Abstract
Prenatal exposure to bisphenol A (BPA), a common endocrine disruptor, has been increasingly implicated in neurodevelopmental disorders, including autism spectrum disorder. This study explores the molecular mechanisms by which prenatal BPA exposure affects alternative RNA splicing in the prefrontal cortex and investigates the potential link between alternative RNA splicing and autism-related behaviors in rat offspring. Using RNA sequencing and high-resolution melting real-time PCR, we identified differentially alternative splicing events associated with autism candidate genes. Gene ontology and pathway analyses revealed significant enrichment of differentially alternative splicing genes and neurological pathways relevant to autism. BPA appears to act through autism-related transcription factors, affecting RNA-binding proteins. Altered expressions of these RNA-binding proteins influenced alternative RNA splicing events within key autism-related genes, implicating them in disrupted synaptogenesis. Behavioral analyses of offspring exposed to BPA revealed autism-associated traits, including hyperactivity, anxiety, and aggression, which correlated with the observed sex-specific alternative RNA splicing patterns. These findings suggest that BPA-induced alterations of transcription factors and RNA-binding proteins affect alternative RNA splicing and synaptic development, potentially contributing to autism pathophysiology. This research underscores the role of environmental factors in autism etiology and highlights the importance of awareness and preventive measures against prenatal BPA exposure.
Similar content being viewed by others
Background
Autism spectrum disorder (ASD) is a neurological and developmental disorder characterized by social communication and interaction deficits, repetitive patterns of behavior, and restricted interests1 with different levels of severity. Typically, the symptoms of ASD become apparent and can be diagnosed by assessing an individual’s developmental history and behavior before the age of two2. In the United States, the Centers for Disease Control and Prevention have estimated that 1 in 31 children by the age of eight are affected by ASD. Notably, this condition is at least four times more common in males than in females3. ASD symptoms show deficits in various functions, including executive functions4. Executive functions encompass mental skills such as working memory, flexible thinking, and self-control, which play a crucial role in social interactions, adapting to change, preventing emotional outbursts, and facilitating learning, all of which are areas where ASD individuals often experience challenges5. The executive function is mainly controlled by the prefrontal cortex6. A previous study by Pitskel et al. (2014) indicated that the prefrontal cortex in children with ASD contains a greater number of neurons and immature cells compared to non-ASD children7. This suggests a deficiency in cortical organization within the brains of individuals with ASD. The cause of ASD remains uncertain, but research suggests it is a multifactorial disorder influenced by both genetic8 and environmental factors9. Beyond genetic mutations, other mechanisms, including epigenetic, transcriptional, post-transcriptional, and translational regulations, have been implicated in the development of ASD10,11,12,13,14,15,16,17,18. Among post-transcriptional processes, alternative RNA splicing has emerged as a contributor to ASD pathophysiology19. Alternative splicing, which removes introns and joins exons to enhance gene expression complexity, is essential for cell differentiation, organism development, and particularly the development of the nervous system20,21. Disruptions in this process have been linked to increased susceptibility to ASD22,23. Walker et al. (2020) identified both expression quantitative trait loci and splice quantitative trait loci that are specific to human prenatal brain development, revealing that alternative splicing and gene expression vary significantly during different developmental stages24. Their analysis showed that the genetic risk for ASD is enriched in splice quantitative trait loci, suggesting that alternative splicing may contribute to ASD susceptibility. Chau et al. (2021) further emphasized the role of alternative splicing in ASD by showing that 65% of expressed genes exhibit differential isoform expression during brain development25. The largest isoform expression changes occur during neonatal periods, which are implicated in ASD pathogenesis. Leemput et al. (2014) demonstrated that alternative splicing is essential during in vitro cerebral cortex development, identifying thousands of spliced genes, including those associated with ASD26. Recent RNA-seq analyses of brain regions such as the prefrontal cortex and superior temporal gyrus27,28,29, and cerebellum28 from ASD individuals further underline the importance of splicing in ASD pathology30, with significant changes in splicing patterns observed compared to controls. Collectively, these findings highlight that alternative splicing plays a critical role in ASD, particularly during critical periods of brain development. Recent research has also suggested that environmental factors, particularly exposure to endocrine-disrupting chemicals such as bisphenol A (BPA), may disrupt the regulatory mechanisms of gene expression, including the alternative splicing process31,32. Several studies have explored BPA’s impact on alternative splicing both in vitro and in vivo. For instance, Kim et al. (2021) showed that RNA-seq analysis of human retinoblastoma Y79 cells at the transcriptomic level revealed significant alterations in alternative splicing events induced by low-dose BPA treatment (20–1000 µM)33. Similarly, a study by Zhang et al. (2019) demonstrated that daily exposure of mother mice to BPA from gestational day 1 to postnatal day 21 caused the upregulation of Snrnp40 and downregulation of Hnrnpu, both of which encode proteins essential for the RNA splicing process in the testis of male offspring, underscoring the potential influence of BPA on the splicing machinery during development34.
BPA is a commonly employed substance in producing epoxy resins and polycarbonate plastics. These materials are prevalent in a range of products, such as protective linings in plastic food containers, especially baby bottles, healthcare equipment, lacquers, pipes, steel drums, lotions, cleansers, nail polish, and toys. It is worth noting that BPA can also potentially contaminate both the air and soil35,36,37,38,39,40,41,42,43,44,45. The U.S. Food and Drug Administration has set the no-observed-adverse-effect level (NOAEL) for BPA at 5,000 µg/kg per day, taking into account the weight of pregnant mothers46. BPA exposure can occur through various routes, including inhalation, and contact with the integumentary system (skin and eyes). However, the primary and most common route is through the digestive system via ingestion. Interestingly, BPA can cross the placenta from mother to fetus during pregnancy, as found in amniotic fluid, umbilical cord blood, and fetal plasma47,48,49. Amniotic fluid has been observed to contain higher levels of BPA compared to the plasma of pregnant women, as reported in previous studies47,50,51. This elevated BPA concentration in the amniotic fluid is of particular concern due to its potential impact on various fetal systems, including the development of the nervous system. Notably, BPA can cross the blood-brain barrier52,53, posing a direct risk to neurological development54. Further evidence supporting the presence of BPA in the brain is provided by Geens et al. (2012), who detected BPA in brain tissue samples (0.91 ng/g) during autopsies of eleven individuals in 200255. Additionally, in a rat model, BPA was found in the frontal cortex and uterus of 344 female rats that received BPA at a concentration of 100 mg/kg body weight, with the concentration in the uterus notably 21% higher than that in the plasma56. These findings underscore the ability of BPA to access and accumulate in brain tissues, further emphasizing the potential risk it poses to neurodevelopment.
Many studies reported that BPA can increase the risk of ASD9,57,58,59,60,61,62,63. Interestingly, serum and urinary BPA in ASD children are significantly increased when compared to non-ASD children58,64,65. Furthermore, research has revealed that attention deficit hyperactivity disorder and disruptive behavior, which includes angry outbursts, irritability, oppositional behavior, noncompliant behavior, aggressive behavior, and anxiety66, are associated with elevated concentrations of BPA in the urine of children67 as well as in maternal urine during pregnancy68. In addition, our studies found that exposure to BPA during embryogenesis exhibited ASD-related social behavior deficit in the offspring sex-specifically, which might be because of the dysregulation of corticogenesis during the embryonic stage62, suggesting an association between BPA and ASD. Moreover, our previous study has shown that prenatal BPA exposure causes alteration in transcriptome profiles in the frontal cortex of offspring, and these changes were found to be associated with ASD susceptibility59.
Exposure to BPA has been associated with disruptions in alternative splicing, which may impact neurodevelopmental pathways and contribute to disorders like ASD. However, while studies have shown links between BPA exposure and alternative splicing in various tissues, the specific effects of prenatal BPA exposure on alternative splicing in the prefrontal cortex remain unclear. In this study, we have investigated the impact of prenatal BPA exposure on AS patterns in the prefrontal cortex and its connection to ASD-related behaviors in rat offspring. Our approach involves several steps: First, we conducted RNA sequencing to identify differentially alternative splicing (DAS) events, which were subsequently validated using high-resolution melting (HRM) real-time PCR. Next, we sought to determine the association between DAS and ASD by comparing the DAS list with known ASD candidate genes and DAS events observed in ASD individuals using hypergeometric distribution analysis. We also utilized DAS data to predict potential associated diseases, functions, pathways, and network interactions using Ingenuity Pathway Analysis software69. Furthermore, we assessed the effects of prenatal BPA exposure on ASD-related repetitive, anxiety, and aggressive behaviors. Finally, we delved into the correlation between DAS patterns and behavior test results. Our investigation aims to reveal the influence of prenatal BPA exposure on alternative splicing events and their implications for ASD-related behaviors. This knowledge contributes to a deeper understanding of the link between prenatal BPA exposure and ASD, thereby emphasizing the need to raise awareness about BPA usage and the potential for developing preventive measures in the future.
Method
Animal husbandry and treatment
A schematic diagram illustrating the overall study design is presented in Fig. 1. All animals were obtained from the National Laboratory Animal Center (NLAC) and housed by Chulalongkorn University Laboratory Animal Center (CULAC) under standard temperature (21 ± 1 °C) and humidity (30–70%) conditions in a 12-h light/dark cycle with ad libitum feeding of food and RO-UV water. The protocol was previously described by Thongkorn et al. (2019)57. Briefly, after mating of eight-week female and male Wistar Furth rats, female rats were divided into two groups: the BPA treatment group and the vehicle control group. BPA (Sigma-Aldrich, Missouri, USA) stock solution was prepared by dissolving BPA in absolute ethanol at a concentration of 250 mg/ml. For treatment, the stock solution was diluted in corn oil to achieve a final dose of 5,000 µg/kg of maternal body weight, which was administered daily via intragastric gavage from gestational day 1 until parturition. For the vehicle control group, the same volume of absolute ethanol that was used in the BPA treatment was mixed in corn oil and administered in the same manner. BPA treatment and vehicle control female rats were housed in ventilated cages separately with no plastic enrichment. Animal protocols were approved by Chulalongkorn University Animal Care and Use Committee, Chulalongkorn University (animal use protocols numbers: 1673007, 1773011, 2073011, and 2273007R1). We confirm that all experiments were performed in accordance with the relevant guidelines and regulations. In addition, the animal experiments were carried out in compliance with the ARRIVE guidelines.
Prefrontal cortex dissection
Postnatal day 1 (PND1) rat pups were deeply anesthetized by intraperitoneal injection of sodium pentobarbital and euthanized by decapitating on ice. The brain was removed from the skull and placed into a pre-chilled petri dish filled with ice-cold, freshly prepared 1X HBSS (Invitrogen, Massachusetts, USA) containing 30 mM glucose (Sigma-Aldrich, Missouri, USA), 2 mM HEPES (GE Healthcare Bio-Sciences, Massachusetts, USA), and 26 mM NaHCO3 (Sigma-Aldrich, Missouri, USA). The prefrontal cortex was identified and dissected under the Nikon SMZ18 Stereo Microscope (Nikon, Tokyo, Japan). For RNA isolation, the prefrontal cortex was collected in the microtube filled with RNAlater (Ambion, Texas, USA) and stored at − 80 °C until use.
