Abstract
This study presents a generalized integral residual power series method (GIRPSM) for finding semi-analytical solutions to the nonlinear fractional Zakharov–Kuznetsov equation (FZKE). This method combines the residual power series method with a new general integral transform to improve accuracy and convergence. The effectiveness of this method is demonstrated by the robustness of the numerical results. The results demonstrate that GIRPSM is highly accurate and reliable in solving nonlinear fractional partial differential equations, including those modeling plasma wave propagation.
Similar content being viewed by others
Introduction
Differential equations whether ordinary or partial are considered one of the great importance branches of natural science. Recently, at the end of the seventeenth century, the fractional differential equations (FDEs) have appeared. The FDEs are the general extension of calculus from integer order to arbitrary order. It has been demonstrated that fractional calculus’s primary benefit is its great ease of use in characterizing the memory and genetic characteristics of many phenomena; also, traditional calculus is merely a limited subset of fractional calculus. Liouville1, Riemann2, Caputo3, Miller and Ross4, Podlubny5, and numerous more pioneers worked together to lay the mathematical groundwork for fractional degree derivatives.
Fractional calculus theory has been used to chaos theory6, signal processing7, electrodynamics8, optics9, and biology10,11 and has been connected to real-world initiatives. The nature and behavior of nonlinear issues that occur in daily life are crucially described by the analytical and numerical solution of differential equations that result from the fractional order in the aforementioned phenomena12,13,14,15,16,17,18,19,20,21,22,23. Several methods are used to study the FZK equations such as the variational iteration method24, the homotopy perturbation method25, the fractional sub-equation method26, the residual power series method (RPSM)27,28,29,30,31, the Sumudu transform32, the Laplace–Adomian decomposition method33, the q-homotopy analysis transform method34, the modified auxiliary equation method35, the Shehu transform36, the optimal auxiliary function method37,38,39 and the non-polynomial spline method40,41,42,43.
The main objective of this paper is to develop and apply the GIRPSM to obtain approximate analytical solutions to the FZKE:
where B is dispersion coefficient, α is the order of the fractional derivative and \(n\) is nonlinearity indexed positive integer number. The evolution term is represented by the first term, the wedge term by the second, and the dispersion term by the third and fourth terms taken together. Dispersion and nonlinearity are delicately balanced to produce isolated waves. The novelty of this work lies in the development and application of GIRPSM as a new semi-analytical technique for finding a new solution to the FZKE equation, a nonlinear fractional partial differential equation of great physical importance. The motivation behind proposing the GIRPSM method for solving the FZKE is the need for an efficient and accurate method to deal with the complexity of nonlinear fractional equations.
The advantages of this method are that it efficiently reduces the approximation error by correcting the residual at each step, allowing for highly accurate solutions even with low-degree truncation of series. The GIRPSM method handles nonlinear and fractional equations, making it versatile for a wide range of scientific and engineering problems. GIRPSM provides a clear solution in the form of a series rather than purely numerical data points, providing a better understanding of the behavior of the solution.
The physical application of the Fractional Zakharov–Kuznetsov Equation (FZKE) is focused on modeling nonlinear electromagnetic wave propagation in magnetized plasmas, particularly in systems with memory or nonlocal interactions. The incorporation of fractional derivatives enhances the model’s ability to capture realistic physical behaviors that cannot be represented using classical (integer-order) models.
This paper includes an expanded history of fractional calculus in Section “Preliminaries”. Section “Constructing the GIRPSM for the FZKE” describes the steps of GIRPSM for FZKE. The error norms are presented in Section “The error norms”. Numerical examples are presented in Section “Numerical Examples”. Section “Discussions” presents the discussions and conclusions presented in Section “Conclusion”.
Preliminaries
We will go over a few definitions of fractional calculus in this section.
