Abstract
Blood biomarkers in stroke patients seek to guide decision-making in clinical practice, but research on those that respond to brain recovery and their relationship with rehabilitation is still limited. Our aim was to explore the value of known neuroplasticity-related molecules, such as endostatin, growth and differentiation factor-10 (GDF-10), urokinase-type plasminogen activator (uPA) and the uPA receptor (uPAR), as blood biomarkers of recovery during poststroke rehabilitation. In an observational, prospective and multicenter study, biomarker levels were assessed after stroke in a cohort of 62 stroke patients with outcome evaluations and blood sampling before starting rehabilitation and during therapy at 1, 3 and 6 months of first visit, and in 43 control subjects. Serum levels were determined by Enzyme-Linked Immunosorbent Assay (ELISA) together with a complete battery of sensorimotor and functional tests/scales: modified Rankin Scale (mRS), Barthel Index (BI), Fugl-Meyer Assessment (FMA) for the upper extremity, Functional Ambulation Categories (FAC), Chedoke Arm and Hand Activity Inventory (CAHAI), 10-m walk test and the Medical Research Council (MRC). Statistical mixed linear models were built to investigate its prognostic value. The results revealed that, compared to controls, only endostatin was significantly increased at baseline after stroke (p < 0.01). Interestingly, the highest baseline GDF-10 or uPAR values were related to unfavorable scores during the complete follow-up (p < 0.05 for walking speed or MRC with GDF-10, and for FMA or MRC with uPAR), whereas decreased endostatin or increased GDF-10 biomarker changes at first month of rehabilitation were related to greater sensorimotor and functional improvements during follow-up (p < 0.05 for FMA or MRC with endostatin, and CAHAI or BI with GDF-10). Our results position endostatin, GDF-10 and uPAR as potential blood biomarkers to monitor recovery during rehabilitation after stroke.
Introduction
Despite enormous improvements in stroke management with the implementation of novel reperfusion and rehabilitation treatments in recent decades, stroke remains the second-leading cause of death and the third-leading cause of death and disability combined1, creating socioeconomic challenges for both healthcare systems and families in the long term. In this context, early, well-coordinated, and multidisciplinary rehabilitation is crucial for facilitating neurological recovery in sensory, motor and speech areas following a stroke2.
Conventional stroke rehabilitation typically involves physical therapy, occupational therapy and speech therapy, but despite these approaches, many stroke survivors continue to experience residual functional disabilities that hinder their capacity to carry out daily life activities. Several aspects are considered for substantial improvement in functionality, such as therapy dosage, innovative technologies, engagement and motivation, and objective feedback3,4. In this context, one field of research is the use of biomarkers to support decision-making in clinical practice. One example are brain natriuretic peptides (mainly N-terminal pro-BNP) which are important blood biomarkers in the diagnosis of heart failure5. The monitoring of this peptide has been proposed as a prognostic biomarker of recovery in ST-segment elevation myocardial infarction patients after completing cardiac rehabilitation to predict subsequent major adverse cardiac events6 or in peripartum cardiomyopathy to predict mortality since its levels are associated with patient’s survival free from adverse events or improved left ventricular ejection fraction recovery7.
In stroke, decades of investigations have established the mechanisms of poststroke acute damage, which has led to the identification of potential biomarkers to improve diagnosis or prognosis8,9, with only a few studies focusing on potential biomarkers of repair10,11. However, the biological basis of brain recovery after stroke and its relationship with poststroke rehabilitation and potential biomarker use are still under discussion. With this challenge ahead, we previously studied the role of molecules expressed in the poststroke brain and related to vascular remodeling mechanisms, such as some matrix metalloproteinases or angiogenin, proteins with respective endopeptidase and ribonuclease actions12,13,14. Additionally, our investigations have improved our understanding of how poststroke rehabilitation modulates these molecules as potential biomarkers of recovery, revealing blood changes and suggesting that they might act as biological markers of initial injury and/or rehabilitation-induced recovery during ongoing tissue repair12,15.
In the present study, we sought to explore the potential value of molecules known to specifically potentiate or inhibit neuroplasticity after stroke as blood biomarkers of recovery during poststroke rehabilitation therapy but never investigated in this context: endostatin, growth and differentiation factor 10 (GDF-10), urokinase-type plasminogen activator (uPA), and the uPA receptor (uPAR).
Endostatin, a proteolytic fragment of Collagen XVIII, was initially described as an angiogenesis inhibitor because of its ability to inhibit endothelial cell proliferation16,17, but subsequent studies have described the inhibitory effects of endostatin on matrix remodeling and neurogenesis mechanisms18,19, both of which are crucial during brain repair. In the context of stroke, increased plasma levels in the acute phase of ischemic stroke are reportedly associated with an increased risk of death or severe disability at the 3rd month20,21. GDF-10 is a secreted growth factor that promotes axonal outgrowth through TGFβ receptor signaling. It has been shown to be upregulated in the brain after ischemia and to enhance axonal sprouting in the peri-infarct cortex, improving motor recovery after stroke22,23,24. To our knowledge, it has never been studied as a blood biomarker after stroke or rehabilitation therapy. uPA is a serine proteinase that, upon binding to its receptor (uPAR), catalyzes the conversion of plasminogen into plasmin, which in turn initiates a series of proteolytic cascades on the cell surface, degrading components of the extracellular matrix related to inflammatory and tissue remodeling mechanisms25. Previous experimental studies have shown that uPA and uPAR expression increase in the brain during the recovery phase from acute cerebral ischemia and that this binding promotes neurological recovery related to reorganization of the actin cytoskeleton and neurite remodeling in the periinfarct region26. Additionally, neurons release uPA, and astrocytes recruit uPAR to their plasma membrane during the recovery phase from hypoxic injury via a mechanism independent of plasmin generation, further promoting astrocytic activation and synaptic recovery of neurons via an exceptional crosstalk mechanism27. Finally, the bioactive soluble form of the uPA receptor (suPAR) in blood has been monitored as a cardiovascular disease biomarker28 and is related to ischemic stroke occurrence and 5-year mortality29,30. Here, we investigated these two molecules for their potential role in neuroplasticity during poststroke rehabilitation therapy and functional status for the first time.
