Abstract
Plantar pressure measurements provide critical insights into the structural and functional attributes of the lower limbs and feet. While previous studies have evaluated the reliability of insole technology for assessing foot pressure distribution during linear walking, natural motion often involves a combination of straight walking and turning. This study aimed to validate the test-retest reliability of a wearable in-shoe plantar pressure monitoring system for both linear and curved walking trajectories and to determine the minimum distance required to achieve excellent reliability for each output variable. Thirty-one healthy participants (15 females and 16 males aged 19–25 years) were recruited. Each participant performed two testing sessions, 4–7 days apart, involving three walking conditions: linear walking (LIN), clockwise curved walking (CW), and counterclockwise curved walking (CCW). A wearable footwear system equipped with embedded pressure sensors was used to collect plantar pressure data. Five key parameters—the peak pressure (PP), pressure‒time integral (PTI), full width at half maximum (FWHM), maximum pressure gradient (MaxPG), and average pressure (AP)—were analyzed across eight foot regions. Reliability was assessed via intraclass correlation coefficients (ICCs), Bland‒Altman plots, and minimal detectable changes (MDCs). Additionally, the System Usability Scale (SUS) and Intrinsic Motivation Inventory (IMI) were administered to evaluate usability. The wearable system demonstrated good reliability, with ICC values of approximately 0.9 for most parameters across all walking conditions. For whole-foot analysis, all variables presented ICCs > 0.60, confirming high reliability. The minimum distances required to achieve an ICC ≥ 0.90 were 207 m for LIN, 255 m for CW, and 467 m for CCW. The usability scores (SUS and IMI) indicated high user satisfaction and system acceptability. The developed wearable plantar pressure system exhibited excellent reliability and usability for both linear and curved walking conditions. These findings support its potential for clinical and research applications, particularly in scenarios involving mixed walking trajectories. The study also highlights the importance of considering step count thresholds to ensure reliable assessments in diverse walking conditions.
Background
The magnitude and distribution of plantar pressure can reflect the structural and functional information of the human lower limb and foot1. When a lesion occurs in the lower limb or foot, the distribution of plantar pressure correspondingly changes. Changes in resistance or capacitance can reflect plantar pressure variations, especially during the detection or deformation of plantar pressure. By measuring and analyzing plantar pressure and related parameters, physiological or pathological information about the body can be obtained, which is important for clinical diagnosis, disease severity assessment, postoperative efficacy evaluation, and rehabilitation research2.
In recent years, with continuous advancements in technology, plantar pressure measurement technology has demonstrated remarkable progress. The data precision and scope of this technology have progressively improved from the use of simple footprint methods to the utilization of high-tech sensor-based optical visualization detection, force plates, and smart insoles. Via walking measurements and analysis, the quantification of foot problems, core stability, joint flexibility, and balance can be achieved, thereby providing an accurate reflection of plantar pressure distribution and changes. These findings demonstrate promising application prospects in areas such as plantar health assessment, smart insoles, foot disease diagnosis, and sports analysis3,4.
Plantar pressure measurement technologies include footprint technology, plantar pressure scanning technology, force plates and force measurement platforms, and pressure shoe and insole technologies. Among these technologies, foot pressure plate and force measuring platform technologies have been researched for more than 20 years, including systems such as the F-Scan system from the USA5, the novel Pedar-X system from Germany6 and the RSscan system from Belgium7. Although these systems are highly advanced, they have limitations, including large equipment sizes, difficulties with dynamic measurement, and portability issues8,9,10. The most recently developed pressure shoes and insoles integrate sensors into the insoles, thereby offering advantages such as small sizes and portability and enabling real-time measurements of multiple plantar pressure changes11. The application of flexible pressure sensors allows smart insoles to wirelessly transmit plantar pressure data to other devices or systems for in-depth analysis, thus providing comprehensive foot health information12. This technology has been widely applied in footwear design, medical rehabilitation, sports science, and biometrics. Although a single assessment of plantar pressure may provide valuable insights, good test‒retest reliability is crucial for long-term tracking of plantar pressure measurements or clinical evaluations. The reliability of in-shoe pressure technology directly impacts the accuracy of the results. Many studies have indicated that in-shoe pressure technology is essential for accurate assessments of foot and gait pathologies13,14. For example, the novel Pedar-X system requires 400 steps in treadmill exercise to accurately measure step length variations15, whereas other studies have suggested that 5–8 steps are sufficient to reliably measure gait parameters during linear walking16. Therefore, the number of steps that are required to accurately assess foot conditions under different walking states has consistently been a popular and difficult research topic.
Additionally, insole pressure systems may have certain drawbacks, such as shear stress at the foot interface and sensor migration due to insole deformations, which can affect the accurate detection of the vertical projection of forces on the sensor. Our research team, in collaboration with the Pillar Program of the National Key R&D Program, has worked with the Human Data Science Engineering Center of South China University of Technology and Zhongshan Yougan Technology Co., Ltd., to develop a wearable system for detecting plantar pressure17,18. This system involves embedding sensors between the sole and insole to eliminate the aforementioned concerns. The advantage of this device is that it avoids walking along a predetermined route to independently measure plantar pressure for each foot; additionally, the number of steps required by clinical personnel or researchers in each walking trial can be obtained (rather than being limited to 1–2 steps on a force platform). This real-time information is crucial for assessing the quality of gait, particularly when it is influenced by certain diseases. Walking on a force-measuring platform can affect gait due to psychological issues, which leads to difficulties in the accurate assessment of gait. Natural movements include both linear walking and frequent turns and curved trajectories19. These movements involve complex repositioning of the head, torso, pelvis, and feet, along with posture adjustments to counteract centrifugal forces on the body and asymmetric movements of the lower limbs20. Research has indicated that patients with neurological disorders exhibit more severe walking difficulties on curved paths than on linear paths21. Therefore, this study validated the reliability of the footwear system during walking on linear and curved paths and quantified the number of steps required to achieve an ideal level of reliable assessment in gait analysis, which provides support for relevant research.
