Abstract
Hesperidin, a natural flavanone glycoside predominantly found in citrus fruits, has gained attention for its wide-ranging biological activities, including potential insecticidal properties. Culex pipiens, commonly known as the northern house mosquito, is a major vector of several human pathogens, such as the West Nile virus and filariasis, making it a key target in the fight against vector-borne diseases. In this study, we evaluated the larvicidal activity of Hesperidin against Culex pipiens larvae, assessing its potential as an alternative to chemical insecticides. Hesperidin demonstrated potent larvicidal effects, with a lethal concentration 50 (LC50) of 570.3 ± 0.04 µg/mL, outperforming the conventional insecticide Chlorpyrifos 588.3 ± 0.28 µg/mL in efficacy. Molecular docking simulations revealed a strong binding affinity between Hesperidin and crucial neuroreceptors in Culex pipiens, particularly acetylcholinesterase (AChE), a key enzyme involved in nerve signal transmission. The interaction between Hesperidin’s hydroxyl groups and the AChE enzyme’s active site suggests that AChE inhibition is the primary mechanism driving Hesperidin’s insecticidal action. These findings position Hesperidin as a promising, environmentally friendly alternative to synthetic insecticides. However, further research is needed to assess its toxicity to non-target organisms and optimize its formulation for broader application in mosquito control.
Similar content being viewed by others
Introduction
Hesperidin is a flavonoid glycoside predominantly found in citrus fruits, particularly in the peel and pulp of oranges, lemons, and grapefruits. This natural compound is recognized for its strong anti-inflammatory, antioxidant, and anti-apoptotic effects. As a potential therapeutic agent, Hesperidin has demonstrated promise in addressing various health issues, including diabetes, cardiovascular diseases, and cancer, by influencing important biological pathways. Its capacity to reduce oxidative stress, decrease inflammation, and safeguard against tissue damage positions it as a valuable candidate for the prevention and treatment of chronic conditions1,2,3,4,5,6. Flavonoids, especially flavanones like Hesperidin, are emerging as promising natural insecticides due to their bioactive properties and potential as eco-friendly alternatives to synthetic pesticides. Sourced from plants, these compounds offer notable benefits, such as a lower environmental impact and a reduced risk of pest resistance7. Hesperidin, abundant in citrus fruits, has shown insecticidal activity against pests such as aphids, and agricultural pests by disrupting key physiological processes like feeding, growth, reproduction, and metabolism8. One of the key benefits of plant-derived compounds is their low toxicity to non-target organisms, making them potentially safer for beneficial insects and wildlife compared to traditional chemical pesticides. However, Hesperidin effects on non-target organisms remain insufficiently understood and require further investigation7,8. Furthermore, these natural insecticides do not persist in the environment as long as synthetic chemicals, reducing long-term ecological harm. Overall, flavanones like Hesperidin present an appealing alternative for integrated pest management strategies, balancing effectiveness with environmental and health considerations7,8,9,10,11,12,13,14,15.
Mosquitoes pose a significant global health risk, transmitting deadly diseases like malaria, dengue, and Zika virus. Although synthetic insecticides have been widely used, their effectiveness is increasingly compromised by resistance. This has led to a rising interest in natural alternatives that could provide safer and more sustainable solutions for mosquito control9,11,13. Culex pipiens is the most widely distributed mosquito species16. The adult female of C. pipiens can bite different vertebrate hosts for a blood meal essential for oviposition17. These vertebrate hosts include humans, and birds, especially those close to humans, such as pigeons and doves 18. Because of this feeding behavior, C. pipiens female can spread several arboviruses, such as West Nile, Saint Louis encephalitis, Usutu, and Eastern equine encephalitis viruses19,20,21. Filariasis and avian malaria are also vector-borne diseases transmitted by C. pipiens18. Recently, C. pipiens is thought to contaminate raw milk with serious microbial pathogens22. Controlling these disease vectors is a significant challenge due to the development of insecticide resistance in mosquitoes and other pests. This issue highlights the urgent need for the discovery and testing of new insecticides to effectively combat these resistant populations23. Moreover, the need for safe and naturally extracted substances becomes a great criterion for overcoming the environmental hazards of synthetic chemical insecticides24.
Chemical insecticides like Chlorpyrifos kill mosquitoes by interfering with their nervous system. They achieve this by targeting specific neuro-receptors crucial for nerve signal transmission. For example, Chlorpyrifos inhibits acetylcholinesterase (AChE), the enzyme responsible for breaking down the neurotransmitter acetylcholine. As a result, acetylcholine accumulates at nerve synapses, causing excessive nerve firing, paralysis, and eventually death in the mosquito24,25. Nitenpyram and indoxacarb are two other insecticides that target different neuroreceptors in mosquitoes. Nitenpyram, for example, binds to nicotinic acetylcholine receptors (nAChR) on the postsynaptic membrane. These receptors are typically activated by acetylcholine, allowing sodium ions to flow into the cell and triggering nerve impulse transmission. However, nitenpyram continuously activates these receptors, causing a constant ion flow that leads to paralysis and, ultimately, death26,27. Indoxacarb, a unique oxadiazine insecticide, acts as a pro-insecticide, becoming active only after insects ingest it. Upon consumption, it is metabolized into its active form, N-decarbomethoxyllated indoxacarb (DCJW). DCJW then binds to voltage-gated sodium channels (VGSCs) in the insect nervous system, disrupting their normal function. VGSCs are crucial for nerve impulse transmission, and by blocking these channels, DCJW halts sodium ion flow, causing paralysis and eventual death. Notably, DCJW binds to a different site on VGSCs than other sodium channel blockers, such as pyrethroids, which may enhance its effectiveness against insect populations resistant to other insecticides26,27,28,29. Insecticides targeting gamma-aminobutyric acid receptors (GABARs), such as fipronil, function by blocking these receptors, leading to the overstimulation of the nervous system and eventual death30. Fipronil, a broad-spectrum insecticide, disrupts the GABA-gated chloride channels in the central nervous system of insects31. This disruption prevents the inhibitory effect of GABARs, leading to an uncontrolled influx of chloride ions, resulting in hyperexcitation of the nervous system, paralysis, and eventually death of the insect30.