With this background, we aimed to determine the temporal profile of serum endostain, GDF-10, uPA and uPAR, related to functional and motor improvements, in poststroke patients undergoing rehabilitation therapy. We investigated for the first time their potential use as recovery blood biomarkers as part of the poststroke management.
Materials and methods
Study cohorts
Both the stroke (n = 62) and control (n = 43) cohorts comprise the SMARRTS study (Studying Markers of Angiogenesis and Repair during Rehabilitation Therapy after Stroke). This prospective, observational and multicenter study recruited subjects between February 2014 and May 2015 and between February 2017 and June 2018), as previously described in detail15.
In brief, the inclusion criteria were as follows: age ≤ 75 years, stable medical condition, first-ever ischemic or hemorrhagic stroke, modified Rankin scale (mRS) score ≤ 2 before stroke and poststroke mRS score ranging from 3 to 5. The exclusion criteria were malignant infarct, previous stroke or transient ischemic attack, hemorrhage from arteriovenous malformations or cerebral aneurysms, global aphasia, previous cognitive decline, or recent infectious, inflammatory or malignant disease. The control cohort comprised healthy subjects without known neurological, malignant, infectious, or inflammatory diseases. The control subjects were patients’ relatives from the present study or subjects from another observational study conducted at the coordination center. All the subjects signed institutional informed consent. All methods were carried out in accordance with relevant guidelines and regulations. The experimental protocol was approved by all institutional ethics’ committees from participating sites named at the Ethics Declaration section at the end of the manuscript. Informed consents were obtained from all participants. The STROBE guidelines for reporting observational studies were followed in this study31.
Rehabilitation interventions
Considering the observational nature of the present study, patients received individualized multidisciplinary rehabilitation treatment after stroke, comprising physiotherapy, occupational therapy, speech therapy, and/or neuropsychology; however, some centers offered intensive rehabilitation therapies (IRT) whereas others followed conventional programs. For the IRT program, only patients with moderate/severe disabilities in two or more areas (gait, transfers, activities of daily living, swallowing and/or communication) who could tolerate in a minimum of 3 h of multidisciplinary therapy (2 h of physical therapy, 1 h of occupational therapy and additional time in speech therapy when needed) per day and 5 days/week were included, according to institutional guidelines32. When the clinical stroke condition was stable, early mobilizations started, followed by a comprehensive rehabilitation program in an inpatient rehabilitation facility or day hospital, defined as IRT (≥ 15 h per week) or NO-IRT (< 15 h per week), all of which were designed by a physiatrist according to patients’ impairments. Rehabilitation continued until the fulfillment of goals was achieved or until the patient’s functional stabilization was achieved. For further objectives, patients continued an outpatient rehabilitation program.
Study protocol
A total of 62 poststroke patients were initially included in the study, although 3 voluntary abandoned and 6 were withdrawn during the follow-up, as described previously15. Enrolled patients followed a 6-months protocol including the baseline (pre-rehabilitation) and the 1-, 3- and 6-month visits after rehabilitation started. In details, a post-stroke baseline inclusion visit was conducted just before the rehabilitation program started by an experienced physiatrist designated at each participating site who collected demographic, clinical, and stroke-related data together with a battery of tests to assess functional independence, sensorimotor function and muscle strength commonly used in clinical practice: the modified Rankin Scale (mRS, scores 0–6), the Granger modified Barthel Index (BI, scores 0–100), the Fugl-Meyer Assessment score for the upper extremity (FMA, scores 0–66), the Functional Ambulation Categories (FAC, scores 0–5), the Chedoke Arm and Hand Activity Inventory (CAHAI, scores 13–91), the 10-m walk test (velocity is registered), and the Medical Research Council scale (MRC, scores 0–5) of the upper and lower extremities at the proximal/distal level for a comprehensive evaluation of the muscle segment recovery responding to different neuroanatomical pathways (the proximal upper limb score involves shoulder flexors, extensors, abductors, adductors, internal and external rotators strength; the distal upper limb score involves elbow flexors and extensors, supinators and pronators and wrist flexors and extensors strength; the proximal lower limb score includes hip flexors, extensors, abductors, adductors, internal and external rotators strength; and the distal lower limb score includes knee flexors and extensors and ankle dorsiflexors, plantar flexors, invertors and eversors strength), more details at supplementary methods and Table S1. The same physiatrist at each participating site conducted the follow-up visits for all patients at 1, 3, and 6 months after the start of rehabilitation, including the same battery of tests. All data was recorded in a consensus Case Report Form (CRF), which was monitored by the coordinating physiatrist at the coordinating site.
In parallel, blood samples were collected at all visits (baseline and follow-up) in serum-separating tubes, which were subsequently centrifuged at 1,500 rpm for 15 min, and the obtained serum was stored at − 80 °C until use. Control subjects were recruited in a single visit, with blood sample extraction as described, and a basic health questionnaire.
Enzyme immunoassays for biomarker assessment
All biomarkers were measured via ELISA following the manufacturer’s instructions: endostatin at a 1/50 dilution (DNST0; Quantikine), GDF-10 at a 1/2 dilution (E-EL-H1907; Elabscience), human uPAR at a 1/5 dilution (DUP00; Quantikine), and human uPA at a 1/3 dilution (DUPA00; Quantikine). All samples were assayed in duplicate, and only values with a coefficient of variation ≤ 20% were accepted for the statistical analysis. To verify low interplate variability, a commercial serum sample (human serum from male AB clotted whole blood, cat# H6914; Sigma‒Aldrich) with an interplate coefficient of variation ≤ 20% was included.
Statistical analysis
In descriptive tables, categorical variables are presented as frequencies (percentages), continuous variables are expressed as median (interquartile range, IQR), and to compare groups, the Wilcoxon‒Mann‒Whitney U test was used for continuous variables, and the chi‒square test or Fisher’s exact test was used for categorical variables. All the functional scales are treated as numerical values. Box plots are used to represent biomarker levels during follow-up, and differences in initial biomarker levels between all groups were assessed with the Kruskal‒Wallis test followed by post hoc Dunn’s test and adjusted by the Holm‒Bonferroni correction for multiple comparisons.
