Abstract
Failure rate after chronic rotator cuff repair is considerably high. Moreover, diabetes mellitus is known as a compromising factor of rotator cuff tear. The effect of Polydeoxyribonucleotide (PDRN) and polynucleotide (PN) on tendon healing and fatty infiltration is unclear as tissue regeneration activator in diabetic state. Therefore, a diabetic rat model with chronic rotator cuff tear was made for mechanical, histologic and blood tests. In the animal study using a diabetic rat cuff repair model, the administration of PDRN and PN increased the load to failure of repaired cuffs and improved tendon healing and decreased fatty infiltration. Also, the plasma levels of vascular endothelial growth factor and fibroblast growth factor were elevated in PDRN and PN administrated groups. We concluded that PDRN and PN appear to boost tendon recovery and reduce the presence of fatty infiltration following cuff repair in diabetic state. Also, PN showed a later onset and a longer duration than PDRN associated with the mean plasma growth factors.
Similar content being viewed by others
Introduction
Rotator cuff tears are not uncommon, especially for older patients1,2. Regardless of the surgical techniques or devices, recent studies have shown that retears of repaired cuffs occur in 25 ~ 65% of cases3,4. In 2019, an estimated 28.7 million people of all ages in the United States were diagnosed with DM and another 8.5 million had undiagnosed DM6. Recently, several studies indicate that diabetes mellitus (DM) negatively impacts the success of repair surgery for rotator cuff5,7. After a rotator cuff tear occurs, atrophy of the muscle fibers, fibrosis, and the deposition of fat within and around the muscle fibers can occur, which is termed as fatty infiltration and is usually intensified in chronic tears of the rotator cuff in elderly patients3,8.
Polydeoxyribonucleotide (PDRN), composed of a mixture of nucleotides (5.625 mg/3 mL), is a tissue regeneration activator that activates the adenosine A2A receptor to stimulate the expression of vascular endothelial growth factors and the activity of fibroblasts3,10. Past research has indicated that PDRN plays a role in improving wound healing, especially in models using diabetic rats and mice10,11. PDRN improved the mechanical and histological properties in the tendon repair animal models3,12. In addition, polynucleotide (PN), composed of a polymeric chain of nucleotide at a concentration of 20 mg/mL, is a polymeric molecule that can be combined with a large amount of water to orient and adjust water molecules to form a 3D gel to reconstruct its structure3. PNs are broken down through enzymatic activity, gradually releasing both smaller oligonucleotide fragments and water molecules, thereby retaining the effect over the long term. The final products of this enzymatic degradation are simple nucleotides, nucleosides, and nitrogen bases, which are physiologically present in the extracellular environment, and which constitute fundamental substrates for cells3,13,14.
Recently, PDRN and PN have been used to stimulate tendon regeneration3. However, clinical results and basic experimental studies are still lacking. Moreover, no research has been conducted on the impact of PDRN and PN on tendon repair in a diabetic environment. Additionally, growth factors associated with PDRN and PN should be evaluated in other studies. The objective of the present study was to determine whether polydeoxyribonucleotide (PDRN) and polynucleotide (PN) improve tendon healing and fatty degeneration in repaired chronic rotator cuff tears using the infraspinatus of a diabetic rat model. The hypothesis is that PDRN and PN could improve tendon healing and fatty degeneration in a diabetic rat cuff repair model.
Methods
Distribution of rats for experiment
For the biomechanical evaluation, considering a potential 25% dropout rate from previous power analysis, we designated a minimum of 8 rats for each group. This was to identify a notable difference in the least load necessary for failure (average difference: 10.7 N, SD: 5.9 N) with a confidence level of 80% and an alpha of 0.053,15. For the histological evaluation, we allocated 6 rats to each group, drawing on the precedent set by earlier studies3,8,15,16. Therefore, fifty-six 10-week-old male Sprague–Dawley rats (300 ± 5 g) were randomly distributed to four groups (14 rats for each group, specifically 6 for histological analysis and 8 for mechanical and blood testing, G1: normal, G2 ~ 4: DM): G1, saline + repair, G2, saline + repair, G3, PDRN + repair, and G4, PN + repair3. Group 1 was normal rats. The other groups were induced to develop DM using intraperitoneal injection of streptozotocin (STZ, 65 mg/kg) (Sigma, St. Louis, MO, USA)5. Only rats with DM with persistent fasting blood glucose levels defined as 250 mg/dL or higher were included in the experimental group5. The right shoulders underwent all experimental procedures while the left shoulders underwent sham operations as a control3. Four weeks after the infraspinatus was detached, the torn tendon was repaired3. Saline, PDRN, and PN were administered to the repair sites at repair and 2 weeks after repair. Histological and biomechanical evaluations were performed 4 weeks after repair and blood analysis was performed at repair and 2 and 4 weeks after repair (Fig. 1).
Flow diagram. PDRN: polydeoxyribonucleotide, PN: polynucleotide, DM: diabetes mellitus, Rt: right.
Chronic rotator cuff tear model
Intraperitoneal pentobarbital anesthesia (50 mg/kg) and sterilization draping were applied. After that, we made a skin incision of approximately 2 cm along the scapula spine to the acromion posterolateral angle, and then exposed the infraspinatus muscle and tendon after incising and retracting the deltoid muscle3. In all rats, we made a chronic infraspinatus tear in the right shoulder by completely separating the infraspinatus tendon at its insertion site on the greater tuberosity, and covered the torn tendon using an 8-mm long silicone Penrose hose (6-mm outer diameter, Sewoon Medical Co., Ltd., Cheonan, Korea). Then, the tendon was sutured using No. 5–0 Prolene (Ethicon, Johnson & Johnson, New Brunswick, NJ, USA) to avoid adhesion to the surrounding soft tissue, and we left the tear alone for 4 weeks3. We sutured the deltoid muscle with a No. 5–0 Monocryl absorbable suture (Ethicon, Johnson & Johnson, New Brunswick, NJ, USA) and the skin with No. 5–0 Prolene3. A sham operation was performed on the left shoulder (skin incision and closure alone)3.
