Abstract
The phenomenon of surface subsidence in mining areas is closely associated with the mechanical properties of rock movement, which are influenced by the complex diversity of mining geological factors and technical conditions. This study examines the overlying rock of a nearly horizontal coal seam as a case study to elucidate the evolutionary mechanism and fracture mechanics conditions of the overburden structure in goaf areas. The research findings reveal that the maximum principal stress value within the rock support beam is linearly related to the load (q) and Poisson’s ratio (µ), approximately following a quadratic function with the beam length (l), and showing an inverse proportional relationship with the beam height (h). The magnitude and direction of the principal tensile stress depend on the ratio of normal stress to shear stress within the beam, thereby influencing the beam’s failure mode. The span-to-height ratio of the beam impacts the final fracture mode of the rock mass, while the direction of the maximum principal stress within the beam and the internal friction angle of the rock mass are the primary factors influencing the fracture angle of the rock strata. Two types of “stacked beam” structural models are established, along with the corresponding mechanical conditions for failure.
Similar content being viewed by others
Introduction
Surface subsidence is a common consequence of underground mining activities, as it can lead to the fracture of overlying rock structures in the mining area. The study of the evolutionary characteristics of overlying rock structures in goaf areas and their impact on surface subsidence has long been a challenging and significant topic in the field of mining engineering and related disciplines. The load-bearing structures within the overlying rock of goaf areas play a crucial role in constraining the downward movement of the overlying strata. Therefore, establishing a mechanical model for these load-bearing structures is essential for a comprehensive understanding of the evolutionary laws governing the overlying layers in goaf areas1. Throughout the mining process, the fracture, stress release, displacement changes, and surface movement patterns of the lower rock layers are closely associated with the periodic variations of the load-bearing structures. These phenomena persist throughout the entire mining process and can have significant implications for the sustainable utilization of the land above the goaf area.
Numerous hypotheses have been proposed by scholars both domestically and internationally to explain the behavior of overlying rock structures in mining. These theories include the arching theory2, cantilever beam theory3, hinged rock layer theory4, and the Vogt beam structure theory5. Qian et al.1 introduced the “masonry beam” structure theory for goaf foundations and developed a holistic mechanical model for mining areas, along with the introduction of the “key layer” theory. While the literature review catalogues established theories, it offers limited insight into their predictive limitations under specific, critical field conditions6. Song et al.7,8,9,10 introduced the presence of weak interlayers introduces controls on slope stability or tunnel deformation that are poorly represented by homogeneous models, including shear strength reduction, interfacial slip, and differential deformation. In high in-situ stress environments, the models’ oversimplified post-peak behavior and failure to account for stress path dependency and confining pressure effects on rock strength lead to significant deviations from observed behaviors11. The complex interplay of geological and technical factors in mining, however, means that surface subsidence is directly governed by the mechanics of strata movement12. A comprehensive understanding of the principles of strata movement and fracture mechanisms is thus essential to accurately predict these phenomena.
In the study of overburden stability in coal mining, Liu et al.13 introduced a model for calculating the height of the collapse zone, while Lou14 examined the beam–arch binary structure of rock fractures and stress evolution, revealing the influence of thick, hard rock layers on the macro stress field. Wen et al.15 applied the transferring rock beam theory to analyze overlying rock structures in high-extraction panels. Research by Yu et al.16 on shallow coal seams identified asynchronous fracture behavior between key strata and its role in roof arching collapse, clarifying mining stress dynamics in thick bedrock with thin alluvial layers. For steeply inclined seams, Wu et al.17 developed a stress arch shell model with shape equations and stability criteria. Suchowerska et al.18,19 studied stress redistribution in multi-seam supercritical longwall mining, noting anisotropic rock deformation and constraints on horizontal stress. Zou et al.20 employed catastrophe theory to derive instability conditions for roof rock beams under building loads, and Xu et al.21 analytically and experimentally verified the fracture angle of key strata.
These studies collectively indicate that stress field distribution governs overlying rock stability. Under complex conditions such as steep inclination or supercritical mining, accurate shape equations for stress arch shells and interactions between vertical and horizontal stresses are critical. Further investigations include Ren et al.22, who used physical modeling and photogrammetry to analyze strata deformation and creep behavior in goaf areas23,24,25. Zuo et al.26,27,28 proposed a hyperbolic failure pattern and integrated masonry beam theory with surface subsidence models. Nonetheless, the connection between surface subsidence and overburden structural evolution—especially under ultra-high mining heights—requires further clarification. In such contexts, extensive roof collapse and distinct structural behavior of key strata deviate from conventional conditions. Moreover, the post-fracture stability of cantilever key layers, as either vertical beams or through secondary failure, depends on block positioning, immediate roof expansion, and structural-mechanical evolution, warranting deeper mechanistic explanation.
In this study, the researchers aim to address the existing gaps in the understanding of rock layer movement after mining completion, which has implications for the sustainable utilization of mined-out areas. We propose a mechanical model of rock layer fracture, building upon the assumption of plane elasticity and drawing from previous research. The model allows for the quantitative derivation of the expression for the maximum principal stress within the rock beam and identifies the factors that influence fracture. By analyzing the mechanical conditions for the evolution of overlying rock structures, we provide an explanation for the generation mechanism of funnel-shaped overlying rock structures in mined-out areas. we also determine the fracture characteristics and mechanical conditions of stacked beams. To validate the theoretical analysis, the researchers conduct a literature comparison, which helps assess the rationality of their proposed model to some extent. Overall, this study contributes to the understanding of rock layer movement and provides insights into the mechanical conditions and fracture characteristics of overlying rock structures in mining areas.