To model biomarker levels over time, a linear mixed model (LMM) was fitted to every log-transformed marker, including type of therapy (IRT or No-IRT), age, sex and time, as independent variables. The model incorporated an interaction term for time and therapy to allow for distinct biomarker profiles among therapy groups. The significance of the time factor effect was assessed with the Wald chi-square test separately for the main effect and interaction. Additionally, to model patient recovery, two sets of LMMs were fitted to each functional scale used in the study. The first set uses biomarker baseline levels, whereas the second uses the biomarker difference between baseline and 1 month of rehabilitation therapy (change) which is justified by the potential window for decision-making and for consistency since the rehabilitation dosage (in hours per week) changes individually at later time points according to patient individual improvements15. Both LMM include age, sex, observation time, and baseline mRS score as potential cofounders for functional recovery. This approach assumes linear continuous behavior for functional scales. All LMMs consider a random intercept for individual patients to account for the baseline patient state and a random slope to include timepoint variability in response over time. Estimated marginal means were computed and plotted for functional scales, biomarkers and time from stroke. Effect estimates are presented relative to data interquartile range shifts for biomarkers (across all times), showing the progression of biomarkers and functional score prognosis during the complete follow-up for an average patient. The thick lines represent the mean functional scale value at different time points considering the baseline or the biomarker change, and the data are represented as the mean (95% confidence interval).
With respect to the systematic fit of the models, no adjustments for multiplicity were applied, and all confidence intervals had 95% confidence (individually); p values < 0.05 were considered statistically significant. Observations with missing covariates were excluded from the analysis (11% for endostatin, 1.6% for GDF-10, 25% for uPA and 14% for uPAR). For variables with repeated measures, the results are derived with available follow-up data. The descriptive analysis of the cohorts was conducted via the SPSS 20.0 package or the statistical software “R”, version 4.3.1 (2023–06–16 ucrt), Copyright 2015 (The R Foundation for Statistical Computing). Linear mixed models were fitted via the nlme 3.1–163 R library via restricted maximum likelihood (REML). All other analyses were conducted with the abovementioned “R” software.
Results
Characteristics of the study cohorts
A summary of the baseline characteristics of the stroke and control cohorts is shown in Table 1, with significant differences in sex distribution and tobacco use (p < 0.05). Extended characteristics can be found in our previous publication15. With respect to baseline biomarkers, the stroke cohort presented higher levels of endostatin, GDF-10 and uPAR and lower levels of uPA than the control cohort, but these differences only reached significance for endostatin (p < 0.01).
Both rehabilitation groups presented similar clinical characteristics at baseline (Table 2), except for a significant difference in the assigned rehabilitation dose at baseline (15 vs. 7.5 h/week on average between the IRT and No-IRT groups, p < 0.01), as expected, and a poorer CAHAI score in the IRT group (p = 0.02), as described previously15. With respect to biomarker levels, no statistically significant differences were observed when different rehabilitation interventions (IRT and No-IRT) were considered at baseline (Table 2).
Temporal profile of the biomarkers
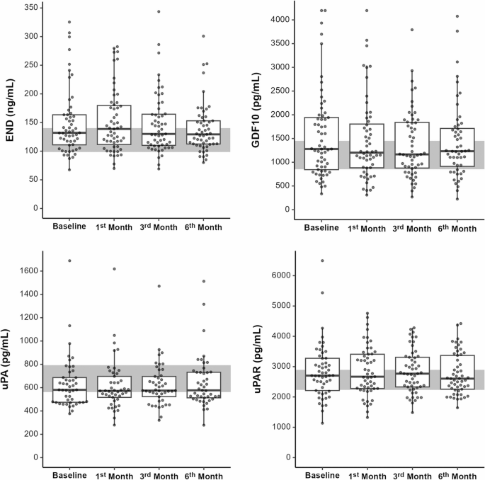
Biomarker levels did not significantly differ over time during the 6-month follow-up (Fig. 1), except for GDF-10, which was significantly different when the LMM was built considering age, sex and type of therapy (p = 0.016), more specifically, at the 3rd month vs. baseline (p = 0.015).
Biomarker timeline. Box plots represent serum values of the four biomarkers in the stroke cohort, depicting the median and interquartile range. Extraction time (days) post-stroke at each time-point was as follows: 12.5 (8–18) at baseline, 44.5 (39–52) at 1 month, 106 (100–115) at 3 months and 199 (191–206) at 6 months. The points represent individual patients, and the control cohort interquartile range is represented in gray. Only GDF-10 showed significant differences over time in the linear mixed model, including age, sex and type of therapy (p = 0.016).
With respect to the rehabilitation regimen, we found no statistically significant differences in any biomarker level between the groups (IRT vs. No-IRT) during the follow-up period (Supplementary Fig. 1).
The highest pre-rehabilitation baseline levels of GDF-10 and uPAR are related to unfavorable motor and muscle strength recovery during follow-up
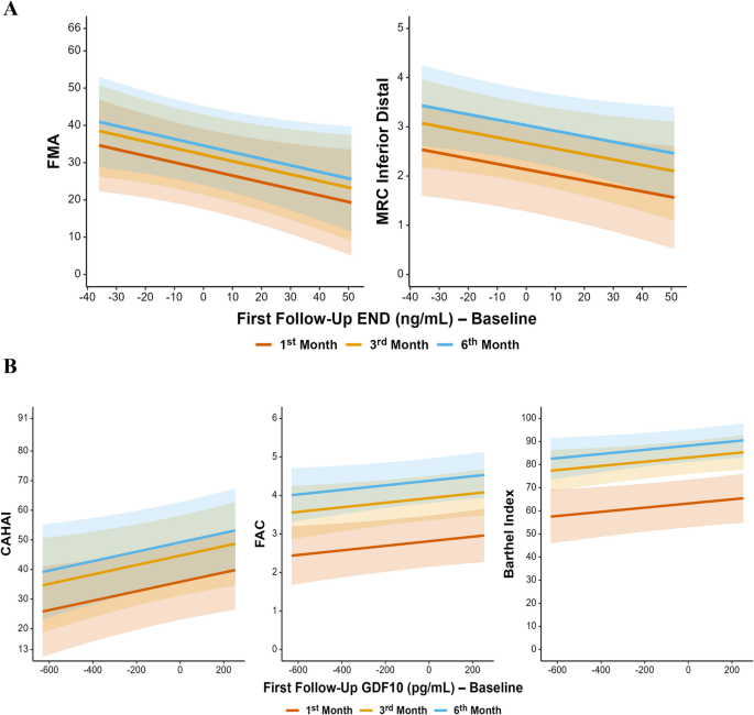
Our model revealed that an increase in basal GDF-10 in one interquartile range (1,097 pg/mL) was associated with a change of −0.17 (−0.33, −0.02) m/sec in the walking speed (p = 0.03) and a change of −0.37 (−0.70, −0.05) points in the MRC score for the inferior proximal limb (p = 0.02) (Fig. 2A). Additionally, an increase in the basal uPAR of one interquartile range (1,062 pg/mL) was associated with a change of −8.98 (−17.01, −0.96) points in the FMA score (p = 0.03) and a change of −0.55 (−1.07, −0.02) points in the MRC score for the superior proximal limb (p = 0.04) (Fig. 2B). The results indicate an inverse relationship of both biomarkers at baseline and walking speed, upper motor function or proximal upper/lower limb strength during follow-up with a worse prognosis.