Repair of the infraspinatus and administration of PDRN or PN
The torn tendon was repaired four weeks after infraspinatus detachment. The modified Mason-Allen stitch using No. 5–0 Prolene (Ethicon) was utilized in a transosseous manner by passing the suture via a bone tunnel made in the greater tuberosity with a 21-gauge needle3 (Fig. 2A,B). Immediately after repairing the deltoid muscle with a No. 5–0 Monocryl suture (Ethicon), 0.5 mL of saline, PDRN, or PN was administered into the subacromial space of the appropriate groups in a ballooning method between both sides of the sutured deltoid3. This method ensured that there was no loss of the administered material and that it reached the repair site3. The skin suture was performed using No. 5–0 Prolene (Ethicon).3 The 2nd injection was performed using the same material 2 weeks after repair.
Repair of chronic infraspinatus tear. (A) Chronic tear of infraspinatus, (B) Repaired infraspinatus.
Histological analysis
Four weeks after repair, histological analysis was performed. Rats (6 in each group) were sedated with pentobarbital through intraperitoneal injection and then humanely put down using carbon dioxide. We then readied the samples for histological analysis.
We harvested the proximal humerus, including the greater tuberosity, and the entire infraspinatus tendon attached to both shoulders of each rat3. We fixed the specimens in neutral buffered 10% formalin (pH 7.4) and decalcified them for 24 h (Formical-2000, Decal Chemical Corporation, Tallman, New York, USA)3. We embedded each specimen in paraffin and created two blocks3. We cut the specimen horizontally at a point approximately 3 mm proximal to the musculotendinous junction3. We embedded the proximal portion as a paraffin block3. We cut the distal portion longitudinally along the midline of the repaired tendon including the bone-to-tendon junction (the infraspinatus tendon and the greater tuberosity)3. We embedded two distal portions in one paraffin block3. Then, we cut 5-µm-thick sections of the distal portions in the coronal plane from the tendon-to-bone junction3. We stained these sections with hematoxylin and eosin (H&E) and Masson’s trichrome3. Collagen fiber continuity and parallel orientation were assessed in an average 200 × field from the H&E-stained sections and an average 100 × field from the Masson’s trichrome-stained sections3. Each of these parameters was semiquantitatively graded using 4 stages (present at a proportion of < 25% (grade 0), 25% ~ 50% proportion (grade 1), 50% ~ 75% proportion (grade 2), and > 75% proportion (grade 3))3. In addition, 5-µm-thick sections of the proximal portion were cut in the sagittal plane to a point 3 mm proximal to the musculotendinous junction of the infraspinatus and stained using H&E3. These sections were used to assess the extent of fatty infiltration of the infraspinatus muscle and to calculate the cross-sectional area of the muscle fibers3. With an average 200 × field from these sections, we graded the histological findings using a four-scale system (grades 0, 1, 2, and 3), where a grade 0 = no fat deposits, 1 = around one thirds, 2 = around two thirds and 3 = fat droplets discovered in most fibers3,16,17.
We utilized an Aperio ImageScope v12.1 (Leica Biosystems, Germany) to assess the cross-sectional area (CSA) of muscle fibers3,18,19. In the average 400 × field, we selected one hundred fibers in the infraspinatus and calculated the CSA by determining the average cross-sectional area of one hundred fibers3,19.
We employed CD68 staining to detect M1 macrophages indicative of degeneration, and CD168 staining to recognize M2 macrophages associated with regeneration3,8. We also performed S100 staining to detect fat cells20. From the CD68, CD168 and S100 immunohistochemical staining, we verified the findings in an average field of at 400 × magnification as the number of stained macrophages using an antigen counter (UTHSCSA ImageTool 3.0, The University of Texas Health Science Center at San Antonio, TX, USA)3. We carried out CD68, CD168 and S100 staining by immunohistochemistry in sagittal sections3. We processed sections of formalin-fixed, paraffin-embedded infraspinatus muscle tissue through the Bond-Max automated immunostaining instrument (Leica Biosystem, Newcastle, UK), utilizing a bond polymer intensity detection kit (Leica Biosystem) designed for formalin-fixed, paraffin-embedded tissue sections. We applied antibodies against cluster of differentiation CD68 (CD68; 47,850, Leica Biosystem, Newcastle, UK, RTU) and CD168 (CD168; ab124729, Leica Biosystem, Newcastle, UK, RTU) and S100 (63,644, Leica Biosystem, Newcastle, UK, RTU)3. We counterstained these sections with Harris hematoxylin3. A pathologist blinded to the experimental conditions performed all these evaluations3.
