Abstract
Considering the uncertainty of green technology research and development (R&D) investment and channel members’ fairness concern behavior, this article respectively analyzes participants’ optimal decision-making under the manufacturer-dominated and the retailer-dominated structures. Given the probability of high efficiency and low efficiency of green R&D, this article uses the expected values under different probabilities to represent the equilibrium results. Through numerical simulations, we further comparatively discuss the equilibria under different scenarios. The results indicate that regardless of whether the manufacturer’s green R&D is efficient or inefficient, it always will lead to an increase in products’ pricing, greenness, demand, retailer’s profit, and supply chain’s social welfare. However, the change in the manufacturer’s profit is uncertain, which is also related to its fixed R&D costs and R&D efficiency. Under the manufacturer-dominated structure, fairness concern behavior can lead to a decrease in products’ pricing, greenness, demand, and profits for both the manufacturer and retailer; But under the retailer-dominated structure, the manufacturer’s fairness concern has no impact on products’ retail price, greenness, and demand. It only leads to the retailer raising markup price and reducing marginal profit, while the manufacturer’s wholesale price and profit will increase. In addition, whether under the manufacturer-dominated and the retailer-dominated structures, the supply chain’s social welfare is greater than that without green R&D and increases with the increase of the probability of efficient R&D. Nevertheless, the impact of the manufacturer’s fairness concern on social welfare is not the same. It leads to a decrease in social welfare under the manufacturer-dominated structure, while leads to an increase under the retailer-dominated structure.
Similar content being viewed by others
Introduction
Global warming is a serious environmental problem faced by all countries in recent decades, and it has gradually become a worldwide consensus to reduce emissions and promote the development of low-carbon economy1,2. The promotion of government environmental protection policies and the enhancement of consumers’ low-carbon awareness have made the green transformation and upgrading of supply chains quite urgent3,4. Promoting products’ green technological innovation, controlling contamination in production and improving the green performance of final products are the significant means for supply chain enterprises to realize green transformation and upgrading at this stage5,6. These means not only help enterprises accumulate core technology advantages in the fierce market environment, but also enhance the market competitiveness of their products and realize the long-term development of the whole supply chain7,8. Nowadays, with the enhancement of consumers’ low-carbon awareness, products with low environmental pollution and high green performance are more favored by consumers. According to the EU Survey Report on Household Environmental Behaviour for 2023, about 68% of consumers in the EU consider the environmental friendliness of products when making purchases. In the U.S., according to the Environmental Protection Agency’s survey for2023, about 55% of Americans are willing to pay a premium for environmentally friendly products (up 7% from 2022). Thereby many companies actively take action to launch low-carbon green products to obtain a larger consumer market. For example, the iPhone SE series of cell phones launched by Apple uses recyclable materials to reduce pollution to the environment; Nike’s Flyknit knitting technology utilizes environmentally friendly materials and green technologies to significantly improve the green performance of its products. Likewise, BYD, Chery, Xiaopeng and other automobile manufacturers have invested a lot in technical R&D of new energy vehicles in order to enhance the market competitiveness of their products9,10. Obviously, the green transformation of supply chain enterprises can effectively reduce the environmental pollution caused by manufacturing and increase the green performance of products, as well as establish a good corporate image and enhance the market competitiveness of the supply chain.
As a direct and effective way to realize products’ transformation and upgrading, green technology R&D can reduce pollution emissions, improve production technology, enhance products’ performance, and thus realize the enhancement of the entire supply chain’s market competitiveness11,12. However, as green technology R&D often requires large amounts of capital for process optimization, platform construction, pollution monitoring, etc., it poses a great challenge to small and medium enterprises’ strategic decisions13,14. Additionally, technological R&D is often characterized by high risk and uncertainty, and unsatisfactory R&D may result in a large amount of R&D investment becoming a sunk cost, which may affect the long-term development of supply chain enterprises and inhibit the motivation of enterprises’ green R &D15,16. Tesla, as a leading company in the new energy automobile industry, also experienced 15 years of consecutive losses in its electric vehicle R&D investment before realizing the profitability of selling its electric vehicles in 2018. Since manufacturers tend to be the more polluting segment of the supply chain and more important segment for green investment, green technological R&D by manufacturers is also becoming a common phenomenon in the supply chain. Although green R&D investment serve as an effective way for enterprises in the supply chain to implement green strategies, the results of manufacturers’ green strategy may be quite different between manufacturer-dominated and retailer-dominate power structures17. Thus, it is necessary to comparatively analyze the influence of power structure differences on the results of manufacturers’ green technology R&D.
In the context of the information age, the cost of information acquisition has significantly decreased, making fairness a key concern in supply chain in the cooperation of supply chain enterprises18. The unbalanced distribution of benefits in the process of supply chain greening transformation may also affect the development of long-term cooperation among enterprises19. Contemporary Amperex Technology, China’s largest supplier of batteries for new energy vehicles, reported its net profit reach 30 billion yuan in 2022, while new energy vehicle manufacturers such as Xiaopeng, NIO, and BAIC BJEV all suffered big losses in the same year. The uneven distribution of profits in the new energy vehicle supply chain makes a large number of automobile manufacturers complain a lot20,21. Obviously, the reduction of information acquisition cost makes supply chain participants not only pay attention to their personal benefits, but also to the gap between their personal benefits and other participants, and the fairness concern behavior is an important influence factor that cannot be ignored in their decision-making22. In fact, cases of supply chain cooperation breaking down due to unequal distribution of benefits are common. For instance, at the end of the 19th century, Walmart drastically reduced the profits of its suppliers through its low-pricing policy, which ultimately led to a violent conflict with Procter and Gamble, and resulted in the breakup of the cooperation; Trip.com Group, an online ticketing service company, adopted a low price strategy for consumers while charging advertisers on the platform high promotion fees in 2019, leading to serious dissatisfaction with the cooperation and a large number of advertisers opting out of collaboration. Nowadays, Equitable distribution of benefits is a key driver in achieving long-term stability for supply chain participants, and it is of great practical importance to study the issue of fairness.
The theory of fairness concern was first proposed by Fehr and Schm in 1999, and they considered the act of fairness concern to be a real and important factor that could not be ignored. Cui et al.23 extended fairness concern theory by constructing a game model in the supply chain, which aimed to analyze the impacts of channel members’ fairness concern behavior on the supply chain strategic decisions. Up to now, many scholars have conducted research on fairness concern behaviors in the supply chain, and it is generally believed that disadvantageous fairness concern behavior has a greater impact on supply chain participants’ decision-making than advantageous fairness concern behavior does. In other words, supply chain participants are even less able to accept that their interests are lower than those of other channel members and they cannot accept an unfair distribution of benefits24,25. As the study progressed, distributional fairness concern between upstream and downstream enterprises regarding benefit distribution26,27 and peer-induced fairness concern between competing enterprises28,29 are gradually becoming the main two areas of research. Additionally, the impact of members’ fairness concern behaviors on supply chains’ social welfare also has received attention from scholars. Scholars also differ on whether fairness concern behaviors are beneficial or detrimental to the whole social welfare of the supply chain30,31. Therefore, this paper will further discuss the impact of particants’ fairness concern behaviors on supply chain social welfare.
To this day, there are many articles focusing on the issues of supply chain fairness concern. However, little literature has focused on the impact of fairness concern behavior on supply chains under different power structures. Given the uncertainty of manufacturers’ R&D outcomes, this paper uses the expected value with different probabilities, and further discusses the influence of manufacturers’ fairness concern on equilibrium outcomes under different power structures. In general, this paper aims to investigate the following questions:
-
(1)
How do green supply chain decisions differ under manufacturer-dominated and retailer-dominated power structures?
-
(2)
How do fairness concern behaviors differ for equilibrium outcomes under the certainty of R&D investment?
-
(3)
Under what circumstances is it possible to maximize the greenness of products and the social welfare of the entire supply chain?
Regarding the differences between power structures of manufacturer-dominated and retailer-dominated, this study will analyze the differences on decision-making through the game sequence, comparing the game outcomes under the two scenarios of manufacturer-dominated and retailer-dominated decision-making, respectively. With regard to the impact of fairness concern behavior on outcomes, given that manufacturers are the main actors in green R&D and that there are external economic effects of R&D, the main focus of our paper is on analyzing the decision-making of manufacturers’ fairness concern under different R&D efficiencies. Finally, based on the decision-making results of different scenarios, the social welfare functions of manufacturer-dominated and retailer-dominated decision-making are further compared to find the optimal strategy that favours the greening of the whole supply chain.
The contents of this paper are organized as follows. Section “Literature review” will be a brief review of relevant articles. In section “Problem definition and model analysis”, we will discuss the game equilibrium under different scenarios and explore the variability of results across scenarios. Section “Numerical simulation” is the numerical analysis, which aims to validate the propositions and find the effect of parameters on the equilibrium results. In section “Conclusions, management insights and future scope”, we summarize the main conclusions and management insights.
Literature review
Our article is highly correlated with the literature about supply chains with green R&D, supply chain power structure, and supply chains with fairness concern. Thereby our article will provide an overview of the relevant literature in these three areas.