RNA isolation
For RNA isolation, the prefrontal cortex was extracted and purified using the mirVana miRNA Isolation Kit (Ambion, Texas, USA) as the manufacturer’s protocol. Briefly, prefrontal cortex tissues were lysed in a denaturing lysis buffer. Then, the prefrontal cortex lysates were extracted using acid-phenol:chloroform extraction. The aqueous phase was removed into the new tube for RNA purification. Ethanol was added to the samples, and RNA was captured in a filter cartridge and eluted with a low ionic-strength solution. RNA content was measured using a NanoDrop spectrophotometer (Thermo Fisher Scientific, Massachusetts, USA), and RNA integrity was measured by Agilent 2100 BioAnalyzer (Agilent Technologies, California, USA).
Transcriptome profiling analysis and alternative RNA splicing event quantification
RNA-seq data from our transcriptome profiling analysis of prefrontal cortex isolated from rat offspring prenatally exposed to BPA (n = 6 pups from independent litters; 3 males and 3 females) or vehicle control (n = 6 pups from independent litters; 3 males and 3 females) were deposited in the NCBI GEO DataSets database (accession number GSE229073)59. In brief, RNA sequencing of the prefrontal cortex was performed by BGI Genomics Co., Ltd., China, using the Illumina HiSeq 4000 next-generation sequencing platform with 4 G reads (Illumina, California, USA) as previously described59. Clean reads were aligned to the rat reference genome Rnor_6.0 (RefSeq ID: 1174938) using STAR70, a splice-aware aligner, to ensure accurate mapping across exon-exon junctions. Alternative splicing events were identified, which classifies them into five types: SE, 5SS, 3SS, MXE, and RI. For each splicing event, inclusion levels were calculated, and DAS events between the BPA-treated group and the control group were identified. Events with a p-value and FDR less than 0.05 were considered statistically significant. Alternative splicing of males control, males BPA, females control, and females BPA were provided in Table S1.
High-resolution melting (HRM) real-time PCR
RNA was reversed to cDNA using a RevertAid First Strand cDNA Synthesis Kit (Thermo Fisher Scientific, Massachusetts, USA) following the manufacturer’s protocol. Briefly, a 0.5 µg total RNA was mixed with 1 µL random hexamer primer and nuclease-free water was added to make a total volume of 12 µl, then incubated at 65 °C for 5 min. Then, 4 µL of 5X Reaction Buffer, 1 µL of RiboLock RNase Inhibitor, 2 µL of 10 mM dNTP Mix, and 1 µL of RevertAid M-MuLV RT were added, making 20 µL total volume. The solution was incubated at 25 °C for 5 min, followed by 42 °C for 60 min, then 70 °C for 5 min to terminate the reaction. cDNA was diluted 1:5 before use to make the concentration of 5 µg/mL. To design primers used in this study, the gene sequence was obtained from Ensembl71, primers were designed using the Primer3 software72, and the specificity of the primer was confirmed using the in-silico PCR tool in UCSC Genome Browser73. The sequences of the primers are provided in TableS2. HRM real-time PCR was performed using Precision Melt Supermix for HRM Analysis (Bio-rad Laboratories, California, USA) according to the manufacturer’s instructions. In brief, 1 µL of cDNA was mixed with 5 µL of Precision melt supermix, a forward primer, a reverse primer, and nuclease-free water in a total of 10 µL reaction, triplicate for each sample. Reactions were incubated in QuantStudio™ 5 Real-Time PCR System (Thermo Fisher Scientific, Massachusetts, USA). The incubation conditions are as follows: an initial denaturing step at 95 °C for 15 min, an annealing and extension step at 95 °C for 10 s and 60 °C for 30 s for 40 cycles, and a melting curve analysis step at 65 to 95 °C. For HRM real-time PCR, the percentage of the peak height from the melting curve analysis of each product was used for calculation.
Gel electrophoresis, DNA extraction, and Sanger sequencing of HRM products
To confirm the identity of DAS products identified by HRM real-time PCR, PCR products were subjected to gel electrophoresis, followed by DNA extraction and Sanger sequencing. HRM-amplified PCR products were loaded onto a 2% agarose gel (Invitrogen, Massachusetts, USA) and run at 90 V for 60 min. A GeneRuler 100 bp DNA Ladder (Thermo Fisher Scientific, Massachusetts, USA) was used to estimate the size of the PCR products. After electrophoresis, the gel was visualized under UV light to confirm that the products matched the expected sizes. Bands corresponding to the expected PCR product size were excised from the gel using a x-tracta gel extraction tool (Merck, New Jersey, USA) under UV light. DNA was extracted from the gel slices using a NucleoSpin Gel and PCR clean-up (MACHEREY-NAGEL, North Rhine-Westphalia, Germany), following the manufacturer’s protocol. Briefly, gel slices were dissolved in buffer NTI at 50 °C, and the DNA was bound to a silica membrane. After washing with buffer NT3, DNA was eluted in 30 µL of buffer NE. Purified PCR products were sequenced using the Sanger method. Sequencing reactions were performed using the same primers as in the initial HRM real-time PCR and sent to a commercial sequencing service (Macrogen, Korea). Sequences were analyzed using Chromas Lite (Technelysium Pty Ltd., Queensland, Australia) and compared to reference sequences via the NCBI BLAST tool to confirm the identity of the differentially spliced products.
Prediction of biological functions, disorders, canonical pathways, and interactome networks associated with DAS
The list of DAS from males, females, and both sexes was first uploaded to Ingenuity Pathway Analysis (QIAGEN Inc., Hilden, Germany)69 to predict diseases and functions, canonical pathways, and networks significantly associated with DAS. P-values are determined using Fisher’s exact test; a p-value of < 0.05 was considered statistically significant69.
Identification of ASD-related transcription factors and BPA-responsive RBPs
To identify the ASD-related TF’s targets, which are BPA-responsive RBPs, the list of BPA-responsive and ASD-related TF was obtained from Kanlayaprasit et al. (2021)59. The list of TF’s target was obtained from TRANSFAC Curated from the Harmonizome database74, then overlapped with the list of RBP genes, which was obtained from the RBPDB database75 using the Venny 2.1 website76. To identify BPA-responsive RBP, a list of RBP’s target genes was obtained from the oRNAment database77, then overlapped with a list of significant DAS from the prefrontal cortex of rat offspring.
Association analysis between DAS genes and ASD
To identify ASD-related DAS genes, we overlapped DAS genes from RNA sequencing with ASD candidate genes obtained from the SFARI database78 and DAS genes from ASD individuals compared to TD controls79 using the Venny 2.176. The significant associations between DAS genes in the prefrontal cortex of rat pups prenatally exposed to BPA and ASD candidate genes from SFARI or DAS genes from ASD individuals’ blood were determined using the hypergeometric distribution calculator in the Keisan Online Calculator package80. A hypergeometric p-value of < 0.05 was considered statistically significant.
Synaptogenesis assay
Synaptogenesis of primary prefrontal cortical cells was performed according to Thongkorn et al. (2023)60. In brief, the prefrontal cortex was dissected and kept in an ice-cold dissection medium. Then, the medium was removed, and 2.5% w/v trypsin solution (Thermo Fisher Scientific, Massachusetts, USA) was added to digest the tissue for 20 min at 37 °C, followed by adding 1% DNase I solution (Sigma-Aldrich, Missouri, USA) to the tissue for 5 min at room temperature. The tissue was washed with a dissection medium twice and resuspended in the plating medium for cell dissociation by trituration using a fire-polished glass pasture pipette. Primary prefrontal cortical cells were counted and seeded in a 35-mm cell culture dish with a 22-mm coverslip pre-coated with poly-L-lysine (Sigma-Aldrich, Missouri, USA). The culture was incubated at 37 °C with 5% CO2 for 4 h. The plating medium was then replaced with a maintenance medium with cytosine arabinoside (Sigma-Aldrich, Missouri, USA). The half of the maintenance medium was replaced with fresh maintenance medium every three days for a total of 14 days. Matured neurons grown on the coverslips were washed with ice-cold PBS and fixed with 4% paraformaldehyde in PBS for 15 min, then washed with PBS three times and blocked with 3% BSA (Capricorn Scientific, Ebsdorfergrund, Germany) for 30 min at room temperature. The cells were immunostained with rabbit anti-Syn1 (ab8; Abcam, Cambridge, UK), mouse anti-Psd95 (ab2723; Abcam, Cambridge, UK), and chicken anti-Map2 (ab5392; Abcam, Cambridge, UK) antibodies at 4 °C overnight, followed by donkey anti-rabbit Alexa 647 (ab150063; Abcam, Cambridge, UK), donkey anti-mouse Alexa 488 (ab150109; Abcam, Cambridge, UK), and donkey anti-chicken Alexa 405 (ab175675; Abcam, Cambridge, UK) secondary antibodies at room temperature for 1 h. The coverslip was mounted to a glass slide using ProLong Diamond Antifade reagent (Invitrogen, Massachusetts, USA). The fluorescent signal was captured using an LSM800 confocal laser scanning microscope (Carl Zeiss, Oberkochen, Germany) with ZEN Blue software (Carl Zeiss, Oberkochen, Germany). The co-localization of Syn1 and Psd95 was measured using Imaris software (Bitplane, Belfast, UK).
Behavioral tests
All behavioral tests were conducted in a quiet room. Rats were placed in the testing area one hour prior to testing to allow for habituation. Testing equipment was cleaned with 70% ethanol before and after each session. All experiments were video-recorded for subsequent analysis.
Open field and spray-induced grooming test
Open field and artificial grooming tests were conducted in open field arena. The arena (size 50 × 50 cm) was divided into 16 small squares (4 × 4). Four center squares were considered the center zone, and the other 12 squares were considered the outer zone. Rat aged 31–32 days was placed in the middle of the arena and allowed to explore the arena freely for 10 min. The video was recorded during the test for subsequent analysis using the ToxTrac program81 including total distance, average speed, average accel, mobility rate, explored area, frozen event, and total time frozen. After 10 min, an artificial grooming test was performed. The rat was lightly water-sprayed with room-temperature deionized water from a sprayer on the dorsal part of the rat (approximately 20 cm in length). In brief, a grooming bout was defined as starting from a period of no grooming, continuing through a sequence of grooming activities (such as paw licking, nose/face grooming, head washing, body grooming/scratching, leg licking, and tail/genital grooming), and ending with a return to no grooming, which was counted as one bout.
Satellite box test
To assess exploration behavior, the protocol was previously described82. Rat aged 73–74 days was placed in a chamber with a satellite box attached. Firstly, the rat was habituated in front of the entrance of the satellite box for 5 min. The entrance to the satellite box was then opened, and the rat was allowed to enter the satellite box for 30 min. The latency of the first entrance and the number of entrances will be measured.
Elevated plus maze test
To assess anxiety-like behavior, the protocol was previously described by Walf et al. (2007)83. Briefly, an elevated plus-maze was performed in a custom-made plus-shaped maze from white acrylic with two opposite closed arms and two opposite open arms, which are elevated 50 cm above the ground. The closed arms (10 × 50 cm) are closed with 55 cm walls. A rat aged 50–51 days was placed in the middle of the maze facing opposite sides from the experimenter, and the rat was allowed to move freely in the maze for 5 min. For measurement, time spent in each arm and the number of entering each arm will be measured from recorded video.
