Abstract
This study aims to develop a tough-hard (LCS/WC-Co) bilayer composite using recycled low-carbon steel (LCS) with WC–Co through conventional powder metallurgy (PM), offering a cost-effective and sustainable route to enhance mechanical performance. Processing parameters like sintering temperature, compaction pressure, and particle size, were optimized to control microstructural development and mechanical behavior. The microstructure results show that the defect-free interfaces, dense layer and strong interfacial bonding strength are achieved at the optimal parameters of 1300 °C, 313 MPa, and 25 μm particle size. Lower sintering temperatures (< 1280 °C) produced porosity and weak adhesion, whereas sintering above 1320 °C led to interfacial cracking. At the interface, mutual diffusion occurred with Fe diffusion into WC–Co and Co migrating into LCS. Concurrently, WC decomposition facilitated the formation of Fe(W) and CoFe intermetallic, together with minor Co₃W₃C and Fe₃W₃C phases. These interfacial reactions provided strong cohesion and enhanced mechanical performance, yielding compressive and tensile interfacial bonding strength of 209 MPa and 44 MPa, with hardness of 150 ± 6 HV for the LCS layer and 660 ± 70 HV for the WC–Co layer.
Introduction
The growing demand for multifunctional composite materials is rising, due to their enhanced flexibility compared to single materials, which combining materials with different properties that can significantly improve the performance and reliability in industrial applications1,2. Driven by the high production costs and inherent brittleness of cemented carbide, research and industry are tracking steel–cemented carbide (LCS/WC-Co) bilayer composite joints as alternatives to conventional WC–Co3. Such composites are engineered to unite the toughness of steel with the outstanding hardness, wear resistance, and thermal resilience of WC–Co carbide4. Cemented tungsten carbide (WC–Co) is commonly used in a wide range of applications such as drilling and cutting tools in the machining industries due to its excellent strength, high thermal stability, corrosion, abrasion and wear resistant property5,6,7. These novel systems aims to combine the ductility and toughness of low carbon steel (LCS)8 with the high hardness, wear resistance, and thermal resilience of WC-Co, thereby expanding their potential industrial applications.
In recent years, various techniques including welding9, tape casting10, hot pressing11, brazing12, and powder metallurgy (PM) have been employed to fabricate multifunctional composite materials. Among them, PM offers a particularly efficient and economical route, as it enables the integration of dissimilar materials while allowing near-net-shape parts13,14. The method consists of three fundamental stages: powder mixing, co-compaction into a porous green compact, and co-sintering, which results in dense and mechanically sound component exhibiting the desired functional properties15. However, joining metals and ceramics presents significant challenges owing to the substantial mismatch in coefficients of thermal expansion (CTE), melting points, and shrinkage rates between the two materials. While metals shrink by ~ 6% during sintering, ceramics shrink only ~ 1%, leading to interfacial stress and cracks either during sintering or cooling. These effects promote delamination and weaken the integrity of laminated composites such as iron–WC systems16,17.
Resent research indicates that controlling sintering temperature is essential for strong metal–ceramic bonds. Boonyongmaneerat and Schuh18 found that increased densification initially enhances adhesion in W/Al₂O₃ bilayers, but exceeding a certain density can lead to excessive shrinkage differences and then weakens the inherent strength of their bond. Using powder metallurgy, the optimal cohesion was achieved at 1280 °C following 1080 °C pre-sintering19. Gustafson20 identified 1180–1330 °C as the suitable range for WC/Fe systems, while Pascal et al.21 reported effective steel/cemented carbide bilayer formation at 1280 °C with minimal shrinkage mismatch.
Hence, careful selection and monitoring of the co-sintering temperature are essential to achieve desirable properties and high-quality sintered bilayer compacts. For instance, Thomazic et al.22 found that densification in cemented carbide/steel bilayers was governed by carbon content, temperature, and time, whereas pressure and heating rate were insignificant, and full densification was only achieved beyond 1290 °C. Also, Ojo-Kupoluyi et al.23 investigated WC–Fe–C/Fe–W–C bilayers prepared by PM, highlighting the effects of carbon content under sintering conditions of 1290–1295 °C. However, the strength and integrity of co-sintered multilayers are strongly influenced by powder composition and sintering conditions, where inadequate control may result in defects such as mismatch, fracture, cracking, delamination, or the formation of unwanted phases24,25.
Recycling clean metallic chips also enhances sustainability by reducing raw material use. Recycled low-carbon steel (LCS) was selected as it offers economic and environmental benefits while maintaining metallurgical characteristics comparable to common LCS. This choice avoids the high cost of producing or purchasing steel powders, providing a more sustainable alternative26,27,28,29. Although submicron to medium-grained WC–Co with plate-like morphologies has been extensively studied, coarse-grained WC–Co and recycled LCS remain underexplored despite their importance for optimizing these materials. These materials require higher sintering temperatures for densification and refinement, yet little is known about how processing conditions influence their microstructure, cohesion, and mechanical performance in bilayer composites.
Therefore, this study aims to fabricates recycled LCS/WC–Co bilayer composites using conventional powder metallurgy and examines their interfacial adhesion under varied processing conditions. The effects of particle size, compaction pressure, and sintering temperature on density, shrinkage mismatch, and bonding strength are systematically evaluated. Microstructural and phase analyses using OM, SEM–EDX and XRD confirm the interface quality, while optimized parameters yield bilayers with enhanced interfacial bonding strength, tailored hardness, and reduced shrinkage mismatch. The work further discusses the mechanisms governing LCS/WC–Co interface formation.
