Abstract
This study investigated the mechanical performance, toughness behavior, failure characteristics, and microstructure of geopolymer-stabilized laterites modified with modified natural rubber latex (MNRL) for application in pavement base and subbase layers. Class C fly ash was used as the primary binder, with MNRL added at a weight% of 0–10% of the dry soil. Unconfined compressive strength (qu), indirect tensile strength (qt), and flexural strength (qf) were evaluated, alongside brittleness index (BI), improvement toughness ratio (ITR), and scanning electron microscopy (SEM). The results showed that while the addition of MNRL reduced peak qu by 20–60%, most mixtures still satisfied subbase (qu > 0.70 MPa) and base (qu > 1.75 MPa) strength criteria. MNRL significantly decreased BI (from 1.00 to as low as 0.03) and increased ITR (up to 6.28), indicating a transition from brittle to ductile failure. SEM analysis confirmed the formation of elastic polymer films that bridge fly ash and soil particles, thereby enhancing matrix cohesion and reducing porosity. The optimal mixture containing 25–30% fly ash and 5–7% MNRL achieved qu values of 1.83–2.64 MPa with improved ductility. The findings confirmed that MNRL effectively enhanced toughness and fracture resistance, making it a promising sustainable additive for laterite stabilization in tropical pavement infrastructure.
Similar content being viewed by others
Introduction
Cement stabilization has been widely used to improve the engineering properties of laterites for road base and subbase applications. It enhances unconfined compressive strength (qu), stiffness, and durability1,2. Biswal et al.3 reported that cement-stabilized laterites achieved qu values exceeding 1.5 MPa and flexural strength above 0.25 MPa, meeting pavement design standards. Similarly, Consoli et al.4 demonstrated that 10% cement produced qu greater than 3 MPa after 28 days of curing in laterite mixtures. These strength gains were primarily attributed to the formation of calcium silicate hydrate (C–S–H) gels. Tran et al.5 found that qu of cement-treated laterites increased from 1.2 to 2.5 MPa when the cement content rose from 3 to 9%. Suebsuk et al.6 observed resilient modulus values ranging from 200 to 500 MPa, depending on binder content and compaction effort.
Cement also improved the durability of laterites. Chindaprasirt et al.7 noted that cement-treated laterites retained moderate strength after undergoing wet–dry cycles and exposure to sulfate. Hoy et al.8 reported over 85% strength retention after five wet–dry cycles in cement-stabilized laterites, particularly when blended with recycled additives. Fedrigo et al.9 found that increasing cement content improved the fatigue resistance of cemented laterites. However, excessive cement increases brittleness and material costs. Etim et al.10 and Oluwatuyi et al.11 suggested that 6–8% cement is optimal for laterites, particularly when combined with fillers such as quarry dust or eggshell powder. Sudla et al.12 demonstrated that up to 25% of the cement in stabilized laterites could be replaced with fly ash and slag without compromising performance.
A significant drawback of cement stabilization is its environmental impact. Cement production contributes 7–8% of global CO₂ emissions, releasing approximately 0.8–1 ton of CO2 per ton of cement produced7. This concern has prompted increased interest in sustainable alternatives, such as alkali-activated binders or geopolymers using fly ash and slag, to reduce emissions while maintaining or enhancing the performance of stabilized laterites5,8,13.
Recent studies have demonstrated the effectiveness of geopolymer binders as sustainable alternatives to traditional cement for stabilizing laterites, particularly in road base and subbase layers. Geopolymers synthesized from industrial by-products such as fly ash (FA), ground granulated blast furnace slag (GGBS), and natural pozzolans have significantly improved strength, durability, and environmental performance. For instance, Mousi et al.14 reported that lateritic gravel treated with a 10 wt% geopolymer binder achieved a California Bearing Ratio (CBR) exceeding 164.2 and a plasticity index below 20, qualifying it for use as a base layer under heavy traffic (T1–T3). Similarly, Shivaramaiah et al.15 found that laterites treated with up to 30% GGBS and an optimized alkali solution with a silica modulus of 1.0 achieved high qu and CBR values, suitable for use as base materials under both standard and modified Proctor compaction, with strong performance in wetting–drying and freeze–thaw cycles.
Kaze et al.16 observed that incorporating fly ash and GGBS improved laterite geopolymer strength from 0.5 to 12.6 MPa, with optimal performance at elevated curing temperatures (100–250 °C), attributed to enhanced polycondensation and the formation of N-A-S-H and C-A-S-H gels. These binders created dense microstructures that increased stiffness and reduced permeability, supporting long-term stability in pavement layers. Anburuvel et al.17 confirmed that combinations of eggshell ash and rice husk ash in geopolymer systems resulted in soaked qu exceeding 1.2 MPa and high water resistance, indicating suitability for subbase layers. Additional findings from Kamwa et al.18 emphasized that laterite-based geopolymer bricks synthesized in acidic and alkaline conditions can retain strengths above 20 MPa, with acceptable compaction densities between 1.8 and 2.0 g/cm³, and high acid resistance due to the dominance of N-A-S-H gel over cementitious C-S-H. Tesanasin et al.19 also demonstrated that one-part geopolymer not only reduced CO₂ emissions but also lowered material costs compared to two-part systems, with lower energy and water demands during production. Nevertheless, one standard limitation of geopolymer-stabilized laterites is their brittle failure behavior, especially under cyclic or impact loads.
Although cement and geopolymer stabilization effectively improve the compressive and flexural strength of laterites, the resulting materials often exhibit brittle failure behavior, which limits their energy absorption and post-peak load-carrying capacity under repeated or dynamic loads20. To overcome this drawback, the incorporation of discrete fibers has been widely adopted to enhance the toughness and ductility of stabilized soil matrices. As demonstrated by Jamsawang et al.20, the addition of steel and polypropylene fibers significantly improves the flexural behavior of compacted cement-fiber-sand mixtures, with long steel fibers providing the best overall performance in terms of toughness, ductility, and residual strength. Chindaprasirt et al.21 further emphasized that different fiber types exhibit varying efficiencies depending on the applied stress state, with polyolefin fibers excelling under unconfined compression and polypropylene fibers under flexural loading. Chompoorat et al.22 investigated the use of palm fiber in cement-treated sand and reported a transition from brittle to ductile behavior, with optimal toughness achieved using 2% fiber content and 40-mm-long fibers. Similarly, Uthairith et al.23 showed that reinforcing cemented clay and gravel blocks with 60-mm steel fibers significantly increased both compressive strength and toughness, promoting ductile failure modes. Collectively, these studies confirm that fiber reinforcement is a viable approach to suppressing brittleness and improving the mechanical resilience of stabilized soil systems.
Despite the proven effectiveness of fiber reinforcement in enhancing the toughness and ductility of cement- or geopolymer-stabilized soils, its practical application in large-scale road construction remains limited due to the high cost of synthetic or metallic fibers and the difficulty of achieving uniform dispersion during in-place mixing. These challenges can compromise consistency and field performance, especially in remote or resource-constrained settings. As an alternative, natural rubber latex (NRL) offers a cost-effective, readily mixable, and sustainable solution. Unlike discrete fibers, NRL can be uniformly distributed throughout the soil-binder matrix in liquid form, forming elastic films that bridge microcracks and enhance interparticle bonding without requiring specialized equipment or extensive labor. Moreover, NRL is a locally available biopolymer in many tropical regions and has demonstrated comparable benefits to fiber reinforcement in improving strength, energy absorption, fatigue resistance, and durability.