Definition 1
(5) The Riemann–Liouville fractional integral of order \(\alpha\) is given as:
Definition 2
(5) The \(\alpha^{{th{ }}}\) fractional derivative of order Caputo time of \(H\left( {x,t} \right)\) is defined as:
Definition 3
For t \(\ge\) 0, \(\varphi \left( s \right) \ne 0\) and q(s) are positive real function, the new general integral transform \({\text{\rm T}}\) of integrable function h(t) define by the form44,45,46,47:
The following are some fundamental characteristics of the new general integral transform.:
(i) \({\text{\rm T}}[{ }D_{t}^{n\alpha } {\text{h}}\left( {{\text{x}},{\text{t}}} \right)] = q^{n\alpha } \left( s \right) {\text{H}}\left( {{\text{x}},{\text{s}}} \right) - \varphi \left( s \right)\mathop \sum \limits_{k = 0}^{n - 1} q^{{\left( {n - k} \right)\alpha - 1}} \left( s \right)D_{t}^{k\alpha } h\left( {x,0} \right),\quad n - 1 < \alpha \le n,{\text{n}} \in {\text{\rm Z}}^{ + } .\)
(ii) \({\text{\rm T}}\left[ {t^{\alpha } } \right] = \frac{\varphi \left( s \right)}{{q^{\alpha + 1} \left( s \right)}} {\Gamma }\left( {1 + \alpha } \right),\alpha > 0\)
(iii) \({\text{\rm T}}\left[ {\sin \left( {{\text{at}}} \right)} \right] = \frac{a \varphi \left( s \right)}{{q^{2} \left( s \right) + a^{2} }},\)
(iv) \({\text{\rm T}}\left[ {\cos \left( {{\text{at}}} \right)} \right] = \frac{a \varphi \left( s \right) q\left( s \right)}{{q^{2} \left( s \right) + a^{2} }},\)
(v) \({\text{\rm T}}\left[ {e^{at} } \right] = \frac{\varphi \left( s \right)}{{q\left( s \right) - a}}.\)
Theorem 1
(47) Suppose that \(H\left( {x,y,s} \right) = T\left( {h\left( {x,y,s} \right)} \right)\) has a fractional power series as:
then \(f_{n} \left( {x,y} \right) = D_{t}^{n\alpha } u\left( {x,y,0} \right)\) where \(D_{t}^{n\alpha } \;{\text{is}}\;{\text{the}}\;{\text{product}}\;{\text{of}}\;D_{t}^{\alpha } \left( {n - times} \right)\).
Proof
See47.
Constructing the GIRPSM for the FZKE
In this part, we demonstrate the FZKE as follows:
The main idea of GIRPSM can be explained into the following steps:
Step 1 Apply a new general integral transform to Eq. (2)
Using definition 3 we get:
Multiply Eq. (4) by \(q^{ - \alpha } \left( s \right)\) we get
Step 2 The transformed function can be written using the following RPSM expansion:
Equation (6) is a Mittag–Leffler fractional series, specifically designed for Caputo fractional derivatives. This equation generalizes Taylor series and is a natural fit with the memory structure of fractional operators.
The kth-truncated series (6) take the form:
The new general integral residual function defines as:
Equation (8) yields a residual function \(Res\left( {x,y ,s} \right)\) that guarantees a gradually decreasing residual value, as a fixed-point iteration.
The kth-new general integral residual function defines as:
Substituting Eq. (7) into Eq. (9), and multiplying the resulting equation by \({q}^{k\alpha +1}\left(s\right)\), we get
We can find the coefficient function \(f_{n} \left( {x,y} \right)\) by solving the following system:
The error norms
To investigate the accuracy and applicability of GIRPSM, we presented numerical outcomes through an error norms which defined in48 as follows:
\(where E_{j} = \left| {u_{i} \left( {Exact} \right) - u_{i} \left( {Approximate} \right)} \right|\).
Numerical examples
Example 1
Examine the fractional Zakharov–Kuznetsov equation that follows.
with the initial condition:
where \(\rho\) is a constant representing wave speed.
The exact solution at \(\alpha = 1\) is
We will start the present method by taking the initial value:
Substitute k = 1 into Eq. (11) to create the coefficient function \(f_{1} \left( {x,y} \right)\) as:
Then, we get
Substitute k = 2 into Eq. (11) to create the coefficient function \(f_{2} \left( {x,y} \right)\) as:
Then, we get
Substitute k = 3 into Eq. (11) to create the coefficient function \(f_{3} \left( {x,y} \right)\) as:
Then, we get
The approximate solution with GIRPS take the form:
Example 2
Consider the fractional Zakharov -Kuznetsov Eq. (2) at n = 3, B = 2.