Methods
Study design and participants
This study was designed as a single-center, repeated-measure, test–retest reliability study. Participants were recruited through convenience sampling from healthy university students. and those meeting the following inclusion criteria were invited to participate in the study: (1) aged ≥ 18 years; (2) capable of independent walking; and (3) no musculoskeletal disorders diagnosed within the 6 months prior to the study or any known deformities or diseases of the foot, ankle, lower limbs, hips, or spine. This study was performed in accordance with the principles of the Declaration of Helsinki. The study was approved by the Ethics Committee of the First Affiliated Hospital of Jinan University (Ethics Approval No. KY-2020-087), and all of the participants provided informed consent.
Sample size determination
On the basis of an anticipated effect size of 0.90, a two-tailed α of 0.05, a power (1-β) of 0.80, and an expected dropout rate of 20%22,23,24, at least 16 participants were required to achieve an effect size of ≥ 0.90.To ensure the stability of reliability estimates, 31 participants were finally included, which exceeded the required number.
Measurement device
We adopted a wearable system developed in collaboration with the Human Data Science Engineering Center of South China University of Technology and Zhongshan Yougan Technology Co., Ltd., to detect plantar pressure for our research17,18. The company provided technical support but had no role in study design, data analysis, or manuscript preparation.As shown in Fig. 1, the appearance of this footwear system does not differ from that of ordinary shoes, with only a charging port being observed on the inner side. In the sensing insole of the footwear system, 8 pressure sensors are distributed at different positions under each foot’s insole. The pressure measurement range of this sensor is 0 ~ 760 kPa, the sampling frequency is 20 Hz, and the frequency characteristics are stable within 0.5–2 Hz; additionally, the response time is 90 ms, the pressure sensitivity range is 0 ~ 40 N, the sensitivity is able to achieve a range of 0.0107 ~ 1 N-1, and it can withstand approximately 1 million pedals. Overall, the sensor features a short response time, large range, strong sensitivity, and high wear resistance25,26. The footwear system is able to wirelessly transmit the collected data to a Bluetooth-connected mobile phone via a wireless data acquisition system for real-time data updates. In addition, the smart terminal mobile app sets different colors on the basis of dynamic pressure grading, after which it updates these colors in real time; represents the changes in the dynamic plantar pressure distribution; and displays, stores, and analyses the collected dynamic plantar pressure signals in real time. Research has confirmed that intelligent rehabilitation footwear systems exhibit satisfactory accuracy, repeatability, and wearing comfort27.
Appearance of the wearable footwear system and sensor locations.
Measurement procedure
Before the initiation of the experiment, the general information of the participants (including age, sex, BMI, and shoe size) was collected. Prior to the start of the official experiment, the participants wore standardized socks and shoes provided by the researchers for 1–2 min to adjust to the footwear system. This adjustment period was not used for data collection.
The formal experiment consisted of two phases, with each phase involving three walking conditions: LIN, CW, and CCW, which were implemented in a randomly assigned order. Each walking condition was tested 2 times in each phase, resulting in 3*2 trials per phase. The second phase of testing was conducted 4–7 days after the first phase, with consistent testing conditions, walking instructions, and personnel being maintained between the two phases.The test subjects are unaware of the previous results, and the evaluators are also unaware of the previous measurement results.
Three walking conditions were utilized in this study. First, linear walking requires a long corridor in the hospital with four marking strips on the floor. The distance between Marking Strip 1 and Marking Strip 2 was 2 m, that between Marking Strip 2 and Marking Strip 3 was 20 m28, and that between Marking Strip 3 and Marking Strip 4 was 2 m. The participants were first asked to stand in a stationary position at Marking Strip 1 and subsequently walk at a comfortable speed to Marking Strip 4, after which they stopped as they passed. Data were recorded from Marking Strip 2 to Marking Strip 3. The first 2 m and the last 2 m were not recorded because of known variations in spatiotemporal gait variables at the beginning and end of walking29. This procedure was repeated 2 times. Second, curved walking requires a spacious floor in the hospital, and continuous tape is applied to create a circular trajectory with a radius of 1.2 m. Curved walking included both clockwise and counterclockwise walking. The participants walked 20 m along the trajectory at a comfortable speed, performing 2 trials in each direction30. A 2-meter starting distance and a 2-meter ending distance were marked before and after the curved walking segment. Data were recorded for the middle 20 m of the curved walk.
During the experiment, the participants were instructed to walk in a forward direction with their heads upright, not to focus continuously on the tape, and to walk as smoothly as possible along the tape. The walking time was recorded via a stopwatch. After the experiment, SUS and IMI assessments were conducted in conjunction with a Likert scale as assessment standards.
The SUS is a simple ten-item scale providing a global view of usability (range: 0–100). The IMI is a multidimensional questionnaire with different subscales (ranging from 0 to 7), with each subscale comprising various questions. We selected the following five aspects for evaluation: interest/enjoyment, perceived competence, effort/importance, pressure/tension, and value/usefulness.
Independence of measurements
All repeated measurements were conducted independently under the same laboratory conditions. clinical information of participants is not disclosed during the testing period. In addition, evaluators are independent of subsequent statistical analyses to reduce bias.