Supply chains with green R&D
With the gradual promotion of the government’s environmental policy and the public’s green awareness, products with low environmental pollution, high energy efficiency, and strong recyclability currently are more favored by consumers32,33. Promoting the green transformation of the supply chain has become a major trend, and many supply chain enterprises have actively invested in R&D to realize the green performance of their products34. Nowadays, sustainable development has become the mainstream trend in the supply chain, and it is also an important issue that scholars pay close attention to. Nowadays, sustainable development has become the mainstream trend in the supply chain, and it is also an important issue that scholars pay close attention to. Sun et al.35 constructed a two-stage game model consisting of a manufacturer and a retailer, and the results showed that the manufacturer’s R&D activities are conducive to the low-carbon development of the whole supply chain. Kang et al.36 emphasized that supply chain green transformation would achieve pollution control in the whole process of product manufacturing, transportation, and selling. Wu et al.37 found that the economic performance of an enterprise is highly affected by the green level of its products and that R&D efficiency, spillover effects, and power relationships are important factors influencing the degree of products’ greenness. Yu et al.38 constructed a two-stage supply chain with a carbon tax, and the results showed that when the carbon tax was expensive, pollution control in the production process could further improve the greenness level of the supply chain. Although the implementation of green technology R&D can effectively improve the pollution control capacity as well as promote the greening of the supply chain, since the uncertainty, high risk, and long return cycle of R&D results, it will inhibit the willingness of supply chain enterprises to conduct R&D strategy. Hafezi et al.12 argued that when consumers were relatively more sensitive to product quality than to product price, the independent R&D strategy was unwise and should be avoided. Liu et al.39 considered the case of risk aversion and capital shortages and discovered that an increase in risk aversion for the green manufacturer was detrimental to the long-term growth of itself and competitors while was beneficial to the retailer, and could lead to market instability.
Supply chain power structure
Core enterprises in the supply chain often have a significant influence on the decision-making of other channel members15,17. The dominant enterprises are often not the same, with upstream suppliers, midstream manufacturers, and downstream retailers all potentially dominating the supply chain. Wang et al.40 constructed a low-carbon supply chain dominated by a retailer and composed of other SME manufacturers and argued that a coordinated contract between manufacturers and the retailer could achieve mutual benefits for both parties. Long et al.41 built a Stackelberg game model under the manufacturer-led structure and retailer-led structure, respectively. They found that government price subsidies were beneficial to market demand and social welfare, and the impacts were significant when consumers’ green preferences were large. Xu et al.42 considered three scenarios of the agency, manufacturer-led reselling, and platform-led reselling, and found that the platform-led reselling model was always more favorable to the production and the green level, but the manufacturer-led reselling model was more beneficial to the manufacturer’s profit. In addition, considering the different market power structures, many scholars have also analyzed and compared the differences between centralized decision-making and decentralized decision-making. Zhang et al.43 compared the differences in equilibrium between decentralized and centralized decision-making scenarios and concluded that the products in the centralized decision-making scenario have higher green performance. Ranjan and Jha44 argued that centralized decision-making between the manufacturer and the retailer under the dual-channel model is more beneficial and less polluting to the environment for both parties. Zhang et al.43 emphasized that centralized decision-making among supply chain participants facilitates better advertising and improves the profitability of all participants.
supply chains with fairness concern
Given the unequal power and unbalanced profit distribution between upstream and downstream enterprises in the supply chain, fairness concern behavior has become a key element affecting enterprise sustainable development22,28. fairness concern theory suggests that supply chain participants are not completely rational in pursuing the maximization of their interests, and the distribution fairness of their gains and the gains among other participants is also their focus. Zhang et al.45 constructed a supply chain model in which the retailer was fairness-concerned and found that the retailer’s fairnessconcern degree and power position jointly determined whether they could benefit from fairness concern behavior. Jian et al.26 comparatively analyzed the difference between the game equilibria under centralized and decentralized decision-making and indicated that the fairness concern behavior resulted in more environmental and less efficient utilization of resources. Sarkar and Bhala27 argued that when the retailer’s fairness concern behavior was sufficiently strong, the constant wholesale price contract could achieve effective coordination and enhance the profitability of all the participants. Social welfare reflects the synthesis of benefits across the supply chain, and the impact of fairness concern behaviors on the supply chain has been the focus of scholarly attention. Chen et al.9 considered firms’ fairness concern behaviors in a photovoltaic supply chain and found that a coordinated strategy of government subsidy behavior could maximize social welfare with minimal public subsidies. Cohen et al.46 suggested that mild fairness concern behaviors increase social welfare under a linear demand model, but excessive fairness concern behaviors lead to a decrease in social welfare, and fairness concern behaviors in demand or consumer surplus always decrease overall social welfare. Jiang et al.47 considered two firms that differed in terms of greenness and analyzed the impact of behavior-based pricing strategy in a situation where consumers are fairness-concerned. The results concluded that greenness level and fairness concern under behavior-based pricing strategy would reduce the social welfare of the whole supply chain.
Research gap and contributions
The research gap and contributions of our paper are as follows:
-
(1)
Same to the studies of Hafezi et al.12, Chen et al.19, Dixit et al.25, Long et al.41, and Zhang et al.43, our paper also aims to discuss the impact of green R&D on channel members’ decision-making. However, given the uncertainty of R&D outcomes in real environments, our paper further expresses R&D efficiency and R&D inefficiency in terms of probabilities and thus extends participants’ decision-making of green supply chains under R&D uncertainty.
-
(2)
Unlike the literature of Lee and Park17, Zheng et al.18, Jian et al.26, Pan et al.28 and Wu et al.37, the focus is only on the supply chain structure in which one certain player dominates the market. Our study will consider the optimal decision-making of the supply chain when different participants are the core firms, which is more in line with the reality that core firms of different industrial chains may be not the same.
-
(3)
Based on the research of Zhong et al.24, Jian et al.26, Pan et al.28, Chen and Su30 and Wu et al.37, fairness concern behavior has a non-negligible impact on participants’ decision-making. Nevertheless, these articles do not consider the impact of fairness concern behavior on social welfare. By incorporating participants’ fairness concern behaviors into variables, this paper will further explore the impact of fairness concern behaviors on channel members’ decision-making, which is of great practical significance.
Specifically, the comparison of the proposed literature and the published models is listed in Table 1.
Problem definition and model analysis
Manufacturers’ production activities are often the links that have a direct impact on supply chains’ greening and upgrading. Promoting manufacturers’ technology improvement in production ability and pollution control becomes an important way to enhance products’ green performance as well as realize supply chains’ green transformation49. Based on this, this paper takes manufacturers as the bearers of green technology R&D, considers the existence of both efficient and inefficient uncertainties in the results of manufacturers’ green R&D, and analyzes the impact of manufacturers’ fairness concern on pricing decisions under different market power structures. Thus, our study has several hypotheses as follows.
Hypothesis 1
Our study considers that there is a green supply chain consisting of manufacturer M and retailer R. Manufacturer M, as the main participant in product green technology R&D, can choose whether to develop products based on market conditions. For the purpose of subsequent analysis and without prejudice to the conclusions, it is assumed that manufacturer M’s unit production cost is \(C=0\) and the greenness of the product is \(G=0\) when manufacturer M does not carry out technological R &D43. Consumer demand D for products is mainly affected by product price and product greenness, which can be represented by \(D=\alpha -\beta P+\gamma G\), where \(\alpha\) represents the market capacity, and \(\beta\) and \(\gamma\) represent the preference coefficients of consumer demand for product price and product greenness, respectively. When manufacturer M chooses to improve their products’ greenness, it will conduct green technology R&D to improve products’ environmental performance. For example, the acquisition of production line equipment for ingots, wafers, cells and modules in the photovoltaic industry is a fixed cost in technological R&D, while technical and personnel inputs are important variable costs that often affect photovoltaic outputs. Thus, we refer to the literature50,51,52, and assumed that R&D costs consist of fixed and variable costs. For simplicity, we assume that the cost of green technology R&D is \(\frac{\mu G^2}{2}+F\), \(\frac{\mu G^2}{2}\) and F represents the variable cost and fixed cost, respectively, where G represents manufacturer M’s efforts in green technology R &D26,34,53. Given that manufacturer M’ green technology R&D often requires large capital investment and to ensure that the subsequent results are economically meaningful, it is assumed that manufacturer M’s R&D parameter satisfies \(\mu >\frac{\gamma ^2(v^2+k-kv^2)}{2\beta }\).
Hypothesis 2
The results of R&D are inextricably linked to the technological level of the enterprise, the direction of R&D, and the market demand, and thus may show different results for the same R&D investment. In addition, as green technology R&D tends to have a long cycle, it contributes to the uncertainty of R&D. For example, in the new energy automotive industry, BYD’s 2016–2020 cumulative investment of about 700 million dollars in blade batteries has received good market feedback, while QuantumScape’s solid-state battery R&D, with cumulative financing of more than 2 billion dollars from 2010–2023, has resulted in low market conversion rates due to inappropriate R&D goals. Due to the uncertainty of technology R&D, this paper assumes that there are two outcomes of green R&D, high green performance and low green performance, which are denoted by \(G_H\) and \(G_L\) respectively (\(G_H>G_L\)), with the probabilities of the two outcomes being k and \(1-k\)47,54. Given the uncertainty of R&D, we assume that G is the optimal R&D output state. \(G_H=kG\) and \(G_L=kvG\) (\(0<v<1\), \(0<k<1\)) denote the states of efficient and inefficient R&D, respectively. Without losing the generality of the conclusions, it is assumed that \(k=1\), i.e. \(G_H=G\) and \(G_L=vG\). In both scenarios, manufacturer M sells to retailer R at \(W_H\) and \(W_L\), respectively, and retailer R sells to consumers at \(P_H\) and \(P_L\), respectively. Therefore, the market demand in the two scenarios is \(D_H=\alpha -\beta P_H+\gamma G\) and \(D_L=\alpha -\beta P_L+v\gamma G\), respectively.
Hypothesis 3
The differences in power structure have a significant impact on the decision-making of supply chain participants. Manufacturers and retailers, as the main participants in the supply chain, often have inconsistent decision-making behaviors in manufacturer-led and retailer-led supply chains. Dominant players in the supply chain have a significant impact on the pricing decisions of other players, such as BYD 2025, a core manufacturer in the automotive supply chain, which requires its suppliers to reduce prices by 10 percent, and Walmart, a leading global retailer, which adopts a strategy of holding down purchase prices and requiring suppliers to bear some of the costs. Therefore, this paper assumes that in a manufacturer-dominated power structure, the manufacturer first determines the wholesale price W, and then the retailer decides the price to be sold to the consumer, P. In a retailer-dominated power structure, on the other hand, the retailer first determines the profitable price per unit of the product, m, and then the manufacturer determines the wholesale price, W. The condition \(P=W+m\) is satisfied. Consumer surplus refers to the difference between the highest price consumers are willing to pay for a product and the market price they actually pay for that product. Hence, the consumer surplus in our research is given by \(CS=\int _{P_{min}}^{P_{max}}D_i(P)dP=\int _{(\alpha +\gamma G-D)/\beta }^{(\alpha +\gamma G)/\beta }(\alpha -\beta P_i+\gamma G)dP=\frac{D_{i}^{2}}{2\beta }\)28. Regarding the overall social welfare of the supply chain, this paper refers to the research of Pan et al.28, and expresses the social welfare of the whole supply chain by the sum of the profits of manufacturer M and retailer R in the supply chain as well as the consumer surplus, i.e. \(SW=\pi _M+\pi _R+\frac{D_{i}^{2}}{2\beta }\).