Dominant tube test
To investigate aggressive behavior, a dominant tube test was performed as described by Fan et al. (2019)84. For the habituation phase (days 1 and 2), the rat was trained to familiarize itself with walking through two open-end and transparent tubes (50 cm) custom-made for rat size with a gate in the middle 10 times each day. On test day, two sex-matched rats with different treatments (BPA and control), aged 47–48 days, were placed on opposite sides of the tube. Rats from different treatment groups were housed in separate cages to prevent cross-contamination and prior interactions between different groups. Then, the rat moved to the middle of the tube, the gate was removed, and the rats approached each other. The dominant rat went forward while the inferior rat was forcefully gone backward and out of the tube. Repeat 10 times in total.
Statistical analysis
Statistical analyses were performed using SPSS software version 2885. Data were first assessed for normality using the Shapiro-Wilk test. Statistical differences between the two groups were evaluated using a two-tailed Student’s t-test. A p-value < 0.05 was considered statistically significant. Hypergeometric distribution analysis was conducted using the Hypergeometric Distribution Calculator in the Keisan Online Calculator program80 to determine the association between two sets of genes. P-value < 0.05 is considered statistically significant. Correlation analysis was conducted using Pearson’s correlation to determine the association between the inclusion and skipping counts (IC and SC) patterns of DAS genes obtained from HRM real-time PCR and the observed changes in behaviors.
Results
Prenatal BPA exposure changes the alternative splicing pattern of the prefrontal cortex in a sex-dependent manner
To investigate the alteration of alternative splicing in the prefrontal cortex prenatally exposed to BPA of rat’s offspring, according to the study of Kanlayaprasit et al. (2021)59, a BPA at a concentration of 5,000 ug/kg of maternal body weight, which is the amount equal to human NOAEL was given to a female rats by oral gavage daily from gestational day 1 until parturition. Prefrontal cortex from males and females were pooled and used in RNA sequencing analysis to identify DAS in each sex (p-value < 0.05 and FDR < 0.05). The RNA sequencing analysis detected total detectable alternative splicing events: 25,352 events in males control, 27,067 events in males BPA, 25,130 events in females control, and 26,582 events in females BPA (TableS1). We found a total of 904 DAS events in both sexes combined, 1,794 DAS events in males, and 1,479 DAS events in females. DAS was divided into 5 types, which are skipping exon (SE), 3’ alternative splice site (3SS), 5’ alternative splice site (5SS), mutually exclusive exon (MXE), and retained intron (RI) (Table 1) (list of DAS genes are provided in TableS3). Remarkably, there are sex-specific patterns between the lists of DAS events in males and females, both in terms of the types of DAS and the specific genes involved.
To determine whether DAS genes in the offspring’s prefrontal cortex of offspring prenatally exposed to BPA are involved in ASD. Genes that showed differentially splicing patterns from both sexes, males, and females, were overlapped with the autism candidate gene obtained from the SFARI database. These candidate genes are categorized into gene score 1 (234 genes), gene score 2 (711 genes), gene score 3 (164 genes), and syndromic genes (301 genes)78. In the combined sexes, we identified overlapping genes: 20 in gene score 1 (p-value = 1.258 × 10−5), 46 in gene score 2 (p-value = 1.727 × 10−5), 14 in gene score 3 (p-value = 0.001), and 24 in the syndromic gene category (p-value = 8.369 × 10−5). In males, we found 28 (p-value = 0.002), 67 (p-value = 0.002), 23 (p-value = 5.309 × 10−4), and 38 (p-value = 1.043 × 10−4), respectively. In females, the overlap included 26 (p-value = 6.347 × 10−4), 61 (p-value = 5.513 × 10−4), 12 (p-value = 0.203), and 32 (p-value = 3.578 × 10−4) in the respective categories (Table 2). To assess whether DAS genes in BPA-exposed offspring overlap with DAS genes identified in ASD individuals compared to typically developing (TD) controls, we integrated data from several studies, including the study by Parikshak et al. (2016), which used post-mortem samples of the frontal and temporal cortex (1,726 genes) and cerebellum (1,590 genes) (ASD n = 48, TD n = 49)28. In both sexes, we found 128 overlapping genes (p-value = 1.038 × 10−17) and 109 genes (p-value = 6.512 × 10−13), respectively. In males, 204 (p-value = 1.693 × 10−16) and 162 genes (p-value = 2.215 × 10−8) overlapped, while in females, 185 (p-value = 2.103 × 10−18) and 159 genes (p-value = 2.657 × 10−13) overlapped. Using DAS data from the superior temporal gyrus of ASD individuals (n = 12) compared to TD controls (n = 12)27, we identified 72 (p-value = 5.594 × 10−21) overlapping genes in both sexes, 96 in males (p-value = 8.489 × 10−16), and 88 in females (p-value = 8.903 × 10−17). 76 DAS genes obtained from the prefrontal cortex of ASD individuals (n = 9) compared to TD (n = 9)26 were found in 6 (p-value = 0.042), 11 (p-value = 0.011), and 11 (p-value = 0.003) genes in both sexes, males, and females, respectively. For DAS from Peripheral Blood Mononuclear Cells (PBMCs) of dizygotic twins (145 genes)23, 4 (p-value = 0.466) genes overlapped in both sexes, 11 (p-value = 0.366) in males, and 12 (p-value = 0.110) in females. Finally, we compared DAS from whole blood in ASD (n = 30) and TD controls (n = 20)79, finding 5 (p-value = 0.032) overlapping genes in both sexes, 9 (p-value = 0.008) in males, and 7 (p-value = 0.027) in females. Predicted DAS from RNA analysis (476 genes) revealed 21 (p-value = 0.120) overlapping genes in both sexes, 32 (p-value = 0.493) in males, and 35 (p-value = 0.057) in females (Table 2 and TableS4). These results suggest that BPA exposure influences ASD-related DASs and highlights the potential role of environmental factors, such as BPA, in the molecular processes underlying ASD, providing valuable insights into the environmental contributions to ASD susceptibility.
To further validate the alternative splicing patterns of genes found in the prefrontal cortex of rat offspring prenatally exposed to BPA, we selected 3 DAS genes, which were Hs3st5 (Heparan Sulfate-Glucosamine 3-Sulfotransferase 5), Dhcr7 (7-Dehydrocholesterol reductase), and Chd2 (Chromodomain-helicase-DNA-binding protein 2) (n = 6 pups from independent litters; 3 males and 3 females). These genes were chosen because they are either autism candidate genes found in the SFARI database or identified as DAS genes in ASD studies. Additionally, the alternative splicing patterns of these genes could be effectively amplified and quantified using HRM real-time PCR. Notably, the result showed that the patterns of DAS in both sexes combined, males, and females, exhibited distinct variations for each gene. In females, the presence of IC was significantly decreased in the Hs3st5 and Dhcr7 genes. When the data from males and females were combined and analyzed, the results showed a significant decrease in the IC ratio in the Hs3st5 gene (Fig. 2). To corroborate the findings from the HRM real-time PCR, we subjected the product of each gene to gel electrophoresis. Subsequently, the bands were isolated and sequenced. The resulting sequences were then compared to the rat gene database using a UCSC Rat BLAT search (Genome assembly Rnor_6.0). The outcome revealed that the alternative splicing pattern matched Hs3st5 and Dhcr7 (query cover > 95%) (Figure S1). The splicing variations of Hs3st5 and Dhcr7 occur within the 5’ untranslated region (UTR) of their respective mRNA transcripts. These results suggest that prenatal BPA exposure would regulate the transcriptional process by altering the DAS events in sex-specific and gene-specific patterns.
Alternative splicing patterns of ASD-related genes differentially changed in response to prenatal BPA exposure. The column graphs show the percentage of IC and SC events of selected DAS genes in the prefrontal cortex. The AS patterns of (a) Hs3st5, (b) Dhcr7, and (c) Chd2 were determined in both sexes (n = 6 pups/treatment group), males (n = 3 pups/treatment group), and females (n = 3 pups/treatment group). *p-value < 0.05 was considered statistically significant. Figure created with BioRender.com.
BPA-responsive DAS genes in the prefrontal cortex are associated with ASD-related biological functions and pathways
Gene ontology analysis using IPA software (QIAGEN Inc., Hilden, Germany)69 revealed significant associations between DAS genes in response to prenatal BPA exposure and numerous pathways and disorders linked to neurodevelopmental conditions, particularly ASD (Table 3 and Table S5). Interestingly, we found the association of “autism spectrum disorder or intellectual disability” and “autism or intellectual disability” with DAS genes respond to prenatal BPA exposure in both sexes combined (p-value = 2.18 × 10−10 and 1.74 × 10−8), males (p-value = 1.11 × 10−13 and 2.76 × 10−12), and females (p-value = 3.21 × 10−14 and 2.37 × 10−12). The DAS genes also displayed significant associations with several comorbid neurological conditions commonly linked to ASD, such as mental retardation, global developmental delay, and congenital encephalopathy (p-value < 0.05), reinforcing BPA’s broad impact on neurological development (Table 3). Furthermore, pathway enrichment analysis identified substantial associations of DAS genes with several molecular mechanisms related to neurodevelopment and signaling, particularly in pathways involving synaptic and hormonal regulation. The “Synaptogenesis Signaling Pathway,” for instance, was consistently associated with DAS genes in both sexes, males, and females, suggesting a link between BPA-induced splicing changes and the synaptic development processes implicated in ASD. The “Autism Signaling Pathway” and “Estrogen Receptor Signaling” pathways were significant in both sexes combined and females, while male-specific analysis identified associations with “ESR-mediated signaling” (Fig. 3). These findings serve to underscore the connection between the DAS observed in the prenatally BPA-exposed rat offspring and its association with ASD.
Molecular processes underlying the impact of prenatal BPA exposure on rat prefrontal cortex
In our previous study, we investigated how prenatal exposure to BPA affects upstream gene regulation. We identified BPA-responsive genes that are also targets of transcription factors related to ASD59. Notably, RNA-binding protein (RBP) genes were found to be among the BPA-responsive genes targeted by ASD-related transcription factors. Since RBPs play essential roles in regulating RNA processing, a list of these genes was obtained from the RBPDB database75. These RBP genes were then overlapped with BPA-responsive genes targeted by ASD-related transcription factors (Table 4). Further, we used the oRNAment database77 to identify RBP target genes. Then, the RBP target genes and DAS genes were overlapped to identify the DAS genes directly targeted by RBPs, which were presented in Table 5 (the list of genes is provided in Table S6).
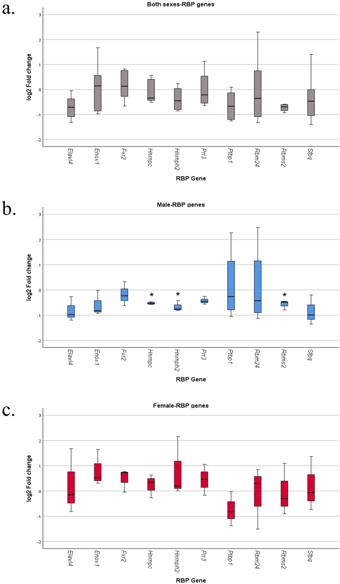
To further validate the expression levels of RBP genes, we performed qRT-PCR analysis using RNA extracted from the prefrontal cortex of rat offspring. We specifically focused on a subset of RBP genes—Elavl4, Enox1, Fxr2, Hnrnpc, Hnrnph2, Prr3, Ptbp1, Rbm24, Rbms2, and Sfpq—which were selected due to their involvement in DAS genes confirmed by HRM real-time PCR. Upon qRT-PCR analysis, we observed a significant downregulation of Hnrnpc, Hnrnph2, and Rbms2 in male offspring but no significant change in females and both sexes (Fig. 4), indicating sex-specific alterations in RBP gene expression following prenatal BPA exposure.