Statistical analysis of reliability and agreement
Reliability and agreement analyses were performed in accordance with the Guidelines for Reporting Reliability and Agreement Studies (GRRAS)31.Owing to the large number of observation indicators, five representative indicators, PP, PTI, FWHM, MaxPG, and AP, were selected for reliability analysis, and the average of two tests was obtained for each phase.
Relative reliability was estimated via the intraclass correlation coefficient (ICC) and its 95% confidence interval. Absolute reliability was assessed via the methods of Bland and Altman32, which involve calculations of the mean difference and the 95% limits of agreement, as well as plotting the Bland‒Altman graph. Additionally, the minimum detectable change (MDC), which represents the smallest change in a variable that reflects true change rather than measurement error, was calculated. The MDC was computed as the standard error of measurement (SEM) × z value × √2, where SEM = SD × √(1-ICC), with SD being the standard deviation of the test values from all of the participants across the two phases.
Simultaneously, to determine if the ICC values varied with different variables or walking conditions, Fisher’s z-transformation was utilized. For five representative output variables, we calculated the average z-transformed values for the eight regions under LIN, CW, and CCW conditions (referred to as the “full-foot z score”). This resulted in 30 full-foot z scores (5 output variables × 2 feet × 3 trajectories). Three-way ANOVA was conducted to assess the differences in the full-foot z scores across the variables (including peak pressure, pressure‒time integral, full width at half maximum, maximum pressure gradient, and average pressure), between feet, and across walking conditions (including LIN, CW, and CCW). Consequently, the three-way ANOVA employed the 5 output variables, two feet, and three walking conditions as independent variables, with the z scores as the dependent variable.
To evaluate the differences in gait speed between the two testing phases and across the three conditions, a two-way ANOVA was subsequently performed (with phases and trajectories as independent variables and gait speed as the dependent variable). All of the ANOVAs were followed by Tukey’s post hoc test for pairwise comparisons.
For the IMI, reverse-scored items were first adjusted by subtracting the initial score from 8 to obtain the item score. Subscale scores were subsequently calculated as the average of the items within each subscale. Single-sample two-tailed t tests were performed on the subscale scores (null hypothesis: m = u). A mean score greater than 4 indicates that participants generally agree with (rather than disagree with) the statements. For the SUS, the score contributions for each item were summed. Each item’s score contribution ranges from 0 to 4. For items 1, 3, 5, 7, and 9, the score contribution is the rating value minus 1. For items 2, 4, 6, 8, and 10, the contribution is 5 minus the rating value. The total of these scores was multiplied by 2.5 to obtain the overall SUS score, which ranges from 0 to 100. Scores greater than 68 are considered to indicate above average usability, and scores greater than 80 indicate high usability, thereby suggesting that participants are likely to recommend the product to peers, whereas scores less than 50 suggest that the product or intervention is likely to experience usability issues33.
Because the ICC values were dependent on the distance included in the analysis and not all of the output variables may have exhibited high ICC values, we separately estimated the ICC values for varying distance30. To achieve this goal, the Spearman-Brown prediction formula was used to estimate the minimum distance required to achieve a reliability of at least 0.9 for each output variable, with ICC values from the 20-meter trials being used in this calculation. For simplicity, the analysis was restricted to the foot regions exhibiting the lowest ICC values, with the analysis focusing on the minimum distance required for each of the three walking states.
All of the statistical analyses were performed via SPSS 27.0 software, and Bland‒Altman plots were created via MedCalc 20.1.
Results
General information
A total of 38 volunteers were initially included in this study. Among them, 7 individuals were excluded because their BMIs exceeded 25 kg/m² (normal range: 18.5–24.9 kg/m²per WHO guidelines)34; thus, 31 participants (15 females and 16 males) were included in the final analysis. The participants’ ages ranged from 19 to 25 years (mean age: 22.06 ± 1.88 years), with a weight of 58.39 ± 6.36 kg and a mean body mass index (BMI) of 20.64 ± 1.47.A total of 31 participants (15 females, 16 males) completed both testing sessions. Each participant performed two trials under three walking conditions, resulting in 186 repeated measurements (31 participants × 3 conditions × 2 trials). The results are reported in full compliance with the GRRAS guidelines.
Relative reliability ICCs
For each participant, comparisons were performed between the two testing phases, resulting in a total of 240 ICC values (5 output variables × 8 foot regions × 2 feet × 3 walking conditions). Reliability was assessed by comparing the two trials for each variable. The ICC values were interpreted as follows: ≥0.90 as excellent, 0.75–0.90 as good, 0.40–0.75 as fair, and ≤ 0.40 as poor35. Figure 2 illustrates the distribution density function of the ICC. After the x-axis is selected, a larger corresponding y-axis value corresponds to denser parameters near the corresponding values on the x-axis. As shown in the figure, the density map reached its peak at x = 0.9, thus indicating that the ICC was mainly distributed at approximately 0.9. Moreover, the results revealed that the 95% confidence intervals of the ICCs overlapped, indicating that there was no significant difference in the ICCs between the foot regions. Therefore, the 95% confidence intervals of each parameter and each part were not specifically listed.
Owing to the large number of ICCs (240), our analysis of variance revealed no significant difference between the two feet. Therefore, we averaged the ICCs of both feet and used a color scale to display the ICC of each output variable under the three walking conditions, as shown in Fig. 3. Although each variable presented lower ICC values on the inner side of the midfoot in each patient, all of the ICC values were greater than 0.60.
ICC distribution density function diagram.
The ICC of each output variable in different regions under three walking conditions when the right foot is considered as an example. In each case, 8 boxes represent 8 foot regions.