Hypothesis 4
Manufacturer R&D investment is not only beneficial to the manufacturer itself, but also to the retailer. Manufacturer M’s R&D investment leads to increased greenness of products, which in turn leads to increased retailer R’s profit. Given that the ‘free-ride’ effect of retailer R under fairness neutrality will discourage manufacturer M from greening their products, manufacturer M’s fairness concern about profit distribution in the supply chain become an influential factor in pricing decisions which cannot be ignored. The utility of a decision maker with fairness concern behavior is often denoted by \(U_i=\pi _i-\lambda _1 max\{\pi _j-\pi _i,0\}+\lambda _2 max\{\pi _i-\pi _j,0\}\). \(\lambda _1\) is called disadvantageous fairness concern when \(\pi _j\ge \pi _i\) and \(\lambda _2\) is called advantageous fairness concern when \(\pi _j\le \pi _i\). To simplify the research while considering that participants mainly focus on fairness concern that are not self interested, Cui et al.23 proposed a more concise utility form \(U_i=(1+\lambda )\pi _i-\lambda \pi _j\). Thus, in the case of a manufacturer with fairness concern behavior, the manufacturer will no longer aim to maximize profit but utility, i.e., \(U_M=(1+\lambda )\pi _M-\lambda \pi _R\).
In this paper, we use superscripts M and R to denote the supply chain power structures where manufacturer M dominates and retailer R dominates, respectively; superscripts I, N, and F to denote the results at the initial state, fairness neutrality, and fairness concern, respectively; and subscripts H and L to denote the the results when manufacturer M’ R&D is efficient and inefficient. This section will consider the optimal decisions under three scenarios: initial state, manufacturer M’s green R&D with fairness neutrality, and manufacturer M’s green R&D with fairness concern. The differences in product pricing, market demand, greenness, manufacturer and retailer profits, and overall social welfare under different scenarios will be compared and analyzed. For the descriptions of following models, Table 2 give the symbols of different parameters used in our research and Fig. 1 describes the decision sequences in manufacturer-led supply chain and retailer-led supply chain.
Initial state
Scenario MI
When manufacturer M dominates the supply chain, it will first determine wholesale price \(W^{MI}\) of the products, and retailer R will then decide to sell them to consumers at retail price \(P^{MI}\) based on the manufacturer’s wholesale price. At this point, the profit functions of manufacturer M and retailer R are, respectively:
Solve this game equilibrium in reverse. Firstly, let \(\frac{\partial \pi _{R}^{MI}}{\partial P^{MI}}=0\) and obtain \(P^{MI}=\frac{(\alpha +\beta W^{MI})}{2\beta }\). Substituting it into \(\pi _{M}^{MI}\) and letting \(\frac{\partial \pi _{M}^{MI}}{\partial W^{MI}}=0\), we can obtain \(W^{MI}=\frac{\alpha }{2\beta }\). Thus, at game equilibrium, products’ wholesale price and retail price, consumer demand, and profits of manufacturer M and retailer R separately are:
Referring to the literature49,55, we use supply chain members’ profits plus consumer surplus to represent the social welfare of the supply chain. Thus, substituting into formula \(SW=\pi _M+\pi _R+\sum _{i=1}^{2}\frac{D_i^2}{2\beta }\), it can be concluded that the overall social welfare of the supply chain under scenario MI is \(SW^{MI}=\frac{7\alpha ^2}{32\beta }\).
Scenario RI
Conversely, when retailer R dominates the supply chain, it will first determine products’ retail price \(P^{RI}\), and then manufacturer M will determine wholesale price \(W^{RI}\). Drawing on existing research28, we assume that \(m^{RI}\) is retailer R’s markup strategy, thus the relationship between products’ wholesale price and retail price is \(P^{RI}=W^{RI}+m^{RI}\). At this point, the profit functions of manufacturer M and retailer R are, respectively:
The solution process is similar. Let \(\frac{\partial \pi _{M}^{RI}}{\partial W^{RI}}=0\) and obtain \(W^{RI}=\frac{(\alpha -\beta m^{RI})}{2\beta }\). Substituting into \(\pi _{M}^{RI}\), we can obtain \(m^{RI}=\frac{\alpha }{2\beta }\). At this point, products’ wholesale price and retail price, consumer demand, and profits of manufacturer M and retailer R separately are:
Similarly, substituting into formula SW, we can obtain the overall social welfare of the supply chain under scenario RI is \(SW^{RI}=\frac{7\alpha ^2}{32\beta }\).
Comparing the equilibrium results under scenarios MI and RI, it can be seen that in the initial state, regardless of the power structure of the market, retail price P, consumer demand D, and social welfare SW are the same, but manufacturer M’s and retailer R’s profits are not the same. Specifically, manufacturer M’s profit is twice that of retailer R in case MI, but the opposite is true in case RI. Additionally, from the game equilibria of MI and RI, it is obvious that the results all decrease with the increase of parameter \(\beta\). Understandably, an increase in price preference parameter \(\beta\) means that consumers are more concerned about product prices, which in turn leads to manufacturers and retailers having to lower prices and profits.
Implement green R&D with fairness neutrality
Scenario MN
When manufacturer M is the leader in the supply chain, it will be the first to determine green R&D effort \(G^{MN}\) and products’ wholesale price \(W^{MN}\). Due to the uncertainty of green technology R&D, manufacturer M’ wholesale prices are \(W_H^{MN}\) and \(W_L^{MN}\) respectively when R&D is efficient and inefficient. Retailer R will determine products’ retail prices \(P_H^{MN}\) and \(P_L^{MN}\) in two situations based on manufacturer M’s decision. This article uses expected values to represent the profit functions of manufacturer M and retailer R under uncertain R&D results, where they are:
The solution process is similar. Let \(\frac{\partial \pi _{R}^{MN}}{\partial P_H^{MN}}=0\) and \(\frac{\partial \pi _{R}^{MN}}{\partial P_L^{MN}}=0\), we can obtain that \(P_H^{MN}=\frac{(\alpha -\beta P_H^{MN}+\gamma G^{MN})}{2\beta }\) and \(P_H^{MN}=\frac{(\alpha -\beta P_L^{MN}+v\gamma G^{MN})}{2\beta }\). Substituting it into \(\pi _{M}^{MN}\) and taking partial derivatives of the parameters with respect to \(W_H^{MN}\), \(W_L^{MN}\) and \(G^{MN}\), respectively, the Hessian matrix can be obtained \(\begin{bmatrix} -k\beta & 0 & k\gamma /2\\ 0 & -(1-k)\beta & (1-k)v\gamma /2\\ k\gamma /2 & (1-k)v\gamma /2 & -\mu \\ \end{bmatrix}\). Since \(\mu >\gamma ^2(v^2+k-kv^2)/2\beta\), we can obtain that \(k(1-k)\beta ^2>0\) and \(k\beta (1-k)[\gamma ^2(v^2+k-kv^2)-4\beta \mu ]/4<0\). Thus, it can be inferred that the Hessian matrix is negatively definite, and there exists an extremum solution for \(\pi _{M}^{MN}\) with respect to \(W_H^{MN}\), \(W_L^{MN}\) and \(G^{MN}\). Let \(\frac{\partial \pi _{M}^{MN}}{\partial W_H^{MN}}=0\), \(\frac{\partial \pi _{M}^{MN}}{\partial W_L^{MN}}=0\), and \(\frac{\partial \pi _{M}^{MN}}{\partial G^{MN}}=0\), the optimal wholesale price \(W_i^{MN}\), retail price \(P_i^{MN}\), products’ greenness \(G_i^{MN}\), market demand for products \(D_i^{MN}\), and manufacturer M’s expected profit \(\pi _M^{MN}\) and retailer R’s expected profit \(\pi _R^{MN}\) under game equilibrium with uncertain R&D results are as follows:
According to equilibrium results mentioned above, it is evident that \(W_i^{MN},G_i^{MN}>0\), indicating that the result has economic significance. Due to the complexity of the social welfare function of the entire supply chain, it will not be listed here and will be further analyzed in numerical simulations. In addition, since \(W_H^{MN}-W_L^{MN}=\frac{\alpha \gamma (1-v)[k\gamma (1-v)+v\gamma ]}{2\beta [4\beta \mu -\gamma ^2(v^2+k-kv^2)]}>0\), \(P_H^{MN}-P_L^{MN}=\frac{3\alpha \gamma (1-v)[k\gamma (1-v)+v\gamma ]}{4\beta [4\beta \mu -\gamma ^2(v^2+k-kv^2)]}>0\), and \(D_H^{MN}-D_L^{MN}=\frac{\alpha \gamma (1-v)[k\gamma (1-v)+v\gamma ]}{4[4\beta \mu -\gamma ^2(v^2+k-kv^2)]}>0\), it can be seen that when manufacturer M’s R&D efficiency is quite high, the wholesale price, retail price, and market sales of products are higher, which is in line with the reality of the economy and society. Additionally, due to \(\frac{\pi _{R}^{MN}}{\pi _{R}^{MI}}=1+\frac{[\gamma (k+v-kv)]^2[8\beta \mu -\gamma ^2(v^2+k-kv^2)]}{[4\beta \mu -\gamma ^2(v^2+k-kv^2)]^2}\) and \(\frac{\pi _{M}^{MN}}{\pi _{M}^{MI}}=1+\frac{[\gamma (k+v-kv)]^2}{[4\beta \mu -\gamma ^2(v^2+k-kv^2)]^2}-\frac{8\beta F}{\alpha ^2}\), it is obvious that \(\frac{\pi _{R}^{MN}}{\pi _{R}^{MI}}>1\), which means no matter how efficient manufacturer M’s R&D is, it is always beneficial for the increase of retailer R’ profit. However, the changes in manufacturer M’s profit is uncertain, which is highly related to fixed costs of green R&D expenditures. Based on the above results, the following propositions can be further inferred.
