Abstract
Ruminal ciliates are linked to methane production and nitrogen utilization efficiency in ruminants due to their association with other ruminal microorganisms. However, research on the specific interplay between ruminal bacteria and ciliates is still limited, particularly in different dietary conditions. This study examines the effect of the forage-to-concentrate (F:C) ratio on the ruminal bacteriome in vitro, focusing on bacteria associated with Isotricha spp. and small entodinia. The rumen fluid used as the inoculum for this experiment was collected from two cannulated Hanwoo cows. Dietary treatments included high-forage (HF, F:C of 7:3), high-concentrate (HC, F:C of 3:7), and control (CON, F:C of 5:5). After 24-hour incubation, fractions for entodinia-associated bacteria (EAB), Isotricha-associated bacteria (IAB), and total bacteria (TB) were collected for bacteriome analysis using QIIME2 with full-length 16S rRNA gene sequences on the PacBio system. All fermentation parameters, except for NH3-N, showed linear changes with increasing F:C ratios (p ≤ 0.05). F:C ratio affected Isotricha spp. and Dasytricha spp. counts. Ciliate-associated bacterial fractions were significantly less diverse than the total bacterial group, as indicated by richness, phylogenetic diversity, and evenness indices. This suggests potential specific associations within ciliate-provided microhabitats. Both diet and ciliate fractions significantly influenced the overall bacteriome (p ≤ 0.05). More bacteriome features were differentially abundant due to the ciliate fraction effect rather than diet (q ≤ 0.05). Our newly proposed washing procedure, using higher ciliate cell counts and minimal bacterial contamination, effectively removed free-living or loosely associated bacteria. This allows focus on ciliate-associated bacterial populations, which may include potential symbionts or engulfed bacteria of host ruminal ciliates. Verifying these associations could provide insights into rumen microbiome dynamics, nitrogen utilization, hydrogen balance, and microbiome variation under different F:C ratios.
Similar content being viewed by others
Introduction
Ruminants, unlike monogastric animals, have a rumen that serves as the primary site for anaerobic fermentation of dietary fiber and starch1,2. Although ruminants lack enzymes with lignocellulolytic capabilities, they can utilize lignocellulose through a symbiotic relationship with the bacteria, archaea, fungi, and protozoa that inhabit the rumen, aided by the enzymes these microorganisms secrete. Among these, ruminal ciliate protozoa, which constitute up to 50% of the ruminal microbial biomass3 play significant roles such as fiber degradation4,5. Additionally, they are negatively associated with nitrogen utilization efficiency by preying on other microorganisms3,6 interact with hyper-ammonia-producing bacteria7 and contribute to enteric methane emissions through their close association with methanogens8,9. Due to their symbiotic relationship with methanogens, ruminal ciliates are involved in 9–37% of ruminal methane production9,10. However, research on ruminal ciliates is limited due to cultivation constraints and insufficient databases11.
Therefore, studying ciliate-associated bacteria, such as engulfed bacteria and endo- or ecto-symbionts, is crucial for understanding rumen microbial communities alongside ruminal ciliates12,13. However, culturing these ruminal ciliates is impossible without live bacteria14,15. Due to the lack of successful cultivation methods to maintain monocultures of isotrichids, additional efforts are needed to elucidate interactions, such as metabolic exchanges or symbiotic relationships between ruminal ciliates and bacteria, through culture-independent methods. To address these cultivation-dependent limitations, several studies have utilized monofaunated ruminants to investigate ruminal metabolic exchanges such as nutrient digestibility, methane production and microbial protein flow, as well as to elucidate ciliate-associated bacteria16,17,18,19.
Furthermore, two previous studies20,21 were conducted in vivo to investigate the impact of isotrichids and overall ruminal ciliates on the microbial community within the rumen, providing valuable insights into the potential influence of ruminal ciliates on rumen microbiota and fermentation. Of the two early studies investigating the relationship between ruminal ciliates and prokaryotic communities, one study20 utilized terminal restriction fragment length polymorphism (T-RFLP) for fingerprinting analysis about ruminal bacteriota and archaeota, while another study21 compared T-RFLP with Ion Torrent-based for next-generation sequencing to examine ruminal bacteriota. Despite these efforts to elucidate the influence of ruminal ciliates on ruminal prokaryotic communities, the result of previous study15 that ruminal ciliates rely on bacteria for their growth underscores the necessity for preliminary studies to elucidate the composition and functions of the bacteria associated with them before defining their roles and characteristics. However, neither study successfully identified the prokaryotes specifically associated with ruminal ciliates, and the limitations of molecular techniques at the time hindered microbiome analysis based on full-length 16S rRNA gene sequencing accompanied with predicted functional profiles. Therefore, the research is required that simultaneously addresses these two limitations.
To overcome these limitations, it is essential to create fractions with a sufficient number of specific ciliate genera to identify ciliate-associated bacteria, especially those ciliate genera implicated in methane production or nitrogen utilization efficiency in ruminants, such as isotrichids and small entodinia16,22,23. Furthermore, an improved bacterial washing step is required to effectively remove free-living bacteria.
Thus, this study sought to investigate the effect of forage-to-concentrate (F:C) ratios on the ruminal bacteriome in vitro, focusing on bacterial communities and their functions associated with different ciliate groups, represented by total bacteria (TB), small entodinia-associated bacteria (EAB), and Isotricha-associated bacteria (IAB), as well as their interactions. Ciliate-associated bacteria refers either to symbiotic bacteria that exist in endo- or ectosymbiotic relationships with ciliate cells, or to bacteria specifically engulfed by ciliates, which provide metabolic end-products to their host ciliates. Verifying specific bacteria-ciliate associations will provide key insights into the metabolic dynamics of the rumen microbiome, including limited nitrogen utilization efficiency, hydrogen balance related to methane production, and overall rumen microbiome variations in response to different F:C ratios.
Results
Effect of F:C ratios on in vitro fermentation parameters and ciliate counts
All in vitro fermentation parameters, except for NH₃-N, exhibited significant linear changes with increasing F:C ratios (Table 1, p < 0.01). Specifically, dry matter digestibility (DMD) and neutral detergent fiber digestibility (NDFD) significantly decreased as the F:C ratio increased linearly (Table 1, p ≤ 0.01). In particular, DMD and NDFD were significantly decreased in response to an increasing F:C ratio, whereas the acetate-to-propionate (A:P) ratio were significantly lower in HC group compared to CON and HC groups (DMD, NDFD and A:P ratio, p < 0.001). Furthermore, methane yield [CH4 (mL/g of degraded dry matter)] and pH were significantly higher in the high-forage (HF) group compared to the control (CON) and high-concentrate (HC) groups, whereas methane production [CH4 (mL)] was significantly higher in the HC group than in the CON and HF groups. Additionally, total gas production and total volatile fatty acid (VFA) concentration were lowest in the HF group. Ammonia nitrogen (NH₃-N) levels did not show any significant change across F:C ratios (p > 0.05).
For VFA measurements (Supplementary Table S2), the acetate molar proportion was significantly lower in the HC group compared to the CON and HF groups. Conversely, the molar proportions of butyrate and isovalerate were significantly higher in the HC group compared to the CON and HF groups. Furthermore, the molar proportions of isobutyrate and valerate were significantly lower in the CON group compared to the HC and HF groups.
Absolute ciliate cell counts of in vitro inoculum and each diet group are presented in Table 2 and Supplementary Table S3. For the Isotricha genus, the CON group exhibited significantly higher counts than the HC group (p ≤ 0.05). Similarly, Dasytricha counts tended to be higher in the CON group than in the HC group (0.05 < p ≤ 0.10). However, the F:C ratios had no significant influence on the genera Diplodinium, and Entodinium, and total ciliate counts (p > 0.10).
Effect of F:C ratios and ciliate fractions on alpha- and beta-diversity of ruminal bacteriome
After pre-processing of raw sequences, an average of 27,167 high-quality Amplicon sequence variants (ASVs) were obtained for 45 samples from in vitro batch cultures (Supplementary Table S4). Using a repeatedly rarefied BIOM table containing 7,135 ASVs per sample, alpha- and beta-diversity were analyzed. Good’s coverage of all samples was above 99.79%.
With increasing forage proportion, none of the alpha-diversity indices exhibited quadratic changes (p > 0.05), although a linear increase in Shannon’s index was identified (p = 0.011) (Table 3). For the ciliate fraction effect, ASV richness, phylogenetic diversity, and Shannon’s index were significantly higher in the TB group than in the EAB and IAB groups (Table 3). Additionally, the TB and IAB groups exhibited significantly greater evenness compared to the EAB group (p < 0.0001). Simpson’s index was significantly higher in the TB group than in the EAB group. Significant interaction effects between diet and ciliate fraction were observed for richness indices and phylogenetic diversity (p ≤ 0.05).
The bacterial functional profiles were predicted from 16S rRNA gene sequencing data using Phylogenetic Investigation of Communities by Reconstruction of Unobserved States 2 (PICRUSt2) to identify changes in bacterial metabolism in response to diet and ciliate fraction. Predicted Kyoto Encyclopedia of Genes and Genomes (KEGG) orthologs were clustered into KEGG pathways. Only the ciliate fraction had a significant effect on the number of functional features (KEGG pathway, p < 0.0001; KEGG ortholog, p < 0.0001; Supplementary Table S5), with neither diet nor its interaction with ciliate fraction having a significant effect (p > 0.05). Regarding the effect of ciliate fraction, the number of KEGG orthologs and pathways was significantly higher in the TB group compared to both the EAB and IAB groups (Supplementary Table S5).
