Abstract
Product packaging serves as a powerful multisensory cue that shapes consumer expectations, emotional responses, and purchasing behavior–often before the product is even consumed. This study investigated how color, texture, scent, and unboxing interaction jointly influence the perceived quality, taste experience, emotional engagement, and economic valuation of a chocolate product. Thirty-six participants were assigned to one of six groups defined by between-subjects factors (scent: present vs. absent; texture: smooth, raised dots, embossed pattern) and evaluated six boxes that varied within-subjects in color (white, purple) and unboxing interaction (lift-off, snail-fold, slide-and-tilt). Each box contained the same chocolate, and participants completed questionnaires on sensory perception, product–package congruency, emotional response, and willingness to pay. Results revealed that unboxing interaction significantly shaped perceived attractiveness and semantic impressions, with more complex openings rated more positively. Texture and scent jointly influenced perceived flavor intensity, taste persistence, and emotional valence. Scent enhanced perceived luxury and purchase intention but reduced overall liking, smoothness, and willingness to taste again, potentially due to hedonic overload, in which the added chocolate scent increased sensory stimulation beyond an optimal level. Color–texture combinations further modulated emotional responses and congruency judgments. While these findings underscore the importance of multisensory coherence in packaging, interpretation is limited by the small sample, reliance on self-report measures, and the absence of physiological indices.
Similar content being viewed by others
Introduction
Product packaging is a multisensory interface between consumer and product. Beyond containment and protection, it communicates brand identity and quality through coordinated visual, haptic, olfactory, and interactive cues that are encountered before consumption1,2,3,4. From a cognitive-neuroscience perspective, such cues are combined by the brain through multisensory integration mechanisms that enhance the salience of events when signals are congruent in space and time and can accelerate responses relative to any single cue alone5. In consumer settings, these integrations are shaped by learned crossmodal correspondences (e.g., mapping darker hues to bitterness or rougher textures to strength), which bias expectations and choice even when people are unaware of these influences6,7.
Contemporary theories conceptualize perception as prediction. In predictive-coding and active-inference accounts, the brain uses prior beliefs to predict incoming sensory input and updates those predictions by minimizing prediction error8,9,10. Packaging can be understood as an external scaffold that seeds such priors: color, texture, and structure generate expectations about a product’s taste, quality, and value; dynamic unboxing actions then confirm or violate those expectations. In addition to exteroceptive predictions (sight, touch, smell), interoceptive predictions about internal bodily states (e.g., arousal, appetite) also shape affect and valuation. The Embodied Predictive Interoception Coding (EPIC) model proposes that visceromotor cortices issue predictions about how the body should feel in upcoming states, with prediction errors calibrating future affective responses11. In the context of hedonic products, packaging therefore not only communicates what the product is, but also how the body should feel while anticipating and consuming it.
These predictive processes interact with robust crossmodal regularities documented in behavioral and neuromarketing research. Color systematically shapes brand personality, attention, and purchase intent12, and crossmodal color–taste correspondences guide flavor expectations and liking13,14. Likewise, sound and texture affect food perception (e.g., amplifying crispness with higher-frequency bite sounds)15, and multisensory interactions underpin the perception of flavor during consumption16,17. Unboxing adds a temporal, embodied component: interaction mechanics (e.g., stepwise vs. fluent; mediated vs. direct) shape anticipation and perceived value even before tasting18,19. Crucially, more stimulation is not always better. Odor pleasantness typically follows an inverted-U relationship with intensity; when stimulation exceeds an optimal “sweet spot, hedonic value can drop even as perceived intensity and arousal rise20.
The present study adopts this multisensory–predictive framework to examine how color (White, Purple), texture (Smooth, Raised Dots, Embossed), scent (present, /absent), and unboxing interaction (Lift-Off, Snail-Fold, Slide-and-Tilt) combine to shape impressions of a chocolate product. We advance prior packaging work4,7,18,21,22 by (a) incorporating olfaction and dynamic interaction into a unified account grounded in multisensory integration and predictive coding, and (b) testing specific, preregistered predictions about quality, taste, emotion, and economic valuation. Based on the above, two hypotheses were proposed:
-
Interaction complexity and predictive fluency (H1): Compared to simpler openings, more complex/stepwise unboxing will increase perceived box attractiveness and luxury, elevate price expectations and willingness to pay (WTP), and modulate Interaction Vocabulary ratings. However, when interaction is appraised as highly excessive, we predict a reversal with lower attractiveness and WTP.
-
Multisensory coherence vs. hedonic overload (H2): A congruent addition of scent will increase perceived flavor intensity and taste persistence and raise luxury/purchase intent. At high ambient intensity, scent will reduce overall liking and willingness to taste again (hedonic overload); texture–scent and color–texture correspondences will moderate these effects such that congruent pairings (e.g., darker (purple) with richer textures) yield higher perceived quality, unity, and perfection.
Related work
The visual appearance of packaging plays a central role in shaping consumer perceptions and behaviors, with color serving as one of the most influential visual cues. It not only elicits emotional responses but also shapes sensory expectations. High chroma levels, for example, have been linked to feelings of relaxation, while increased brightness tends to heighten arousal and excitement–both of which can enhance product likability23. Color also influences perceived physical attributes: darker hues suggest heaviness and durability, whereas lighter tones imply lightness and convenience24. Marketing syntheses likewise document robust color–brand effects and boundary conditions in the marketplace12,13, and neuromarketing evidence links color to crossmodal mappings that steer expectations before consumption14. These perceptual and emotional effects often translate into behavioral outcomes. Rebollar et al.25 found that color was the most influential design element–surpassing even packaging format–with warm hues evoking fruity or sweet flavors and cool tones signaling menthol or spiced notes. Moreover, higher color saturation draws visual attention and increases perceived product size, which heightens arousal and contributes to more favorable evaluations, including a greater willingness to pay26.
Beyond color, shape is another key element of packaging design that influences consumers’ impressions and expectations of the product. Research demonstrates that symmetry is often perceived as a marker of brand premiumness27, whereas asymmetrical designs can enhance perceived taste quality28. Becker et al. found that angular shapes, compared to rounded ones, evoke more intense taste sensations and lead to higher price expectations29,30. When combined with specific color schemes–such as red-to-yellow or blue-to-green–angular packaging further strengthens taste associations and consumer preferences, outperforming rounded or grayscale alternatives31. These effects align with crossmodal-correspondence research showing systematic mappings between visual form/color and taste, pitch, or intensity that guide attention and expectation6.
The interplay between shape and surface texture also plays a significant role in shaping consumers’ impressions. For instance, glossy surfaces, as opposed to matte finishes, tend to convey lightness rather than roughness or thickness, and are associated with greater attractiveness and perceived quality32,33. However, while glossy packaging may increase purchase intention, it does not necessarily raise consumers’ willingness to pay33. More generally, modality weighting studies indicate that vision and touch dominate product appraisal in many categories, with tactile cues disproportionately shaping emotion-laden judgments7.
The tactile experience34 of a package also plays a crucial role in consumer perception, product evaluation, and purchase intention. Several studies highlight how specific haptic features–such as material texture, weight, and structural integrity–can shape consumer expectations and sensory experiences. For instance, roughness and suppleness influence perceived food naturalness35, while surface texture affects sensory expectations: cookies in rough-textured packaging were perceived as crunchier and harder than those in smooth packaging36. Similarly, flimsy packaging materials can negatively impact product evaluations, as shown by Krishna and Morrin37, who found that weaker drink containers diminished consumer ratings of the beverage. Weight is another decisive tactile attribute—the heavier the package, the higher the perceived flavor intensity, desire for consumption, and willingness to pay38. Additionally, texture congruence between the packaging and the product plays a key role, with texture incongruence leading to diminished taste perception and reduced consumer satisfaction39. Likewise, Schutrups28 reported that congruence across multiple sensory attributes—such as shape, texture, and weight—was associated with higher willingness, as rough textures and heavier weights were found to enhance taste intensity and reinforce perceptions of luxury. These haptic influences dovetail with predictive processing views 8 in which prior expectations tuned by touch (e.g., weight/roughness) shape subsequent gustatory judgments.