Biomechanical analysis
We carried out biomechanical testing using an Instron 5543 device (Instron, Norwood, MA, USA) (Fig. 3A,B)3. We intraperitoneally anesthetized and euthanized eight rats per group with carbon dioxide and the proximal humerus was harvested, including the greater tuberosity with the entire infraspinatus tendon attached to both shoulders of each rat3. We wrapped the harvested tendon with the bone in saline-soaked gauze and placed it in an icebox3. Ten minutes before testing, we placed each sample at room temperature3. We hung the humerus proximal part of the specimen on a perforated metal device (latter humerus grip) fixed to the pneumatic grip (ISG Inc., Sungnam, Korea) as previously described3. We wrapped the muscular end of each sample in a thin layer of dry gauze and fixed it between the two hard grooved rubber layers of a second pneumatic grip3. We performed mechanical testing according to the protocol. We initially preloaded each tendon to 0.1 N, followed by 10 cycles of preconditioning (cycling between 0.1 and 0.5 N at a strain rate of 0.4%/s)3. After a 300-s hold to attain equilibrium, each 600-s stress-relaxation experiment began with a ramp to 5% strain at 5%/s, followed by a return to gauge length and a 60-s hold3. Finally, we quasistatically tested each specimen to failure at a rate of 0.3%/s3. The mode of tearing and the peak load to failure were included in the key data3,16.
The material testing machine. (A) Instron 5543 connected with a pneumatic grip and a rat muscle fixation device (KR Design Registration 30-0854878), (B) Application of tensile load to the infraspinatus of the rat.
Blood testing
Blood testing was performed at repair and 2 and 4 weeks after repair in the rats selected for mechanical testing to measure the mean plasma levels of vascular endothelial growth factor (VEGF), fibroblast growth factor (FGF) and insulin-like growth factor (IGF).
We collected blood samples from the retro-orbital plexus using a microcapillary tube at the time of detachment, at tendon repair and at sacrifice. Plasma samples were collected using 10 IU of heparin (JW-Parma, KOR) as an anticoagulant. Within 1 h of blood sampling (0.5–1 h), the samples were centrifuged at 1500 × g for 20 min and carefully transferred to new tubes. Plasma samples were aliquoted into three for analysis of FGF-2, VEGF and IGF-1 and stored at -80 ℃ from collection until the time of testing. The three growth factors were measured using ELISA kits (R&D Systems, Minneapolis, MN, USA).
We measured VEGF (or VEGF-A) using a VEGF ELISA kit (R&D Systems, Minneapolis, MN, USA). The intra-assay precision of VEGF was 2.2 ~ 5.6, and the interassay precision was 4.6 ~ 10.0 (CVs (%)). A monoclonal antibody specific for VEGF was precoated onto a microplate. The standard and samples were added to the wells, and the VEGF present in the standard and samples was bound to the immobilized antibody. After a wash, we added an enzyme-linked antibody specific for VEGF to the wells and following a second incubation and subsequent wash to remove any unbound antibody-enzyme reagent, we added a substrate solution to the wells. The measured color intensity was then proportional to the amount of VEGF binding. When a stop solution is added, the enzyme reaction produces a blue product that turns yellow. We read the absorbance at 540 nm by a GloMax® Discover multimode plate reader (Promega, Italy). We measured the results according to the manufacturer’s recommendations.
We measured FGF basic (FGF-2) using an FGF-2 ELISA kit (R&D Systems, Minneapolis, MN, USA). The intra-assay precision of FGF-2 was 2.2 ~ 3.1 and the interassay precision was 4.8 ~ 8.4 (CVs (%)). The microplate was precoated with a monoclonal antibody specific for FGF-2. The first step was to add standards and samples into the wells, and during the following incubation period, any FGF-2 present was bound by the immobilized antibody. After unbound substances were washed away, we added an enzyme-linked monoclonal antibody specific for FGF-2 to the wells and a second incubation was performed. After washing to remove unbound antibody-enzyme reagent, we added a substrate solution to the wells, and the measured color intensity was then proportional to the amount of FGF-2 binding. When a stop solution is added, the enzyme reaction produces a blue product that turns yellow. We read the absorbance at 540 nm by a GloMax® Discover multimode plate reader (Promega, Italy). We measured the results according to the manufacturer’s recommendations.
We measured IGF-1 using an IGF-1 ELISA kit (R&D Systems, Minneapolis, MN, USA). The intra-assay precision of IGF-1 was 3.3 ~ 5.6 and the interassay precision was 4.3 ~ 9.1 (CVs (%)). A monoclonal antibody specific for IGF-1 was precoated onto a microplate. The standards and samples were added to the wells, and the IGF-1 present in the standards and samples was bound to the immobilized antibody. After unbound substances were washed away, an enzyme-linked monoclonal antibody specific for IGF-1 was added to the wells, followed by a second incubation. After washing to remove unbound antibody-enzyme reagent, we added a substrate solution to the wells, and the measured strength of the color was proportional to the amount of IGF-1 binding. When a stop solution is added, the enzyme reaction produces a blue product that turns yellow. We read the absorbance at 540 nm by a GloMax® Discover multimode plate reader (Promega, Italy). We measured the results according to the manufacturer’s recommendations.
Because the exogenous administration of VEGF improved tensile strength in the early healing process of the rat Achilles tendon and IGF and FGF also stimulated cell proliferation and accelerated the early stage of tendon healing in a rat model12, the blood levels of VEGF, FGF, and IGF were serially checked.
Statistical evaluation
We utilized one-way analysis of variance followed by Bonferroni post hoc analysis, or the Kruskal–Wallis test succeeded by Mann–Whitney post hoc testing, to examine the differences in values among the groups, based on their normality. The Mann–Whitney U test or the independent t-test was applied to contrast the values between the operated and control sides, contingent upon normality. All statistical evaluations were carried out using IBM SPSS Statistics 22 (IBM Corp., Armonk, NY, USA). A P value under 0.05 was recognized as statistically significant3.
Conference presentation
This study was presented as a podium in 2019 ISAKOS and as an e-poster in 2019 ICSES. And this study had been accepted as an e-poster in 2020 AAOS, but it was cancelled due to COVID 19.