with the initial condition
In the classical case, the exact solution is
Repeat the same steps as in the first example1 and start with the initial value:
The coefficient functions take the form:
The approximate solution with GIRPSM take the form:
Discussions
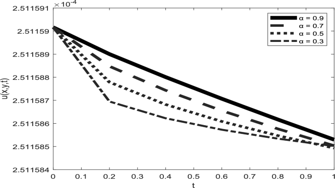
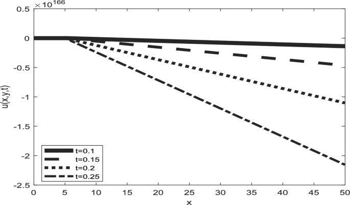
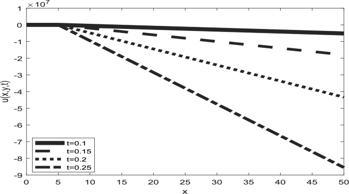
Table 1 presents a comparison between GIRPSM with q-HAShTM, VIM, FNDM, and q-HATM for example 1. Table 2 represents the absolute errors between the approximate and exact solutions across different values of the fractional order α, providing important insights into the performance of the GIRPSM for example 1. Table 3 shows the comparison between GIRPSM with q-HAShTM, FNDM, and q-HATM for example 2. The error magnitude generally decreases with increasing number of terms in the power series, confirming the method’s convergence behavior. Table 4 shows the absolute errors between the approximate and exact solutions across different values of the fractional order α, providing important insights into the performance of the GIRPSM for example 2. Tables 5 and 6 presents the error norms as a benchmark for the reliability of the used method and the q-HAShTM37 for the first and second examples. the q-HAShTM method is similar in its results to the other methods FNDM, and q-HATM. The tables highlight the superiority of the GIRPSM method over other methods, proving its accuracy and reliability. Figures 1 and 2 show the behavior of 3D solutions for example 1 and example 2. Figures 3 and 4 show the behavior of 2D solutions for example 1 and example at different α values. Figures 5 and 6 show the behavior of 2D solutions for example 1 and example 2 at different t values. From the previous results we find that GIRPSM has local accuracy and stability, but over long timescales, its reliability depends on the convergence of the series and its residual decay. This method does not automatically guarantee global stability without careful time-step management or control of series truncation. However, using adaptive techniques, GIRPSM can be reliably used over extended timescales in many practical problems. This series converges for all finite values of t but is slower for larger values of t or small α, as is the case with most series-based methods, especially for nonlinear problems. This method constructs the solution as a fractional power series with residual corrections, which converges locally near the starting point t = 0.
Conclusion
In this paper, GIRPSM was successfully applied to obtain approximate analytical solutions to the FZKE. The performance of GIRPSM is highly sensitive to the choice of initial approximation and fractional order and may not be as robust in boundary value problems with complex geometries or sharp transitions. Compared to other numerical methods, GIRPSM is a promising semi-analytical technique for solving fractional differential equations. The order of convergence of GIRPSM is typically exponential, especially for problems with smooth analytic solutions. This makes it a highly efficient method compared to traditional series or perturbation techniques, which often exhibit only linear or polynomial convergence. Future work could explore hybrid approaches that combine GIRPSM with numerical correction techniques to overcome convergence and domain limitations. Future work will extend this method to more complex non-homogeneous systems to enhance its versatility. By explicitly defining the residual and integral correction, other researchers can now apply GIRPSM directly to their nonlinear fractional models.
Data availability
Raw data supporting the findings of this study are available upon request from the corresponding author.
References
Liouville, J. Memoire sur quelques questions de geometrie et de mecanique, et sur un nouveau genre de calcul pour resoudre ces questions. J. Ecole. Polytech. 13, 1–69 (1832).
Riemann, G. F. B. Versuch Einer Allgemeinen Auffassung der Integration und Differentiation (Gesammelte Mathematische Werke, 1896).
Caputo, M. Elasticita e Dissipazione (Zanichelli, 1969).
Miller, K. S. & Ross, B. An Introduction to Fractional Calculus and Fractional Differential Equations (Wiley, 1993).
Podlubny, I. Fractional Differential Equations (Academic Press, 1999).
Lin, W. Global existence theory and chaos control of fractional differential equations. J. Math. Anal. Appl. 332, 709–726 (2007).
Li, Y., Liub, F., Turner, I. W. & Li, T. Time-fractional diffusion equation for signal smoothing. Appl. Math. Comput. 326, 108–116 (2018).
Nasrolahpour, H. A note on fractional electrodynamics. Commun. Nonlinear Sci. Numer. Simul. 18, 2589–2593 (2013).
Esen, A., Sulaiman, T. A., Bulut, H. & Baskonus, H. M. Optical solitons and other solutions to the conformable space–time fractional Fokas-Lenells equation. Optik 167, 150–156 (2018).
Veeresha, P., Prakasha, D. G. & Baskonus, H. M. New numerical surfaces to the mathematical model of cancer chemotherapy effect in Caputo fractional derivatives. Chaos 29, 013119 (2019).
Yousif, M. A., Baleanu, D., Abdelwahed, M., Azzo, S. M. & Mohammed, P. O. Finite difference β-fractional approach for solving the time-fractional FitzHugh–Nagumo equation. Alex. Eng. J. 125, 127–132 (2025).