According to the PERMANOVA (Adonis) test based on Bray-Curtis dissimilarity, the ciliate fraction had a statistically significant effect on the overall bacterial community structure (p = 0.0003; Fig. 1A). All pairwise comparisons between the three ciliate fraction groups were also significant (Benjamini-Hochberg corrected q < 0.01). The PCA plot was used to visualize these compositional differences among groups. Different F:C ratios also had a significant influence on the overall bacteriota (p = 0.0392; Fig. 1A) but pairwise comparisons between the three diet groups were not significantly different (q > 0.05). Similarly, both diet and ciliate fraction effects significantly influenced the overall bacterial functional profile (p = 0.0382 and p = 0.0069, respectively), with significant differences observed between the TB and EAB groups and the EAB and IAB groups (q = 0.0160 and q = 0.0130, respectively). Diet effects were observed only between the HC and HF groups (Fig. 1B, q = 0.0124). The interaction effect between ciliate fraction and diet was significant for both the bacteriota and its corresponding functional profile (p = 0.0001 and p = 0.0136, respectively; Fig. 1A and B).
Effect of F:C ratios and ciliate fractions on the composition of ruminal bacteriota
The major bacterial taxa were identified at the phylum, genus, and species levels based on their relative abundance (RA) of over 0.5% in each dietary or ciliate fraction group and their presence in at least 50% of the samples within each group.
Regarding the RA of bacterial phyla in each ciliate fraction, Bacillota and Bacteroidota were the first and second most dominant phyla in the TB and IAB groups, respectively, whereas in the EAB group, this order was reversed (Supplementary Table S6). In the TB group, the next most abundant phyla in descending order were Pseudomonadota, Verrucomicrobiota, and Fibrobacterota. In contrast, the EAB group showed Cyanobacteria, Spirochaetota, and Pseudomonadota as the next most abundant phyla. Additionally, in the IAB group, Spirochaetota, Elusimicrobiota, and Cyanobacteria were the third, fourth, and fifth most abundant phyla, respectively (Supplementary Table S6). The results of the differential abundance test (Microbiome Multivariable Association with Linear Models 2, MaAsLin2) revealed that Pseudomonadota, Verrucomicrobiota, and Fibrobacterota were more abundant in the TB group compared to other groups, whereas Bacteroidota and Cyanobacteria were more abundant in the EAB group compared to other groups. Bacillota, Spirochaetota, Elusimicrobiota, and Planctomycetota were more abundant in the IAB group compared to other groups (Table 4).
Specifically, in the TB group, five dominant genera were observed: the Rikenellaceae RC9 gut group, the Oscillospiraceae NK4A214 group, Prevotella, the Christensenellaceae R-7 group, and Succiniclasticum (Supplementary Table S6). In the EAB group, five dominant genera were observed (Supplementary Table S6): the Rikenellaceae RC9 gut group, UCG-010 (within the Oscillospirales order), the Oscillospiraceae NK4A214 group, the Christensenellaceae R-7 group, and the Oscillospiraceae UCG-005 group. For the IAB group, five dominant genera were observed (Supplementary Table S6): the Rikenellaceae RC9 gut group, the Oscillospiraceae NK4A214 group, Prevotella, Butyrivibrio, and Saccharofermentans.
The differential abundance test results indicated that twelve major microbial genera, including the Christensenellaceae R-7 group, Ruminococcus, and Succinivibrio, were more abundant in the TB group. Three major microbial genera, including [Oscillospirales] UCG-010, were more abundant in the EAB group, while six major microbial genera, including Butyrivibrio, Saccharofermentans, and the Lachnospiraceae AC2044 group, were more abundant in the IAB group (Table 4).
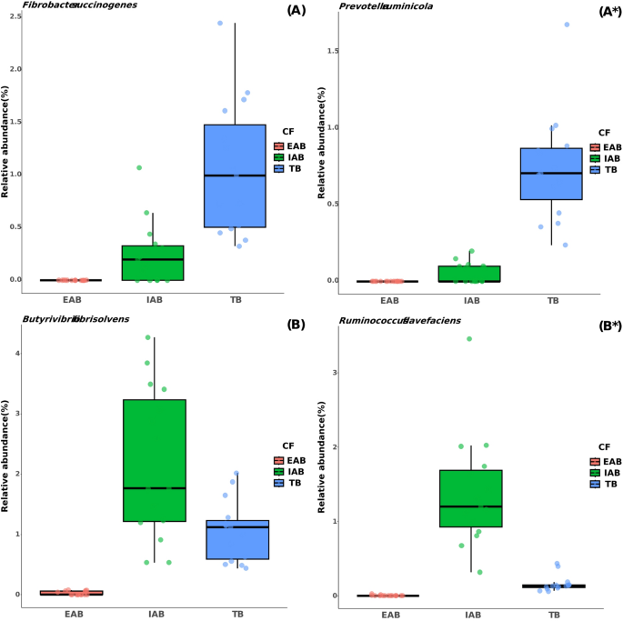
At the species level, no specific ciliate associations were found with the RA of Fibrobacter succinogenes and Prevotella ruminicola, whose abundance was predominant in the TB group (Fig. 2A). Additionally, well-known cellulolytic bacteria such as Butyrivibrio fibrisolvens (2.20%) and Ruminococcus flavefaciens (1.4%) exhibited significantly higher RA in the IAB group (Fig. 2B, p ≤ 0.05).
To confirm the absolute abundance of these bacterial species within each ciliate fraction group, real-time quantitative PCR (qPCR) was performed. The absolute abundance of total bacteria (expressed as log copy number) was directly quantified for sample derived DNA (SDD) of each ciliate fraction group, while the RA of Ruminococcus flavefaciens and Butyrivibrio fibrisolvens were calculated based on their respective absolute abundances relative to total bacteria. These data are presented in Supplementary Table S7. The absolute abundance of total bacteria (log copy number) differed among groups, with TB_SDD showing the highest load (9.39 ± 0.03), followed by EAB_SDD (7.86 ± 0.01) and IAB_SDD (6.38 ± 0.01). Ruminococcus flavefaciens had the lowest RA (%) in EAB_SDD (0.21 ± 0.06), intermediate in TB_SDD (0.81 ± 0.15), and highest in IAB_SDD (2.59 ± 0.15). Likewise, Butyrivibrio fibrisolvens was most enriched in IAB_SDD (13.64 ± 0.85) compared to TB_SDD (2.63 ± 0.12) and EAB_SDD (0.89 ± 0.12).
Regarding the diet effect, Bacillota, Bacteroidota, and Pseudomonadota were the first, second, and third most dominant phyla across all diet groups, respectively. Variations in the fourth and fifth most dominant phyla were noted among the HC, CON, and HF groups, with Cyanobacteria, Spirochaetota, and Elusimicrobiota varying by group (Supplementary Table S6).
At the genus level, the top five genera across all diet groups were Rikenellaceae RC9 gut group, Oscillospiraceae NK4A214 group, Prevotella, UCG-010 (within the Oscillospirales order), and the Christensenellaceae R-7 group, differing slightly in rank across diets (Supplementary Table S6). Differential abundance test showed that Bacillota and Fibrobacterota increased with higher F:C ratios, while Pseudomonadota decreased. Similarly, several bacterial genera and species showed varying trends with diet including increased Ruminococcus, Saccharofermentans, and Butyrivibrio fibrisolvens with higher F:C ratios (Supplementary Table S8 and Table S9), although numerous uncultured and unclassified bacterial taxa also showed differential abundance across the diet and ciliate fraction groups.
Effect of F:C ratios and ciliate fraction on the composition of predicted bacterial functions
The results of the differential abundance test for diet effect showed that as the F:C ratio increased, ko00010 exhibited a negative coefficient, whereas ko02010 and ko05120 displayed positive coefficients (Supplementary Table S8). Regarding the ciliate fraction effect, two KEGG pathways were more abundant in the TB group compared to other groups (Table 4). Fourteen KEGG pathways had a higher RA in the EAB group compared to other groups, whereas only one pathway was more abundant in the IAB group compared to other groups.
Differences in bacterial composition and its functional profile between donor inoculum and control group
For bacterial composition, significant differences were observed between donor inoculum and control groups (Supplementary Table S10). Using the Bray-Curtis similarity index, significant differences were found at the phyla, genera, and species levels (p < 0.05). Similarly, the Jaccard similarity index indicated significant differences at the genera and species levels (p < 0.05), while no significant difference was observed at the phylum level (p > 0.05).
In contrast, no significant differences were detected in the functional profiles based on KEGG pathways between the two groups. Based on both the Bray-Curtis similarity and Jaccard indices didn’t show significant differences (p > 0.05).