Results
Three rats from the G1, G2, G3 and G4 groups died during the surgery (Table 1).
Histological analysis
The overall histological grades are reported in Fig. 4A–C, and the immunohistochemical assessments are shown in Fig. 5A–D. At 4 weeks after repair, the tendon fibers within the tendon-to-bone area were poorly structured in the G1 and G2 groups. In the immunohistochemical examination of the musculotendinous area, the G2 group had the highest average of S100-stained cells, whereas the G3 group had the fewest among the four groups. In contrast, the G3 group displayed the highest average of CD168-stained cells, with the G1 group showing the least. (Fig. 6A–F).
Histologic grading. (A) * H&E stain at the musculotendinous region used a four-scale system (grades 0, 1, 2, and 3), where a grade 0 = no fat deposits and 3 = fat droplets found in most fibers. (B-C) § H&E and Masson’s Trichrome stains at the tendon-to-bone junction, where a portion of < 25% of proportion: grade 0 (g0: absent or minimal); 25 ~ 50%: grade 1 (g1: mild degree); 50 ~ 75%: grade 2 (g2: moderate degree); > 75%: grade 3 (g3: severe (marked) degree). G1: Group 1, saline + repair; G2: Group 2, saline + repair; G3: Group 3, PDRN + repair; G4: Group 4, PN + repair. G1: normal, G2-4: DM, sham 1 and 2: left shoulder of the G1 and G2 groups.
Immunohistochemistry (S100, CD 68 and CD 168) and cross-sectional area at the musculotendinous region. (A) The number of adipocytes on S100 staining, (B) The number of macrophages on CD 68 staining, (C) The number of macrophages on CD 168 staining, (D) The cross-sectional area of the muscle fiber. G1: saline + repair; G2: Saline + Repair; G3: PDRN + Repair; G4: PN + Repair. G1: normal, G2-4: DM, sham 1 or 2: left shoulder of G1 or G2, CSA: cross-sectional area of the muscle fiber. The error bars show the standard deviations. Asterisks show a statistically significant difference between the two groups (P < .05).
The histological and immunohistochemical findings. (A) Grading for adipocytes on H&E staining of the M-T region (x200). Black arrows are adipocytes. (B) S100 stained cells in the M-T region (x400). Black arrows are S100-stained adipose cells. The G3 and G4 groups showed fewer adipocytes than the G2 groups. (C) CD 68-stained cells in the M-T region (x400). Black arrows are CD 68-stained cells. The G3 and G4 groups showed fewer CD68-stained cells than the G2 group. The G3 group showed the lowest number of CD 68-stained cells. (D) CD 168-stained cells in the M-T region (x400). Black arrows are CD168-stained cells. The G3 and G4 groups showed more CD168-stained cells than the G1 and G2 groups. (E) Collagen fiber continuity and parallel orientation on Masson’s trichrome stain (x100) of T-B junction. Black arrows are T-B junctions. The G3 and G4 groups showed more continuous and parallelly oriented collagen fibers than the G2 group. The G1 and G2 groups showed no definite T-B junctions. (F) CSA on H&E staining of the M-T region (x400). The G3 group showed the largest CSA, and the G2 group showed the smallest CSA. 1: sham 1; 2: sham 2; 3: G1; 4: G2; 5: G3; 6: G4. Sham 1 and 2: left shoulder of G1 and G2. G1: Group 1; saline + repair; G2: Group 2, saline + repair; G3: Group 3, PDRN + repair; G4: Group 4, PN + repair. G1: normal, G2-4: diabetes mellitus, M-T: musculotendinous, T-B; tendon to bone, CSA: cross-sectional area of the muscle fiber.
Statistical analysis demonstrated that there were no significant differences between the continuity and parallel orientation of collagen fibers in tendons of the sham and G3 or G4 groups, as shown by Masson’s trichrome staining of the tendon-to-bone region at 4 weeks after repair, suggesting a better improvement in tendon healing than that in the G2 group. The G3 and G4 groups exhibited a lower number of S100-stained cells, more aligned tendon collagen fibers, and an increased cross-sectional area (CSA) of muscle fibers compared to the G2 group. Additionally, the G3 group had a higher count of CD168-stained cells than the G2 group (Table 2).
Mechanical evaluation
The mechanical results are detailed in Table 3. The G1 and G3 groups demonstrated significantly increased average load-to-failure rates (17.6 ± 4.2 N and 22.3 ± 7.4 N, respectively) compared to the G2 group (11.0 ± 6.2 N), with P-values of 0.036 and 0.013, as shown in Tables 3 and 4. While the average load-to-failure rates for the control (left side) samples were higher than those for the test samples, the difference wasn't statistically significant in the G3 group (P = 0.104). Failure types included seven insertional rips in the G2 group, along with three insertional and four midsubstance rips each in the G3 and G4 groups. All control ruptures were midsubstance, except for one case in the G2 group. Midsubstance tears were more prevalent in the G3 and G4 groups (57.1% each) compared to the G2 group (0%) (P = 0.023 and P = 0.023). The G1 group showed more midsubstance tears than the G2 group (28.6% vs. 0%) (P = 0.041).
