Abstract
This study conducts a comprehensive analysis and comparison of Bombyx mori cuticles across different developmental stages, ranging from larval to adult, utilizing advanced solid-state NMR techniques. The primary objective is to elucidate the underlying reasons for the contrasting hardness of adult cuticles and softness of larval cuticles. Notably, PXRD analysis reveals a prominent broad peak at 19.34°, indicating the predominantly amorphous nature of both larval and adult cuticles. Analysis of 13C CP-MAS SSNMR spectra highlights an elevated proportion of phenoxy carbon in adult cuticles (6.77%) compared to larval cuticles (1.24%). Furthermore, a distinctive resonance line at 144 ppm is exclusively observed in adult cuticles, due to catechols, suggesting potential biochemical pathway variations during development. Significant variations in the primary components of 13C chemical shift anisotropy (CSA) tensors for aliphatic carbons of amino acids, catechols, and lipids between adult and larval cuticles indicate alterations in electronic environments. Additionally, the shorter spin–lattice relaxation time of carbon nuclei in larval cuticles compared to adult cuticles implies slower motional dynamics with enhanced degree of sclerotization in adults. By investigating the internal structure and dynamics of cuticles, this research not only contributes to biomimetic material development but also enhances our understanding of structural changes across different developmental stages of B. mori.
Similar content being viewed by others
Introduction
The insect cuticle serves the dual purpose of minimizing water loss and affording protection against the parasites, elements, and predators1,2. The exoskeleton not only determines the shape of the insect but also aids in its mobility3. The main chemical components of the insect cuticle are lipids, chitin, cuticular proteins and catecholamine (cross linking precursors)4. The structure of the cuticle is changing during the various stage of its development from larva to adult5. The cuticle of insects can be broadly categorized into two types based on its physical properties: soft cuticle and hard cuticle6. Soft cuticle is typically found in larval silkworms or in regions of the body that require flexibility, such as the joints or the wings. In contrast, hard cuticle is found in adult insects. Soft cuticle has a lower degree of sclerotization and is therefore more flexible and pliable, while hard cuticle has a higher degree of sclerotization and is therefore more rigid and durable7. The cross-linking of the cuticle proteins and chitin fibers leads to the hardening of the cuticle8. It is essential for providing the mechanical strength and resistance to physical damage required for the insect to survive and thrive in its environment1,9. According to a study by Arakane et al.10, the insect cuticle is made up of a variety of proteins that have been classified into several distinct families, including cuticular proteins, CPR, Tweedle, and resilin. These proteins play a crucial role in cuticle formation, maintenance, and mechanical properties. Another study by Moussian1 found that the synthesis and secretion of cuticle components are regulated by a complex network of genes, hormones, and signalling pathways. It was challenging to determine the structure and dynamics of insect cuticle by conventional solution-state NMR because it is highly insoluble. Due to the development of various sophisticated solid-state NMR methodologies, it is possible to probe the structure of insect exoskeletons7. Solid-state NMR provided valuable insights into the arrangement of chitin11, lipid, proteins and catecholamine within the cuticle12. Kramer et al.13 used solid-state NMR to investigate the structure of the cuticle of the beetle Triboliumcastaneum and suggested that the structural arrangement of the chitin fibers may contribute to the strength and mechanical properties of the cuticle. Eddy and Gullion14 had employed 13C CP-MAS SSNMR experiment to investigate the chemical components of wing membranes of honeybee (Apis mellifera ligustica), cicada (Magicicadacassini), butterfly (Haeterapiera), and ladybug (Hippodamia convergens). Results showed that presence of chitin, protein, and lipid in different relative proportion within the membranes of the insect wings. But, the presence of catechols is observed only in the wings of the butterfly and the honeybee.