Correlation between bacterial genera and in vitro fermentation parameters
There were 30 significant correlations (|r| ≥ 0.5, p ≤ 0.05) between the RA of major ruminal bacterial genera of total bacteria group and ruminal fermentation characteristics (Fig. 3). Among these significant correlations, Lachnospiraceae ND3007 group, which was enriched in HF group, showed negative correlations with DMD, NDFD, and total VFA concetration. Saccharofermentans, which was also abundant in the HF group, showed negative correlations with NH3-N and total gas production, but positive correlations with the molar proportions of isobutyrate and valerate. Anaerovoracaceae Family XIII AD3011 group was positively correlated with DMD, NDFD, total gas production, and total VFA concentration, but it was negatively correlated with ruminal pH. Butyrivibrio was positively correlated with DMD and NDFD. Similarly, Ruminococcus, which was higher with increasing F:C ratio, was positively correlated with DMD and NDFD, but negatively correlated with methane yield. Lachnospiraceae XPB1014 group, which was higher in CON group, showed negative correlations with molar proportions of butyrate and isovalerate. Otherwise, Rikenellaceaea RC9 gut group was negatively correlated with methane yield. Lachnospiraceae AC2044 group, which was abundant in the HF group, was positively correlated with ruminal pH and methane yield, but negatively correlated with total gas production and total VFA concentration. UCG-010 (within the Oscillospirales order) was negatively correlated with DMD, NDFD, and the molar proportions of isovalerate and total VFA concentration. CAG-352 (within the Ruminococcaceae order) showed negative correlations with molar proportion of butyrate and isovalerate.
PCA plots for bacteriota (A) and its functional profile represented by KEGG orthologs (B), and their statistical values based on the Bray-Curtis dissimilarity. Diet, diet effect after 24 h of incubation (F:C ratio); CF, ciliate fraction effect after 24 h of incubation; Diet × CF, interaction between the diet and ciliate fraction effects; TB, total bacteria; EAB, small entodinia-associated bacteria; IAB, Isotricha-associated bacteria; HC, high-concentrate group; CON, control group; HF, high-forage group.
Discussion
This study sought to elucidate the bacteria associated with ruminal ciliates, such as Isotricha and small entodinia, which are potentially linked to methane production or nitrogen utilization efficiency. Previous studies have leveraged 16S rRNA gene-based microbiome analysis to investigate prokaryotes associated with ruminal ciliates, exploring whether they are merely prey or potential symbionts13,24,25. Among these, two studies24,25 successfully analyzed size-based ciliate fractions. However, they did not target specific ciliate genera and their bacterial washing methods were insufficient for completely removing free-living or loosely associated bacteria. In contrast, another study13 obtained single cells for each ciliate genus but was limited by the small number of single cells (only three per genus), which did not allow for obtaining convincing representatives of associated prokaryotes. Additionally, none of these studies examined changes in ciliate composition and associated prokaryotes in response to different forage-to-concentrate (F:C) ratios, nor did they use full-length 16S rRNA genes for microbiome analysis, which is recommended for resolving bacterial compositions at the species level26. To address these gaps, this study used full-length 16S rRNA gene data to improve taxonomic resolution and examined the impact of the F:C ratio on ruminal ciliates and subsequent changes in ciliate-associated bacterial diversity, a topic that has remained largely unexplored. The strength of this study lies in its use of more accurate ciliate cell counts and minimal bacterial contamination for the characterization of the ciliate-associated bacteriome. However, despite the strengths of our study, we were not able to completely account for the potential effects of differences between the donor animals’ diet and the in vitro diet on the rumen microbiota. Therefore, it is important to acknowledge that abrupt dietary changes from host rumen to in vitro conditions may have influenced the microbial community shifts in this study, although there were no significant functional profile differences of bacteriota in between the donor inoculum and the control diet-fed samples. Additionally, this study did not directly analyze ciliate-associated bacteria immediately after rumen fluid collection. Such an analysis could have clarified the initial microbial associations and their subsequent adaptation to the experimental conditions. This limitation highlights the need for future studies to include immediate post-collection analyses to better capture the dynamic interactions between ciliates and their associated bacteria.
Nonetheless, the in vitro batch culture system used in this study could have introduced variability in fermentation profiles, ruminal pH, digestibility, and isotrichids’ cell counts. These environmental factors may have influenced the bacterial composition and the activity of ciliates, including their fermentation and bacterivory behaviors.
Effect of diet on in vitro fermentation parameters and ciliate cell counts
According to previous studies, microbial fermentation tends to occur more prominently when the proportion of dietary concentrate is higher since concentrates have more starch and fewer structural carbohydrates than forage27,28. Therefore, the HC group experienced relatively faster microbial fermentation, with parameters such as DMD, NDFD, methane production, total gas, and total VFA concentration all expected to be significantly higher. Under our experimental conditions, the linear decrease in pH with decreasing F:C ratio was primarily associated with the higher VFA concentration29,30. The A:P ratio was expected to be significantly higher in the HF group, as cellulolytic bacteria tended to produce more acetate than propionate in the HF group. However, some cellulolytic bacteria, such as Ruminococcus flavefaciens, produce large amounts of succinate that can be further converted to propionate31,32which is consistent with previous studies33,34. This supports the lack of a significant difference in molar proportion of propionate. Meanwhile, the higher levels of butyrate observed in the HC group are consistent with previous studies33,35. Acetate and butyrate can be interconverted by rumen microbes33and the administration of a high-concentrate diet enhances their metabolism through energy consumption, simultaneously promoting the conversion of acetate to butyrate36. These findings would explain why although the HC and CON groups exhibited similar total VFA levels, their molar proportions of acetate and butyrate were significantly different. Except for Fibrobacter, the RA of most saccharolytic and cellulolytic bacteria and NDFD were lower in the HF group, aligning with previous research37. Specifically, the higher RA of saccharolytic and cellulolytic bacteria in the IAB group suggests a potential symbiotic relationship or selective engulfment by Isotricha, likely reflecting the presence of endosymbionts or engulfed bacteria. This evidence supports the lower RA of cellulolytic bacteria (Ruminococcus spp. and Butyrivibrio fibrisolvens) and the lower NDFD observed in the HF group.
For ciliate populations, the total ciliate cell counts significantly increased linearly with higher F:C ratios, reflecting the cell count distribution pattern of Entodinium spp. This starch-preferring genus comprised more than 90% of the total ciliate cell counts in all samples, which is consistent with typical rumen conditions38.
Impact of diet and ciliate fraction on the composition and alpha- and beta diversity of ruminal bacteriota
The absolute number of KEGG pathways was lower in the ciliate-associated bacteria groups (EAB, IAB), likely due to the significantly lower alpha-diversity in these groups. Additionally, the significant differences in alpha-diversity among each ciliate group can explain the variations in beta-diversity of the overall microbiota and KEGG orthologs.
Diet effect
In this study, Ruminococcus abundance increased with higher F:C ratios, whereas Treponema exhibited the opposite trend, which aligns with previous findings39. This observation can be attributed to the fact that the members of the genus Ruminococcus are known to be cellulolytic bacteria40 whereas the genus Treponema is recognized as saccharolytic bacteria41. Previous research39 reported a higher abundance of members of the Lachnospiraceae family in the HF group, which is consistent with our findings that the abundance of Lachnospiraceae (unclassified, AC2044 group, ND3007 group), excluding the Lachnospiraceae XPB1014 group, increased with higher F:C ratios. This may also be related to the Lachnospiraceae family being a potentially fibrolytic bacterial family42.
Non ciliate associated bacteria (enriched in TB)
The genus Succinivibrio, enriched in the TB group, belongs to the family Succinivibrionaceae, which is associated with low methane emissions in ruminants43. Contrary to previous studies13,24,25 our findings revealed a higher RA of Succinivibrionaceae in the TB group compared to the ciliate-associated bacteria groups (i.e., EAB and IAB). This discrepancy could be due to the excessive washing procedure used in this study, which might have washed away the loosely-associated Succinivibrionaceae from host ruminal ciliates. The resistance of Succinivibrionaceae to ciliate predation, as observed in a previous study44 supports this hypothesis. A previous study3 reported that Butyrivibrio fibrisolvens was predominantly consumed by ruminal ciliates other than Entodinium caudatum, whereas Prevotella ruminicola was rarely ingested. This aligns with our findings of Prevotella ruminicola being enriched in the TB group and Butyrivibrio fibrisolvens in the IAB group. Another study45 showed that Prevotella spp., excluding Prevotella ruminicola, were only found in faunated cattle, suggesting that ciliate-associated Prevotella might include species other than Prevotella ruminicola. Moreover, Fibrobacter succinogenes, a major cellulolytic bacterium in the rumen, was enriched in the TB group. This result aligns with previous findings46 that showed a significant decrease in Fibrobacter succinogenes presence with any type of ciliate. The slight presence of Fibrobacter succinogenes in the IAB group might be due to the preference of Isotricha spp. for rod-shaped bacteria47.