Despite the fiber reinforcement effectively enhancing the toughness of cement- or geopolymer-stabilized soils, its use in large-scale road construction is limited by high costs and difficulties in achieving uniform mixing on-site. In contrast, natural rubber latex (NRL) offers a cost-effective and easily mixable alternative. As a liquid biopolymer, NRL can be uniformly dispersed throughout the soil matrix, forming elastic films that bridge microcracks and improve bonding. Tran et al.5 and Hoy et al.8 found that NRL significantly improved the qu, and durability of cement-stabilized laterite and recycled aggregate blends, with optimal performance achieved at specific rubber-to-cement ratios. Hoy et al.24 further confirmed that the inclusion of NRL enhanced fatigue performance and resilient modulus under repeated traffic loads. In road base applications using bottom ash, Kererat et al.25 demonstrated that latex-modified cement mixtures improved strength, skid resistance, and wet–dry durability. Bualuang et al.26 compared polymer-modified cement systems and found that NRL outperformed other latexes by increasing strength and reducing moisture sensitivity in lateritic subbase layers. Buritatum et al.27 demonstrated that NRL-modified cement bases exhibit superior tensile fatigue resistance under elevated curing temperatures, while also reducing construction costs. Similarly, Buritatun et al.28 showed notable gains in both qu and flexural strength of cement-stabilized soil with NRL, attributing the improvement to enhanced matrix cohesion. Buritatun et al.27 also reported increased ITS and tensile fatigue life in cement–NRL stabilized soils, highlighting improved resistance to plastic deformation. In asphalt concrete systems, Hoy et al.29 found that NRL improved mechanical performance across different aggregate types, with notable enhancements in rutting resistance and fatigue life. Finally, Suddeepong et al.30 demonstrated that NRL-modified concrete pavements exhibited greater flexural strength and longer fatigue life compared to conventional concrete, allowing for thinner pavement sections and promoting sustainability.
Despite the promising outcomes of prior studies on NRL-modified cementitious materials, most research has focused predominantly on cement-stabilized systems, with limited evaluations of only one or two mechanical properties, such as UCS or ITS. Moreover, the toughening mechanisms of NRL within geopolymer matrices remain underexplored, particularly in laterites, which are abundant in tropical regions but often require performance enhancement for pavement use. The effects of NRL on the flexural behavior, brittleness index, energy absorption capacity, and microstructural development of geopolymer-stabilized laterites have not been comprehensively assessed. Therefore, this study aims to fill these knowledge gaps by systematically investigating the role of para-rubber latex in improving the toughness and mechanical resilience of geopolymer-treated laterites. A comprehensive testing program was employed, including unconfined compressive strength, indirect tensile strength, flexural strength, toughness index, brittleness index, and scanning electron microscopy (SEM), to provide a holistic understanding of the strength, toughness, failure mechanisms, and microstructural characteristics. The results contribute to the development of sustainable and ductile base and subbase materials by promoting the use of industrial by-products and natural biopolymers.
Materials and methods
Laterite
The laterite used in this study exhibited a specific gravity of 2.65, indicating a typical mineral composition. It had a liquid limit of 30% and a plasticity index of 11%, reflecting moderate plasticity suitable for stabilization. The soil gradation was characterized by a high uniformity coefficient of 471 and a curvature coefficient of 29, suggesting a well-graded granular material with a broad range of particle sizes. The maximum dry unit weight was determined to be 19.5 kN/m³, and the optimum moisture content was 10.5%, both of which supported adequate compaction and strength development. According to the Unified Soil Classification System (USCS), the soil was classified as GC-GM, indicating a mixture of clayey gravel with silty or sandy components.
Natural rubber latex
NRL sourced from Chumphon province, Thailand, was used in this study. Due to its susceptibility to rapid degradation, the direct use of fresh NRL was impractical, making it difficult to control its consistency and performance. Therefore, a two-stage modification process was implemented to enhance its stability and suitability for geopolymer applications, as illustrated in Fig. 1a–c. In the first stage (Fig. 1a), freshly collected rubber latex was stabilized by adding ammonia solution (NH4OH), tetramethylthiuram disulfide (TMTD), and zinc oxide (ZnO) in proportions based on the rubber’s weight. The mixture was then subjected to high-speed spinning to eliminate excess ammonia (Fig. 1b). In the second stage, a coumarone emulsion was prepared by dissolving coumarone resin into toluene and heating the solution to facilitate the addition of oleic acid. Simultaneously, a potassium hydroxide (KOH) solution was prepared using deionized water, and polyvinyl alcohol (PVA) was dissolved in water under heat and stirring. These components were thoroughly combined to form a stable coumarone emulsion, which was then blended with the stabilized latex to produce a homogeneous modified natural para-rubber latex (MNRL) suitable for integration into the geopolymer-laterite mixture (Fig. 1c).
Preparation of para-rubber latex: a Collection and stabilization of latex using NH₄OH, TMTD, and ZnO; b Preparation of chemical solutions containing coumarone, KOH, and PVA; c High-speed spinning and sequential mixing to produce a homogeneous modified natural para-rubber latex (MNRL).
Sample preparation
Class C fly ash (FA), obtained from the Mae Moh power plant in Lampang province, was used as the primary aluminosilicate source for geopolymer synthesis due to its high calcium content. To prepare the alkaline activator, sodium hydroxide (NaOH) was dissolved in water at a concentration of 10 molar (equivalent to 40 g per mole), followed by the addition of sodium silicate (Na2SiO3) in a 1:1 weight ratio with NaOH. The solution was thoroughly stirred until it was homogeneous and then allowed to cool to room temperature before use. The geopolymer binder was prepared by dry-mixing fly ash with laterite according to the mix designs presented in Table 1. The initial dry mixing was conducted for 60 s to ensure uniform distribution. The prepared alkaline activator was then added based on the optimum moisture content, and wet mixing continued for 60–120 s. When specified, MNRL was added during the final mixing stage to achieve uniform dispersion throughout the matrix, as shown in Fig. 2a.
The blended material was molded into cylindrical specimens (50 mm diameter × 100 mm height) for unconfined compression (UC) and indirect tension (IT) tests (Fig. 2b). Each sample was compacted in three layers using static compaction to ensure consistent density. After molding, the specimens were demolded after 24 h and cured at 25 ± 3 °C for 7 days. For the flexural strength (FT) test, the geopolymer-MNRL mixture was cast into beam molds measuring 100 × 100 × 350 mm. These beam samples were also compacted in three layers and subjected to the same curing conditions. The consistent procedures in mixing, molding, and curing ensured uniformity in specimen properties, enabling reliable mechanical characterization of the stabilized composites.
Preparation of geopolymer–MNRL–laterite specimens: a Material mixing process; b Sample molding, compaction, and final specimen dimensions.