In the present work, the structure, composition, and dynamics of silkworm cuticle, with a specific focus on understanding the differences between soft cuticle (larval insects) and hard cuticle (adult insects) was investigated by analytic methods like XRD, and solid-state NMR measurements. The measurement of the chemical shift anisotropy (CSA) parameters by 13C two-dimensional phase adjusted spinning sideband (2DPASS) cross-polarization magic angle spinning (CP-MAS) SSNMR experiments allows for the determination of the local chemical environments within the cuticle, providing information about the electronic distribution surrounding various nuclei. Spin–lattice relaxation time measurements monitor the mobility and dynamics of larva and adult cuticles. These studies will contribute to understand the structure and dynamics of insect cuticle during its various developmental stages, which has potential applications in various fields, including biomaterials and bio-inspired engineering.
Experiments
Collection and sample preparation of silkworm cuticle
Bombyx mori PM X CSR2 hybrid strain was collected from the Government Silk Farm Narsinghpur, Madhya Pradesh, India, and subsequently, raised in the laboratory. The exoskeletons of 100 silkworms (50 larvae and 50 adult individuals) were meticulously collected through dissection. Subsequently, the alimentary canal and other non-cuticular materials were carefully removed, while the muscles were delicately removed using a brush and thoroughly rinsed with distilled water multiple times. Subsequently, these samples underwent freeze-drying utilizing a lyophilizer, followed by pulverization using a mortar and pestle. The resulting powdered cuticle was then stored at a temperature of – 20 °C until further investigation.
XRD analysis of silkworm cuticle
XRD analysis was conducted to comprehend the structure of the larval and adult cuticle. XRD patterns were measured using a Bruker X-ray diffractometer (XRD-6000), operating at 40 kV, and 30 mA. The angle of scan varies from 5° and 45\(^\circ\)
Solid state NMR analysis of silkworm cuticle
13C CP-MAS NMR spectra were acquired by using a JEOL ECX 500 MHz NMR spectrometer equipped with a 3.2 mm JEOL double resonance MAS probe. The samples underwent spinning at a magic angle spinning (MAS) frequency of 10 kHz. Cross-Polarization (CP) utilized a contact time of 2 ms, with a repetition interval of 30 s and an acquisition time of 20.355 ms. SPINAL64 1H decoupling was employed to decouple hetero-nuclear correlations between 1H and 13C nuclei, with a total of 3072 scans performed. Additionally, a 13C spin–lattice relaxation experiment was conducted using the method outlined by Torchia, employing a contact time of 2 ms15. The procedure of solid-state NMR experiments were described in our previously published article11.
Results and discussions
Understanding the structure of larval and adult cuticle by XRD
In the diffractogram (Fig. 1), characteristic peaks of chitin were observed at 9.42° and 19.34°. These peaks correspond to the diffraction angles where the crystal lattice planes of chitin are reflected. The presence of these peaks confirms the presence of chitin as a major component in both the larval and adult cuticles. Figure 1a clearly demonstrates that the larval cuticle exhibits sharper peaks at 27.23° compared to the adult cuticle (Fig. 1b). This observation suggests a higher degree of crystallinity in the larval cuticle, indicating a more ordered arrangement of chitin molecules. Interestingly, a broad humped peak at 19.34°, indicates that the cuticles of larvae and adults are predominantly amorphous.
XRD patterns of (a) larva, and (b) adult cuticle.
Our finding aligns with previous study of Nagasawa16 that have reported the amorphous nature of insect cuticles, highlighting the presence of a complex and disordered arrangement of chitin and protein components. The amorphous nature of insect cuticles is believed to contribute to their flexibility and resilience, allowing them to withstand mechanical stresses and accommodate the insect's growth and movement17. The disordered arrangement of chitin and proteins provides a certain level of plasticity and elasticity to the cuticles, allowing them to adjust to the evolving requirements of the insect throughout various developmental phases.