Absolute reliability
Three metrics were employed in this study to evaluate absolute reliability: Average mean difference(AMD), 95% Limits of Agreement༈LOA༉, and MDC. A smaller absolute value of AMD indicates less discrepancy between the two testing phases.The 95% LOA indicates that there is a 95% probability that the difference in value between session 1 and session 2 lies within the limitsof agreement with narrower ranges reflecting better precision35. In our study, The MDC represents the smallest detectable change in the system rather than measurement error, which can be used to determine the applicable scope of the system. Due to space constraints, Tables 1, 2 and 3 present the AMD, 95% LOA, and MDC values for PP, PTI, and FWHM under three walking conditions for both feet, Detailed results for MaxPG are provided in Supplementary Table S1, and the results for AP are provided in Supplementary Table S2.
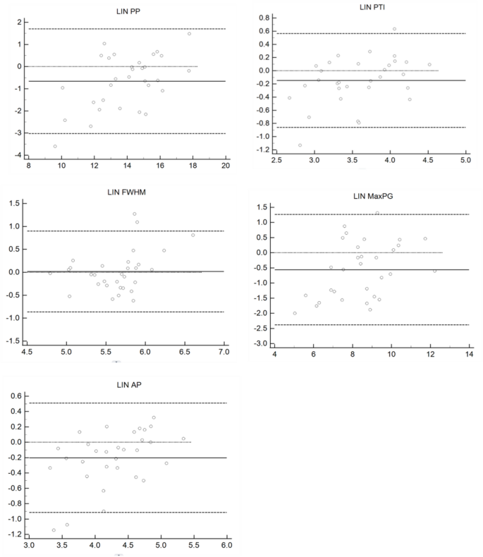
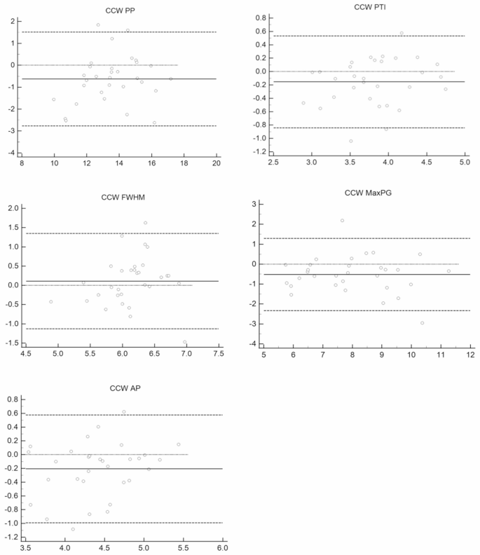
The mean deviation and 95% LOA can also be visually represented via Bland‒Altman plots. Under three walking conditions, a Bland‒Altman plot could be created for each variable in a total of 16 areas on the left and right feet, with a total of 240 plots generated. For the convenience of observation, in this study, we chose to construct Bland‒Altman plots of the average of each variable in 8 areas under each walking condition, as shown in Figs. 4‒6.The LOA widths observed in our study are comparable to those reported in prior plantar pressure system evaluations35,36, supporting the acceptable test-retest consistency of the system in most regions. However, interpretation should still consider the specific clinical context and the magnitude of change being targeted.
Bland‒Altman plot of the average of 8 regions for each variable under linear walking conditions.
Bland‒Altman plot of the average of 8 regions for each variable under clockwise curved walking conditions.
Bland‒Altman plot of the average of 8 regions for each variable under the counterclockwise curved walking condition.
Gait speed
Table 4 shows the gait speeds of all of the participants in the two phases of testing used for the reliability calculations. As has been demonstrated in previous studies20, the gait speed observed during linear walking was faster than that observed during curved walking (F(2) = 38.860, P < 0.001; The comparative results are summarized in Table 5 below). Posttests revealed no differences in gait speed between the CCW (counterclockwise walking) and CW (clockwise walking) groups or between the two testing phases (F(1) = 1.281, P = 0.259). For all of the participants, the speed change between the two testing phases did not exceed 12%37. As shown in the table, the coefficient of variation ranged from 9% to 12%, indicating a relatively small degree of variation.
However, three-way analysis of variance revealed that, between linear walking and curved walking conditions, there was no difference observed in the total foot z score (ICC) among the five variables between the left and right feet; moreover, there was no interaction observed between the two feet, walking conditions, or other variables (P > 0.05).
Distance estimation
The findings were derived from an analysis of the data that were collected over a distance of 20 m. On the basis of this scenario, we estimated the distance required to achieve an ICC of at least 0.90 in the least reliable foot region during a standard 20-meter trial. We selected the regions with the lowest ICC values among the 5 variables and applied the Spearman-Brown prediction formula to predict all three walking conditions.
Figure 7 presents the estimated results. For example, in the case of linear walking, to achieve an ICC value greater than 0.90 in the least reliable region (with the least reliable ICC value being identified at the 4th and 5th metatarsal heads of the FWHM), data from at least 207 m should be collected. For clockwise walking, data from at least 255 m should be collected (with the least reliable ICC value being identified in the lateral midfoot at the FWHM). For counterclockwise walking, data from at least 467 m should be collected (with the least reliable ICC value being observed on the medial side of the midfoot in the PTI).
Meters required for different ICCs under three walking conditions.
Availability analysis
Table 6 presents the scores of the five dimensions of the IMI scale (interest/enjoyment, perceived competence, effort/importance, pressure/tension, and value/usefulness). The statistical analysis results revealed significant differences, with the mean scores for interest/enjoyment, perceived competence, effort/importance, and value/usefulness being above 4, whereas the mean score for pressure/tension was below 4. These results suggest that our participants did not experience pressure and tension while using the system; rather, they considered it interesting and valuable.