Blood testing
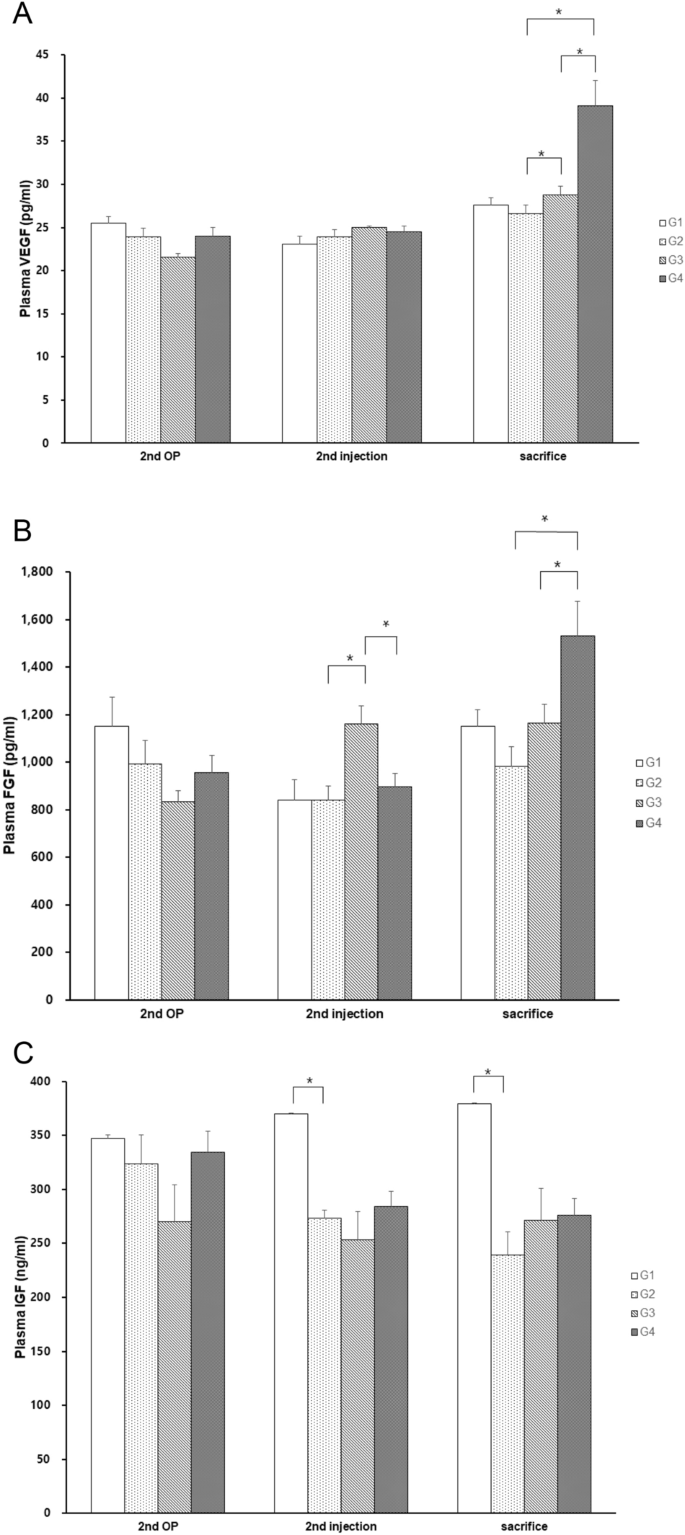
The mean plasma levels of VEGF, FGF and IGF are demonstrated in Fig. 7A–C. The mean plasma levels of FGF and VEGF in the G3 and G4 groups were higher than those in the G2 group at 2 weeks and 4 weeks after repair (2nd operation and sacrifice). The mean plasma levels of IGF in the G1 group were higher than those of in the G2 group at repair and 2 and 4 weeks after repair. The mean plasma VEGF and FGF levels at 4 weeks after repair and the mean plasma FGF level at 2 weeks after repair showed significant differences among the diabetic groups through one-way ANOVA or Kruskal–Wallis testing. The mean plasma levels of VEGF at 4 weeks after repair were significantly different among the DM groups (G2 vs. G3: P = 0.048, G2 vs. G4: P = 0.004, and G3 vs. G4: P = 0.006). The mean plasma level of FGF at 2 weeks after repair was significantly different between the G2 and G3 groups and between the G3 and G4 groups (G2 vs. G3: P = 0.007, and G3 vs. G4: P = 0.028). The mean plasma level of FGF at 4 weeks after repair was significantly different between the G2 and G4 groups (G2 vs. G4: P = 0.005, and G3 vs. G4: P = 0.028). Between the G1 and G2 groups, there were significant differences in the mean plasma level of IGF at 2 and 4 weeks after repair (Table 5).
Mean plasma levels of growth factors. (A) VEGF (vascular endothelial growth factor), (B) FGF (fibroblast growth factor), (C) IGF (insulin-like growth factor), 2nd OP: the repair operation, 2nd injection: additional injection 2 weeks after the repair operation, sacrifice: sacrifice 4 weeks after the repair operation, G1: Group 1, saline + repair; G2: Group 2, saline + repair; G3: Group 3, PDRN + repair; G4: Group 4, PN + repair. The error bars show the standard deviations. Asterisks show a statistically significant difference between the two groups (P < .05).