Solid-state NMR analysis of silkworm cuticle
The 13C CP-MAS SSNMR experiments were performed at various stages of the development of Bombyx mori as shown in Fig. 2. 13C CP-MAS SSNMR spectrum at two different values of contact time 2 ms and 5 ms are shown in Supplementary Information. Substantial variation was observed between larva and adult stage and these two stages are studied rigorously by using sophisticated two-dimensional solid-state NMR methodologies, which will be discussed in the succeeding sections. The assignment of the 13C chemical shifts in the cuticle samples was performed based on previously published data12. Figure 3 shows the assignment of each resonance lines of 13C CP-MAS spectrum. These assignments allow for the identification of specific chemical groups and components within the cuticle. The relative abundance of various chemicals within cuticle is evaluated by deconvolution of 13C CP-MAS SSNMR spectrum by using dmfit18 (dmfit_vs64 Home | dmfit-D.Massiot-NMR@CEMHTI CNRS UPR3079 Orléans France (cnrs-orleans.fr)) as it is shown in Fig. 4 and Table 1. There are crystalline as well as amorphous region within cuticle of Bombyx mori at various developmental stages. Lorentzian and Gaussian line shapes correspond to the crystalline and amorphous region of cuticle. The relative proportions of various chemicals undergo changes as Bombyx mori progresses from the larval to the adult stage. Some chemicals emerge during adulthood, while others diminish. For instance, the second GlcNAc carbon line is observable in cuticle of Bombyx mori during the larval stage but vanishes during adulthood. Conversely, the resonance line associated with catechols is not present during the larval stage but appears in adult cuticle.
13C CP-MAS SSNMR spectrum of (a) larval cuticle (b) larval excuva (c) pupal cuticle (d) pupal case (e) adult cuticle.
The assignment of the 13C CP-MAS SSNMR spectrum of Larval Cuticle by following the article of Schaefer et al.12.
Comparison of the 13C CP-MAS SSNMR spectra of the silkworm cuticle (a) larval and (b) adult. The deconvolution of 13C CP-MAS SSNMR spectrum is done by using dmfit software18.
The principal chemical components of insect cuticle, namely chitin, protein, and lipid, were identified through a 13C CPMAS SSNMR. This allows the characterization of the chemical composition of the cuticle and provides insights into the differences between the larva and adult samples. One notable difference between the larval and adult cuticle spectra is observed in the intensities of the 13C resonances associated with specific chemical groups. The phenoxy carbon resonances of tyrosine and the guanidino carbons in arginine, appearing at 155 ppm, exhibit varying intensities between the larva and adult cuticle samples. Table 1 shows that the relative proportion of phenoxy carbon is decreased significantly in adult cuticle (1.24%) compared to that in larval cuticle (6.77%). Furthermore, a resonance at 144 ppm is observed exclusively in the adult sample as it is shown in Fig. 4. This particular resonance line signifies the presence of catechols. The absence of this resonance in the larva sample suggests a difference in the concentration of catechols between the larva and adult cuticles. This finding suggests that the mechanisms of sclerotization, the process of hardening and tanning the cuticle, may differ between the larva and adult stages. The presence of catechols in the adult cuticle also indicates potential variations in the biochemical pathways or compounds involved in the sclerotization process during development.
In both larval stage and adult stage, the 13C CP-MAS SSNMR spectrum associated with chitin are well-resolved and unambiguous, making it easier to distinguish between chitin and protein contributions in the spectrum as shown in Fig. 5. This distinction is essential for understanding the specific roles and interactions of chitin and protein within the cuticle. To further confirm the presence of chitin in the cuticle samples, a comparison was made between the resonance lines of the cuticle and a pure chitin standard (as shown in Fig. 5). The comparison revealed similarities in the resonance lines, providing strong evidence for the presence of chitin in both larva and adult stages as it is present in cuttlebone19 and cuticle of other insect20.
Stacked plot of 13C CP-MAS SSNMR spectrum of silkworm cuticle and pure chitin.