Small entodinia-associated bacteria (enriched in EAB)
Previous studies comparing defaunated and faunated fermenters in continuous culture environments48 found that the abundance of the Rikenellaceae RC9 gut group significantly decreased in faunated fermenters, suggesting a significant reduction due to ruminal ciliates, likely through predation. The Rikenellaceae RC9 gut group is a highly dominant bacterium in the rumen49 with fiber degradation ability and is also related to carbohydrate and nitrogen utilization, VFA production, and improved ruminant productivity50,51,52. The negative correlation between NH3-N and Rikenellaceae RC9 gut group abundance in previous study53 supports the hypothesis that small entodinia ciliates (e.g., Entodinium spp. and Diplodinium spp.) might preferentially consume these bacteria, potentially negatively impacting nitrogen utilization efficiency in ruminants23. Furthermore, the positive correlation between the abundance of this bacterial taxon and concentrations of acetate and propionate observed in the same study53 supports our finding ofthe negative correlation between this taxon and methane yield.
Isotricha-associated bacteria (enriched in IAB)
In this study, Ruminococcus flavefaciens, which was enriched in the IAB group, is known to exchange hydrogen with Methanobrevibacter ruminantium when co-cultured54. This suggests that Isotricha spp. might have a strong metabolic relationship with methanogens by having a symbiotic association with Ruminococcus flavefaciens or preferentially preying on this bacterium. Additionally, Butyrivibrio, including Butyrivibrio fibrisolvens as major species, was more enriched in the IAB group, potentially due to its ability to degrade starch and its rod shape characteristic of the members of the Vibrio genus, making it a preferred food for Isotricha spp47. As suggested by Matz and Kjelleberg55 ingested Butyrivibrio fibrisolvens could hypothetically adopt one of three strategies to survive intracellularly within its host (Isotricha spp.): digestion resistance (potentially associated with bacteriocin produced by B. fibrisolvens)56 toxin release, and intracellular growth. These evidences also suggest the possibility that members of the Butyrivibrio genus, such as Butyrivibrio fibrisolvens, may serve as endosymbionts of Isotricha spp. Conversely, Lachnospiraceae AC2044, also enriched in the HF and IAB groups, showed a positive correlation with CH4 production, suggesting that these bacteria might be specifically consumed by Isotricha spp. Additional studies are necessary to elucidate the relationship between Isotricha spp., Isotricha-associated bacteria, and methanogenesis. Furthermore, saccharolytic bacteria such as Saccharofermentans were mostly absent in the EAB group but were significantly more abundant in the IAB group compared to the TB group, suggesting their potential role as endosymbionts in Isotricha, particularly considering the preference of Isotricha for sucrose57.
Overall, considering the associations between the Rikenellaceae RC9 gut group and the IAB and EAB groups, as well as the associations between Butyrivibrio fibrisolvens or Saccharofermentans and the IAB group, our findings suggest that some bacteria may provide metabolites to ruminal ciliates either directly (through engulfment) or indirectly (through symbiosis), indicating their interdependence. This supports previous research findings indicating that ruminal ciliates cannot survive in environments without bacteria58. Shifts in the structure of the rumen microbial community due to dietary composition have been previously reported59 with high-forage diets generally increasing microbial diversity. These findings from previous studies can explain the changes in alpha-diversity due to dietary treatment observed in our study. Furthermore, distinct ciliate-associated bacterial communities were evident based on alpha- and beta-diversity, highlighting the diversity of bacterial communities associated with ciliate community composition. The significantly reduced alpha-diversity and completely separated bacteriome in ciliate-associated bacterial fractions (i.e., EAB and IAB) confirmed that our newly proposed washing procedure successfully removed free-living or loosely associated bacteria from the specific ciliate groups. This allows researchers to focus on the associated bacterial populations, which can be further studied as potential symbionts.
Metabolic relationship between in vitro fermentation parameters and major bacterial genera
KEGG pathways and diet
In this study, the RA of genes associated with the ko00010 (Glycolysis/Gluconeogenesis) pathway decreased linearly as the F:C ratio increased, likely because the HC group diet contained more readily fermentable starch, enhancing glycolysis. This aligns with previous findings that ruminal bacteria increase glycolysis in the presence of easily fermentable carbohydrates60. Conversely, the RA of genes associated with the ko02010 (ABC transporters) pathway increased linearly with the F:C ratio. These findings contrast with previous studies that have linked increased transport of sugars to VFA production61. However, our results are consistent with the contribution of Ruminococcus to the enrichment of ABC transporters. Additionally, the classification of ABC transporters into various transporter types such as monosaccharide transporters, phosphate and amino acid transporters, mineral and organic ion transporters, and oligosaccharide, polyol, and lipid transporters62 aligns with the versatility of Ruminococcus as a carbohydrate utilizer63.
KEGG pathways, ruminal ciliates, and their associated bacteria
Rikenellaceae RC9 gut group, enriched in the EAB group, is known for producing VFAs such as acetate and propionate64,65. The significantly higher RA of genes associated with the ko00020 (Citrate cycle (TCA cycle)) pathway in the EAB group supports the acetate production ability of the Rikenellaceae RC9 gut group, as acetate can be converted to acetyl-CoA, a precursor for the TCA cycle66. Previous studies have shown that ruminal ciliate biohydrogenation of unsaturated fatty acids (USFAs) is performed by engulfed bacteria rather than the ciliates themselves67,68. This suggests that the enrichment of the ko01040 (Biosynthesis of unsaturated fatty acids) pathway in the EAB group might be due to the higher presence of bacterivore ciliates (e.g., Entodinium spp. and Diplodinium spp.) in this group23. Additionally, previous research has established that all cellulolytic organisms require biotin as an essential nutrient69. Therefore, the ko00780 (Biotin metabolism) pathway, whose enrichment exhibited the following order in this study: EAB > IAB > TB, may be associated with the potential cellulolytic bacteria Rikenellaceae RC9 gut group, which exhibited the same EAB > IAB > TB enrichment order50,70. Despite its connection to the TCA cycle71 the enrichment of the RA of genes associated with the ko00630 (Glyoxylate and dicarboxylate metabolism) pathway in the TB group rather than the EAB group might be related to the higher abundance of Prevotella ruminicola in the TB group72. Isotricha spp., which prefer simple sugars such as sucrose and glucose73 might rely on metabolites from the TCA cycle produced by symbionts or engulfed bacteria (not zero-value in RA of TCA cycle) while primarily using the ko00040 (Pentose and glucuronate interconversion) pathway for growth.
Although PICRUSt2-based predictions offer valuable functional insights, they may be limited in accuracy, especially for uncultured rumen bacteria lacking reference genomes. Thus, future studies using metagenomic or metatranscriptomic approaches could help validate and refine these predicted functional profiles.
Conclusions
The present study sought to (1) identify the bacteria associated with ruminal ciliates, such as Isotricha and small entodinia, which may be linked to methane production or nitrogen utilization efficiency and (2) elucidate the impact of diet on the types of ciliates, their associated bacteriota, and their functional profiles. A key strength of this study is the use of a higher number of ciliate cell counts and minimal bacterial contamination in identifying the ciliate-associated bacteriome through a new size fractionation method and an enhanced washing procedure. Our findings show significantly reduced alpha-diversity and distinctly separate bacteriomes in ciliate-associated bacterial fractions (i.e., EAB and IAB), indicating that our new washing procedure effectively removed free-living or loosely associated bacteria from these specific ciliate groups. This allows us to focus on the associated bacterial populations, which can be further studied as potential symbionts (especially endosymbionts) or specifically engulfed bacteria.
Materials and methods
Although this study was an in vitro experiment, the handling of animals for rumen fluid collection involved animal procedures. And all cattle donors for this experiment were approved by Institutional Animal Care and Use Committee (IACUC). Therefore, all animal-related procedures in this study were conducted in accordance with the ARRIVE (Animal Research: Reporting In Vivo Experiments) guidelines. Our study confirmed that all methods were performed in this experiment in accordance with relevant guidelines and regulations.
Experimental design
A completely randomized design with diet effects was used for the 24-hour fermentation experiment. Dietary treatments included high-forage (HF, F:C of 7:3), high-concentrate (HC, F:C of 3:7), and a control diet (CON, F:C of 5:5). Pellet feed as a concentrate and oat hay as a forage source were used in the experiment, and their chemical compositions, along with those of complete substrates at each F:C ratio, are shown in Supplementary Table S1. A 3 × 3 factorial design was employed for microbial analysis, with diet and ciliate fraction as the main effects. Ciliate fractions were collected for small EAB, IAB, and TB after 24 h of incubation. All fermentation and microbiome analyses were conducted in quintuplicate.
Preparation of in vitro ruminal inoculums and animal donors
Rumen contents were collected from two cannulated Hanwoo (Bos taurus coreanae) cows before morning feeding. The in vitro ruminal inoculum used in the experiment was donated by two cannulated Hanwoo cows (52 months old and weighing 346.5 ± 3.5 kg). Two donor cows were provided with a Total Mixed Ration (TMR) feed, containing 16.18% crude protein, 5.69% crude fat, 12.95% crude fiber, 17.30% acid detergent fiber (ADF), 30.58% NDF, 0.69% calcium, 0.50% phosphorus, and 79.23% TDN. The feed was offered ad libitum twice daily (07:00 am and 04:00 pm). The donors were housed together in a single pen, with ad libitum access to a total mixed ration (TMR), fresh water, and a mineral block. The specified diet was provided to the donors for 15 days prior to rumen fluid collection. Four ruminal sites (front, back, top, and bottom) were sampled to capture various types of ruminal microbes, including ciliates. The collected rumen contents were filtered through two layers of cheesecloth. The squeezed filtrate was immediately placed in a CO2-flushed thermos and quickly transferred to the laboratory within 30 min. After further removal of existing particles with filtering through two layers of cheesecloth again, the final filtrate was diluted by mixing with an in vitro buffer solution74 using a modified mixing ratio, which had been previously flushed with O2-free CO2 gas for 1 h. The mixture was then bubbled with CO2 gas to maintain anaerobic conditions.