Discussion
PDRN and PN could improve the tendon healing and reduce fatty infiltration in our diabetic rat cuff repair model. In the present study, there were no significant differences between the continuity and parallel orientation of collagen fibers in tendons of the sham and G3 or G4 groups on Masson’s trichrome staining of the tendon-to-bone region at 4 weeks after repair, suggesting a better improvement in tendon healing than that in the G2 group. The G3 and G4 groups exhibited a reduced number of S100-stained cells, an increased alignment of tendon collagen fibers, and a larger cross-sectional area (CSA) of muscle fibers compared to the G2 group. The G3 group showed more CD168-stained cells than the G2 group. In the biomechanical analysis, the G3 and G4 groups experienced a higher incidence of midsubstance tears (57.1% each) compared to the G2 group (0%) (P = 0.023 and P = 0.023). The G1 group showed more midsubstance tears than the G2 group (28.6% vs. 0%) (P = 0.041). The mean values for load-to-failure were notably greater in the G1 and G3 groups (17.6 ± 4.2 N and 22.3 ± 7.4 N, respectively) compared to the G2 group (11.0 ± 6.2 N) (P = 0.036 and P = 0.013). For blood analysis, the mean plasma levels of VEGF at 4 weeks after repair were significantly different among the DM groups (G2 vs. G3: P = 0.048, G2 vs. G4: P = 0.004, and G3 vs. G4: P = 0.006). The mean plasma level of FGF at 2 weeks after repair was significantly different between the G2 and G3 groups and between the G3 and G4 groups (G2 vs. G3: P = 0.007, and G3 vs. G4: P = 0.028). The mean plasma level of FGF at 4 weeks after repair was significantly different between the G2 and G4 groups (G2 vs. G4: P = 0.005, and G3 vs. G4: P = 0.028). Among the diabetic groups, PDRN treatment led to an earlier surge of the plasma VEGF and FGF levels than those with PN treatment, which could be a reason for the repaired cuff tendon showing improved mechanical properties in the G3 group. Diabetic rats showed a decreased mean plasma IGF level in several studies, which matched the results of the present study considering the G1 and G2 groups21,22.
PDRN is an agent that promotes tissue regeneration, comprising a blend of nucleotides that engage the adenosine receptors in fibroblasts. This stimulates VEGF expression and fibroblast activation, consequently boosting the production of collagen fibers3,10,11. Given its mode of action, which involves ligand-receptor interactions, the impact of PDRN could have more prolonged endurance compared to treatments like platelet-rich plasma (PRP), stem cells, or growth factors3. Additionally, PNs are broken down enzymatically, gradually liberating both smaller oligonucleotides and water molecules, which could extend the duration of their effect3.
Certain research has indicated that PDRN and PN encourage the healing of wounds and the regeneration of tissues3,10,11,23,24. Altavilla et al.10 investigated the effect of PDRN on wound healing using an immunostaining method in a diabetic mouse model. Gennero and colleagues24 documented that PDRN thwarted cartilage breakdown in a laboratory culture experiment. In a related study by Guizzardi and his team25, it was demonstrated that PN prompted swift bone regeneration in rats, and a combination of PN with deproteinized porcine cortical bone facilitated quicker bone regeneration compared to either PN by itself or deproteinized porcine cortical bone on its own.
Even with the advancements in surgical methods and tools, the rate of retears following the repair of chronic rotator cuff tears is still significantly high3,26,27. Furthermore, fatty infiltration in chronic rotator cuff tears is deemed irreversible, persisting even after successful cuff repairs3. Prior research indicates that this fatty infiltration continues to be present in long-term evaluations3,28. DM impairs tendon-bone healing after cuff repair according to some studies5,7. As far as we are aware, this research is pioneering in exploring whether PDRN and PN enhance the healing of the rotator cuff and reduce fatty infiltration through mechanical assessments, histological evaluations, and blood tests in a diabetic rat cuff repair model. Fatty infiltration is similar to marbling of beef which is usually caused by inactivity. Because PDRN and PN could promote rotator cuff healing and make early activities possible, and therefore, fatty infiltration could be reduced in the repaired cuffs of rats in the present study.
PDRN improved tendon healing following Achilles tendon injury in a rat model, which was proven by the increase in the CSA, load to failure, and staining levels of type I collagen, VEGF and FGF12. In a randomized controlled trial, PN showed a similar efficacy compared to hyaluronic acid when intraarticularly injected in knee osteoarthritis13. In addition, PDRN and PN improved tendon healing and decreased fatty degeneration in a nondiabetic rat cuff repair model, which was proven by the increase in the CSA and the decrease in adipose cells and CD68-stained M1 macrophages3. In the present study, PDRN significantly increased CD168-stained M2 macrophages in the diabetic rat cuff repair model compared to saline. It suggests that PDRN could promote the regeneration of repaired cuffs in the diabetic state.
Because the results of the previous study using normal rats showed that the mean load to failure of the PDRN group was higher than that of the saline group, but there was no significant difference, PDRN could be more effective in the diabetic cuff repair model than in the nondiabetic one3. PN could have a longer duration with a later onset compared to PN considering the alterations of the mean plasma growth factors in this study. However, because the critical point of tendon healing related with collagen fiber synthesis might be within several weeks27, G3 group could show the highest mean load to failure in the operated sides among the DM groups.
Limitations
Our study has several limitations. First, in humans, chronic rotator cuff tears develop gradually over an extended period, with various factors contributing to this progression28,29. In this study, the severed infraspinatus tendons in rats were mended just four weeks following detachment. However, the duration of tendon injury and healing in rats can be 2 to 3 times shorter than in humans3,30. While the precise disparity between rats and humans remains unclear, the week interval selected was informed by data from prior studies3,31. Next, the rat's infraspinatus was chosen for examination in this research because of its biomechanical resemblance to the human version3,32. Additionally, H&E and S100 stains were utilized for fat tissue detection in this investigation17,20. Despite oil red O's ability to enhance the visibility of fat in fresh frozen tissue, its application is restricted19. S100 staining is not highly specific to fat cells, and neural crest origin cells are also stained19. However, because an experienced pathologist evaluated the S100-stained slides in the present study, the rating should be reliable. Also, COL-I and COL-III immunohistochemical staining for tendinous tissue could be helpful for evaluation the tendon regeneration. But the staining was not performed. In a further study, we will perform it. This study was performed in a diabetic rat model, and therefore, the results may not be applicable for nondiabetic rotator cuff tears. The STZ-induced type 1 DM may not be entirely generalized to the human whose major DM is usually type 2, too33.