Although auditory and olfactory cues in packaging have received less research attention, they are essential contributors to the overall product experience, just like the visual and tactile elements. Researchers demonstrated that the combination of food images with scent enhanced participants’ salivation, desire to eat, and actual consumption40. Spence and Gallace41 found that potato chips were perceived as 5% crunchier when eaten while listening to the rattling sound of the package. More broadly, flavor perception is intrinsically multisensory—arising from dynamic integration of olfaction, taste, trigeminal, vision, and audition—so packaging cues can shift flavor even before tasting42,43. Classic demonstrations show that manipulating bite/acoustic feedback alters crispness and staleness judgments, underscoring how packaging-related sounds can modulate oral–somatosensory experience15. These cue-combinations are well explained by neural principles of multisensory integration (e.g., superadditive gains and attention-dependent weighting)5.
In addition to sensory attributes, the dynamic interaction between consumers and packaging during unboxing has drawn increasing research attention, particularly with the rise of unboxing videos over the past decade. Bae18 found that unboxing interactions can evoke emotions such as joy and fascination, significantly influencing consumers’ emotional responses and product perception. Packaging complexity has also been shown to affect product appraisal and consumer satisfaction. Higher complexity in actions and transformations raises expectations of product quality and shapes perceptions of product personality19. Similarly, Li and Cho44 found that complex unboxing experiences elicited more positive emotions and perceived quality, while reducing negative emotions and increasing overall satisfaction. Berden45 further demonstrated that complex packaging, compared to simple designs, generated greater positive affect regardless of brand familiarity or design sensitivity. The unboxing experience itself can influence product evaluations and purchase behavior, as physically interacting with packaging has been shown to enhance attractiveness, taste perception, satisfaction, and even willingness to pay compared to evaluations based solely on visual appearance4,39. Linking these findings to cognitive neuroscience, unboxing sequences can be viewed as predictive events that tune expectations and precision weighting across modalities; when cues converge, integration boosts salience and speeds responses, whereas mismatches can dampen value5,8,11. Recent applied work in multisensory marketing similarly shows that orchestrating congruent visual–taste–olfactory cues elevates experiential value and brand attitude46.
Results
Data analysis
The mixed-subjects design included Color (White, Purple) and Unboxing Interaction (Lift-Off, Snail-Fold, Slide-and-Tilt) as within-subjects factors, and Texture (Smooth, Raised Dots, Embossed Pattern) and Scent (absent, present) as between-subjects factors. To examine the influence of multisensory packaging attributes on product perception, emotion, and consumer behavior, we selected analytic approaches based on the scale level and distribution of each dependent variable.
Mixed-design ANOVAs. We used mixed-design ANOVAs for outcomes measured on continuous or approximately interval scales (e.g., attractiveness composites, unboxing experience ratings, overall liking, taste persistence, congruency scores, and PrEmo ratings). This approach allowed us to test both main effects and interactions across the within- and between-subject factors while controlling Type I error in a factorial design. Bonferroni-corrected post hoc tests and simple main effects were used to interpret significant interactions.
Cumulative Link Mixed Models (CLMMs). For ordinal responses such as intensity, hardness, smoothness, and willingness to taste again, parametric assumptions of ANOVA (normality, homogeneity of variance) are not appropriate. CLMMs are designed for ordered categorical data and additionally allowed us to include participant-level random effects, thereby accounting for repeated measures and inter-individual variability.
Multinomial tests. For categorical outcomes where participants selected a single flavor or taste descriptor (e.g., caramel, sweetness), the dependent variable was nominal with more than two categories. Multinomial tests assessed whether the observed response frequencies differed significantly from chance-level expectations under a uniform distribution, making them suitable for testing categorical choice distributions.
Chi-square tests and Correspondence Analysis (CA). For the emotion lexicon (Check-All-That-Apply format), responses were categorical and non-exclusive. Chi-square tests were used to examine associations between packaging conditions and word frequencies. CA was then applied as an exploratory multivariate technique to visualize relationships between conditions and lexical choices in low-dimensional space, highlighting patterns of association that would not be apparent in univariate analyses. Standardized residuals identified specific words contributing to significant associations.
Together, this analytic strategy ensured that each outcome was analyzed with the method most appropriate to its measurement scale and distributional properties, providing robust tests of our hypotheses across heterogeneous data types.
Box attractiveness
To assess the reliability of the box attractiveness scale, Cronbach’s alpha was computed for the three-item semantic differential scale (Attractiveness, Beauty, Desirability). The results indicated high internal consistency (\(\alpha =.84\)), justifying the use of a composite attractiveness score calculated as their mean. This composite score served as the dependent variable in a 2 (Color) \(\times\) 2 (Scent) \(\times\) 3 (Texture) \(\times\) 3 (Unboxing Interaction) mixed-design ANOVA examining the effects of packaging features on participants’ overall perceived attractiveness.
Left: Bar plots with 95% confidence intervals for attractiveness score by Unboxing type. Right: Color x Texture interaction plots when scent is present and absent with error bars representing 95% confidence intervals.
Sphericity and homogeneity assumptions were tested and met. The analysis revealed a significant main effect of Unboxing Interaction, \(F(2, 60) = 3.73, p =.03, \eta _p^2 =.20\). Post hoc comparisons using Bonferroni correction indicated that the Slide-and-Tilt box was rated significantly lower than the Snail-Fold box (\(p <.05\); see Fig. 1). Additionally, a three-way interaction among Color, Scent, and Texture was significant, \(F(2, 30) = 3.62, p =.03, \eta _p^2 =.11\), indicating that the effect of color on perceived attractiveness depended jointly on surface texture and the presence of a chocolate scent. Simple main effects analyses were conducted: The attractiveness score for the White box was significantly lower in the Smooth texture condition without scent (\(p =.02\)). However, this effect disappeared in the scent-present condition (\(p >.05\); see Fig. 1), which suggests that the three-way interaction was driven by a selective penalty for the White–Smooth package when scent was absent.
Unboxing interaction
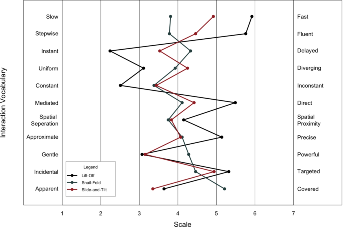
The mixed-design ANOVA conducted on participants’ ratings across eleven semantic pairs from the Interaction Vocabulary Scale aimed to examine the effects of Unboxing, Color, Texture, and Scent conditions. Sphericity and homogeneity assumptions were met for all comparisons. Significant main effects of Unboxing type were observed (Table 1), indicating that participants’ perception of unboxing varied based on the box-opening mechanism.
Semantic differential chart representing the interaction vocabulary scale for the three type of unboxing interactions: Lift-Off, Snail-Fold, and Slide-and-Tilt.