This study seeks to assess the insecticidal potential of hesperidin, a natural flavanone extracted from citrus fruits, against immature Culex pipiens mosquitoes, a well-known vector of various diseases. The evaluation includes a biological assay to measure its toxicity and molecular docking simulations to explore hesperidin’s potential mechanisms of action. These simulations aim to identify interactions with specific molecular targets that may explain its observed insecticidal effects.
Results
Hesperidin isolation and characterization
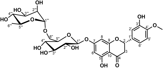
The target compound (coded C1, Fig. 1) was isolated as a white amorphous powder, exhibiting free solubility in hot methanol and slight solubility in ethyl acetate. Its flavonoid nature was confirmed by positive reactions with 5% AlCl3 in methanol and 5% alcoholic KOH/NH4OH spray reagents, producing a yellow color in each case32. A yellow color was also observed upon heating with vanillin/sulfuric acid spray reagent. A positive Molisch’s test indicated the presence of glycosidic moieties within the compound33 Its HR-ESI–MS analysis showed a sodiated molecular ion peak [M + Na]+ at m/z 633.1804 and a deprotonated molecular ion peak [M–H]− at m/z 609.1810, corresponding to the molecular formula C28H34O15 (See Figures S1, S2). The APT spectrum (Figure S3) revealed 28 carbon signals, consistent with a methoxylated flavanone backbone (16 signals) and two sugar moieties. A carbonyl signal at δC 197.5 ppm and oxygenated aromatic carbon signals at δC 163.5, 165.6, and 163.0 ppm (assigned to C-5, C-7, and C-9) confirmed the flavanone structure. The 1H-NMR spectrum (Figure S4) showed two meta-coupled protons at δH 6.14 (d, J = 2.2 Hz) and δH 6.16 (d, J = 2.2 Hz), assigned for H-6 and H-8 of the skeleton. The presence of a methoxy group at C-4' was indicated by a 13C NMR signal at δC 148.4 ppm. Additionally, intense aromatic carbon signals at δC 112.5, 114.6, and 118.4 ppm were attributed to C-5', C-6', and C-2', respectively. The downfield shift of C-3' in the 13C NMR spectrum (δC 146.9 ppm) and the presence of three proton signals in the 1H NMR spectrum at δH 6.95 (dd, J = 8.4, 2.0 Hz, H-6'), 6.96 (d, J = 8.4 Hz, H-5'), and 6.96 (d, J = 2.0 Hz, H-2') revealed an ABX spin system, further confirming the flavanone structure. The presence of two anomeric proton signals in the 1H NMR spectrum at δH 4.99 (d, J = 7.3 Hz) and δH 4.54 (d, J = 1.6 Hz), along with a three-proton signal at δH 1.10 ppm, suggested a glycosylated flavonoid. Acid hydrolysis, followed by TLC analysis of the resulting sugars against authentic standard sugars using a mobile phase of n-butanol: pyridine: glacial acetic acid: ethyl acetate: H₂O (50:20:10:25:20 v/v) on precoated cellulose F254 plates2,3,34,35 was performed. The developed chromatogram, visualized with aniline hydrogen phthalate spray reagent, revealed Rf values of 0.76 (yellowish brown) and 0.45 (brown), corresponding to L-rhamnose and D-glucose, respectively. The coupling constants of the anomeric protons confirmed the β-configuration for glucose (J = 7.3 Hz) and α-configuration for rhamnose (J = 1.6 Hz). Finally, the downfield shift of C-6'' in the 13C NMR spectrum established the 1 → 6 linkage between glucose and rhamnose36. The Supplementary materials contained the full spectral data. The spectral data was consistent with those published for Hesperidin37.
Larval bioassay
The larvicidal activity of Hesperidin against the third larval instar of Culex pipiens was evaluated, revealing a clear dose-dependent relationship (Table 1, Fig. 2). Mortality rates increased exponentially with increasing Hesperidin concentrations, reaching a maximum at 1000 µg/mL and a minimum at 125 µg/mL. The LC50 value for Hesperidin was determined to be 570.3 ± 0.04 µg/mL, indicating that 50% of the larvae were killed at this concentration. Statistical analysis, including a goodness-of-fit test (7.8) and a high correlation coefficient (slope = 3.1), confirmed a strong correlation between Hesperidin concentration and larval mortality.
When compared to the conventional organophosphate pesticide “Chlorpyrifos” Hesperidin demonstrated comparable or even greater insecticidal efficacy under identical experimental conditions. The LC50 for Hesperidin (570.3 ± 0.04 µg/mL) was slightly lower than that for Chlorpyrifos (588.3 ± 0.28 µg/mL), suggesting that Hesperidin is more effective in killing larvae at lower concentrations.
Further examination of the LC25 and LC90 values (Table 1) revealed distinct differences between the two compounds. The LC25 for Chlorpyrifos (247.3 ± 0.31 µg/mL) was lower than that for Hesperidin (346.5 ± 0.02 µg/mL), indicating that Chlorpyrifos causes mortality at lower concentrations early in the exposure period. In contrast, the LC90 for Hesperidin (1469.9 ± 0.06 µg/mL) was lower than that for Chlorpyrifos (3052.4 ± 0.95 µg/mL), suggesting that Hesperidin reaches a higher level of toxicity at a lower dose compared to Chlorpyrifos at the higher dose range. These results suggest that Chlorpyrifos has a steeper dose–response curve, leading to rapid mortality at lower concentrations, while Hesperidin demonstrates a more gradual increase in toxicity at higher concentrations, becoming fully lethal at a lower dose compared to Chlorpyrifos.
Additionally, Hesperidin-induced neurotoxic symptoms in C. pipiens larvae were similar to those caused by Chlorpyrifos, including tremors, uncoordinated movements, paralysis, and ultimately death. These findings highlight the promising potential of Hesperidin as a natural larvicide with comparable or superior efficacy to conventional chemical insecticides.