In vitro digestibility experiment
After 10 min of CO2-bubbling, 50 mL of the mixed inoculum was transferred into each of the 125 mL serum bottles containing 0.5 g of feed (strained through a 1-mm sieve). The bottles were then quickly sealed with blue butyl rubber stoppers and aluminum caps and incubated at 39 °C for 24 h in a shaking incubator at 90 rpm. After incubation, 0.4 mL of each sample was transferred to 1.5-mL Eppendorf tubes containing 0.4 mL of 10% formalin and 0.4 mL of 30% glycerol, achieving a final concentration of 3.33% formalin (v/v), and stored at room temperature until ciliate cell counts were measured. Ciliate quantification was conducted under a microscope as outlined in previous studies75,76.
Another 1.8 mL of each sample was transferred to 2-mL Eppendorf tubes and centrifuged at 17,278 × g at 4 °C for 15 min. One milliliter of the supernatant was subsequently stored at − 80℃ with 0.2 mL of 25% metaphosphoric acid for VFA analysis. VFA analysis was performed by gas chromatography (7890B GC, Agilent Technologies, USA). Additionally, 0.5 mL of the supernatant was stored at − 20℃ with 0.1 mL of 0.2 M H2SO4 for NH3-N measurements. After discarding the supernatant, the pellet was stored at − 80 °C for metagenomic DNA extraction.
Gas production in the headspace of fermentation bottles was measured directly using a pressure transducer (Model SA 9305820, Data Instruments, Acton, MA, USA) connected to a rubber stopper with a 3-way cock and a 22-gauge needle at 3, 6, 12, and 24 h during the 24-hour incubation period, in order to prevent excessive pressure accumulation (> 480 mbar) that could inhibit rumen microbial growth, after which the produced gas was collected in a gas bag through the 3-way cock and converted to volume (mL)77,78,79. CH4 production (mL and mL/g of degraded dry matter) was quantified using gas chromatography (YL6500, YOUNGIN Chromass, Korea). Methane concentration in the headspace was determined based on calibration with standard gas mixtures (10%, 20%, and 30% CH4). The total gas volume was measured using a gas-tight syringe, and methane production was calculated as:
The methane yield was expressed as mL CH4 per gram of degraded dry matter (mL/g dDM). After subsampling, the remaining inoculum was transferred to a sterile 50-mL conical tube for pH measurement using a pH meter (MW150, Milwaukee Instruments, Inc., Rocky Mount, NC, USA). The inoculum was then transferred to a pre-weighed nylon bag (pore size 50 μm, R510, Ankom Technology, USA) for DMD measurement. To ensure no residual particles remained, the serum bottle was rinsed with distilled water. pH measurements and the handling of dry matter (DM) samples were performed on ice to prevent additional microbial fermentation. The transferred particles were squeezed 2–3 times to remove excess water and then dried completely in a 65 °C dry oven for 72 h. After measuring the DM content, the DM samples were placed in pre-weighed fiber bags (pore size 25 μm, F57, Ankom Technology, USA) for NDF content analysis. NDF content was analyzed as described in a previous study80 using an A220 fiber analyzer (Ankom Technology, USA).
Collection of ciliate fractions
At the time of sampling for the 24 h fermentation, 20 mL of each post-incubation inoculum was transferred to sterile 50 mL conical tubes containing 0.5% (v/v) formalin to obtain two types of ciliate fractions (EAB and IAB). A schematic overview of the procedures used to isolate and purify the EAB and IAB fractions, including filtration and washing steps, is presented in Fig. 4. Approximately 20 mL of the sample was prepared for size-based ciliate fractionation. From this sample volume, 1.5 mL was aliquoted into each of six separate 2-mL Eppendorf tubes. In total, 9 mL of the sample was used, while the remaining 11 mL was stored at 4℃ in case further washing procedures for EAB and IAB were needed.
For the initial enrichment of Isotricha spp., the 9 mL fixed sample previously fixed using 3.33% formalin (v/v) was centrifuged at 500 × g for 3 min and then strained sequentially through 100 μm and 70 μm pluristrainers (J.One LifeScience, Korea) to remove impurities such as feed particles and to collect only Isotricha spp. cells. The retentate on the 70 μm pluristrainer was further washed twice with 3 mL of filter-sterilized potassium phosphate buffer (PPB) using a syringe filter (pore size 0.2 μm, Hyundai Micro, Korea), making a total of three washes through the 70 μm strainer. The strainer was then inverted, and the pluristrainer was washed again with 3 mL of PPB to collect the ciliate cells into a new 50-mL conical tube. Samples with more than 95% Isotricha cells were used for IAB preparations. To prepare IAB and remove free-living prokaryotes, the following steps were performed: (1) 1 mL of filter-sterilized PPB was added, (2) the samples were centrifuged at 151 × g for 3 min, (3) 950 µL of the supernatant was discarded, and (4) steps (1)-(3) were repeated 10 times.
The filtrate that passed through the 70-µm strainer during IAB preparation was used to construct the EAB fraction. After passing through a 50-µm strainer once, the process involved filtration through a 30 µm strainer three times to remove large ciliate cells and washing the filtered cells with 3 mL of PPB. The filtrate in the 50-mL conical tube was then transferred to two 2-mL Eppendorf tubes. To prepare EAB, the small entodinia-enriched samples underwent the same washing procedure as for IAB preparation, but in step (3), 900 µL was discarded instead of 950 µL, and steps (1)-(3) were repeated 13 times for more thorough washing. All washing procedures for EAB and IAB were conducted on a clean bench. The washed samples were stored at 4℃ for further DNA extraction of EAB and IAB.
Metagenomic DNA extraction and Microbiome analysis
Metagenomic DNA from TB and EAB samples was extracted from the resulting pellets using the RBB + C method81 whereas DNA from IAB samples was extracted using a slightly modified version of the Chelex-100 method82. DNA quality and quantity were measured using a Nanodrop One Microvolume UV-Vis Spectrophotometer (Thermo Fisher Scientific, USA).
Amplicons targeting the full-length 16S rRNA genes were prepared using the 27F/1492R primer set83 after which high-fidelity long-read sequences were obtained using the PacBio Sequel IIe system (Macrogen, Korea). Microbiome analysis was first conducted using QIIME284 with full-length 16S rRNA gene sequences. Demultiplexed single-end reads were processed by removing adapters, quality-filtering (Q > 25), denoising, merging, and removing chimeric sequences using the DADA2 plugin85. ASVs were then taxonomically classified using the weighted Silva-138 99% classifier86,87, which was pre-trained with the Naïve Bayes method88. ASVs identified as unassigned, mitochondria, chloroplasts, archaea, or Pseudomonas (detected as airborne bacterial contaminants in the final washing product) were filtered out. The resulting table in BIOM format and representative sequences were used for downstream analysis. Only taxa with an average RA over 0.5% and present in at least 50% of samples from at least one treatment group were examined in this study. Alpha-diversity metrics [richness (e.g., observed ASVs and Chao1 estimates), evenness, Faith’s phylogenetic diversity (Faith’s PD), Shannon’s index, and Simpson’s index] were calculated based on averaged rarefied ASV tables, choosing 4,273 sequences for 1,000 random sampling iterations89. Microbial metabolic functions were predicted from the ASV sequences using PICRUSt290. The dissimilarity of overall functional features, represented by the KEGG ortholog profile91 among ciliate fractions and diets was analyzed using principal component analysis (PCA). PCA plots were generated using the ‘ggfortify’ R package92.
Quantitative Real-Time PCR
The abundances of total bacteria, Butyrivibrio fibrisolvens, and Ruminococcus flavefaciens were determined by quantifying their respective 16S rRNA gene copies in each ciliate fraction sample. Quantitative real-time PCR (qPCR) was performed using universal primers targeting each microbial group: (1) 340 F (5′-TCCTACGGGAGGCAGCAGT-3′) and 806R (5′-GGACTACCAGGGTATCTAATCCTGTT-3′) for total bacteria93 (2) B.fibri-F (5′-CCTTATGATTTGGGCCACAC-3′) and B.fibri-R (5′-TCCTTACGGTTAGGCCACTG-3′) for Butyrivibrio fibrisolvens94 and (3) Rf154f (5′-TCTGGAAACGGATGGTA-3′) and Rf425r (5′-CCTTTAAGACAGGAGTTTACAA-3′) for Ruminococcus flavefaciens95. The concentration of nucleic acids in purified PCR products was measured using a NanoDrop One Microvolume UV–Vis Spectrophotometer (Thermo Fisher Scientific, Wilmington, NC, USA), which enabled calculation of copy numbers per milliliter for generating standard curves. Prepared standards were stored at − 20 °C for subsequent analyses. Quantification was conducted on the QuantStudio 1 system (Thermo Fisher Scientific), with each qPCR reaction containing 1 µL of template DNA mixed with 15 µL of reaction solution composed of 0.075 µL of each primer (100 µM), 7.5 µL of PowerUp SYBR Master Mix (2X), and 6.35 µL of ultrapure water. Amplification conditions were optimized individually for each primer set to ensure accurate and reproducible quantification.