Proposition 1
The wholesale price \(W_i^{MN}\), retail price \(P_i^{MN}\), product greenness \(G_i^{MN}\), market demand \(D_i^{MN}\), and manufacturer M’s expected profit \(\pi _M^{MN}\) all increase with the increase of probability parameter k and \(\gamma\) while decrease with the increase of parameter \(\mu\). Retailer R’s expected profit \(\pi _R^{MN}\) increase with the increase of probability parameter \(\gamma\) while decrease with the increase of parameter \(\mu\).
Proof
By taking partial derivatives of the equilibrium results with respect to parameter k, \(\gamma\), and \(\mu\), we can obtain that
Since \(0<v<1\), we can obtain that \(k+v-kv>0\). Added with \(4\beta \mu >\gamma ^2(v^2+k-kv^2)\), it is evident that \(\frac{\partial W_i^{MN}}{\partial k},\frac{\partial G_i^{MN}}{\partial k},\frac{\partial P_i^{MN}}{\partial k},\frac{\partial D_i^{MN}}{\partial k},\frac{\partial \pi _M^{MN}}{\partial k}>0\), \(\frac{\partial W_i^{MN}}{\partial \mu },\frac{\partial G_i^{MN}}{\partial \mu },\frac{\partial P_i^{MN}}{\partial \mu },\frac{\partial D_i^{MN}}{\partial \mu },\frac{\partial \pi _M^{MN}}{\partial \mu },\frac{\partial \pi _R^{MN}}{\partial \mu }<0\), and \(\frac{\partial W_i^{MN}}{\partial \gamma },\frac{\partial G_i^{MN}}{\partial \gamma },\frac{\partial P_i^{MN}}{\partial \gamma },\frac{\partial D_i^{MN}}{\partial \gamma },\frac{\partial \pi _M^{MN}}{\partial \gamma },\frac{\partial \pi _R^{MN}}{\partial \gamma }>0\). Due to the complex functional relationship between retailer R’s profit and parameter k, the functional relationship will be further analyzed in the numerical simulation section. It can be inferred that the increase in manufacturer M’s efficient R&D probability parameter will lead to an increase in product pricing, market demand, and manufacturer M’s profit. An increase in consumer preference parameter \(\gamma\) for product greenness is beneficial to manufacturer M and retailer R in terms of pricing, sales, and profits, while an increase in R&D parameter \(\mu\) increases manufacturer M’s R&D pressure and leads to a decrease in pricing, sales, and profits. \(\square\)
Scenario RN
When retailer R is the leader in the supply chain, it will be the first to determine products’ markup \(m_i^{RN}\) in two status, and then manufacturer M will determine green R&D effort \(G^{RN}\) and products’ wholesale price \(W^{RN}\). At this point, the expected profits of manufacturer M and retailer R under uncertain R&D results separately are:
Due to the similar solution approach, it will not be elaborated here. Manufacturer M’s optimal wholesale price \(W_i^{RN}\), product greenness \(G_i^{RN}\), retailer R’s markup \(m_i^{RN}\), products’s market demand \(D_i^{RN}\), and manufacturer M’s and retailer R’s profits under two game equilibrium scenarios can be obtained as follows:
According to the above results, it can be concluded that retailer R’s markup strategy is not affected by the manufacturer M’s R&D results, and is only influenced by consumers’ price preference parameter. In the supply chain where manufacturer M’s is fairness-neutral and retailer R is the leader, retailer R’s profit is twice that of manufacturer M. In addition, since \(W_H^{RN}-W_L^{RN}=\frac{\alpha \gamma ^2(1-v)(k-kv+v)}{4\beta [2\beta \mu -\gamma ^2(v^2+k-kv^2)]}\), it can be seen that products’ wholesale price and retail price are higher when manufacturer M has high R&D efficiency. Given the complexity of the social welfare function, it will not be listed here. Comparing the results in the initial state and fairness neutrality, we can obtain that \(\frac{\pi _M^{MN}}{\pi _M^{MI}}=1+\frac{\gamma ^2(k-kv+v)^2}{[2\beta \mu -\gamma ^2(v^2+k-kv^2)]^2}-\frac{8\beta F}{\alpha ^2}\) and \(\frac{\pi _R^{MN}}{\pi _R^{MI}}=1+\frac{\gamma ^2(k-kv+v)^2}{[2\beta \mu -\gamma ^2(v^2+k-kv^2)]^2}\). Similar to the conclusion when manufacturer M is the leader, manufacturer M’s green technology R&D leads to a rise in retailer R’s profit regardless of its efficiency, while the change in manufacturer M’s earning is uncertain, which is related to the green R&D fixed cost expenditure. Based on these results, the following proposition can be drawn.
Proposition 2
The wholesale price \(W_i^{RN}\), retail price \(P_i^{RN}\), product greenness \(G_i^{RN}\), market demand \(D_i^{RN}\), manufacturer M’s expected profit \(\pi _M^{RN}\), as well as retailer R’s expected profit \(\pi _R^{RN}\) all increase as k increases.
Proof
Similarly, by taking partial derivatives of the equilibrium results with respect to parameter k, \(\gamma\) and \(\mu\), it can be obtained that
Similarly, since \(2\beta \mu >\gamma ^2(v^2+k-kv^2)\) and \(0<v<1\), we can obtain that \(\frac{\partial W_i^{RN}}{\partial k},\frac{\partial G_i^{RN}}{\partial k},\frac{\partial P_i^{RN}}{\partial k},\frac{\partial D_i^{RN}}{\partial k},\frac{\partial \pi _M^{RN}}{\partial k},\frac{\partial \pi _R^{RN}}{\partial k}>0\), \(\frac{\partial W_i^{RN}}{\partial \mu },\frac{\partial G_i^{RN}}{\partial \mu },\frac{\partial P_i^{RN}}{\partial \mu },\frac{\partial D_i^{RN}}{\partial \mu },\frac{\partial \pi _M^{RN}}{\partial \mu },\frac{\partial \pi _R^{RN}}{\partial \mu }<0\), and \(\frac{\partial W_i^{RN}}{\partial \gamma }\), \(\frac{\partial G_i^{RN}}{\partial \gamma }\),
\(\frac{\partial P_i^{RN}}{\partial \gamma },\frac{\partial D_i^{RN}}{\partial \gamma },\frac{\partial \pi _M^{RN}}{\partial \gamma },\frac{\partial \pi _R^{RN}}{\partial \gamma }>0\). A rise in the probability of efficient R&D by manufacturer M and consumer preferences for products lead to higher product pricing, higher market demand, and higher profits for manufacturer M and retailer R while a rise in R&D parameter is unfavorable for the pricing and profits of manufacturer M and retailer R. \(\square\)
Implement green R&D with fairness concern
Scenario MF
Manufacturer M’s R&D investment under fairness neutrality leads to increased greenness of products, which in turn leads to increased retailer R’s profit. Thus, manufacturer M’s fairness concern about profit distribution become an influential factor in pricing decisions which cannot be ignored. Referring the study of Cui et al.23, our paper assumes that the utility of manufacturer M with fairness concern is \(U_M=(1+\lambda )\pi _M-\lambda \pi _R\). At this point, the utility of manufacturer M and the profit of retailer R respectively are:
Similar to the solution process above, letting \(\frac{\partial \pi _R^{MF}}{\partial P_H^{MF}}=0\) and \(\frac{\partial \pi _R^{MF}}{\partial P_L^{MF}}=0\), and substituting the results into equation (19), the Hessian matrix of \(U_M\) with respect to \(W_H^{MF}\), \(W_L^{MF}\) and \(G^{MF}\) can be obtained \(\begin{bmatrix} -k\beta (2+3\lambda )/2 & 0 & k\gamma (1+2\lambda )/2\\ 0 & -(1-k)\beta (2+3\lambda )/2 & k(1-k)\gamma (1+2\lambda )/2\\ k\gamma (1+2\lambda )/2 & k(1-k)\gamma (1+2\lambda )/2 & -[2\beta \mu (1+\lambda )+\lambda \gamma ^2(v^2+k-kv^2)]/2\beta \\ \end{bmatrix}\). Due to the fact that the first-order principal formula \(-k\beta (2+3\lambda )/2<0\), second-order principal formula \(k(1-k)\beta ^2(2+3\lambda )^2/4>0\), and third-order principal formula \((1-k)k\beta (1+\lambda )(2+3\lambda )[\gamma ^2(v^2+k-kv^2)(1+\lambda )-2\beta (2+3\lambda )\mu ]/8<0\), it can be inferred that the Hessian matrix of \(U_M^{MF}\) is negatively definite and has extremal solutions. Furthermore, the optimal wholesale price \(W_i^{MF}\), retail price \(P_i^{MF}\), product greenness \(G_i^{MF}\), market demand \(D_i^{MF}\), manufacturer M’s utility \(U_M^{MF}\), and retailer R’s profit at game equilibrium can be obtained as follows:
where \(A=2\beta \mu (2+3\lambda )-\gamma ^2(v^2+k-kv^2)(1+\lambda )\).
Since \(A>0\), it can be obtained that \(W_i^{MF}>0\), \(G_i^{MF}>0\), \(P_i^{MF}>0\), and \(D_i^{MF}>0\), which means that the results have economic significance. Based on the results, we can obtain that \(W_H^{MF}>W_L^{MF}\), \(P_H^{MF}>P_L^{MF}\), and \(D_H^{MF}>D_L^{MF}\). Furthermore, by discussing the impact of manufacturer M’s fairness concern behavior on the equilibrium results, propositions 3 and 4 can be drawn.