Key layer theory
The key layer in mining is defined as a hard rock that bears the weight of the overlying rock layers and has the ability to control the deformation and movement of the surrounding strata. It plays a crucial role in maintaining the stability of the underground mining environment. The basal key layer refers to the bottommost key layer, while the main key layer (MKS) refers to the topmost key layer (Fig. 1). To illustrate, let’s assume that the upper rock layers above the basal key layer are denoted as S1, S2, S3, and so on. The basal key layer (S1) and its overlying layers (S2, S3,.) deform synchronously and in a coordinated manner, forming a system of n + 1 layers. In China, the KS (Key Strata) theory has been widely applied in field practices and has undergone validation through experiments1. The determination of rock mass strength parameters and subsequent model calibration are critical for ensuring the reliability of the numerical analysis. The Geological Strength Index (GSI) was quantitatively assessed in the field based on the volumetric joint count (Jv) and joint surface conditions8,9. The intact rock uniaxial compressive strength (UCS) was derived from point load tests performed on core samples. This theory provides a framework for understanding the behavior of key layers and their impact on the stability of the surrounding strata in mining operations.
Schematic representation of the load-transfer mechanisms governed by key layer theory.
All rock layers controlled by the n + 1th rock layer are used as loads to act on the upper part of the nth rock layer, and the calculation formula is as follows: Eq. (1).
In the equation, En represents the elastic modulus of the nth layer of rock above the underlying rock, in MPa; hn represents the thickness of the nth layer of rock above the underlying rock, in meters; γn represents the unit weight of the nth layer of rock above the underlying rock, in kN/m3. When (qn)1 > (qn+1)1, then q = (qn)1, indicating that the influence of the upper n layers on the first layer should be considered1,23,29.
Overlying rock structure evolution mechanism and mechanical conditions
Mechanical analysis of rock stratum beam structure
To derive generalizable conclusions, the overlying rock layer is simplified as a fixed-end beam under the assumptions of homogeneity and continuity30,31. This model is applicable when the roof rock layer remains intact or when the collapsed material does not contact the goaf roof. In this scenario, the beam is supported at both ends by coal and rock pillars, with its middle section suspended. To analyze this configuration, the main body of the mining field rock layer is considered. By utilizing the semi-inverse method, a structural mechanics solution is obtained for a single-span hyperstatic beam with fixed supports at both ends under a uniformly distributed load. In this analysis, the critical section of the beam appears at the upper ends on both sides of the fixed-supported beam. The x-axis is defined in the positive direction of face advancement. The analysis focuses on a unit thickness rock beam in the direction of mining width, which can be approximated as a plane stress problem. Body forces are neglected in this analysis. The height of the beam is represented as h, and the span is 2l.
According to the plane theory of elastic mechanics31,32, assuming that the stress function is φ, the stress function of the beam fixed at both ends can be obtained as formula (2):
According to the deformation coordination function and boundary conditions, the expression of the stress component in the beam body is obtained as Eq. (3):
In the formula, µ is Poisson’s ratio; σx is the stress component in the x-axis direction at any selected node; σy is the stress component corresponding to the y-axis direction; τxy is the shear stress component at the measuring point. According to the first strength theory of materials, the maximum tensile stress σ1 is the direct cause of brittle fracture of materials and has nothing to do with σ2 and σ3. From the relationship between the principal stress and stress components, it can be seen that the expression of the principal stress at any point on the beam is:
The principal stress distribution characteristics within the rock formation can be determined by substituting the stress component (3) into the principal stress expression (4). The location of the maximum tensile stress is influenced by both the span-to-height ratio of the rock beam and the magnitude of the load when subjected to a uniform load from the overlying rock beam. Once the span-to-height ratio exceeds 3, the maximum principal tensile stress is observed at both ends of the upper surface of the beam, as depicted in Fig. 2. It distribution and evolution of maximum principal stress in a fixed-end beam, identifying critical tensile stress zones at the clamped ends that lead to failure as defined by the criterion in Eq. (4).
Maximum principal stress position diagram of fixed beam.
Analysis of the impact of key layer rupture
Section 3.1 reveals a linear relationship between the maximum principal stress at the upper ends of both sides of the fixed beam body and the Poisson’s ratio µ. Specifically, when the ratio of span (l) to height (h) is greater than or equal to 1.5 (l/h ≥ 1.5), the upper end of the fixed beam experiences tension, resulting in the maximum principal stress. The corresponding values of the friction angles in the rock mass at various levels can be found in Table 1, as per the “Engineering Rock Mass Grading Standard” (GBT50218-2014)33.
Equation (8) provides the average value of the friction angle parameter within the rock body at each level. In the absence of key layer breakage, the upper load is transferred to the arch foot through the equilibrium arch. Considering the presence of the free surface in the stope, the end break line of the upper surface of each fixed beam is depicted as illustrated in Fig. 3.
Angle of breaking line on the upper surface of the rock beam at each level.
Figure 3 demonstrates that as the rock mass grade increases, there is an observable increase in the angle between the surface fracture lines and the vertical direction. In situations where the MKS remains intact, the stress structures gradually fracture layer by layer, starting from the basic roof and moving upwards through the upper rock layers. Assuming that factors such as groundwater and specific structural planes are negligible, and considering a gradual increase in rock mass grade from the bottom to the top, a vaulted surface is formed due to the varying fracture angles resulting from the progressive failure of the rock layers, assuming a constant beam height. Consequently, the “internal stress field” undergoes a transition from existence to absence, leading to the gradual extension of the stress-balanced arch in the mining area, as illustrated in Fig. 4.
The broken arch surface of the overlying rock structure when the MKS is not broken.
In the presence of an intact MKS, the rock layers within the stress arch range carry the load from the overlying strata. Consequently, during the development stage of arching, as the rock layers gradually fracture, the fracture pattern of the lower rock layers beneath the MKS takes the form of an inverted funnel. This observed shape aligns with findings reported in various references that have conducted indoor experiments34,35.