Materials and methods
Materials
Bi-metallic specimens were produced with a recycled low-carbon steel (LCS) substrate and a WC–12% Co composite overlay. Waste LCS chips obtained from CNC machining were processed into powders (< 125 μm) using the Fullenwider method30, consisting of chemical cleaning, crushing, and mechanical ball milling, followed by sieving into three size fractions. WC–12% Co powder (grade YG-12) was supplied by NILCCo., Egypt, and underwent ball milling and sieving. Both LCS and WC powders were milled under an argon atmosphere to avoid oxidation, employing a 5:1 ball-to-powder ratio. Milling durations were 30 h for LCS and 12 h for WC, at 300 rpm. Figure 1 illustrates the original LCS chips and SEM micrographs of the prepared powders, with corresponding chemical compositions given in Table 1.
Conversion of CNC-machined waste chips into fine powders for use in the base layer substrates: (a) initial waste metal chips, (b) SEM micrograph of recycled LCS powder, and (c) SEM micrograph ofobtained WC–12%Co powder.
Specimen fabrication
Bi-metallic LCS/WC–12%Co materials were fabricated using the conventional powder metallurgy (PM) route, chosen for its cost-effectiveness, simplicity (powder preparation, mixing, compaction, and sintering), and ability to produce near-net-shape components31. A 1 wt% paraffin wax binder was incorporated into both powders and heated to 100 °C to enhance compaction. Bilayer green compacts were prepared by hydraulic pressing under pressures of 208, 260, and 313 MPa to optimize both green density and interfacial adhesion. The compaction procedures and the produced bilayer specimens are depicted in Fig. 2, following the method reported in32. The compacted bilayer specimens were sintered in a vacuum furnace (MTI XD-1400MT). According to literature, the powder sintering temperature is typically 0.7–0.9 of the melting point of the composite constituents33. Considering the difference in sintering ranges between LCS (1100–1300 °C)34 and WC–Co (1300–1500 °C)35, sintering was conducted between 1260 °C and 1340 °C to investigate bonding quality. The heating cycle included three key stages: (i) paraffin binder removal at 250 °C, (ii) transformation of the LCS from a BCC to FCC phase at 730°C36, and (iii) The onset of intermediate solid-state sintering occurs around 1100 °C. At this stage, enhanced diffusion and particle rearrangement, promoting grain growth and densification37.
(a) Schematic diagram of the co-compaction LCS/WC-Co procedures, and (b) Final compacted LCS/WC-Co bilayer specimen and sintering in a vacuum furnace.
Bonding during sintering was governed by a transient liquid phase (TLP) process, wherein molten cobalt reacted with WC to generate a temporary interfacial liquid layer. This layer promoted diffusion and improved bonding with the LCS substrate38. After the onset of TLP bonding, the specimens were subjected to isothermal sintering for 1 h, followed by gradual cooling within the furnace. The heating schedule is displayed in Fig. 3.
The heating cycle of sintering process for the compacted samples.
Accordingly, this study examined three key parameters: particle size, compaction pressure, and sintering temperature. These factors were selected to evaluate their impact on the properties of the bilayer composites, as illustrated in Table 2. To optimize the experimental design, Taguchi’s L15 orthogonal array39 was employed, allowing efficient assessment with a limited number of trials. The detailed processing conditions for the fifteen specimens are presented in Table 3.
Physical measurements and examinations
Relative density, porosity ratio, and shrinkage mismatch are key factors in assessing sintering performance, as they influence the final properties of the samples.
Relative density
Specimen density was measured by the Archimedes method (ASTM C-20/87). The true (actual) density was calculated from Eq. (1) and relative density from Eq. (2), indicating sinterability and densification.
where;\(\:{{\rho}}_{\text{t}\text{h}}\:\:\:\text{i}\text{s}\:\text{t}\text{h}\text{e}\:\text{t}\text{h}\text{e}\text{o}\text{r}\text{e}\text{t}\text{i}\text{c}\text{a}\text{l}\:\text{d}\text{e}\text{n}\text{s}\text{i}\text{t}\text{y}\:\text{i}\text{n}\:\text{a}\text{l}\text{l}\:\text{l}\text{a}\text{y}\text{e}\text{r}\text{s},\:\)
\(\:\text{a}\text{n}\text{d}\:\text{c}\text{a}\text{l}\text{c}\text{u}\text{l}\text{a}\text{t}\text{e}\text{d}\:\text{f}\text{r}\text{o}\text{m}\:\text{r}\text{u}\text{l}\text{e}\:\text{o}\text{f}\:\text{m}\text{i}\text{x}\text{t}\text{u}\text{r}\text{e},\:{{\rho}}_{\text{t}\text{h}}=\:{\Sigma\:}\:\left({\rho}\text{i}\:\text{*}\:{\text{M}}_{\text{f}\text{i}}\right)\)\(\:{{\rho}}_{\text{i}}\:\:\:\:\:\:\text{i}\text{s}\:\text{t}\text{h}\text{e}\text{o}\text{r}\text{e}\text{t}\text{i}\text{c}\text{a}\text{l}\:\text{d}\text{e}\text{n}\text{s}\text{i}\text{t}\text{y}\:\text{f}\text{o}\text{r}\:\text{o}\text{n}\text{e}\:\text{l}\text{a}\text{y}\text{e}\text{r}\:,\:{{\rho}}_{\text{i}}=\frac{1}{{\sum}\:\left[\:\frac{\text{W}\text{i}\:{\%}}{{{\rho}}_{\text{e}}\text{}\text{i}}\:\right]}\)
\(\:{\text{m}}_{\text{i}}\:\:\:\:\text{i}\text{s}\:\text{m}\text{a}\text{s}\text{s}\:\text{o}\text{f}\:\text{o}\text{n}\text{e}\:\text{l}\text{a}\text{y}\text{e}\text{r}\:\:\:\:\:\)and, \(\:{\text{m}}_{\text{t}\text{o}\text{t}}\:\:\:\:\text{i}\text{s}\:\text{t}\text{o}\text{t}\text{a}\text{l}\:\text{m}\text{a}\text{s}\text{s}\:\text{o}\text{f}\:\text{c}\text{o}\text{m}\text{p}\text{o}\text{s}\text{i}\text{t}\text{e}.\)
Porosity percentage (voids content)
The porosity ratio, reflecting sintering quality and densification, is obtained from Eq. (3)
where; \(\:{\text{W}}_{\text{s}}\:\:\)is weight of sample in air (gm), \(\:{\text{W}}_{\text{d}}\) is weight of dry sample (gm), and \(\:{\text{W}}_{\text{i}}\) is weight of sample in water (gm).