Unconfined compression test
The UC tests were conducted in accordance with the ASTM D510231 standard to determine the unconfined compressive strength. The test setup is illustrated in Fig. 3a. A 50-kN capacity load cell and a 50-mm capacity LVDT were used to determine the compressive stress and axial compressive strain (εa), respectively. A vertical displacement rate of 1 mm/min was used, and the UC tests were stopped at εa = 5%. The qu was defined as the maximum compressive stress observed on the stress-strain curve. In cases where no peak stress was observed, qu was determined at the compressive stress corresponding to 5% axial strain.
Indirect tension test
The indirect tension test was performed according to ASTM C 49632 standards to determine the indirect tensile strength (qt), as shown in Fig. 3b. After the samples were cured for the designated period, they were prepared for testing. To ensure even load distribution, a wooden plate measuring 10 mm in thickness and at least 100 mm in length was placed on each sample. The test was carried out using an automatic loading machine with a 20-kN capacity and strain control, applying a loading rate of 1.00 mm/min. The test was halted when a radial strain of 5% was reached. Displacement was measured using an LVDT with a precision of 0.01 mm. The tensile stress and radial strain (εr) were calculated from the test data. The test continued until the sample failed in tension, at which point the maximum tensile strength was recorded.
Flexural strength test
The flexural strength test was conducted following the ASTM C 160933 standard. A 20-kN capacity load cell was used to measure the flexural strength (qf). In contrast, two LVDTs with a 20-mm capacity were attached to a reference frame to calculate the net deflection at the center of the beam specimen, as depicted in Fig. 3c. The tests were conducted at a vertical displacement rate of 0.05 mm/min. They were terminated once the net deflection reached 2 mm. The load-deflection respon ses of the specimens were recorded and plotted as flexural load-deflection curves.
Test setups for the a unconfined compression, b indirect tensile strength, c flexural strength tests, and d typical stress-deformation curve.
Outcomes
After 7 days of curing, the tests were then immediately performed. For all the tests conducted in this study, the average value of the test results based on three specimens was reported. The stress-deformation responses of the tested specimens were presented in the forms of the unconfined compressive stress-axial strain, indirect tensile stress-radial strain, and flexural stress-net deflection curves for the UC, IT, and FT tests, respectively, as shown in Fig. 3d. The peak strengths were defined as the maximum stresses that the specimens could sustain: the peak qu, peak qt, and peak qf. The stresses carried by the specimens at εa = 5% and εr = 5% for qu and peak qt and at δ = 2 mm for qf were termed the residual qu (\({q_{{\text{u,}}{\varepsilon _{\text{a}}}=5\% }}\)), residual qt (\({q_{{\text{t,}}{\varepsilon _{\text{r}}}=5\% }}\)), and residual qf (\({q_{{\text{f,}}\delta =2{\text{mm}}}}\)), respectively. The areas under the load-deformation curves up to εa = 5%, εr = 5% and δ = 2 mm were defined as the toughness or energy absorption of the specimen20.
Scanning electron microscopy analysis
Scanning electron microscopy (SEM) analysis was conducted to investigate the microstructural and elemental changes resulting from the chemical reactions within the specimens. After the unconfined compression tests, a small rectangular segment, approximately 5 × 5 × 2 mm in size, was carefully excised from the failure surfaces of the test specimens. This segment was placed in a silica gel desiccator and air-dried for 24 h to eliminate any remaining moisture. Once adequately dried, the sample was coated with a thin layer of platinum using a sputter coater, operated at a current of 50 mA for 30 s, to enhance its electrical conductivity during SEM imaging. SEM micrographs were captured at magnifications ranging from 3500x to 5000x using a JEOL JSM-5410 LV microscope, providing detailed images of the sample’s microstructure and enabling the observation of elemental distribution and morphological features. These enhanced methods ensure a high level of precision and accuracy in the analysis, offering valuable insights into the mineralogical composition and microstructural characteristics of the tested materials.
Ethics approval
The authors state that the research was conducted according to ethical standards.
Test results
Characteristics of stress-deformation curves
The stress–deformation characteristics of geopolymer-stabilized lateritic soils modified with varying proportions of MNRL and FA are presented in Figs. 4, 5 and 6. These curves represent the material’s mechanical behavior under compressive, tensile, and flexural loading at 7 days of curing. The incorporation of MNRL substantially influenced the post-peak behavior, ductility, and toughness of the stabilized matrices across all test methods.
As seen in Fig. 4, qu increased with FA content, with peak values observed in mixtures containing 25 and 30% FA without MNRL, which reached over 4000 kPa. However, these control specimens exhibited a brittle response, characterized by an abrupt stress drop after peak load. This behavior is typical of cemented or geopolymerized systems lacking ductile modifiers. The inclusion of MNRL led to a moderate decrease in peak compressive strength but significantly improved post-peak ductility. For example, at 30% FA, the mixture with 7% MNRL maintained load capacity over a broad strain range up to 5%, compared to less than 2% in the unmodified counterpart. This indicates that latex-modified specimens can undergo large deformations without sudden failure. The enhanced ductility is primarily attributed to the crack-bridging capability and elastic deformation of the latex films formed within the matrix. These films effectively absorb energy, delay crack propagation, and redistribute stress around developing fractures. This mechanism has been widely reported in previous studies on latex-modified cemented soils24,28, where NRL was shown to improve toughness and deformation capacity even when peak strength was marginally reduced.
The indirect tensile strength (ITS) behavior, as shown in Fig. 5, further confirms the toughening effect of MNRL. Control samples without latex exhibited high peak tensile strength but failed rapidly with minimal radial strain, consistent with brittle tensile fracture. The addition of MNRL reduced the peak ITS slightly, but markedly increased strain at failure. For instance, at 25% FA, the mixture with 7% MNRL displayed a more gradual stress decline and extended tensile strain, indicating enhanced energy dissipation and delayed crack propagation. Similar effects have been observed in cement-stabilized soils modified with NRL, where latex films improve tensile ductility and resistance to shrinkage cracking8,28.
Figure 6 illustrates the flexural stress–deflection behavior. Again, unmodified samples achieved the highest peak flexural strength but failed at small deflections, often under 1 mm. In contrast, mixtures with 5–10% MNRL sustained load over deflections exceeding 2 mm, indicating a shift from brittle to ductile flexural response. This is particularly relevant for pavement applications, where subbase materials are subjected to repeated bending and fatigue. Latex-modified specimens are more likely to survive such conditions due to their ability to undergo controlled deformation and resist crack growth, a behavior that has also been observed in MNRL-modified concrete pavements29,30.
The overall improvement in post-peak performance across all tests—UCS, ITS, and flexural strength—can be explained by the synergistic effect of MNRL and geopolymerized FA-lateritic soil matrices. While the presence of latex slightly reduces early strength, the gain in toughness, crack resistance, and deformation capacity is crucial for long-term durability, especially under variable or cyclic loading conditions7,27. The optimum MNRL content appears to lie between 7% and 10%, as higher dosages may lead to reduced matrix cohesion or excess film thickness that interferes with cementitious bonding24.
In summary, the results in Figs. 4, 5 and 6 demonstrate that MNRL effectively alters the mechanical response of geopolymer-stabilized lateritic soil, transitioning it from brittle to ductile. The material’s ability to undergo controlled deformation without catastrophic failure makes it more suitable for pavement base and subbase layers. These findings align with earlier research promoting the use of natural rubber latex as a sustainable and performance-enhancing additive in soil and pavement material stabilization.