Proposition 3
The wholesale price \(W_i^{MF}\), retail price \(P_i^{MF}\), product greenness \(G_i^{MF}\), and market demand \(D_i^{MF}\) all increase as k and \(\gamma\) increase while decrease as \(\mu\) increase. Manufacturer M’s and retailer R’s profits increase as \(\gamma\) increases while decrease as \(\mu\) increase.
Proof
Similarly, by taking partial derivatives of the equilibrium results with respect to parameter k, \(\mu\), and \(\gamma\), it can be obtained that
where \(B=v\gamma ^2(1+\lambda )+2\beta \mu (2+3\lambda )\), \(C=v^2\gamma ^2(1+\lambda )^2+k\gamma ^2(1-v^2)(1+\lambda )^2+2\beta \mu \lambda (2+3\lambda )\), and \(D=2\beta \mu (5 \lambda +2) +\gamma ^2 k (\lambda +1) \left( v^2-1\right) -\gamma ^2 v^2 (\lambda +1)\). Obviously, \(B,C>0\). Due to \(\mu >\frac{\gamma ^2(v^2+k-kv^2)}{2\beta }\), we can obtain that \(D>\gamma ^2(4\lambda +1)[v^2+k(1-v^2)]>0\). Thus,
Similar to the results in the above scenarios, we do not repeat here. However, due to the complex functional relationship between manufacturer M’s and retailer R’s profits and parameter k, their relationships will be further analyzed in the numerical simulation section. It can be seen that in scenario MF, the increase in R&D efficiency and the increase in consumers’ green preferences continue to be beneficial to manufacturer M and retailer R. \(\square\)
Proposition 4
In the supply chain where manufacturer M is dominant and has fairness concern, products’ greenness \(G_i^{MF}\) and demand \(D_i^{MF}>0\) are both decreasing functions with respect to fairness concern parameter \(\lambda\), while the functional relationship between wholesale price \(W_i^{MF}\) and retail price \(P_i^{MF}\) with respect to fairness concern parameter \(\lambda\) also depends on the changes of other parameters.
Proof
By taking partial derivatives of the equilibrium results with respect to parameter \(\lambda\), we can obtain that \(\frac{\partial W_H^{MF}}{\partial \lambda }=\frac{\alpha [A^2-\gamma ^2(k-kv+v)(1+\lambda )C]}{\beta (2+3\lambda )^2A^2}\), \(\frac{\partial W_L^{MF}}{\partial \lambda }=\frac{\alpha [A^2-\gamma ^2v(k-kv+v)(1+\lambda )C]}{\beta (2+3\lambda )^2A^2}\), \(\frac{\partial G_H^{MF}}{\partial \lambda }=\frac{\partial G_L^{MF}}{v\partial \lambda }=-\frac{2 \alpha \beta \gamma \mu (k+v-kv)}{A^2}\), \(\frac{\partial D_H^{MF}}{\partial \lambda }=-\frac{\alpha \{A^2+\gamma ^2(k-kv+v)(1+\lambda )[A+2\beta \mu (2+3\lambda )]\}}{2(2+3\lambda )^2A^2}\), and \(\frac{\partial D_L^{MF}}{\partial \lambda }=-\frac{\alpha \{A^2+v\gamma ^2(k-kv+v)(1+\lambda )[A+2\beta \mu (2+3\lambda )]\}}{2(2+3\lambda )^2A^2}\). Obviously, \(\frac{\partial D_i^{MF}}{\partial \lambda },\frac{\partial G_i^{MF}}{\partial \lambda }<0\), which suggests that manufacturer M’s fairness concern can lead to a decrease in product demand and product greenness. The functional relationship between fairness concern parameter \(\lambda\) and products’ wholesale price \(W_i^{MF}\) and retail price \(P_i^{MF}\) are more complex and will be further discussed and analyzed in the numerical simulation. \(\square\)
Scenario RF
When manufacturer M is fairness-concerned and retailer R is the leader, the utility function of manufacturer M and the profit function of retailer R are:
At this point, the optimal wholesale price \(W_i^{RF}\), markup price \(m_i^{RF}\), retail price \(P_i^{RF}\), product greenness \(G_i^{RF}\), market demand \(D_i^{RF}\), manufacturer M’s utility \(U_M^{RF}\), and retailer R’s profit at game equilibrium can be obtained as follows:
Among the equations,
According to the above results, similar to scenario MF, wholesale price \(W_i^{RF}\), retail price \(P_i^{RF}\), product greenness \(G_i^{RF}\), market demand \(D_i^{RF}\), manufacturer M’s profit \(\pi _M^{RF}\), and retailer R’s profit \(\pi _R^{RF}\) all increase with the increase of k and \(\gamma\) while decrease with the increase of \(\mu\) in scenario RF. Differently, manufacturer M’s green R&D effort \(G_i^{RF}\), retail price \(P_i^{RF}\), and market demand \(D_i^{RF}\) are all independent with manufacturer M’s fairness concern parameter \(\lambda\). Manufacturer M’s fairness concern behavior will only affect wholesale price \(W_i^{RF}\), markup price \(m_i^{RF}\), and the profits of both parties. By analyzing the relationship between outcomes with parameters, we can obtain Proposition 5.
Proposition 5
Manufacturer M’s wholesale price and profit are increasing functions of fairness concern parameter \(\lambda\), while retailer R’s markup and profit are decreasing functions of fairness concern parameter \(\lambda\).
Proof
By taking partial derivatives of wholesale price \(W_i^{RF}\), markup price \(m_i^{RF}\), manufacturer M’s profit \(\pi _M^{RF}\), and retailer R’s profit \(\pi _R^{RF}\) with respect to parameter \(\lambda\), we can obtain that \(\frac{\partial W_i^{RF}}{\partial \lambda }=\frac{\alpha }{2\beta (1+2\lambda )^2}\), \(\frac{\partial W_i^{RF}}{\partial \lambda }=-\frac{\alpha }{2\beta (1+2\lambda )^2}\), \(\frac{\partial \pi _M^{RF}}{\partial \lambda }=\frac{\alpha ^2(1+4\lambda )E}{16\beta (1+2\lambda )}\), and \(\frac{\partial \pi _R^{RF}}{\partial \lambda }=-\frac{\alpha ^2(1+\lambda )E}{8\beta (1+2\lambda )}\), where \(E=1+\frac{2kv\gamma ^2(1-v)+k^2\gamma ^2(1-v)^2}{2\beta \mu -\gamma ^2(v^2+k-kv^2)}\). It is obviously that \(E>0\), thus we can obtain that \(\frac{\partial W_i^{RF}}{\partial \lambda }>0\), \(\frac{\partial m_i^{RF}}{\partial \lambda }<0\), \(\frac{\partial \pi _M^{RF}}{\partial \lambda }>0\), and \(\frac{\partial \pi _R^{RF}}{\partial \lambda }<0\). \(\square\)
Numerical simulation
In this section, we will analyze the equilibrium results of optimal decisions for manufacturer M and retailer R in four scenarios: MN, MF, RN, and RF, which will also compare with the results in scenarios MI and RI. Due to the consideration of different power structures in the market, as well as the decision-making problems under fairness concern and R&D uncertainty, this article mainly analyzes the impact of R&D uncertainty parameter k and fairness concern parameter \(\lambda\) on the equilibrium results. According to the National Association of Convenience Stores (NACS) 2024 Consumer Sustainability Survey, 80 percent of respondents said they were ‘very concerned’ or ‘somewhat concerned’ about the environmental impact of their purchases, reflecting the fact that green performance has become a key purchase consideration. The survey further noted that 80% of consumers said they would value the green attributes of a product as long as the price was the same, suggesting that price and green performance are equally weighted in the minds of consumers. Thus, our paper assume that that consumers are equal to the price preference parameter and the green preference parameter, i.e., \(\beta =\gamma =10\). The efficiency of solar power generation for green energy utilization under different technologies is inconsistent. For example, using monocrystalline silicon high-efficiency photovoltaic modules equipped with an automatic cleaning system and an intelligent tracking system, the measured unit efficiency is about 20–22%, while using early polycrystalline silicon modules without an automatic tracking system, the measured unit efficiency is about 10-11%. Thus, we assume that output at inefficiency is only half of what it is at efficiency, i.e. \(v=0.5\). In addition, to ensure consistency in subsequent numerical simulations as well as to coincide with reality, referring to the study of Junaid et al.6, Song et al.31, Long et al.41 and Zhang et al.45, we assume that \(\alpha =100\), and \(\mu =20\) as the baseline setting.
In order to display the functional relationship between parameters and game equilibria, Figs. 2, 3, 4, 5, 6, 7, 8, 9, 10, 11 in this section are all obtained through the software Matlab 2019. This section will further analyze the decision-making under R&D uncertainty and different market power structures, and discuss the impact of fairness concern behavior on equilibrium results. In the previous section, social welfare was not listed due to its complexity. This section will also further analyze the differences in social welfare under different circumstances. In addition, we will horizontally compare the impact of two different power structures on pricing decisions of supply chain participants, and vertically analyze the influence of manufacturers’ fairness concern on supply chain pricing decisions.