Shrinkage volume mismatch
Sintering causes dimensional shrinkage due to particle rearrangement and densification, influenced by powder nature, size, and shape. Height (H) and diameter (D) were measured before and after sintering using a digital Vernier caliper (0.02 mm accuracy). Shrinkage anisotropy (A), from Eq. (4), reflects directional variation: A = 0 indicates uniform shrinkage; positive means radial > axial; negative means axial > radial. Radial Shrinkage Difference (RSD %), calculated from Eqs. (5–6), compares steel and carbide layers. A high RSD signals strong mismatch, leading to interfacial stress and possible defects like cracks or delamination.
Where, (ΔD/Do) is relative shrinkage in the radial direction, and (ΔH/Ho) is relative shrinkage in the height (axial) direction.
Microstructure examinations
Bilayer interfaces were examined after preparing specimens via EDM cutting, grinding, polishing, and Murakami etching (10 wt% KOH + K₃Fe(CN)₆)32. The microstructures of bilayers and diffusion-bonded joints were examined by Optical Microscope (BX41M-LED) with software OLYMPUS Stream Essentials 2.1. Scanning electron microscope (SEM, JEDL- JSM 5400LV) equipped with an energy-dispersive X-ray spectrometry (EDX) and XRD examination is applied to obtain the intermetallic compounds (IMCs) and chemical composition.
Mechanical properties characterizations
Hardness test
Hardness was measured using Vickers tester (OMPTA/HV-30) per ASTM E384. A diamond pyramid indenter (136°) was applied with a 10 kgf load for 15 s. Indentation diagonals (d1, d2) were measured, with five tests per bilayer surface averaged. The hardness value was determined using Eq. (7).
Where, F = Load in kgf, d = Arithmetic means of the two diagonals, d1 and d2 in mm. Which can be simplified into the equation: \(\:HV=\frac{1.85\:F\:}{{d}^{2}}\)
Diametrical compressive test
The diametrical test examined LCS/WC–Co bilayer adhesion and fracture mechanics via load–displacement analysis40,41,42. Tests were run on a Universal Ibertest Machine (TESTCOM-100) per ASTM D3967-08, t/D = 0.3, crosshead speed 0.1 mm/min (Fig. 4a). Compressive (σc) and tensile (σt) strengths were obtained using Eqs. (8, 9) using the stress analysis framework described in43,44 and illustrated in Fig. 4(b). The tensile strength came from the failure load/circumference ratio, while the compressive strength was determined using the same applied load perpendicular to the flattened surface, with width (b) obtained from Eq. (10), assuming that the flattened thickness remained constant45.
(a) Enlargement of fixed specimen in universal tensile machine, (b) a schematic diagram of diametrical compression testing method (Brazilian test) before and after loading, and (c) the bilayer fractured into two halves upon completion of the test.
where, \(\:\text{P}\) is the applied load at bonding failure, \(\:\text{t}\) is the thickness of the disk, \(\:\text{r}\) is the radius of disk, and \(\:\delta\:r\) is measured radial deformation.
Results and discussions
Fifteen (LCS/WC-12%Co) bilayer disk specimens were fabricated by PM based on Taguchi design, with variations in particle size, compaction pressure and sintering temperature. By visual inspection, specimens exhibiting complete sintering and strong interfacial bonding were selected for further testing. The sintered samples, arranged in order of increasing temperature consistent with Table 3, are shown in Fig. 5.
Sintered bilayered samples at different manufacturing parameters, as described in Table 3.
At 1260 °C (Fig. 5a), the WC-Co overlays showed cracks and incomplete densification, indicating that the sintering temperature was insufficient. It is important to note that the peak sintering temperature of 1260 °C remained below the melting point of cobalt. As Petersson46 reported, the solidus and liquidus of WC-12%Co are 1285 °C and 1327 °C, respectively, meaning that the reaction becomes thermodynamically favorable only at higher temperatures.
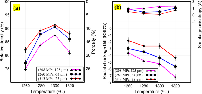
Effect of sintering temperature, particle size and applied pressure on: (a) The relative density, (b) Shrinkage mismatch.
In contrast, at 1340 °C the interface between the WC-12%Co layer and the LCS substrate showed a visible gap with no metallurgical bonding, as illustrated in Fig. 5(e). Excessive heat likely caused partial melting of LCS, volumetric swelling and layer separation, which hindered neck growth and diffusion, promoting crack formation21. Additionally, differential shrinkage from densification mismatch and thermal expansion generated tensile stresses during cooling, further intensifying interfacial cracking14.
Most specimens exhibited excellent bonding, particularly those sintered in the 1280–1320 °C range, as shown in Fig. 5(b–d). In this range, the layers compacted into a single cohesive unit due to Fe diffusion into WC and Co diffusion into LCS, forming a strong metallurgical bond which is further confirmed by SEM and EDX analyses. In contrast, specimens sintered at 1260 °C and 1340 °C [Fig. 5(a, e)] were excluded. Therefore, only specimens Sp4–Sp12 [Fig. 5(b–d)] were selected for full characterization of density, shrinkage, hardness, and diametrical compression tests.
