine texture. This soil is then buried by a new round of denudation accumulation and self-weathered soil, eventually becoming a B-horizon with a higher degree of development than the topsoil.
Conclusion
In this study, we investigated the influence of microtopography on the morphological characteristics, physiochemistry, and geochemical attributes of the profiles. The results indicated that the morphological characteristics of the mudstone soil profile were mainly inherited and affected by the parent material. From the summit to the toeslope, the profile configuration of the mudstone soil changed from A–C to A–B–C, and the thickness of the soil increased significantly. The bulk density, clay fraction, soil organic matter, TN, TP, TK, and CEC increased from the summit to the toeslope of the hillslope, whereas the pH, porosity, sand, and silt fraction decreased. The total contents of Ca and Na at the summit, backslope, and footslope decreased due to the continuous leaching along the downslope direction, while the total contents of Al, Fe and Mg showed an opposite trend. The degree of soil development was relatively weak at the summit and shoulder of the hillslope, but higher at the footslope and toeslope. Microtopography may influence physicochemical properties, chemical weathering, and redistribution of water and materials, leading to variations in pedogenic characteristics at different slope positions.
Data availability
All raw data can be obtained from the corresponding authors on request.
References
Leguédois, S. et al. Modelling pedogenesis of Technosols. Geoderma 262, 199–212. https://doi.org/10.1016/j.geoderma.2015.08.008 (2016).
Deressa, A., Yli-Halla, M., Mohamed, M. & Wogi, L. Soil classification of humid Western Ethiopia: A transect study along a toposequence in Didessa watershed. CATENA 163, 184–195. https://doi.org/10.1016/j.catena.2017.12.020 (2018).
Baltensweiler, A., Heuvelink, G. B. M., Hanewinkel, M. & Walthert, L. Microtopography shapes soil pH in flysch regions across Switzerland. Geoderma 380, 114663. https://doi.org/10.1016/j.geoderma.2020.114663 (2020).
Lv, W. et al. Microtopography mediates the community assembly of soil prokaryotes on the local-site scale. CATENA 222, 106815. https://doi.org/10.1016/j.catena.2022.106815 (2023).
Darmody, R. G., Thorn, C. E. & Allen, C. E. Chemical weathering and boulder mantles, Kärkevagge, Swedish Lapland. Geomorphology 67, 159–170. https://doi.org/10.1016/j.geomorph.2004.07.011 (2005).
Luo, J., Zheng, Z., Li, T. & He, S. Spatial variation of microtopography and its effect on temporal evolution of soil erosion during different erosive stages. CATENA 190, 104515. https://doi.org/10.1016/j.catena.2020.104515 (2020).
Parent, A. C. et al. Soil properties and landscape factors affecting maize yield under wet spring conditions in eastern Canada. Biosyst. Eng. 99, 134–144. https://doi.org/10.1016/j.biosystemseng.2007.10.006 (2008).
Salako, F. K. et al. Soil strength and maize yield after topsoil removal and application of nutrient amendments on a gravelly Alfisol toposequence. Soil Tillage Res. 94, 21–35. https://doi.org/10.1016/j.still.2006.06.005 (2007).
Veneman, P. L. M., Jacke, P. V. & Bodine, S. M. Soil formation as affected by pit and mound microrelief in Massachusetts, USA. Geoderma 33, 89–99. https://doi.org/10.1016/0016-7061(84)90022-3 (1984).
Weil, R. & Brady, N. The nature and properties of soils (Pearson Press, 2017).
Thompson, S. E., Katul, G. G. & Porporato, A. Role of microtopography in rainfall-runoff partitioning: An analysis using idealized geometry. Water Resour. Res. https://doi.org/10.1029/2009WR008835 (2010).
Felix-Henningsen, P., Liang-wu, L. & Zakosek, H. Distribution and genesis of red and yellow soils in the central subtropics of southeast China. CATENA 16, 73–89. https://doi.org/10.1016/0341-8162(89)90005-2 (1989).
Kokulan, V., Akinremi, O., Moulin, A. P. & Kumaragamage, D. Importance of terrain attributes in relation to the spatial distribution of soil properties at the micro scale: A case study. Can. J. Soil. Sci. 98, 292–305. https://doi.org/10.1139/cjss-2017-0128 (2018).