Decisions under fairness neutrality
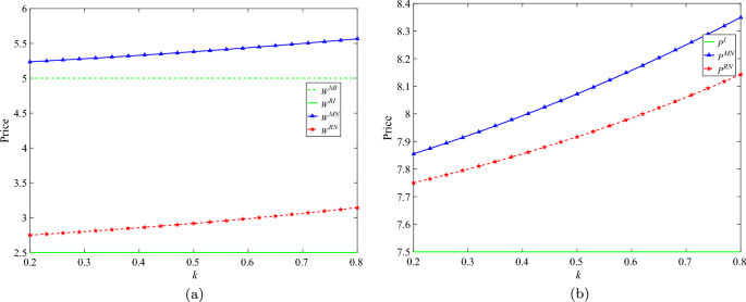
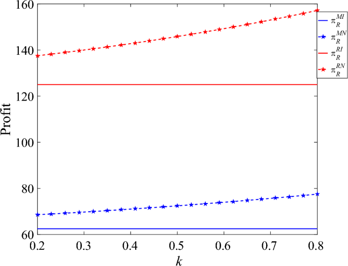
In this section, we mainly focus on analyzing the comprehensive impacts of manufacturer M’s R&D efficiency parameter k and fixed R&D cost F on the game outcomes under scenarios MN and RN, and further compare with the results under MI and RI. Considering the uncertainty of manufacturer M’s green R&D results, the expected value is used here to represent the optimal decision when the game is in equilibrium. Thus, assuming that \(0.2\le k\le 0.8\) and \(5\le F\le 10\), we can obtain the relations between parameters and game outcomes under different scenarios. The realtionships between parameter k and wholesale price W, retail price P, market demand D, products’ greenness G, and retailer R’s profit are shown in Figs. 2, 3 and 4, while the relationships between manufacturer M’s profit and social welfare SW with parameters k and F are shown in Figs. 5 and 6.
Overall, from Figs. 2, 3, 4, it can be seen that regardless of the power structure of the supply chain, an increase in efficient R&D parameter k will lead to an increase in product wholesale price W, retail price P, market demand D, product greenness G, and retailer R’s profit. This is consistent with propositions 1 and 2, which indicates that manufacturer M’s efficient technology R&D is beneficial to products’ pricing, demand, as well as the profit of retailer R. Understandably, when the probability of manufacturer M’s efficient R&D is high, it will significantly improve products’ greenness and attract consumer purchases, which in turn can lead to increased market demand and product pricing. In addition, compared with the initial state without R&D, product pricing, production demand, greenness, and retailer R’s profit are all larger than those in the initial state when the value of k is within [0.2,0.8]. However, the magnitude relationships of equilibrium results in scenarios MN and RN are quite different. Products’ wholesale price and retail price always are larger in scenario MN while products’ demand, greenness, and retailer R’s profit are larger in scenario RN. Obviously, in a retailer-dominated power structure, products have a higher degree of greenness and a lower price, thus it can capture greater market demand. Since manufacturer M’s profit is also related to its fixed input cost F of green technology R&D, this section further analyzes the impacts of parameters k and F on manufacturer M’s profit as well as the whole supply chain’s social welfare SW, as shown in Figs. 5 and 6.
It is evident from Fig. 5 that manufacturer M’s profit increases with the increase of efficient R&D probability parameter k and decreases with the increase of fixed cost F in both the manufacturer-dominated and retailer-dominated scenarios. Unlike retailer R’s profit, manufacturer M’s profit under green technology R&D is not necessarily greater than that in the initial state, and manufacturer M’s profit may even be lower than that in the initial state when R&D efficiency is low and fixed costs are high. Since the retailer’s profit will always be greater than the initial state regardless of manufacturer M’s R&D efficiency, it can be seen that manufacturer M’s green technology R&D strategy is a ’self-interested’ behavior under this circumstance. Therefore, it is unwise for manufacturer M to invest in green technology R&D when fixed cost is high and R&D is inefficient.
From Fig. 6, it can be seen that social welfare SW of the entire supply chain under both power structures increases significantly with the increase of parameter k, and is less affected by the fixed cost F of manufacturer M’s green R&D. It can be seen that the efficiency of manufacturer M’s green R&D is the key factor in improving social welfare SW. In addition, under both power structures, social welfare will be greater than the initial state, and the social welfare will be higher under the dominance of retailer R, indicating that the green transformation of the supply chain under the leadership of retailer R is more ideal.
Decisions under fairness concern
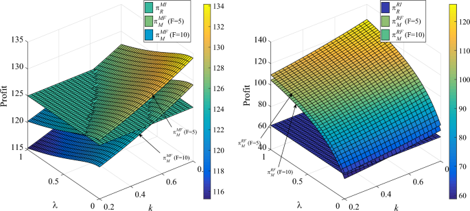
In this section, we further incorporate fairness concern parameter \(\lambda\) into game decision-making and analyze the impact of manufacturer M’s high-efficiency R&D probability parameter k and fairness concern parameter \(\lambda\) on the equilibrium results under different circumstances. Thus, we assume that \(0.2\le k\le 0.8\), \(0\le \lambda \le 1\), and use \(F_1=5\) and \(F_2=10\) respectively represent two states of low fixed cost and high fixed cost in green technology R&D. Based on these assumptions, we can obtain the relationships between game outcomes and parameters k, \(\lambda\), F under manufacturer’s fairness concern, which is shown in Figs. 7, 8, 9, 10, 11.
From Fig. 7, it is clear that when manufacturer M has fairness concern behavior, fairness concern parameter \(\lambda\) leads to an increase in products’ wholesale price in both the manufacturer-dominated and retailer-dominated power structures. And the fairness concern parameter \(\lambda\) has a greater impact on the equilibrium outcome compared to parameter k. In contrast, the relationship between retail price and the parameters is inconsistent in the two scenarios. In the manufacturing-dominated power structure, the relationship between the retail price and the parameter is similar to the wholesale price, both increasing with the increase of the fairness concern parameter \(\lambda\), but in the retailer-dominated power structure, the retail price is independent of parameter \(\lambda\), and is only affected by parameter k. This is mainly because manufacturer M’s fairness concern behavior would lead it to increase products’ wholesale price in order to increase its individual earnings. In the manufacturer-dominated power structure, retailer R has less pricing power and can only increase its pricing in order to make a profit. In the retailer-dominated power structure, combined with the results in scenario RF, it can be seen that an increase in fairness concern parameter \(\lambda\) leads to a decrease in the markup M, which in turn causes that the retail price in the retailer-dominated power structure is independent of fairness concern parameter \(\lambda\) and only affected by parameter k.
From Fig. 8, in the manufacturer-dominated power structure, the increase in fairness concern parameter \(\lambda\) will lead to a decrease in products’ greenness and market demand. Nevertheless, in the retailer-dominated market, products’ greenness and demand are also not affected by the fairness concern parameter \(\lambda\) and increase only with the increase of parameter k. Unsurprisingly, this is because in the manufacturer-dominated power structure, an increase in fairness concern \(\lambda\) leads to an increase in product pricing, which in turn leads to a decrease in consumer demand, and the decrease in greenness is mainly due to the fact that the fairness concern behavior makes manufacturer M lack incentives for R&D. In the retailer-dominated power structure, on the other hand, products’ greenness is not affected by fairness concern parameter \(\lambda\), which in turn leads to the retail price and market demands being unaffected.
Figures 9 and 10 show the equilibrium results of manufacturer M’s and retailer R’s profits in the different scenarios, respectively. As can be seen from Fig. 9, retailer R’s profit decreases with the increase of fairness concern parameter \(\lambda\) in both scenarios, but fairness concern parameter \(\lambda\) has a greater impact on manufacturer M in scenario RF. In addition, retailer R’s profit is less affected by the R&D parameter k in scenario MF, while retailer R’s profit decreases significantly with the increase of parameter k in scenario RF. Compared to the equilibrium results under the initial states MI and RI, retailer R’s profit is larger than that in the initial state only when fairness concern parameter \(\lambda\) is smaller. In contrast, in scenario RF, the feasible domains of parameters k and are larger when retailer R’s profit is larger than that in the initial state. From Fig. 9, it can be seen that in scenario MF, an increase in fairness concern parameter \(\lambda\) leads to a decrease in manufacturer M’s profit, whereas in scenario RF, manufacturer M’s profit increases with an increase in fairness concern parameter \(\lambda\). In scenario MF, manufacturer M’s R&D parameter k is a key factor in its profit, whereas in scenario RF, fairness concern parameter \(\lambda\) affects its profit to a greater extent. When the fixed cost of R&D is small, i.e., \(F=5\), regardless of whether green R&D is efficient or inefficient, the profit after green R&D is generally greater than that in the initial state within the range of parameters k and \(\lambda\). When the fixed cost of R&D is high and the efficiency of R&D is low, manufacturer M’s profit will be lower than that in the initial state. Thus, conducting technology R&D at this point is unfavorable for manufacturer M. In scenario RF, on the other hand, only when R&D efficiency is low and fairness concern parameter \(\lambda\) is small, manufacturer M’s profit will be smaller than that in the initial state, and in most cases it will be much larger than that in the initial state. Combining Figs. 9 and 10, it can be seen that in scenario MF, manufacturer M’s fairness concern behavior is detrimental to both manufacturer M’s and retailer R’s profits, with retailer R being more affected, while in scenario RF, manufacturer M’s fairness concern leads to an increase in manufacturer M’s profit and a decrease in retailer R’s profit, which is favorable to manufacturer M and unfavorable to retailer R.
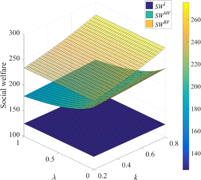
Due to the fact that social welfare SW graph is completely parallel at \(F=5\) and \(F=10\), for the sake of simplifying the analysis without affecting the conclusion, only the results at \(F=10\) will be analyzed here. As can be seen from Fig. 11, in both scenarios MF and RF, manufacturer M’s green technology R&D leads to social welfare greater than that in the initial state, which indicates that green technology R&D is beneficial to the development of the whole supply chain. Specifically, social welfare SW increases with the increase of R&D parameter k in both scenarios MF and RF. It means that R&D efficiency is an important way to enhance the overall social welfare in all cases, and it is a key approach to realizing the greening and upgrading of the supply chain and to enhancing market competitiveness. However, the impact of manufacturer M’s fairness concern on social welfare is not the same in two scenarios, as the social welfare SW decreases with the increase of fairness concern parameter \(\lambda\) in scenario MF and increases in the scenario RF. This is because in scenario MF, manufacturer M’s fairness concern lead to a decline in product pricing, market sales, and manufacturer M’s and retailer R’s profits, which in turn leads to a decline in social welfare across the supply chain; whereas in scenario RF, manufacturer M’s fairness concern do not affect product pricing and sales but lead to a rise in manufacturer M’s profit and a decline in retailer R’s profit, with a more pronounced rise in manufacturer M’s profit, which leads to a rise in overall social welfare.