Prognostic value of GDF-10 and uPAR at baseline. Estimated marginal means plot representing the population average relationship between the functional score and GDF-10 (A) or uPAR (B) at baseline. Lines represent the mean values, and stripes represent the 95% confidence intervals. The LMM showed predictive values for both biomarkers and walking velocity, MRC score or FMA score during follow-up (p < 0.05).
No other significant associations were found for other baseline biomarkers or functional scales (see supplementary Table S2).
Decreased endostatin and increased GDF-10 at one month are related to better functional independence and motor and muscle strength recovery during follow-up
When the biomarker change at 1 month after starting rehabilitation was considered, a decrease of one interquartile range of endostatin (25.75 ng/mL) was associated with a change of 4.55 (0.03, 9.06) points in the FMA scale (p = 0.04), and a strong statistical trend toward a change of 0.29 (0.00, 0.58) points in the MRC score for the inferior distal limb (p = 0.05), indicating that greater reductions in endostatin during the first month of rehabilitation were associated with better motor and muscle strength recovery of both superior and inferior limbs respectively during follow-up (Fig. 3A).
Prognostic value of endostatin and GDF-10 biomarker change at 1 month. Estimated marginal means plot representing the population average relationship between functional score and endostatin (A) or GDF-10 (B) changes. Lines represent the mean values, and stripes represent the 95% confidence intervals. The LMM showed significant predictive values for both biomarkers and the MRC score, CAHAI score or Barthel Index (p < 0.05) and strong statistical tendencies for the FMA score or FAC score (p = 0.05) during follow-up.
Interestingly, although baseline GDF-10 had an inverse association with functional outcome, the change in this biomarker observed at 1 month showed that an increase in one interquartile range (338.96 pg/mL) was associated with a change in 5.38 (0.65, 10.12) points in the CAHAI score (p = 0.02), in 3.05 (0.02, 6.08) points in the BI (p = 0.049) and 0.20 (− 0.01, 0.41) points in the FAC score (p = 0.05), indicating that those patients with larger GDF-10 increases in serum during the first month of rehabilitation displayed better upper limb functional recovery and improved ambulation ability at subsequent time points (Fig. 3B).
No other significant associations were found for the biomarker change at one month with other functional scales (see supplementary Table S2).
Discussion
This study aimed to explore the potential use of novel biomarkers of stroke recovery related to neuroplasticity mechanisms of repair during rehabilitation treatment, which could support the clinical management of rehabilitation programs and contribute to achieve optimal recovery. Our results revealed that despite no major changes in the studied biomarker profile during poststroke rehabilitation, patients with the highest baseline serum levels of GDF-10 or uPAR presented unfavorable recovery evidenced in reduced walking speed, worse upper limb motor function or reduced proximal muscle limbs strength. More interestingly, monitoring serum levels during the first month of rehabilitation therapy indicated that patients with greater decreases in endostatin or increases in GDF-10 showed better recovery evidenced with improved daily-life functional status, improvements in upper limb motor and functional use, or better ambulation ability and muscle strength of the inferior limb. With respect to the dosage of rehabilitation therapy, we did not find biomarker differences considering the intensity of the received therapy, a factor that we hypothesized could influence the biomarkers’ response.
Poststroke repair (consisting of collective changes leading to functional recovery) is orchestrated by multiple recovery mechanisms that are spontaneously activated early after disease onset and last weeks or months33,34,35. The degree of recovery after stroke can vary and respond to rehabilitative therapy, which aims to enhance spontaneous recovery to achieve functional independence but also affects individual responses, increasing the challenge of predicting final disability. Several studies have noted the need to include clinical, neurophysiological or neuroimaging biomarkers to monitor patients’ recovery during rehabilitation in current clinical practice and in clinical trials of rehabilitation interventions36,37. In this context, the use of molecular biomarkers related to neurogenesis, vascular remodeling, axonal sprouting, and gliogenesis, among other mechanisms occurring in the poststroke brain, could be used to monitor the degree of tissue repair and provide a new tool to predict outcomes, adjust therapy doses, allocate rehabilitation resources or improve the information given to patients or their relatives.
Our first finding is the increase in baseline serum levels of endostatin in the stroke cohort compared with those in the control cohort. These results confirm other data on blood endostatin levels as an acute poststroke biomarker of severe disability at 3 months20,21. The present study reports this association when monitoring beyond the acute phase of stroke, reinforcing endostatin as a candidate biomarker for poststroke disability. We also observed for the first time a strong trend toward increased GDF-10 in stroke patients. As a member of the bone-morphogenic protein superfamily and the transforming growth factor β (TGFβ) superfamily, GDF-10 is known to be abundant in the brain and adipose tissue and is known to play a role in the developing brain and to be a regulator of lipid metabolism38,39. As a blood biomarker, it has been found to decrease in children with obesity and high cholesterol levels39, although in our study, a similar incidence of dyslipidemia was observed in the stroke and control cohorts, thus supporting differences due to stroke. Another relevant remark is that GDF-10 expression in the brain has been confirmed to be upregulated in the periinfarct cortex after stroke across mice, nonhuman primates and humans in neurons and surrounding tissue24, which could be directly related to the relative increase in serum GDF-10 observed in stroke patients compared with controls.