Molecular docking assessment
To study the binding interactions of Hesperidin with mosquito neuroreceptors, three-dimensional (3D) structures of Culex pipiens acetylcholinesterase (AChE), nicotinic acetylcholine receptor (nAChR), voltage-gated sodium channel (VGSC) α subunit, and gamma-aminobutyric acid receptor (GABAR) were modeled using protein homology modeling, as these structures were not available in the Protein Data Bank (PDB). The AChE model was based on the crystal structure of Anopheles gambiae acetylcholinesterase in complex with PMSF (SMTL ID: 5ydj.1). The nAChR and VGSC α subunit models were based on AlphaFold DB models of Drosophila melanogaster proteins: Q9W3G6.1.A (Nicotinic acetylcholine receptor alpha3) and P35500.1.A (Sodium channel protein para), respectively. The GABAR model was derived from the AlphaFold DB model of A0A1Q3FSL5.1, a putative gamma-aminobutyric acid type B receptor from Culex tarsalis (gene: A0A1Q3FSL5_CULTA). The quality assessment of these models yielded the following results: the AChE model achieved a GMQE score of 0.84, a QMEAN Z-score of -0.53, and a Ramachandran plot analysis showing 94.50% favored residues and 0.47% outliers (Figures S5–S8). The nAChR model obtained a GMQE score of 0.66, a MolProbity score of 1.40, a clash score of 1.21, with 89.45% Ramachandran favored residues, 4.19% Ramachandran outliers, and 0.65% rotamer outliers. The VGSC α subunit model had a GMQE score of 0.62, a MolProbity score of 1.74, a clash score of 0.45, with 83.12% Ramachandran favored residues, 9.26% Ramachandran outliers, and 3.24% rotamer outliers. The GABAR model presented a GMQE score of 0.68, a MolProbity score of 1.87, a clash score of 0.91, with 81.90% Ramachandran favored residues, 10.38% Ramachandran outliers, and 3.23% rotamer outliers. The templates used for modeling offered high query coverage and good sequence identity with the target C. pipiens proteins, with query coverage of 99%, 99%, 98%, and 96%, and sequence identity of 83.88%, 70.85%, 87.04%, and 96.38% for AChE, nAChR, VGSC α subunit, and GABAR, respectively24,38,39. All generated models demonstrated reliable and stable structures based on these quality assessment measures.
The results of the molecular docking analysis (Table 2) provide insights into the potential interaction between Hesperidin and the four key neuroreceptors of C. pipiens mosquitoes (AChE, nAChR, VGSC α subunit, and GABAR). The S score (kcal/mol) reflects the binding affinity, where a lower value indicates a more stable interaction between the ligand (Hesperidin) and the receptor. Here, Hesperidin exhibited significant binding affinity with the mosquito neuroreceptors compared to the conventional insecticides Chlorpyrifos, Nitenpyram, Indoxacarb (DCJW), and Fipronil. For instance, Hesperidin showed a strong binding affinity to AChE (S = − 9.64 kcal/mol), potentially comparable to Chlorpyrifos (S = − 6.89 kcal/mol). Similarly, Hesperidin also displayed promising binding affinities towards nAChR, VGSC α subunit, and GABAR (S = − 7.99 kcal/mol, S = − 7.53 kcal/mol, and S = − 8.19 kcal/mol, respectively) that could rival scores of the reference insecticides Nitenpyram, Indoxacarb (DCJW), and Fipronil (S = − 6.04 kcal/mol, S = − 7.21 kcal/mol, and S = − 5.88 kcal/mol, respectively).
The RMSD Refine value (Å), another crucial parameter assessed in the docking analysis, reflects the fitness of the binding pose. A lower RMSD Refine value indicates a more precise and stable ligand-receptor complex. While the S score emphasizes the binding interaction strength, the RMSD Refine value ensures the ligand adopts a conformation favourable for its intended function. The results suggest that Hesperidin presented acceptable RMSD Refine values with all four neural receptors, indicating favourable pose predictions and good binding affinities.
In addition to the higher observed binding affinity and lower RMSD Refine values with the four targeted receptors, Hesperidin showed considerable interactions with these receptors compared to the conventional insecticides docked at each receptor (Table 3 and Figs. 3, 4, 5 and 6). Specifically, Hesperidin formed multiple hydrogen bonds and pi interactions with key residues of the four receptors: For AChE, Hesperidin formed four hydrogen bonds with GLY 412 (B), HIS 567 (B), SER 327 (B), and TRP 212 (B), with distances ranging from 2.91 to 3.64 Å and binding energies between −0.5 and −0.9 kcal/mol. In contrast, Chlorpyrifos formed three hydrogen bonds with TRP 212 (B) and GLY 246 (B), with distances of 3.72 to 3.89 Å and binding energies from −0.6 to −1.2 kcal/mol. For nAChR, Hesperidin formed three hydrogen bonds with ILE 110 (A), ASP 109 (A), and TYR 171 (A), with distances between 2.86 and 3.59 Å and energies from −0.6 to −1.3 kcal/mol. Nitenpyram formed four hydrogen bonds with ILE 110 (A) and GLN 78 (A), with distances of 2.92 to 4.44 Å, showing binding energies of −0.7 to −2.1 kcal/mol. For the VGSC α subunit, Hesperidin formed five hydrogen bonds with GLU 1398 (A), GLU 160 (A), GLU 1405 (A), and GLN 1402 (A), with distances of 2.76 to 3.3 Å and binding energies ranging from −0.5 to −3.6 kcal/mol. Indoxacarb (DCJW) formed three hydrogen bonds with GLU 1405 (A) and ASP 1413 (A), with distances of 3.31 to 3.44 Å and a binding energy of −0.8 kcal/mol. For GABAR, Hesperidin formed eight hydrogen bonds with ALA 123 (A), ALA 146 (A), GLU 57 (A), THR 125 (A), and THR 148 (A), with distances ranging from 2.77 to 3.27 Å and binding energies between −0.6 and −2.6 kcal/mol. Fipronil formed five hydrogen bonds with THR 272, TYR 196, and ARG 195, with distances of 2.88 to 3.68 Å and binding energies from −0.5 to −2.1 kcal/mol. These results highlight the superior binding interactions and stability of Hesperidin with the receptors, suggesting its potential as an effective and environmentally friendly insecticide.