Figure 8 shows a frequency bar chart of the total SUS scale scores. Among all of the participants, none reported a total score less than 50. 16% (total score > 80) of the participants considered the system to have high usability and may recommend the product to their peers. A total of 45% (total score > 68) of the participants considered the system to be above average in usability.
SUS score frequency bars.
Discussion
This study was conducted to evaluate the reliability of our wearable footwear system as an assessment tool. If plantar pressure analysis is to be used for evaluation, it is necessary to consider retest reliability values on the basis of different scenarios. In daily life, the most common gaits include linear walking and curved walking; therefore, it is necessary to measure these two tasks accurately. This study represents the first attempt to evaluate the reliability of a wearable footwear system in assessing gait under three walking conditions. Moreover, on the basis of this wearable system, we provide the distance that are required to achieve ideal reliability and verify the usability of the system.
When a certain device system needs to be promoted for clinical use, its ICC value should exceed 0.70; moreover, a greater clinical need for the system should require the ICC value to exceed 0.90 to ensure its reliability. Previous studies have demonstrated that the use of insole technology can reliably evaluate pressure, force, and area parameters during linear walking38,39,40. Although few studies have focused on curved walking, some scholars have provided precedents regarding this topic30. Our study validated the reliability of the wearable footwear system developed in collaboration with the National Key R&D Program to evaluate plantar pressure during linear and curved walking, thereby enhancing the results of previous research.
Compared to conventional plantar pressure monitoring systems, the embedded wearable system developed in this study offers distinct advantages in its technical architecture and testing efficiency. The Pedar-X system from Germany’s Novel, relying on a capacitive sensor array, demands intricate calibration protocols and proves highly sensitive to environmental fluctuations in temperature and humidity41, Meanwhile, the F-Scan system from the U.S.-based Tekscan Inc. simplifies calibration but struggles with signal drift in its piezoresistive thin-film sensors during prolonged use42. In contrast, our system employs an integrated piezoresistive sensor-insole design, significantly mitigating shear force interference caused by sensor displacement, Stabilize the ICC value of CCW around 0.89, which is better than Pedar’s reported range of 0.65–0.78 under similar conditions20. Regarding testing efficiency, our system demands only 207 m (straight-line walking) and 255 m (clockwise walking) to achieve an ICC ≥ 0.90, surpassing the Pedar-X’s 280 m threshold(Calculated at 0.7 m per steps)15, Notably, the current sampling rate of our system (20 Hz) remains lower than the Pedar-X (100 Hz)6, a key focus for enhancement in the next-generation device.
In our study, the reliability of the wearable system was largely dependent on plantar pressure variables and foot regions. The peak pressure, pressure time integral, maximum pressure gradient, and average pressure parameters demonstrated excellent reliability in most areas when walking 20 m under the three walking conditions. Previous studies have indicated that the reliability of the midfoot region is low43,44, which is possibly due to the lower pressure affecting this region during walking. Our research results are consistent with these findings, as poor reliability within the midfoot was observed. However, despite this result, we still believe that the system has clinical and research value, as peak pressure, the pressure time integral, and average pressure are considered relevant indicators for the development of chronic diseases in the foot, such as fractures45 or ulcers46, whereas most changes in foot pressure occur in the forefoot and toe regions of chronic disease patients47. This may be because during walking, the forefoot region usually experiences greater plantar pressure than the midfoot area does48. Another possible explanation is that the contour of the insole may not allow the sensor in the midfoot area to be completely flat inside the shoe; however, our wearable system sensors are embedded at the bottom of the shoe, thus excluding this possibility. In addition, on the basis of the results, different variables exhibit different levels of reliability in different regions, which may be related to the calculation method used for the variables. Our study also introduced the use of the maximum pressure gradient parameter for the first time, which is a more detailed variable and may represent one of the reasons for the unsatisfactory reliability.
Our research results demonstrate that most of the plantar pressure variables and foot regions exhibit good to high reliability in terms of traditional ICC interpretation. However, the 95% CI width of the ICC in our research results is relatively large. Moreover, many other studies have reported that different plantar pressure insole systems result in ICC values of the peak plantar pressure greater than 0.9049. Therefore, we speculate that the traditional interpretation methods for ICCs may be too broad for clinical evaluation43. We also decided to focus on absolute reliability in clinical research (rather than relying solely on ICC interpretations). We used the Bland‒Altman method to calculate the mean difference and 95% limits of agreement (95% LOA) and created Bland‒Altman plots for the average plantar pressure variables in 8 regions under three walking conditions. The 95% LOA indicates that there is a 95% probability that the difference in the values between test phase 1 and test phase 2 falls within the agreement range. Additionally, to improve the clinical interpretation of our results50, we calculated the MDC, which determines the smallest change in value that can be considered a real change (rather than a false change due to measurement errors)51.
By calculating the 95% LOA and MDC, clinicians and researchers who use this wearable system should estimate the acceptable 95% range of value differences for test-retest (95% LOA) and measure what value change is required in targeted research (MDC) to ensure reliability. In clinical studies, when a particular plantar pressure system is used, the ICC, 95% LOA, and MDC should be considered together as a whole. For example, according to the traditional ICC interpretation, the reliability of the peak pressure outside of the midfoot region was considered good in our research results. However, clinical researchers must also consider the MDC values of the relevant output variables before deciding whether the device can be used for their expected research objectives. Our results indicated that the MDC of peak pressure ranges from a minimum of approximately 0.163 N on the medial side of the midfoot to a maximum of approximately 7.938 N on the medial side of the heel. This result indicates that if the peak pressure on the inner side of the midfoot is greater than 0.163 N and the peak pressure on the inner side of the heel is greater than 7.938 N, the peak pressure in these areas of the foot has truly changed (rather than being due to an error). Therefore, if researchers estimate target use and expect the peak pressure change on the inner heel to be greater than 7.938 N, then the system may be suitable for use. However, if researchers are focusing on more subtle changes in the peak pressure on the inner side of the midfoot (< 7.938 N), then this system will not be suitable for use because the value would be within the test-retest error range; thus, by using this system, we would be unable to determine whether the changes are real or caused by errors.
