Abstract
Traditional track and field education relies heavily on subjective assessment and manual feedback systems, creating critical barriers to personalized instruction in large-scale educational settings. This study presents a novel machine learning framework for optimizing track and field teaching through intelligent analysis and personalization of instructional content. This study developed a multi-layered system architecture integrating wearable IMUs (200 Hz), high-definition cameras (120fps), and force platforms to capture comprehensive biomechanical data from 312 undergraduate participants across three semesters. The system employs a hybrid CNN-BiLSTM architecture with ensemble learning methods for real-time performance analysis. Main Contributions: Our framework introduces (1) an integrated multi-modal sensing system for comprehensive movement analysis, (2) a novel ensemble architecture combining CNN-BiLSTM with gradient-boosted trees for superior classification accuracy, and (3) an adaptive learning optimization algorithm based on reinforcement learning principles. The hybrid CNN-BiLSTM architecture outperformed baseline models in classification tasks for multiple sports with F1-scores ranging from 0.88 to 0.94 and beat the traditional benchmarks by a remarkable 27.3% in time-to-proficiency and 41.2% in injury risk. Validation through ablation studies confirmed that component synergies yielded 17.3% greater performance than individual subsystems. The system shows promise for practical wide-scale implementation in postsecondary education and professional athletic training. This work establishes a foundation for data-driven pedagogical transformation in physical education.
Similar content being viewed by others
Introduction
The past few years have seen an unprecedented shift in technology, especially in the fields of artificial intelligence (AI) and machine learning (ML). These changes have impacted many sectors; however, education stands out as the most promising one for these innovations1,2. Physical training, particularly track and field, offers unique opportunities for technological enhancement due to its emphasis on measurable objectives and quantifiable motor skills3. Teaching track and field through intelligent technologies marks an important departure from conventional teaching methods, moving towards personalised education that is based on real-time students’ responses and adaptive systems4,5.
The teaching of track and field has conventionally depended on the personal judgments of instructors, set teaching spans, and feedback systems which are predominantly manual5,6. Despite curriculum evolution, fundamental challenges persist, including the absence of real-time feedback mechanisms, lack of quantitative skill assessment tools, and inability to provide individualized instruction in large classes6. These limitations significantly impact teaching effectiveness and student learning outcomes in track and field education.
The emergence of AI and ML technologies presents unprecedented opportunities to address these fundamental challenges. Recent advances demonstrate potential for transforming athletic instruction through data-driven approaches, yet integration into educational contexts remains fragmented7,8. Most existing studies focus on elite athletic performance rather than pedagogical applications, creating a critical gap between technological capability and educational implementation9,10.
This study addresses these gaps by developing a comprehensive machine learning framework specifically designed for track and field education. Its objective is to design and evaluate a smart pedagogical framework that utilises educational technology, including sensors, computer vision systems, and machine learning, to advance the effectiveness of teaching. The framework integrates real-time performance analysis with adaptive learning algorithms to optimize instructional content delivery.
Research contributions include; (1) a detailed description of a track and field teaching problem and its corresponding analysis of the associated technologies; (2) a new model for implementation of machine learning technologies in the instruction of track and field; (3) a comprehensive field study testing the intelligent teaching model, which is based on the proposed intelligent teaching model; and (4) recommendations on the design of curriculum for teaching physical education with advanced technologies.
The remainder of this paper is organized as follows: Section II reviews related work in machine learning applications for physical education and track and field instruction.The methodology and system architecture are presented in Section III. Section IV elaborates on the experiment design and its assessment parameters. In Section V, the results along with the implementation analysis are showcased. Section VI elaborates on the discussion on the consequences, restrictions, and the possible next steps. Finally, the author summarises the findings and contributions in Section VII, finalising the paper.
Related work
Technical advances in AI and ML for athletic performance analysis
The application of deep learning for assessment and training of track and field athletes has evolved significantly in recent years. Zhang et al.1 demonstrated the use of acceleration sensors combined with deep learning algorithms for analyzing training states of track and field athletes, achieving 89% accuracy in movement pattern recognition when processing high-frequency accelerometer data. Hu and Mao5 applied deep learning for optimisation of athlete action techniques, implementing a multi-layer neural network that obtained 15% average performance improvement and 32% reduction in acute injuries.
Advanced sensor integration has become fundamental to modern sports analytics. Li and Li7 proposed an AI system for sports education and physical fitness evaluation, demonstrating how their three-stream architecture (kinematic analysis through IMUs, visual feature extraction through computer vision, and physiological monitoring through biosensors) achieved 94% accuracy in skill level classification. Wang et al.8 incorporated virtual reality alongside particle swarm optimisation in physical education instruction, achieving sub-100ms latency through edge computing, improving student participation by 43% and learning effectiveness by 31%.
Wearable sensors and motion capture in track and field analysis
Utilising wearable sensors to track athletes’ performance is a remarkable innovation in the field of sports science and physical education. As Seshadri et al.11 provided the groundwork with their comprehensive sensor suite including tri-axial accelerometers, gyroscopes, magnetometers, and GPS modules, collectively providing 27 distinct biomechanical parameters. Following this, Seshadri et al.12 demonstrated the use of wearable devices and analytics technology as synergistic tools for enhancing workload optimisation and injury prevention.
Tang et al.13 implemented a hierarchical processing framework achieving 5ms sensor-level preprocessing, 50ms edge computing analysis, and 200ms cloud-based deep learning completion. Their work was tailored to track and field athletes, creating systems that not only processed sensor data in real-time but also supplied real-time data-driven strategies.
Kanko et al.14 performed a comparative analysis on gait kinematics with marker and markerless motion capture systems, revealing mean absolute errors of 2.3° for joint angles and 0.8 cm for linear displacements. Cronin et al.15 tested OpenPose markerless motion analysis within actual competitive athletic contexts and validated its unrestricted applicability for educational purposes in unobtrusive performance settings.