Posthoc analyses with Bonferroni correction revealed that the Lift-Off box was rated as significantly (\(p<0.05\)) faster, more fluent, more instant, more uniform, more constant, more direct, and more precise compared to both the Snail-Fold and Slide-and-Tilt boxes. Additionally, the Lift-Off box was perceived as significantly (\(p<0.05\)) more targeted than the Snail-Fold box (see Fig. 2). In contrast, the Snail-Fold box was perceived as significantly more powerful and more covered than both the Lift-Off and Slide-and-Tilt boxes. Furthermore, participants rated the Snail-Fold box as significantly slower than the Slide-and-Tilt box. Finally, the interaction of Color, Texture, and Scent influenced Uniform–Diverging ratings, particularly for Purple boxes in the scent-present condition, which were perceived as more uniform compared to other conditions, suggesting that perceived uniformity increased specifically for Purple boxes when scent was present, across textures.
Sensory evaluation
Flavor and taste perception
A multinomial test was conducted to examine differences in flavor perception across the experimental conditions. A significant effect of Scent–Texture was found for the perception of Caramel flavor, \({\chi }^2(5) = 11.38, p =.04\), indicating that participants’ perception of caramel varied depending on the combination of scent presence and texture. As displayed on Fig. 3, Caramel was reported more frequently in the (Scent-absent, Raised Dots) condition (n = 27) compared to the expected frequency (n = 17.33), whereas the (Scent-present, Smooth) condition showed fewer reports of Caramel flavor (n = 9) than expected (n = 17.33).
Another multinomial test on taste perception revealed a significant effect of Scent-Texture condition for the perception of sweetness, \({\chi }^2(5) = 11.18, p =.04\). This result suggests that participants’ perception of sweetness was influenced by the combination of scent presence and texture. As shown in Fig. 3, Sweetness was reported more frequently in the Scent-absent, Raised Dots condition (n = 26) compared to the expected frequency (n = 17.17). In contrast, the Scent-absent, Embossed condition had fewer reports of Sweetness (n = 9) than expected (n = 17.17). No other conditions significantly deviated from the expected frequency distribution.
Descriptive plot of the observed frequencies for caramel perception across the six Scent-Texture conditions.
Intensity, hardness, and smoothness
A CLMM was conducted to examine the effects of scent, texture, and unboxing type on perceived intensity, hardness, and softness (see Fig. 4).
For intensity, the presence of scent in combination with embossed-pattern texture significantly increased intensity ratings \(b = 4.29, p =.028\), suggesting that the addition of olfactory cues enhanced the perception of intensity in this condition. Similarly, scent combined with a white container resulted in higher ratings for the Snail-Fold (\(b = 4.03, p =.019\)) and Slide-and-Tilt (\(b = 3.98, p =.020\)) boxes. Additionally, scent with the Lift-Off unboxing using a purple container led to the strongest increase in intensity, \(b = 4.69, p =.007\). These findings indicate that the addition of scent consistently enhances perceived intensity, particularly when paired with pattern texture or specific unboxing types, reinforcing the intensity perception of the chocolate.
Descriptive plots of the perceived intensity, hardness, and smoothness for the three textures when scent is present and absent. Error bars represent 95% confidence intervals.
For hardness, the only significant effect observed was for the Purple Slide-and-Tilt box, \(b = -6.03, p =.031\), indicating that the presence of scent in this condition significantly decreased perceived hardness.
Finally for smoothness, the analysis revealed that the presence of scent significantly decreased smoothness ratings, \(b = -3.60, p =.046\), suggesting that olfactory cues may contribute to a rougher perception of texture. Additionally, the Embossed Pattern texture in combination with the Purple Snail-Fold (\(b = -5.11, p =.018\)) and Slide-and-Tilt (\(b = -4.32, p =.043\)) boxes led to a significant decrease in smoothness ratings. These findings indicate that scent can reduce the perceived smoothness of chocolate, with Embossed Pattern being particularly pronounced.
Overall liking
The mixed-design ANOVA on the overall liking scores of the chocolate, measured on a 7-point scale (1 = Extremely dislike, 7 = Extremely like) revealed a significant main effect of Scent, \(F(1, 30) = 5.71, p =.023, \eta _p^2 =.16\), indicating that participants’ liking ratings were influenced by scent presence. Chocolates in the scent-present condition received lower liking scores (\(M = 4.58\), 95% CI [4.03, 5.14]) compared to those in the scent-absent condition (\(M = 5.50\), 95% CI [4.95, 6.05]). No significant effects were found for Color, Texture, or Unboxing, nor were there order effects, suggesting that scent was the primary factor influencing participants’ chocolate preference, independent of other sensory attributes or unboxing interaction.
Taste persistence
The mixed ANOVA on persistence of taste (in seconds) revealed a four-way interaction effect among Color, Unboxing, Scent, and Texture, \(F(4, 60) = 2.66, p =.04, \eta _p^2 =.15\). To further explore this interaction, simple main effects analyses were conducted. As shown In Fig. 5, the persistence of taste was significantly lower for the White Slide-and-Tilt box with a smooth texture (\(M = 3.78, p <.05\)) compared to other boxes with the same color and texture. In the Purple condition, taste persistence was significantly lower for the Slide-and-Tilt box with an embossed pattern (\(M = 4.10, p <.05\)). When Scent was absent, taste persistence was also significantly lower for the Slide-and-Tilt box with an embossed pattern (\(M = 3.40, p <.05\)) compared to the scent-present condition. Finally, in the Smooth-Purple condition, taste persistence was significantly lower when scent was present (\(M = 4.00\)) compared to when the scent was absent (\(M = 5.21, p <.05\)).
Bar plots for persistence of taste means with 95% confidence intervals. From left to right: White-Smooth per Unboxing Interaction, Purple Slide-and-Tilt per Texture, Embossed Slide-and-Tilt per Scent, and Purple-Smooth per Scent. The light color in each plot shows the condition that is significantly different from the others.
Willingness to taste more
The CLMM was used to analyze participants’ willingness to taste another piece of chocolate. The model revealed a significant effect of scent, \(B = -1.25, SE = 0.60, z = -2.09, p =.036\), indicating that participants in the Scent-present condition were less willing to taste another piece compared to the Scent-absent condition.
Emotional lexicon
The analysis of the emotional lexicon was conducted using Correspondence Analysis for each condition (Scent, Texture, Color, and Unboxing). A Chi-square test of independence was performed to examine the relationship between word selection and each condition. In the CA plots (Fig. 6), words positioned closer to a condition (in red) were more frequently chosen under that condition. To determine which descriptors contributed most to the significant association between word selection and conditions, standardized residuals were analyzed. Words with standardized residuals greater than \(\pm 1.96\) were identified as having a statistically significant deviation from expected frequencies, indicating a strong preference or avoidance under specific conditions. Table 2 summarizes the results.
Correspondence analysis from the emotion terms for Scent (left) and Texture (right).
Scent and Texture significantly influenced word choice, while Color and Unboxing did not. Although the Scent factor showed a significant overall association, no individual descriptors exceeded the conventional ±1.96 threshold, indicating a more diffuse pattern rather than strong associations with specific words. Texture had the strongest impact (see Fig. 6), with Raised Dots linked to indulgence (Guilty), Embossed linked to disengagement (Bored), and Smooth texture evoking a positive but non-health-related experience (Good, Healthy). Color and Unboxing did not influence word selection, suggesting these factors did not strongly impact the emotional lexicon of chocolate consumption.