Silva, M. B. et al. Soils in the karst landscape of Bodoquena plateau in cerrado region of Brazil. CATENA 154, 107–117. https://doi.org/10.1016/j.catena.2017.02.022 (2017).
Maranhão, D. D. C. et al. Pedogenesis in a karst environment in the Cerrado biome, northern Brazil. Geoderma 365, 114169. https://doi.org/10.1016/j.geoderma.2019.114169 (2020).
Fonseca, J. D. S. et al. Soil–landscape relationship in a sandstone-gneiss topolithosequence in the State of Amazonas. Braz. Environ. Earth Sci. 80, 714. https://doi.org/10.1007/s12665-021-10026-9 (2021).
Ouyang, N. et al. Cation exchange properties of subsurface soil in mid-subtropical China: Variations, correlation with soil-forming factors, and prediction. Agronomy 13, 741. https://doi.org/10.3390/agronomy13030741 (2023).
McGraw, A., Ramsey, R. C., Obura, P., Matocha, C. & Shepard, C. Topographic gradients of soil physical, chemical, and mineralogical properties in central Kentucky sinkholes. Soil Sci. Soc. Am. J. 87, 82–103. https://doi.org/10.1002/saj2.20478 (2023).
Nagamatsu, D., Hirabuki, Y. & Mochida, Y. Influence of micro-landforms on forest structure, tree death and recruitment in a Japanese temperate mixed forest: Influence of landforms on a Japanese forest. Ecol. Res. 18, 533–547. https://doi.org/10.1046/j.1440-1703.2003.00576.x (2003).
Phillips, J. D., Turkington, A. V. & Marion, D. A. Weathering and vegetation effects in early stages of soil formation. CATENA 72, 21–28. https://doi.org/10.1016/j.catena.2007.03.020 (2008).
Oliveira, D. P. et al. Weathering and clay formation in semi-arid calcareous soils from Northeastern Brazil. CATENA 162, 325–332. https://doi.org/10.1016/j.catena.2017.10.030 (2018).
Pinheiro Junior, C. R. et al. Pedogenesis on Jurassic formations in the Araripe Basin, northeastern Brazil: Weathering and parent material. CATENA 223, 106952. https://doi.org/10.1016/j.catena.2023.106952 (2023).
Ouyang, N. et al. Clay mineral composition of upland soils and its implication for pedogenesis and soil taxonomy in subtropical China. Sci. Rep. 11, 9707. https://doi.org/10.1038/s41598-021-89049-y (2021).
Wang, Y., Li, S., Lang, X., Huang, X. & Su, J. Effects of microtopography on soil fungal community diversity, composition, and assembly in a subtropical monsoon evergreen broadleaf forest of Southwest China. CATENA 211, 106025. https://doi.org/10.1016/j.catena.2022.106025 (2022).
Pal, D. K., Srivastava, P., Durge, S. L. & Bhattacharyya, T. Role of microtopography in the formation of sodic soils in the semi-arid part of the Indo-Gangetic Plains, India. CATENA 51, 3–31. https://doi.org/10.1016/S0341-8162(02)00092-9 (2003).
Botschek, J., Ferraz, J., Jahnel, M. & Skowronek, A. Soil chemical properties of a toposequence under primary rain forest in the Itacoatiara vicinity (Amazonas, Brazil). Geoderma 72, 119–132. https://doi.org/10.1016/0016-7061(96)00026-2 (1996).
Zhong, S. et al. Relationships between the lithology of purple rocks and the pedogenesis of purple soils in the Sichuan Basin, China. Sci. Rep. 9, 13272. https://doi.org/10.1038/s41598-019-49687-9 (2019).
IUSS Working Group WRB. World Reference Base for Soil Resources, International soil classification system for naming soils and creating legends for soil maps. (2022).
Caniani, D., Pascale, S., Sdao, F. & Sole, A. Neural networks and landslide susceptibility: A case study of the urban area of Potenza. Nat. Hazards 45, 55–72. https://doi.org/10.1007/s11069-007-9169-3 (2008).
Schoeneberger, P. J., Wysocki, D. A., Benham, E. C., & Soil Survey Staff. Field Book for Describing and Sampling Soils. (Natural Resources Conservation Service, National Soil Survey Center, 2012).