Optical microscopic investigation
Figure 6 presents optical micrographs of the LCS/WC–Co bilayer samples, with focus on the interface region under varying sintering conditions. In Fig. 6(a), specimens Sp4–Sp6 (sintered at 1280 °C) exhibit interfacial voids due to insufficient WC–Co densification and limited material diffusion; the largest gap appears in Sp4 and diminishes through Sp5 to Sp6 correlating with decreasing the WC particle size and increasing the compacting pressure. In Fig. 6(b), samples Sp7–Sp9 (sintered at 1300 °C) show markedly improved bonding: only Sp7 fabricated with the largest particles (125 μm) and lowest pressure (208 MPa) retains a visible gap, while pore prevalence diminishes in Sp8 and Sp9 as the particle size decreases and pressure increases. This enhancement reflects the optimal sintering temperature’s promotion of neck growth at the interface. Conversely, samples Sp10–Sp12 sintered at 1320 °C reveal some interfacial cracking, which intensifies with the larger particle sizes and lower pressures (Fig. 6c). These cracks arise from two principal factors: (i) increased differential shrinkage and residual stresses due to the mismatch in coefficients of thermal expansion between Fe and WC, which inhibit stress relaxation during cooling18,47; and (ii) partial melting of impurities in the recycled iron, leading to layer separation Overall, the highest interfacial adhesion was achieved in Sp9 (25 μm particles, 313 MPa, 1300 °C), where the combination of fine WC grains and high compaction promoted extensive diffusion, strong interlocking, and effective surface contact, resulting in maximum bond integrity at the interface48.
Optical images of the interface between two layers for samples at (a) 1280 ᵒC, (b) 1300 ᵒC and (c) 1320 ᵒC sintering temperatures.
Relative density and porosity
Figure 7(a) illustrates the influence of processing parameters on the relative density of LCS/WC–Co bilayers. Two main trends are evident. First, relative density increases as the sintering temperature rises from 1260 °C to 1300 °C. Below 1280 °C, the Co binder remains largely solid, restricting particle rearrangement and pore elimination. At 1300 °C, partial melting of Co enhances neck growth and diffusion, producing maximum densities (~ 88% at 208 MPa, ~ 90% at 260 MPa, and ~ 92% at 313 MPa). This effect is mirrored by the inverse porosity axis, which shows minimal porosity (~ 8% at 1300 °C, 313 MPa/25 µm). Nonetheless, full densification of WC–Co is not reached, in agreement with Su49, who noted that coarse-grained WC–Co composites require higher sintering temperatures. Second, an increase in sintering temperature to 1320 °C causes a reduction in relative density across all specimens. This decline is linked to thermal stresses generated by mismatched coefficients of thermal expansion (CTE) between the layers, producing swelling, interfacial delamination, and microcracking. Optical microscopy (Fig. 6c) confirms pore re-opening, which lowers bulk density. In contrast, higher compaction pressure and finer LCS/WC grain sizes consistently enhanced densification at all temperatures. Finer powders provided greater surface area for diffusion, while elevated green density promoted pore elimination. Thus, 1300 °C, combined with fine particles and high compaction pressure, is identified as the optimal condition for achieving sufficient densification and robust interfacial bonding in LCS/WC–Co bilayers.
Shrinkage mismatch
Figure 7(b) shows the influence of sintering temperature, particle size, and applied pressure on the shrinkage of the sintered bilayer samples. It was observed that smaller particle sizes initiate the reduced shrinkage, especially at the lower sintering temperature of 1260 °C. The differential shrinkage at temperature of 1280 °C is almost like that of sintered at 1300 °C; however, the higher temperature (1300 °C) improved interfacial cohesion without significant liquid phase infiltration, on account of reducing shrinkage mismatch of bilayers. As the temperature increases, the radial shrinkage difference (RSD) also increases. This behavior is primarily attributed to the mismatch in CTE between LCS and the WC–Co layer. LCS exhibits greater thermal expansion under heat due to its lower thermal stability, whereas WC–Co remains more dimensionally stable17. Furthermore, the calculated shrinkage anisotropy (A) at the value near to zero indicates that samples sintered at 1300 °C exhibit the most compatible and uniform shrinkage of two layers in the radial and axial directions.
We deduce that the optimized processing parameters (25 μm particle size, 313 MPa compaction pressure, and sintering at 1300 °C) effectively reduced shrinkage mismatch, resulting in a dense bilayer with improved interfacial bonding between the two layers.
XRD examination
Figure 8 shows the XRD analysis of the bilayer material of sample 9, which is considered the best, in terms of density and interfacial bonding. The result reveals significant phase transformations resulting from interfacial diffusion during the sintering process. The dominant phase identified is iron tungsten Fe(W)50, indicating extensive diffusion between the Fe-based layer and tungsten carbide, generally described as part of the Fe–W system known to form through interdiffusion and phase interactions between the two layers18,19,20,21. Additionally, a substantial amount of CoFe intermetallic compound (IMC) was detected, suggesting strong interactions between the cobalt binder and iron matrix. Notably, the original WC phase confirms that a significant portion of tungsten carbide was consumed in the formation of new phases. Minor phases such as iron tungsten carbide (Fe₃W₃C)51 and cobalt tungsten carbide (Co₃W₃C)51, commonly referred to as η-phases, further support the occurrence of complex solid-state reactions at the interface. Although such transformations can improve interfacial adhesion, they inevitably bring about a considerable loss of hardness, as the intrinsically hard WC phase is replaced by comparatively softer intermetallic phases. This observation is consistent with the measured decrease in the hardness of WC layer and the corresponding increase in hardness of LCS substrate in the bilayer specimens. The findings underscore the inherent trade-off between interfacial bonding strength and overall mechanical performance in such composite systems.
XRD spectrum of the bilayered (LCS/WC-Co) for Sp. 9 sintered at 1300 °C.
SEM and EDX scan
In Fig. 9(a), SEM micrographs illustrate the LCS/WC–Co bilayer composite fabricated from fine powders (sub-25 μm) under 313 MPa compaction and sintered at 1300 °C. The polished cross-section reveals three distinct interface zones. The magnified image of region II (Fig. 9b) highlights a transition layer formed through atomic interdiffusion and solid-state reactions. XRD confirms the generation of Fe₃W₃C intermetallic compounds and a CoFe solid solution. The reaction zone appears as a thin dark band without visible cracks or voids, evidencing strong metallurgical bonding under the optimized sintering conditions. These findings demonstrate that enhanced diffusion and interfacial reactions, promoted by the sintering temperature, are responsible for the improved bonding strength of the joint.