Stress–strain curves from UCS tests of laterites stabilized with 20–35% FA and 0–10% MNRL after 7 days. Higher MNRL contents reduced peak strength but enhanced ductility.
Indirect tensile stress–radial strain curves from indirect tensile strength tests of laterites stabilized with 20–35% FA and 0–10% MNRL at 7 days. MNRL improved ductility but reduced peak tensile stress.
Flexural stress–deflection curves of laterites stabilized with 20–35% FA and 0–10% MNRL at 7 days. MNRL reduced peak flexural strength but enhanced deflection and toughness.
Peak strength
Figure 7 presents the peak strength parameters for the geopolymer-stabilized lateritic soil mixtures incorporating different FA contents (20–35%) and MNRL dosages (0, 5, 7, and 10%) after 7 days of curing. The qu results in Fig. 7a indicate that the inclusion of MNRL generally reduced the peak qu compared to the control mixtures (0% MNRL). For example, the 25% FA mixture without latex (F25-N0) achieved the highest qu of 4.48 MPa, significantly exceeding the thresholds defined for soil–cement base (qu > 1.75 MPa) and subbase (qu > 0.70 MPa) by the Department of Highways Thailand. However, when 10% MNRL was added to the duplicate FA content (F25-N10), the qu dropped to 1.69 MPa, reflecting a ~ 62% decrease. This pattern was consistent across all FA levels. While the addition of latex reduced the maximum compressive strength, many of the MNRL-modified specimens still met the minimum requirement for soil–cement subbase classification. These results confirm previous findings that MNRL disrupts the early formation of cementitious gels by increasing water demand and delaying hydration, resulting in strength reductions during early curing stages8,28. However, these reductions in peak strength must be interpreted in the context of ductility and post-peak toughness. As discussed in the section "Characteristics of stress-deformation curves", the latex-modified matrices exhibited improved stress redistribution and deformation capacity. Thus, while the peak qu was reduced, the overall structural performance under repeated or dynamic loading may still be enhanced due to increased energy absorption and reduced crack propagation30.
Figure 7b shows the qt, where a similar trend is observed. The peak qt was recorded for the 30% FA control mixture (F30-N0) at 0.74 MPa. The addition of MNRL reduced qt across all FA levels, with the lowest value of 0.16 MPa occurring in F35-N10. Notably, the highest tensile strengths were consistently observed in specimens with no latex, supporting the view that early-age tensile performance is sensitive to the interaction between latex and binder. Nevertheless, the contribution of MNRL to tensile ductility, which is not captured by the peak strength alone, has been demonstrated in several studies. For example, Hoy et al.24 reported that latex-modified cemented lateritic soils exhibited lower peak tensile strengths but higher fatigue lives and strain capacities under cyclic loads.
The qf values shown in Fig. 7c exhibit a relatively balanced response to MNRL inclusion. Although peak qf was also highest in the F25-N10 and F30-N0 mixtures (0.67 MPa), latex-modified samples retained considerable flexural strength, particularly at 5 and 7% MNRL. For instance, the F30-N5 and F35-N5 samples achieved qf values of 0.58 and 0.50 MPa, respectively, suggesting that moderate MNRL contents do not significantly compromise flexural capacity. This observation is supported by prior work on NRL-modified pavements, where latex addition has been shown to improve load-spreading and fracture resistance, even in cases of reduced flexural strength8.
In summary, while the inclusion of MNRL tended to reduce the peak compressive, tensile, and flexural strength values of the stabilized mixtures at 7 days, this reduction is offset by gains in ductility, deformation capacity, and crack resistance. These characteristics are essential for pavement base and subbase applications, where resistance to brittle failure and long-term durability are more critical than short-term peak strength alone. The results suggest that an optimal balance exists at FA contents of 25–30% and MNRL dosages between 5% and 7%, which offer acceptable strength while enhancing structural resilience in practical applications.
Peak strengths of geopolymer-stabilized laterites with 20–35% FA and 0–10% MNRL after 7 days: a unconfined compressive strength (qu), b indirect tensile strength (qt), and c flexural strength (qf). Most mixtures met the subbase and some base strength requirements.
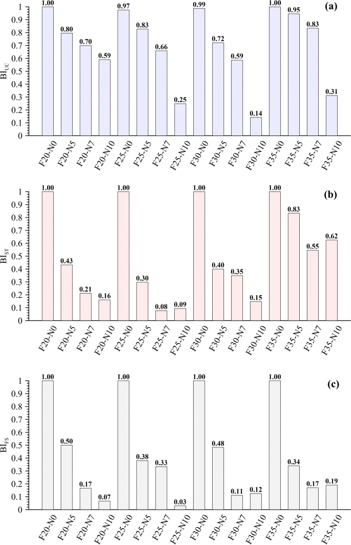
Brittleness index
The brittleness index (BI) quantifies the degree to which a material exhibits sudden failure without substantial plastic deformation. In geotechnical and pavement applications, a high brittleness index often correlates with lower toughness and a greater susceptibility to cracking under loading or environmental fluctuations21,22.
As shown in Fig. 7a, the BIUC values of the control specimens (0% MNRL) were consistently at 1.00 across all FA contents, indicating a brittle failure mode dominated by rapid loss of load-carrying capacity following peak stress. The inclusion of MNRL led to a notable reduction in brittleness. For example, at 25% FA, BIUC decreased from 0.97 (F25-N0) to 0.25 (F25-N10), and at 30% FA, BIUC dropped from 0.99 (F30-N0) to 0.14 (F30-N10). This decline in brittleness with increasing MNRL content indicates that the modified composites transitioned from brittle to more ductile behavior, a finding that is consistent with the stress–strain results discussed in the section "Characteristics of stress-deformation curves". These trends are in agreement with earlier studies that showed natural rubber latex enhances the energy absorption capacity of cemented soil by bridging microcracks and redistributing internal stresses28,29.
The tensile brittleness index (BIIT), shown in Fig. 7(b), exhibited even more dramatic reductions upon the addition of MNRL. The BIIT dropped from 1.00 in the control mixes to as low as 0.08 in F25-N5 and 0.09 in F25-N10, confirming that the latex content significantly altered the tensile failure mode. Similar trends were observed across all FA levels, where higher MNRL contents consistently reduced tensile brittleness. This effect is highly desirable in pavement materials, as lower tensile brittleness correlates with increased fatigue resistance and a reduced likelihood of sudden cracking. These findings are supported by the work of Hoy et al.24, who reported that latex-modified cemented soils exhibited superior fatigue life and strain tolerance under cyclic loading, even when peak tensile strength was reduced.
Figure 7c presents the brittleness index under flexural loading (BIFT). As with the UC and IT results, control specimens displayed the highest brittleness values (BIFT = 1.00), while latex-modified mixtures showed significant improvements in ductility. At 25% FA, BIFT dropped from 1.00 in the unmodified sample to just 0.03 and 0.33 in F25-N5 and F25-N7, respectively. A similar reduction was seen at 30% FA, where the BIFT decreased from 1.00 to 0.11 in F30-N5 and to 0.12 in F30-N10. These results highlight the critical role of MNRL in controlling crack propagation under bending stresses. Previous research has demonstrated that natural rubber latex contributes to the formation of elastic films, which enhance matrix continuity and prevent sudden fracture under flexural loads30.