He, C., Wang, M., Liu, K. & Jiang, Z. GPRChinaTemp1km: 1 km monthly mean air temperature for China from January 1951 to December 2020. https://doi.org/10.5281/zenodo.5111989 (2021).
Camobell, G. S. et al. Methods of soil analysis, Part 4: Physical methods, number 5 in the soil science society of America book series. (Soil Science Society of America, 2002).
National Energy Administration. Analysis method for clay minerals and ordinary non-clay minerals in sedimentary rocks by the X-ray diffraction. (2018).
Sparks, D. L. et al. Methods of soil analysis, part 3: Chemical methods, number 5 in the soil science society of America book series. (Soil Science Society of America and American Society of Agronomy, 1996).
Tang, J., Han, Z., Zhong, S., Ci, E. & Wei, C. Changes in the profile characteristics of cultivated soils obtained from reconstructed farming plots undergoing agricultural intensification in a hilly mountainous region in southwest China with regard to anthropogenic pedogenesis. CATENA 180, 132–145. https://doi.org/10.1016/j.catena.2019.04.020 (2019).
Nesbitt, H. W. & Young, G. M. Early Proterozoic climates and plate motions inferred from major element chemistry of lutites. Nature 299, 715–717. https://doi.org/10.1038/299715a0 (1982).
McLennan, S. M. Weathering and global denudation. J. Geol. 101, 295–303. https://doi.org/10.1086/648222 (1993).
Holail, H. M. & Moghazi, A.-K.M. Provenance, tectonic setting and geochemistry of greywackes and siltstones of the Late Precambrian Hammamat Group, Egypt. Sediment. Geol. 116, 227–250. https://doi.org/10.1016/S0037-0738(97)00104-8 (1998).
Pettijohn, F. J., Potter, P. E. & Siever, R. Sand and Sandstone (Springer, 1987).
Nesbitt, H. W. Mobility and fractionation of rare earth elements during weathering of a granodiorite. Nature 279, 206–210. https://doi.org/10.1038/279206a0 (1979).
Kurtz, A. C., Derry, L. A., Chadwick, O. A. & Alfano, M. J. Refractory element mobility in volcanic soils. Geology 28, 683. https://doi.org/10.1130/0091-7613(2000)28%3c683:REMIVS%3e2.0.CO;2 (2000).
Xia, J. et al. Migration and transformation of soil mercury in a karst region of southwest China: Implications for groundwater contamination. Water Res. 226, 119271. https://doi.org/10.1016/j.watres.2022.119271 (2022).
Brubaker, S. C., Jones, A. J., Lewis, D. T. & Frank, K. Soil properties associated with landscape position. Soil Sci. Soc. Am. J. 57, 235–239. https://doi.org/10.2136/sssaj1993.03615995005700010041x (1993).
Lozano-García, B. & Parras-Alcántara, L. Variation in soil organic carbon and nitrogen stocks along a toposequence in a traditional Mediterranean olive grove. Land Degrad. Dev. 25, 297–304. https://doi.org/10.1002/ldr.2284 (2014).
Tsatskin, A., Sandler, A. & Porat, N. Toposequence of sandy soils in the northern coastal plain of Israel: Polygenesis and complexity of pedogeomorphic development. Geoderma 197–198, 87–97. https://doi.org/10.1016/j.geoderma.2013.01.001 (2013).
Obi, J. C., Ogban, P. I., Ituen, U. J. & Udoh, B. T. Development of pedotransfer functions for coastal plain soils using terrain attributes. CATENA 123, 252–262. https://doi.org/10.1016/j.catena.2014.08.015 (2014).
Corrêa De Medeiros, P. S., Do Nascimento, P. C., Inda, A. V. & Da Silva, L. F. Genesis and classification of soils from granitic hills in southern Brazil. J. South Am. Earth Sci. 98, 102494. https://doi.org/10.1016/j.jsames.2019.102494 (2020).
Zhong, S., Wei, C., Ni, J., Xie, D. & Ni, C. Characterization of clay rock-derived soils containing multi-mineral sand particles in upland areas of Sichuan Basin, China. CATENA 194, 104737. https://doi.org/10.1016/j.catena.2020.104737 (2020).