Statistical analysis
Fermentation data and ciliate cell counts were analyzed to test diet effects using the PROC GLIMMIX procedure of SAS 9.4 (SAS Institute Inc., Cary, NC, USA). Alpha-diversity measurements were also analyzed with diet, ciliate fraction, and their interaction as fixed effects using PROC GLIMMIX. Tukey’s HSD test was used to identify differences between group means. Orthogonal polynomial contrasts were employed to estimate linear or quadratic changes in fermentation data and alpha-diversity measurements. Statistical differences in the relative abundance (RA) of bacterial taxa and functional profiles across ciliate fractions and diet effects were identified using the ‘MaAsLin2’ R package (v1.14.1), with a significance cutoff of q ≤ 0.0596. The RA of bacterial taxa and KEGG pathways97 were normalized using the centered log-ratio (CLR) method and analyzed without data transformation implemented in MaAsLin2. Permutational multivariate analysis of variance (PERMANOVA), based on Bray-Curtis dissimilarity of bacteriota and its functional profiles represented by KEGG orthologs, was performed using the ‘vegan’ package (Adonis with 9,999 random permutations). This analysis considered diet, ciliate fraction, and their interaction as fixed effects. Additionally, PERMANOVA analysis to compare the overall bacteriota and their functional profiles between donor inoculum and CON groups was analyzed based on Jaccard dissimilarity in addition to Bray-Curtis. Multiple-test correction was conducted using the Benjamini-Hochberg procedure for pairwise comparisons. Spearman’s correlation coefficient between the RA of differentially abundant bacterial genera and in vitro rumen fermentation parameters was calculated using PROC CORR in SAS 9.4. Only medium and significant correlations (|r| ≥ 0.5, p ≤ 0.05) were visualized using the ‘ggplot2’ R package98. A Pp-value < 0.05 was considered significant in all statistical analyses.
Data availability
The datasets generated in this study are available in online repositories. The repository name(s) and corresponding accession number(s) can be accessed in the NCBI database: https://www.ncbi.nlm.nih.gov/bioproject/PRJNA1098888.
References
Huws, S. A. et al. Addressing global ruminant agricultural challenges through Understanding the rumen microbiome: past, present, and future. Front. Microbiol. 9 https://doi.org/10.3389/fmicb.2018.02161 (2018).
Tharwat, M., Al-Sobayil, F., Ali, A. & Buczinski, S. Transabdominal ultrasonographic appearance of the Gastrointestinal viscera of healthy camels (Camelus dromedaries). Res. Vet. Sci. 93, 1015–1020. https://doi.org/10.1016/j.rvsc.2011.12.003 (2012).
Williams, A. & Coleman, G. The rumen protozoa, Brock. Springer Ser. Contemp. Biosci. https://doi.org/10.1007/978-1-4612-2776-2 (1992).
Takenaka, A., Tajima, K., Mitsumori, M. & Kajikawa, H. Fiber digestion by rumen ciliate protozoa. Microbes Environ. 19, 203–210. https://doi.org/10.1264/jsme2.19.203 (2004).
Wereszka, K. et al. A cellulase produced by the rumen protozoan Epidinium ecaudatum is of bacterial origin and has an unusual pH optimum. Endocytobiosis Cell. Res. 15, 561–569 (2004).
Bonhomme, A. Rumen Ciliates - their metabolism and relationships with bacteria and their hosts. Anim. Feed Sci. Technol. 30, 203–266. https://doi.org/10.1016/0377-8401(90)90016-2 (1990).
Szumacher-Strabel, M. & Cieślak, A. In Greenhouse Gases-Capturing, Utilization and Reduction (IntechOpen, 2012).
Vogels, G. D., Hoppe, W. F. & Stumm, C. K. Association of methanogenic bacteria with rumen ciliates. Appl. Environ. Microbiol. 40, 608–612. https://doi.org/10.1128/aem.40.3.608-612.1980 (1980).
Finlay, B. J. et al. Some rumen ciliates have endosymbiotic methanogens. FEMS Microbiol. Lett. 117, 157–161. https://doi.org/10.1111/j.1574-6968.1994.tb06758.x (1994).
Newbold, C. J., Lassalas, B. & Jouany, J. P. The importance of methanogens associated with ciliate protozoa in ruminal methane production in vitro. Lett. Appl. Microbiol. 21, 230–234. https://doi.org/10.1111/j.1472-765x.1995.tb01048.x (1995).
Park, T. Invited Review - Ruminal ciliates as modulators of the rumen microbiome. Anim. Biosci. 37, 385–395. https://doi.org/10.5713/ab.23.0309 (2024).
Lloyd, D. et al. Intracellular prokaryotes in rumen ciliate protozoa: detection by confocal laser scanning microscopy after in situ hybridization with fluorescent 16S rRNA probes. Eur. J. Protistol. 32, 523–531. https://doi.org/10.1016/S0932-4739(96)80011-3 (1996).
Park, T. & Yu, Z. Do ruminal ciliates select their preys and prokaryotic symbionts? Front. Microbiol. 9, 398689. https://doi.org/10.3389/fmicb.2018.01710 (2018).
Bonhomme, A., Fonty, G. & Senaud, J. in Annales de microbiologie. 335–341.
Park, T., Meulia, T., Firkins, J. L. & Yu, Z. Inhibition of the rumen ciliate Entodinium caudatum by antibiotics. Front. Microbiol. 8, 1189. https://doi.org/10.3389/fmicb.2017.01189 (2017).
Ranilla, M., Jouany, J. P. & Morgavi, D. Methane production and substrate degradation by rumen microbial communities containing single protozoal species in vitro. Lett. Appl. Microbiol. 45, 675–680. https://doi.org/10.1111/j.1472-765X.2007.02251.x (2007).
Koenig, K. M. et al. Effect of dietary Enterolobium cyclocarpum on microbial protein flow and nutrient digestibility in sheep maintained fauna-free, with total mixed fauna or with Entodinium caudatum monofauna. Br. J. Nutr. 98, 504–516. https://doi.org/10.1017/S0007114507723930 (2007).
Ivan, M. Comparison of duodenal flow and digestibility in fauna-free sheep inoculated with holotrich protozoa, Entodinium monofauna or total mixed protozoa population. Br. J. Nutr. 101, 34–40. https://doi.org/10.1017/S0007114508984245 (2008).
de la Fuente Oliver, G., Morgavi, D. P., Belanche, A. & Fondevila, M. In vitro predation of pure bacterial species by rumen protozoa from monofaunated sheep, determined by qPCR. (2011).
Belanche, A., de la Fuente, G. & Newbold, C. J. Effect of progressive inoculation of fauna-free sheep with holotrich protozoa and total-fauna on rumen fermentation, microbial diversity and methane emissions. FEMS Microbiol. Ecol. 91 https://doi.org/10.1093/femsec/fiu026 (2014).
de la Fuente, G. et al. Pros and cons of Ion-Torrent next generation sequencing versus terminal restriction fragment length polymorphism T-RFLP for studying the rumen bacterial community. PLOS ONE. 9, e101435. https://doi.org/10.1371/journal.pone.0101435 (2014).
Ranilla, M., Morgavi, D. & Jouany, J. P. Effect of individual protozoa, Isotricha intestinalis and Metadinium medium, on ruminal fermentation and methane production in vitro. J. Anim. Feed Sci. 13, 187–190. https://doi.org/10.22358/jafs/73773/2004 (2004).
Belanche, A., de la Fuente, G., Moorby, J. M. & Newbold, C. J. Bacterial protein degradation by different rumen protozoal groups. J. Anim. Sci. 90, 4495–4504. https://doi.org/10.2527/jas.2012-5118 (2012).
Levy, B. & Jami, E. Exploring the prokaryotic community associated with the rumen ciliate protozoa population. Front. Microbiol. 9 https://doi.org/10.3389/fmicb.2018.02526 (2018).
Solomon, R. et al. Protozoa populations are ecosystem engineers that shape prokaryotic community structure and function of the rumen microbial ecosystem. ISME J. 16, 1187–1197. https://doi.org/10.1038/s41396-021-01170-y (2021).
Johnson, J. S. et al. Evaluation of 16S rRNA gene sequencing for species and strain-level microbiome analysis. Nat. Commun. 10, 5029. https://doi.org/10.1038/s41467-019-13036-1 (2019).
Aguerre, M. J., Wattiaux, M. A., Powell, J. M., Broderick, G. A. & Arndt, C. Effect of forage-to-concentrate ratio in dairy cow diets on emission of methane, carbon dioxide, and ammonia, lactation performance, and manure excretion. J. Dairy. Sci. 94, 3081–3093. https://doi.org/10.3168/jds.2010-4011 (2011).
Wang, K., Xiong, B. & Zhao, X. Could propionate formation be used to reduce enteric methane emission in ruminants? Sci. Total Environ. 855, 158867. https://doi.org/10.1016/j.scitotenv.2022.158867 (2023).