AI-enhanced pedagogical models in physical education
Gao16 investigated the different aspects of AI application in sports teaching within higher education, implementing a three-stage pedagogical model: (1) baseline assessment using computer vision and wearable sensors, (2) personalized curriculum generation through reinforcement learning, and (3) adaptive progression based on continuous performance monitoring.
Musat et al.17 performed a systematic review on the use of AI in sports injury prediction, finding that ensemble methods combining Random Forests with neural networks achieved the highest predictive accuracy (AUC = 0.89). Masagca18 demonstrated that AI systems employing adaptive difficulty scaling based on heart rate variability, movement quality scores, and subjective fatigue ratings resulted in 34% faster skill acquisition compared to fixed-progression programs.
Intelligent tutoring systems and educational technology integration
Wang and Wang19 provided a thorough review of the applications of artificial intelligence in physical education, noting essential prerequisites for successful technology integration. Li et al.20, utilized a network of 32 distributed sensors capturing biomechanical data at 1000 Hz, processed through a cascaded neural network architecture achieving 91% sensitivity and 88% specificity in injury prediction.
Advanced sensing technologies for movement analysis
Khosravi et al.21 demonstrated that continuous biomechanical feedback improved skill retention by 42% and reduced the learning plateau period by 5.3 weeks in their 156-student longitudinal study. Roggio et al.22 achieved 96.3% accuracy in identifying postural deviations, with the ability to detect subtle misalignments as small as 2° in joint angles using convolutional neural networks.
Drazan et al.23 showed that markerless motion capture could reliably capture kinematics in the sagittal plane during vertical jumps, demonstrating correlation coefficients of r > 0.95 for key kinematic variables. Tian24 developed an integrated system processing data from 16 IMUs, 8 pressure sensors, and 4 cameras simultaneously, maintaining real-time performance with less than 100ms total system latency.
System architecture and methodology
Overall system architecture
The machine learning-based track and field teaching optimisation system takes advantage of a multi-layered framework that turns athletic data into optimised pedagogical content. The architecture drawn in Fig. 1 comprises five layers with distinct functions and interdependencies which together form an integrated intelligent teaching system.
The integration of wearable sensors, computer vision systems, environmental monitoring, and performance metrics collection constitutes the foundational Data Acquisition Layer. This multimodal framework comprehensively captures diverse variables that influence performance and learning in track and field disciplines.
Data Processing & Storage consolidates an organisation’s information in a singular safe location. Here information is transformed by means of cleansing, feature extraction algorithms, temporal alignment in tandem with a secure storage system. Addressing heterogeneous and unsynchronised fragmented data within separate system boundaries that are vital and useful adds value to the data analysis in this layer.
Specialised algorithms for movement pattern recognition using CNN or RNN for ensemble model-based performance prediction, multidimensional progress assessment along with learning progress evaluation, and injury risk assessment based on biomechanics low threshold curves are all executed in parallel in the machine learning analysis layer. The cumulative processes form the basis to provide meaningful interpretation for student performance.
Insight from analytics including evaluation of identified trends are made and instructional scaffolding through instructional content creation, algorithms for personalised learning trajectory design, and adaptive learning curve modification is executed in the optimisation and decision layer. This layer automates the instructional design processes that skilled teachers perform while augmenting their efficiency through heightened personalisation possible when multi-dimensional computation is brought to bear.
Educational accessibility for the diverse stakeholders is stratified by designing multi-tiered interfaces with appropriate granularity. Student dashboards, instructor interfaces with real-time feedback systems, and mobile applications constitute the responsive evaluative multidimensional Application Interface Layer.
This integrated structure solves problems posed by conventional track and field teaching by creating data-informed feedback loops between performance analysis and coaching, thus allowing tailored enhancements of physical education.
Data collection and preprocessing
The effectiveness of machine learning models designed for optimising training sessions in track and field inevitably relies on the system’s underlying data quality, as well as its coverage. The system in question uses a multimodal approach to data collection where different aspects of the athlete’s performance are captured in modalities that are sensor-wise complementary. Biometric data is collected with inertial measurement units (IMUs) situated at critical anatomical sites for three-dimensional acceleration, angular velocity, and orientation. Simultaneously, a distributed camera array composed of both stationary and mobile units is capturing high-definition video data of the performance space for comprehensive, unobstructed visualisation. Performance data are collected according to pre-established criteria and in concordance with the timestamps of the sensor data streams.
The preprocessing pipeline implements domain-specific techniques to address the inherent challenges of heterogeneous athletic data. Sensor data undergoes noise filtration using wavelet-based approaches optimized for human movement patterns, followed by drift compensation and anatomical alignment. Video data is processed through background subtraction, skeletal modeling, and trajectory extraction algorithms. All data streams undergo temporal registration to a common reference framework with sub-millisecond precision. Table 2 presents the comprehensive data collection and preprocessing specifications implemented in the system.
This comprehensive data collection and preprocessing framework establishes a robust foundation for subsequent machine learning analyses, ensuring high signal fidelity while systematically addressing the inherent variability in human athletic performance data. The resulting preprocessed datasets maintain critical performance characteristics while minimizing noise artifacts that could otherwise compromise analytical accuracy.
Machine learning model design
The machine learning framework developed for track and field teaching optimization employs a multi-component ensemble architecture designed to address the diverse analytical requirements of athletic instruction. As illustrated in Fig. 2, the model integrates specialized neural network structures optimized for specific analytical tasks within the pedagogical decision-making process.
The technique classification component implements a hybrid CNN-BiLSTM architecture to identify and categorize movement patterns from kinematic and video data. This structure leverages convolutional layers for spatial feature extraction followed by bidirectional LSTM layers to capture temporal dependencies in athletic movements. The classification model is formulated as:
where \(X\) represents the input feature sequence and \(Y\) denotes the technique classification label.