Formation mechanism of laminated beam structure
The movement of rock strata is fundamentally driven by the disruption of original rock stress caused by mining activities. This disruption leads to the redistribution of internal stresses within the overlying rock layers, ultimately resulting in the fracture and movement of the roof strata. As the mining face continues to advance, the MKS undergoes fracturing, marking the transition of the overlying rock structure from an arching stage to a non-arching stage. In cases where the thickness of the loose layer above the MKS is small or when dealing with shallowly buried thick coal seams, the fracturing of the MKS gives rise to a masonry beam structure that generates a horizontal restraining force F. This force serves to restrict the movement of the rock strata. Consequently, the cracks propagate directly to the surface, forming an inverted funnel-shaped fracture characteristic within the overlying strata, as depicted in Fig. 5.
Characteristics of overlying rock structure fracture after the MKS is broken.
Simplified geometric rotation is used for mechanical analysis. In Fig. 6, a closely adjacent stacked beam structure is shown, where when the shear force at position I exceeds the frictional force, the neighboring block B will slide downwards.
Schematic diagram of the force of the key block’s geometric rotation.
When the shear force at point I surpasses the frictional force, block B experiences downward sliding. The ultimate condition required to prevent sliding failure, as given by references1, can be expressed as F tanφ ≥ Q. In this equation, F represents the applied force, and Q represents the resistance against sliding.
In the equation, t represents the contact length of the key block, h represents the height of the key block, l1 represents the length of the key block, i represents the ratio of h to l1, θ represents the rotation angle of the key block, and R represents the resistance provided by the collapsed and fragmented strata to block C.
Under the condition of a thick superficial loose layer, the post-failure behavior of the overburden subsequent to the main key stratum (MKS) fracture is illustrated in Fig. 6. The collapse sequence is initiated by the failure of the lowermost geometric rotation body to meet the limit equilibrium condition (5), precipitating a progressive rotational failure upwards through the strata. This process marks a critical mechanical transition: the individual rock blocks are no longer in hinged contact, and a novel “stacked beam” structure is formed (see Model I, Fig. 7(a)). Concurrently, the collapse of the MKS leads to the dissipation of the pre-existing stress arch within the rock mass. This collapse alters the fundamental load-bearing mechanism, causing the superincumbent load to be applied directly onto the newly formed stacked beams, rather than being diverted along the arch. The beams, subjected to this direct vertical load, experience bending-induced fracturing. This failure propagates upwards from the base, driven by the flexural stresses, until it manifests at the surface. The fragmented rock, with its propensity to expand, initially infills the lower cavities. As a result, the continued upward progression of these canted and stacked beams generates a final overburden fracture profile that approximates a hyperbolic curve, as captured in the failure mode of Model I in Fig. 7(b).
Breaking characteristics of model I.
The presence of a thick coal seam introduces a distinct overburden failure mechanism contingent upon the stability of the Main Key Stratum (MKS). Prior to MKS fracture, the failure of subjacent strata generates a significant goaf, yet the classic geometric rotation body (Fig. 6) does not form. Stability is maintained by a compressive stress arch that channels the upper loads towards the arch feet, preventing their direct application to the strata below (Fig. 8a). The rupture of the MKS fundamentally alters the load-transfer mechanism, collapsing the stress arch and imposing the overburden load directly onto a “stacked beam” structure. This structure, comprising the intact overlying strata, responds to the vertical load. When analyzed with appropriate boundary conditions—either as a cantilever or a wedge—it undergoes a brittle, progressive failure. This failure initiates at the base and propagates rapidly upward, culminating either at the surface or in a funnel-shaped shear zone, and is characterized by a distinct stepped surface subsidence, as captured in Model II, Fig. 8b. The following discussion will establish the failure criteria for the MKS that lead to the “misaligned stacked beam” configuration and elucidate the mechanical distinctions between the two described fracture models.
Breaking characteristics of model Ⅱ.
Structural evolution characteristics of “laminated beams”
Failure criterion
After the initial fracture of the rock layer, the mechanical structure of the rock layer above the immediate roof can be approximated as a cantilever beam. When the key layer fractures suddenly, the load path of the upper strata undergoes a change. Based on the derivation formulas in Sect. 3.1 and the analysis of the impact of key layer fracture in Sect. 3.2, it is evident that fractures occur at the end surfaces of each supported beam, and the fracture angle varies depending on the lithology of the rock layer. Assuming the angle between the principal stress and the x-axis is α, Eq. (4) can be utilized to determine:
Combining Eq. (3) with Eq. (6), we get
Taking the coordinates of the midpoint of the two fixed support ends and substituting them into Eq. (7), we get:
According to Eq. (8), it is observed that the directions of the maximum principal stress at the midpoints of the two supported ends are opposite. Considering a Poisson’s ratio (µ) ranging from 0.1 to 0.45 and aspect ratios of the beam body equal to 1, 3, and 10, the range of α is approximately 40.7° to 42.4°, 42.1° to 43.3°, and 44.5° to 44.7°. The direction rotates clockwise along the x-axis, as depicted in Fig. 9 (a). Based on the Mohr-Coulomb failure criterion36, the angle between the fracture surface of the rock and the direction of the maximum principal stress (σ1) can be determined:
In the equation, φ represents the internal friction angle of the rock. Figure 9 (b) illustrates that θ represents the angle between the normal of the fracture surface of the rock and the direction of the maximum principal stress (σ1), while the angle between the other set of fracture surfaces and the maximum principal stress direction is opposite. Hence, the angle between the direction of the fracture line at the section endpoints of the beam body and the positive x-axis can be determined:
With the boundary conditions on the upper surface of the supported beam as σ1 = σy = q and σx = τxy = 0, where σ1 is along the positive y-axis, α = 90°. The angle between the fracture line on the upper surface and the positive x-axis is 45°+φ/2 or 135°-φ/2, as shown in Fig. 9 (c).
(a) Stress state and maximum principal stress direction of the unit within the rock beam; (b) Mohr Coulomb failure criterion for rock mass; (c) Distribution characteristics of broken lines.