Product-box congruency
A mixed-design ANOVA was used to evaluate the package–chocolate congruency ratings (matching, ordinariness, perfection, excessiveness, unity, and fit). For perceived perfection, a significant effect of Texture, \(F(2, 30) = 3.86, p =.03, \eta _p^2 = 0.21\), and significant interaction Color \(\times\) Scent \(\times\) Texture, \(F(2, 30) = 3.55, p =.04, \eta _p^2 = 0.20\), and Unboxing \(\times\) Scent \(\times\) Texture, \(F(2, 30) = 3.19, p =.01, \eta _p^2 = 0.18\), effects were also found. Simple main effects analysis found that when the packaging was white and scent was absent, the Raised Dots texture received notably higher ratings than the Smooth texture. Additionally, when the texture was Smooth and scent was absent, the Purple packages (M = 3.28, 95% CI [2.24, 4.31]) were rated more favorably than the White packages (M = 2.39, 95% CI [1.35, 3.42]). Simple main effects analysis also revealed that the Raised Dots texture obtained the higher perfection scores compared to the Smooth for the Snail-Fold box when scent was absent and for the Lift-Off box when scent was present (\(p <.05\)).
For the perceived excessiveness, a significant main effect of Texture was found, \(F(2, 30) = 4.81, p =.01, \eta _p^2 = 0.24\), with Embossed Pattern texture received significantly higher ratings than the Smooth texture (\(p <.05\)). A Texture \(\times\) Color interaction was also observed, \(F(2, 30) = 3.33, p =.04, \eta _p^2 = 0.18\), for excessiveness. Simple main effects indicated that White Raised Dots boxes were significantly perceived less excessive than when combined with Purple (\(p <.05\)).
Finally, a significant main effect of Unboxing was also found for ordinariness, \(F(2, 60) = 5.81, p =.005, \eta _p^2 = 0.16\), and excessiveness, \(F(2, 60) = 9.55, p <.001, \eta _p^2 = 0.24\). Post hoc tests indicated that Snail-Fold received significantly lower scores on perceived ordinariness (\(p <.05\)), while Lift-Off received significantly lower excessiveness ratings than Snail-Fold and Slide-and-Tilt (\(p <.05\)).
Price expectation and willingness to pay
The mixed-design ANOVA on participants’ price expectation for the chocolate revealed a significant main effect of Unboxing, \(F(2, 60) = 4.43, p =.01, \eta _p^2 = 0.13\). Post hoc pairwise comparisons revealed that Snail-Fold was associated with significantly higher price expectation than the Slide-and-Tilt box (\(p <.05\)). Additionally, a significant interaction was found between Scent and Texture, \(F(2, 30) = 4.59, p =.01, \eta _p^2 = 0.23\). Post hoc tests indicated that when scent was absent, chocolates inside a Raised Dots box elicited significantly higher price expectation than those in a Smooth box (\(p <.05\)). However, when Scent was present, the Smooth texture box received significantly higher prices than in the Scent-absent condition (\(p <.05\)).
Price expectations and WTP across all 36 conditions. Filled circles indicate significantly higher values than the market price ($2.50), unfilled circles indicate significantly lower values, and gray circles denote no significant difference from the market price (indicated by the dashed horizontal line). Error bars represent 95% confidence intervals.
A similar trend was observed for WTP, where a significant interaction was found between Scent and Texture, \(F(2, 30) = 6.12, p =.006, \eta _p^2 = 0.29\). Post hoc tests indicated that when scent was absent, chocolates inside a Raised Dots box elicited significantly higher WTP than those in a Smooth box (\(p <.05\)), while when Scent was present, the Smooth texture received significantly higher WTP than in the Scent-absent condition (\(p <.05\)). Additionally, an interaction between Scent and Unboxing was found, \(F(2, 60) = 3.25, p =.04, \eta _p^2 = 0.10\). Simple main effects revealed that when Scent was present, WTP for Snail-Fold chocolate boxes was significantly higher than the two other types of unboxing.
Moreover, a series of one-sample t-tests were conducted to compare participants’ price expectations and WTP to the market price of the chocolate ($2.50). When scent was present, chocolates in Raised Dots and Embossed boxes were generally undervalued: both price expectations and WTP were significantly lower than the market price across most conditions. For the Smooth texture, price expectations were significantly higher for Lift-Off and Snail-Fold boxes, but significantly lower for Slide-and-Tilt boxes. In the scent-absent condition, both price expectations and WTP were significantly higher than the market price for Raised Dots boxes. For Embossed boxes, price expectations were significantly higher only for the Purple Lift-Off box, while both Snail-Fold and Slide-and-Tilt boxes in White elicited significantly lower price expectations and WTP. Lastly, for Smooth texture, both price expectations and WTP were significantly lower than the market price across all conditions (Fig. 7).
Purchase intent & luxury perception
A reliability analysis was conducted to assess the internal consistency of the Purchase Intention scale. The analysis yielded a high Cronbach’s alpha (\(\alpha = 0.96\)), indicating strong reliability. Participants who would like to try and buy the chocolate would also recommend it to a friend or buy it as a gift. Consequently, a composite score for Purchase Intention was computed by averaging responses across these items. The mixed ANOVA on Purchase Intention revealed a significant effect of Scent, \(F(1, 30) = 10.51, p =.003, \eta _p^2 = 0.26\), with chocolates in the Scent-present condition receiving higher purchase intention scores compared to the Scent-absent condition, \(p <.05\).
A mixed-design ANOVA was conducted to examine how Scent, Color, Unboxing, Texture, and semantic descriptors of Luxury (Chic, Exclusive, Everyday, Average) influenced participants’ luxury ratings. The analysis revealed a significant main effect of Scent, \(F(1, 30) = 11.69, p =.002, \eta _p^2 =.28\), and a significant main effect of Luxury descriptor, \(F(3, 90) = 7.96, p <.001, \eta _p^2 =.21\). Post hoc comparisons showed that chocolates were rated as significantly (\(p <.05\)) more Chic than Everyday or Average. Furthermore, ratings for all descriptors were significantly lower in the absence of scent than in its presence.
Emotional experience
A mixed-design ANOVA was conducted to investigate the influence of packaging features on emotional responses using the PrEmo scale. A significant main effect of Emotion was observed, \(F(13, 390) = 22.91, p <.001, \eta _p^2 =.43\). Additionally, a significant Color \(\times\) Texture interaction also emerged, \(F(2, 30) = 3.98, p =.029, \eta _p^2 =.21\). To further explore this interaction, simple main effects analyses were conducted. The effect of color was statistically significant for the Embossed Pattern texture, \(F(1, 30) = 5.08, p =.048\) and approached significance for Raised Dots texture, \(F(1, 30) = 4.06, p =.072\). The spider charts shown in Fig. 8 illustrate that the average ratings of Admiration, Joy, and Desire were significantly higher for the White color in the Embossed Pattern texture condition, whereas Admiration, Joy, and Pride were significantly higher for the Purple color in the Raised Dots texture condition.
PrEmo responses for the 14 emotions for each texture (Smooth, Raised Dots, and Embossed) per color (White and Purple).
Post hoc comparisons following the significant main effect of Emotion revealed that positive emotions such as Admiration, Joy, Desire, Pride, Hope, Fascination, and Satisfaction were consistently rated higher than negative emotions, including Sadness, Fear, Anger, Shame, Boredom, Disgust, and Contempt (all \(p <.05\)). Among positive emotions, Desire was rated significantly higher than Admiration (\(p =.007\)), and Hope was higher than Joy (\(p =.012\)). No significant differences were found among the negative emotions themselves, suggesting that they were perceived with similar intensity. Overall, emotional responses reflected a clear separation between positive and negative affective states, with more intense reactions to positive emotions.