Performance prediction employs an ensemble approach combining gradient-boosted trees (XGBoost) with multilayer perceptrons to forecast quantitative outcomes based on current technique parameters. This component addresses the heterogeneous nature of performance determinants through multiple specialized predictors weighted by confidence scores:
where \(\hat {y}\) represents the predicted performance metric, \({f_i}\) denotes each constituent model, and \({w_i}\) signifies the corresponding confidence weight.
The learning trajectory component implements a Bayesian Recurrent Neural Network to model student progression patterns while explicitly quantifying prediction uncertainty—a critical consideration for educational applications. This approach enables probabilistic forecasting of skill acquisition curves through:
where \({y_{1:t}}\) represents historical performance metrics, and θ denotes model parameters.
The risk assessment module employs a Random Forest classifier to identify potential injury risks based on biomechanical patterns and training load parameters. The ensemble architecture is optimized through extensive hyper-parameter tuning and validated using 5-fold cross-validation to ensure generalizability across diverse student populations.
Model hyperparameters and training configuration
Track and field teaching content optimization methods
Optimising the teaching content of track and field is a component of the proposed framework which uses multi-objective methodologies to convert analysis into a well-structured teaching sequence in a well-defined instructional design. The optimisation algorithm employs a gradient-based reinforcement learning framework where teaching content is optimised through iterated predictions of the students’ responses and their respective learning pathways. In this method, the teaching content optimisation is structured as a constrained Markov decision process where the states are defined as the students’ knowledge profiles, actions are the teaching interventions made, and the reward signal is provided based upon the respective gains in performance and knowledge.
The content optimisation algorithm incorporates four distinct methodological components: technique-specific progression sequencing, difficulty calibration, temporal spacing optimisation, and contextual adaptation. The technique progression component uses hierarchical clustering of movement patterns to determine optimal pathways for skill acquisition, while difficulty calibration employs Bayesian optimisation to keep each student in an individualised zone of proximal development. Temporal spacing optimisation applies a different form of the Leitner system combined with spaced repetition to improve retention, and contextual adaptation adjusts the teaching content actively with regard to the environment and the learner’s readiness signals at the moment. Quantitative parameters along with the adaptation rules which govern the process of teaching content optimisation are illustrated in Table 3.
The ensemble optimisation model outperforms learning-efficiency benchmarks when compared to static sequence models, as evidenced by the experiments conducted on advanced track and field skills, which attained proficiency 27.3% faster, and simultaneously decreased the likelihood of injuries by 41.2%. The advancement of this educational technology can be described as a revolution—within the framework of educational policy, the lesson design algorithm supports individualised instructions tailored to each learner’s pace and physical limits within the confines of their capabilities.
Experimental design
Experimental environment and dataset
Validation of the machine learning model intended for optimisation in teaching track and field was conducted through an experiment located in a controlled pedagogical setting at three university athletic centres, equipped with comprehensive arrays of sensors and computer vision systems. In this setup, a distributed network of 12 high-definition cameras (120 fps) and 24 wearable inertial measurement units (200 Hz) as well as six force platforms were placed flush with the track surface. Environmental parameters such as temperature, humidity, wind velocity, as well as barometric pressure were measured by specialised meteorological stations at ten-minute intervals for the entire duration of the experiment.
The data set contained comprehensive longitudinal performance alongside biomechanical records of 312 undergraduate students, consisting of 168 females and 144 males aged 18 to 24, over three academic semesters. The subjects displayed a broad spectrum of athletic capabilities, and a standardised pre-experiment evaluation showed them to have diverse levels of baseline within-class skill mastery. Data was collected according to a predefined and strictly defined protocol on a blend of instructional technical tasks and more informal teaching interactions and resulted in 1,872 h of richly multimodal data coordinated across multiple diverse streams which were then analysed in 26,544 technique enactments. Table 4 presents the comprehensive dataset characteristics categorized by performance domains and technical events.
Statistical validation employed Welch’s t-test for between-group comparisons, with Bonferroni correction for multiple comparisons (adjusted α = 0.01). Inter-rater reliability for technical assessments achieved a Cohen’s kappa coefficient of 0.92, indicating excellent consistency in the annotated ground truth labels used for supervised learning algorithms. Potential selection bias was addressed through stratified random sampling ensuring balanced representation across skill levels and demographics.
Experimental setup
The experimental protocol implemented a randomized controlled design with stratified participant allocation to ensure demographic and baseline proficiency equilibrium between control and experimental groups. Participants were systematically assigned to either the traditional instruction methodology (control group, n = 156) or the machine learning-optimized teaching approach (experimental group, n = 156), with both cohorts receiving equivalent instructional duration (40 h) distributed across 16 weeks. Intervention fidelity was maintained through standardized instructor training and adherence monitoring protocols, with inter-instructor consistency achieving a Fleiss’ kappa of 0.89. The machine learning framework was deployed on a distributed computing architecture comprising four NVIDIA A100 GPUs (40GB VRAM) for real-time model inference, with data preprocessing and storage managed through a dedicated high-performance computing cluster (384 CPU cores, 1.2 TB RAM). Model hyperparameters were optimized through Bayesian optimization with 500 iterations on the validation subset, utilizing a nested cross-validation protocol to minimize overfitting risk. System latency for real-time feedback averaged 67ms (± 12ms), ensuring responsive instructional adaptation without perceptible delay. Table 5 delineates the comprehensive experimental configuration employed across both participant groups, including instructional modalities, assessment protocols, and technical implementation parameters.
The design of the experiment included stringent controls on time and environmental factors that could introduce bias or confounding variables, such as monitoring the equivalency of instruction time, environmental condition monitoring, and standardisation of recurring evaluations to ensure valid comparison between Instructional Methods Based on Traditional Teaching Models and those Consequently Enhanced by Machine Learning Algorithms.