To achieve optimal reliability for all of the output variables across 8 foot regions, we demonstrated via prediction that the collection of data involving distances of more than 467 m is required for counterclockwise walking, along with distances of at least 255 m being required for clockwise walking and distances of at least 207 m being required for straight walking. If an individual walks 2 steps per second (with 2 steps per gait cycle and a stride of 0.7 m), then straight walking, clockwise walking, and counterclockwise walking should be required for durations of 2.5 min, 3.0 min, and 5.5 min, respectively.
Notably, the required meters (time) for linear and clockwise walking are approximately the same, whereas counterclockwise walking requires more meters, which may be related to the fact that for most people, the right side is regarded as the dominant side. In some respects, the reliability of pressure insoles is less than that of other devices, such as pressure measurement walkways that are specifically designed for assessing kinematic variables. However, our wearable system is positioned between insoles and walkways; moreover, it is more stable than simple pressure insoles because its sensors are embedded in the insole and avoid limitations associated with walkways or force platforms, such as the restriction to linear walking or the recording of data from only one foot at a time. Our wearable system effectively replicates daily gait patterns and is an excellent choice for gait assessment. Via both three-way and two-way ANOVAs, we observed that although there were significant differences in walking speed under different walking conditions, the differences demonstrated that the speed of curve walking was indeed slower than that of straight walking; however, there was no difference in reliability between these conditions, which indicates that the reliability of this wearable system is acceptable in both straight and curved walking conditions and that it can be used in combined walking situations.
Limitations
We evaluated linear and curved walking conditions in healthy adults but lacked validation for different disease populations. We will increase reliability validation for different disease populations in the future, and the results may not be generalizable to other functional tasks, such as running, jumping, and stair climbing. While the current study focused on normal-weight individuals to establish baseline reliability, future research should explicitly validate the system’s performance across broader BMI ranges, particularly in overweight and obese populations where altered plantar loading patterns may affect measurement accuracy.In addition, the sample size is relatively small, which can be further increased in future studies.
Conclusions
This research simultaneously investigates the reliability and usability of wearable footwear systems for both straight and curved walking conditions. To achieve this scientific goal, we collected reasonable distance under specific common walking conditions in daily life for analysis. In daily life, the walking patterns of individuals often involve a mixture of straight and curved patterns. The curved walking pattern is an important type in daily life; however, it may pose greater challenges to individuals with impaired functional abilities52, and the role of these impairments cannot be ignored. Our research demonstrates that a wearable foot pressure system can achieve ideal reliability with a certain distance and exhibits good usability; additionally, it can be used in clinical trials. Moreover, this research suggests that it is scientifically meaningful to comprehensively consider the ICC, 95% LOA, and MDC parameters when determining whether a system is suitable for certain scientific research.
Data availability
Data is provided within the manuscript or supplementary information files.
Abbreviations
- ICC:
-
intraclass correlation
- LIN:
-
linear walking
- CW:
-
clockwise curved walking
- CCW:
-
counter clockwise curved walking
- PP:
-
the peak pressure
- PTI:
-
pressure time integral
- FWHM:
-
full width at half maximum
- MaxPG:
-
maximum pressure gradient
- AP:
-
average pressure
- MDC:
-
minimal detectable change
- SUS:
-
System Usability Scale
- IMI:
-
Intrinsic Motivation Inventory
References
Chow, T. H., Chen, Y. S., Hsu, C. C. & Hsu, C. H. Characteristics of Plantar Pressure with Foot Postures and Lower Limb Pain Profiles in Taiwanese College Elite Rugby League Athletes. Int J Environ Res Public Health 19, (3). (2022).
De Blasiis, P. et al. Postural stability and plantar pressure parameters in healthy subjects: variability, correlation analysis and differences under open and closed eye conditions. Front. Bioeng. Biotechnol. 11, 1198120 (2023).
Koch, M., Lunde, L. K., Ernst, M., Knardahl, S. & Veiersted, K. B. Validity and reliability of pressure-measurement insoles for vertical ground reaction force assessment in field situations. Appl Ergon. 53 Pt A, 44–51 (2016).
Wang, Y., Liu, Z., Yang, J. & Ma, S. Design and implementation of a BSN-based system for plantar health evaluation with exercise load quantification. Biomed. Eng. Online. 16 (1), 98 (2017).
Johnston, R., Sell, D., Fiedler, G. & Singh, A. Assessing Phase-Change Materials as Effective Long-Term Biosensors in Limb Prosthetics. Biosensors (Basel) 13, (10). (2023).
Yu, H. B. et al. Effects of Jump-Rope-Specific Footwear Selection on Lower Extremity Biomechanics. Bioengineering (Basel) 9, (4). (2022).
Guo, J., Yang, J., Pu, J. & Ma, F. Biomechanical investigation of a custom-made insole to decrease plantar pain of children with flatfoot: A technical note. Med. Eng. Phys. 121, 104070 (2023).
Shu, L. et al. In-shoe plantar pressure measurement and analysis system based on fabric pressure sensing array. IEEE Trans Inf Technol Biomed 14, (3), 767 – 75. (2010).