Box plots showing expression levels of RBP genes in the prefrontal cortex. Expression levels of Elavl4, Enox1, Fxr2, Hnrnpc, Hnrnph2, Prr3, Ptbp1, Rbm24, Rbms2, and Sfpq were determined in (a) both sexes (n = 6 pups/group), (b) males (n = 3 pups/treatment group), and (c) females (n = 3 pups/treatment group). *p-value < 0.05 was considered statistically significant.
We conducted a correlation analysis between the expression levels of RBP genes and DAS patterns. When combining the IC and SC data for each gene, we identified sex-specific correlations. In males, the IC patterns were negatively correlated with the expression of most RBP genes, with Hs3st5 showing strong negative correlations with Rbm24 (R = −0.811), Sfpq (R = −0.860), and Elavl4 (R = −0.890). In contrast, females exhibited a positive correlation between IC patterns and RBP genes, notably Dhcr7 IC showing a strong positive correlation with Ptbp1 (R = 0.884). Conversely, SC patterns were positively correlated with most RBP genes in males but negatively correlated in females (Fig. 5), highlighting a clear sex-dependent relationship between RBP expression and alternative splicing patterns. These results suggest that BPA may disrupt normal splicing processes in a sex-dependent manner, which could underlie some of the molecular mechanisms associated with ASD, emphasizing the role of environmental factors like BPA in ASD etiology.
Correlation heatmap showing the relationships between the alternative splicing patterns of Hs3st5, Dhcr7, and Chd2 and the expression levels of RBP genes (Elavl4, Enox1, Fxr2, Hnrnpc, Hnrnph2, Prr3, Ptbp1, Rbm24, Rbms2, Sfpq). The color scale denotes R-values from red (negative correlation) to blue (positive correlation).
Synaptogenesis deficit in the primary cortical neurons of rat pups prenatally exposed to BPA
The study aimed to investigate the impact of prenatal exposure to BPA on synaptogenesis within the prefrontal cortex of rat offspring. This involved assessing primary cortical neurons derived from the prefrontal cortex of BPA-exposed rat offspring and comparing them to a vehicle control group. Representative images (Fig. 6a, b) showed marked differences in the colocalization of SYN1 (a presynaptic marker) and PSD-95 (a postsynaptic marker), with significant changes observed particularly in male rats. An analysis of spine density—measured by the number of colocalized puncta per 10 μm of spine length—revealed a significant decrease in both sexes (control = 5.39 ± 0.32 puncta/10 µm, BPA = 4.41 ± 0.35 puncta/10 µm, p-value = 0.044), with males being more affected compared to the control group (control = 5.60 ± 0.50 puncta/10 µm, BPA = 3.96 ± 0.56 puncta/10 µm, p-value = 0.040). Although females did not exhibit significant changes (control = 5.17 ± 0.43 puncta/10 µm, BPA = 4.86 ± 0.39 puncta/10 µm, p-value = 0.583), a reduction in spine density was still evident in the BPA-exposed group (Fig. 6c). These findings suggest that prenatal BPA exposure might induce sex-dependent effects on synapse development and density in the prefrontal cortex, with males being more prominently impacted.
Prenatal BPA exposure disrupts synaptogenesis in the prefrontal cortex. (a) Representative images of synapses from males control, males BPA, females control, and females BPA groups. (b) Zoomed-in images from areas indicated by red boxes in (a). Pink: SYN1; Green: PSD-95; Blue: DAPI. (c) Quantification of synaptogenesis, showing the average colocalization of SYN1 and PSD-95 puncta per 10 μm spine length in both sexes (n = 30 neurons/treatment group) and separately in males and females (n = 15 neurons/treatment each). *p-value < 0.05 was considered statistically significant.
Prenatal exposure to BPA exhibits sex-specific patterns in ASD-related behaviors of rat offspring
To investigate the influence of BPA exposure on ASD-related behaviors in the offspring, hyperactivity, anxiety, and aggression behaviors were performed. The open field test was used to determine general activity or locomotor activity. The rat was placed in the center of the arena and let it freely move. When analyzing data from both male and female rats, there was a significant increase in speed (control = 34.2 ± 3.0 mm/s, BPA = 39.9 ± 3.3 mm/s, p-value = 0.032), acceleration (control = 131.5 ± 10.3 mm/s2, BPA = 154.3 ± 12.0 mm/s2, p-value = 0.012), total distance (control = 21,535 ± 1841 mm, BPA = 28,388 ± 2732 mm, p-value = 0.021), and explored areas (control = 115.7 ± 7.2, BPA = 126.3 ± 8.9, p-value = 0.037) in offspring prenatally exposed to BPA. Notably, we found that the acceleration (control = 139.9 ± 18.4 mm/s2, BPA = 157.7 ± 17.1 mm/s2, p-value = 0.028) and mobility rate (control = 89.2 ± 2.9%, BPA = 92.0 ± 2.4%, p-value = 0.037) were significantly increased in female offspring prenatally exposed to BPA while they were not significantly changed in male offspring (Fig. 7a-e). Moreover, the representative trajectory images of male and female BPA-exposed groups showed an increase in distance traveled and area explored compared to their sex-matched control group; however, no statistically significant differences were observed between males and females within the same treatment (Fig. 7f).
Prenatal BPA exposure exhibited sex-dependent effects in the open field test. The open field test measured (a) average speed, (b) average acceleration, (c) total distance traveled, (d) area explored, and (e) mobility rate in both sexes (n = 14 pups/treatment group), males (n = 7 pups/treatment group), and females (n = 7 pups/treatment group). (f) Representative trajectory images showed differences between control and BPA-exposed groups. *p-value < 0.05 was considered statistically significant.
To assess anxiety-like behavior, the elevated plus maze was performed. The rat was placed in the center of the plus-maze, which incorporates open, well-lit, and elevated areas. The time spent in open or closed arms, as well as the number of entering open or closed arms, were counted. Interestingly, we found a significant decrease in time spent in open arms in female offspring prenatally exposed to BPA (control = 15.3 ± 2.9 s, BPA = 3.0 ± 1.4 s, p-value = 5.66 × 10−3) (Fig. 8a). Moreover, the number of entering the open arm was also significantly decreased in females (control = 1.7 ± 0.3, BPA = 0.5 ± 0.2, p-value = 0.034), whereas these changes were not observed in males (Fig. 8b). These results suggest that prenatal BPA exposure influences anxiety in a sex-specific manner which observed an elevated level of anxiety-like behavior in female rats.
To explore aggressive behavior, the dominant tube test was determined. The control or BPA group was released into the open way of the tube oppositely. The winning score would be given to the rat that could exit to the opposite open way. When combining the results from both male and female offspring, we found a significantly increased winning score in the BPA group (control = 1.4 ± 0.9, BPA = 8.6 ± 0.9, p-value = 3.7 × 10−3). Interestingly, the number of winnings in this test was significantly higher in the female group (control = 0.5 ± 0.3, BPA = 9.5 ± 0.3, p-value = 5.69 × 10−7) but not in males (Fig. 8c), indicating increased aggressive behavior in females.
Prenatal BPA exposure exhibited sex-dependent effects in the elevated plus maze and dominant tube tests. (a) Time spent in open arms and (b) number of entries into open arms in the elevated plus maze were assessed in both sexes (n = 14 pups/treatment group) and separately in males and females (n = 7 pups/treatment group). (c) Winning scores in the dominant tube test were measured in both sexes (n = 10 pups/treatment group) and separately in males and females (n = 5 pups/treatment group). *p-value < 0.05 was considered statistically significant.
Furthermore, repetitive-like behavior and exploratory behavior were assessed in rat offspring using the artificial grooming test and satellite box test, respectively. No significant changes were observed in these tests when comparing the BPA-exposed group to the control group (Figure S2), suggesting that repetitive and exploratory behaviors were not affected by prenatal BPA exposure.
Associations between DAS genes in rat offspring prenatally exposed to BPA and ASD-related behavioral phenotypes
To study the connection between the DAS genes in rat offspring exposed to prenatal BPA and their behavioral responses, we conducted a correlation analysis between DAS patterns and behavioral parameters. When we combined the data of IC and SC patterns of each gene and performed correlation with behavior parameters, we found that the IC patterns exhibited a negative correlation with most parameters in the open field test while showing a positive correlation with parameters in the elevated plus maze test and synaptogenesis. Conversely, the SC patterns displayed a positive correlation with open-field test parameters and a negative correlation with elevated plus maze test parameters and synaptogenesis. Interestingly, we also observed these correlation patterns when the data from females was used to perform correlation analysis. Moreover, the IC type of Dhcr7 in females showed the strongest positive correlation with the number of entering open arms of the plus-maze test (R-value = 0.608). In addition, the winning score of the dominant tube test also exhibited correlation patterns similar to the open field test (Fig. 9). These results suggest that prenatal BPA exposure might influence the alteration of splicing patterns of these genes in a sex-specific manner through some particular mechanisms that might lead to changing neurological function and behaviors.
Discussion
BPA is a recognized endocrine disruptor associated with various health conditions, including neurological disorders. Although the NOAEL for BPA is set at 5,000 µg/kg of maternal body weight46, emerging evidence suggests that adverse effects can occur even at doses previously considered safe. These concerns emphasize the need to investigate the potential impacts of BPA exposure on neurodevelopmental outcomes.
Our recent study demonstrated the effects of prenatal BPA exposure on transcriptome profiling of rat offspring in a sex-dependent manner in both the prefrontal cortex and hippocampus57,59,61,86 that are associated with neurological diseases and function and behaviors linked to ASD. In this study, the findings reveal a complex interplay between prenatal exposure to BPA, alternative splicing patterns, and ASD-related behaviors in the prefrontal cortex of rat offspring (Fig. 10). Notably, the results demonstrate that BPA exposure induces alterations in AS patterns in a sex-dependent manner. In our study’s findings, we observed DAS events in the prefrontal cortex of rat offspring exposed to BPA during prenatal development. Notably, some of these DAS events were found to be significantly associated with ASD candidate genes and the DAS patterns found in ASD individuals23,26,27,28,79 from brain regions known to be impacted in people with ASD30 and PBMCs. The consistency between our results and those observed in ASD individuals further strengthens the link between prenatal BPA exposure, alternative splicing, and ASD-related genetic variations.