Wei, C., Ni, J., Gao, M., Xie, D. & Hasegawa, S. Anthropic pedogenesis of purple rock fragments in Sichuan Basin, China. CATENA 68, 51–58. https://doi.org/10.1016/j.catena.2006.04.022 (2006).
He, X., Xu, Y. & Zhang, X. Traditional farming system for soil conservation on slope farmland in southwestern China. Soil Tillage Res. 94, 193–200. https://doi.org/10.1016/j.still.2006.07.017 (2007).
Ni, S. J. & Zhang, J. H. Variation of chemical properties as affected by soil erosion on hillslopes and terraces. Eur. J. Soil Sci. 58, 1285–1292. https://doi.org/10.1111/j.1365-2389.2007.00921.x (2007).
Zheng, J.-J. et al. Assessing soil erosion rates on manually-tilled hillslopes in the Sichuan hilly basin using 137Cs and 210Pbex measurements. Pedosphere 17, 273–283. https://doi.org/10.1016/S1002-0160(07)60034-4 (2007).
Schaetzl, R. & Anderson, S. Soils: Genesis and Geomorphology (Cambridge University Press, 2005).
Peñuela, A., Javaux, M. & Bielders, C. L. How do slope and surface roughness affect plot-scale overland flow connectivity?. J. Hydrol. 528, 192–205. https://doi.org/10.1016/j.jhydrol.2015.06.031 (2015).
Muscarella, R., Kolyaie, S., Morton, D. C., Zimmerman, J. K. & Uriarte, M. Effects of topography on tropical forest structure depend on climate context. J. Ecol. 108, 145–159. https://doi.org/10.1111/1365-2745.13261 (2020).
Oguike, P. C. & Mbagwu, J. S. C. Variations in some physical properties and organic matter content of soils of coastal plain sand under different land use types. 7 (2009).
Eneje, R. C. & Adanma, N. Percent clay, aggregate size distribution and stability with depth along a toposequence formed on coastal plain sands. Online J. Earth Sci. 108–112 (2012).
Vanacker, V. et al. Land use impacts on soil erosion and rejuvenation in Southern Brazil. CATENA 178, 256–266. https://doi.org/10.1016/j.catena.2019.03.024 (2019).
Acknowledgements
Acknowledgement for the data support from “National Earth System Science Data Center, National Science & Technology Infrastructure of China. (http://www.geodata.cn)”.
Funding
This study was supported by the Fundamental Research Funds for the National Natural Science Foundation of China (42077007), and the Startup Project of Doctor Scientific Research at Southwest University (No. SWU120065).
Author information
Authors and Affiliations
Contributions
Conceptualization, B.L. and J.L.; investigation and data curation, B.L., J.L. and J.T.; methodology and formal analysis, B.L., J.L. and J. T.; writing-original draft preparation, B.L.; writing-review and editing, J.L., C.W. and S.Z.; project administration and supervision, C.W. and S. Z.; funding acquisition, C.W. and S.Z.
Corresponding authors
Ethics declarations
Competing interests
The authors declare no competing interests.
Additional information
Publisher's note
Springer Nature remains neutral with regard to jurisdictional claims in published maps and institutional affiliations.
Rights and permissions
Open Access This article is licensed under a Creative Commons Attribution 4.0 International License, which permits use, sharing, adaptation, distribution and reproduction in any medium or format, as long as you give appropriate credit to the original author(s) and the source, provide a link to the Creative Commons licence, and indicate if changes were made. The images or other third party material in this article are included in the article's Creative Commons licence, unless indicated otherwise in a credit line to the material. If material is not included in the article's Creative Commons licence and your intended use is not permitted by statutory regulation or exceeds the permitted use, you will need to obtain permission directly from the copyright holder. To view a copy of this licence, visit http://creativecommons.org/licenses/by/4.0/.
About this article
Cite this article
Luo, B., Li, J., Tang, J. et al. Microtopography effects on pedogenesis in the mudstone-derived soils of the hilly mountainous regions. Sci Rep 14, 11998 (2024). https://doi.org/10.1038/s41598-024-62540-y
Received:
Accepted:
Published:
Version of record:
DOI: https://doi.org/10.1038/s41598-024-62540-y