Prakasha, D. G., Veeresha, P. & Baskonus, H. M. Residual power series method for fractional Swift-Hohenberg equation. Fractal Fract. 3, 9 (2019).
Arafa, A. A. M., Sayed, A. & Khalil, M. A non-integer variable order mathematical model of human immunodeficiency virus and malaria coinfection with time delay. Complexity 2019, 4291017 (2019).
Burqan, A., El-Ajou, A., Saadeh, R. & Al-Smadi, M. A new efficient technique using Laplace transforms and smooth expansions to construct a series solution to the time-fractional Navier-Stokes equations. Alex. Eng. J. 61, 1069–1077 (2022).
Saadeh, R., Burqan, A. & El-Ajou, A. Reliable solutions to fractional Lane-Emden equations via Laplace transform and residual error function. Alex. Eng. J. 61, 10551–10562 (2022).
Oqielat, M. N. et al. Laplace-residual power series method for solving time-fractional reaction–diffusion model. Fractal Fract. 7, 309 (2023).
El-Saka, H. A. A., Arafa, A. A. M. & Gouda, M. I. Dynamical analysis of a fractional SIRS model on homogenous networks. Adv. Differ. Equ. 2019, 144 (2019).
Adomian, G. A new approach to nonlinear partial differential equations. J. Math. Anal. Appl. 102, 420–434 (1984).
Liao, S. J. Homotopy analysis method and its applications in mathematics. J. Basic Sci. Eng. 5, 111–125 (1997).
He, J. H. Variation iteration method-a kind of non-linear analytic technique: some examples. Int. J. Non-linear Mech. 34, 699–708 (1999).
He, J. H. New interpretation of homotopy perturbation method. Int. J. Mod. Phys. B 20, 2561–2568 (2006).
Belgacem, F. B. & Silambarasan, R. Theory of natural transform. Math. Eng. Sci. Aerosp. 3, 99–124 (2012).
Kumar, D., Singh, J. & Kumar, S. Numerical computation of nonlinear fractional Zakharov–Kuznetsov equation arising in ion-acoustic waves. J. Egypt. Math. Soc. 22, 373–378 (2014).
Molliq, R. Y., Noorani, M. S. M., Hashim, I. & Ahmad, R. R. Approximate solutions of fractional Zakharov–Kuznetsov equations by VIM. J. Comput. Appl. Math. 233, 103–108 (2009).
Yıldırım, A. & Gülkanat, Y. Analytical approach to fractional Zakharov–Kuznetsov equations by He’s homotopy perturbation method. Commun. Theor. Phys. 53, 1005–1010 (2010).
Saha, S. R. & Sahoo, S. New exact solutions of fractional Zakharov–Kuznetsov and modified Zakharov–Kuznetsov equations using fractional sub-equation method. Commun. Theor. Phys. 63, 25 (2015).
Mahmood, B. A. & Yousif, M. A. A residual power series technique for solving Boussinesq-Burgers equations. Cogent Math. 4, 1279398 (2017).
Mahmood, B. A. & Yousif, M. A. A novel analytical solution for the modified Kawahara equation using the residual power series method. Nonlinear Dyn. 89, 1233–1238 (2017).
Mahmood, B. A. & Yousif, M. A. A numerical approach of fornberg-whitham equation using residual power series method. In International Conference on Advanced Science and Engineering (ICOASE) 369–373 (2018).
Yousif, M. A. & Mahmood, B. A. Construction of analytical solution for Hirota-Satsuma Coupled KdV equation according to time via new approach: Residual power series. AIP Adv. 11, 7 (2021).
Senol, M., Alquran, M. & Kasmaei, H. D. On the comparison of perturbation-iteration algorithm and residual power series method to solve fractional Zakharov–Kuznetsov equation. Results Phys/ 9, 321–327 (2018).
Prakash, A., Kumar, M. & Baleanu, D. A new iterative technique for a fractional model of nonlinear Zakharov–Kuznetsov equations via Sumudu transform. Appl. Math. Comput. 334, 30–40 (2018).
Shah, R., Khan, H., Baleanu, D. & Kumam, P. M. A novel method for the analytical solution of fractional zakharov–kuznetsov equations. Adv. Differ. Equ. 2019, 517 (2019).
Veeresha, P. & Prakasha, D. G. Solution for fractional Zakharov-Kuznetsov equations by using two reliable techniques. Chin. J. Phys. 60, 313–330 (2019).