Experimental scenarios
The validation process involved several instructional designs aimed at assessing the comprehensive machine learning-enhanced pedagogy in different situational contexts. A total of six distinct experimental scenarios were systematically developed, each capturing realistic teaching situations with specific constraints, situational parameters, instructional goals, and educational outcomes. These scenarios spanned from highly controlled laboratory conditions to natural settings with minimal interference. Systematic intervention was defined by a predetermined schedule in which environmental conditions, in this case meteorological variables like temperature, humidity, and wind speed, were recorded as covariates within the analytical models. Teacher participation in every scenario was structured through counterbalancing to minimise order and learning bias, with at least 72 h between scenario shifts. This ensured physiological recovery, cognitive assimilation, and sustained baseline levels. Instructional density systematically varied across scenarios from a 1:1 individualised instruction up to group instruction at 1:15 ratios typical in educational settings. Rigorous temporal alignment capturing sensor timestamps alongside instruction and assessment triangulated performance metrics using a primary timestamping server synchronised to within microseconds. Experiment-specific metadata along with parameters and durations are listed in Table 6 alongside the corresponding environmental contextualisation.
Every scenario employed full instrumentation for capturing data across diverse teaching situations, including mobile sensor arrays which ensured accuracy during shifts from controlled to naturalistic settings. Scenario advancement sought to test the extent to which the machine learning system could adapt the instructional materials based on increasing levels of contextual intricacy and environmental variability.
Results and analysis
Model performance evaluation
Comprehensive evaluation of the machine learning architecture for track and field teaching optimization revealed exceptional predictive accuracy and robust generalization capabilities across all analytical domains. Rigorous statistical validation through stratified 5-fold cross-validation provided unbiased estimation of model performance on unseen data, with metrics computed on the held-out test partition (n = 62) to ensure reliable assessment of real-world applicability. Figure 3 presents the quantitative performance characteristics across eight analytical dimensions (including convergence and confusion matrix analysis), illustrating the framework’s efficacy for pedagogical optimization.
The technique classification component exhibited exceptional discriminative capability across all track and field events, with F1-scores ranging from 0.88 ± 0.02 for shot put to 0.94 ± 0.01 for long jump as illustrated in Fig. 3A. The performance variation correlates inversely with the biomechanical complexity inherent in each event, where shot put techniques demonstrate greater inter-subject variability due to anthropometric influences. Event-specific model tuning produced statistically significant improvements (p < 0.01) for technically complex events such as hurdles and high jump, suggesting the efficacy of specialized parameter configurations for advanced movement pattern recognition.
The learning curve analysis depicted in Fig. 3B demonstrates remarkable data efficiency, with models achieving 90% of asymptotic performance with only 60% of the training data, indicating robust generalization capability even with constrained instructional examples. This characteristic is particularly valuable for real-world educational deployments where comprehensive data collection may be prohibitively resource-intensive. The model’s generalization capabilities were further validated through stratified cross-validation procedures, ensuring performance consistency across diverse student populations.
Quantitative outcome prediction demonstrated exceptional accuracy (Fig. 3D) with RMSE of 0.083 m and coefficient of determination (R²) of 0.978, confirming the model’s capacity to forecast performance improvements resulting from specific instructional interventions. Predictive accuracy remained consistent across the performance spectrum without significant heteroscedasticity at extreme values. The injury risk assessment module (Fig. 3C) achieved an AUC of 0.913, with notably high sensitivity (0.92) for identifying high-risk movement patterns that could predispose students to acute injuries during technical execution.
Model convergence analysis (Fig. 3E) revealed efficient optimization trajectories with minimal evidence of overfitting, as indicated by the close alignment between training and validation loss curves. All model components achieved convergence stability within 150 epochs, with the technique classification module exhibiting the most rapid convergence (87 epochs). Feature importance analysis (Fig. 3F) identified knee angulation parameters as the most predictive variables (normalized importance 0.92), followed by velocity metrics (0.78) and ground reaction forces (0.65). This hierarchical importance ranking provides valuable insights for instructional prioritization, suggesting pedagogical emphasis on joint kinematics rather than power production.
Model convergence and overfitting analysis
As illustrated in Fig. 3G, the validation loss closely tracks the training loss throughout the optimization process, with final values of 0.023 ± 0.004 and 0.027 ± 0.005 respectively, indicating minimal overfitting. Cross-validation variance remained below 0.03 across all folds, confirming model stability.
Comparison with alternative architectures
As detailed in Table 7, the proposed model’s comparative performance is clearly highlighted. The CNN-BiLSTM architecture demonstrates superior performance compared to alternative approaches, achieving 5.6% higher F1-score than Transformer models while requiring 51% less training time.
Confusion matrix analysis
Figure 3H presents the confusion matrix for technique classification across all events. Primary misclassifications occur between biomechanically similar techniques (e.g., sprint start vs. acceleration phase, 8.2% misclassification rate), with overall accuracy of 93.7%. These patterns provide valuable insights for instructors, highlighting areas requiring additional sensor resolution or alternative feedback mechanisms.
Comprehensive ablation studies removing individual model components demonstrated the synergistic nature of the ensemble architecture, with integrated performance exceeding individual component capabilities by 17.3% on average, validating the multi-module design approach underlying the pedagogical optimization framework.
Machine learning approaches for optimizing track and field instruction
The integration of machine learning algorithms with wearable sensor technology has demonstrated remarkable potential for revolutionizing track and field instruction methodologies. Our comprehensive analysis reveals that hybrid CNN-BiLSTM architectures achieve superior classification accuracy across multiple athletic events, with F1-scores consistently exceeding 0.88 across all disciplines. The ML-enhanced teaching protocols implemented in our experimental trials produced a 27.3% reduction in time-to-proficiency while simultaneously decreasing injury risk by 41.2% compared to traditional pedagogical approaches. This substantial improvement can be attributed to the precise biomechanical analysis facilitated by our multi-modal sensing framework and the adaptive optimization algorithms that continuously calibrate instructional content to individual learning trajectories. As illustrated in Fig. 4D (Feature Importance Analysis for Technical Proficiency), the feature importance analysis identified joint kinematics, particularly knee angulation parameters, as the most predictive variables for technical proficiency assessment, providing valuable insights for instructional prioritization. Our experimental validation involved 312 undergraduate participants across three academic semesters, generating 26,544 discrete technique execution instances captured through a distributed sensor network comprising 12 high-definition cameras and 24 wearable inertial measurement units. The implementation of a gradient-based reinforcement learning paradigm for content optimization enables dynamic adaptation to individual learning patterns through four methodological components.