2D and 3D molecular interactions of (A) Hesperidin with acetylcholinesterase (AChE) of Culex pipiens compared to (B) the interaction of the conventional AChE inhibitor insecticide Chlorpyrifos with the same receptor. The diagrams on the left illustrate the types of interactions and the key amino acids involved, while the 3D models on the right provide a spatial perspective of these interactions within the AChE binding site. The figure was generated using Molecular Operating Environment (MOE), version 2024.06 (Chemical Computing Group ULC, Montreal, QC, Canada; URL: https://www.chemcomp.com).
2D and 3D molecular interactions of (A) Hesperidin with nicotinic acetylcholine receptor (nAChR) of Culex pipiens compared to (B) the interaction of the conventional nAChR blocking insecticide Nitenpyram with the same receptor. The diagrams on the left illustrate the types of interactions and the key amino acids involved, while the 3D models on the right provide a spatial perspective of these interactions within the nAChR binding site. The figure was generated using Molecular Operating Environment (MOE), version 2024.06 (Chemical Computing Group ULC, Montreal, QC, Canada; URL: https://www.chemcomp.com).
2D and 3D molecular interactions of (A) Hesperidin with voltage-gated sodium channel (VGSC) of Culex pipiens compared to (B) the interaction of the conventional VGSC blocking insecticide Indoxacarb (DCJW) with the same receptor. The diagrams on the left illustrate the types of interactions and the key amino acids involved, while the 3D models on the right provide a spatial perspective of these interactions within the VGSC binding site. The figure was generated using Molecular Operating Environment (MOE), version 2024.06 (Chemical Computing Group ULC, Montreal, QC, Canada; URL: https://www.chemcomp.com).
2D and 3D molecular interactions of (A) Hesperidin with gamma-aminobutyric acid receptor (GABAR) of Culex pipiens compared to (B) the interaction of the conventional GABAR blocking insecticide Fipronil with the same receptor. The diagrams on the left illustrate the types of interactions and the key amino acids involved, while the 3D models on the right provide a spatial perspective of these interactions within the GABAR binding site. The figure was generated using Molecular Operating Environment (MOE), version 2024.06 (Chemical Computing Group ULC, Montreal, QC, Canada; URL: https://www.chemcomp.com).
Discussion
Culex pipiens is a major vector of several arboviral and protozoal diseases, including West Nile virus, encephalitis, and malaria, which impact humans, animals, and birds16,20,21,22. The rising insecticide resistance in Culex pipiens presents a significant challenge to existing vector control programs, complicating efforts to manage mosquito populations effectively. This escalating resistance to conventional synthetic insecticides highlights the urgent need for alternative, more sustainable solutions23,24. Plant extracts and their derivatives have garnered increasing attention as promising mosquito control agents, thanks to their natural, eco-friendly properties9,10,14,24. Numerous studies have shown the effectiveness of plant-based insecticides against mosquito species, including Culex pipiens, emphasizing their ability to interfere with mosquito growth, feeding, and reproduction24,40,41,42. Furthermore, plant-derived insecticides typically present a lower risk to non-target species, such as honeybees and other beneficial insects, making them a more appealing alternative to chemical pesticides9,10,11,13. The use of plant extracts provides a safer, environmentally friendly approach and offers a viable strategy to combat insecticide resistance, a growing concern in mosquito management9,10,24.
In this study, Hesperidin, a compound derived from citrus trees, was extracted and evaluated for its insecticidal potential against C. pipiens larvae. Hesperidin, possessing multiple hydroxyl groups, was hypothesized to interact with the nervous system similarly to other hydroxyl-containing insecticides such as spinosyns, carvacrol, thymol derivatives, and organophosphates43,44,45,46. This hypothesis is supported by previous studies demonstrating Hesperidin insecticidal activity against various insect species7,8. In our study, we focus on hesperidin due to its nature as a plant-derived compound, which is generally considered safer for the environment and non-target organisms. Its established use in human therapies, including its antioxidant and anti-inflammatory effects, suggests it could be a safer alternative to conventional synthetic insecticides. However, while hesperidin shows promise as an environmentally friendly option, there are few studies examining its insecticidal properties, and most research has focused on its therapeutic effects. As a result, its potential impact on non-target organisms, including beneficial insects like bees and other pollinators, remains insufficiently understood8. More research is needed to evaluate its safety profile and environmental impact, particularly within the context of integrated pest management.
Hesperidin-induced neurotoxic symptoms in C. pipiens larvae were like those observed with the known nerve poison Chlorpyrifos, including tremors, uncoordinated movements, paralysis, and ultimately death. This observation strongly suggests that Hesperidin, like Chlorpyrifos, may act as a nerve poison, potentially targeting neural receptors such as acetylcholinesterase (AChE), nicotinic acetylcholine receptor (nAChR), voltage-gated sodium channel alpha subunits (VGSC α subunit), or gamma-aminobutyric acid receptors (GABAR) in mosquito larvae.
The comparison of the LC25, LC50, and LC90 values for Hesperidin and Chlorpyrifos reveals important insights into their respective toxicological profiles. The LC25 for Chlorpyrifos (247.3 ± 0.31 µg/mL) was lower than that for Hesperidin (346.5 ± 0.02 µg/mL), suggesting that Chlorpyrifos causes mortality at lower concentrations during the initial stages of exposure. This is consistent with Chlorpyrifos being a highly potent organophosphate insecticide, which acts quickly on the target organism, leading to rapid mortality at low concentrations.
However, the LC50 for Hesperidin (570.3 ± 0.04 µg/mL) was slightly lower than that for Chlorpyrifos (588.3 ± 0.28 µg/mL), indicating that while Chlorpyrifos is more effective at lower concentrations, Hesperidin becomes more lethal at higher concentrations. This suggests that Hesperidin exhibits a more gradual onset of toxicity, which increases more steadily as the concentration rises, whereas Chlorpyrifos causes a faster and more immediate lethal effect at lower concentrations but may show diminishing returns at higher concentrations.