Burrin, D. & Britton, R. Response to monensin in cattle during subacute acidosis. J. Anim. Sci. 63, 888–893 (1986).
Tajima, K. et al. Rumen bacterial community transition during adaptation to high-grain diet. Anaerobe 6, 273–284 (2000).
Wang, C. et al. Effects of rumen-protected folic acid on ruminal fermentation, microbial enzyme activity, cellulolytic bacteria and urinary excretion of purine derivatives in growing beef steers. Anim. Feed Sci. Technol. 221, 185–194. https://doi.org/10.1016/j.anifeedsci.2016.09.006 (2016).
Fondevila, M. & Dehority, B. A. Interactions between Fibrobacter succinogenes, Prevotella ruminicola, and Ruminococcus flavefaciens in the digestion of cellulose from forages. J. Anim. Sci. 74, 678–684. https://doi.org/10.2527/1996.743678x (1996).
Wang, L., Zhang, G., Li, Y. & Zhang, Y. Effects of high forage/concentrate diet on volatile fatty acid production and the microorganisms involved in VFA production in cow rumen. Anim. (Basel). 10, 223. https://doi.org/10.3390/ani10020223 (2020).
Ramos, S. C. et al. Diet transition from high-forage to high-concentrate alters rumen bacterial community composition, epithelial transcriptomes and ruminal fermentation parameters in dairy cows. Anim. (Basel). 11, 838. https://doi.org/10.3390/ani11030838 (2021).
Ribeiro, R. et al. Effects of roughage sources produced in a tropical environment on forage intake, and ruminal and microbial parameters. J. Anim. Sci. 93, 2363–2374 (2015).
Hackmann, T. J. & Firkins, J. L. Maximizing efficiency of rumen microbial protein production. Front. Microbiol. 6, 465. https://doi.org/10.3389/fmicb.2015.00465 (2015).
Jin, Q. et al. Caffeic acid modulates methane production and rumen fermentation in an opposite way with high-forage or high-concentrate substrate in vitro. J. Sci. Food Agric. 101, 3013–3020. https://doi.org/10.1002/jsfa.10935 (2021).
Henderson, G. et al. Rumen microbial community composition varies with diet and host, but a core microbiome is found across a wide geographical range. Sci. Rep. 5, 14567. https://doi.org/10.1038/srep14567 (2015).
Luo, D. et al. Niacin alters the ruminal microbial composition of cattle under high-concentrate condition. Anim. Nutr. 3, 180–185. https://doi.org/10.1016/j.aninu.2017.04.005 (2017).
Mukkala, S., Bramhachari, P. V. & Reddy, Y. H. K. in Understanding the Microbiome Interactions in Agriculture and the Environment 215–241Springer, (2022).
Stanton, T. B. & Canale-Parola, E. Treponema bryantii sp. nov., a rumen spirochete that interacts with cellulolytic bacteria. Arch. Microbiol. 127, 145–156. https://doi.org/10.1007/BF00428018 (1980).
Biddle, A., Stewart, L., Blanchard, J. & Leschine, S. Untangling the genetic basis of fibrolytic specialization by Lachnospiraceae and Ruminococcaceae in diverse gut communities. Diversity 5, 627–640. https://doi.org/10.3390/d5030627 (2013).
Pope, P. et al. Isolation of Succinivibrionaceae implicated in low methane emissions from Tammar wallabies. Science 333, 646–648. https://doi.org/10.1126/science.1205760 (2011).
Andersen, T. O. et al. Metabolic influence of core ciliates within the rumen microbiome. ISME J. 17, 1128–1140 (2023).
Ozutsumi, Y., Tajima, K., Takenaka, A. & Itabashi, H. Real-time PCR detection of the effects of protozoa on rumen bacteria in cattle. Curr. Microbiol. 52, 158–162. https://doi.org/10.1007/s00284-005-0266-9 (2006).
Zeitz, J. O. et al. Effect of the rumen ciliates Entodinium caudatum, Epidinium ecaudatum and Eudiplodinium maggii, and combinations thereof, on ruminal fermentation and total tract digestion in sheep. Arch. Anim. Nutr. 66, 180–199. https://doi.org/10.1080/1745039X.2012.676817 (2012).
Gutierrez, J. & Davis, R. Bacterial ingestion by the rumen ciliates Entodinium and Diplodinium. J. Protozoology. 6, 222–226 (1959).
Wenner, B., Wagner, B., St-Pierre, N., Yu, Z. & Firkins, J. Inhibition of methanogenesis by nitrate, with or without defaunation, in continuous culture. J. Dairy. Sci. 103, 7124–7140 (2020).
Seshadri, R. et al. Cultivation and sequencing of rumen microbiome members from the Hungate1000 collection. Nat. Biotechnol. 36, 359–367. https://doi.org/10.1038/nbt.4110 (2018).
Emerson, E. L. & Weimer, P. J. Fermentation of model hemicelluloses by Prevotella strains and Butyrivibrio fibrisolvens in pure culture and in ruminal enrichment cultures. Appl. Microbiol. Biotechnol. 101, 4269–4278. https://doi.org/10.1007/s00253-017-8150-7 (2017).
Daghio, M. et al. Correlation of breed, growth performance, and rumen microbiota in two rustic cattle breeds reared under different conditions. Front. Microbiol. 12, 652031. https://doi.org/10.3389/fmicb.2021.652031 (2021).
Liu, M. et al. Effects of different forage proportions in fermented total mixed ration on muscle fatty acid profile and rumen microbiota in lambs. Front. Microbiol. 14, 1197059. https://doi.org/10.3389/fmicb.2023.1197059 (2023).
Tilahun, M., Ma, L., Callaway, T. R., Xu, J. & Bu, D. The effect of Phyllanthus emblica (Amla) fruit supplementation on the rumen microbiota and its correlation with rumen fermentation in dairy cows. Front. Microbiol. 15, 1365681. https://doi.org/10.3389/fmicb.2024.1365681 (2024).
Latham, M. & Wolin, M. Fermentation of cellulose by Ruminococcus flavefaciens in the presence and absence of Methanobacterium ruminantium. Appl. Environ. Microbiol. 34, 297–301. https://doi.org/10.1128/aem.34.3.297-301.1977 (1977).
Matz, C. & Kjelleberg, S. Off the hook–how bacteria survive protozoan grazing. Trends Microbiol. 13, 302–307. https://doi.org/10.1016/j.tim.2005.05.009 (2005).
Kumar, S. et al. Factors affecting rumen methanogens and methane mitigation strategies. World J. Microbiol. Biotechnol. 25, 1557–1566. https://doi.org/10.1007/s11274-009-0041-3 (2009).
Williams, A. G. Rumen holotrich ciliate protozoa. Microbiol. Rev. 50, 25–49. https://doi.org/10.1128/mr.50.1.25-49.1986 (1986).
Newbold, C. J., De La Fuente, G., Belanche, A. & Ramos-Morales, E. McEwan, N. R. The role of ciliate protozoa in the rumen. Front. Microbiol. 6, 164310 (2015).
Tapio, I. et al. Taxon abundance, diversity, co-occurrence and network analysis of the ruminal microbiota in response to dietary changes in dairy cows. PLoS One. 12, e0180260. https://doi.org/10.1371/journal.pone.0180260 (2017).
Russell, J. B. Strategies that ruminal bacteria use to handle excess carbohydrate. J. Anim. Sci. 76, 1955–1963. https://doi.org/10.2527/1998.7671955x (1998).
Park, T. et al. Dietary energy sources and levels shift the multi-kingdom microbiota and functions in the rumen of lactating dairy cows. J. Anim. Sci. Biotechnol. 11, 1–16. https://doi.org/10.1186/s40104-020-00461-2 (2020).
Deusch, S. et al. A structural and functional elucidation of the rumen microbiome influenced by various diets and microenvironments. Front. Microbiol. 8, 1605. https://doi.org/10.3389/fmicb.2017.01605 (2017).
Ben David, Y. et al. Ruminococcal cellulosome systems from rumen to human. Environ. Microbiol. 17, 3407–3426. https://doi.org/10.1111/1462-2920.12868 (2015).
Graf, J. The family rikenellaceae. Prokaryotes 857, 859 (2014).
Holman, D. B. & Gzyl, K. E. A meta-analysis of the bovine gastrointestinal tract microbiota. FEMS Microbiol. Ecol. 95, fiz072. https://doi.org/10.1093/femsec/fiz072 (2019).
Smith, G. Glucose metabolism in the ruminant. Proc. Nutr. Soc. 30, 265–272. https://doi.org/10.1079/PNS19710051 (1971).
Boeckaert, C. et al. Role of the protozoan isotricha prostoma, liquid-, and solid-associated bacteria in rumen biohydrogenation of linoleic acid. Animal 3, 961–971 (2009).
Wang, M. et al. Effects of unsaturation of long-chain fatty acids on rumen protozoal engulfment and microbial protein recycling in protozoa in vitro. Anim. Prod. Sci. 59, 647–653. https://doi.org/10.1071/AN17093 (2019).