Conclusions, management insights and future scope
Conclusions
Our study constructs a two-echelon supply chain consisting of a manufacturer and a retailer, and considers the uncertainty of the manufacturer’s green R&D results. Through comparatively analyzing the optimal decisions of with manufacturer’s fairness concern under manufacturer-dominated and retailer-dominated structures, we obtain some important conclusions as follows:
-
(1)
The distribution of profits from green technology development to products tends to be different under both manufacturer-dominated and retailer-dominated power structures. In the manufacturer-dominated structure, the manufacturer has greater market power, leading to greater pricing and profitability, while in the retailer-dominated power structure, the retailer has greater profit margins. In contrast, in the retailer-dominated scenario, products are greener, and the retailer-dominated power structure is more binding on the manufacturer and more conducive to green R&D in the industry.
-
(2)
In the manufacturer-dominated power structure, the manufacturer’s fairness concern behavior is detrimental to pricing, greenness, sales, and profits, while it has no effect on retail pricing, greenness, and demand in the retailer-dominated power structure, only leading to an increase in the manufacturer’s profit and a decrease in the retailer’s profit. When the manufacturer’s R&D is less efficient and fairness concern is stronger, the manufacturer’s and the retailer’s profits will be smaller than they would have been in the initial state, and thus fairness concern behaviors are detrimental to both parties under either power structure in the case of inefficient R&D.
-
(3)
The overall social welfare of the supply chain is greater than that in the initial state for both manufacturer-dominated and retailer-dominated power structures and increases with the probability of efficient R&D outcomes. However, the impact of the manufacturer’s fairness concern on social welfare is not the same in both scenarios, leading to a decrease in social welfare in the manufacturer-dominated scenario and an increase in social welfare in the retailer-dominated scenario. Under the retailer-dominated power structure, products are greener and more beneficial to supply chain social welfare, as fairness concern behaviors can balance the interests of all parties in certain contexts.
Management insights
Based on the above findings, the following managerial implications can be drawn: (1) Manufacturers should carefully decide to implement green technology R&D since it is not wise to invest heavily in green technology R&D when their own R&D efficiency is low and R&D fixed costs are high. (2) Given the dominant position of the manufacturer, fairness concern will lead to a decline in profits for both parties, which will result in damage to the interests of both parties and thus the manufacturer and the retailer should cooperate with each other to jointly bear the R&D costs, effectively reducing the pressure to bear them separately. (3) Since supply chains’ social welfare are higher in the retailer-dominated scenario, manufacturers and retailers should share the benefits in order to realize the deepening of the greening transformation of the supply chain and enhance the core competitiveness of the entire supply chain in the context of low-carbon development.
Future scope
Our study can be extended in several ways in the future. (1) Incorporate fuzzy theory. Given that uncertainty problems tend to be interval in nature, i.e., there exists an upper and lower bound. By introducing the fuzzy theory it can further refine the problem of this study and then discuss the strategic decisions of supply chain participants under fuzzy intervals. (2) Introduce dynamic analysis. The research in this paper is mainly a static game analysis. However, the real environment is often more complex. In the future, our study can further introduce dynamic analysis so that the results of the study are more in line with the real environment. (3) Consider multiple participants’ fairness concern. In reality, the fairness issue is more complex, and the participants are all concerned about their personal interests, while this paper only investigates the impact of manufacturers’ fairness concern behaviors on decision-making. Therefore, subsequent studies can consider the fairness concern behaviors of multiple participants in the supply chain to make the results more interesting.
Data availability
We declare that we have no financial or personal relationships with other people or organizations that can inappropriately influence our work. Data will be made available on request from Rong Wang (Email: rongwang@njxzc.edu.cn)
References
Ouyang, Z. et al. Albedo changes caused by future urbanization contribute to global warming. Nat. Commun. 13, 3800. https://doi.org/10.1038/s41467-022-31558-z (2022).
Kaufman, D. S. & Broadman, E. Revisiting the holocene global temperature conundrum. Nature 614, 425–435. https://doi.org/10.1038/s41586-022-05536-w (2023).
Hermesmann, M. & Mueller, T. E. Green, Turquoise, blue, or grey? Environmentally friendly hydrogen production in transforming energy systems. Prog. Energy Combust. Sci. 90, 100996. https://doi.org/10.1016/j.pecs.2022.100996 (2022).
Huo, W. et al. Effects of of China’s pilot low-carbon city policy on carbon emission reduction: A quasi-natural experiment based on satellite data. Technol. Forecast. Soc. Change 175, 121422. https://doi.org/10.1016/j.techfore.2021.121422 (2022).
Feng, Y., Lai, K. & Zhu, Q. Green supply chain innovation: Emergence, adoption, and challenges. Int. J. Prod. Econ. 248, 108497. https://doi.org/10.1016/j.ijpe.2022.108497 (2022).
Junaid, M., Zhang, Q. & Syed, M. W. Effects of sustainable supply chain integration on green innovation and firm performance. Sustain. Prod. Consump. 30, 145–157. https://doi.org/10.1016/j.spc.2021.11.031 (2022).
Liu, Z. et al. Government regulation to promote coordinated emission reduction among enterprises in the green supply chain based on evolutionary game analysis. Resour. Conserv. Recycl. 182, 106290. https://doi.org/10.1016/j.resconrec.2022.106290 (2022).
Sarkar, B. & Bhuniya, S. A sustainable flexible manufacturing-remanufacturing model with improvedservice and green investment under variable demand. Expert Syst. Appl. 202, 117154. https://doi.org/10.1016/j.eswa.2022.117154 (2022).
Chen, X., Wang, X. & Zhou, M. Firms’ green R &D cooperation behaviour in a supply chain: Technological spillover, power and coordination. Int. J. Prod. Econ. 218, 118–134. https://doi.org/10.1016/j.ijpe.2019.04.033 (2019).
Sun, Y.-F., Zhang, Y.-J. & Su, B. Impact of government subsidy on the optimal R &D and advertising investment in the cooperative supply chain of new energy vehicles. Energy Policy 164, 112885. https://doi.org/10.1016/j.enpol.2022.112885 (2022).
Hussain, J., Lee, C. C. & Chen, Y. Optimal green technology investment and emission reduction in emissions generating companies under the support of green bond and subsidy. Technol. Forecast. Soc. Change 183, 121952. https://doi.org/10.1016/j.techfore.2022.121952 (2022).
Hafezi, M., Zhao, X. & Zolfagharinia, H. Together we stand? Co-opetition for the development of green products. Eur. J. Oper. Res. 306, 1417–1438. https://doi.org/10.1016/j.ejor.2022.07.027 (2023).
Govindan, K., Salehian, F., Kian, H., Hosseini, S. T. & Mina, H. A location-inventory-routing problem to design a circular closed-loop supply chain network with carbon tax policy for achieving circular economy: An augmented epsilon-constraint approach. Int. J. Prod. Econ. 257, 108771. https://doi.org/10.1016/j.ijpe.2023.108771 (2023).
Wei, L., Lin, B., Zheng, Z., Wu, W. & Zhou, Y. Does fiscal expenditure promote green technological innovation in China? Evidence from Chinese cities. Environ. Impact Assess. Rev. 98, 106945. https://doi.org/10.1016/j.eiar.2022.106945 (2023).
Chen, A. & Liu, Y. Optimizing technology R &D supply chain problem under technology concern uncertainty. Int. J. Fuzzy Syst. 25, 916–939. https://doi.org/10.1007/s40815-022-01418-5 (2023).
Dong, M., Mao, S. & Li, S. Supplier’s technology upgrading investment strategy considering product life cycle. Int. J. Prod. Econ. 263, 108953. https://doi.org/10.1016/j.ijpe.2023.108953 (2023).
Lee, S. & Park, S. J. Who should lead carbon emissions reductions? Upstream vs. downstream firms. Int. J. Prod. Econ. 230, 107790. https://doi.org/10.1016/j.ijpe.2020.107790 (2020).
Zheng, X.-X., Liu, Z., Li, K. W., Huang, J. & Chen, J. Cooperative game approaches to coordinating a three-echelon closed-loop supply chain with fairness concerns. Int. J. Prod. Econ. 212, 92–110. https://doi.org/10.1016/j.ijpe.2019.01.011 (2019).
Chen, Z.-S. et al. Multiobjective optimization-based collective opinion generation with fairness concern. IEEE Trans. Syst. Man Cybern. Syst. 53, 5729–5741. https://doi.org/10.1109/tsmc.2023.3273715 (2023).
Nie, Q., Zhang, L. & Li, S. How can personal carbon trading be applied in electric vehicle subsidies? A Stackelberg game method in private vehicles. Appl. Energy 313, 118855. https://doi.org/10.1016/j.apenergy.2022.118855 (2022).
Wang, G. et al. FairMove: A data-driven vehicle displacement system for jointly optimizing profit efficiency and fairness of electric for-hire vehicles. IEEE. Trans. Mob. Comput. 23, 6785–6802. https://doi.org/10.1109/tmc.2023.3326676 (2024).
Diao, W., Harutyunyan, M. & Jiang, B. Consumer fairness concerns and dynamic pricing in a channel. Mark. Sci. https://doi.org/10.1287/mksc.2022.1395 (2022).
Cui, T. H., Raju, J. S. & Zhang, Z. J. Fairness and channel coordination. Manag. Sci. 53, 1303–1314. https://doi.org/10.1287/mnsc.1060.0697 (2007).
Zhong, Y. & Sun, H. Game theoretic analysis of prices and low-carbon strategy considering dual-fairness concerns and different competitive behaviours. Comput. Ind. Eng. 169, 108195. https://doi.org/10.1016/j.cie.2022.108195 (2022).