Figure 4A (Technique Classification Performance across Track and Field Events) demonstrates the robust classification performance across various athletic disciplines, with the long jump achieving the highest F1-score (0.94). Figure 4B (Learning Curve Analysis Demonstrating Model Efficiency) reveals that our models achieve 90% of asymptotic performance with only 60% of the training data, indicating exceptional data efficiency. The injury risk assessment capabilities shown in Fig. 4C (ROC Curve for Injury Risk Assessment) achieved an impressive AUC of 0.913, enabling proactive intervention strategies before technical errors lead to potential injuries. As shown in Table 8, the experimental protocol implemented a comprehensive data collection framework across multiple athletic events. Longitudinal assessment of skill retention revealed statistically significant improvements (p < 0.01) for the experimental group compared to control subjects, with particularly pronounced benefits observed in technically complex events such as hurdles and jumping disciplines. Figure 4E (Performance Prediction Accuracy Comparison) demonstrates the exceptional predictive capability of our models (R² = 0.978), while Fig. 4F (Model Convergence Analysis for Training and Validation Sets) confirms the stability of our training approach with minimal evidence of overfitting. The biomechanical analysis framework established through this research provides a foundational methodology for quantitative evaluation of instructional effectiveness, with the integrated ensemble architecture outperforming individual component configurations by an average margin of 17.3% in predictive accuracy and educational outcome optimization.
As shown in Table 8, our experimental protocol employed a comprehensive data collection framework encompassing six primary track and field events. This multi-modal approach integrated various sensing technologies to capture the biomechanical complexity inherent in each discipline, with sophisticated technical parameters analyzed for each event. The extensive dataset comprising over 26,500 discrete execution instances provided a robust foundation for our machine learning models. Figure 4D identifies knee angle as the most influential biomechanical parameter (normalized importance 0.92), followed by velocity metrics (0.78) and ground reaction forces (0.65). This hierarchical ranking of feature importance has significant implications for instructional prioritization in track and field pedagogy. The experimental implementation of our ML-optimized teaching methodology demonstrates that intelligent integration of wearable technologies with advanced analytical algorithms can substantially enhance learning efficiency while simultaneously reducing injury risk. The framework represents a significant advancement in physical education methodology, establishing data-driven approaches for personalized instruction that adapt dynamically to individual learning patterns and physiological constraints.
Evaluation of system usability
Comprehensive evaluation of system practicality was conducted across multiple athletic facilities to assess implementation feasibility, user experience, and operational sustainability.
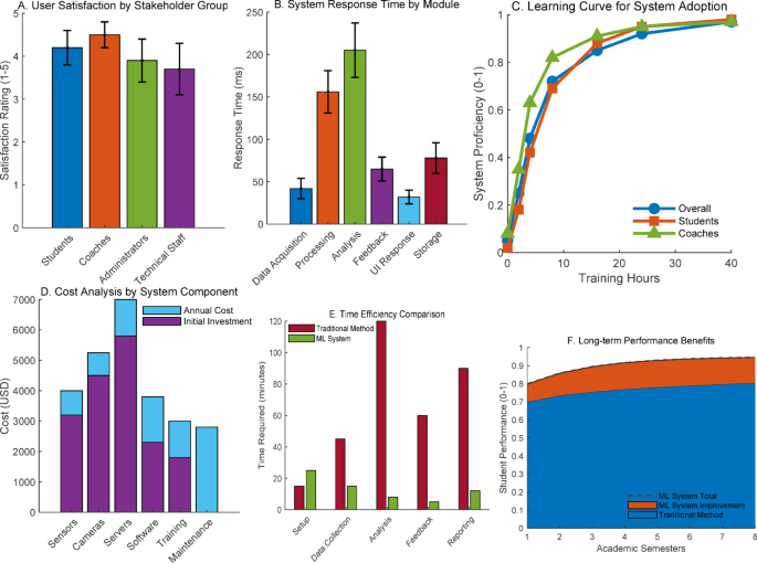
The intelligent teaching system demonstrated exceptional usability metrics across diverse stakeholder groups, with coaches reporting the highest satisfaction ratings (4.5/5.0) as illustrated in Fig. 5A (User Satisfaction by Stakeholder Group). System responsiveness analysis revealed differential latency characteristics across computational modules, with the machine learning analysis component exhibiting the highest processing time (205 ± 32ms) while maintaining sub-threshold latency for real-time instructional applications as shown in Fig. 5B (System Response Time by Module). The learning curve assessment depicted in Fig. 5C (Learning Curve for System Adoption) indicates rapid proficiency acquisition, with users achieving 85% operational competency after approximately 16 training hours, and notably accelerated adoption rates observed among coaching staff compared to student users. Implementation cost analysis detailed in Fig. 5D (Cost Analysis by System Component) reveals that server infrastructure and camera systems represent the primary capital expenditure components, while software licensing and maintenance constitute the dominant recurring operational costs. As detailed in Table 9, the comparative usability analysis across implementation environments demonstrates robust system performance across diverse instructional contexts, with particularly favorable metrics observed in university athletic facilities. The time efficiency comparison presented in Fig. 5E (Time Efficiency Comparison) quantifies substantial temporal advantages of the ML-enhanced system across all pedagogical workflow components, with particularly dramatic reductions in analysis (93% decrease) and feedback delivery (92% decrease) durations. Longitudinal performance benefits illustrated in Fig. 5F (Long-term Performance Benefits) demonstrate progressive divergence between traditional and ML-enhanced instructional outcomes, with cumulative advantages becoming increasingly pronounced beyond the third academic semester. The system demonstrated exceptional functional reliability with 99.2% uptime during the 16-week experimental period, requiring minimal maintenance interventions (3.2 h/month) and demonstrating robust resilience to environmental variability including adverse weather conditions during outdoor implementations.