The findings from the gene ontology analysis demonstrate the significant association of BPA-responsive DAS genes with pathways and biological functions related to neurodevelopmental disorders, including ASD. This correlation, particularly prominent within the categories “Autism Spectrum Disorder or Intellectual Disability”, suggests that prenatal BPA exposure may contribute to ASD susceptibility by influencing alternative splicing patterns, leading to disruptions in neurological development. The observed association of DAS genes with the “Synaptogenesis Signaling Pathway” across both sexes suggests that BPA exposure may impact synaptic development, which is a known feature in ASD pathology87. The link between BPA exposure and synaptogenesis pathways reinforces the notion that environmental disruptors can interfere with synaptic development and contribute to ASD-associated symptoms. Additionally, the “Estrogen Receptor Signaling” pathway, which was significantly enriched in both sexes and females, underscores the role of BPA as an endocrine disruptor and highlights how it might mimic estrogenic effects, further modulating ASD-relevant molecular processes. Moreover, biochemical assays have shown that BPA can bind to both ERα and ERβ, with a notably higher affinity for ERβ, with approximately 10-fold higher affinity to Erβ88,89,90. In our previous study, we provided evidence of BPA’s binding capability to transcription factors associated with ASD, as determined through molecular docking analysis59. This is particularly important as estrogen signaling is known to play a significant role in neurodevelopment and is increasingly recognized as a factor in sex-specific differences in ASD. Moreover, the significant associations of DAS genes with other neurological disorders comorbid with ASD, such as mental retardation91, global developmental delay92, and congenital encephalopathy93, underscore the potential for BPA to impact neurodevelopment broadly. The shared pathways suggest a common mechanistic link through which BPA exposure may disrupt typical neurodevelopmental trajectories, potentially contributing to multiple overlapping conditions. These results strongly suggest that BPA-induced alterations in alternative splicing processes may underline some of the molecular mechanisms contributing to ASD. The significant association of DAS genes with ASD-related signaling pathways and comorbid neurodevelopmental disorders points to BPA as a risk factor influencing neurodevelopment.
In this study, we explored potential molecular mechanisms by which BPA may affect the prefrontal cortex, focusing on ASD-related transcription factors that may interact with BPA. Based on our previous study, these transcription factors include AR, YY1, TCF4, MTF1, SOX5, ESR1, RORA, EGR2, ESR2, and SMAD4, which are predicted to be the target of BPA in the prefrontal cortex59. Our analysis identified several RBPs among the BPA-responsive genes, which are targets of these ASD-related transcription factors. Among these RBPs, Hnrnpc, Hnrnph2, and Rbms2 were highlighted as key BPA-responsive genes. Hnrnpc is a member of the heterogeneous nuclear ribonucleoproteins (hnRNPs) family, which is involved in the processing of pre-mRNA, including alternative splicing94,95. Specifically, HNRNPC plays a role in interacting with poly-U tracts in the 3’-UTR or 5’-UTR of mRNA, influencing the stability and translation levels of the associated mRNA molecules. Additionally, HNRNPC plays a competitive role with U2AF65, repressing the inclusion of cryptic exons during splicing events. When HNRNPC is depleted, this repression is lifted, leading to the aberrant inclusion of cryptic exons, which may result in dysfunctional gene products and contribute to neurodevelopmental disorders, including ASD96. Several members of the HNRNP family, including HNRNPC, have been linked to neurodevelopmental disorders and associated with various neurobehavioral phenotypes. These phenotypes encompass intellectual disability, developmental delay, behavioral issues, seizures, and structural brain abnormalities97. According to the previous research, the insufficiency of HNRNPC has been implicated in influencing the alternative splicing of various genes linked to intellectual disability. Furthermore, both down- and up-regulation of HNRNPC in the subventricular zone at embryonic day 14.5, achieved through in-utero electroporation, impact the ability of neurons to migrate to the outer cortical layers (layer 2/3), leading to delayed neuronal migration during early murine cortical development98. Hnrnph2, another hnRNP family member, is similarly involved in RNA splicing and has been directly linked to ASD99. Mutations in hnrnph2, particularly in its nuclear localization signal motif, alter its cellular localization, shifting it from nuclear-only to both nuclear and cytoplasmic, which disrupts standard RNA processing. This disruption has been demonstrated in knock-in mouse models, where human-equivalent mutations at the nuclear localization signal motif replicate the neurodevelopmental symptoms observed in patients with ASD and intellectual disabilities100,101. Importantly, this suggests that the proper nuclear localization of HNRNPH2 is essential for maintaining regular splicing events that support neurodevelopment. Rbms2, while not as directly implicated in ASD as Hnrnpc and Hnrnph2, is involved in RNA binding and regulation, playing a role in mRNA stability and the translation of RNA molecules102. Although its exact function in neurodevelopment remains unclear, its involvement in RNA processing and overlap with BPA-responsive genes suggests that Rbms2 could be part of the broader network of RBPs influenced by prenatal BPA exposure. Given the pivotal role that RNA-binding proteins like these play in regulating alternative splicing, disruptions in their expression or function could have cascading effects on gene regulation, potentially contributing to the neurodevelopmental phenotypes observed in ASD. Furthermore, we found that several RBP genes, including those mentioned above, have DAS genes as their targets, such as Hs3st5 and Dhcr7. These findings suggest a potential molecular pathway where BPA, through its interaction with ASD-related transcription factors, alters the expression of RBPs. This alteration in RBP expression could, in turn, disrupt alternative splicing processes in the prefrontal cortex, contributing to neurodevelopmental changes and behaviors associated with ASD.
Hs3st5 and Dhcr7 exhibited significantly increased splicing, particularly an enrichment of the SC pattern in the BPA treatment group. Notably, alternative splicing events of these genes occur within the 5’ UTR of their respective transcripts. The 5’ UTR is a crucial regulatory element that influences gene expression by modulating mRNA stability and translation efficiency103. Alterations in splicing within this region can disrupt these regulatory mechanisms, potentially leading to changes in gene expression. Both Hs3st5 and Dhcr7 have been implicated in ASD and ASD-related symptoms, suggesting that the observed splicing changes may contribute to the pathophysiology of ASD. Hs3st5 is the ASD candidate gene and belongs to a heparan sulfate 3-O-sulfotransferases group and is highly expressed in the brain. In a genome-wide association study aimed at uncovering common genetic factors contributing to ASD, a single nucleotide polymorphism associated with the condition was identified within the gene encoding HS3ST5104. The heparan sulfate proteoglycan family holds a critical role in shaping the development of specific synaptic connectivity patterns, which are vital for the proper function of neural circuits. Dysregulation in heparan sulfate proteoglycans is associated with brain disorders like ASD due to their involvement in synaptogenesis and neural circuit function105,106,107. Interestingly, in this study, prenatal BPA exposure led to an increase in splicing of the Hs3st5 gene, paralleling a significant decrease in synaptogenesis, highlighting a potential mechanistic link between BPA-induced splicing changes and synaptic dysfunction in ASD. Additionally, our recent research mentioned that BPA exposure resulted in sex-specific effects on neuritogenesis (an increase in males and a decrease in females) of the prefrontal cortex primary neurons62. Contrastingly, in studies in the hippocampus, synaptogenesis was significantly increased following BPA exposure60, while neuritogenesis showed an increase in both sexes61. These region-specific and sex-dependent effects suggest that BPA may influence neurodevelopmental pathways differently across brain regions. Dhcr7 is another gene classified as an ASD candidate gene. It serves as the final enzyme in the cholesterol biosynthesis pathway. Mutations in this gene are responsible for Smith-Lemli-Opitz syndrome (SLOS), a condition characterized by multiple congenital anomalies and mental retardation inherited in an autosomal recessive manner108,109. DHCR7 deficiency has a profound impact on the production of both cholesterol and desmosterol, leading to elevated levels of cholesterol precursors (7DHC/8DHC), reduced cholesterol levels, and developmental dysmorphology110,111. Individuals with SLOS typically manifest a range of severe behavioral deficits, and many are diagnosed with ASD. Hyperactivity, ritualistic behavior, irritability and aggression, tactile and auditory hypersensitivity, and social and communication deficits were found in most SLOS individuals with similar ASD symptoms112. Interestingly, our results indicated similar symptoms, including hyperactivity and aggressive behavior in the offspring affected by prenatal BPA exposure.
Our behavioral results highlight the sex-dependent effects of prenatal exposure to BPA on various behaviors associated with ASD. Specifically, BPA exposure led to altered locomotor activity and increased anxiety-like behavior in female rats, while heightened aggressive behavior was observed in both male and female rats. These findings are consistent with our previous study, which also observed significant impairments in sociability and social novelty in females prenatally exposed to BPA using the 2-trial and 3-chamber sociability and social novelty tests62. Additionally, they noted hyperactivity in the BPA-exposed group. In contrast, we have shown that male-biased impairments were found in object recognition, as determined by the novel object recognition test, in working memory and spatial learning, as determined by the T-maze test61. The observed differences may be attributed to the distinct brain regions that control these behaviors: male-biased behaviors, such as object recognition, working memory, and spatial learning, are controlled by the hippocampus113,114, while female-biased behaviors are regulated by the frontal cortex115,116. These findings suggest that BPA may contribute to the manifestation of ASD-like behaviors in a sex-dependent manner through specific brain regions.
Furthermore, our study revealed significant correlations between alternative splicing patterns and behaviors in the BPA-exposed rat offspring. Notably, we observed gender-specific patterns of hyperactivity, anxiety, and aggression. The study by Braun et al. (2009) also found the sex-specific expression of behavior that maternal urine BPA concentrations during gestational period were positively associated with aggression and hyperactivity in children, with the association being more pronounced in girls than in boys117. The results from our study and the study by Braun et al. (2009) might support the idea that susceptibility to ASD could show a sex-specific manifestation.
The association between AS variations and behavioral outcomes may support alternative splicing as a possible molecular mechanism underlying the development of ASD-related behaviors in response to prenatal BPA exposure, which deserves additional study. This study contributes valuable insights into the influence of prenatal BPA exposure on alternative splicing patterns and their potential relevance to ASD-related behaviors.
Conclusion
This study is the first to demonstrate the sex-specific effects of prenatal BPA exposure on alternative splicing events in the prefrontal cortex and their correlation with ASD-like behaviors in rats. Our findings reveal that BPA exposure induces sex-specific alterations in alternative splicing within the prefrontal cortex, a brain region critically involved in social and cognitive functions. We identified DAS genes associated with ASD and showed that BPA may act through ASD-related transcription factors to alter the expression of RBPs, such as Hnrnpc, Hnrnph2, and Rbms2, which in turn regulate alternative splicing events in genes implicated in synaptogenesis and neurodevelopment. Behavioral analyses further supported the molecular findings, revealing ASD-like traits in BPA-exposed offspring. Collectively, our data highlight a potential molecular pathway linking environmental BPA exposure to neurodevelopmental alterations through transcription factor- and RBP-mediated splicing regulation. These results underscore the importance of continued research into sex-specific responses to environmental factors affecting neurodevelopmental disorders. Moreover, the findings from this study may inform future efforts to establish therapeutic targets aimed at mitigating BPA-induced ASD susceptibility, ultimately improving the lives of those affected by ASD.
Data availability
The transcriptome profiling data used in this study have been deposited in the NCBI GEO DataSets database (GSE229073). The alternative splicing data used in this study are provided in Table S1 within this manuscript.
References
Lord, C., Elsabbagh, M., Baird, G. & Veenstra-Vanderweele, J. Autism spectrum disorder. Lancet 392, 508–520. https://doi.org/10.1016/s0140-6736(18)31129-2 (2018).
Hyman, S. L. et al. Identification, evaluation, and management of children with autism spectrum disorder. Pediatrics 145 https://doi.org/10.1542/peds.2019-3447 (2020).