The present study also identified GDF-10 and uPAR as baseline biomarkers of unfavorable recovery during follow-up, with worse outcomes being expected as reduced walking speed, lower limb muscle strength or worse upper limb motor function and muscle strength in those patients with the highest GDF-10 and uPAR serum levels after stroke and before starting the rehabilitation program. The relationship between GDF-10 and brain upregulation after stroke could be explained as an initial postinjury signal to favor axonal sprouting in peri-infarct tissue after the initial injury, as described by others24, as part of a compensatory endogenous repair mechanism being activated. Several studies have suggested that the binding of uPAR to uPA might play a pivotal role in the process of neurorepair following ischemic injury, considering its effects on dendritic spine recovery, reorganization of the actin cytoskeleton in axons or repair of synapses via crosstalk between neurons and astrocytes27,40. In the adult brain, uPA is found in specific groups of neurons in the hippocampus and some subcortical structures. In contrast, uPAR is found in growth cones and some dendritic spines and astrocytes26,27. Interestingly, the expression of uPA and uPAR increases in ischemic tissue during the recovery phase of ischemic stroke. Treatment with human recombinant uPA after ischemic stroke induces neurological recovery in wild-type and uPA knockout but not in uPAR knockout mice, indicating that the binding of uPA to uPAR is mandatory for promoting dendritic spine recovery and functional outcomes26. The additional benefits of uPA administration in a hemorrhagic stroke model in rats have been demonstrated in combination with brain-derived neurotrophic factor, which provides effective neuroprotection of the brain tissue41. To date, many studies have described blood soluble uPAR as an inflammatory and cardiovascular risk biomarker42,43,44. In this context, increased circulating levels of several soluble forms of uPAR have been reported in patients with ischemic stroke or transient ischemic attack29 and are related to mortality during a 5-year follow-up after ischemic stroke30. Additionally, early elevation of the serum soluble uPAR is associated with an aggravated clinical course after aneurysmal subarachnoid hemorrhage, and early elevation of the cerebrospinal fluid (CSF) is correlated with a greater risk of poor outcomes45. Our findings are in line with these previous observations since increasing baseline serum levels of uPAR in patients were related to worse motor and muscle strength during follow-up, which could be related to other findings in a mouse model in which uPAR was increased in the brain after ischemic stroke and was localized in vessel structures46, and potentially released as soluble forms into the circulation.
Our final results relate to our aim to investigate the influence of rehabilitation therapy on biomarker levels linked to their attributed functions in repair mechanisms of neuroplasticity. In this regard, biomarker changes were assessed one month after starting the rehabilitation program for two reasons: as a potential decision-making moment to adjust the rehabilitation program according to biomarker results, and for consistency since, in our stroke cohort, the rehabilitation dosage (in hours per week) changed individually at later time points according to patient improvements15. Interestingly, our results show that changes in endostatin levels could predict later recovery. This fragment of collagen XVIII is known to inhibit angiogenesis17, neurogenesis in vitro47, postnatal neurogenesis coupled with blood vessel reorganization19 and adult poststroke neurogenesis48. More specifically, in our patients, larger decreases during the first month predicted better motor and muscle strength improvements of the upper/lower extremities respectively during follow-up, potentially reflecting better neurogenesis and angiogenesis in the poststroke brain. Additional findings on GDF-10 show that increases in this molecule at the first follow-up were related to improved functional status for daily life activities, and better functional abilities of the upper and lower limbs at later time points. In this context, brain GDF-10 expression in mouse experimental models of stroke has proven that it promotes axonal sprouting through the TGFβR pathway, improving motor recovery after stroke, thus highlighting that endogenous GDF10 has an important role in normal recovery24,40.
The use of blood biomarkers in medicine is a reality for multiple disciplines (such as oncology, cardiology and endocrinology), but the relationships among blood biomarkers, activation of brain repair mechanisms and final functional recovery after stroke is still a field under investigation. Some examples of the increasing interest in biomarkers for poststroke recovery and rehabilitation therapy are our recent investigations on the potential use of angiogenin, a ribonuclease directly involved in angiogenesis and vessel remodeling, which increases in blood after initiating rehabilitation therapy and is associated with better function12,15. Similarly, a recent systematic review evaluated the evidence for the effects of aerobic exercise on serum biomarkers of neuroplasticity and brain repair, revealing that increased BDNF, IGF-1, and VEGF are found after different aerobic exercise protocols in stroke survivors11. How these effects are related to functional outcomes has not been investigated. More recently, another study analyzed changes in serum C-reactive protein levels (CRP) in patients after ischemic stroke and during rehabilitation therapy, aiming to prove the prognostic value of this inflammation biomarker49. Although the authors demonstrated a relationship between CRP levels and corresponding functional outcomes (mRS score), its long-term prognostic value could not be proven. Interestingly, neurofilament light chain and glial fibrillary acidic protein, which are recognized markers of brain injury and are detectable in blood, were monitored for up to 3 months during rehabilitation therapy, revealing that both biomarkers correlated not only with stroke severity but also with patients’ functional recovery50.
Several limitations should be outlined. First, the size of the studied groups was small when separate rehabilitation interventions were considered. In this regard, although no significant differences are reported in this study related to the intensity of the rehabilitation therapy and the biomarker time course during recovery, this is a limitation that should be noted. This was an observational study with no possibility of randomization according to the therapy group, and the final number of recruited patients at the end of the study was finally not balanced. Unfortunately, for clear ethical reasons, we could not include a stroke cohort without rehabilitation therapy, which limits our capacity to differentiate between the influence of poststroke and/or rehabilitation on biomarker levels. Here, only preclinical studies with animal stroke models and experimental rehabilitation interventions could provide some insight into the mechanisms of spontaneous vs. rehabilitation-induced plasticity and its relationship with blood biomarkers. Also, other potential confounders when building predictive models could be considered in cohorts with larger sample size such as the baseline NIHSS to assess stroke severity (instead of the mRS), or specific cardiovascular risk factors considering its potential influence on the studied biomarkers (as reported for tobacco use in general population on circulating uPAR levels)51. Finally, larger international multicenter studies are needed to validate our findings and others on the use of blood biomarkers to support poststroke rehabilitation monitoring, which could ideally create predictive models to identify patient profiles that would benefit from more therapy dosages when designing a rehabilitation program, evaluate progression and adapt interventions, empower hospital services in optimizing their resources, or simply provide more information to patients and families when planning long-term care after stroke.