Post-study questionnaire
About 60% of participants expressed a general preference for stronger and more intense chocolate flavors, while only 28% reported liking mild flavors; the remainder were neutral. Regarding the study environment, the majority of participants described the setting positively, using terms such as relaxing, quiet, and calm. Several participants reflected on the unexpected influence of multisensory cues on their taste perception and overall experience. One participant observed, “This experiment is very interesting because the different packages allow one to expect a type of taste...” Others emphasized how the Slide-and-Tilt interaction impacted their impressions: “Favorite was the purple box with two horizontal sliding doors […] made it feel like the chocolate was worth more,” and “The slider one was really cool, beautiful packaging that I would like to gift someone.” Speaking about the Embossed Pattern texture, one participant noted, “I really liked the packaging that had multiple folds, but that seems a bit too much for a single piece.” Additional comments pointed to the addition of scent in the room: “There was no internal wrapping of the chocolate, [so] the paper smell was very noticeable and maybe a little distracting.” Together, these reflections underscore how sensory and interactive attributes of packaging subtly shaped participants’ expectations, flavor perception, and overall engagement with the product.
Discussion
This study investigated how multisensory packaging—manipulating color, texture, ambient scent, and unboxing interaction—shapes consumer perception, emotion, and economic judgments for chocolate consumption. The results indicate that packaging features operate jointly rather than in isolation, with unboxing mechanics, surface micro-geometry, and olfactory context each contributing to how the product is appraised before and during tasting.
Unboxing interaction significantly influenced both box attractiveness and participants’ subjective experience. The Snail-Fold box was consistently rated more attractive than the Slide-and-Tilt box and was associated with higher perceived price and willingness to pay, with differences on the Interaction Vocabulary scales (e.g., slow–fast, stepwise–fluent, direct–mediated, apparent–covered) further showing that opening sequences were not experienced as interchangeable but carried distinct meanings, consistent with prior work linking structural transformations to perceived quality and satisfaction18,44,45. A plausible interpretation is that temporally structured actions provide sequential evidence about care and luxury; in predictive processing terms8,11, such sequences can sharpen expectations and reduce uncertainty during interaction.
Color and texture combinations also produced differential effects across affective and sensory evaluations. Purple in conjunction with Raised Dots texture enhanced positive emotions (e.g., Admiration, Pride), while White produced more favorable responses in the Embossed Pattern texture condition. These outcomes are consistent with prior findings that higher brightness/saturation elevate arousal and perceived product size23,26 and that texture congruence can enhance taste and hedonic value28,39. They also align with crossmodal correspondence accounts in which visual and haptic cues carry learned mappings to taste and quality expectations6, complementing established color effects in consumer judgment.
A key interaction on box attractiveness—Color \(\times\) Scent \(\times\) Texture–suggests that the absence of color (White) translated into appeal differently depending on surface micro-geometry and the presence of chocolate odor. In particular, White–Smooth–with minimal visual/tactile stimulation–was penalized in the absence of scent, but this penalty disappeared when the ambient chocolate odor was present. This pattern is consistent with the idea that a congruent olfactory cue adds diagnostic information when unimodal evidence is weak, thereby stabilizing appraisal; when texture already contributes salient information (Raised Dots, Embossed), the incremental gain from scent is smaller. Such behavior aligns with principles of multisensory integration–especially “inverse effectiveness,” whereby crossmodal benefits are larger when individual cues are less effective–and with crossmodal correspondence accounts linking visual/tactile cues to taste and quality expectations5,6. Within predictive frameworks, convergent cues can increase the precision of priors and yield more confident judgments8,11. Notably, the present design varied cues but did not isolate “congruence” as an independent factor, so these mechanisms should be read as theory-consistent accounts of the observed interaction.
Scent altered texture and hedonic judgments in a direction consistent with “too much of a good thing.” It increased perceived flavor intensity across several combinations but simultaneously lowered smoothness, overall liking, and willingness to taste another piece. Although scent can elevate arousal and engagement40,43, it may also increase sensory stimulation to a level that becomes less pleasant—an effect consistent with the concept of hedonic overload. In our setting, the ambient chocolate odor likely amplified arousal and salience (raising intensity) while pushing the experience past the hedonic optimum (reducing smoothness and liking). This interpretation aligns with the inverted-U relationship between odor intensity and pleasantness 20. A complementary possibility is “expectation–outcome mismatch”: a salient chocolate odor may set priors for a sweeter/creamier profile; if the tasted product does not fully match—due to the presence of scent, prediction error can depress hedonic appraisals. Notably, even as immediate liking fell, scent increased luxury ratings and purchase intention, suggesting that olfactory cues can signal premiumness independently of hedonic comfort. Future work should time-lock and control odor delivery to locate the pleasantness optimum and distinguish overload from mismatch mechanisms.
Flavor results (e.g., caramel, sweetness) shifted with the Scent \(\times\) Texture context: “caramel” and “sweetness” were endorsed more often in Scent-absent/Raised Dots and less often in Scent-present/Smooth. Perceived flavor arises from integrated gustatory, olfactory (orthonasal and retronasal), and oral-somatosensory inputs15,16,17. Two mechanisms are plausible. First, tactile–taste correspondences can bias expectation: pronounced micro-geometry (Raised Dots) may signal a richer, “indulgent” profile, increasing the likelihood of endorsing caramel/sweet notes when a strong orthonasal cue is absent. Second, mixture suppression and attentional capture can shift labels when a salient ambient chocolate odor is present–participants may focus on the generic “chocolate” category or experience reduced salience of secondary notes (e.g., caramel).
Texture effects were robust across multiple outcomes. Raised Dots yielded higher WTP and price expectations (especially without scent) and were associated with lexicon terms such as “Guilty” (suggestive of indulgence), whereas Embossed Pattern textures attracted higher excessiveness ratings and “Bored” in the lexicon—consistent with the risk of overpackaging. These findings align with research showing that haptic qualities such as roughness/weight modulate naturalness, intensity, luxury, and willingness to pay, especially when package–product cues are perceived as congruent28,35,36,38,39. The economic valuation results, however, should be interpreted with caution. Because the same chocolate was presented across all conditions, differences in price expectations and WTP reflect inferences and anchoring on packaging cues rather than changes in intrinsic product value. As such, these findings represent cue-driven shifts under controlled conditions rather than revealed consumer demand. Future research should use incentive-compatible methods (e.g., BDM auctions, second-price sealed bids)47 and incorporate brand cues and real purchase contexts to test how packaging effects on valuation generalize beyond the lab12,13,46.
Interaction effects underscore that attributes should be considered in combination. For instance, White Slide-and-Tilt with Smooth yielded the lowest taste persistence, as did the Embossed Pattern texture when scent was absent—consistent with the idea that under-specified or mismatched cue sets can dampen sensory enjoyment and perceived fit39. Although the present design varied multiple cues rather than orthogonally manipulating “congruence,” several patterns were coherent with multisensory integration principles (e.g., larger crossmodal benefits when unimodal evidence is weak) and with the proposal that convergent cues increase the precision of perceptual predictions5,6,8,11.
Emotional responses validated that multisensory design elevates affective engagement, with positive emotions rated significantly higher than negative ones. The specific patterns observed—such as increased Joy and Desire in White-Embossed Pattern conditions or Pride in Purple-Raised Dots conditions—mirror prior findings linking color-brightness and tactile complexity to enhanced consumer experience24,32. At the same time, the absence of strong single-word associations for scent and color in the CATA,—despite an overall association for scent–indicates that their emotional influence was subtle and diffuse rather than concentrated on specific descriptors. This suggests that scent and color in this context may modulate background affective tone (valence, arousal, luxury perception) rather than triggering discrete emotion labels. It also reflects the known sensitivity limits of the CATA when descriptors overlap semantically and sample sizes are modest. Future studies could employ larger samples, streamlined lexicons aligned with dimensional affect models, or continuous ratings to capture these more distributed influences.