Shaw, K. A. et al. Prevalence and Early Identification of Autism Spectrum Disorder Among Children Aged 4 and 8 Years — Autism and Developmental Disabilities Monitoring Network, 16 Sites, United States, 2022. MMWR Surveill Summ. 74(No. SS-2), 1–22. https://doi.org/10.15585/mmwr.ss7402a1 (2025).
Demetriou, E. A., DeMayo, M. M. & Guastella, A. J. Executive function in autism spectrum disorder: history, theoretical models, empirical findings, and potential as an endophenotype. Front. Psychiatry. 10, 753. https://doi.org/10.3389/fpsyt.2019.00753 (2019).
Courchesne, E. & Pierce, K. Why the frontal cortex in autism might be talking only to itself: local over-connectivity but long-distance Disconnection. Curr. Opin. Neurobiol. 15, 225–230. https://doi.org/10.1016/j.conb.2005.03.001 (2005).
Friedman, N. P. & Robbins, T. W. The role of prefrontal cortex in cognitive control and executive function. Neuropsychopharmacology 47, 72–89. https://doi.org/10.1038/s41386-021-01132-0 (2022).
Pitskel, N. B., Bolling, D. Z., Kaiser, M. D., Pelphrey, K. A. & Crowley, M. J. Neural systems for cognitive reappraisal in children and adolescents with autism spectrum disorder. Dev. Cogn. Neurosci. 10, 117–128. https://doi.org/10.1016/j.dcn.2014.08.007 (2014).
Saechua, C. et al. Impact of gene polymorphisms involved in the vitamin D metabolic pathway on the susceptibility to and severity of autism spectrum disorder. Sci. Rep. 14, 28333. https://doi.org/10.1038/s41598-024-79994-9 (2024).
Moosa, A., Shu, H., Sarachana, T. & Hu, V. W. Are endocrine disrupting compounds environmental risk factors for autism spectrum disorder? Horm. Behav. 101, 13–21. https://doi.org/10.1016/j.yhbeh.2017.10.003 (2018).
Tseng, C. J., McDougle, C. J., Hooker, J. M. & Zürcher, N. R. Epigenetics of autism spectrum disorder: histone deacetylases. Biol. Psychiatry. 91, 922–933. https://doi.org/10.1016/j.biopsych.2021.11.021 (2022).
Saeliw, T. et al. LINE-1 and Alu methylation signatures in autism spectrum disorder and their associations with the expression of autism-related genes. Sci. Rep. 12, 13970. https://doi.org/10.1038/s41598-022-18232-6 (2022).
Murtaza, N., Uy, J. & Singh, K. K. Emerging proteomic approaches to identify the underlying pathophysiology of neurodevelopmental and neurodegenerative disorders. Mol. Autism. 11, 27. https://doi.org/10.1186/s13229-020-00334-5 (2020).
Saeliw, T. et al. Epigenetic Gene-Regulatory loci in Alu elements associated with autism susceptibility in the prefrontal cortex of ASD. Int. J. Mol. Sci. 24 https://doi.org/10.3390/ijms24087518 (2023).
Saeliw, T. et al. Integrated genome-wide Alu methylation and transcriptome profiling analyses reveal novel epigenetic regulatory networks associated with autism spectrum disorder. Mol. Autism. 9, 27. https://doi.org/10.1186/s13229-018-0213-9 (2018).
Saeliw, T. et al. Investigation of chimeric transcripts derived from LINE-1 and Alu retrotransposons in cerebellar tissues of individuals with autism spectrum disorder (ASD). Sci. Rep. 14, 21889. https://doi.org/10.1038/s41598-024-72334-x (2024).
Tangsuwansri, C. et al. Investigation of epigenetic regulatory networks associated with autism spectrum disorder (ASD) by integrated global LINE-1 methylation and gene expression profiling analyses. PLoS One. 13, e0201071. https://doi.org/10.1371/journal.pone.0201071 (2018).
Yuwattana, W. et al. Machine learning of clinical phenotypes facilitates autism screening and identifies novel subgroups with distinct transcriptomic profiles. Sci. Rep. 15, 11712. https://doi.org/10.1038/s41598-025-95291-5 (2025).
Pichitpunpong, C. et al. Phenotypic subgrouping and multi-omics analyses reveal reduced diazepam-binding inhibitor (DBI) protein levels in autism spectrum disorder with severe Language impairment. PLoS One. 14, e0214198. https://doi.org/10.1371/journal.pone.0214198 (2019).
Zheng, M., Bao, N., Wang, Z., Song, C. & Jin, Y. Alternative splicing in autism spectrum disorder: recent insights from mechanisms to therapy. Asian J. Psychiatry. 108, 104501. https://doi.org/10.1016/j.ajp.2025.104501 (2025).
Su, C. H., Tarn, W. Y. & D, D. & Alternative splicing in neurogenesis and brain development. Front. Mol. Biosci. 5, 12–12. https://doi.org/10.3389/fmolb.2018.00012 (2018).
Vuong, C. K., Black, D. L. & Zheng, S. The neurogenetics of alternative splicing. Nat. Rev. Neurosci. 17, 265–281. https://doi.org/10.1038/nrn.2016.27 (2016).
Leung, C. S. et al. Dysregulation of the chromatin environment leads to differential alternative splicing as a mechanism of disease in a human model of autism spectrum disorder. Hum. Mol. Genet. 32, 1634–1646. https://doi.org/10.1093/hmg/ddad002 (2023).
Okay, K. et al. Alternative splicing and gene co-expression network-based analysis of dizygotic twins with autism-spectrum disorder and their parents. Genomics 113, 2561–2571. https://doi.org/10.1016/j.ygeno.2021.05.038 (2021).
Walker, R. L. et al. Genetic control of expression and splicing in developing human brain informs disease mechanisms. Cell 181, 745. https://doi.org/10.1016/j.cell.2020.04.016 (2020).
Chau, K. K. et al. Full-length isoform transcriptome of the developing human brain provides further insights into autism. Cell. Rep. 36, 109631. https://doi.org/10.1016/j.celrep.2021.109631 (2021).
van de Leemput, J. et al. CORTECON: a Temporal transcriptome analysis of in vitro human cerebral cortex development from human embryonic stem cells. Neuron 83, 51–68. https://doi.org/10.1016/j.neuron.2014.05.013 (2014).
Irimia, M. et al. A highly conserved program of neuronal microexons is misregulated in autistic brains. Cell 159, 1511–1523. https://doi.org/10.1016/j.cell.2014.11.035 (2014).
Parikshak, N. N. et al. Genome-wide changes in lncrna, splicing, and regional gene expression patterns in autism. Nature 540, 423–427. https://doi.org/10.1038/nature20612 (2016).
Velmeshev, D. et al. Cell-Type-Specific analysis of molecular pathology in autism identifies common genes and pathways affected across neocortical regions. Mol. Neurobiol. 57, 2279–2289. https://doi.org/10.1007/s12035-020-01879-5 (2020).
Donovan, A. P. A. & Basson, M. A. The neuroanatomy of autism – a developmental perspective. J. Anat. 230, 4–15. https://doi.org/10.1111/joa.12542 (2017).
Karlebach, G. et al. Alternative splicing is coupled to gene expression in a subset of variably expressed genes. BioRxiv https://doi.org/10.1101/2023.06.13.544742 (2023).
Nora, M. A., Aboud, C. T. & Jialal, I. Genetics, Epigenetic Mechanism (StatPearls Publishing, 2023).
Kim, C. H. et al. Bisphenol A exposure changes the transcriptomic and proteomic dynamics of human retinoblastoma Y79 cells. Genes (Basel). 12. https://doi.org/10.3390/genes12020264 (2021).
Zhang, S., Bao, J., Gong, X., Shi, W. & Zhong, X. Hazards of bisphenol A —— blocks RNA splicing leading to abnormal testicular development in offspring male mice. Chemosphere 230, 432–439. https://doi.org/10.1016/j.chemosphere.2019.05.044 (2019).
Wazir, U., Mokbel, K. & Bisphenol, A. A concise review of literature and a discussion of health and regulatory implications. Vivo (Athens Greece). 33, 1421–1423. https://doi.org/10.21873/invivo.11619 (2019).
Adeyi, A. A. & Babalola, B. A. Bisphenol-A (BPA) in foods commonly consumed in Southwest Nigeria and its human health risk. Sci. Rep. 9, 17458. https://doi.org/10.1038/s41598-019-53790-2 (2019).
Bhatnagar, A. & Anastopoulos, I. Adsorptive removal of bisphenol A (BPA) from aqueous solution: A review. Chemosphere 168, 885–902. https://doi.org/10.1016/j.chemosphere.2016.10.121 (2017).
Gao, X., Ma, J., Chen, Y. & Wang, H. S. Rapid responses and mechanism of action for Low-Dose bisphenol S on ex vivo rat hearts and isolated myocytes: evidence of Female-Specific proarrhythmic effects. Environ. Health Perspect. 123, 571–578. https://doi.org/10.1289/ehp.1408679 (2015).
Cimmino, I. et al. Potential mechanisms of bisphenol A (BPA) contributing to human disease. Int. J. Mol. Sci. 21, 5761. https://doi.org/10.3390/ijms21165761 (2020).
Wong, K. O., Leo, L. W. & Seah, H. L. Dietary exposure assessment of infants to bisphenol A from the use of polycarbonate baby milk bottles. Food Addit. Contam. 22, 280–288. https://doi.org/10.1080/02652030500077502 (2005).
Brede, C., Fjeldal, P., Skjevrak, I. & Herikstad, H. Increased migration levels of bisphenol A from polycarbonate baby bottles after dishwashing, boiling and brushing. Food Addit. Contam. 20, 684–689. https://doi.org/10.1080/0265203031000119061 (2003).
Mountfort, K. A., Kelly, J., Jickells, S. M. & Castle, L. Investigations into the potential degradation of polycarbonate baby bottles during sterilization with consequent release of bisphenol A. Food Addit. Contam. 14, 737–740. https://doi.org/10.1080/02652039709374584 (1997).
Ozaki, A., Yamaguchi, Y., Fujita, T., Kuroda, K. & Endo, G. Chemical analysis and genotoxicological safety assessment of paper and paperboard used for food packaging. Food Chem. Toxicol. 42, 1323–1337. https://doi.org/10.1016/j.fct.2004.03.010 (2004).
Brotons, J. A., Olea-Serrano, M. F., Villalobos, M., Pedraza, V. & Olea, N. Xenoestrogens released from lacquer coatings in food cans. Environ. Health Perspect. 103, 608–612 (1995).
Vandenberg, L. N., Hauser, R., Marcus, M., Olea, N. & Welshons, W. V. Human exposure to bisphenol A (BPA). Reprod. Toxicol. 24, 139–177. https://doi.org/10.1016/j.reprotox.2007.07.010 (2007).
US Food and Drug Administration. Updated Review of Literature and Data on Bisphenol A. US Food and Drug Administration: Silver Spring, MD, USA (2014).
Yamada, H. et al. Maternal serum and amniotic fluid bisphenol A concentrations in the early second trimester. Reprod. Toxicol. 16, 735–739. https://doi.org/10.1016/S0890-6238(02)00051-5 (2002).
Schonfelder, G. et al. Parent bisphenol A accumulation in the human maternal–fetal–placental unit. Environ. Health Perspect. 110, A703–A707 (2002).