Conclusions
These findings suggest that molecules involved in neuroplasticity mechanisms of repair could be used as blood biomarkers of recovery during poststroke rehabilitation therapies at long-term. More specifically, we report novel findings on the use of baseline serum levels or biomarker change of endostatin, GDF-10 or uPAR and their relationship with patient recovery during rehabilitation therapy. Whether these molecules can be modulated when the therapy dosage/type is adjusted or reflect changes in functional recovery needs further investigation.
Data availability
Anonymized data will be available upon reasonable request to the corresponding author.
Abbreviations
- BI:
-
Barthel Index
- CAHAI:
-
Chedoke Arm and Hand Activity Inventory
- ELISA:
-
Enzyme-Linked Immunosorbent Assay
- FAC:
-
Functional Ambulation Categories
- FMA:
-
Fugl-Meyer Assessment
- GDF-10:
-
Growth and Differentiation Factor-10
- MRC:
-
Medical Research Council
- mRS:
-
modified Rankin Scale
- NIHSS:
-
National Institutes of Health Stroke Scale
- uPA:
-
urokinase-type Plasminogen Activator
- uPAR:
-
urokinase-type Plasminogen Activator Receptor
References
GBD 2019 Stroke Collaborators. Global, regional, and National burden of stroke and its risk factors, 1990–2019: a systematic analysis for the global burden of disease study 2019. Lancet Neurol. 20 (10), 795–820. https://doi.org/10.1016/S1474-4422(21)00252-0 (2021).
Langhorne, P., Bernhardt, J. & Kwakkel, G. Stroke rehabilitation. Lancet 377 (9778), 1693–1702. https://doi.org/10.1016/S0140-6736(11)60325-5 (2011).
Richards, L. G. & Cramer, S. C. Therapies targeting stroke recovery. Stroke 54 (1), 265–269. https://doi.org/10.1161/STROKEAHA.122.041729 (2023).
Stinear, C. M., Lang, C. E., Zeiler, S. & Byblow, W. D. Advances and challenges in stroke rehabilitation. Lancet Neurol. 19 (4), 348–360. https://doi.org/10.1016/S1474-4422(19)30415-6 (2020).
Bayes-Genis, A. et al. at al. Practical algorithms for early diagnosis of heart failure and heart stress using NT-proBNP: A clinical consensus statement from the Heart Failure Association of the ESC. Eur J Heart Fail. ;25(11):1891–1898. (2023). https://doi.org/10.1002/ejhf.3036
Pérez-Solé, N. et al. NT-proBNP to guide risk stratification after cardiac rehabilitation in patients with ST-segment elevation myocardial infarction. Eur. J. Intern. Med. 137, 83–89. https://doi.org/10.1016/j.ejim.2025.04.027 (2025).
Imran, T. F. et al. NT-proBNP and predictors of event free survival and left ventricular systolic function recovery in peripartum cardiomyopathy. Int. J. Cardiol. 15, 357:48–54. https://doi.org/10.1016/j.ijcard.2022.03.052 (2022).
Montaner, J. et al. Multilevel omics for the discovery of biomarkers and therapeutic targets for stroke. Nat. Rev. Neurol. 16 (5), 247–264. https://doi.org/10.1038/s41582-020-0350-6 (2020).
Ramiro, L., Simats, A., García-Berrocoso, T. & Montaner, J. Inflammatory molecules might become both biomarkers and therapeutic targets for stroke management. Ther. Adv. Neurol. Disord. 6, 11:1756286418789340. https://doi.org/10.1177/1756286418789340 (2018).
Włodarczyk, L. et al. IGF-1 and MMP-9 and expression of their genes as potential prognostic markers of recovery in Post-Stroke Rehabilitation-A prospective observational study. Brain Sci. 13 (6), 846. https://doi.org/10.3390/brainsci13060846 (2023).
Limaye, N. S., Carvalho, L. B. & Kramer, S. Effects of aerobic exercise on serum biomarkers of neuroplasticity and brain repair in stroke: A systematic review. Arch. Phys. Med. Rehabil. 102 (8), 1633–1644. https://doi.org/10.1016/j.apmr.2021.04.010 (2021).
Gabriel-Salazar, M. et al. Importance of angiogenin and endothelial progenitor cells after rehabilitation both in ischemic stroke patients and in a mouse model of cerebral ischemia. Front. Neurol. 9, 508. https://doi.org/10.3389/fneur.2018.00508 (2018).
Ma, F. et al. Plasma matrix metalloproteinases in patients with stroke during intensive rehabilitation therapy. Arch. Phys. Med. Rehabil. 97 (11), 1832–1840. https://doi.org/10.1016/j.apmr.2016.06.007 (2016).
Gabriel-Salazar, M. et al. Angiogenin in the neurogenic subventricular zone after stroke. Front. Neurol. 12, 662235. https://doi.org/10.3389/fneur.2021.662235 (2021).
Garcia-Rodriguez, N. et al. Functional recovery and serum angiogenin changes according to intensity of rehabilitation therapy after stroke. Front. Neurol. 12, 767484. https://doi.org/10.3389/fneur.2021.767484 (2021).
Digtyar, A. V., Pozdnyakova, N. V., Feldman, N. B., Lutsenko, S. V. & Severin, S. E. Endostatin: current concepts about its biological role and mechanisms of action. Biochem. (Mosc). 72 (3), 235–246. https://doi.org/10.1134/s0006297907030017 (2007).
O’Reilly, M. S. et al. Endostatin: an endogenous inhibitor of angiogenesis and tumor growth. Cell 88 (2), 277–285. https://doi.org/10.1016/s0092-8674(00)81848-6 (1997).
Wenzel, D. et al. Endostatin, the proteolytic fragment of collagen XVIII, induces vasorelaxation. Circ. Res. 98 (9), 1203–1211. https://doi.org/10.1161/01.RES.0000219899.93384.ed (2006).