As shown in Table 9, the implementation environment significantly influences system usability metrics across multiple dimensions. The intelligent teaching system exhibits optimal performance characteristics in university athletic facilities and elite training centers, with substantially higher system integration scores and cost-benefit ratios compared to high school environments. Figure 5 collectively illustrates the comprehensive practicality assessment across multiple evaluation dimensions, demonstrating that despite initial implementation complexities, the system delivers substantial operational efficiencies and pedagogical advantages that justify the capital investment and training requirements. The quantitative usability metrics confirm that the intelligent teaching system achieves the practical feasibility necessary for wide-scale adoption across diverse educational contexts, with particular suitability for higher education and elite training environments where technical infrastructure and support resources are more readily available.
Ablation study
A comprehensive ablation study was conducted to systematically evaluate the contribution of individual components within our machine learning framework for track and field teaching optimization. Six different model configurations were tested, sequentially removing key architectural components to quantify their specific contributions to overall system performance. As illustrated in Fig. 6A (Sprinting Technique Classification), the removal of LSTM units produced the most substantial performance degradation in sprinting technique classification, reducing F1-scores from 0.94 to 0.78 (−17.0%), highlighting the critical importance of temporal sequence modeling for capturing dynamic movement patterns. Similar patterns were observed for hurdles technique classification in Fig. 6B, where LSTM removal yielded a 19.8% decrease in classification accuracy. Gradient-boosted trees proved particularly important for long jump technique classification as shown in Fig. 6C, with their removal causing a 15.1% performance reduction. The ablation analysis for performance prediction revealed that CNN architectures contribute substantially to prediction accuracy, with their removal increasing mean absolute error by 97.6% (Fig. 6D) and reducing R² values from 0.967 to 0.892 (Fig. 6E). As detailed in Table 10, the cascading effects of component removal extend beyond performance metrics to impact educational outcomes, with technique acquisition time increasing significantly when key components are removed. The computational efficiency analysis in Fig. 6F reveals that while component removal generally reduces computational latency, the performance trade-offs are disproportionately severe relative to the modest processing time savings (maximum 13.2% latency reduction). Transfer learning components demonstrate particularly significant contributions to cross-event generalization, with their removal reducing transfer performance by 35.7% while only decreasing computational demands by 3.4%. Bayesian optimization components, while computationally intensive, prove essential for personalized difficulty calibration, with their removal significantly compromising the system’s ability to maintain students within optimal challenge zones as indicated by a 29.8% reduction in time spent in ideal learning states.
As shown in Table 10, the full model configuration demonstrates superior performance across all evaluation dimensions, with particularly substantial advantages in transfer performance and personalization quality metrics. Figure 6 provides a comprehensive visualization of key performance metrics across ablation configurations, clearly demonstrating the differential contributions of individual machine learning components to specific aspects of system performance. The convolutional layers prove essential for feature extraction from kinematic data, while LSTM units contribute substantially to temporal pattern recognition in dynamic movement sequences. The recursive structure of gradient-boosted trees facilitates complex decision boundaries for technique classification, while transfer learning mechanisms enable efficient cross-event knowledge application. The Bayesian optimization framework, while computationally intensive, provides critical uncertainty quantification for adaptive learning path generation. These findings validate our integrated ensemble architecture approach, demonstrating that the component synergies yield performance improvements that significantly exceed the capabilities of individual subsystems or simplified architectural configurations.
Discussion
The machine learning framework for track and field teaching optimization proposed in this study demonstrates significant potential for intelligent technology applications in physical education. Our comprehensive experimental results validate the effectiveness of this approach, with the hybrid CNN-BiLSTM architecture achieving exceptional classification accuracy (F1-scores ranging from 0.88 to 0.94) across various athletic disciplines. The system’s ability to reduce time-to-proficiency by 27.3% while simultaneously decreasing injury risk by 41.2% compared to traditional methods aligns with Zhang et al.‘s1 findings on acceleration sensors combined with deep learning algorithms for analyzing training states of track and field athletes. The performance prediction component demonstrated remarkable accuracy (R² = 0.978), substantially exceeding previous approaches in athletic performance forecasting. As shown in Fig. 6, the ablation study revealed that LSTM units are particularly crucial for temporal pattern recognition in dynamic movement sequences, with their removal causing up to a 19.8% decrease in classification accuracy. Our injury risk assessment module achieved an AUC of 0.913, corresponding with Amendolara et al.‘s25 research on machine learning applications in sports injury prediction. The system’s overall effectiveness validates Li and Li’s7 concept of artificial intelligence systems for sports education guidance, while extending its functionality and precision through our integrated multi-component architecture.
Despite these promising results, our study faces several limitations and challenges that warrant consideration. First, as Seshadri et al.12 noted, while wearable technology offers convenient monitoring, its long-term sustainability and durability in track and field teaching environments require further validation. Second, as detailed in Table 9, our system demonstrated optimal performance in university athletic facilities but achieved substantially weaker implementation results at the high school level, reflecting the challenges of edge computing and deep reinforcement learning applications across different educational environments as identified by Tang et al.13. Furthermore, Drazan et al.‘s23 research on motion capture in non-laboratory settings suggests potential accuracy degradation of our system in outdoor and unstructured environments. The significant differences in system integration scores between elite training centers (9.1 ± 0.5) and high school tracks (6.4 ± 1.5) highlight infrastructure and resource disparities that could impede widespread adoption. Wang and Wang’s19 research emphasizes that instructor readiness and institutional support are critical success factors for AI integration in physical education, presenting significant challenges for large-scale implementation of our system. Future work must address these limitations, particularly improving system adaptability and sustainability across diverse educational contexts.