This confirms the importance of chitin as a major component of the insect cuticle. Interestingly, a notable difference was observed between the larval stages and the adult cuticle (shown in Fig. 5) in terms of the amount of protein per unit chitin. The 13C CP-MAS SSNMR was conducted to validate and quantify this difference. The results from this experiment confirmed that the larval silkworm contained a significantly lower amount of protein per unit chitin compared to the adult cuticle. The variation in protein content between the larval and adult cuticles could have important implications for the functional properties and mechanical strength of the cuticles21. The larval cuticle, with a lower protein-to-chitin ratio, may possess different mechanical characteristics and flexibility compared to the adult cuticle. In “spin–lattice relaxation time measurement” section we will discuss it in detail by spin–lattice relaxation measurements. The presence of higher protein content in the adult cuticle suggests a potential role of proteins in providing structural support and resilience22. The utilization of 13C CP-MAS SSNMR allows for a qualitative analysis of the protein-to-chitin ratio in the cuticle samples. To get quantitative ratio it is necessary to apply multiple CP pulse sequence23.
Comparison of CSA parameters of larval and adult cuticle
Figure 6 shows the 13C 2DPASS CP-MAS SSNMR spectrum of the cuticles of the larval and the adult stages of Bombyx mori. The chemical shift anisotropy (CSA) interaction, which is influenced by the orientation of a molecule relative to the external magnetic field, plays a crucial role in shielding the external magnetic field by the electron cloud density. The CSA parameters contain valuable information about the molecular orientation and the electronic distribution surrounding a nucleus. By employing the 13C 2DPASS CP-MAS SSNMR experiment, it becomes possible to correlate the isotropic and anisotropic dimensions of CSA through a shearing transformation followed by a two-dimensional Fourier Transformation. This technique enables the examination of the CSA parameters and provides insights into the electronic distribution and molecular orientation24.
13C 2DPASS CP-MAS SSNMR spectrum of cuticle: (a) larval cuticle, (b) adult cuticle.
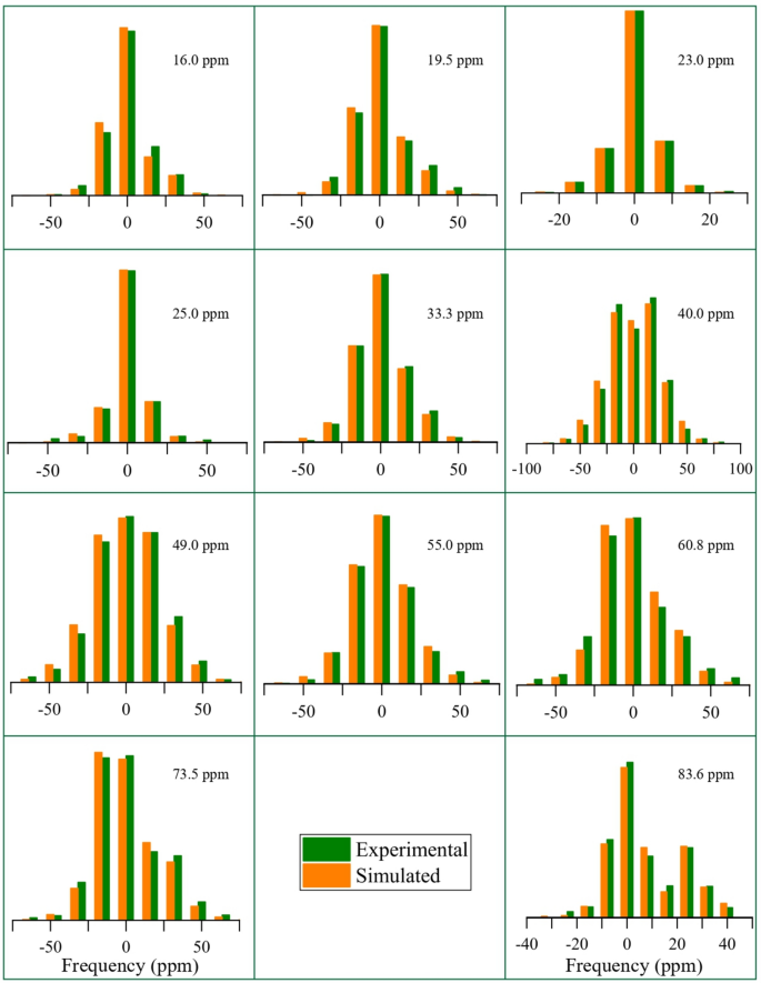
In the context of the cuticle samples, a notable observation is the large value of anisotropy for the carbonyl group carbon (172 ppm), which arises from the shielding or deshielding effect of magnetic anisotropy. This implies that the electronic distribution surrounding the carbonyl group carbon differs between the larval and adult cuticles (Figs. 7, 8, 9, and 10). A significant difference in ‘anisotropy parameter’ suggests substantial variations in the molecular structure and dynamics