Ohab, J. J., Fleming, S., Blesch, A. & Carmichael, S. T. A neurovascular niche for neurogenesis after stroke. J. Neurosci. 26 (50), 13007–13016. https://doi.org/10.1523/JNEUROSCI.4323-06.2006 (2006).
Zhang, C. et al. Endostatin as a novel prognostic biomarker in acute ischemic stroke. Atherosclerosis 293, 42–48. https://doi.org/10.1016/j.atherosclerosis.2019.11.032 (2020).
Navarro-Sobrino, M. et al. A large screening of angiogenesis biomarkers and their association with neurological outcome after ischemic stroke. Atherosclerosis 216 (1), 205–211. https://doi.org/10.1016/j.atherosclerosis.2011.01.030 (2011).
Carmichael, S. T., Kathirvelu, B., Schweppe, C. A. & Nie, E. H. Molecular, cellular and functional events in axonal sprouting after stroke. Exp. Neurol. 287 (Pt 3), 384–394. https://doi.org/10.1016/j.expneurol.2016.02.007 (2017).
Li, S. J. et al. EPO promotes axonal sprouting by upregulating GDF10. Neurosci. Lett. 711, 134412. https://doi.org/10.1016/j.neulet.2019.134412 (2019).
Li, S. et al. GDF10 is a signal for axonal sprouting and functional recovery after stroke. Nat. Neurosci. 18 (12), 1737–1745. https://doi.org/10.1038/nn.4146 (2015).
Yepes, M. Urokinase-type plasminogen activator is a modulator of synaptic plasticity in the central nervous system: implications for neurorepair in the ischemic brain. Neural Regen Res. 15 (4), 620–624. https://doi.org/10.4103/1673-5374.266904 (2020).
Wu, F. et al. Urokinase-type plasminogen activator promotes dendritic spine recovery and improves neurological outcome following ischemic stroke. J. Neurosci. 34 (43), 14219–14232. https://doi.org/10.1523/JNEUROSCI.5309-13.2014 (2014).
Diaz, A. et al. A cross talk between neuronal Urokinase-type plasminogen activator (uPA) and astrocytic uPA receptor (uPAR) promotes astrocytic activation and synaptic recovery in the ischemic brain. J. Neurosci. 37 (43), 10310–10322. https://doi.org/10.1523/JNEUROSCI.1630-17.2017 (2017).
Eugen-Olsen, J. et al. Circulating soluble urokinase plasminogen activator receptor predicts cancer, cardiovascular disease, diabetes and mortality in the general population. J. Intern. Med. 268 (3), 296–308. https://doi.org/10.1111/j.1365-2796.2010.02252.x (2010).
Persson, M. et al. Soluble urokinase plasminogen activator receptor: a risk factor for carotid plaque, stroke, and coronary artery disease. Stroke 45 (1), 18–23. https://doi.org/10.1161/STROKEAHA.113.003305 (2014).
Onatsu, J. et al. Soluble Urokinase-type plasminogen activator receptor predicts All-cause 5-Year mortality in ischemic stroke and TIA. Vivo 31 (3), 381–386. https://doi.org/10.21873/invivo.11070 (2017).
Cuschieri, S. The STROBE guidelines. Saudi J. Anaesth. 13 (Suppl 1), S31–S34. https://doi.org/10.4103/sja.SJA_543_18 (2019).
Agència d’Avaluació de Tecnologia i Recerca Mèdiques. (2007). Available from: https://scientiasalut.gencat.cat/handle/11351/1853
Regenhardt, R. W., Takase, H., Lo, E. H. & Lin, D. J. Translating concepts of neural repair after stroke: structural and functional targets for recovery. Restor. Neurol. Neurosci. 38 (1), 67–92. https://doi.org/10.3233/RNN-190978 (2020).
Joy, M. T. & Carmichael, S. T. Encouraging an excitable brain state: mechanisms of brain repair in stroke. Nat. Rev. Neurosci. 22 (1), 38–53. https://doi.org/10.1038/s41583-020-00396-7 (2021).
Marques, B. L. et al. The role of neurogenesis in neurorepair after ischemic stroke. Semin Cell. Dev. Biol. 95, 98–110. https://doi.org/10.1016/j.semcdb.2018.12.003 (2019).
Boyd, L. A. et al. Biomarkers of stroke recovery: Consensus-based core recommendations from the stroke recovery and rehabilitation roundtable. Int. J. Stroke. 12 (5), 480–493. https://doi.org/10.1177/1747493017714176 (2017).
Stinear, C. M. Prediction of motor recovery after stroke: advances in biomarkers. Lancet Neurol. 16 (10), 826–836. https://doi.org/10.1016/S1474-4422(17)30283-1 (2017).
Cunningham, N. S. et al. Growth/differentiation factor-10: a new member of the transforming growth factor-beta superfamily related to bone morphogenetic protein-3. Growth Factors. 12 (2), 99–109. https://doi.org/10.3109/08977199509028956 (1995).
Yousof, T. R., Mejia-Benitez, A., Morrison, K. M. & Austin, R. C. Reduced plasma GDF10 levels are positively associated with cholesterol impairment and childhood obesity. Sci. Rep. 14 (1), 1805. https://doi.org/10.1038/s41598-024-51635-1 (2024).
Merino, P. & Yepes, M. Urokinase-type plasminogen activator induces neurorepair in the ischemic brain. J. Neurol. Exp. Neurosci. 4 (2), 24–29. https://doi.org/10.17756/jnen.2018-039 (2018).
Dzhauari, S. et al. Urokinase-Type plasminogen activator enhances the neuroprotective activity of Brain-Derived neurotrophic factor in a model of intracerebral hemorrhage. Biomedicines 10 (6), 1346. https://doi.org/10.3390/biomedicines10061346 (2022).
Haupt, T. H. et al. Healthy lifestyles reduce SuPAR and mortality in a Danish general population study. Immun. Aging. 16, 1. https://doi.org/10.1186/s12979-018-0141-8 (2019).
Rasmussen, L. J. H., Petersen, J. E. V. & Eugen-Olsen, J. Soluble urokinase plasminogen activator receptor (suPAR) as a biomarker of systemic chronic inflammation. Front. Immunol. 12, 780641. https://doi.org/10.3389/fimmu.2021.780641 (2021).