More strikingly, the LC90 for Hesperidin (1469.9 ± 0.06 µg/mL) was significantly lower than that for Chlorpyrifos (3052.4 ± 0.95 µg/mL). This finding indicates that Hesperidin reaches full mortality at a lower concentration than Chlorpyrifos, reflecting the natural compound’s effectiveness in achieving high toxicity at lower doses. In contrast, Chlorpyrifos requires nearly twice the concentration to achieve the same level of lethality. This supports the idea that Hesperidin exhibits a more efficient dose–response curve at higher concentrations, becoming fully lethal at relatively lower doses compared to the conventional chemical pesticide.
Overall, these results suggest that Chlorpyrifos operates with a steeper dose–response curve, which causes rapid mortality at low concentrations but may have a plateau effect at higher doses. On the other hand, Hesperidin shows a gradual increase in toxicity with rising concentrations, demonstrating its potential as a natural, lower toxicity larvicide with comparable efficacy at higher doses.
These findings highlight the unique potential of Hesperidin as a natural alternative to chemical insecticides. Its lower toxicity at early stages of exposure may provide an advantage in pest control strategies where a more controlled, less harmful approach is desired, while its effectiveness at higher doses still ensures efficient pest management. Given its promising larvicidal effects and neurotoxic symptoms similar to those of Chlorpyrifos, Hesperidin could serve as a valuable tool in integrated pest management, especially in environments where reduced chemical pesticide use is prioritized.
Molecular docking studies were conducted to investigate the potential mode of action for Hesperidin on different neural receptors based on the observed neurotoxic symptoms during larval bioassays. The resulting data were largely promising in identifying the potential neural targets that may lead to insect death. Overall, the in silico docking analysis combined with the bioassay results identified Hesperidin as a promising insect nerve poison due to its favourable binding affinities and pose predictions with the key neuroreceptors in C. pipiens mosquitoes. These findings warrant further exploration through in vitro and in vivo assays to validate its potential as an effective insecticide.
The structure of a molecule, particularly its shape, size, and functional groups, significantly influences its interactions with biological systems, thereby determining its potential toxicity47,48,49,50,51. Different elements within a molecule can contribute to its toxicity in various ways. Electrophilic centers, for example, can react with nucleophilic sites in biomolecules like DNA and proteins, leading to cellular damage and dysfunction. Lipophilic groups can enhance a molecule’s ability to cross cell membranes and accumulate in tissues, increasing its potential for harm. Stereochemistry also plays a crucial role, as different isomers of a molecule can exhibit vastly different biological activities and toxicities47,48,49,50,51.
The presence of multiple hydroxyl groups in the hesperetin aglycone of Hesperidin is a key factor in its neurotoxic properties. These hydroxyl groups, with their various orientations, facilitate interactions with different neural targets. Among these, acetylcholinesterase (AChE) is identified as the primary target for Hesperidin, as evidenced by its higher binding affinity for AChE compared to other neural targets such as nAChR, VGSC α subunit, and GABAR. Hesperidin’s binding affinity for AChE exceeds that of the conventional AChE inhibitor, Chlorpyrifos. Docking scores and analysis of the type and quantity of interactions with AChE (Table 3), particularly the formation of multiple hydrogen bonds between the hydroxyl groups of Hesperidin and key residues within the AChE catalytic triad (HIS 567 (B) and SER 327 (B); Table 3), further support this observation52,53,54.
Additionally, Hesperidin exhibited strong binding affinities to other neural receptors, comparable to those of reference insecticides. For nAChR, Hesperidin formed multiple hydrogen bonds with residues such as ILE 110 (A), ASP 109 (A), and TYR 171 (A), indicating its potential to disrupt normal receptor function and cause neurotoxic effects. In comparison, the reference insecticide nitenpyram also formed significant hydrogen bonds with similar residues, highlighting Hesperidin’s comparable efficacy. Similarly, for the VGSC α subunit, Hesperidin formed significant interactions with GLU 1398 (A), GLU 160 (A), GLU 1405 (A), and GLN 1402 (A), which are crucial for proper neural signaling. Indoxacarb (DCJW), the reference insecticide for VGSC, also interacts with these key residues, suggesting that Hesperidin could have a similar inhibitory effect. Importantly, Hesperidin showed substantial binding affinity to GABAR, forming hydrogen bonds with residues such as ALA 123 (A), ALA 146 (A), GLU 57 (A), THR 125 (A), and THR 148 (A). The reference insecticide fipronil also targets these residues, underscoring the potential of Hesperidin to effectively inhibit GABAR function and contribute to its neurotoxic effects. This comprehensive interaction profile suggests that Hesperidin, like the reference insecticides, can effectively disrupt neural receptor functions in C. pipiens larvae. Visualizing the interaction of Hesperidin with acetylcholinesterase (AChE), nicotinic acetylcholine receptor (nAChR), voltage-gated sodium channel (VGSC) α subunit, and gamma-aminobutyric acid receptor (GABAR) (Fig. 7) demonstrate how its shape and size fit perfectly within the respective binding pockets of these receptors. The precise fit of Hesperidin in these pockets highlights its potential for effective binding and inhibition. Additionally, the hydrophobic interactions facilitated by the hydrophobic residues within these pockets enhance the binding stability of Hesperidin, influencing its inhibitory action on these neuroreceptors. This comprehensive interaction profile underscores Hesperidin’s potential as a potent insecticide by effectively targeting the different neural receptors of C. pipiens larvae.
Molecular docking interactions of Hesperidin with key neuroreceptors in Culex pipiens. The blue structure represents the ligand Hesperidin, while the green surface indicates the binding pockets of the neuroreceptors. (A) Interaction of Hesperidin with Acetylcholinesterase (AChE), highlighting the fit within the enzyme’s active site. (B) Interaction of Hesperidin with Nicotinic Acetylcholine Receptor (nAChR), demonstrating the binding conformation within the receptor site. (C) Interaction of Hesperidin with Voltage-Gated Sodium Channel (VGSC) α subunit, showing the ligand nestled within the channel’s binding pocket. (D) Interaction of Hesperidin with Gamma-Aminobutyric Acid Receptor (GABAR), illustrating the multiple points of contact between the ligand and the receptor. The figure was generated using Molecular Operating Environment (MOE), version 2024.06 (Chemical Computing Group ULC, Montreal, QC, Canada; URL: https://www.chemcomp.com).