SEM microstructure of bimetallic composite Sp. 9 sintered at 1300 °C: (a) Overview of WC-Co/LCS interface; (b) Enlarged view of region II; (c) Enlarged view of region I; (d) Enlarged with mag. at 4000×view of region III.
SEM of region I (Fig. 9c) shows a typical cemented carbide microstructure, where the bright WC grains are surrounded by ductile Co binder, which consolidates the microstructure and impedes the crack propagation. Residual porosity near the free surface indicates incomplete densification at 1300 °C, requiring temperatures of ≥ 1350 °C for full sintering52. Nonetheless, the enhanced densification is observed just above the interface area due to interdiffusion of Fe and Co, which significantly enhances the local densification. Thereby reinforcing the cohesion of WC–Co composite. Region III (Fig. 9d) depicts the LCS substrate, presenting a dual-phase ferrite–pearlite structure. As shown, the bright ferritic regions alternate with darker pearlite, which composed of ferrite and cementite lamellae. Such a microstructure is highly sensitive to processing and heat treatment. The overall SEM analysis confirms the defect-free interfacial bonding, with Fe and Co diffusion driving the reaction-layer formation and ensuring the excellent structural integrity under the tested conditions (1300 °C, 313 MPa, sub-25 μm powders).
The EDX line scan (Fig. 10a) reveals pronounced mutual diffusion, with W and Co diffuse downward into the steel substrate, while Fe migrates upward into the WC–Co layer. This interdiffusion, activated by the thermal energy of sintering, occurs as atoms overcome the lattice energy barriers and migrate via established diffusion mechanisms. Considering the atomic radii of W (137 pm), Fe (126 pm), Co (125 pm), and C (70 pm), the larger atoms (W, Fe, Co) primarily diffuse through a vacancy mechanism, whereas the smaller C atoms migrate interstitially. The full-area EDX spectrum (Fig. 10b) confirmed the presence of Fe (48.35 wt%), W (42.97 wt%), Co (3.56 wt%), and C (5.12 wt%) in the scanned region, reflecting a chemically mixed zone likely resulting from interfacial reactions during sintering. The presence of these elements in significant proportions suggests the formation of intermetallic compounds and complex carbides, in agreement with the XRD findings. Together, these results confirm the occurrence of strong elemental interdiffusion and the development of a diffusion based bonding mechanism at the interface, therby contributing to the mechanical integrity of the composite.
EDX of bimetallic composite Sp. 9 through interface region: (a) line scan; (b) EDX of full area.
Hardness test
Figure 11(a) presents the hardness values of the outer surfaces of LCS substrate and WC-Co overlayer in the sintered bilayer composites. As seen, a gradual increase in hardness values with rising sintering temperature is evident in both layers. At lower temperatures, the inadequate densification of WC–Co layer results in porosity and voids with lowering the hardness values. Conversely, the higher sintering temperatures enhance densification, refine the microstructure, and strengthen the interfacial adhesion, while also promoting the favorable interlayer reactions35. Nonetheless, the sintering temperature must be precisely controlled to optimize bonding while preventing LCS layer melting or structural compromise. Hardness measurements revealed a strong dependence on particle size, with specimens fabricated from 25 μm particles at 313 MPa showing the highest values. This behavior follows the Hall–Petch relationship, where finer grains and improved densification enhance hardness53.
Average hardness values: (a) All bilayer specimens on the surface of layers (WC-12%Co) and LCS at processing parameters; (b) Hardness distribution along the cross-section of bilayer samples at 1300°C.
As shown in Fig. 11(b), the hardness distribution across the bilayer increases gradually from the LCS substrate to the WC–Co overlayer, confirming that the thin WC coating enhances the surface hardness of LCS. This gradient also reflects the toughness contrast, with the WC–Co side exhibiting higher hardness but greater brittleness, while the LCS side shows lower hardness consistent with its higher toughness.
Under optimized conditions (25 μm/313 MPa, 1300 °C), hardness reached 110 HV for pure LCS and 800 HV for WC–Co. With the WC overlay, the LCS surface hardness increased to 140 HV (27% rise) due to interlayer interactions, while the WC layer hardness decreased by 20% because of Fe diffusion and WC consumption, as confirmed by XRD (Fig. 8) showing Fe(W) and CoFe phases. These transformations reduce WC–Co hardness, consistent with the principle that coarse WC grains and higher cobalt content lower hardness but enhance toughness54.
Diametrical compressive test
Figure 12 presents the load–displacement curves obtained from the diametrical compression test of the bilayer specimens. At the initial stage, a linear response is observed, corresponding to elastic deformation, until a distinct inflection point indicates the onset of interfacial cracking. This abrupt drop in load represents the failure of the interfacial bond and is utilized to evaluate bonding strength. Beyond this stage, the curve becomes nonlinear as cracks extend along the interface, ultimately resulting in delamination and tensile failure. The inset of Fig. 12(a) highlights the load–displacement curves up to the initiation of interfacial cracks between the two layers at different sintering temperatures, with detailed separation illustrated in Fig. 12(b-d). Two key findings emerge from these results. Firstly, specimens sintered at 1300 °C exhibited the highest compressive strength, followed by those at 1280 °C, while the lowest values were recorded at 1320 °C. This behavior is explained by improved interfacial bonding, as confirmed by optical and microstructural analyses, along with the highest densification in the 1300 °C samples. Secondly, compressive strength was observed to decrease with increasing particle size and lower compaction pressure. This reduction is linked to the presence of pores and voids that act as stress concentrators, serving as crack initiation sites. Furthermore, microstructural evaluation confirmed that larger particle sizes (125 μm and 63 μm) were associated with weaker interfacial adhesion, particularly at the bonding interface.