Conclusion
In a diabetic rat model, PDRN and PN appear to boost tendon recovery and reduce fatty infiltration following cuff repair. PDRN could be the most helpful for enhancing the biomechanical properties of repaired cuffs because PN might have a later onset and a longer duration than PDRN considering the alterations of the mean plasma growth factors.
Data availability
The datasets generated during and/or analyzed during the current study are available from the corresponding author on reasonable request.
References
Yamamoto, A. et al. Prevalence and risk factors of a rotator cuff tear in the general population. J. Shoulder Elbow Surg. 19(1), 116–120 (2010).
Kim, D. Y., Hwang, J. T., Lee, S. S., Lee, J. H. & Cho, M. S. Prevalence of rotator cuff diseases in adults older than 40 years in or near Chuncheon city, Korea. Clin. Shoulder Elb. 23(3), 125–130 (2020).
Hwang, J. T., Lee, S. S., Han, S. H., Sherchan, B. & Panakkal, J. J. Polydeoxyribonucleotide and polynucleotide improve tendon healing and decrease fatty degeneration in a rat cuff repair model. Tissue Eng. Regen. Med. 18(6), 1009–1020 (2021).
Diebold, G., Lam, P., Walton, J. & Murrell, G. A. C. Relationship between age and rotator cuff retear: A study of 1600 consecutive rotator cuff repairs. J. Bone Joint Surg. Am. 99(14), 1198–1205 (2017).
Bedi, A. et al. Diabetes mellitus impairs tendon-bone healing after rotator cuff repair. J. Shoulder Elbow Surg. 19(7), 978–988 (2010).
Centers for disease control and prevention. National diabetes statistics report website. https://www.cdc.gov/diabetes/data/statistics-report/index.html. Accessed (April 18, 2022).
Cho, N. S., Moon, S. C., Jeon, J. W. & Rhee, Y. G. The influence of diabetes mellitus on clinical and structural outcomes after arthroscopic rotator cuff repair. Am. J Sports Med. 43(4), 991–997 (2015).
Gumucio, J. P. et al. Aging-associated exacerbation in fatty degeneration and infiltration after rotator cuff tear. J. Shoulder Elbow Surg. 23(1), 99–108 (2014).
Oh, J. H. et al. Prognostic factors affecting anatomic outcome of rotator cuff repair and correlation with functional outcome. Arthroscopy. 25(1), 30–39 (2009).
Altavilla, D. et al. Activation of adenosine A2A receptors restores the altered cell-cycle machinery during impaired wound healing in genetically diabetic mice. Surgery. 149(2), 253–261 (2011).
Galeano, M. et al. Polydeoxyribonucleotide stimulates angiogenesis and wound healing in the genetically diabetic mouse. Wound Repair Regen. 16(2), 208–17 (2008).
Kang, S. H. et al. Polydeoxyribonucleotide improves tendon healing following achilles tendon injury in rats. J. Orthop. Res. 36(6), 1767–1776 (2018).
Giarratana, L. S. et al. A randomized double-blind clinical trial on the treatment of knee osteoarthritis: the efficacy of polynucleotides compared to standard hyaluronian viscosupplementation. Knee. 21(3), 661–668 (2014).
Vanelli, R., Costa, P., Rossi, S. M. & Benazzo, F. Efficacy of intra-articular polynucleotides in the treatment of knee osteoarthritis: a randomized, double-blind clinical trial. Knee Surg. Sports Traumatol. Arthrosc. 18(7), 901–907 (2010).
Plate, J. F. et al. Advanced age diminishes tendon to-bone healing in a rat model of rotator cuff repair. Am. J. Sports Med. 42(4), 859–868 (2014).
Beason, D. P. et al. Rat rotator cuff tendon-to-bone healing properties are adversely affected by hypercholesterolemia. J. Shoulder Elbow Surg. 23(6), 867–872 (2014).
Kim, H. M., Galatz, L. M., Lim, C., Havlioglu, N. & Thomopoulos, S. The effect of tear size and nerve on rotator cuff muscle fatty degeneration in a rodent animal model. J. Shoulder Elbow Surg. 21(7), 847–858 (2012).
Killian, M. L. et al. Chronic degeneration leads to poor healing of repaired massive rotator cuff tears in rats. Am. J. Sports Med. 43(10), 2401–2410 (2015).
Melamed, E., Beutel, B. G. & Robinson, D. Enhancement of acute tendon repair using chitosan matrix. Am. J. Orthop. (Belle Mead NJ). 44(5), 212–216 (2015).
Seo, S. J., Park, J. Y., Park, H. J. & Hwang, J. T. Protocatechuic acid impacts rotator cuff healing and reduces fatty degeneration in a chronic rotator cuff tear model in rats. Clin. Shoulder Elb. 25(1), 5–14 (2022).
Derakhshanian, H., Javanbakht, M. H., Zarei, M., Djalali, E. & Djalali, M. Vitamin D increases IGF-I and insulin levels in experimental diabetic rats. Growth Horm. IGF Res. 36, 57–59 (2017).
Ahmed, A. S. et al. Type 2 diabetes impairs tendon repair after injury in a rat model. J. Appl. Physiol. 113(11), 1784–91 (2012).