The mechanical determination process for compressive-shear failure along the fracture surface in the entire thickness range is as follows: For the model of a beam with embedded supports at both ends, the upper part of the beam at the supported ends (y = - h/2, x = ± l) is in tension. According to Eq. (4), the maximum principal stress is:
According to the Coulomb strength criterion, the angle between the direction of the rock fracture surface and the direction of the maximum principal stress is β, then the stress on the failure surface is:
The shear failure criterion is shown in Fig. 9(b), then the limit span of the key layer rock without shear failure is:
Breaking conditions of model I
Under the conditions of supercritical longwall mining, for isotropic rock layers, it is observed that the maximum horizontal stress is approximately within 10% of the in-situ horizontal stress. When the rock layer fractures, the horizontal stress is released18,19. The primary objective of this study was to establish the fundamental mechanical principles governing the “stacked beam” failure mode under idealized conditions. Introducing the full complexity of hydro-mechanical coupling (groundwater) and anisotropic jointed rock mass behavior at this foundational stage would have introduced an overwhelming number of variables and uncertainties. Given these complexities, we made a conscious decision to develop our initial model based on the assumption of a continuous, homogeneous, and dry rock mass. After the MKS fractures, the change in the load transfer path of the upper strata directly results in a change in the mechanical model of the overlying rock structure. The lower part of the stacked beam body experiences stress concentration first. In this context, we analyze the rock beam with unit thickness directly beneath the lowest immediate roof, having a height of h and a span of L, as depicted in Fig. 10.
Fracture mechanics conditions of model I.
The stress component expression of this structure is as follows (14):
The upper part of the fixed support end of the beam (y = - h/2, x = 0) is in a state of tension. The combined formulas (4), (8), and (12) are the limit of the rock layer below the laminated beam structure without shear failure. The span is:
When a cantilever beam breaks, the fracture line extends vertically along the maximum principal stress trace at the root of the upper surface. As the fracture propagates upward, the load-bearing capacity of the successive layers decreases, leading to a cascading failure mechanism. This phenomenon is often observed in mining or excavation scenarios where the collapse of one layer triggers the failure of the overlying layers, creating a chain reaction of collapse. The increased span of the upper layers contributes to the redistribution of stresses and the transfer of loads, leading to further fractures and collapse.
Breaking conditions of model Ⅱ
After the fracture of the key layer, if the rock layers within the stacked beam body have similar lithology and high overall stiffness, progressive failure occurring layer by layer may not take place. In such a scenario, the stacked beam body can be considered as a single entity, with the upper surface experiencing vertical loading. We will continue to analyze a rock beam of unit thickness in the direction of mining width, taking body forces into consideration. The rock beam has a height of h and a span of l, as illustrated in Fig. 11.
Fracture mechanics conditions of model Ⅱ.
According to the plane theory of elastic mechanics, when considering the stacked beam body as a cantilever beam structure, the derivation of stress components in the wedge-shaped section of the beam body becomes complex due to the presence of the fracture plane angle α37,38. To simplify the analysis, dimensional analysis is employed to assume the form of stress components within the beam body. In Fig. 11, the stress components at any point within the beam body can be divided into two parts: the gravitational component and the surface load q. The gravitational component is proportional to ρg, where ρ represents the density of the material and g denotes the acceleration due to gravity. The maximum principal stress occurs on the lower surface of the beam body and is oriented in the same direction as the positive y-axis:
When the maximum principal stress surpasses the shear strength of the rock, the rock layer can experience either single-slope shear failure or X-shaped conjugate slope shear failure. However, there are certain conditions under which mechanical fracture does not occur. These conditions can be summarized as follows:
It is important to note that the present formulation of Model II is a quasi-static representation and does not account for time-dependent effects, such as rock creep in the fractured rock blocks or the long-term strength degradation of the rock mass. While this approach successfully captures the immediate, catastrophic failure mode leading to stepped subsidence, it implies that the system’s response is instantaneous. In reality, the redistribution of stress and the subsequent deformation of the ‘stacked beam’ structure may evolve over time, especially in rocks prone to visco-plastic behavior. This simplification means that the model predicts the potential and mode of failure immediately after MKS rupture, but not the potential for time-delayed collapse.
Verification of formation conditions for overlying rock structure
Study area
The geographical location of Dianshang Coal Mine Field is situated approximately 2.3 km northeast of the urban area of Gaoping City. The geographic coordinates of the mine field are: 35°48’43"N to 35°49’45"N latitude and 112°55’58"E to 112°57’07"E longitude. Administratively, it falls under the jurisdiction of the Dongcheng Subdistrict Office of Gaoping City, as shown in Fig. 12.
Relationship diagram between study area and Qinshui coalfield scope.
The burial depths of the coal seams within the study area are 78 m, with an average thickness of 4.05 m. The primary mining target is the No. 3 coal seam, extracted employing the full-mechanized longwall mining method along the strike direction. The input parameters for the numerical model were rigorously derived from site-specific field and laboratory data. The Geological Strength Index (GSI) was quantified based on geological mapping and borehole log analysis, which characterized the rock mass as blocky/disturbed with rough but weathered joint surfaces39. The intact uniaxial compressive strength was obtained from point load tests conducted on core samples, following the ISRM suggested method. Based on the composite stratigraphic column of the coal seams within the mined-out area and data collected from the mining site, the physical and mechanical parameters of the rock and soil strata utilized for establishing the numerical model are presented in Table 2.
Deformation characteristics and mechanical structure evolution
As shown in Fig. 13, when the working face advances over a short distance, the overlying strata above the working face can be simplified as a fixed-end beam structure. The maximum bending moment occurs at the upper ends of both clamped sides, representing the most critical cross-section of the beam.
Evolution of overburden deformation characteristics and mechanical structures.
With continuous collapse of strata, the span of the upper rock layer is always smaller than that of the underlying layer, leading the overlying strata to gradually approximate an arch structure (Fig. 13a).