(a) Output load – displacement curve of diametrical compressive test for all samples, start of crack initiation at the bilayer interface at: (b) 1280 ᵒC, (c) 1300 ᵒC and (d)1320 ᵒC.
Figure 13 shows the compressive and tensile bonding strengths from the diametrical compression test, highlighting the bonding performance at the LCS/WC–Co interface. Specimens sintered at 1300 °C achieved the highest values due to strong interfacial bonds formed by interdiffusion and new reaction phases, while those at 1320 °C exhibited the lowest values because of partial melting, crack formation, and thermal mismatch induced stresses. In all cases, the compressive bonding strength exceeded the tensile bonding strength, owing to higher localized stresses under compression45.
Interface bonding strength obtained from diametrical compression tests.
After testing, all specimens showed a uniform failure pattern, with the WC overlayer detaching from the LCS substrate and fracturing into two halves, as shown in Fig. 4(c). This confirms the validity of the testing procedure and indicates that the tensile stresses specifically reflect the measuring interfacial bonding and cohesion strength at the LCS/WC–Co interface41. Compared with previous studies41,55,56,57, the present work identifies optimum processing at 25 μm/313 MPa/1300 °C, producing a dense bilayer with strong interfacial bonding. As shown in Table 4, the achieved bonding strengths are comparable to reported values on par with, or in some cases exceed, those previously reported despite differences in composition and conditions, while the slightly lower hardness can be attributed to the distinct microstructural features of our samples, indicating improved toughness.
Conclusions
This work developed the recycled LCS/WC–12%Co bilayer composites by optimizing sintering temperature, particle size, and compaction pressure to improve hardness and interfacial bonding strength while modifying thermal mismatch. The major findings are summarized as follows:
-
1.
The optimum processing parameters were identified at 1300 °C sintering temperature, 313 MPa compaction pressure, and 25 μm particle size, providing superior interfacial bonding strength and mechanical integrity.
-
2.
Microstructural observations demonstrated poor adhesion at 1260 °C due to insufficient densification, and reduced bonding strength at 1340 °C caused by excessive sintering.
-
3.
The density increased steadily up to 1300 °C and then declined at 1320 °C with maximum densification occurring at 313 MPa under 25 μm particle size.
-
4.
Hardness measurements confirmed the improvements with decreasing particle size and increasing sintering temperature. Specifically, the LCS substrate hardness increased from 110 HV to 150 ± 6 HV through diffusion-driven phase formation, while the WC–Co layer reached 660 ± 70 HV, slightly below the theoretical maximum.
-
5.
Specimens processed under optimal conditions (1300 °C, 313 MPa, 25 μm) achieved compressive and tensile bonding strengths of 209 MPa and 44 MPa, respectively. Conversely, specimens fabricated at 1320 °C, 208 MPa, and 125 μm exhibited minimal bonding strengths of 54 MPa and 12.6 MPa due to thermal degradation and coarse particle effects.
Data availability
All data generated or analyzed during this study are included in the present article. Derived data supporting the findings of this study are available from the corresponding author upon request.
References
Hasan, M., Zhao, J., Huang, Z., Wei, D. & Jiang, Z. Analysis and characterisation of WC-10Co and AISI 4340 steel bimetal composite produced by powder–solid diffusion bonding. Int. J. Adv. Manuf. Technol. 103, 3247–3263 (2019).
Zhong, Z., Hinoki, T., Nozawa, T., Park, Y. H. & Kohyama, A. Microstructure and mechanical properties of diffusion bonded joints between tungsten and F82H steel using a titanium interlayer. J. Alloys Compd. 489, 545–551 (2010).
Moreira, A. B., Ribeiro, L. M. M., Lacerda, P., Pinto, A. M. P. & Vieira, M. F. A study on a cast steel reinforced with WC–metal matrix composite. Mater. (Basel). 15, 1–11 (2022).
Hasan, M. et al. Microstructural evaluation of WC and steel dissimilar bilayered composite obtained by spark plasma sintering. Int. J. Adv. Manuf. Technol. 111, 2405–2418 (2020).
Kanishka, K. & Acherjee, B. Revolutionizing manufacturing: A comprehensive overview of additive manufacturing processes, materials, developments, and challenges. J. Manuf. Process. 107, 574–619 (2023).
Rajaram, S., Balaji, N. S., Alwetaishi, M. & Krishnan, S. Experimental investigation of influence of age hardening temperature and cooling medium on tribological behaviour of aluminium/tungsten carbide metal matrix composite. Sci. Rep. 15, 1–17 (2025).
Liu, X. et al. Complexions in WC-Co cemented carbides. Acta Mater. 149, 164–178 (2018).
Thomazic, A., Pascal, C. & Chaix, J. M. Interface reactivity and induced phenomena during sintering in a model steel/cemented carbide bimaterial. Adv. Eng. Mater. 13, 594–598 (2011).
Li, H. et al. Enhancing the reliability of laser welded-brazed aluminum/stainless steel joints via laser-chemical hybrid surface texturing. Thin-Walled Struct. 199, 111780 (2024).
Agarkova, E. A. et al. Bilayered anode supports for planar solid oxide fuel cells: fabrication and electrochemical performance. Mater. Lett. 283, 128752 (2021).
Wang, Y., Li, J. & Yue, X. Microstructure and properties of bilayered B4C-based composites prepared by hot-pressing. Ceram. Int. 50, 22805–22816 (2024).
Fang, M., Liu, B., Wang, Y., Yang, Z. & Wang, Y. Interfacial microstructure and mechanical properties of joints between ZrO2 ceramic and 316 stainless steel brazed using Ag–Cu–In–Ti filler. Vacuum 218, 112668 (2023).
German, R. M., Heaney, D. F. & Johnson, J. L. Bi-material components using powder injection molding: Densification, shape complexity, and performance attributes. Adv. Powder Metall. Part. Mater. – 2005, Proc. 2005 Int. Conf. Powder Metall. Part. Mater. PowderMet 2005 1, 41–52 (2005).