The molecular docking results, in conjunction with the observed neurotoxic symptoms in the bioassay, strongly indicate that Hesperidin functions as an insect neurotoxin primarily through potent acetylcholinesterase (AChE) inhibition. While Hesperidin’s binding affinity for AChE differs substantially from that of Chlorpyrifos, the difference in insecticidal activity is not as pronounced. This suggests that factors beyond binding affinity, such as bioavailability, lipophilicity, and metabolic stability, may play a crucial role in Hesperidin’s efficacy. To optimize Hesperidin as a potential insecticide, further research is necessary to investigate and enhance these properties. In vitro and in vivo studies are also essential to confirm these findings and assess Hesperidin’s potential as a novel, environmentally friendly insecticide.
Material and methods
Apparatus and chemicals
Proton Nuclear Magnetic Resonance (1H NMR) (400 MHz) and Carbon-13 Nuclear Magnetic Resonance (13C NMR) (100 MHz) spectra were recorded on a Bruker DPX-400 spectrometer. HRESI-MS data was recorded on a quadrupole time-of-flight mass spectrometer (Agilent QTOF-LC–MS, Agilent Technologies, USA). Column chromatography was performed using silica gel G (60-230 mesh, Merck) packed with the appropriate solvent system (dry or wet packing). The progress of isolation was monitored by thin-layer chromatography (TLC) using precoated silica gel 60 GF254 plates (Merck). All solvents used for extraction and purification were distilled before use. Spectral-grade solvents were employed for NMR spectroscopy.
Plant material
The aerial parts of Citrus japonica were collected at the fruiting stage from Mansoura University Gardens, Mansoura University, Egypt. Plant identification was confirmed by Dr. Ibrahim Mashaly, Professor of Ecology, Faculty of Sciences, Mansoura University. A voucher specimen (Cj-2024) has been deposited in the herbarium of the Department of Pharmacognosy, Faculty of Pharmacy, Mansoura University55. Shade drying was employed, typically conducted at ambient temperatures ranging from 20 to 25 °C, considered a comfortable room temperature.
Isolation of hesperidin
The dried and powdered aerial parts of Citrus japonica (2 kg) underwent sequential maceration with distilled methanol (4 × 7 L). The combined methanol extracts were concentrated under reduced pressure to yield a syrup, which was then dried to a constant weight (414 g) in a desiccator over anhydrous CaCl2. This crude extract was suspended in water and successively partitioned with petroleum ether (7 × 1 L), dichloromethane (6 × 1 L), and ethyl acetate (9 × 1 L). The ethyl acetate fraction, concentrated under reduced pressure, was reserved for Hesperidin isolation. The ethyl acetate fraction underwent initial separation by normal-phase column chromatography using silica gel G 60-230 mesh (Merck). Gradient elution with varying mixtures of petroleum ether-ethyl acetate, dichloromethane-ethyl acetate, and dichloromethane-methanol was employed. Fractions were monitored by silica gel TLC and pooled based on similarity. Hesperidin-rich fractions were subjected to further purification using repeated normal-phase column chromatography with optimized solvent systems. Final purification was achieved using reversed-phase column chromatography with RP-C18 stationary phase (Merck, Germany).
Mosquito larval colony maintenance
The C. pipiens laboratory strain, utilized in this study, was reared and maintained for approximately 24 generations within a controlled insectary environment at the Entomology Department of the Faculty of Science, Ain Shams University. Standard rearing protocols were followed, with conditions maintained at 27 ± 2 °C, 75 ± 5% relative humidity, and a 12:12 light: dark photoperiod56. Newly hatched larvae were fed TetraMin fish food. Pupae were transferred to wooden cages (25 × 30 × 25 cm) before emergence. Adult mosquitoes were provided a 10% sucrose solution daily and females were offered blood meals from a pigeon host57.
Larval bioassay
Larval bioassays were conducted according to the World Health Organization standard protocol58. Twenty-third-instar C. pipiens larvae were exposed to each of five Hesperidin concentrations (1000, 750, 500, 250, and 125 ppm) dissolved in dimethyl sulfoxide (DMSO) and diluted with distilled water. Three replicates were used per concentration, with DMSO and water serving as the control. Larval mortality was recorded after 24 h, with non-responsive larvae to touch deemed dead59.
Statistical analysis
Larval mortality data were analyzed using the LDP line program. Lethal concentrations (LC25, LC50, LC90) were determined with 95% confidence intervals. Abbott’s formula corrected the control mortality, and the Finney formula, Chi-square test, and goodness of fit test (r2) were applied60,61. The toxicity index (T.I.) of Hesperidin against mosquito larvae was calculated using Sun’s equation62.
Building a 3D structure model for C. Pipiens neuroreceptors
The amino acid sequences for the target receptors, house mosquito (C. pipiens) acetylcholinesterase (AChE) (Accession Number: Q86GC8), nicotinic acetylcholine receptor (nAChR) (Accession Number: A0A8D8NUM7), voltage-gated sodium channel alpha subunit (VGSC α subunit) (Accession Number: A0A8D8AMN4), and gamma-aminobutyric acid (GABAR) (Accession Number: A0A8D8CG52) were retrieved from the UniProt Knowledgebase (UniProtKB) (https://www.uniprot.org/).
Due to the potential limitations of using pre-defined structures, homology modeling was employed to generate 3D models for the AChE, the nAChR, the VGSC α subunit, and the GABAR. SWISS-MODEL (https://swissmodel.expasy.org/), a web-based server for protein structure prediction, was used for this purpose39,63,64,65. This server utilizes a combination of BLASTp and HHBlits algorithms to identify suitable template structures within the Protein Data Bank (PDB) and SWISS-MODEL Template Library (SMTL) databases for each receptor39. The identified templates are then used to build a reliable model for the target protein sequence. Our use of SWISS-MODEL complies fully with its Terms of Use, ensuring adherence to all stipulated guidelines39,64,65.
The quality of the generated homology models was evaluated using the Z-scoring functions, General Model Quality Estimate (GMQE), and Qualitative Model Energy Analysis (QMEAN), which are specifically designed for SWISS-MODEL outputs24,39,63 These scores provide an objective assessment of the model’s accuracy and reliability.