Case 1: Main Key Stratum Intact.
If the arch crown is tangent to or below the main key stratum (Fig. 13b, c), the mechanical structure evolves into an extended superimposed beam-arch structure.
Case 2: Main Key Stratum Fractured.
When the arch crown aligns vertically with the fractured main key stratum and the working face length (L = 2l) does not exceed the vertical height (H) between the main key stratum and the working face (L ≤ H), the collapsed rock masses become recompacted, preserving the superimposed beam-arch structure (Fig. 13d, e).
If L > H, the mechanical structure transitions to a beam-dominated structure. The mechanical structures of overlying rock under varying geometric conditions are classified into two categories: “beam” and “arch” (Fig. 13f).
Verification of similar experimental model
As illustrated in Fig. 14, the deformation characteristics of overlying rock and the evolution of mechanical structures with advancing working face align with the structural variation features of goaf overlying rock described in Sect. 3. Taking the laboratory similar physical simulation model supported by the same foundation project as an example33, this study validates the fracture conditions and evolutionary characteristics of overlying rock structures in goaf under the given engineering geological conditions.
The physical simulation model was established based on the goaf of Dianshang Coal Mine underlying the Shanxi section of Taiyuan-Jiaozuo High-Speed Railway. The lithology and physical-mechanical parameters of strata in the study area were strictly consistent with field conditions. The physical simulation model measured 275 cm × 80 cm × 30 cm (length × width × height), with a geometric similarity constant C = 0.01. The simulated goaf parameters were configured as follows: Burial depth: 69.85 m, Coal seam mining thickness: 4.05 m, Mining length: 155 m, Overburden thickness: 69.85 m, Floor stratum thickness: 10 m.
Formation and validation of overburden structures in the gob area.
As shown in Fig. 14, with the extraction of the coal seam, the immediate roof forms a fixed-end beam structure constrained at both ends. Through-going cracks initially develop at the overburden rupture points once fracture occurs at the clamped ends. Owing to the existence of rock strata fracture angles (θ > 0°), the overburden failure exhibits a trapezoidal pattern.
The numerical simulation results demonstrate excellent agreement with the corresponding physical similarity model test. The maximum subsidence values from the simulation and the test were 4.4485 m and 4.43 m, respectively, with a negligible discrepancy of only 0.01 m. Furthermore, the angle of full subsidence observed in both methods was identical at 56°. These quantitative comparisons confirm the high reliability of the modeled failure mechanism.
Before the collapsed rock mass fully filled the goaf, this process was accompanied by the progressive collapse of strata above the main roof, cyclically propagating upward until a superimposed beam-arch structure emerged in the overburden. Along the strike direction of the working face, this structure evolved periodically through “formation → instability → reformation” sequences. The fracture of the main key stratum (MKS) led to the cessation of horizontal interaction between the two-side rock masses, resulting in the disappearance of the beam-arch structure. Subsequently, the overburden transitioned into a composite structure comprising layered beam structures on both sides and a fragmented accumulation structure in the central zone.
Results and discussion
Analysis of factors affecting structural breakage of rock strata fixed beams
Factors affecting the maximum principal stress in the beam body
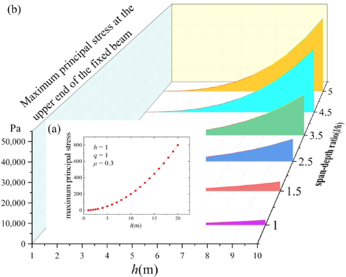
According to Eq. (3), the maximum principal stress within the beam body can be expressed as a function of variables x, y, q, h, l, and µ, as depicted in Fig. 15. In line with Griffith’s strength theory36, brittle failure in rocks occurs due to the occurrence and propagation of fractures under conditions of maximum tensile stress. From Fig. 15, it is evident that the maximum principal stress at the critical section exhibits a linear relationship with the applied load q and the Poisson’s ratio µ. Additionally, it approximately follows a quadratic curve function with respect to the beam length l and an inverse proportional function with respect to the beam height h. By considering the generalized shear span ratio, the magnitude and direction of the principal tensile stress are influenced by the ratio of normal stress to shear stress within the beam. This, in turn, impacts the ultimate failure mode of the beam.
Variation diagram of maximum principal stress at the upper surface end of a fixed beam.
Factors affecting the fracture shape of the beam
The relationship between the maximum principal stress at the end of the upper surface of the fixed beam and the span-to-height ratio under different beam body lengths is plotted in Fig. 16.
(a) The maximum principal stress of the beam changes with the length of the beam; (b) The variation curve of the maximum principal stress of the beam body with the span-to-height ratio.
From Fig. 16(a), it is evident that, under the same load, Poisson’s ratio, and beam height, but varying span-to-height ratios, the maximum principal stress at the end of the upper surface of the supported ends exhibits significant variation, showing a consistent pattern. Furthermore, as the beam height increases, the maximum principal stress at the critical section decreases for the same suspended length, indicating a reduced susceptibility to failure. In Fig. 16(b), it can be observed that when the span-to-height ratio is less than 3, the maximum principal stress at the critical section undergoes minimal changes, leading to vertical tensile fracturing and brittle failure of the beam. However, when the span-to-height ratio is greater than 3 but less than 10, the maximum principal stress at the critical section increases rapidly, approximately following a parabolic function. This increase in stress leads to compressive-shear failure of the beam. On the other hand, when the span-to-height ratio exceeds 10, a linear relationship with the beam’s span-to-height ratio is observed, resulting in inclined tensile fracture of the beam. In summary, the behavior of the maximum principal stress and the corresponding failure modes of the beam are strongly influenced by the span-to-height ratio, may providing valuable insights into the structural response and failure mechanisms of the system.