Engel, S. M., Levy, B., Liu, Z., Kaplan, D. & Wolff, M. S. Xenobiotic phenols in early pregnancy amniotic fluid. Reprod. Toxicol. 21, 110–112. https://doi.org/10.1016/j.reprotox.2005.07.007 (2006).
Müller, J. E. et al. Bisphenol A exposure during early pregnancy impairs uterine spiral artery remodeling and provokes intrauterine growth restriction in mice. Sci. Rep. 8, 9196. https://doi.org/10.1038/s41598-018-27575-y (2018).
Ikezuki, Y., Tsutsumi, O., Takai, Y., Kamei, Y. & Taketani, Y. Determination of bisphenol A concentrations in human biological fluids reveals significant early prenatal exposure. Hum. Reprod. 17, 2839–2841. https://doi.org/10.1093/humrep/17.11.2839 (2002).
Sun, Y., Nakashima, M. N., Takahashi, M., Kuroda, N. & Nakashima, K. Determination of bisphenol A in rat brain by Microdialysis and column switching high-performance liquid chromatography with fluorescence detection. Biomed. Chromatogr. 16, 319–326. https://doi.org/10.1002/bmc.161 (2002).
Negri-Cesi, P. & Bisphenol, A. Interaction with brain development and functions. Dose-response: Publication Int. Hormesis Soc. 13, 1559325815590394–1559325815590394. https://doi.org/10.1177/1559325815590394 (2015).
Sanannam, B. et al. Alteration of extracellular matrix components in the anterior pituitary gland of neonatal rats induced by a maternal bisphenol A diet during pregnancy. Int. J. Mol. Sci. 22 https://doi.org/10.3390/ijms222312667 (2021).
Geens, T., Neels, H. & Covaci, A. Distribution of bisphenol-A, triclosan and n-nonylphenol in human adipose tissue, liver and brain. Chemosphere 87, 796–802. https://doi.org/10.1016/j.chemosphere.2012.01.002 (2012).
Kim, C. S. et al. Distribution of bisphenol A in the neuroendocrine organs of female rats. Toxicol. Ind. Health. 20, 41–50. https://doi.org/10.1191/0748233704th186oa (2004).
Thongkorn, S. et al. Sex differences in the effects of prenatal bisphenol A exposure on genes associated with autism spectrum disorder in the Hippocampus. Sci. Rep. 9, 3038. https://doi.org/10.1038/s41598-019-39386-w (2019).
Stein, T. P., Schluter, M. D., Steer, R. A., Guo, L. & Ming, X. Bisphenol A exposure in children with autism spectrum disorders. Autism Res. 8, 272–283. https://doi.org/10.1002/aur.1444 (2015).
Kanlayaprasit, S. et al. Autism-Related transcription factors underlying the Sex-Specific effects of prenatal bisphenol A exposure on Transcriptome-Interactome profiles in the offspring prefrontal cortex. Int. J. Mol. Sci. 22 https://doi.org/10.3390/ijms222413201 (2021).
Thongkorn, S. et al. Investigation of autism-related transcription factors underlying sex differences in the effects of bisphenol A on transcriptome profiles and synaptogenesis in the offspring hippocampus. Biol. Sex. Differ. 14, 8. https://doi.org/10.1186/s13293-023-00496-w (2023).
Thongkorn, S. et al. Sex differences in the effects of prenatal bisphenol A exposure on autism-related genes and their relationships with the hippocampus functions. Sci. Rep. 11, 1241. https://doi.org/10.1038/s41598-020-80390-2 (2021).
Kanlayaprasit, S. et al. Sex-specific impacts of prenatal bisphenol A exposure on genes associated with cortical development, social behaviors, and autism in the offspring’s prefrontal cortex. Biol. Sex. Differ. 15, 40. https://doi.org/10.1186/s13293-024-00614-2 (2024).
Kasitipradit, K. et al. Sex-specific effects of prenatal bisphenol A exposure on transcriptome-interactome profiles of autism candidate genes in neural stem cells from offspring hippocampus. Sci. Rep. 15, 2882. https://doi.org/10.1038/s41598-025-86392-2 (2025).
Hansen, J. B. et al. Prenatal exposure to bisphenol A and autistic- and ADHD-related symptoms in children aged 2 and5 years from the Odense child cohort. Environ. Health. 20, 24. https://doi.org/10.1186/s12940-021-00709-y (2021).
Stein, T. P., Schluter, M. D., Steer, R. A. & Ming, X. Bisphenol-A and phthalate metabolism in children with neurodevelopmental disorders. PLoS One. 18, e0289841. https://doi.org/10.1371/journal.pone.0289841 (2023).
Sesso, G. et al. Autism spectrum disorder and disruptive behavior disorders comorbidities delineate clinical phenotypes in Attention-Deficit hyperactivity disorder: novel insights from the assessment of psychopathological and neuropsychological profiles. J. Clin. Med. 9 https://doi.org/10.3390/jcm9123839 (2020).
Yoo, S. J. et al. Associations between exposure to bisphenol A and behavioral and cognitive function in children with Attention-deficit/Hyperactivity disorder: A Case-control study. Clin. Psychopharmacol. Neuroscience: Official Sci. J. Korean Coll. Neuropsychopharmacol. 18, 261–269. https://doi.org/10.9758/cpn.2020.18.2.261 (2020).
Evans, S. F. et al. Prenatal bisphenol A exposure and maternally reported behavior in boys and girls. Neurotoxicology 45, 91–99. https://doi.org/10.1016/j.neuro.2014.10.003 (2014).
Krämer, A., Green, J., Pollard, J. Jr & Tugendreich, S. Causal analysis approaches in ingenuity pathway analysis. Bioinformatics 30, 523–530. https://doi.org/10.1093/bioinformatics/btt703 (2013).
Dobin, A. et al. STAR: ultrafast universal RNA-seq aligner. Bioinformatics 29, 15–21. https://doi.org/10.1093/bioinformatics/bts635 (2013).
Harrison, P. W. et al. Ensembl 2024. Nucleic Acids Res. 52, D891–D899. https://doi.org/10.1093/nar/gkad1049 (2023).
Kõressaar, T. et al. Primer3_masker: integrating masking of template sequence with primer design software. Bioinformatics 34, 1937–1938. https://doi.org/10.1093/bioinformatics/bty036 (2018).
Perez, G. et al. The UCSC genome browser database: 2025 update. Nucleic Acids Res. 53, D1243–d1249. https://doi.org/10.1093/nar/gkae974 (2025).
Rouillard, A. D. et al. The harmonizome: a collection of processed datasets gathered to serve and mine knowledge about genes and proteins. Database baw100 (2016). (2016). https://doi.org/10.1093/database/baw100
Cook, K. B., Kazan, H., Zuberi, K., Morris, Q. & Hughes, T. R. RBPDB: a database of RNA-binding specificities. Nucleic Acids Res. 39, D301–308. https://doi.org/10.1093/nar/gkq1069 (2011).
Oliveros, J. C. An interactive tool for comparing lists with Venn’s diagrams, https://bioinfogp.cnb.csic.es/tools/venny/index.html (2007–2015).
Benoit Bouvrette, L. P., Bovaird, S., Blanchette, M. & Lécuyer, E. oRNAment: a database of putative RNA binding protein target sites in the transcriptomes of model species. Nucleic Acids Res. 48, D166–D173. https://doi.org/10.1093/nar/gkz986 (2020).
Abrahams, B. S. et al. SFARI Gene 2.0: a community-driven knowledgebase for the autism spectrum disorders (ASDs). Mol Autism 4, 36 (2013). https://doi.org/10.1186/2040-2392-4-36
Stamova, B. S. et al. Evidence for differential alternative splicing in blood of young boys with autism spectrum disorders. Mol. Autism. 4, 30. https://doi.org/10.1186/2040-2392-4-30 (2013).
Casio Keisan Online Calculator, https://keisan.casio.com/exec/system/1180573451 (2023).
Rodriguez, A. et al. ToxTrac: A fast and robust software for tracking organisms. Methods Ecol. Evol. 9, 460–464. https://doi.org/10.1111/2041-210X.12874 (2018).
Wu Tsai Neurosciences Institute. Behavioral Models | Behavioral and Functional Neuroscience Lab, (2024). https://neuroscience.stanford.edu/shared-resources/behavioral-functional-lab/services-and-rates/behavioral-models
Walf, A. A. & Frye, C. A. The use of the elevated plus maze as an assay of anxiety-related behavior in rodents. Nat. Protoc. 2, 322–328. https://doi.org/10.1038/nprot.2007.44 (2007).
Fan, Z. et al. Using the tube test to measure social hierarchy in mice. Nat. Protoc. 14, 819–831. https://doi.org/10.1038/s41596-018-0116-4 (2019).
IBM Corp. IBM SPSS Statistics for Windows (Version 28.0) [Computer software]. IBM Corp. (2021).
Sukjamnong, S. et al. Prenatal exposure to bisphenol A alters the transcriptome-interactome profiles of genes associated with alzheimer’s disease in the offspring hippocampus. Sci. Rep. 10, 9487. https://doi.org/10.1038/s41598-020-65229-0 (2020).
Zoghbi, H. Y. & Bear, M. F. Synaptic dysfunction in neurodevelopmental disorders associated with autism and intellectual disabilities. Cold Spring Harb Perspect. Biol. 4 https://doi.org/10.1101/cshperspect.a009886 (2012).
Gould, J. C. et al. Bisphenol A interacts with the Estrogen receptor α in a distinct manner from estradiol. Mol. Cell. Endocrinol. 142, 203–214. https://doi.org/10.1016/S0303-7207(98)00084-7 (1998).
Pennie, W. D., Aldridge, T. C. & Brooks, A. N. Differential activation by xenoestrogens of ERα and ERβ when linked to different response elements. J. Endocrinol. 158, R11–R14. https://doi.org/10.1677/joe.0.158R011 (1998).
Kuiper, G. G. J. M. et al. Interaction of Estrogenic chemicals and phytoestrogens with Estrogen receptor β. Endocrinology 139, 4252–4263. https://doi.org/10.1210/endo.139.10.6216 (1998).
Ghaziuddin, M. Autism in mental retardation. Curr. Opin. Psychiatry 13, 481–484 (2000).
Shan, L., Feng, J. Y., Wang, T. T., Xu, Z. D. & Jia, F. Y. Prevalence and developmental profiles of autism spectrum disorders in children with global developmental delay. Front. Psychiatry. 12, 794238. https://doi.org/10.3389/fpsyt.2021.794238 (2021).
Badawi, N. et al. Autism following a history of newborn encephalopathy: more than a coincidence? Dev. Med. Child. Neurol. 48, 85–89. https://doi.org/10.1017/s001216220600020x (2006).
Choi, Y. D., Grabowski, P. J., Sharp, P. A. & Dreyfuss, G. Heterogeneous nuclear ribonucleoproteins: role in RNA splicing. Science 231, 1534–1539. https://doi.org/10.1126/science.3952495 (1986).
Dreyfuss, G., Matunis, M. J., Piñol-Roma, S. & Burd, C. G. HnRNP proteins and the biogenesis of mRNA. Annu. Rev. Biochem. 62, 289–321. https://doi.org/10.1146/annurev.bi.62.070193.001445 (1993).