Molecular docking assessment
To investigate the potential mode of action behind the observed larvicidal activity, molecular docking simulations were performed. The 2D structure of Hesperidin was generated using ChemDraw 20.0 and subsequently converted to a 3D structure using the Molecular Operating Environment (MOE) software (version 2024.06; https://www.chemcomp.com/en/index.htm). MOE was also utilized for protonation state assignment, partial charge calculation, and initial energy minimization. To further refine the 3D structure and enhance docking accuracy, geometry optimization, and energy minimization were conducted using Wave Function Spartan v14.038.
For docking simulations, the generated models of protein structures for the target receptors (acetylcholinesterase—AChE, nicotinic acetylcholine receptor—nAChR, voltage-gated sodium channel alpha subunit—VGSC α subunit, and gamma-aminobutyric acid receptor -GABAR) were prepared in MOE. Alpha pockets within these receptor structures were identified using the MOE-Site-Finder function. Docking was performed using MOE, employing a non-bonded cut-off value of 8–10 Å for Lennard–Jones terms and the MMFF94x force field for energy minimization (converging to an RMS gradient of 0.1 kcal/mol/Å).
For each receptor, 100 docking poses were generated for Hesperidin, and the top 10 poses with the lowest docking energies were selected for further analysis. To assess the binding affinity of Hesperidin to each receptor, the London ΔG energy scoring function was employed. Additionally, to validate the docking protocol and provide a reference for comparison, four known insecticides – Chlorpyrifos (AChE inhibitor), Nitenpyram (nAChR blocker), Indoxacarb (DCJW) (VGSC α subunit blocker), and Fipronil (GABAR blocker) – were docked with their respective target receptors. The docking scores of Hesperidin were then compared to those of the reference insecticides to infer potential interactions and mechanisms of action38,66,67.
Conclusion
The findings from this study underscore the potential of Hesperidin as a promising natural insecticide with potent larvicidal activity against Culex pipiens. The strong correlation between bioassay and molecular docking results supports the efficacy of Hesperidin, particularly its significant inhibition of acetylcholinesterase (AChE). Hesperidin demonstrated a high binding affinity to AChE, forming multiple hydrogen bonds with key residues in the enzyme’s catalytic triad, thereby validating its role as a nerve poison. Additionally, Hesperidin’s interactions with nicotinic acetylcholine receptors (nAChR), voltage-gated sodium channel alpha subunit (VGSC α subunit), and gamma-aminobutyric acid receptor (GABAR) further highlight its multi-targeted insecticidal mechanism.
As a natural compound derived from citrus fruits, Hesperidin presents an environmentally friendly alternative to synthetic insecticides, potentially reducing harm to non-target organisms and minimizing environmental impact. However, comprehensive toxicity studies are required to evaluate its safety for non-target species, including plants and mammals, before it can be recommended for widespread use.
Future research should focus on optimizing Hesperidin’s bioavailability, lipophilicity, and metabolic stability to enhance its insecticidal properties. Additionally, in vitro and in vivo studies are essential to confirm these findings and fully establish Hesperidin’s potential as an effective and sustainable insecticide. These efforts will contribute to developing integrated pest management strategies that leverage natural compounds for efficient vector control.
Data availability
The authors affirm that the data underpinning the findings of this study are included within the paper and its Supplementary Information files. Should there be a need for any raw data files in a different format, these are available from the corresponding author upon reasonable request.
References
Pyrzynska, K. Hesperidin: A review on extraction methods, stability and biological activities. Nutrients 14, 2387 (2022).
Sharma, P. et al. Isolation and characterization of hesperidin from orange peel. Indo Am. J. Pharmaceut. Res. 3, 3892–3897 (2013).
Stanisic, D. et al. New sustainable process for hesperidin isolation and anti-ageing effects of hesperidin nanocrystals. Molecules 25, 4234 (2020).
Li, Y., Kandhare, A. D., Mukherjee, A. A. & Bodhankar, S. L. Acute and sub-chronic oral toxicity studies of hesperidin isolated from orange peel extract in Sprague Dawley rats. Regul. Toxicol. Pharmacol. 105, 77–85 (2019).
Ortiz, A. C. et al. Therapeutic effects of citrus flavonoids neohesperidin, hesperidin and its aglycone, hesperetin on bone health. Biomolecules 12, 626 (2022).
Parhiz, H., Roohbakhsh, A., Soltani, F., Rezaee, R. & Iranshahi, M. Antioxidant and anti-inflammatory properties of the citrus flavonoids hesperidin and hesperetin: An updated review of their molecular mechanisms and experimental models. Phytother. Res. 29, 323–331 (2015).
da Silva, D. F. et al. Valorization of hesperidin from citrus residues: Evaluation of microwave-assisted synthesis of hesperidin-Mg complex and their insecticidal activity. J. Braz. Chem. Soc. 33, 772–782 (2022).
Stec, K., Kordan, B., Bocianowski, J. & Gabryś, B. Hesperidin as a species-specific modifier of aphid behavior. Int. J. Mol. Sci. 25, 4822 (2024).
Vivekanandhan, P., Panikar, S., Sethuraman, V., Usha-Raja-Nanthini, A. & Shivakumar, M. S. Toxic and synergetic effect of plant essential oils along with nano-emulsion for control of three mosquito species. J. Nat. Pesticide Res. 5, 100045 (2023).
Vivekanandhan, P., Usha-Raja-Nanthini, A., Valli, G. & Subramanian Shivakumar, M. Comparative efficacy of Eucalyptus globulus (Labill) hydrodistilled essential oil and temephos as mosquito larvicide. Nat. Prod. Res. 34, 2626–2629 (2020).
Vivekanandhan, P., Karthi, S., Shivakumar, M. S. & Benelli, G. Synergistic effect of entomopathogenic fungus Fusarium oxysporum extract in combination with temephos against three major mosquito vectors. Pathog. Glob Health 112, 37–46 (2018).
Perumal, V., Kannan, S., Pittarate, S. & Krutmuang, P. A review of entomopathogenic fungi as a potential tool for mosquito vector control: A cost-effective and environmentally friendly approach. Entomol. Res. 54, e12717 (2024).