Fracture characteristics of laminated beams
It is evident that in a cantilever beam structure subjected to a uniformly distributed load, the maximum tensile stress occurs at the end of the upper surface of the supported ends. When the rock layer exceeds its fracture condition, cracks propagate rapidly downward, penetrating through the bottom of the beam, resulting in direct fracture and detachment. Figure 5(b) illustrates the Mohr-Coulomb failure criterion of the rock mass, while Fig. 5(c) depicts the distribution characteristics of the fracture lines. These figures indicate that there will be two sets of fracture surfaces on both sides of the maximum principal stress in the positive y-axis direction. At section A, when the shear force and bending moment reach their maximum values, the end fracture surface of the single-layer cantilever beam will fracture along the red fracture line. The fracture angle of the key layer plays a significant role in influencing the development of subsequent fracture surfaces in the overlying rock structure, as depicted in Fig. 17(a).
Breaking characteristics of model I.
In a single-layer cantilever beam structure subjected to loading, if the end fracture surface of the lowermost cantilever beam in the stacked beam structure fractures along the blue fracture line at section A due to stress concentration, the ultimate span of the overlying rock layer increases instantly, and the fracture will propagate layer by layer in an upward direction. The fracture angle of the rock layer plays a crucial role in influencing the development of subsequent fracture surfaces in the overlying rock structure, which aligns with the descriptions found in references6. When there is a significant thickness of a loose layer above, multiple key layers in the rock mass, or thin coal seams buried at great depths, the fracture propagation process exhibits distinctive characteristics due to the rock’s fragmentation and expansion properties. As the fracture propagates layer by layer upwards, the void spaces get filled, resulting in fracture features depicted in Fig. 17(b). Under such mechanical conditions, the fracture surface takes on the shape of an inverted funnel in the lower part and a funnel shape with a “hyperbolic-like” movement in the upper part, with the vertex approximately located at the fracture position of the key layer. This phenomenon corresponds to similar experimental results described in literature4. It’s important to note that the thickness of the loose layer and its proportion in the overlying rock structure directly influence the shape of the surface movement features. Dai et al.2 conducted an experimental model based on actual mining conditions, and their results demonstrated fracture characteristic lines similar to those shown in Fig. 17(a). The greater the thickness of the loose layer, the larger the range of surface movement. This fracture phenomenon is closely related to the physical and mechanical properties of both the rock and the loose layer media, as well as the conditions of the upper and lower rock layers surrounding the key layer, as illustrated in Fig. 18.
Numerical simulation results of fracture characteristics of Model I.
The fracture line of the rock layer still forms an angle β with the direction of the maximum principal stress. Due to the presence of stress concentration points, the vertical section at the same height continues to experience maximum shear stress and maximum bending moment. Under such conditions, the end fracture surface of the beam fractures along the fracture line as a whole, as illustrated in Fig. 19.
Breaking characteristics of model Ⅱ.
In the case of a large mining height working face, a direct collapse mode of the cantilever beam structure can occur, and the specific collapse mode depends on the position of the fractured blocks below and the expansion factor of the immediate roof6. From the perspective of rock material mechanics analysis20, when considering the stacked beam body without self-weight, the maximum bending moment is present at the upper end of the cantilever beam. The rock mass has weak tensile strength, and fractures occur vertically along the root of the upper surface, with cracks propagating downward in a vertical direction. This describes the mechanical mechanism for the formation of stable vertical beam structures, as described in reference6. However, when considering lateral pressure and self-weight, the maximum stress occurs on the lower surface of the stacked beam structure, and the fracture mode is characterized by upward shear failure along the root of the lower surface, as illustrated in Fig. 20.
Numerical simulation results of fracture characteristics of Model II.
While this study establishes the fundamental mechanical models and elucidates the key mechanisms governing overburden failure and surface subsidence, it is important to acknowledge its limitations to properly contextualize the findings. The present work primarily relies on a quasi-static, mechanical analysis under the assumption of a dry and continuous rock mass. Building upon the foundational knowledge gained here, future research will be directed towards developing a more comprehensive coupled multi-field simulation framework. This framework will integrate the proposed mechanical models with hydraulic processes to investigate the synergistic effects of fluid flow, rock deformation, and dynamic perturbations.
Conclusion
(1) The stress components in the rock layer were derived based on the plane assumption of elasticity. Mechanical expressions were utilized to analyze the fracture characteristics of the rock beam and its influencing factors. It was discovered that the maximum principal stress at the critical section of the beam exhibits a linear relationship with the load q and Poisson’s ratio µ. Additionally, it demonstrates an approximate quadratic function relationship with the beam length and an approximate inverse proportion function relationship with the beam height h. The rock mass fracture modes can be classified into three forms as the span-to-height ratio of the rock beam changes: vertical tensile fracturing brittle failure, compressive-shear failure, and inclined tensile fracture.
(2) The fracture angle of the rock layer is mainly influenced by the direction of the maximum principal stress within the beam and the internal friction angle of the rock mass. Prior to the fracture of the key layer, the trace of the maximum principal stress within the rock mass exhibits an arch-shaped distribution. However, after the key layer fractures, the load transfer path in the upper part undergoes changes. Considering the conditions of mining coal seam thickness and loose layer thickness, a stacked beam structure model is proposed, and a failure criterion for the key layer in this structure is provided.
(3) Two stress models are established for the “stacked beam” structure, outlining the conditions for fracture occurrence. The fracture characteristics of the two structures share similarities. In both single-layer and multi-layer beam structures, fracture occurs at the section where stress concentration is present. However, due to varying thicknesses and stiffness, the fracture mode differs. The single-layer beam primarily experiences compressive-shear brittle failure, while the multi-layer beam predominantly undergoes tensile-shear brittle failure. The fracture angle of the rock layer significantly influences the subsequent fracture surfaces in the overlying rock structure.
Data availability
The data presented in this study are available upon reasonable request from the corresponding author.
References
Qian, M. et al. Mine Pressure and Rock Formation control[M] (China University of Mining and Technology, 2023).