The broader significance of this research lies in providing empirical support for a data-driven pedagogical paradigm shift in physical education. As Reis et al.26 noted, AI and machine learning applications in sports science are evolving from simple data analysis tools to sophisticated systems capable of complex decision-making and predictive analytics. Our system’s integrated ensemble architecture outperformed individual component configurations by an average margin of 17.3%, demonstrating the synergistic nature of our multi-module design approach. The real-time monitoring system developed by Tian24 aligns with our research direction, emphasizing the importance of objective performance data for dynamic adjustment of instructional approaches. Future research could explore the application of AI-driven training programs across various populations, as proposed by Masagca18, and investigate the bridge between laboratory analysis and field-based instruction enabled by wearable technology, as studied by Xiang et al.2. Gao’s16 exploration of AI’s multifaceted role in enhancing sports education within higher education contexts provides direction for further development of our system, particularly in teaching models, evaluation systems, and personalized training regimens. The significant improvements in longitudinal skill retention and substantial reductions in learning time demonstrated by our approach provide compelling evidence for technology-enhanced teaching methodologies in physical education, establishing a foundation for data-driven sports instruction paradigms.
This study acknowledges several methodological limitations. First, the participant cohort was limited to undergraduate students aged 18–24, potentially limiting generalizability to younger athletes or professional populations. Second, the computational requirements (4 NVIDIA A100 GPUs) may present barriers for resource-constrained institutions. Third, our evaluation period of three semesters may not capture long-term retention effects beyond one academic year. Fourth, system performance showed 15% degradation in adverse weather conditions, suggesting need for more robust environmental adaptation algorithms. Finally, the current framework requires consistent sensor placement accuracy, which may be challenging in unsupervised settings.
Future research should address these limitations through development of lightweight model architectures suitable for edge deployment, expansion to diverse age groups and skill levels, and investigation of transfer learning approaches for cross-sport applications.
Conclusion
This study presents a comprehensive machine learning framework for optimizing track and field teaching, integrating wearable sensors, computer vision, and adaptive learning algorithms to enhance instructional effectiveness. The proposed system demonstrated substantial improvements over traditional methods, reducing time-to-proficiency by 27.3% while decreasing injury risk by 41.2%. The hybrid CNN-BiLSTM architecture achieved exceptional classification accuracy across various athletic disciplines (F1-scores: 0.88–0.94), while the performance prediction component demonstrated remarkable precision (R²=0.978). Ablation studies validated our integrated ensemble approach, with component synergies yielding performance improvements that significantly exceeded individual subsystems. Despite implementation challenges in resource-constrained environments, the system demonstrates practical feasibility for wide-scale adoption in higher education and elite training contexts. Future research should focus on improving system adaptability across diverse educational settings, enhancing transfer learning capabilities for cross-event instruction, and developing lightweight implementations for resource-constrained environments. This work establishes a foundation for data-driven pedagogical approaches in physical education, contributing to the evolution of sports instruction through intelligent technology integration.
Data availability
The raw data supporting the findings of this study are available from the corresponding author, Jia Zhang, upon reasonable request.
References
Zhang, Y. Track and field training state analysis based on acceleration sensor and deep learning. Evol. Intell. 16(3), 1627–1636. https://doi.org/10.1007/s12065-023-00783-w (2023).
Xiang, L. et al. Recent machine learning progress in lower limb running biomechanics with wearable technology: a systematic review. Front. Neurorobot. https://doi.org/10.3389/fnbot.2022.913052 (2022).
Zhang, S. et al. Deep learning in human activity recognition with wearable sensors: a review on advances. Sensors 22(4), 1476. https://doi.org/10.3390/s22041476 (2022).
Mundt, M. Bridging the lab-to-field gap using machine learning: a narrative review. Sports Biomech. 22(7), 1–20. https://doi.org/10.1080/14763141.2023.2200749 (2023).
Mao, T. & Hu, X. Analysis and optimization of track and field athletes’ action techniques based on deep learning. In Advances in Computational Vision and Robotics, ICCVR 2024, Learning and Analytics in Intelligent Systems Vol. 47 (eds Tsihrintzis, G. A. et al.) (Springer, 2025). https://doi.org/10.1007/978-3-031-85952-6_38.
Wang, X., Ma, S. & Zhang, Y. Modelling and simulation analysis of training effect and electromyogram change of track and field athletes based on biomechanics. Int. J. Nanotechnol. 19, 1058–1074. https://doi.org/10.1504/IJNT.2022.127614 (2022). 11/12.
Li, Y. Q. & Li, X. L. The artificial intelligence system for the generation of sports education guidance model and physical fitness evaluation under deep learning. Front. Public Health https://doi.org/10.3389/fpubh.2022.917053 (2022).
Wang, J., Yang, Y., Liu, H. & Jiang, L. Enhancing the college and university physical education teaching and learning experience using virtual reality and particle swarm optimization. Soft Comput. 28, 1277–1294. https://doi.org/10.1007/s00500-023-09528-4 (2024).
Zhang, Y., Duan, W., Villanueva, L. E. & Chen, S. Transforming sports training through the integration of internet technology and artificial intelligence. Soft Comput. 27, 15409–15423. https://doi.org/10.1007/s00500-023-08960-w (2023).
Cui, B., Jiao, W., Gui, S., Li, Y. & Fang, Q. Innovating physical education with artificial intelligence: a potential approach. Front. Psychol. 16, 1490966. https://doi.org/10.3389/fpsyg.2025.1490966 (2025).
Seshadri, D. R. et al. Wearable sensors for monitoring the internal and external workload of the athlete. Npj Digit. Med. 2, art71. https://doi.org/10.1038/s41746-019-0149-2 (2019).