Peiró, Ó. M. et al. Soluble urokinase plasminogen activator receptor as a long-term prognostic biomarker in acute coronary syndromes. Biomarkers 25 (5), 402–409. https://doi.org/10.1080/1354750X.2020.1778090 (2020).
Schmidt, T. P. et al. The role of soluble urokinase plasminogen activator receptor (suPAR) in the context of aneurysmal subarachnoid hemorrhage (aSAH)-A prospective observational study. Front. Neurol. 13, 841024. https://doi.org/10.3389/fneur.2022.841024 (2022).
Nagai, N. et al. Urokinase-type plasminogen activator receptor (uPAR) augments brain damage in a murine model of ischemic stroke. Neurosci. Lett. 432 (1), 46–49. https://doi.org/10.1016/j.neulet.2007.12.004 (2008).
Al Ahmad, A. et al. Endostatin binds nerve growth factor and thereby inhibits neurite outgrowth and neuronal migration in vitro. Brain Res. 1360, 28–39. https://doi.org/10.1016/j.brainres.2010.09.023 (2010).
Angelidis, A. et al. Disrupted migration and proliferation of neuroblasts after postnatal administration of angiogenesis inhibitor. Brain Res. 1698, 121–129. https://doi.org/10.1016/j.brainres.2018.08.010 (2018).
Borowicz, W., Ptaszkowski, K., Ptaszkowska, L., Murawska-Ciałowicz, E. & Rosińczuk, J. Assessment of changes in serum C-Reactive protein levels in patients after ischemic stroke undergoing Rehabilitation-A retrospective observational study. J. Clin. Med. 12 (3), 1029. https://doi.org/10.3390/jcm12031029 (2023).
Uphaus, T. et al. NfL (Neurofilament light Chain) levels as a predictive marker for Long-Term outcome after ischemic stroke. Stroke 50 (11), 3077–3084. https://doi.org/10.1161/STROKEAHA.119.026410 (2019).
Eugen-Olsen, J., Ladelund, S. & Sørensen, L. T. Plasma SuPAR is Lowered by smoking cessation: a randomized controlled study. J. Clin. Invest. 46 (1), 59–64. https://doi.org/10.1111/eci.12593 (2016).
Acknowledgements
We are grateful to all the subjects enrolled in this study and to the clinical staff who helped with the follow-up visits.
Funding
N.G-R. is doing a doctorate at the Departament de Medicina de la Universitat Autònoma de Barcelona. Research grants from the Instituto de Salud Carlos III with European Regional Development or Next Generation Founds to A.R. or J.B.S. supported this study (PI16/00981, PI19/00186, RD16/0019/0021, RD16/0019/0008, RD21/0006/0007, and RD21/0006/0014), as well as the 2021-SGR-0656 programme from the Generalitat de Catalunya-AGAUR. N.G-R. received a predoctoral fellowship from VHIR, and MG-G. received a research support grant (PERIS, SLT017/20/000197).
Author information
Authors and Affiliations
Contributions
All the authors contributed to the study design, data acquisition, experimental performance and/or data analysis, and all of them participated in the manuscript review. Study Design: N.G-R, S.R, PI.T, AM.M-A, N.R, X.B, ME.P-M, MR-B, JB.S, LM.P, M.I, S.O-V, R.M-M, M.M, P.D, A.R. Data acquisition: N.G-R, S.R, PI.T, AM.M-A, N.R, X.B, ME.P-M, MR-B, JB.S, LM.P, M.I, S.O-V, R.M-M, M.M, P.D.Experimental performance: N.G-R, M.G-G, J.V-B, A.P. Data Analysis: N.G-R, M.G-G, M.L-V, A.R. Manuscript drafting: N.G-R, M.G-G, A.R. Manuscript Review: N.G-R, M.G-G, S.R, PI.T, AM.M-A, N.R, X.B, ME.P-M, MR-B, JB.S, LM.P, M.I, S.O-V, R.M-M, M.M, J.V-B, M.L-V, P.D, A.P, A.R.
Corresponding author
Ethics declarations
Competing interests
The authors declare no competing interests.
Ethics
All experimental protocols were approved by the following ethics committees under the following statement: Following the Declaration of Helsinki, previous approval of corresponding clinical research ethics committee sites was obtained: [Hospital Universitari Vall d’Hebron PR(IR)317/2013-PR(IR)346/2016, PI16/00981/CEI: PI-17-056, Comité de Ética de Investigación de A Coruña-Ferrol 2017 − 125, Corporació Sanitària Parc Taulí de Sabadell 2017521, Hospital Universitario Politécnico La Fe 2016/0727, Euskadi PI2016168]. All patients or their relatives provided written informed consent to participate in the study.
Additional information
Publisher’s note
Springer Nature remains neutral with regard to jurisdictional claims in published maps and institutional affiliations.
Supplementary Information
Below is the link to the electronic supplementary material.
Rights and permissions
Open Access This article is licensed under a Creative Commons Attribution-NonCommercial-NoDerivatives 4.0 International License, which permits any non-commercial use, sharing, distribution and reproduction in any medium or format, as long as you give appropriate credit to the original author(s) and the source, provide a link to the Creative Commons licence, and indicate if you modified the licensed material. You do not have permission under this licence to share adapted material derived from this article or parts of it. The images or other third party material in this article are included in the article’s Creative Commons licence, unless indicated otherwise in a credit line to the material. If material is not included in the article’s Creative Commons licence and your intended use is not permitted by statutory regulation or exceeds the permitted use, you will need to obtain permission directly from the copyright holder. To view a copy of this licence, visit http://creativecommons.org/licenses/by-nc-nd/4.0/.
About this article
Cite this article
Garcia-Rodriguez, N., Garcia-Gabilondo, M., Rodriguez, S. et al. Identifying new blood biomarkers of neuroplasticity associated with rehabilitation outcomes after stroke. Sci Rep 15, 38047 (2025). https://doi.org/10.1038/s41598-025-21936-0
Received:
Accepted:
Published:
Version of record:
DOI: https://doi.org/10.1038/s41598-025-21936-0