Dai, H. Y. et al. Model study of deformation induced by fully mechanized caving below a Thick loess layer[J]. Int. J. Rock Mech. Min. Sci. 47 (6), 1027–1033. https://doi.org/10.1016/j.ijrmms.2010.06.005 (2010).
Abousleiman, R., Sinha, S. & Walton, G. Analysis of the Historic Bondi Pumping Chamber Case Study Using the Adjusted Voussoir Beam Analog[J] Vol. 56, 6357–6374 (Rock Mechanics and Rock Engineering, 2023).
Dou, L. M. & He, H. Study of OX-F-T Spatial structure evolution of overlying strata in coal Mines[J]. Chin. J. Rock Mechan. Eng. 31 (3), 453–460. https://doi.org/10.1007/s11783-011-0280-z (2012).
Ghabraie, B. et al. Physical modelling of subsidence from sequential extraction of partially overlapping Longwall panels and study of substrata movement characteristics[J]. Int. J. Coal Geol. 140, 71–83. https://doi.org/10.1016/j.coal.2015.01.004 (2015).
Ju, J. & Xu, J. Structural characteristics of key strata and strata behaviour of a fully mechanized Longwall face with 7.0m height chocks[J]. Int. J. Rock Mech. Min. Sci. 58, 46–54. https://doi.org/10.1016/j.ijrmms.2012.09.006 (2013).
Song, L. et al. Advancing the Understanding of infilled joint shear behavior: A review of Modeling, Measurement, and influential factors. Rock. Mech. Rock. Eng. 58 (8), 9265–9295. https://doi.org/10.1007/s00603-025-04559-9 (2025).
Song, L. et al. Competing roughness-infilling interactions drive shear degradation in rock joints: A failure transition framework[J]. Int. J. Rock Mech. Min. Sci. 193, 106167–106167. https://doi.org/10.1016/J.IJRMMS.2025.106167 (2025).
Song, L. et al. Shear band propagation mechanisms and precursory signatures in closely-spaced tunnels under compressive-shear loading: insights from physical modelling and DEM simulation[J]. Tunn. Undergr. Space Technol. Incorporating Trenchless Technol. Res. 168 (P1), 107112–107112. https://doi.org/10.1016/J.TUST.2025.107112 (2026).
Song, L. et al. A back-propagation neural network optimized by genetic algorithm for rock joint roughness evaluation[J]. J. Rock Mech. Geotech. Eng. 17 (5), 3054–3072. https://doi.org/10.1016/J.JRMGE.2024.10.022 (2025).
Song, M. et al. Numerical Simulation of Uniaxial Compressive Strength and Failure Characteristics of Non-Uniform Water-Bearing Sandstone[J]. Materials, 16(19): 6396. DOI: https://doi.org/10.3390/MA16196396. (2023).
Kang, H., Gao, F., Xu, G. & Ren, H. Mechanical behaviors of coal measures and ground control technologies for china’s deep coal mines - A review[J]. J. Rock Mech. Geotech. Eng. 15, 37–65 (2023).
Liu, T. et al. Trapezoidal collapse model to calculate the height of the overburden collapse zone in coal seam mining: an example from guo’jiahe coal Mine, Western China[J]. Energy 256, 124609. https://doi.org/10.1016/j.energy.2022.124609 (2022).
Lou, J. F. Influence mechanism of beam-arch binary structure and strata characteristics on fracture and stress evolution of overlying strata in stope[J]. J. Min. Saf. Eng. 38 (4), 678–686. https://doi.org/10.13545/j.cnki.jmse.2020.0456 (2021).
Wen, Z. J., Tang, J. Q. & Wang, H. B. Study on mechanical model and hydraulic support working state in mining Stope with large mining height[J]. J. China Coal Soc. 2011, 36 (S1): 42–46. https://doi.org/10.13225/jcnki.jccs.2011.s1.019
Yu, L., Fan, Z. Z. & Xu, G. Study on the structure characteristics and ground pressure behavior of overlying strata with shallow buried coal Seam[J]. Adv. Mater. Res. 255–260, 3780–3785. https://doi.org/10.4028/www.scientific.net/AMR.255-260.3780 (2011).
Wu, Y. P. et al. Analysis of surrounding rock macro stress arch-shell of Longwall face in steeply dipping seam mining[J]. J. China Coal Soc. 37 (4), 559–564. https://doi.org/10.13225/j.cnki.jccs.2012.04.014 (2012).
Suchowerska, A. M., Merifield, R. S. & Carter, J. P. Vertical stress changes in multi-seam mining under supercritical Longwall panels - ScienceDirect[J]. Int. J. Rock Mech. Min. Sci. 61, 306–320. https://doi.org/10.1016/j.ijrmms.2013.02.009 (2013).
Suchowerska, A. M., Carter, J. P. & Merifield, R. S. Horizontal stress under supercritical Longwall panels[J]. Int. J. Rock Mech. Min. Sci. 70, 240–251. https://doi.org/10.1016/j.ijrmms.2014.03.009 (2014).
Zou, Y. F. & Chai, H. B. Stability analysis of roof rock beams in Goaf areas under construction loads[J]. J. Coal Sci. 39 (8), 1473–1477. https://doi.org/10.13225/j.cnki.jccs.2014.9023 (2014).
Xu, B. et al. Mechanical derivation and experimental simulation of breaking angle of key strata in overlying strata[J]. J. China Coal Soc. 43 (3), 599–606. https://doi.org/10.13225/j.cnki.jccs.2017.1346 (2018).
Ren, W. et al. Model experimental research on deformation and subsidence characteristics of ground and wall rock due to mining under Thick overlying terrane[J]. Int. J. Rock Mech. Min. Sci. 47 (4), 614–624. https://doi.org/10.1016/j.ijrmms.2009.12.012 (2010).
Ma, Y. et al. Study on the effect of mining height on overburden strata movement in Longwall mining[J]. Int. J. Coal Sci. Technol. 12 (1), 59–59. https://doi.org/10.1007/S40789-025-00809-X (2025).