Dixit, A., Choi, T.-M., Kumar, P. & Jakhar, S. K. Roles of reciprocity and fairness concerns in airline-airport systems with environmental considerations. Eur. J. Oper. Res. 312, 1011–1023. https://doi.org/10.1016/j.ejor.2023.07.016 (2024).
Jian, J., Li, B., Zhang, N. & Su, J. Decision-making and coordination of green closed-loop supply chain with fairness concern. J. Clean. Prod. 298, 126779. https://doi.org/10.1016/j.jclepro.2021.126779 (2021).
Sarkar, S. & Bhala, S. Coordinating a closed loop supply chain with fairness concern by a constant wholesale price contract. Eur. J. Oper. Res. 295, 140–156. https://doi.org/10.1016/j.ejor.2021.02.052 (2021).
Pan, K., Cui, Z., Xing, A. & Lu, Q. Impact of fairness concern on retailer-dominated supply chain. Comput. Ind. Eng. 139, 106209. https://doi.org/10.1016/j.cie.2019.106209 (2020).
Li, X., Cui, X., Li, Y., Xu, D. & Xu, F. Optimisation of reverse supply chain with used-product collection effort under collector’s fairness concerns. Int. J. Prod. Res. 59, 652–663. https://doi.org/10.1080/00207543.2019.1702229 (2021).
Chen, Z. & Su, S.-I.I. Social welfare maximization with the least subsidy: Photovoltaic supply chain equilibrium and coordination with fairness concern. Renew. Energy 132, 1332–1347. https://doi.org/10.1016/j.renene.2018.09.026 (2019).
Song, H., Wang, Y., Mao, X. & Li, Y. Participant fairness concern and cost-sharing-based dual-channel low-carbon supply chain management. Manag. Decis. Econ. 45, 4866–4885. https://doi.org/10.1002/mde.4298 (2024).
Zhong, C., Dong, F., Geng, Y. & Dong, Q. Toward carbon neutrality: The transition of the coal industrial chain in China. Front. Environ. Sci. https://doi.org/10.3389/fenvs.2022.962257 (2022).
Chen, S., Su, J., Wu, Y. & Zhou, F. Optimal production and subsidy rate considering dynamic consumer green perception under different government subsidy orientations. Comput. Ind. Eng. 168, 108073. https://doi.org/10.1016/j.cie.2022.108073 (2022).
Jauhari, W. A., Pujawan, I. N. & Suef, M. Sustainable inventory management with hybrid production system and investment to reduce defects. Ann. Oper. Res. 324, 543–572. https://doi.org/10.1007/s10479-022-04666-8 (2023).
Sun, H., Wan, Y., Zhang, L. & Zhou, Z. Evolutionary game of the green investment in a two-echelon supply chain under a government subsidy mechanism. J. Clean. Prod. 235, 1315–1326. https://doi.org/10.1016/j.jclepro.2019.06.329 (2019).
Kang, H., Jung, S.-Y. & Lee, H. The impact of Green Credit Policy on manufacturers’ efforts to reduce suppliers’ pollution. J. Clean. Prod. 248, 119271. https://doi.org/10.1016/j.jclepro.2019.119271 (2020).
Wu, Y., Zhang, X. & Chen, J. Cooperation of green R &D in supply chain with downstream competition. Comput. Ind. Eng. 160, 107571. https://doi.org/10.1016/j.cie.2021.107571 (2021).
Yu, W., Shang, H. & Han, R. The impact of carbon emissions tax on vertical centralized supply chain channel structure. Comput. Ind. Eng. 141, 106303. https://doi.org/10.1016/j.cie.2020.106303 (2020).
Liu, G., Chen, J. & Li, Z. Green financing strategies under risk aversion and manufacturer competition. Rairo-Oper. Res. 58, 1927–1954. https://doi.org/10.1051/ro/2024052 (2024).
Wang, Y., Yu, Z., Jin, M. & Mao, J. Decisions and coordination of retailer-led low-carbon supply chain under altruistic preference. Eur. J. Oper. Res. 293, 910–925. https://doi.org/10.1016/j.ejor.2020.12.060 (2021).
Long, Q. et al. Exploring combined effects of dominance structure, green sensitivity, and green preference on manufacturing closed-loop supply chains. Int. J. Prod. Econ. 251, 108537. https://doi.org/10.1016/j.ijpe.2022.108537 (2022).
Xu, X., Guo, S., Cheng, T. C. E. & Du, P. The choice between the agency and reselling modes considering green technology with the cap-and-trade scheme. Int. J. Prod. Econ. 260, 108839. https://doi.org/10.1016/j.ijpe.2023.108839 (2023).
Zhang, C., Liu, Y. & Han, G. Two-stage pricing strategies of a dual-channel supply chain considering public green preference. Comput. Ind. Eng. 151, 106988. https://doi.org/10.1016/j.cie.2020.106988 (2021).
Ranjan, A. & Jha, J. K. Pricing and coordination strategies of a dual-channel supply chain considering green quality and sales effort. J. Clean. Prod. 218, 409–424. https://doi.org/10.1016/j.jclepro.2019.01.297 (2019).
Zhang, L., Zhou, H., Liu, Y. & Lu, R. Optimal environmental quality and price with consumer environmental awareness and retailer’s fairness concerns in supply chain. J. Clean. Prod. 213, 1063–1079. https://doi.org/10.1016/j.jclepro.2018.12.187 (2019).
Cohen, M. C., Elmachtoub, A. N. & Lei, X. Price discrimination with fairness constraints. Manag. Sci. 68, 8536–8552. https://doi.org/10.1287/mnsc.2022.4317 (2022).
Jiang, Y., Ji, X., Wu, J. & Lu, W. Behavior-based pricing and consumer fairness concerns with green product design. Ann. Oper. Res. https://doi.org/10.1007/s10479-023-05198-5 (2023).
Xue-Mei, Z., Ying-Ying, L., Zhi, L. & Qian-Wen, L. Coordination contracts of dual-channel supply chain considering advertising cooperation. Int. J. Inf. Syst. Supply Chain Manag. 14, 55–89. https://doi.org/10.4018/ijisscm.2021010103 (2021).
Hong, Z. & Guo, X. Green product supply chain contracts considering environmental responsibilities. Omega-Int. J. Manag. Sci. 83, 155–166. https://doi.org/10.1016/j.omega.2018.02.010 (2019).
Eslamipoor, R. A biobjective model for integrated inventory and transportation at tactical and operational levels with green constraints. IEEE Trans. Eng. Manag. 71, 9764–9775. https://doi.org/10.1109/tem.2023.3310583 (2024).
Lu, Q. H., Liao, C. H., Shi, V. & Xu, Z. P. Implementation mode selection for blockchain technology in green product traceability. Int. J. Prod. Econ. 276, 109372. https://doi.org/10.1016/j.ijpe.2024.109372 (2024).
Mostafa, A., Moustafa, K. & Elshaer, R. Impact of fixed cost increase on the optimization of two-stage sustainable supply chain networks. Sustainability 15, 13949. https://doi.org/10.3390/su151813949 (2023).
Hussain, J., Lee, C. C. & Chen, Y. Optimal green technology investment and emission reduction in emissions generating companies under the support of green bond and subsidy. Technol. Forecast. Soc. Change 183, 121952. https://doi.org/10.1016/j.techfore.2022.121952 (2022).
Shen, J. et al. Pricing decision in an uncertain green product supply chain under cost sharing contract. Expert Syst. Appl. 250, 123899. https://doi.org/10.1016/j.eswa.2024.123899 (2024).
Panda, S., Modak, N. M. & Cárdenas-Barrón, L. E. Coordinating a socially responsible closed-loop supply chain with product recycling. Int. J. Prod. Econ. 188, 11–21. https://doi.org/10.1016/j.ijpe.2017.03.010 (2017).
Funding
Our study is supported by Philosophy and Social Science Fund of Education Department of Jiangsu Province (Grant No. 2022SJYB060), Social Science Fund Project of Jiangsu Province (Grant No. 21GLD010).
Author information
Authors and Affiliations
Contributions
Haohao Song: Conceptualization, Project administration, Writing-review and editing, Writing-original draft, Software, Visualization, Formal analysis. Rong Wang: Funding acquisition, Project administration, Writing-review and editing, Supervision Xiangyu Mao: Writing-original draft, Writing-review and editing, Formal analysis, Supervision. Jing Tao: Writing-review and editing, Formal analysis, Methodology, Data curation, Validation. Mengqi Zhang: Writing-review and editing, Data curation. Xiaobo Wang: Writing-review and editing, Validation. Xiaojuan Sang: Writing-review and editing, Validation.
Corresponding author
Ethics declarations
Competing interests
The authors declare no competing interests.
Additional information
Publisher’s note
Springer Nature remains neutral with regard to jurisdictional claims in published maps and institutional affiliations.
Rights and permissions
Open Access This article is licensed under a Creative Commons Attribution-NonCommercial-NoDerivatives 4.0 International License, which permits any non-commercial use, sharing, distribution and reproduction in any medium or format, as long as you give appropriate credit to the original author(s) and the source, provide a link to the Creative Commons licence, and indicate if you modified the licensed material. You do not have permission under this licence to share adapted material derived from this article or parts of it. The images or other third party material in this article are included in the article’s Creative Commons licence, unless indicated otherwise in a credit line to the material. If material is not included in the article’s Creative Commons licence and your intended use is not permitted by statutory regulation or exceeds the permitted use, you will need to obtain permission directly from the copyright holder. To view a copy of this licence, visit http://creativecommons.org/licenses/by-nc-nd/4.0/.
About this article
Cite this article
Song, H., Wang, R., Mao, X. et al. Green supply chain strategy considering participant fairness concern and uncertainty of research and development. Sci Rep 15, 28898 (2025). https://doi.org/10.1038/s41598-025-13485-3
Received:
Accepted:
Published:
Version of record:
DOI: https://doi.org/10.1038/s41598-025-13485-3