Zarnack, K. et al. Direct competition between HnRNP C and U2AF65 protects the transcriptome from the exonization of Alu elements. Cell 152, 453–466. https://doi.org/10.1016/j.cell.2012.12.023 (2013).
Gillentine, M. A. et al. Rare deleterious mutations of HNRNP genes result in shared neurodevelopmental disorders. Genome Med. 13 https://doi.org/10.1186/s13073-021-00870-6 (2021).
Niggl, E. et al. HNRNPC haploinsufficiency affects alternative splicing of intellectual disability-associated genes and causes a neurodevelopmental disorder. Am. J. Hum. Genet. 110, 1414–1435. https://doi.org/10.1016/j.ajhg.2023.07.005 (2023).
Bain, J. M. et al. Detailed clinical and psychological phenotype of the X-linked HNRNPH2-Related neurodevelopmental disorder. Neurol. Genet. 7, e551. https://doi.org/10.1212/nxg.0000000000000551 (2021).
Kreienkamp, H. J. et al. Variant-specific effects define the phenotypic spectrum of HNRNPH2-associated neurodevelopmental disorders in males. Hum. Genet. 141, 257–272. https://doi.org/10.1007/s00439-021-02412-x (2022).
Korff, A. et al. A murine model of hnRNPH2-related neurodevelopmental disorder reveals a mechanism for genetic compensation by Hnrnph1. J. Clin. Invest. 133 https://doi.org/10.1172/jci160309 (2023).
National Institutes of Health. RBMS2 RNA binding motif single stranded interacting protein 2, (2024). https://www.ncbi.nlm.nih.gov/gene/5939
Hinnebusch, A. G., Ivanov, I. P. & Sonenberg, N. Translational control by 5’-untranslated regions of eukaryotic mRNAs. Science 352, 1413–1416. https://doi.org/10.1126/science.aad9868 (2016).
Wang, K. et al. Common genetic variants on 5p14.1 associate with autism spectrum disorders. Nature 459, 528–533. https://doi.org/10.1038/nature07999 (2009).
Condomitti, G. & de Wit, J. Heparan sulfate proteoglycans as emerging players in synaptic specificity. Front. Mol. Neurosci. 11, 14. https://doi.org/10.3389/fnmol.2018.00014 (2018).
Maïza, A. et al. 3-O-sulfated Heparan sulfate interactors target synaptic adhesion molecules from neonatal mouse brain and inhibit neural activity and synaptogenesis in vitro. Sci. Rep. 10, 19114. https://doi.org/10.1038/s41598-020-76030-4 (2020).
Kamimura, K. & Maeda, N. Glypicans and Heparan sulfate in synaptic development, neural plasticity, and neurological disorders. Front. Neural Circuits. 15, 595596. https://doi.org/10.3389/fncir.2021.595596 (2021).
Fitzky, B. U. et al. Mutations in the ∆7-sterol reductase gene in patients with the Smith-Lemli-Opitz syndrome. Proc. Natl. Acad. Sci. U.S.A. 95, 8181–8186. https://doi.org/10.1073/pnas.95.14.8181 (1998).
Wassif, C. A. et al. Mutations in the human sterol ∆7-reductase gene at 11q12-13 cause Smith-Lemli-Opitz syndrome. Am. J. Hum. Genet. 63, 55–62. https://doi.org/10.1086/301936 (1998).
Yu, H. & Patel, S. B. Recent insights into the Smith-Lemli-Opitz syndrome. Clin. Genet. 68, 383–391. https://doi.org/10.1111/j.1399-0004.2005.00515.x (2005).
Merkens, L. S. et al. Effects of dietary cholesterol on plasma lipoproteins in Smith-Lemli-Opitz syndrome. Pediatr. Res. 56, 726–732. https://doi.org/10.1203/01.PDR.0000141522.14177.4F (2004).
Tierney, E. et al. Behavior phenotype in the RSH/Smith-Lemli-Opitz syndrome. Am. J. Med. Genet. 98, 191–200. https://doi.org/10.1002/1096-8628(20010115)98:2 (2001).
Duda, W. & Węsierska, M. Spatial working memory in rats: crucial role of the hippocampus in the allothetic place avoidance alternation task demanding stimuli segregation. Behav. Brain. Res. 412, 113414. https://doi.org/10.1016/j.bbr.2021.113414 (2021).
Broadbent, N. J., Squire, L. R. & Clark, R. E. Spatial memory, recognition memory, and the hippocampus. Proc. Natl. Acad. Sci. U S A. 101, 14515–14520. https://doi.org/10.1073/pnas.0406344101 (2004).
Mohapatra, A. N. & Wagner, S. The role of the prefrontal cortex in social interactions of animal models and the implications for autism spectrum disorder. Front. Psychiatry. 14, 1205199. https://doi.org/10.3389/fpsyt.2023.1205199 (2023).
Franklin, T. B. et al. Prefrontal cortical control of a brainstem social behavior circuit. Nat. Neurosci. 20, 260–270. https://doi.org/10.1038/nn.4470 (2017).
Braun, J. M. et al. Prenatal bisphenol A exposure and early childhood behavior. Environ. Health Perspect. 117, 1945–1952. https://doi.org/10.1289/ehp.0900979 (2009).
Acknowledgements
The authors would like to acknowledge Asst. Prof. Dr. Suwanakiet Sawangkoon, Assoc. Dr. Anusak Kijtawornrat, Dr. Nitira Anakkul, Dr. Choopet Nitsakulthong, Ms. Sornsawan Chumjai, Ms. Saifon Sreechomphoe, and Mr. Phanupong Dungkhokkruat of the Chulalongkorn University Laboratory Animal Center for their assistance with the ethical approval process and training P.P., S.K., K.S., K.K., P.L., T.J., S.T., and T.S. in the proper care and use of laboratory animals. We also express our gratitude to Asst. Prof. Dr. Depicha Jindatip, Department of Anatomy, Faculty of Medicine, Chulalongkorn University, for her guidance in synaptogenesis analysis and provided the Imaris program. We want to thank Lecturer Dr. Bumpenporn Sanannam for her valuable assistance with animal handling and brain tissue collection, and Ms. Natradee Borisutsawat for helping with the analysis of the behavioral tests.
Funding
This study was supported by a grant from the Thailand Science Research and Innovation Fund Chulalongkorn University (HEAF67370092 and HEA_FF_68_083_3700_006), Ratchadapisek Somphot Fund for Supporting Research Unit and Center of Excellence, Chulalongkorn University (CE68_080_3700_001), and the NSRF via the Program Management Unit for Human Resources & Institutional Development, Research and Innovation (B36G660008) to T.S. This research and innovation activity is funded by National Research Council of Thailand (NRCT) to P.P., S.T., K.K., and P.L.. P.P. also was financially supported by “The 90th Anniversary Chulalongkorn University Fund (Ratchadaphiseksomphot Endowment Fund: GCUGR1125651060D-60)”, “The 100th Anniversary Chulalongkorn University Fund for Doctoral Scholarship”, and “The Overseas Research Experience Scholarship for Graduate Students from the Graduate School, Chulalongkorn University”. S.K. and T.Sae. were financially supported by the Second Century Fund (C2F), Chulalongkorn University, Bangkok, Thailand. S.T. and T.J. received a Royal Golden Jubilee Ph.D. Programme Scholarships (PHD/0029/2561 and N41A650065, respectively) from the Thailand Research Fund and National Research Council of Thailand and “The 90th Anniversary Chulalongkorn University Fund (Ratchadaphiseksomphot Endowment Fund: GCUGR1125632108D-108 and GCUR1125662067D, respectively)”, Graduate School, Chulalongkorn University. K.K. and P.L. were supported by “The 100th Anniversary Chulalongkorn University Fund for Doctoral Scholarship” and “The 90th Anniversary Chulalongkorn University Fund (Ratchadaphiseksomphot Endowment Fund: GCUGR1125632109D-109 and GCUGR1125651062D-062, respectively)” from the Graduate School, Chulalongkorn University. K.S. received financial support from a “Scholarship from the Graduate School Chulalongkorn University to commemorate the 72nd anniversary of His Majesty King Bhumibala Aduladeja”. Animal husbandry and housing were financially supported by the Chulalongkorn University Laboratory Animal Center (CULAC) Grant (Animal Use Protocol No. 2073011 and 2273007R1) to T.S., K.K., and P.L.
Author information
Authors and Affiliations
Contributions
P.P. performed all the experiments, analyzed the data, and drafted the manuscript under the supervision of T.S., T.I., and S.K.. T.S., S.K., K.S., P.L., K.K., T.J., S.T., and T.Sae. assisted P.P. with rat treatment, behavior experiments, and tissue collection. S.S. assisted P.P. with the behavior experiments. S.K. performed the RNA isolation and RNA sequencing. T.Sae. assisted P.P. in the correlation analysis. V.W.H. assisted with bioinformatic analysis using the Ingenuity Pathway Analysis program. T.S. conceived the study, designed the experiments, analyzed the data, interpreted the results, determined the conclusions, and participated in the writing and editing of this manuscript. All the authors read and approved the final manuscript.
Corresponding author
Ethics declarations
Competing interests
The authors declare no competing interests.
Ethics approval and consent to participate
All animal experiment procedures were approved by the Chulalongkorn University Animal Care and Use Committee (animal use protocol numbers: 1673007, 1773011, and 2073011), Chulalongkorn University.
Consent for publication
Not applicable.
Additional information
Publisher’s note
Springer Nature remains neutral with regard to jurisdictional claims in published maps and institutional affiliations.
Electronic supplementary material
Below is the link to the electronic supplementary material.
Rights and permissions
Open Access This article is licensed under a Creative Commons Attribution-NonCommercial-NoDerivatives 4.0 International License, which permits any non-commercial use, sharing, distribution and reproduction in any medium or format, as long as you give appropriate credit to the original author(s) and the source, provide a link to the Creative Commons licence, and indicate if you modified the licensed material. You do not have permission under this licence to share adapted material derived from this article or parts of it. The images or other third party material in this article are included in the article’s Creative Commons licence, unless indicated otherwise in a credit line to the material. If material is not included in the article’s Creative Commons licence and your intended use is not permitted by statutory regulation or exceeds the permitted use, you will need to obtain permission directly from the copyright holder. To view a copy of this licence, visit http://creativecommons.org/licenses/by-nc-nd/4.0/.
About this article
Cite this article
Panjabud, P., Kanlayaprasit, S., Thongkorn, S. et al. Prenatal exposure to bisphenol A disrupts RNA splicing in the prefrontal cortex and promotes behaviors related to autism in offspring. Sci Rep 15, 25996 (2025). https://doi.org/10.1038/s41598-025-09909-9
Received:
Accepted:
Published:
Version of record:
DOI: https://doi.org/10.1038/s41598-025-09909-9
Keywords
This article is cited by
-
Sex-dependent epigenetic disruption of YY1 binding by prenatal BPA exposure downregulates Matr3 and alters Agap1 splicing in the offspring hippocampus
Biology of Sex Differences (2025)
-
Maternal monosodium glutamate exposure disrupts leptin and insulin signaling in the hypothalamus, activating NF-κB and mTOR inflammatory pathways, contributing to metabolic dysfunction in male offspring
International Journal of Obesity (2025)