of the cuticles at larva and adult stages. Specifically, a significant variation of the principal components of the CSA parameters of carbon nuclei (chemical number 12) residing on amino acids and catechols are observed for the resonance line at 40 ppm. Table 2 shows that the ‘anisotropy \(\left\{\Delta \delta = {\delta }_{33}- 1/2\left({\delta }_{11}+ {\delta }_{22}\right)\right\}\)’ parameter of larval stage of the cuticle is 29.6 ppm, where it is \(-36.2\) ppm for adult stage. The sign of the anisotropy signifies the largest separation lies on which side of the center of gravity of the spinning CSA side band pattern. The ‘span \(\left({\delta }_{11}-{\delta }_{33}\right)\)’ is broaden in adult stage (47.7 ppm) than larval stage (35 ppm). Another example is for chemical number ‘2’, which corresponds to phenoxy carbon of tyrosine, guanido carbons in arginine, the ‘span’ is increased (145.0 ppm) in adult cuticle than larval one (131.9 ppm) and the sign of the ‘anisotropy’ is also altered in adult stage (110.3 ppm) compared to larval stage \((- 107.9\) ppm) of the cuticle of Bombyx mori. The sign of the ‘anisotropy’ is also getting changed for aromatic carbon in adult stage (− \(26.4\) ppm) than larval stage (22.2 ppm). The ‘span’ for carbon on GlcNAc is broadened (40.6 ppm) in adult stage than larval (23.7 ppm) stage. This discrepancy indicates that the electronic distribution surrounding some specific nuclei differs significantly between the larval and adult cuticles (Table 2). These variations in electronic distribution reflect differences in the chemical environment and molecular orientation of the cuticles at different developmental stages. The observed differences in the CSA parameters and electronic distributions suggest that the structure and dynamics of the larval and adult cuticles are influenced by variations in packing forces. The packing forces, which are associated with the arrangement and interactions of the cuticle components, contribute to the differences in molecular organization and overall properties between the larval and adult stages. The variations in electronic distribution, as revealed by the CSA parameters, provide valuable insights into the molecular-level characteristics and potential differences in the interactions between chitin, protein, catechols, amino acids, and lipids within the cuticles at different developmental stages.
Larval cuticle: the CSA spinning sideband pattern at crystallographically and chemically different carbon nuclei sites.
Spinning CSA sideband pattern of larval cuticle at chemically distinct carbon nuclei sites.
Adult cuticle: the CSA spinning sideband pattern at crystallographically and chemically different carbon nuclei sites.
The spinning CSA sideband pattern of adult cuticle at chemically distinct carbon nuclei sites.