Taken together, the data from Fig. 7 confirm that MNRL effectively reduces the brittleness of geopolymer-stabilized lateritic soils across all tested mechanical loading modes. While the peak strength parameters (section "Peak strength") tended to decline with increasing MNRL content, the associated decrease in brittleness suggests a substantial gain in material toughness and post-peak performance. From a pavement engineering perspective, this trade-off is highly favorable. Brittleness reduction is particularly beneficial in field conditions where subbase and base layers are subjected to repetitive traffic loads, thermal cycling, and fluctuations in moisture. Materials that fail gradually with controlled energy dissipation are more durable and less likely to develop structural failures such as shrinkage cracks or brittle fractures. Overall, the brittleness index analysis reaffirms the toughening effect of MNRL. Among all combinations, mixtures with 25–30% FA and 5–7% MNRL appear to provide the most effective balance between strength and ductility, making them ideal candidates for sustainable pavement applications where long-term resilience and energy absorption are essential.
Brittleness index of laterites stabilized with 20–35% FA and 0–10% MNRL after 7 days: a unconfined compressive strength (BIUC), b indirect tensile strength (BIIT), and c flexural strength (BIFS). MNRL significantly reduced brittleness, indicating improved ductility.
Improvement toughness ratio
The improvement toughness ratio (ITR) is a dimensionless index that reflects the relative enhancement of energy absorption capacity due to material modification, compared to a reference or control condition. In this study, the ITR is calculated as the ratio of the area under the stress–strain or stress–deflection curve of MNRL-modified specimens to that of the corresponding control (0% MNRL) mixture for each FA content.
In Fig. 9a, the ITRUC values indicate that the addition of MNRL generally improves the compressive toughness of the composites. The ITRUC increased with MNRL content across all FA levels, particularly in mixtures with 7 and 10% latex. For instance, at 20% FA, ITRUC rose from 1.00 in the control (F20-N0) to 1.49 and 1.56 for F20-N7 and F20-N10, respectively. Similarly, mixtures with 30 and 35% FA also showed progressive increases, reaching values up to 1.89 (F35-N5). These findings confirm that latex enhances the post-peak energy absorption and deformation capacity under compressive loading, even though the peak compressive strength might decline, as discussed in the section "Peak strength". This behavior is consistent with previous observations in latex-modified cemented materials, where toughness was significantly enhanced due to the elastic and crack-bridging nature of the rubber matrix24,28.
The indirect tensile toughness response, as reflected in ITRIT (Fig. 9b), shows even more pronounced improvements. The mixtures containing MNRL at 5 and 7% demonstrated exceptional toughness gains. For example, F20-N5 and F20-N7 achieved ITRIT values of 6.28, which is over six times higher than that of the control specimen (F20-N0). Even with higher FA contents, MNRL mixtures maintained improved toughness; F25-N5 and F30-N5 recorded values of 2.39 and 2.48, respectively. This dramatic increase in tensile toughness is likely due to the formation of rubber latex films within the matrix, which arrest crack propagation and enhance the tensile strain capacity. Hoy et al.24 similarly reported that latex-modified cement-stabilized soils demonstrated higher tensile fatigue life and deformation tolerance under repeated loading.
Flexural toughness enhancements were also evident in Fig. 9c, where the ITRFT values reflect improvements in the capacity of the composites to resist crack growth under bending. Compared to the unmodified control (ITRFT = 1.00), the inclusion of 5–7% MNRL yielded significant gains across all FA levels. For instance, the F20-N5 and F25-N5 mixtures achieved ITRFT values of 4.33 and 3.88, respectively, suggesting that they absorbed over three to four times more energy under flexural loading before failure. These results reinforce the observation that MNRL acts not only as a strength modifier but also as a toughness enhancer, especially in bending modes that involve tensile stresses at the bottom surface. The effectiveness of MNRL in improving flexural fatigue resistance and post-peak energy dissipation has also been documented in NRL-modified concrete pavement systems30.
Overall, the ITR values across all loading modes validate the significant contribution of MNRL to improving the toughness of geopolymer-stabilized lateritic soils. While some reduction in peak strength was observed with increasing latex content, the enhanced energy absorption capacity justifies its inclusion, especially in pavement base and subbase applications where deformation and fatigue resistance are essential. Optimal performance was generally achieved at 5–7% MNRL, particularly in conjunction with 25–30% FA, providing a robust balance between toughness, deformability, and structural capacity.
Improvement toughness ratio (ITR) of geopolymer-stabilized laterites with 20–35% FA and 0–10% MNRL after 7 days: a ITR based on UCS, b ITR based on ITS, and c ITR based on flexural strength. MNRL significantly enhanced toughness, particularly in tensile and flexural modes.
Mode of failure
The failure patterns of geopolymer-stabilized lateritic soil mixtures with and without MNRL were examined through unconfined compression, splitting tensile, and flexural tests, as shown in Fig. 10. These visual observations provide crucial insights into the mechanisms behind the mechanical behavior previously discussed, notably the transition from brittle to ductile failure associated with MNRL incorporation.
In the UC tests (Fig. 10a), the control specimen without latex (F30P0) exhibited a classic brittle failure characterized by a well-defined single diagonal shear plane. This type of failure suggests that the specimen failed abruptly upon reaching peak strength, with minimal plastic deformation, consistent with the high BI and low improvement ITR observed in the sections "Brittleness index" and "Improvement toughness ratio", respectively. In contrast, the MNRL-modified specimen (F30P10) showed a barrel-shaped failure accompanied by the development of multiple vertical cracks. This crack pattern indicates a more distributed and gradual failure process, suggesting that the latex addition allowed the material to undergo internal stress redistribution and enhanced energy dissipation before failure. The formation of multiple cracks rather than a single shear plane is evidence of a more ductile failure mechanism, in line with similar observations reported by Buritatun et al.28 and Tran et al.5, where NRL facilitated post-peak load retention through polymer bridging.
For the IT tests (Fig. 10b), the control sample (F30P0) again demonstrated brittle failure, characterized by a sharp, singular crack propagating across the vertical axis of the cylinder. Such a fracture path implies sudden tensile failure with little warning or capacity for energy absorption. Conversely, the MNRL-improved sample (F30P10) exhibited a more complex and rounded crack shape, characterized by elliptical and circular features. These observations indicate the presence of tensile strain redistribution within the matrix, likely facilitated by the latex films, which resisted immediate rupture. The more diffuse and irregular failure geometry suggests enhanced tensile toughness and a more resilient microstructure capable of sustaining deformation beyond the initiation of cracking, as also supported by the higher ITR values discussed in the section "Improvement toughness ratio".
In the FS tests (Fig. 10c), the F30P0 specimen failed with a dominant single crack that completely split the beam, indicating low flexural ductility and limited crack resistance. In contrast, the latex-modified specimen (F30P10) developed several fine and distributed cracks across the tension face of the beam. The presence of multiple minor cracks suggests that the MNRL played a critical role in inhibiting crack coalescence and slowing crack propagation. This behavior aligns with previously reported findings in NRL-modified concrete pavements, where distributed cracking and enhanced toughness were attributed to the presence of elastic and adhesive latex films within the binder matrix30. These films effectively bridge developing cracks, control the crack opening width, and improve the fracture process zone, thereby improving flexural fatigue resistance.