Zhu, W. et al. Mechanisms behind strong strata behaviour in high Longwall mining face-ends under shallow covers[J]. J. Geophys. Eng. 16 (3), 559–570. https://doi.org/10.1093/jge/gxz027 (2019).
Pu, H., Huang, Y. G. & Chen, R. H. Mechanical analysis for X-O type fracture morphology of Stope roof[J]. J. China Univ. Min. Technol. 40 (6), 835–840. https://doi.org/10.1007/s12583-011-0163-z (2011).
Zuo, J. P., Sun, Y. J. & Qian, M. G. Movement mechanism and analogous hyperbola model of overlying strata with Thick alluvium[J]. J. China Coal Soc. 42 (6), 1372–1379. https://doi.org/10.13225/j.cnki.jccs.2016.1164 (2017).
Zuo, J. et al. Investigation on the inner and outer analogous hyperbola model (AHM) of strata movement[J]. J. China Coal Soc. 46 (2), 333–343. https://doi.org/10.13225/j.cnki.jccs.2020.1254 (2021).
Zuo, J. P. et al. Theoretical and mechanical models of rock strata movement and their prospects[J]. Coal Sci. Technol. 46 (1), 1–1187. https://doi.org/10.13199/j.cnki.cst.2018.01.001 (2018).
He, J. et al. A method for predicting the water-flowing fractured zone height based on an improved key stratum theory[J]. Int. J. Min. Sci. Technol. 33 (1), 61–71. https://doi.org/10.1016/J.IJMST.2022.09.021 (2023).
Qian, M. & Xu, J. Behaviors of strata movement in coal mining[J]. J. China Coal Soc. 44 (4), 973–984. https://doi.org/10.13225/j.cnki.jccs.2019.0337 (2019).
Timoshenko, Sadd, M. H. & Elasticity Theory, Applications, and Numerics (5th ed.) [M]. (Elsevier, 2024).
Spearing, A. J. S. & Kostecki, T. R. Rock Mechanics & Strata Control: Theory, Practice, and Application. [M] (CRC., 2025).
Ministry of Housing and Urban-. Rural Development of the People’s Republic of China. (GBT50218-2014) Engineering Rock Mass Grading Standard[S] (China Planning, 2014).
Luo, J. et al. Research on the surface subsidence characteristics and prediction models caused by coal mining under the reverse fault[J]. Sci. Rep. 14 (1), 25316–25316. https://doi.org/10.1038/S41598-024-75182-X (2024).
Wang, F., Xu, J. & Xie, J. Effects of arch structure in unconsolidated layers on fracture and failure of overlying strata[J]. Int. J. Rock Mech. Min. Sci. 114, 141–152. https://doi.org/10.1016/j.ijrmms.2018.12.016 (2019).
Hohai University, Xu, Z. Y. College Textbook Rock Mechanics[M] (College Textbook Rock Mechanics (Third Edition), 2005).
Wang, K., Li, J. & Jin, Z. Influence of the primary key stratum on surface subsidence during Longwall Mining[J]. Sustainability 14 (22), 15027–15027. https://doi.org/10.3390/SU142215027 (2022).
Wang, M., Zhao, L. & Sun, Q. Stability Control of Overburden and Coal Pillars in the Gob-Side Entry Under Dynamic Pressure[J] Vol. 170, 105490 (International Journal of Rock Mechanics and Mining Sciences, 2023).
Shi, K. P. Dynamic Response Characteristics and Deformation Mechanism of the Foundation in the Goaf of Taijiao high-speed Railway [D] (Henan University of Technology, 2023).
Funding
This research was funded by the National Natural Science Foundation of China (U22A20620), Surveying and mapping Science and Technology “double first-class” project (BZCG202301); Mining environment and disaster Collaborative monitoring coal industry engineering research center open fund (KSXTJC202301).
Author information
Authors and Affiliations
Contributions
Conceptualization, Youfeng Zou and Zijian Wang; methodology, Youfeng Zou and Mingwei Song.; validation, Mingwei Song and Huabin Chai; formal analysis, Zijian Wang and Mingwei Song; resources, Fusheng Chen and Hailin Wang; data curation, Hailin Wang and Fusheng Chen; writing—original draft preparation, Mingwei Song and Zijian Wang; writing—review and editing, Youfeng Zou and Huabin Chai; funding acquisition, Youfeng Zou and Huabin Chai. All authors have read and agreed to the published version of the manuscript.
Corresponding author
Ethics declarations
Competing interests
The authors declare no competing interests.
Additional information
Publisher’s note
Springer Nature remains neutral with regard to jurisdictional claims in published maps and institutional affiliations.
Rights and permissions
Open Access This article is licensed under a Creative Commons Attribution-NonCommercial-NoDerivatives 4.0 International License, which permits any non-commercial use, sharing, distribution and reproduction in any medium or format, as long as you give appropriate credit to the original author(s) and the source, provide a link to the Creative Commons licence, and indicate if you modified the licensed material. You do not have permission under this licence to share adapted material derived from this article or parts of it. The images or other third party material in this article are included in the article’s Creative Commons licence, unless indicated otherwise in a credit line to the material. If material is not included in the article’s Creative Commons licence and your intended use is not permitted by statutory regulation or exceeds the permitted use, you will need to obtain permission directly from the copyright holder. To view a copy of this licence, visit http://creativecommons.org/licenses/by-nc-nd/4.0/.
About this article
Cite this article
Zou, Y., Wang, Z., Song, M. et al. Evolution mechanisms of mining-induced overlying strata structures: a case study in the Qinshui coalfield. Sci Rep 16, 1013 (2026). https://doi.org/10.1038/s41598-025-30728-5
Received:
Accepted:
Published:
Version of record:
DOI: https://doi.org/10.1038/s41598-025-30728-5






