Spin–lattice relaxation time measurement
The spin–lattice relaxation time provides valuable insights into the nuclear spin dynamics in different chemical environments. The magnetization decay curves are shown in Supplementary Information. Relaxometry studies can effectively probe the dynamics and offer a comprehensive understanding of molecular motions. The spin–lattice relaxation time of all carbon nuclei residing on adult cuticle is comparatively longer than that of the larval cuticle (as it is shown in Fig. 11, and Table 3). This suggests that the motional degree of freedom in adult cuticle is decreased with the increase of the degree of sclerotization.
Bar diagram of the spin–lattice relaxation time for Bombyx mori cuticle. The number 1 to 15 indicate the various chemicals present in the cuticle.
Table 3 demonstrates a significant disparity in the spin–lattice relaxation time across different chemical constituents found in both larval and adult cuticles. Notably, the spin–lattice relaxation time for aliphatic carbons of amino acids, catechols, and lipids is 12 s, whereas for aromatic carbons, it is 115 s in larval cuticles.
The bar-diagram (Fig. 11) of the spin–lattice relaxation time of two stages of Bombyx mori indicates that the spin–lattice relaxation rate is decreased in adult compared to larval cuticle. This further indicates that the degree of sclerotization is increased in adult compared to larva. Hence, the measurement of nuclear spin–lattice relaxation time suggests an interrelation between the degree of sclerotization and spin–lattice relaxation time.
The longer spin–lattice relaxation time observed in the adult cuticle can be attributed to the presence of strong intermolecular and intramolecular interactions. The specific nature of these interactions and their influence on the spin dynamics can provide detailed insights into the structural and chemical characteristics of the adult cuticle. The variation in spin–lattice relaxation time between larval and adult cuticles highlights the differences in molecular motions and interactions within these structures. These differences may arise from changes in the composition, organization, and functional properties of the cuticle across various developmental stages. By studying the site-specific spin–lattice relaxation time, detailed information about the nuclear spin dynamics at each chemically distinct nuclei site of cuticle is obtained.
Conclusion
These studies represent the pioneering evaluation of the dynamics of silkworm cuticle at an atomic scale resolution, shedding light on the electronic distributions surrounding each carbon nuclei sites within the cuticle samples. The findings presented in this study have made significant contributions to unravelling crucial information regarding intermolecular interactions and molecular packing, which play a vital role in determining the functionality of larval and adult cuticle. The solid-state NMR experiments demonstrate significant differences between the soft cuticle of silkworm larvae and the hard cuticle of adult silkworms. The relative abundance of each chemical present in larva and adult cuticles are quantified by 13C CP-MAS SSNMR measurements. The presence of chitin and protein can also be clear by solid state NMR measurements. These findings contribute to the advancement of knowledge in materials science and provide valuable avenues for the development of novel biomimetic materials with enhanced properties and functionalities. Furthermore, solid-state NMR measurement by using CSA and Torchia CP method has opened up new possibilities for investigating the interactions between cuticle components and external factors, paving the way for future advancements in insect biology and materials science. The findings make noteworthy contributions to our understanding of the molecular composition and functional significance of chitin in the cuticles of insects.25,26,27,28,29,30,31,32,33
Data availability
All data generated or analysed during this study are included in this published article.
References
Moussian, B. Recent advances in understanding mechanisms of insect cuticle differentiation. Insect Biochem. Mol. Biol. 40(5), 363–375 (2010).
Fraenkel, G. & Rudall, K. The structure of insect cuticles. Proc. Roy. Soc. Lond. Ser. B Biol. Sci. 134(874), 111–143 (1947).
Resh, V. H. & Cardé, R. T. Encyclopedia of Insects (Academic Press, 2009).
Kramer, K. J. & Hopkins, T. L. Tyrosine metabolism for insect cuticle tanning. Arch. Insect Biochem. Physiol. 6(4), 279–301 (1987).
Castejón, D., Rotllant, G., Ribes, E., Durfort, M. & Guerao, G. Structure of the stomach cuticle in adult and larvae of the spider crab Maja brachydactyla (Brachyura, Decapoda). J. Morphol. 280(3), 370–380 (2019).