Jor, A. & D.S.B.A. Foot plantar pressure measurement using low cost force sensitive resistor (FSR): feasibility study. J. Sci. Res. 3 (11), 311–319 (2019).
Razak, A. H., Zayegh, A., Begg, R. K. & Wahab, Y. Foot plantar pressure measurement system: a review. Sens. (Basel). 12 (7), 9884–9912 (2012).
Price, C., Parker, D. & Nester, C. Validity and repeatability of three in-shoe pressure measurement systems. Gait Posture. 46, 69–74 (2016).
Chang, X. A wearable electronic based on flexible pressure sensor for running motion monitoring. Discov Nano. 18 (1), 28 (2023).
Wang, D., Cai, P. & Mao, Z. The configuration of plantar pressure sensing cells for wearable measurement of COP coordinates. Biomed. Eng. Online. 15 (1), 116 (2016).
Speight, S., Reel, S. & Stephenson, J. Can the F-Scan in-shoe pressure system be combined with the GAITRite(R) Temporal and Spatial parameter-recording walkway as a cost-effective alternative in clinical gait analysis? A validation study. J. Foot Ankle Res. 16 (1), 30 (2023).
Courtine, G. & Schieppati, M. Tuning of a basic coordination pattern constructs straight-ahead and curved walking in humans. J. Neurophysiol. 91 (4), 1524–1535 (2004).
Courtine, G. & Schieppati, M. Human walking along a curved path. II. Gait features and EMG patterns. Eur. J. Neurosci. 18 (1), 191–205 (2003).
Shibin, W. U. et al. Mhnet: Multiscale spatiotemporal hierarchical network for real-time wearable fall risk assessment of elderly individuals. Comput Biol Med 144, 105355–105355. (2022).
Zhen, S. et al. Fall risk assessment for the elderly based on weak foot features of wearable plantar pressure. Ieee T Neur Sys Reh. 30, 1060–1070 (2022).
Ohara, M. et al. Circular walking is useful for assessing the risk of falls in early progressive supranuclear palsy. J. Neurol. 271 (9), 6349–6358 (2024).
Godi, M., Nardone, A. & Schieppati, M. Curved walking in hemiparetic patients. J. Rehabil Med. 42 (9), 858–865 (2010).
Seifallahi, M., Galvin, J. E. & Ghoraani, B. Curve walking reveals more gait impairments in older adults with mild cognitive impairment than straight walking: A kinect Camera-Based study. J. Alzheimers Dis. Rep. 8 (1), 423–435 (2024).
Bonett, D. G. Sample size requirements for estimating intraclass correlations with desired precision. Stat. Med. 21 (9), 1331–1335 (2002).
Julius, S. & Chris, C. W., The kappa statistic in reliability studies: use, interpretation, and sample size requirements. Phys Ther 85, (3). (2005).
Walter, S. D., Eliasziw, M. & Donner, A. Sample size and optimal designs for reliability studies. Stat. Med. 17 (1), 101–110 (1998).
Dongran, W. et al. A novel low-cost wireless footwear system for monitoring diabetic foot patients. IEEE Trans. Biomed. Circuits Syst. 15 (1), 43–54 (2021).
YangJi, O. Monitoring of Diabetic Foot Syndrome Based on Intelligent Shoe System (Master, South China University of Technology, 2020).
Shu, L. et al. In Monitoring Diabetic Patients by Novel Intelligent Footwear System, International Conference on Computerized Healthcare (ICCH), Hong Kong, PEOPLES R CHINA, Dec 17–18, 2012; Hong Kong, PEOPLES R CHINA, ; p. 95-+. (2012).
Grégoire, C. & Marco, S. Human walking along a curved path. I. Body trajectory, segment orientation and the effect of vision. Eur J Neurosci 18, (1). (2003).
Randolph, A. L., Nelson, M., Akkapeddi, S., Levin, A. & Alexandrescu, R. Reliability of measurements of pressures applied on the foot during walking by a computerized insole sensor system. Arch. Phys. Med. Rehab. 81 (5), 573–578 (2000).
Marco, G., Anna Maria, T., Marco, S. & Antonio, N. Test-retest reliability of an insole plantar pressure system to assess gait along linear and curved trajectories. J. Neuroeng. Rehabil. 11, 0 (2014).
Kottner, J. et al. Guidelines for reporting reliability and agreement studies (GRRAS) were proposed. Int. J. Nurs. Stud. 48 (6), 661–671 (2011).
Atkinson, G. & Nevill, A. M. Statistical methods for assessing measurement error (reliability) in variables relevant to sports medicine. Sports Med. (Auckland N Z). 26 (4), 217–238 (1998).
Lewis, J. R. The system usability scale: Past, Present, and future. Int. J. Hum-Comput Int. 34 (7), 577–590 (2018).
Kasher, M. M., Eizenstein, S., Cukierman-Yaffe, T. & Oieru, D. Missed diagnosis-a major barrier to patient access to obesity healthcare in the primary care setting. Int. J. Obes. (Lond). 48 (7), 1003–1010 (2024).
Hebert-Losier, K. & Murray, L. Reliability of center of pressure, plantar pressure, and plantar-flexion isometric strength measures: A systematic review. Gait Posture. 75, 46–62 (2020).
Bland, J. M. & Altman, D. G. Statistical methods for assessing agreement between two methods of clinical measurement. Lancet 1 (8476)), 307–310 (1986).
Hafer, J. F. et al. Reliability of plantar pressure platforms. Gait Posture. 38 (3), 544–548 (2013).
Putti, A. B., Arnold, G. P., Cochrane, L. A. & Abboud, R. J. Normal pressure values and repeatability of the Emed ST4 system. Gait Posture. 27 (3), 501–505 (2008).