In all test configurations, the failure mode shifted markedly from brittle and catastrophic in the control specimens to progressive and distributed in the MNRL-modified specimens. This change in fracture pattern supports the mechanical trends discussed earlier, where MNRL enhances post-peak behavior, reduces brittleness, and significantly increases the toughness of stabilized soils under various loading modes. The visual evidence provided in Fig. 10 underscores the role of latex modification not just in changing mechanical indices, but also in fundamentally altering how the material responds to stress and deforms to failure. Therefore, the inclusion of 10% MNRL clearly facilitates a transition from brittle to ductile failure modes in geopolymer-stabilized lateritic soils, thereby contributing to improved structural resilience and enhanced energy absorption under operational conditions typical of pavement base and subbase layers.
Failure patterns of stabilized laterites with and without 10% MNRL in different tests after 7 days: UC shows transition from brittle shear to barrel-shaped failure; IT shows crack spreading from single to circular-elliptical; FT tests reveal a shift from single large cracks to smaller distributed ones.
Scanning electron microscopy
To better understand the microstructural evolution associated with the mechanical performance enhancements observed in previous sections, SEM analysis was conducted on specimens with and without MNRL. Figure 11 presents representative SEM images at 500× magnification for the F30N0 (0% MNRL) and F30N10 (10% MNRL) mixtures, which were cured for 7 days.
As shown in Fig. 11a, the microstructure of the F30N0 specimen consists primarily of unreacted FA particles embedded within a loosely connected matrix. The spherical morphology of the FA particles is clearly visible, and limited cementitious products appear to have formed around the particle surfaces. The microstructure appears porous and discontinuous, with weak interparticle bonding. This microstructural deficiency is consistent with the brittle mechanical behavior and sharp post-peak failure patterns observed in the section "Characteristics of stress-deformation curves" . Without any latex modification, the matrix lacks mechanisms to arrest crack propagation or absorb deformation energy, leading to abrupt failure upon loading.
In contrast, the microstructure of the MNRL-modified specimen (F30N10), shown in Fig. 11b, demonstrates a markedly different morphology. The most prominent feature is the presence of a continuous MNRL film, which envelopes FA particles and appears to fill microvoids and intergranular spaces. This film is amorphous in texture and forms a cohesive layer around otherwise poorly bonded surfaces. The latex film serves several key functions: (1) it bridges adjacent particles, enhancing matrix continuity; (2) it acts as a flexible and elastic binder that can deform under stress; and (3) it slows down crack propagation by dissipating stress at the microscale. These features contribute directly to the improved ductility, post-peak toughness, and reduced brittleness observed in the MNRL-treated mixtures.
Additionally, the presence of the latex film appears to improve the packing density of the matrix. Compared to the unmodified specimen, the F30N10 mixture shows fewer observable voids and a denser distribution of particles embedded in the binder. This microstructural compactness is crucial for reducing permeability and enhancing long-term durability, particularly under conditions of moisture or loading. The SEM results support the mechanical trends described in the sections "Peak strength" to "Improvement toughness ratio". While the latex slightly interferes with early geopolymerization and may reduce the quantity of rigid cementitious gels, its contribution to matrix toughness and ductility compensates for this effect. These findings are in agreement with previous studies on latex-modified soil and pavement materials28,29, which similarly revealed that natural rubber latex enhances the matrix integrity and crack-bridging mechanisms, as observed using SEM analyses.
In summary, the SEM analysis confirms that incorporating MNRL leads to significant microstructural refinement. The formation of elastic latex films enhances interparticle bonding, reduces matrix porosity, and introduces crack-arresting pathways, all of which translate into the improved mechanical behavior observed in macro-scale testing. This microstructural evidence strongly supports the use of MNRL as an effective biopolymer modifier for developing sustainable and resilient geopolymer-stabilized soil composites.
SEM micrographs of stabilized laterites with 30% FA at 7 days: a without MNRL showing dispersed fly ash (FA) particles and limited cementitious products; b with 10% MNRL showing a continuous MNRL film enveloping FA particles and filling voids. The presence of the MNRL film contributes to improved matrix cohesion and enhanced ductility.
Discussion
The incorporation of MNRL into geopolymer-stabilized lateritic soils introduces a clear trade-off between peak strength reduction and enhanced ductility and toughness, which is critical for evaluating the suitability of these materials in pavement base and subbase applications. The mechanical testing results demonstrated that mixtures with higher MNRL contents generally exhibited lower peak qu, qt, and qf, particularly at early ages. This reduction is attributed to the interference of latex with the geopolymerization process and increased water demand, which can dilute the binder matrix or delay gel formation. Similar strength reductions due to latex modification have been reported in cemented soil systems28,30. For instance, Suddeepong et al. found that although the peak flexural strength of concrete pavement decreased slightly with the addition of latex, its fatigue resistance improved significantly, making it better suited for long-term service conditions.
However, this strength penalty was offset by notable gains in toughness and reduced brittleness, as revealed through post-peak deformation behavior, BI, and ITR. The latex-modified mixtures displayed broader stress–strain curves with smoother post-peak declines, indicating that energy absorption increased substantially even as peak strength declined. This transformation from brittle to quasi-ductile behavior is especially beneficial in pavement applications, where materials are subjected to repeated or dynamic loads and must withstand localized cracking or differential movement without catastrophic failure.
In particular, the brittleness index dropped sharply with the addition of MNRL. Control specimens without latex (BI ≈ 1.0) failed abruptly after peak loading, whereas MNRL-modified specimens recorded BI values as low as 0.03–0.25, reflecting a significant shift in failure mode. This trend supports the findings of Buritatum et al.27, who demonstrated that the addition of latex enhanced the fracture resistance and deformation capacity of cement-stabilized road base materials. The ITR, which measures the energy absorbed by modified mixtures relative to control specimens, further confirms the enhancement of ductility. Tensile and flexural ITR values increased by over 3–6 times in the presence of 5–7% MNRL. These results align with the work of Hoy et al.24, who demonstrated that natural rubber latex enhances the fracture energy and dissipative capacity of geopolymer and cement-based composites under both monotonic and cyclic loading.
Failure mode observations visually supported this trade-off. Latex-free specimens failed with clean, singular shear or tensile cracks, indicating brittle fracture with minimal plastic deformation. In contrast, MNRL-modified specimens developed multiple finer cracks and exhibited plastic bulging or distributed cracking, consistent with ductile failure. Kererat et al.25 similarly observed that MNRL in bottom ash–cement composites promoted stress redistribution and multiple cracking, resulting in improved integrity under loading. SEM offered microstructural confirmation of this performance enhancement. Unmodified mixtures showed porous structures with limited interparticle bonding.
In contrast, MNRL-modified specimens displayed continuous latex films enveloping soil and fly ash particles, filling voids, and forming flexible crack-bridging layers. These films not only improved matrix cohesion but also acted as physical barriers against crack initiation and propagation. Comparable microstructural evidence was presented by Tran et al.5, who attributed toughness gains to latex-induced densification and crack path deflection in cementitious matrices.