Akram, G., Sadaf, M., Abbas, M., Zainab, I. & Gillani, S. R. Efficient techniques for traveling wave solutions of time-fractional Zakharov–Kuznetsov equation. Math. Comput. Simul. 193, 607–622 (2022).
Sartanpara, P. P. & Meher, R. A robust computational approach for Zakharov–Kuznetsov equations of ion-acoustic waves in a magnetized plasma via the Shehu transform. J. Ocean Eng. Sci. 8, 79–90 (2023).
Iqbal, A., Nawaz, R., Hina, H., Ahmad, A. G. & Emadifar, H. Utilizing the optimal auxiliary function method for the approximation of a nonlinear long wave system considering caputo fractional order. Complexity 1, 8357221 (2024).
Iqbal, A., Nawaz, R., Ashraf, R. & Fewster-Young, N. Extension of optimal auxiliary function method to nonlinear Sine Gordon differential equations. Partial Differ. Equ. Appl. Math. 10, 100735 (2024).
Nawaz, R. et al. A new extension of optimal auxiliary function method to fractional non-linear coupled ITO system and time fractional non-linear KDV system. Axioms 12, 881 (2023).
Yousif, M. A. et al. Advanced methods for conformable time-fractional differential equations: Logarithmic non-polynomial splines. Axioms 13, 551 (2024).
Yousif, M. A. & Hamasalh, F. K. The fractional non-polynomial spline method: Precision and modeling improvements. Math. Comput. Simul. 218, 512–525 (2024).
Vivas-Cortez, M. et al. Hyperbolic non-polynomial spline approach for time-fractional coupled KdV equations: A computational investigation. Symmetry 16, 1610 (2024).
Vivas-Cortez, M. et al. High-accuracy solutions to the time-fractional KdV–Burgers equation using rational non-polynomial splines. Symmetry 17, 16 (2025).
Jafari, H. A new general integral transform for solving integral equations. J. Adv. Res. 32, 133–138 (2021).
Akgül, A., Ülgül, E., Sakar, N., Bilgi, B. & Eker, A. New applications of the new general integral transform method with different fractional derivatives. Alex. Eng. J. 80, 498–505 (2023).
Khalouta, A. A new general integral transform for solving Caputo fractional-order differential equations. Int. J. Nonlinear Anal. Appl. 14, 67–78 (2023).
Khirsariya, S. R., Chauhan, J. P. & Rao, S. B. A robust computational analysis of residual power series involving general transform to solve fractional differential equations. Math. Comput. Simul. 216, 168–186 (2024).
Iqbal, M. K., Abbas, M. & Zafar, B. New quartic B-spline approximations for numerical solution of fourth order singular boundary value problems. Punjab Univ. J. Math. 52, 47–63 (2020).
Funding
Open access funding provided by The Science, Technology & Innovation Funding Authority (STDF) in cooperation with The Egyptian Knowledge Bank (EKB). Open access funding provided by The Science, Technology & Innovation Funding Authority (STDF) in cooperation with The Egyptian Knowledge Bank (EKB). The authors declare that no funds, grants, or other support were received during the preparation of this manuscript.
Author information
Authors and Affiliations
Contributions
S.A. and A.A. M. wrote the main manuscript text and Y.H., M. and I. S.I. prepared figures and tables. All authors reviewed the manuscript.
Corresponding authors
Ethics declarations
Competing interests
The authors declare no competing interests.
Additional information
Publisher’s note
Springer Nature remains neutral with regard to jurisdictional claims in published maps and institutional affiliations.
Rights and permissions
Open Access This article is licensed under a Creative Commons Attribution 4.0 International License, which permits use, sharing, adaptation, distribution and reproduction in any medium or format, as long as you give appropriate credit to the original author(s) and the source, provide a link to the Creative Commons licence, and indicate if changes were made. The images or other third party material in this article are included in the article’s Creative Commons licence, unless indicated otherwise in a credit line to the material. If material is not included in the article’s Creative Commons licence and your intended use is not permitted by statutory regulation or exceeds the permitted use, you will need to obtain permission directly from the copyright holder. To view a copy of this licence, visit http://creativecommons.org/licenses/by/4.0/.
About this article
Cite this article
Abdelhafeez, S.A., Arafa, A.A.M., Zahran, Y.H. et al. Analytical treatment of the fractional Zakharov–Kuznetsov equation via the generalized integral residual power series method. Sci Rep 15, 25657 (2025). https://doi.org/10.1038/s41598-025-09102-y
Received:
Accepted:
Published:
Version of record:
DOI: https://doi.org/10.1038/s41598-025-09102-y