Andersen, S. O. Biochemistry of insect cuticle. Ann. Rev. Entomol. 24(1), 29–59 (1979).
Andersen, S., Peter, M. & Roepstorff, P. Cuticular sclerotization in insects. Comp. Biochem. Physiol. Part B Biochem. Mol. Biol. 113(4), 689–705 (1996).
Mun, S. et al. Cuticular protein with a low complexity sequence becomes cross-linked during insect cuticle sclerotization and is required for the adult molt. Sci. Rep. 5(1), 10484 (2015).
Andersen, S. O. Insect cuticular sclerotization: A review. Insect Biochem. Mol. Biol. 40(3), 166–178 (2010).
Arakane, Y. & Muthukrishnan, S. Insect chitinase and chitinase-like proteins. Cell. Mol. Life Sci. 67, 201–216 (2010).
Dey, K. K. & Ghosh, M. Understanding the effect of deacetylation on chitin by measuring chemical shift anisotropy tensor and spin lattice relaxation time. Chem. Phys. Lett. 738, 136782 (2020).
Schaefer, J. et al. Aromatic cross-links in insect cuticle: Detection by solid-state 13C and 15N NMR. Science 235(4793), 1200–1204 (1987).
Kramer, K. J., Hopkins, T. L. & Schaefer, J. Applications of solids NMR to the analysis of insect sclerotized structures. Insect Biochem. Mol. Biol. 25(10), 1067–1080 (1995).
Eddy, S. & Gullion, T. Characterization of insect wing membranes by 13C CPMAS NMR. J. Phys. Chem. C 125(1), 931–936 (2020).
Torchia, D. A. The measurement of proton-enhanced carbon-13 T1 values by method which suppresses artifacts. J. Mag. Reson. 30, 613–616 (1978).
Nagasawa, H. The crustacean cuticle: Structure, composition and mineralization. Front. Biosci. 4, 711–720 (2012).
Dirks, J.-H. & Taylor, D. (2012). Veins improve fracture toughness of insect wings.
Massiot, D. et al. Modelling one- and two-dimensional solid-state NMR spectra. Mag. Reson. Chem. 40, 70–76 (2002).
Kaya, M. et al. Comparison of bovine serum albumin adsorption capacities of α-chitin isolated from an insect and β-chitin from cuttlebone. J. Ind. Eng. Chem. 38, 146–156 (2016).
Hamodrakas, S. J., Willis, J. H. & Iconomidou, V. A. A structural model of the chitin-binding domain of cuticle proteins. Insect Biochem. Mol. Biol. 32(11), 1577–1583 (2002).
Klocke, D. & Schmitz, H. Water as a major modulator of the mechanical properties of insect cuticle. Acta Biomaterialia 7(7), 2935–2942 (2011).
Murata, S. et al. Unveiling characteristic proteins for the structural development of beetle elytra. Acta Biomaterialia 140, 467–480 (2022).
King, C., Stein, R. S., Shamshina, J. L. & Rogers, R. D. Measuring the purity of chitin with a clean, quantitative solid-state NMR method. ACS Sustain. Chem. Eng. 5(9), 8011–8016 (2017).
Dey, K. K., Lodhi, L. & Ghosh, M. Study of the variation of the electronic distribution and motional dynamics of two independent molecules of an asymmetric unit of atorvastatin calcium by solid-state NMR measurements. ACS Omega 6(35), 22752–22764 (2021).
Jang, M. K., Kong, B. G., Jeong, Y. I., Lee, C. H. & Nah, J. W. Physicochemical characterization of α-chitin, β-chitin, and γ-chitin separated from natural resources. J. Polym. Sci. Part A Polym. Chem. 42(14), 3423–3432 (2004).
Narudin, N. A. H. et al. Extraction, characterization, and kinetics of N-deacetylation of chitin obtained from mud crab shells. Polym. Polym. Compos. 30, 09673911221109611 (2022).