Petersson, A. & Ågren, J. Sintering shrinkage of WC-Co materials with different compositions. Int. J. Refract. Met. Hard Mater. 23, 258–266 (2005).
Dourandish, M. & Simchi, A. Study the sintering behavior of nanocrystalline 3Y-TZP/430L stainless-steel composite layers for co-powder injection molding. J. Mater. Sci. 44, 1264–1274 (2009).
Aravind et al. Aravind Fabrication of functionally graded composite material using powder metallurgy route, an overview. Int. J. Mech. Prod. Eng. Res. Dev. 7, 135–146 (2017).
Merrill, I. G. B. et al. (12) United States Patent. 2, (2015).
Boonyongmaneerat, Y. & Schuh, C. A. Contributions to the interfacial adhesion in co-sintered bilayers. Metall. Mater. Trans. Phys. Metall. Mater. Sci. 37, 1435–1442 (2006).
Pascal, C., Chaix, J. M., Doré, F. & Allibert, C. H. Design of multimaterial processed by powder metallurgy: processing of a (steel/cemented carbides) bilayer material. J. Mater. Process. Technol. 209, 1254–1261 (2009).
Gustafson, P. A thermodynamic evaluation of the C-Fe-W system. Metall. Trans. A. 18, 175–188 (1987).
Pascal, C., Chaix, J. M., Dutt, A., Lay, S. & Allibert, C. H. Elaboration of (Steel/Cemented Carbide) multimaterial by powder metallurgy. Mater. Sci. Forum. 534–536, 1529–1532 (2007).
Thomazic, A., Pascal, C. & Chaix, J. M. Fabrication of (cemented carbides/steel) bilayered materials by powder metallurgy. in Materials Science Forum vols 631–632 239–244Trans Tech Publications Ltd, (2010).
Ojo-Kupoluyi, O. J., Tahir, S. M., Hanim, M. A. A., Anuar, M. S. & Dele-Afolabi, T. T. Investigating the effect of sintering temperature on the microstructure and hardness of cemented tungsten carbide/steel bilayer. in IOP Conference Series: Materials Science and Engineering vol. 469 012020Institute of Physics Publishing, (2019).
Pascal, C., Thomazic, A., Antoni-Zdziobek, A. & Chaix, J. M. Co-sintering and microstructural characterization of steel/cobalt base alloy bimaterials. J. Mater. Sci. 47, 1875–1886 (2012).
Johnson, J. L., Tan, L. K., Suri, P. & German, R. M. Design guidelines for processing bi-material components via powder-injection molding. Jom 55, 30–34 (2003).
Björkman, B. & Samuelsson, C. Recycling of steel. Handb. Recycl. State-of-the-art pract. Anal. Sci. 65–83. https://doi.org/10.1016/B978-0-12-396459-5.00006-4 (2014).
Batista, C. D., Fernandes, A. A. M., das, N., de Vieira, P., Emadinia, O. & M. T. F. & From machining chips to Raw material for powder metallurgy—a review. Mater. (Basel). 14, 5432 (2021).
Wei, L. K. et al. Producing metal powder from machining chips using ball milling process: a review. Materials (Basel) 16(13), 4635 (2023).
Simon, L. et al. Recycling of contaminated metallic chip based on eco-efficiency and eco-effectiveness approaches. J. Clean. Prod. 153, 417–424 (2017).
Fullenwider, B., Kiani, P., Schoenung, J. M. & Ma, K. Two-stage ball milling of recycled machining chips to create an alternative feedstock powder for metal additive manufacturing. Powder Technol. 342, 562–571 (2019).
Eessaa, A. K., Elkady, O. A. & El-Shamy, A. M. Powder metallurgy as a perfect technique for Preparation of Cu–TiO2 composite by identifying their microstructure and optical properties. Sci. Rep. 13, 1–12 (2023).
Pascal, C., Thomazic, A., Antoni-Zdziobek, A. & Chaix, J. M. Pressureless co-sintering behaviour of a steel/cemented carbide component: model bimaterial. Int. J. Mater. Res. 103, 296–308 (2012).
Ankur, Bharti, A., Prasad, D., Kumar, N. & Saxena, K. K. A Re-investigation: Effect of various parameter on mechanical properties of copper matrix composite fabricated by powder metallurgy. Mater. Today Proc. 45, 4595–4600 (2021).
Pandya, S., Ramakrishna, K. S., Raja Annamalai, A. & Upadhyaya, A. Effect of sintering temperature on the mechanical and electrochemical properties of austenitic stainless steel. Mater. Sci. Eng. A. 556, 271–277 (2012).
Nulu, D. V. S. P., Alekhya, M. N. V., Prasanthi, P. P., Kumar, K. M. & Kumar, G. E. V. R. Preparation and characterization of tungsten carbide WC/Cobalt composites by powder metallurgy method. Int. J. Eng. Adv. Technol. 9, 2165–2168 (2019).
Pascal, C., Thomazic, A., Antoni-Zdziobek, A. & Chaix, J. Investigation on pressureless cosintering behaviour of Hadfield steel/cemented carbide bimaterials. Powder Metall. 55, 110–117 (2012).
Oliver, C. J. R. G., Álvarez, E. A. & García, J. L. Kinetics of densification and grain growth in ultrafine WC-Co composites. Int. J. Refract. Met. Hard Mater. 59, 121–131 (2016).
Cai, X., Xu, Y., Liu, M., Cao, B. & Li, X. Characterization of iron-based surface multilayer-structured tungsten carbide composite layers by EBSD and FIB/TEM. Surf Coat. Technol 403, 26365 (2020).
Taguchi, G. Taguchi methods: design of experiments. Quality engineering series, 4, Published by ASI Press, Japanese Standards Association, book (1993)
Carrera, C. A. et al. Dentin-composite bond strength measurement using the Brazilian disk test. J. Dent. 52, 37–44 (2016).