Nonetheless, several limitations must be acknowledged. The participant sample consisted primarily of university students, limiting the generalizability of the findings. Given that sensory perception and design preferences are shaped by cultural background, age, and socioeconomic status48,49,50, future research could replicate the study using more diverse and stratified samples to strengthen external validity. Furthermore, while ambient scent delivery was effective in generating a consistent olfactory context, it lacks the temporal and spatial specificity of real-world unboxing—for example, when scent is released precisely at the moment of opening. Controlled delivery mechanisms such as embedded scent strips or burst-release technologies would provide more ecologically valid insights into olfactory contributions to product evaluation3,51. In addition, most outcomes relied on self-report instruments, which are susceptible to demand characteristics, anchoring on salient cues, and scale-use idiosyncrasies; complementary behavioral endpoints (e.g., choice persistence, revealed-preference auctions, and consumption) and implicit/forced-choice measures would help triangulate effects. Finally, the study did not include neurophysiological or attentional indices; incorporating eye tracking (gaze allocation, pupillometry) or EEG/fNIRS52,53 could complement subjective evaluations by revealing moment-to-moment engagement with packaging elements. In particular, the role of scent—enhancing luxury perception but reducing liking–may reflect sensory overload or attentional competition (e.g., expectation mismatch versus intensity-driven hedonic change), phenomena best explored through these real-time measurements that can deepen our understanding of how multisensory packaging shapes not only perception and affect but also long-term consumer behavior.
In sum, the data show that (i) unboxing mechanics shape appraisal and the felt dynamics of interaction, (ii) color–texture–scent combinations can shift attractiveness and perceived coherence in patterns consistent with multisensory integration and crossmodal correspondence accounts, and (iii) tactile and olfactory cues bias flavor labelling, intensity, and hedonic judgments as anticipated by multisensory flavor science15,16,17,23,26,28,39. Future studies should also examine how the mechanical dynamics of unboxing interactions influence memory, product trust, and post-purchase behaviors over time. For example, longitudinal design approaches could be put in place to assess whether engaging interactions like the Snail-Fold foster greater brand loyalty or enhance unboxing satisfaction with repeated exposure. Additional paradigms should be designed to locate pleasantness optima, test inverse effectiveness predictions, and manipulate match/mismatch cues. While this study explored three types of box openings, future work could vary interaction complexity or resistance to investigate how physical effort and mechanical feedback govern anticipation and perceived quality44,54.
Methods
Participants
Thirty-six participants (22 females, 13 males, 1 non-binary), aged 18 to 39 (M = 25.56, SD = 5.94), were recruited from Bentley University and were screened for any food or fragrance allergies. All participants provided informed consent before taking part in the experiment and received compensation for their participation. The study was approved by the Bentley University Institutional Review Board (IRB) and was performed in accordance with relevant guidelines and regulations. A post hoc power analysis using G*Power software version 3.1.9.655, showed that the current sample size (\(n = 36\)) had an 84.5% power to detect a small effect size (\(f = 0.28\)) in a within-between repeated-measures ANOVA test (alpha = 0.05, number of groups = 6, number of measures = 6).
Apparatus and stimuli
The paperboard boxes were crafted and designed to incorporate three key sensory attributes: color, texture, and unboxing interaction. Specifically, the design varied across two colors (White and Purple), three textures (Smooth, Raised Dots, and Embossed Pattern), and three types of unboxing interactions (Lift-Off, Snail-Fold, and Slide-and-Tilt), resulting in a total of 18 distinct package variations (see Fig. 9 and Table 3). All boxes in the Raised Dots and Embossed Pattern conditions were fabricated from identical pre-embossed sheet stock purchased as uniform sheets from a craft retailer. Boxes in the Smooth condition were constructed from untextured stock. All sessions were conducted in the same room under identical ambient lighting to minimize illumination-related variation across trials.
The 18 boxes used in this experiment: (Left picture) Top to Down: Snail-Fold, Lift-Off, and Slide-and-Tilt; left to right (White and Purple): Smooth, Raised Dots, and Embossed Pattern. (Right picture) The three boxes in the opened position.
Each box contained a single piece of Compartés sea salt caramel dark chocolate (unit market price $2.50–$2.80 at the time of data collection; see Fig. 9). To manipulate olfaction, a chocolate aroma was introduced into the experimental room using Demeter ‘Dark Chocolate’ cologne: four atomized sprays were released approximately five minutes before the participant’s arrival. No scent was applied directly to the boxes or chocolates; the manipulation was limited to the ambient environment to avoid contaminating the sample and to provide a consistent, low-level aroma during unboxing. Ambient-scent protocols of this kind have been previously used in crossmodal olfaction research56,57.
Questionnaires
To assess how package attributes (Color, Texture, and Scent) and the unboxing interaction influenced participants’ perception of the chocolate, multiple questionnaires were administered: post-task questionnaires to capture participants’ immediate impressions after each trial, and a post-study questionnaire to collect broader data on personal preferences, environmental awareness and individual differences.
Eight post-task questionnaires targeted a specific aspect of the participant’s experience with both the box and the chocolate. A detailed description of all questionnaires, including all response options, is provided in the supplemental materials.
-
Box Attractiveness: was measured using three seven-point semantic differential scales: “not attractive/attractive,” “not beautiful/beautiful,” and “not desirable/desirable”33,39.
-
Unboxing Interaction: was evaluated using the Interaction Vocabulary Scale which consists of eleven pairs: slow-fast, stepwise-fluent, instant-delayed, uniform-diverging, constant-inconstant, mediated-direct, spatial separation-spatial proximity, approximate-precise, gentle-powerful, incidental-targeted, and apparent-covered58,59.
-
Sensory Evaluation: was assessed using a multidimensional questionnaire60, designed to capture participants’ sensory impressions of the chocolate. The questionnaire included nine items evaluating flavor perception, taste intensity, texture attributes (hardness and smoothness), overall liking, taste persistence, and willingness to taste again. Responses were collected using categorical, ordinal, and hedonic rating scales. The ninth item consisted of an emotion lexicon to describe chocolate using the Check-All-That-Apply (CATA) methodology.
-
Product-Box Congruency: was evaluated using six statements on matching, ordinariness, perfection, excessiveness, unity, and fit, rated on a seven-point scale (1 = strongly disagree, 7 = strongly agree)28.
-
Price Expectation and WTP: was measured by asking participants to estimate the market price of the chocolate and specify how much they would personally be willing to pay28.
-
Luxury Perception & Purchase Intent: Luxury was rated using 4 items (everyday, average, chic, and exclusive), while purchase intent was rated using 5 items (trying, buying, recommending, repurchasing, and gifting), both on five-point Likert scale (1 = strongly disagree, 5 = strongly agree)28,61.
-
Emotional Experience: was assessed using the Product Emotion Measurement Instrument (PrEmo)62, a tool that includes 14 cartoon characters (seven positive and seven negative) depicting various emotions.
The post-study questionnaire collected data on individual chocolate preferences and eating habits to account for variations in taste perception. Additionally, a scent awareness question was included to determine whether participants noticed the presence of the chocolate scent in the experimental space.
Procedure
Participants were divided into six experimental groups based on two primary factors: scent condition (Scent-present, Scent-absent) and box texture (Smooth, Raised Dots, Embossed Pattern). Each group consisted of six participants, and all participants completed six trials, experiencing both box colors (White and Purple) and all three unboxing interactions (Lift-Off, Snail-Fold, Slide-and-Tilt). To minimize sequence effects, the order of box presentations (2 Colors \(\times\) 3 Unboxing interactions) was counterbalanced across participants within each texture–scent group. Thus, all participants experienced the six box variations, but the presentation order was systematically rotated to control for order effects.