Sikorski, P., Hori, R. & Wada, M. Revisit of α-chitin crystal structure using high resolution X-ray diffraction data. Biomacromolecules 10(5), 1100–1105 (2009).
Kaya, M. et al. On chemistry of γ-chitin. Carbohydr. Polym. 176, 177–186 (2017).
Kameda, T., Miyazawa, M., Ono, H. & Yoshida, M. Hydrogen bonding structure and stability of α-chitin studied by 13C solid-state NMR. Macromol. Biosci. 5(2), 103–106 (2005).
Bezerra, F. I. et al. Chemical and mineral comparison of fossil insect cuticles from Crato Konservat Lagerstätte, lower Cretaceous of Brazil. J. Iber. Geol. 46, 61–76 (2020).
Saravanan, K. M., Peng, Y. & Wei, Y. Systematic analysis of NO regular secondary structural regions (NORS) in membrane and non-membrane proteins. J. Biomol. Struct. Dyn. 8, 32 (2019).
Iconomidou, V. A., Chryssikos, G. D., Gionis, V., Willis, J. H. & Hamodrakas, S. J. “Soft”-cuticle protein secondary structure as revealed by FT-Raman, ATR FT-IR and CD spectroscopy. Insect Biochem. Mol. Biol. 31(9), 877–885 (2001).
Hou, J., Aydemir, B. E. & Dumanli, A. G. Understanding the structural diversity of chitins as a versatile biomaterial. Philos. Trans. Roy. Soc. A 379(2206), 20200331 (2021).
Acknowledgements
The author Manasi Ghosh is grateful to Science and Engineering Research Board (SERB)-POWER research grant (file no. SPG/2021/000303), Department of Science and Technology (DST), Government of India, IoE-BHU Seed Grant-II (Dev. Scheme No. 6031(B), for financial support. The authors are thankful to Dr. Harisingh Gour University for providing 500 MHz solid-state NMR facility.
Author information
Authors and Affiliations
Contributions
(1) Main manuscript is written by L.L., M.G., K.K.D., (2) L.L. had collected the sample (3) L.L., M.G, P.S., B.L.P. had collected data (4) Data was analyzed by L.L., J.D.A., N.G., B.L.P., P.S., M.G., K.K.D.
Corresponding authors
Ethics declarations
Competing interests
The authors declare no competing interests.
Additional information
Publisher's note
Springer Nature remains neutral with regard to jurisdictional claims in published maps and institutional affiliations.
Supplementary Information
Rights and permissions
Open Access This article is licensed under a Creative Commons Attribution-NonCommercial-NoDerivatives 4.0 International License, which permits any non-commercial use, sharing, distribution and reproduction in any medium or format, as long as you give appropriate credit to the original author(s) and the source, provide a link to the Creative Commons licence, and indicate if you modified the licensed material. You do not have permission under this licence to share adapted material derived from this article or parts of it. The images or other third party material in this article are included in the article’s Creative Commons licence, unless indicated otherwise in a credit line to the material. If material is not included in the article’s Creative Commons licence and your intended use is not permitted by statutory regulation or exceeds the permitted use, you will need to obtain permission directly from the copyright holder. To view a copy of this licence, visit http://creativecommons.org/licenses/by-nc-nd/4.0/.
About this article
Cite this article
Lodhi, L., Ahi, J.D., Gupta, N. et al. Exploring the structure and dynamics of soft and hard cuticle of Bombyx mori using solid-state NMR techniques. Sci Rep 14, 22378 (2024). https://doi.org/10.1038/s41598-024-69984-2
Received:
Accepted:
Published:
Version of record:
DOI: https://doi.org/10.1038/s41598-024-69984-2
Keywords
This article is cited by
-
Investigating structural and dynamic changes in cellulose due to nanocrystallization
Journal of Biomolecular NMR (2025)