Squadrito, F. et al. The effect of PDRN, an adenosine receptor A2A agonist, on the healing of chronic diabetic foot ulcers: results of a clinical trial. J. Clin. Endocrinol. Metab. 99(5), E746–E753 (2014).
Gennero, L. et al. Protective effects of polydeoxyribonucleotides on cartilage degradation in experimental cultures. Cell Biochem. Funct. 31(3), 214–227 (2013).
Guizzardi, S. et al. Effects of heat deproteinate bone and polynucleotides on bone regeneration: An experimental study on rat. Micron. 38(7), 722–728 (2007).
Charousset, C., Zaoui, A., Bellaïche, L. & Piterman, M. Does autologous leukocyte-platelet-rich plasma improve tendon healing in arthroscopic repair of large or massive rotator cuff tears?. Arthroscopy. 30(4), 428–435 (2014).
Sharma, P. & Maffulli, N. Biology of tendon injury: healing, modeling and remodeling. J. Musculoskelet. Neuronal Interact. 6(2), 181–90 (2006).
Park, J. Y., Lhee, S. H., Oh, K. S., Moon, S. G. & Hwang, J. T. Clinical and ultrasonographic outcomes of arthroscopic suture bridge repair for massive rotator cuff tear. Arthroscopy. 29(2), 280–289 (2013).
Zumstein, M. A., Jost, B., Hempel, J., Hodler, J. & Gerber, C. The clinical and structural long-term results of open repair of massive tears of the rotator cuff. J. Bone Joint Surg. Am. 90(11), 2423–2431 (2008).
Gimbel, J. A. et al. Supraspinatus tendon organizational and mechanical properties in a chronic rotator cuff tear animal model. J. Biomech. 37(5), 739–749 (2004).
Liu, X., Manzano, G., Kim, H. T. & Feeley, B. T. A rat model of massive rotator cuff tears. J. Orthop. Res. 29(4), 588–595 (2011).
Edelstein, L., Thomas, S. J. & Soslowsky, L. J. Rotator cuff tears: what have we learned from animal models?. J. Musculoskelet. Neuronal Interact. 11(2), 150–162 (2011).
Lovic, D. et al. The growing epidemic of diabetes mellitus. Curr. Vasc. Pharmacol. 18(2), 104–109 (2020).
Acknowledgements
This study was presented as a podium in 2019 ISAKOS and as an e-poster in 2019 ICSES. And this study had been accepted as an e-poster in 2020 AAOS, but it was cancelled due to COVID 19.
Design registration
Rat muscle fixation device (KR Design Registration 30-0854878).
Author information
Authors and Affiliations
Contributions
S.-J. S. and S.-S. L. are co-first authors and equally contributed to this work. S.-J. S. performed the ELISA assay and wrote the method section and the results section. S.-S. L. wrote the discussion section and reviewed the manuscript. J.-T. H. and S. H. H. are co-corresponding authors and equally contributed this work. J.-T. H. designed this study and performed all the procedures and wrote the initial manuscript and reviewed the manuscript. S. H. H. also designed this study and performed all the histological evaluation and wrote the initial manuscript and reviewed the manuscript. J.-R. L. is a co-author. J.-R. L. managed the experimental rats and participated in the surgical procedures and review the manuscript. S. K. is a co-author. S. K. managed the experimental rats and participated in the surgical procedures and review the manuscript.
Corresponding authors
Ethics declarations
Competing interests
Jung-Taek Hwang have received the National Research Foundation of Korea (NRF) Grant. This research was supported by Basic Science Research Program through the National Research Foundation of Korea (NRF) funded by the Ministry of Science, ICT (NRF-2016R1C1B2007014). Also, this research was supported by Hallym University Medical Center Research Fund which Jung-Taek Hwang had received. This research was supported by "Regional Innovation Strategy (RIS)" through the National Research Foundation of Korea(NRF) funded by the Ministry of Education (MOE) (2022RIS-005) which Sang-Soo Lee had received, too. Su-Jung Seo, Sang Hak Han, Jae-Ryeong Lee and Sungsu Kim declare no competing interests.
Ethical approval
The present study is reported in accordance with ARRIVE guidelines.
Human and animal rights
The present animal study was performed in accordance with the guidelines and approval of the Institutional Animal Care and Use Committees (IACUCs) of Hallym University (Hallym-2014-99)3.
Additional information
Publisher's note
Springer Nature remains neutral with regard to jurisdictional claims in published maps and institutional affiliations.
Rights and permissions
Open Access This article is licensed under a Creative Commons Attribution-NonCommercial-NoDerivatives 4.0 International License, which permits any non-commercial use, sharing, distribution and reproduction in any medium or format, as long as you give appropriate credit to the original author(s) and the source, provide a link to the Creative Commons licence, and indicate if you modified the licensed material. You do not have permission under this licence to share adapted material derived from this article or parts of it. The images or other third party material in this article are included in the article’s Creative Commons licence, unless indicated otherwise in a credit line to the material. If material is not included in the article’s Creative Commons licence and your intended use is not permitted by statutory regulation or exceeds the permitted use, you will need to obtain permission directly from the copyright holder. To view a copy of this licence, visit http://creativecommons.org/licenses/by-nc-nd/4.0/.
About this article
Cite this article
Seo, SJ., Lee, SS., Hwang, JT. et al. Effect of polydeoxyribonucleotide and polynucleotide on rotator cuff healing and fatty infiltration in a diabetic rat model. Sci Rep 14, 20623 (2024). https://doi.org/10.1038/s41598-024-71206-8
Received:
Accepted:
Published:
Version of record:
DOI: https://doi.org/10.1038/s41598-024-71206-8