For groups assigned to the Scent-present condition, the experimental space was prepared by spraying the chocolate-scented cologne four times, five minutes before the participant’s arrival. This ensured even scent diffusion and maintained a consistent olfactory experience throughout the session. Based on pretesting, the scent remained perceptible without wearing off for at least 30 minutes and only began to noticeably diminish after approximately one hour, allowing sufficient time between participants. Participants in the Scent-absent condition completed the experiment in an identical setup without any added fragrance. To avoid any potential olfactory spillover, all Scent-present and Scent-absent sessions were conducted on separate days, with at least one full day in between conditions.
Upon arrival, participants were given hand sanitizer before starting the experiment and interacting with the boxes. During each trial, participants were instructed to observe, touch, and open the box at their own pace before tasting the chocolate inside. To prevent preconceived assumptions, participants were informed that, although the chocolates appeared identical, they might or might not vary in taste across trials. After consuming the chocolate, participants were instructed to drink water to cleanse their palates and complete the post-task questionnaire before moving to the next trial. The average 3–5 minute duration of the post-task questionnaire provided a natural recovery interval before the next tasting and minimized the likelihood of adaptation effects. Upon completing all six trials, participants filled out the post-study questionnaire and were invited to provide any additional comments on their experience.
Data availability
The datasets generated during and analyzed during the current study are available from the corresponding author on reasonable request.
References
Orth, U. R. & Malkewitz, K. Holistic package design and consumer brand impressions. J. Mark. 72, 64–81. https://doi.org/10.1509/jmkg.72.3.64 (2008).
Ambrose, G. & Harris, P. Packaging the Brand: The Relationship Between Packaging Design and Brand Identity (Bloomsbury Publishing, 2017).
Krishna, A. An integrative review of sensory marketing: Engaging the senses to affect perception, judgment and behavior. J. Consum. Psychol. 22, 332–351. https://doi.org/10.1016/j.jcps.2011.08.003 (2012).
Joutsela, M., Latvala, T. & Roto, V. Influence of packaging interaction experience on willingness to pay. Packag. Technol. Sci. 30, 505–523. https://doi.org/10.1002/pts.2236 (2017).
Stein, B. E. & Stanford, T. R. Multisensory integration: Current issues from the perspective of the single neuron. Nat. Rev. Neurosci. 9, 255–266 (2008).
Spence, C. & Deroy, O. How automatic are crossmodal correspondences?. Conscious. Cogn. 22, 245–260 (2013).
Schifferstein, H. N. & Spence, C. Multisensory product experience. In Product Experience 133–161 (Elsevier, 2008). https://doi.org/10.1016/B978-008045089-6.50008-3.
Friston, K. The free-energy principle: A unified brain theory?. Nat. Rev. Neurosci. 11, 127–138 (2010).
Ziat, M., Hayward, V., Chapman, C. E., Ernst, M. O. & Lenay, C. Tactile suppression of displacement. Exp. Brain Res. 206, 299–310 (2010).
de Grosbois, J., Di Luca, M., King, R. & Ziat, M. The predictive perception of dynamic vibrotactile stimuli applied to the fingertip. In 2020 IEEE Haptics Symposium (HAPTICS) 848–853 (IEEE, 2020).
Barrett, L. F. & Simmons, W. K. Interoceptive predictions in the brain. Nat. Rev. Neurosci. 16, 419–429 (2015).
Labrecque, L. I., Patrick, V. M. & Milne, G. R. The marketers’ prismatic palette: A review of color research and future directions. Psychol. Market. 30, 187–202 (2013).
Bortolotti, A. et al. The promise of color in marketing: Use, applications, tips and neuromarketing. Cult. Sci. Colore-Color Cult. Sci. 15, 76–85 (2023).
Bortolotti, A. Exploring crossmodal correspondences through neuromarketing. Cult. Sci. Colore-Color Cult. Sci. 17, 36–44 (2025).
Zampini, M. & Spence, C. The role of auditory cues in modulating the perceived crispness and staleness of potato chips. J. Sens. Stud. 19, 347–363 (2004).
Verhagen, J. V. & Engelen, L. The neurocognitive bases of human multimodal food perception: Sensory integration. Neurosci. Biobehav. Rev. 30, 613–650 (2006).
Auvray, M. & Spence, C. The multisensory perception of flavor. Conscious. Cogn. 17, 1016–1031 (2008).
Bae, J. & Kim, C. First Momentary Unboxing Experience with Aesthetic Interaction (Unpublished Master dissertation, Ulsan National Institute of Science and Technology, 2016).
Bae, J., Self, J. A. & Kim, C. Rich unboxing experiences: Complexity in product packaging and its influence upon product expectations. J. Des. Res. 17, 26–46. https://doi.org/10.1504/JDR.2019.102230 (2019).
Moskowitz, H. R., Dravnieks, A. & Klarman, L. A. Odor intensity and pleasantness for a diverse set of odorants. Percept. Psychophys. 19, 122–128 (1976).
Krishna, A., Cian, L. & Aydinoglu, N. Z. Sensory aspects of package design. J. Retail. 93, 43–54 (2017).
Gunaratne, N. M. et al. Effects of packaging design on sensory liking and willingness to purchase: A study using novel chocolate packaging. Heliyon 5, e01696. https://doi.org/10.1016/j.heliyon.2019.e0169 (2019).
Gorn, G. J., Chattopadhyay, A., Yi, T. & Dahl, D. W. Effects of color as an executional cue in advertising: They’re in the shade. Manage. Sci. 43, 1387–1400 (1997).
Hagtvedt, H. Dark is durable, light is user-friendly: The impact of color lightness on two product attribute judgments. Psychol. Mark. 37, 864–875. https://doi.org/10.1002/mar.21268 (2020).
Rebollar, R., Lidón, I., Serrano, A., Martín, J. & Fernández, M. J. Influence of chewing gum packaging design on consumer expectation and willingness to buy. An analysis of functional, sensory and experience attributes. Food Qual. Preference 162–170. https://doi.org/10.1016/j.foodqual.2011.10.011 (2012-04).
Hagtvedt, H. & Brasel, S. A. Color saturation increases perceived product size. J. Consum. Res. 44, 396–413. https://doi.org/10.1093/jcr/ucx039 (2017).
Romeo-Arroyo, E., Jensen, H., Hunneman, A. & Velasco, C. Assessing the influence of packaging design symmetry, curvature, and mark on the perception of brand premiumness. Int. J. Gastron. Food Sci. 31, 100656. https://doi.org/10.1016/j.ijgfs.2022.100656 (2023).
Schutrups, N. Communicating Through a Congruent Multisensory Packaging Design Master’s thesis (University of Twente, 2018).
Becker, L. Can the Design of Food Packaging Influence the Taste Experience of Its Content? Master’s thesis (University of Twente, 2009).
Becker, L., Van Rompay, T. J., Schifferstein, H. N. & Galetzka, M. Tough package, strong taste: The influence of packaging design on taste impressions and product evaluations. Food Qual. Prefer. 22, 17–23. https://doi.org/10.1016/j.foodqual.2010.06.007 (2011).
Marques Da Rosa, V., Spence, C. & Miletto Tonetto, L. Influences of visual attributes of food packaging on consumer preference and associations with taste and healthiness. Int. J. Consum. Stud. 43, 210–217. https://doi.org/10.1111/ijcs.12500 (2019).
Silvia, P. J. et al. Do people have a thing for bling? Examining aesthetic preferences for shiny objects. Empir. Stud. Arts 36, 101–113 (2018).
Briand Decré, G. & Cloonan, C. A touch of gloss: Haptic perception of packaging and consumers’ reactions. J. Prod. Brand Manag. 28, 117–132. https://doi.org/10.1108/JPBM-05-2017-1472 (2019).