Baldwin, R. & Allison, M. Rumen metabolism. J. Anim. Sci. 57, 461–477. https://doi.org/10.2527/animalsci1983.57Supplement_2461x (1983).
Zhang, J. et al. Growth performance, blood metabolites, ruminal fermentation, and bacterial community in preweaning dairy calves fed corn silage-included starter and total mixed ration. J. Dairy Sci. 106, 4545–4558. https://doi.org/10.3168/jds.2022-22476 (2023).
Springsteen, G., Yerabolu, J. R., Nelson, J., Rhea, C. J. & Krishnamurthy, R. Linked cycles of oxidative decarboxylation of glyoxylate as protometabolic analogs of the citric acid cycle. Nat. Commun. 9, 91. https://doi.org/10.1038/s41467-017-02591-0 (2018).
Allison, M. J. & Robinson, I. Biosynthesis of α-ketoglutarate by the reductive carboxylation of succinate in Bacteroides ruminicola. J. Bacteriol. 104, 50–56. https://doi.org/10.1128/jb.104.1.50-56.1970 (1970).
Williams, A. G. Rumen holotrich ciliate protozoa. Microbiol. Rev. 50, 25–49 (1986).
Goering, H. K. & Van Soest, P. J. Forage fiber Analyses (apparatus, Reagents, Procedures, and some applications) (US Agricultural Research Service, 1970).
Dehority, B. A. Evaluation of subsampling and fixation procedures used for counting rumen protozoa. Appl. Environ. Microbiol. 48, 182–185. https://doi.org/10.1128/aem.48.1.182-185.1984 (1984).
Dehority, B. A. Laboratory Manual for Classification and Morphology of Rumen Ciliate protozoa (CRC, 2018).
Hamid, M. M. A. et al. Rumen fermentation, methane production, and microbial composition following in vitro evaluation of red ginseng byproduct as a protein source. J. Anim. Sci. Technol. 62, 801. https://doi.org/10.5187/jast.2020.62.6.801 (2020).
Yáñez-Ruiz, D. R. et al. Design, implementation and interpretation of in vitro batch culture experiments to assess enteric methane mitigation in ruminants—a review. Anim. Feed Sci. Technol. 216, 1–18. https://doi.org/10.1016/j.anifeedsci.2016.03.016 (2016).
Theodorou, M. K., Williams, B. A., Dhanoa, M. S., McAllan, A. B. & France, J. A simple gas production method using a pressure transducer to determine the fermentation kinetics of ruminant feeds. Anim. Feed Sci. Technol. 48, 185–197. https://doi.org/10.1016/0377-8401(94)90171-6 (1994).
Van Soest, P. J., Robertson, J. B. & Lewis, B. A. Methods for dietary fiber, neutral detergent fiber, and nonstarch polysaccharides in relation to animal nutrition. J. Dairy. Sci. 74, 3583–3597. https://doi.org/10.3168/jds.S0022-0302(91)78551-2 (1991).
Yu, Z. & Morrison, M. Improved extraction of PCR-quality community DNA from digesta and fecal samples. BioTechniques 36, 808–812. https://doi.org/10.2144/04365ST04 (2004).
Van Hoek, A., van Alen, T. A., Sprakel, V., Hackstein, J. & Vogels, G. D. Evolution of anaerobic ciliates from the gastrointestinal tract: phylogenetic analysis of the ribosomal repeat from Nyctotherus ovalis and its relatives. Mol. Biol. Evol. 15, 1195–1206 (1998).
Lane, D. 16S/23S rRNA sequencing. Nucleic acid techniques in bacterial systematics (1991).
Bolyen, E. et al. Reproducible, interactive, scalable and extensible Microbiome data science using QIIME 2. Nat. Biotechnol. 37, 852–857. https://doi.org/10.1038/s41587-019-0209-9 (2019).
Callahan, B. J. et al. High-throughput amplicon sequencing of the full-length 16S rRNA gene with single-nucleotide resolution. Nucleic Acids Res. 47, e103–e103. https://doi.org/10.1093/nar/gkz569 (2019).
Quast, C. et al. The SILVA ribosomal RNA gene database project: improved data processing and web-based tools. Nucleic Acids Res. 41, D590–596. https://doi.org/10.1093/nar/gks1219 (2013).
Kaehler, B. D. et al. Species abundance information improves sequence taxonomy classification accuracy. Nat. Commun. 10, 4643. https://doi.org/10.1038/s41467-019-12669-6 (2019).
Bokulich, N. A. et al. Optimizing taxonomic classification of marker-gene amplicon sequences with QIIME2's q2-feature-classifier plugin. Microbiome 6, 90. https://doi.org/10.1186/s40168-018-0470-z (2018).
Xia, Y. q2-repeat-rarefy: QIIME2 plugin for generating the average rarefied table for library size normalization using repeated rarefaction. GitHub (2021).
Douglas, G. M. et al. PICRUSt2: an improved and extensible approach for metagenome inference. BioRxiv 672295 https://doi.org/10.1101/672295 (2019).
Kanehisa, M. & Goto, S. KEGG: Kyoto encyclopedia of genes and genomes. Nucleic Acids Res. 28, 27–30 (2000).
Tang, Y., Horikoshi, M. & Li, W. X. Ggfortify: unified interface to visualize statistical results of popular R packages. R J. 8, 474–485. https://doi.org/10.32614/rj-2016-060 (2016).
Nadkarni, M. A., Martin, F. E., Jacques, N. A. & Hunter, N. Determination of bacterial load by real-time PCR using a broad-range (universal) probe and primers set. Microbiology 148, 257–266. https://doi.org/10.1099/00221287-148-1-257 (2002).
Balamurugan, R., Chittaranjan, S. P., Chandragunasekaran, A. M. & Ramakrishna, B. S. Molecular detection of the ruminal bacterium, Butyrivibrio fibrisolvens, in feces from rural residents of Southern India. Microb. Ecol. Health Disease. 21, 38–43 (2009).
Koike, S. & Kobayashi, Y. Development and use of competitive PCR assays for the rumen cellulolytic bacteria: Fibrobacter succinogenes, Ruminococcus albus and Ruminococcus flavefaciens. FEMS Microbiol. Lett. 204, 361–366 (2001).
Mallick, H. et al. Multivariable association discovery in population-scale meta-omics studies. PLoS Comput. Biol. 17, e1009442. https://doi.org/10.1371/journal.pcbi.1009442 (2021).
Kanehisa, M., Furumichi, M., Sato, Y., Kawashima, M. & Ishiguro-Watanabe, M. KEGG for taxonomy-based analysis of pathways and genomes. Nucleic Acids Res. 51, D587–D592. https://doi.org/10.1093/nar/gkac963 (2022).
Villanueva, R. A. M. & Chen, Z. J. ggplot2: elegant graphics for data analysis. Measurement: Interdisciplinary Res. Perspect. 17, 160–167. https://doi.org/10.1080/15366367.2019.1565254 (2019). 2nd ed.
Acknowledgements
This research was supported by the Basic Science Research Program through the National Research Foundation of Korea (NRF) funded by the Korean government (RS-2023-00213604). This study was also supported by the Chung-Ang University Graduate Research Scholarship in 2023.
Author information
Authors and Affiliations
Contributions
TP and GK designed and conceived this study. GK and WL developed a new experimental method and conducted the experiments, while GK analyzed the fermentation and microbiome data. GK wrote the initial draft of the manuscript, and TP contributed to its writing. All authors reviewed and revised the manuscript.
Corresponding author
Ethics declarations
Competing interests
The authors declare no competing interests.
Ethic approval
This study employed in vitro methods using rumen fluid obtained from animals. While the study is not an in vivo experiment, ethical considerations related to the collection of biological samples were followed. All procedures involving animals of this study and all cattle donor for this study were approved by the Institutional Animal Care and Use Committee of Chung-Ang University, Seoul, Korea (IACUC Number: 202401030032).
Additional information
Publisher’s note
Springer Nature remains neutral with regard to jurisdictional claims in published maps and institutional affiliations.
Electronic supplementary material
Below is the link to the electronic supplementary material.
Rights and permissions
Open Access This article is licensed under a Creative Commons Attribution-NonCommercial-NoDerivatives 4.0 International License, which permits any non-commercial use, sharing, distribution and reproduction in any medium or format, as long as you give appropriate credit to the original author(s) and the source, provide a link to the Creative Commons licence, and indicate if you modified the licensed material. You do not have permission under this licence to share adapted material derived from this article or parts of it. The images or other third party material in this article are included in the article’s Creative Commons licence, unless indicated otherwise in a credit line to the material. If material is not included in the article’s Creative Commons licence and your intended use is not permitted by statutory regulation or exceeds the permitted use, you will need to obtain permission directly from the copyright holder. To view a copy of this licence, visit http://creativecommons.org/licenses/by-nc-nd/4.0/.
About this article
Cite this article
Kim, G., Lee, W. & Park, T. Exploring the impact of forage-to-concentrate ratios on the ruminal bacteriome in vitro focusing on ciliate-associated bacteria. Sci Rep 15, 26467 (2025). https://doi.org/10.1038/s41598-025-10599-6
Received:
Accepted:
Published:
Version of record:
DOI: https://doi.org/10.1038/s41598-025-10599-6