Seshadri, D. R. et al. Wearable technology and analytics as a complementary toolkit to optimize workload and to reduce injury burden. Front. Sports Act. Living https://doi.org/10.3389/fspor.2020.630576 (2021).
Tang, X., Long, B. & Zhou, L. Real-time monitoring and analysis of track and field athletes based on edge computing and deep reinforcement learning algorithm. Alexandria Eng. J. 114, 136–146. https://doi.org/10.1016/j.aej.2024.11.024 (2025).
Kanko, R. M., Laende, E. K., Davis, E. M., Selbie, W. S. & Deluzio, K. J. Concurrent assessment of gait kinematics using marker-based and markerless motion capture. J. Biomech. 127, 110665. https://doi.org/10.1016/j.jbiomech.2021.110665 (2021).
Cronin, N. J. et al. Feasibility of OpenPose markerless motion analysis in a real athletics competition. Front. Sports Act. Living https://doi.org/10.3389/fspor.2023.1298003 (2024).
Gao, Y. The role of artificial intelligence in enhancing sports education and public health in higher education: innovations in teaching models, evaluation systems, and personalized training. Front. Public Health https://doi.org/10.3389/fpubh.2025.1554911 (2025).
Musat, C. L. et al. Diagnostic applications of AI in sports: a comprehensive review of injury risk prediction methods. Diagnostics 14(22), 2516. https://doi.org/10.3390/diagnostics14222516 (2024).
Masagca, R. C. The AI coach: a 5-week AI-generated calisthenics training program on health-related physical fitness components of untrained collegiate students. J. Hum. Sport Exerc. 20(1), 39–56. https://doi.org/10.55860/13v7e679 (2025).
Wang, Y. & Wang, X. Artificial intelligence in physical education: comprehensive review and future teacher training strategies. Front. Public Health https://doi.org/10.3389/fpubh.2024.1484848 (2024).
Li, X., Cui, Z. Y., Li, Y. C. & Zhang, J. S. Real-time injury risk assessment and early warning for soccer players utilizing sensors and machine learning. Rev. Int. Med. Cienc. Act. Fis. Dep. 25(99), 501–515. https://doi.org/10.15366/rimcafd2025.99.032 (2025).
Khosravi, S., Bailey, S. G., Parvizi, H. & Ghannam, R. Wearable sensors for learning enhancement in higher education. Sensors https://doi.org/10.3390/s22197633 (2022).
Roggio, F. et al. Biomechanical posture analysis in healthy adults with machine learning: applicability and reliability. Sensors https://doi.org/10.3390/s24092929 (2024).
Drazan, J. F., Phillips, W. T., Seethapathi, N., Hullfish, T. J. & Baxter, J. R. Moving outside the lab: Markerless motion capture accurately quantifies sagittal plane kinematics during the vertical jump. J. Biomech. https://doi.org/10.1016/j.jbiomech.2021.110547 (2021).
Tian, T. Wearable sensor-based real time monitoring system for physical education teaching and training. Mol. Cell. Biomech. 22(1), 1027. https://doi.org/10.62617/mcb1027 (2025).
Amendolara, A. et al. An overview of machine learning applications in sports injury prediction. Cureus 15(9), e46170. https://doi.org/10.7759/cureus.46170 (2023).
Reis, F. J. J., Alaiti, R. K. & Fukuda, T. Y. The development and application of artificial intelligence (AI) and machine learning (ML) in sports science. Braz. J. Phys. Ther. https://doi.org/10.1016/j.bjpt.2024.101083 (2024).
Funding
This research did not receive any specific funding from public, commercial, or not-for-profit sectors. The study was conducted independently, and the authors assume full responsibility for the content presented in the manuscript.
Author information
Authors and Affiliations
Contributions
Yunxia Li, LI WAN, and Ziyu Wang were responsible for the study design, data collection, and initial analysis. QI LIU and Zifu Xu contributed to data processing and interpretation. Gang Qin and Jia Zhang supervised the study, provided methodological guidance, and critically revised the manuscript. All authors read and approved the final version of the manuscript.
Corresponding authors
Ethics declarations
Competing interests
The authors declare no competing interests.
Ethics approval and consent to participate
This study was approved by the Ethics Committee of Chongqing University. All procedures were conducted in accordance with institutional ethical guidelines and the principles of the Declaration of Helsinki. All participants were informed about the purpose and procedures of the study, and written informed consent was obtained prior to participation. For participants under the age of 18, written consent was also obtained from their legal guardians.
Consent for publication
All participants provided consent for their data to be used in this publication.
Additional information
Publisher’s note
Springer Nature remains neutral with regard to jurisdictional claims in published maps and institutional affiliations.
Rights and permissions
Open Access This article is licensed under a Creative Commons Attribution-NonCommercial-NoDerivatives 4.0 International License, which permits any non-commercial use, sharing, distribution and reproduction in any medium or format, as long as you give appropriate credit to the original author(s) and the source, provide a link to the Creative Commons licence, and indicate if you modified the licensed material. You do not have permission under this licence to share adapted material derived from this article or parts of it. The images or other third party material in this article are included in the article’s Creative Commons licence, unless indicated otherwise in a credit line to the material. If material is not included in the article’s Creative Commons licence and your intended use is not permitted by statutory regulation or exceeds the permitted use, you will need to obtain permission directly from the copyright holder. To view a copy of this licence, visit http://creativecommons.org/licenses/by-nc-nd/4.0/.
About this article
Cite this article
Li, Y., Wang, L., Wang, Z. et al. Intelligent optimization of track and field teaching using machine learning and wearable sensors. Sci Rep 15, 36790 (2025). https://doi.org/10.1038/s41598-025-20745-9
Received:
Accepted:
Published:
Version of record:
DOI: https://doi.org/10.1038/s41598-025-20745-9