Ziat, M. et al. Haptics for human-computer interaction: From the skin to the brain. Found. Trends Hum.-Comput. Interact. 17, 1–194 (2023).
Labbe, D., Pineau, N. & Martin, N. Food expected naturalness: Impact of visual, tactile and auditory packaging material properties and role of perceptual interactions. Food Qual. Prefer. 27, 170–178. https://doi.org/10.1016/j.foodqual.2012.06.009 (2013).
Piqueras-Fiszman, B. & Spence, C. The influence of the feel of product packaging on the perception of the oral-somatosensory texture of food. Food Qual. Preference https://doi.org/10.1016/j.foodqual.2012.04.002 (2012).
Krishna, A. & Morrin, M. Does touch affect taste? The perceptual transfer of product container haptic cues. J. Consum. Res. 34, 807–818. https://doi.org/10.1086/523286 (2008).
Kampfer, K., Leischnig, A., Ivens, B. S. & Spence, C. Touch-flavor transference: Assessing the effect of packaging weight on gustatory evaluations, desire for food and beverages, and willingness to pay. PLoS ONE 12, e0186121 (2017).
Ferreira, B. M. Packaging texture influences product taste and consumer satisfaction. J. Sens. Stud. 34, e12532. https://doi.org/10.1111/joss.12532 (2019).
Krishna, A., Morrin, M. & Sayin, E. Smellizing cookies and salivating: A focus on olfactory imagery. J. Consum. Res. 41, 18–34 (2014).
Spence, C. & Gallace, A. Multisensory design: Reaching out to touch the consumer. Psychol. Mark. 28, 267–308. https://doi.org/10.1002/mar.20392 (2011).
Spence, C. The multisensory perception of flavour. The Psychologist 23, 720–723 (2010).
Spence, C. Multisensory packaging design. In Integrating the Packaging and Product Experience in Food and Beverages 1–22. https://doi.org/10.1016/B978-0-08-100356-5.00001-2 (Elsevier, 2016).
Li, L. & Cho, D. M. Exploring the impact of unboxing complexity on consumer satisfaction in cosmetic packaging. Korean Soc. Sci. Art 42, 355–370. https://doi.org/10.17548/ksaf.2024.12.30.355 (2024).
Berden, C. Thinking Inside the Box: The Effect of the Unboxing Experience on Positive Affect and Willingness to Share Master’s thesis (University of Twente, 2020).
Petruzzellis, L., Bortolotti, A., Romanazzi, S. & Qumsieh, G. The impact of multisensory cues on experience. assessing the brand role in wine choice. J. Wine Res. 1–19 (2025).
Noussair, C., Robin, S. & Ruffieux, B. Revealing consumers’ willingness-to-pay: A comparison of the bdm mechanism and the vickrey auction. J. Econ. Psychol. 25, 725–741 (2004).
Aslam, M. M. Are you selling the right colour? A cross-cultural review of colour as a marketing cue. J. Mark. Commun. 12, 15–30 (2006).
Lwin, M. O. & Wijaya, M. Do scents evoke the same feelings across cultures?: Exploring the role of emotions. In Sensory Marketing 109–121 (Routledge, 2011).
Ziat, M., Pacic, K., Buentello, I., Varney, J. & Newell, F. N. Tactile perception of randomness: Effect of varying stimulus size and participants age. i-Perception14, 20416695231214954 (2023).
Spence, C. Using ambient scent to enhance well-being in the multisensory built environment. Front. Psychol. 11, 598859 (2020).
Tsalamlal, M. Y., Rizer, W., Martin, J.-C., Ammi, M. & Ziat, M. Affective communication through air jet stimulation: Evidence from event-related potentials. Int. J. Hum.-Comput. Interact. 34, 1157–1168 (2018).
Sethi, T. & Ziat, M. Dark mode vogue: Do light-on-dark displays have measurable benefits to users?. Ergonomics 66, 1814–1828 (2023).
de la Fuente, J., Gustafson, S., Twomey, C. & Bix, L. An affordance-based methodology for package design. Packag. Technol. Sci. 28, 157–171 (2015).
Faul, F., Erdfelder, E., Buchner, A. & Lang, A.-G. Tests for correlation and regression analyses. Statistical power analyses using g* power 3.1. Behav. Res. Methods 41, 1149–1160 (2009).
Capparuccini, O., Berrie, C. P. & Mazzatenta, A. The potential hedonic role of olfaction in sexual selection and its dominance in visual cross-modal interactions. Perception 39, 1322–1329 (2010).
Marinova, R. & Moss, M. The smell of success?-the impact of perfume-gender congruency on ratings of attraction and the halo effect. Adv. Chem. Eng. Sci. 4, 491–502 (2014).
Lenz, E., Diefenbach, S. & Hassenzahl, M. Exploring relationships between interaction attributes and experience. In Proceedings of the 6th International Conference on Designing Pleasurable Products and Interfaces 126–135. https://doi.org/10.1145/2513506.2513520 (ACM, 2013).
Diefenbach, S., Lenz, E. & Hassenzahl, M. An interaction vocabulary. describing the how of interaction. In CHI ’13 Extended Abstracts on Human Factors in Computing Systems 607–612. https://doi.org/10.1145/2468356.2468463 (ACM, 2013).
Gunaratne, T. M. et al. Physiological responses to basic tastes for sensory evaluation of chocolate using biometric techniques. Foods 8, 243. https://doi.org/10.3390/foods8070243 (2019).
Putrevu, S. & Lord, K. R. Comparative and noncomparative advertising: Attitudinal effects under cognitive and affective involvement conditions. J. Advert. 23, 77–91. https://doi.org/10.1080/00913367.1994.10673443 (1994).
Laurans, G. & Desmet, P. M. Developing 14 animated characters for non-verbal self-report of categorical emotions. J. Des. Res. 15, 214–233. https://doi.org/10.1504/JDR.2017.089903 (2017).
Funding
Internal Lab Funding. This research was supported by Business Finland, project MIXER (decision number 3439/31/2023).
Author information
Authors and Affiliations
Contributions
S.X. and M.Z. designed the experiment; S.X., L.Y., and Y.W. conducted the experiment; S.X. and M.Z. analyzed the results. All authors, including R.R., contributed to the writing and/or reviewing of the manuscript.
Corresponding author
Ethics declarations
Competing interests
The authors declare no competing interests.
Additional information
Publisher’s note
Springer Nature remains neutral with regard to jurisdictional claims in published maps and institutional affiliations.
Supplementary Information
Rights and permissions
Open Access This article is licensed under a Creative Commons Attribution-NonCommercial-NoDerivatives 4.0 International License, which permits any non-commercial use, sharing, distribution and reproduction in any medium or format, as long as you give appropriate credit to the original author(s) and the source, provide a link to the Creative Commons licence, and indicate if you modified the licensed material. You do not have permission under this licence to share adapted material derived from this article or parts of it. The images or other third party material in this article are included in the article’s Creative Commons licence, unless indicated otherwise in a credit line to the material. If material is not included in the article’s Creative Commons licence and your intended use is not permitted by statutory regulation or exceeds the permitted use, you will need to obtain permission directly from the copyright holder. To view a copy of this licence, visit http://creativecommons.org/licenses/by-nc-nd/4.0/.
About this article
Cite this article
Xiao, S., Yu, L., Meng, Y. et al. Effects of multisensory packaging on taste perception, emotional responses, and willingness to pay for chocolate. Sci Rep 15, 39085 (2025). https://doi.org/10.1038/s41598-025-24077-6
Received:
Accepted:
Published:
Version of record:
DOI: https://doi.org/10.1038/s41598-025-24077-6