In summary, while latex modification results in moderate early-age strength reductions, it yields significant improvements in ductility, toughness, and resistance to brittle failure—benefits that are especially valuable in pavement environments. The trade-off is particularly favorable at 5–7% MNRL content combined with 25–30% FA, where strength remains sufficient for subbase applications and toughness reaches its peak. These findings align with practical recommendations for pavement design in tropical regions using locally available laterites and natural rubber latex24.
Conclusion
This study evaluated the mechanical, toughness, failure, and microstructural characteristics of geopolymer-stabilized laterites incorporating MNRL for use in pavement base and subbase applications. The key conclusions are as follows:
-
1.
The qu of unmodified mixtures reached a maximum of 4.48 MPa (at 25% FA), while the lowest strength occurred in the 35% FA with 10% MNRL mixture, at 1.13 MPa. Although the inclusion of 7–10% MNRL caused a 20–60% reduction in peak qu, most modified mixtures still satisfied the Thai Department of Highways’ minimum standard for subbase (qu > 0.70 MPa), and some also exceeded the base layer requirement (qu > 1.75 MPa).
-
2.
MNRL significantly improved post-peak behavior. The BI decreased from 1.00 in control specimens to as low as 0.03–0.25 in MNRL-improved mixtures. Simultaneously, the ITR increased from 1.00 to 1.89 in UC tests, and from 1.00 to 6.28 in IT tests, reflecting large energy absorption capacities. This indicates a clear transition from brittle to ductile failure, which is critical for materials subjected to repeated traffic loads.
-
3.
Visual inspections showed that unmodified specimens failed via singular shear planes or cracks, whereas MNRL-improved mixtures exhibited multiple microcracks, bulging, and distributed fracture surfaces. This progressive failure mode supports better resistance to shrinkage cracking and fatigue under in-service conditions.
-
4.
SEM analysis revealed that MNRL formed continuous polymer films that enveloped fly ash particles and filled intergranular voids, resulting in increased particle bonding, lower porosity, and improved crack-bridging capacity. These microstructural modifications correlate directly with the improved toughness and reduced brittleness at the macro scale.
-
5.
The combination of 25–30% fly ash with 5–7% MNRL was found to offer an optimal balance, achieving qu values of 1.83–2.64 MPa, which satisfy the requirements for both cemented subbase and base layers. Moreover, these formulations exhibited high toughness and ductility, making them suitable for tropical pavement infrastructure where repeated loading, moisture, and cracking are key concerns.
-
6.
The results confirm that MNRL is a technically viable and environmentally sustainable additive that can transform geopolymer-stabilized lateritic soils into high-performance base and subbase materials. Despite a reduction in early-age strength, the gains in fracture resistance, ductility, and energy absorption offer substantial benefits for long-term pavement durability, especially in resource-constrained regions where lateritic soil and natural rubber latex are readily available.
Data availability
The datasets used and/or analysed during the current study are available from the corresponding author on reasonable request.*.
References
Rochanavibhata, U. et al. Sustainable use of laterite replaced with bottom ash as road construction materials. Int. J. Sustain. Eng. 17(1), 650–667. https://doi.org/10.1080/19397038.2024.2394547 (2024).
Rochanavibhata, U., Lhajai, S., Jongpradist, P., Makaratat, N. & Jamsawang, P. Enhancing mechanical and microstructural properties of lateritic soil using bottom Ash and cement stabilization: A comparative analysis of destructive and nondestructive testing methods. Cogent Eng. 12 (1), 2524443. https://doi.org/10.1080/23311916.2025.2524443 (2025).
Biswal, D. R., Sahoo, U. C. & Dash, S. R. Mechanical characteristics of cement stabilised granular lateritic soils for use as structural layer of pavement. Road. Mater. Pavement Des. https://doi.org/10.1080/14680629.2018.1545687 (2018).
Consoli, N. C., Morales, D. P. & Saldanha, R. B. A new approach for stabilization of lateritic soil with Portland cement and sand: strength and durability. Acta Geotech. 16, 1473–1486. https://doi.org/10.1007/s11440-020-01136-y (2021).
Tran, N. Q. et al. Improved mechanical and microstructure of cement-stabilized lateritic soil using recycled materials replacement and natural rubber latex for pavement applications. Constr. Build. Mater. 347, 128547. https://doi.org/10.1016/j.conbuildmat.2022.128547 (2022).
Suebsuk, J., Kampala, A., Waiyakorn, P., Suksiripattanapong, C. & Chindaprasirt, P. Variations in strength and stiffness of cement-stabilized reclaimed asphalt pavement and marginal lateritic soil blends in tropical climate. Constr. Build. Mater. 409, 134062. https://doi.org/10.1016/j.conbuildmat.2023.134062 (2023).
Chindaprasirt, P. et al. Effects of sulfate attack under wet and dry cycles on strength and durability of cement-stablized laterite. Constr. Build. Mater. 365, 129968. https://doi.org/10.1016/j.conbuildmat.2022.129968 (2023).
Hoy, M. et al. Wetting-drying durability performance of cement-stabilized recycled materials and lateritic soil using natural rubber latex. Constr. Build. Mater. 403, 133108. https://doi.org/10.1016/j.conbuildmat.2023.133108 (2023).
Fedrigo, W. et al. Flexural strength, stiffness and fatigue of cement-treated mixtures of reclaimed asphalt pavement and lateritic soil. Road. Mater. Pavement Des. https://doi.org/10.1080/14680629.2019.1660207 (2019).
Etim, R. K., Ekpo, D. U., Attah, I. C. & Onyelowe, K. C. Effect of micro sized quarry dust particle on the compaction and strength properties of cement stabilized lateritic soil. Clean. Mater. 2, 100023. https://doi.org/10.1016/j.clema.2021.100023 (2021).
Oluwatuyi, O. E. et al. Ameliorating effect of milled eggshell on cement stabilized lateritic soil for highway construction, case stud. Constr. Mater. 9, e00191. https://doi.org/10.1016/j.cscm.2018.e00191 (2018).
Sudla, P. et al. Laboratory investigation of cement-stabilized marginal lateritic soil by crushed slag–fly Ash replacement for pavement applications. J. Mater. Civ. Eng. 32 (2), 04019353. https://doi.org/10.1061/(ASCE)MT.1943-5533.0003011 (2020).
Amadi, A. A., Kolo, S. S., Yusuf, A., Eze, F. E. & Salihu, U. Stabilization characteristics of cemented lateritic soil produced with selected cement types. Cement 19, 100136. https://doi.org/10.1016/j.cement.2025.100136 (2025).
Mousi, J. B. et al. Improvement of the bearing capacity of lateritic gravel by a geopolymer binder: road construction in tropical countries. Innov. Infrastruct. Solut. 9, 242. https://doi.org/10.1007/s41062-024-01575-6 (2024).
Shivaramaiah, A., Shankar, A. U. R., Singh, A. & Pammar, K. H. Utilization of lateritic soil stabilized with alkali solution and ground granulated blast furnace slag as a base course in flexible pavement construction. Int. J. Pavement Res. Technol. 13, 478–488. https://doi.org/10.1007/s42947-020-0251-5 (2020).