Ojo-kupoluyi, O. J. et al. Role of carbon addition on the microstructure and mechanical properties of cemented tungsten carbide and steel bilayer. Int. J. Adv. Manuf. Technol. 92, 3363–3371 (2017).
Sarikaya, R. Application of diametral compression test to evaluation of dentin-adhesive interface bond strength. (2017).
Teil, M. et al. Manufacturing of starch-based materials using ultrasonic compression moulding (UCM): toward a structural application. Heliyon 7, e06482 (2021).
Faisal, N. H. et al. Diametral compression test method to analyse relative surface stresses in thermally sprayed coated and uncoated circular disc specimens. Surf. Coat. Technol. 357, 497–514 (2019).
Reddy, S., Mukunda, P. G., Aithal, K. & Shetty, P. B. Strength evaluation of flake and spheroidal graphite cast irons using diametral compression test. J. Mater. Res. Technol. 6, 96–100 (2017).
Petersson, A. Sintering shrinkage of WC-Co and WC-(Ti,W)C-Co materials with different carbon contents. Int. J. Refract. Met. Hard Mater. 22, 211–217 (2004).
Rajabi, J., Sulong, A. B., Muhamad, N. & Raza, M. R. Powder compaction of bimaterials: stainless steel 316L and nanocrystalline Yttria stabilised zirconia. Mater. Technol. 30, 313–320 (2015).
Chang, S. Y. & Sun, C. C. Effect of particle size on interfacial bonding strength of bilayer tablets. Powder Technol. 356, 97–101 (2019).
Su, W., Luo, W., Lu, J., Zeng, S. & Zhou, W. Coarse-grained WC–6Co hardmetals with dual-scale and plate-like WC structures fabricated by convention powder metallurgy process. Int. J. Refract. Met. Hard Mater. 125, 106886 (2024).
Nicolenco, A. et al. Mapping of magnetic and mechanical properties of Fe-W alloys electrodeposited from Fe(III)-based glycolate-citrate bath. Mater. Des. 139, 429–438 (2018).
Suetin, D. V., Shein, I. R. & Ivanovskii, A. L. Structural, electronic and magnetic properties of η carbides (Fe3W3C, Fe6W6C, Co3W3C and Co6W6C) from first principles calculations. Phys. B Condens. Matter. 404, 3544–3549 (2009).
Chang, S. H. & Chen, S. L. Characterization and properties of sintered WC-Co and WC-Ni-Fe hard metal alloys. J. Alloys Compd. 585, 407–413 (2014).
Kang, K. et al. Effects and correlation analysis of the sintering process on the properties of ultrafine-grained WC-Co reinforced by high-entropy alloys. J. Alloys Compd. 1023, 180162 (2025).
Dvornik, M. I. et al. Grain contiguity of tungsten carbide and hardness of nanostructured and ultrafine-grained WC–(Co)–VC–Cr3C2 cemented carbides fabricated by spark plasma and liquid phase sintering. Izv. Vuzov Poroshkovaya Metall. I Funktsional’nye Pokrytiya. 19, 51–61 (2025).
Qu, D., Zhou, Z., Tan, J. & Aktaa, J. Characterization of W/Fe functionally graded materials manufactured by resistance sintering under ultra-high pressure. Fusion Eng. Des. 91, 21–24 (2015).
Feng, K., Chen, H., Xiong, J. & Guo, Z. Investigation on diffusion bonding of functionally graded WC-Co/Ni composite and stainless steel. Mater. Des. 46, 622–626 (2013).
Sánchez, M., de Prado, J., Izaguirre, I., Galatanu, A. & Ureña, A. Exploring FAST technique for diffusion bonding of tungsten to EUROFERE97 in DEMO first wall. Materials (Basel) 17(11), 2624 (2024).
Acknowledgements
Open access funding was provided in cooperation with the Egyptian Knowledge Bank (EKB).
Funding
Open access funding provided by The Science, Technology & Innovation Funding Authority (STDF) in cooperation with The Egyptian Knowledge Bank (EKB).
Author information
Authors and Affiliations
Contributions
Mostafa. M. Abdelhaleem: experimentation, data curation, and original draft composition. Omayma A. Elkady: experimentation and methodology. A. A. El-Daly: manuscript revision M. A. Hassan: main supervision. Mahmoud Atta: experimental guidance and revision. All authors read and approved of the final manuscript.
Corresponding author
Ethics declarations
Competing interests
The authors declare no competing interests.
Ethics approval
This study complies with the guidelines of the Committee on Publication Ethics (COPE). It does not involve any experiments on human participants or animals.
Additional information
Publisher’s note
Springer Nature remains neutral with regard to jurisdictional claims in published maps and institutional affiliations.
Rights and permissions
Open Access This article is licensed under a Creative Commons Attribution 4.0 International License, which permits use, sharing, adaptation, distribution and reproduction in any medium or format, as long as you give appropriate credit to the original author(s) and the source, provide a link to the Creative Commons licence, and indicate if changes were made. The images or other third party material in this article are included in the article’s Creative Commons licence, unless indicated otherwise in a credit line to the material. If material is not included in the article’s Creative Commons licence and your intended use is not permitted by statutory regulation or exceeds the permitted use, you will need to obtain permission directly from the copyright holder. To view a copy of this licence, visit http://creativecommons.org/licenses/by/4.0/.
About this article
Cite this article
Abdelhaleem, M., El-Daly, A., Elkady, O. et al. Impact of processing parameters on the interfacial bonding and properties of recycled LCS/WC–Co bilayers developed through powder metallurgy. Sci Rep 16, 9223 (2026). https://doi.org/10.1038/s41598-025-26946-6
Received:
Accepted:
Published:
Version of record:
DOI: https://doi.org/10.1038/s41598-025-26946-6