Hmida, J., Tomschi, F., Strauss, A. C. & Hilberg, T. Relationship between foot pressure and spinal parameters in healthy adults - A systematic review. Gait Posture. 103, 126–132 (2023).
Zulkifli, S. S. & Loh, W. P. A state-of-the-art review of foot pressure. Foot Ankle Surg. 26 (1), 25–32 (2020).
Carvajal, S. A. S. C. Temperature effect in the calibration of capacitive humidity sensors. Int. J. Metrol. Qual. Eng. 9, 9 (2018).
Svoboda, S. J., McHale, K., Belkoff, S. M., Cohen, K. S. & Klemme, W. R. The effects of tibial malrotation on the biomechanics of the tibiotalar joint. Foot Ankle Int. 23 (2), 102–106 (2002).
Patrick, K. & Donovan, L. Test-retest reliability of the Tekscan(R) F-Scan(R) 7 in-shoe plantar pressure system during treadmill walking in healthy recreationally active individuals. Sports Biomech. 17 (1), 83–97 (2018).
Gurney, J. K., Marshall, P. W. M., Rosenbaum, D. & Kersting, U. G. Test-retest reliability of dynamic plantar loading and foot geometry measures in diabetics with peripheral neuropathy. Gait Posture. 37 (1), 135–137 (2013).
Fernandez-Gorgojo, M., Salas-Gomez, D., Sanchez-Juan, P., Laguna-Bercero, E. & Perez-Nunez, M. I. Analysis of Dynamic Plantar Pressure and Influence of Clinical-Functional Measures on Their Performance in Subjects with Bimalleolar Ankle Fracture at 6 and 12 Months Post-Surgery. Sensors (Basel) 23, (8). (2023).
Hulshof, C. M. et al. The Stress of Measuring Plantar Tissue Stress in People with Diabetes-Related Foot Ulcers: Biomechanical and Feasibility Findings from Two Prospective Cohort Studies. Sensors (Basel) 24, (8). (2024).
Heather, S., Lindsay, D., Sae Yong, S., Susan, L. & Jay, S. H., Increased in-shoe lateral plantar pressures with chronic ankle instability. Foot Ankle Int 32, (11). (2012).
Putti, A. B., Arnold, G. P., Cochrane, L. & Abboud, R. J. The Pedar (R) in-shoe system: repeatability and normal pressure values. Gait Posture. 25 (3), 401–405 (2007).
Low, D. C. & Dixon, S. J. Footscan pressure insoles accuracy and reliability of force and pressure measurements in running. Gait Posture. 32 (4), 664–666 (2010).
Joseph, P. W., Quantifying test-retest reliability using the intraclass correlation coefficient and the SEM. J Strength Cond Res 19, (1). (2005).
Beckerman, H. et al. Smallest real difference, a link between reproducibility and responsiveness. Qual. Life Res. 10 (7), 571–578 (2001).
Ava, D., Michael, S., Joseph, S. O., Jane, M. C. & Glenn, B. S. K, K., Local dynamic stability in turning and straight-line gait. J Biomech 41, (7). (2008).
Acknowledgements
The authors thank Luyao Xu of Zhongshan Super Sense Technology Co. for support in parameter processing.
Funding
This study was funded by the National Key R&D Program of China (2020YFC 2005700) and the Science and Technology Projects in Guangzhou (202201020082).
Author information
Authors and Affiliations
Contributions
JLO: writing and design. YFY: design and data collection. HOY: analysis and data collection. CMS: drawing and review. YNW: review and revision. CQL: technical support. FTC and ZMC: conceptualization, supervision, writing-review and editing. All of the authors have read and approved the final version of this manuscript.
Corresponding authors
Ethics declarations
Ethics approval and consent to participate
This study was performed in accordance with the principles of the Declaration of Helsinki. The study was approved by the Ethics Committee of the First Affiliated Hospital of Jinan University (Ethics Approval No. KY-2020-087), and all of the individual participants who were included in the study.
Consent for publication
I confirm that I have read and understood your journal’s policies, and I consent to the publication of my personal/clinical details in this manuscript.
Competing interests
The authors declare that the research was conducted in the absence of any commercial or financial relationships that could be construed as potential conflicts of interest.
Additional information
Publisher’s note
Springer Nature remains neutral with regard to jurisdictional claims in published maps and institutional affiliations.
Supplementary Information
Below is the link to the electronic supplementary material.
Rights and permissions
Open Access This article is licensed under a Creative Commons Attribution-NonCommercial-NoDerivatives 4.0 International License, which permits any non-commercial use, sharing, distribution and reproduction in any medium or format, as long as you give appropriate credit to the original author(s) and the source, provide a link to the Creative Commons licence, and indicate if you modified the licensed material. You do not have permission under this licence to share adapted material derived from this article or parts of it. The images or other third party material in this article are included in the article’s Creative Commons licence, unless indicated otherwise in a credit line to the material. If material is not included in the article’s Creative Commons licence and your intended use is not permitted by statutory regulation or exceeds the permitted use, you will need to obtain permission directly from the copyright holder. To view a copy of this licence, visit http://creativecommons.org/licenses/by-nc-nd/4.0/.
About this article
Cite this article
Ou, J., Yan, Y., Ouyang, H. et al. Test-retest reliability and usability evaluation of a wearable plantar pressure monitoring system for linear and curved walking. Sci Rep 15, 37232 (2025). https://doi.org/10.1038/s41598-025-21016-3
Received:
Accepted:
Published:
Version of record:
DOI: https://doi.org/10.1038/s41598-025-21016-3