Kaze, R. C. et al. Lateritic soils based geopolymer materials: A review. Constr. Build. Mater. 344, 128157. https://doi.org/10.1016/j.conbuildmat.2022.128157 (2022).
Anburuvel, A., Sathiparan, N., Dhananjaya, G. M. A. & Anuruththan, A. Characteristic evaluation of geopolymer based lateritic soil stabilization enriched with eggshell Ash and rice husk Ash for road construction: an experimental investigation. Constr. Build. Mater. 387, 131659. https://doi.org/10.1016/j.conbuildmat.2023.131659 (2023).
Kamwa, R. A. T. et al. A comparative study of compressed lateritic Earth bricks stabilized with natural pozzolan-based geopolymer binders synthesized in acidic and alkaline conditions. Constr. Build. Mater. 400, 132652. https://doi.org/10.1016/j.conbuildmat.2023.132652 (2023).
Tesanasin, T. et al. Engineering properties of marginal lateritic soil stabilized with one-part high calcium fly Ash geopolymer as pavement materials. Case Stud. Constr. Mater. 17, e01328. https://doi.org/10.1016/j.cscm.2022.e01328 (2022).
Jamsawang, P., Suansomjeen, T., Sukontasukkul, P., Jongpradist, P. & Bergado, D. T. Comparative flexural performance of compacted cement-fiber-sand. Geotext. Geomembr. 46, 414–425. https://doi.org/10.1016/j.geotexmem.2018.03.008 (2018).
Chindaprasirt, P., Jamsawang, P., Sukontasukkul, P., Jongpradist, P. & Likitlersuang, S. Comparative mechanical performances of cement-treated sand reinforced with fiber for road and pavement applications. Transp. Geotech. 30, 100626. https://doi.org/10.1016/j.trgeo.2021.100626 (2021).
Chompoorat, T., Likitlersuang, S., Buathong, P., Jongpradist, P. & Jamsawang, P. Flexural performance and microstructural characterization of cement-treated sand reinforced with palm fiber. J. Mater. Res. Technol. 25, 1570–1584. https://doi.org/10.1016/j.jmrt.2023.06.036 (2023).
Rochanavibhata, U., Kruesen, K., Poorahong, H., Jongpradist, P. & Jamsawang, P. Suitability of using cemented gravel and clay blocks reinforced with steel fiber as compressed stabilized Earth blocks. Constr. Build. Mater. 444, 137808. https://doi.org/10.1016/j.conbuildmat.2024.137808 (2024).
Hoy, M. et al. Improved fatigue properties of cement-stabilized recycled materials–Lateritic soil using natural rubber latex for sustainable pavement applications. Transp. Geotech. 40, 100959. https://doi.org/10.1016/j.trgeo.2023.100959 (2023).
Kererat, C., Kroehong, W., Thaipum, S. & Chindaprasirt, P. Bottom Ash stabilized with cement and Para rubber latex for road base applications. Case Stud. Constr. Mater. 17, e01259. https://doi.org/10.1016/j.cscm.2022.e01259 (2022).
Bualuang, T., Jitsangiam, P., Nusit, K., Rattanasak, U. & Chindaprasirt, P. Enhancing lateritic soil for sustainable pavement subbase with polymer-modified cement: A comparative study of styrene butadiene rubber and styrene acrylic latex applications. Case Stud. Constr. Mater. 21, e03760. https://doi.org/10.1016/j.cscm.2024.e03760 (2024).
Buritatum, A. et al. Improved fatigue performance and cost-effectiveness of natural rubber latex–modified cement-stabilized pavement base at raised temperatures. J. Mater. Civ. Eng. 35, 04022461. https://doi.org/10.1061/(ASCE)MT.1943-5533.0004637 (2023).
Buritatun, A. et al. Mechanical strength improvement of cement-stabilized soil using natural rubber latex for pavement base applications. J. Mater. Civ. Eng. 34, 04020372. https://doi.org/10.1061/(ASCE)MT.1943-5533.0003471 (2022).
Hoy, M. et al. Improved performance of natural rubber latex–modified asphalt concretes with various types of aggregates. J. Mater. Civ. Eng. 36, 04023495. https://doi.org/10.1061/JMCEE7.MTENG-16274 (2024).
Suddeepong, A. et al. Natural rubber latex–modified concrete pavements: evaluation and design approach. J. Mater. Civ. Eng. 34, 04022215. https://doi.org/10.1061/(ASCE)MT.1943-5533.0004364 (2022).
ASTM D5102–09. Standard Test Methods for Unconfined Compressive Strength of Compacted Soil-Lime Mixtures (ASTM International, 2009).
ASTM C496-96. Standard Test Method for Splitting Tensile Strength of Cylindrical Concrete Specimens (ASTM International, 1996).
ASTM C1609/C1609M. Standard Test Method for Flexural Performance of fiber-reinforced Concrete (Using Beam with Third-Point Loading) (ASTM International, 2010).
Funding
This research budget was allocated by the National Science, Research, and Innovation Fund (NSRF) and King Mongkut’s University of Technology North Bangkok (Project No. KMUTNB-FF-69-A-05). The author, T. Chompoorat, would also like to acknowledge the Thailand Science Research and Innovation Fund and the University of Phayao (FF-69-NO.2286/2568). The author, P. Jongpradist, appreciates the financial support provided by King Mongkut’s University of Technology Thonburi (KMUTT), Thailand Science Research and Innovation (TSRI), and National Science, Research and Innovation Fund (NSRF) Fiscal year 2026 Grant number FRB690020/0164.
Author information
Authors and Affiliations
Contributions
N.T. drafted the original manuscript. T.C. interpreted results. P.Jo. reviewed and revised the manuscript for scientific content.W.K. assisted in materials preparation and figure generation. P.J. coordinated funding acquisition and resource support; supervised the overall research; critically revised the manuscript and acted as corresponding author.All authors reviewed and approved the final manuscript.
Corresponding author
Ethics declarations
Competing interests
The authors declare no competing interests.
Additional information
Publisher’s note
Springer Nature remains neutral with regard to jurisdictional claims in published maps and institutional affiliations.
Rights and permissions
Open Access This article is licensed under a Creative Commons Attribution-NonCommercial-NoDerivatives 4.0 International License, which permits any non-commercial use, sharing, distribution and reproduction in any medium or format, as long as you give appropriate credit to the original author(s) and the source, provide a link to the Creative Commons licence, and indicate if you modified the licensed material. You do not have permission under this licence to share adapted material derived from this article or parts of it. The images or other third party material in this article are included in the article’s Creative Commons licence, unless indicated otherwise in a credit line to the material. If material is not included in the article’s Creative Commons licence and your intended use is not permitted by statutory regulation or exceeds the permitted use, you will need to obtain permission directly from the copyright holder. To view a copy of this licence, visit http://creativecommons.org/licenses/by-nc-nd/4.0/.
About this article
Cite this article
Thanasisathit, N., Chompoorat, T., Jongpradist, P. et al. Toughness enhancement of geopolymer stabilized laterites using para rubber latex for sustainable base and subbase applications. Sci Rep 16, 2147 (2026). https://doi.org/10.1038/s41598-025-31957-4
Received:
Accepted:
Published:
Version of record:
DOI: https://doi.org/10.1038/s41598-025-31957-4