Vivekanandhan, P., Senthil-Nathan, S. & Shivakumar, M. S. Larvicidal, pupicidal and adult smoke toxic effects of Acanthospermum hispidum (DC) leaf crude extracts against mosquito vectors. Physiol. Mol. Plant Pathol. 101, 156–162 (2018).
Vivekanandhan, P. et al. Comparative analysis of major mosquito vectors response to seed-derived essential oil and seed pod-derived extract from Acacia nilotica. Int. J. Environ. Res. Public Health 15, 388 (2018).
Araújo, M. F., Castanheira, E. M. S. & Sousa, S. F. The buzz on insecticides: A review of uses, molecular structures, targets, adverse effects, and alternatives. Molecules 28, 3641 (2023).
Wld, B., Org, H. & Barr, A. R. Occurrence and distribution of the Culex pipiens complex. Bull. World Health Organ 37, 293 (1967).
Phasomkusolsil, S. et al. The effects of human and rhesus macaque blood meal sources on mosquito reproduction and adult survival under laboratory conditions. https://doi.org/10.2139/SSRN.4493772
Gorris, M. E. et al. Updated distribution maps of predominant Culex mosquitoes across the Americas. Parasit. Vectors 14, 1–13 (2021).
Barba, M., Fairbanks, E. L. & Daly, J. M. Equine viral encephalitis: Prevalence, impact, and management strategies. https://doi.org/10.2147/VMRR.S168227 (2019).
Vitek, C. J., Richards, S. L., Mores, C. N., Day, J. F. & Lord, C. C. Arbovirus transmission by Culex nigripalpus in Florida, 2005. J. Med. Entomol. 45, 483 (2008).
Hamer, G. L. et al. Host selection by Culex pipiens mosquitoes and west nile virus amplification. Am. J. Trop. Med. Hyg. 80, 268–278 (2009).
Adly, E., Hegazy, A. A., Kamal, M. & Abu-Hussien, S. H. Midguts of Culex pipiens L. (Diptera: Culicidae) as a potential source of raw milk contamination with pathogens. Sci. Rep. 12, 13183 (2022).
Sato, Y. et al. Insecticide resistance by a host-symbiont reciprocal detoxification. Nat. Commun. 12, 1–8 (2021).
Rao, P., Goswami, D. & Rawal, R. M. Revealing the molecular interplay of curcumin as Culex pipiens acetylcholine esterase 1 (AChE1) inhibitor. Sci. Rep. 11, 17474 (2021).
Waiskopf, N. & Soreq, H. Cholinesterase Inhibitors: From Molecular Mechanisms of Action to Current and Future Prospects. From Molecular Mechanisms of Action to Current and Future Prospects. In Handbook of Toxicology of Chemical Warfare Agents: Second Edition 761–778. https://doi.org/10.1016/B978-0-12-800159-2.00052-X (2015).
Gupta, R. C. & Milatovic, D. Insecticides. In Biomarkers in Toxicology 389–407. https://doi.org/10.1016/B978-0-12-404630-6.00023-3 (2014).
Rust, M. K., Waggoner, M. M., Hinkle, N. C., Stansfield, D. & Barnett, S. Efficacy and longevity of nitenpyram against adult cat fleas (Siphonaptera: Pulicidae). J. Med. Entomol. 40, 678–681 (2003).
Lapied, B., Grolleau, F. & Sattelle, D. B. Indoxacarb, an oxadiazine insecticide, blocks insect neuronal sodium channels. Br. J. Pharmacol. 132, 587 (2001).
Wolfe, Z. M. & Scharf, M. E. Microbe-mediated activation of indoxacarb in German cockroach (Blattella germanica L.). Pestic Biochem. Physiol. 188, 105234 (2022).
Casida, J. E. & Durkin, K. A. Neuroactive insecticides: Targets, selectivity, resistance, and secondary effects. Annu. Rev. Entomol. 58, 99–117 (2013).
Simon-Delso, N. et al. Systemic insecticides (Neonicotinoids and fipronil): Trends, uses, mode of action and metabolites. Environ. Sci. Pollut. Res. 22, 5–34 (2015).
Markham, K. R. Techniques of Flavonoid Identification (Academic Press, 1982).
Balbaa, S., Hilal, S. & Zaki, A. Medicinal Plant Constituents (General Organization for University and School Books, 1981).
Binkowska, I. Hesperidin: Synthesis and characterization of bioflavonoid complex. SN Appl. Sci. 2, 1–9 (2020).
Afifi, M. S., Salama, O. M., Gohar, A. A. & Marzouk, A. M. Mucilage and flavonoids from Neurada procumbens L. and abutilon pannosum frost (Schlecht.). Mansoura J. Pharm. Sci. 24, 124–132 (2008).
Leite, J. P. V. et al. Isolation and HPLC quantitative analysis of flavonoid glycosides from Brazilian beverages (Maytenus ilicifolia and M. aquifolium). J. Agric. Food Chem. 49, 3796–3801 (2001).
Haikal, A., El-Neketi, M., Elshaer, S., Gohar, A. A. & Hassan, M. A. Mentha longifolia subsp. typhoides and subsp. schimperi: Antimicrobial and antiquorum-sensing bioactivities. Chem. Nat. Compd. 57, 933–938 (2021).
El-Helw, E. A. E., Hosni, E. M., Kamal, M., Hashem, A. I. & Ramadan, S. K. Synthesis, insecticidal activity, and molecular docking analysis of some benzo[h]quinoline derivatives against Culex pipiens L. Larvae. Bioorg. Chem. https://doi.org/10.1016/J.BIOORG.2024.107591 (2024).
Waterhouse, A. et al. SWISS-MODEL: Homology modelling of protein structures and complexes. Nucleic Acids Res. 46, W296–W303 (2018).
Baz, M. M. et al. Larvicidal activity of Acacia nilotica extracts against Culex pipiens and their suggested mode of action by molecular simulation docking. Sci. Rep. 14, 1–18 (2024).
Asmaey, M. A. et al. larvicidal potency of four Egyptian herbs on Culex pipiens larvae: Phytochemical composition and molecular networking for most potent extracts. Arab. J. Chem. 17, 105974 (2024).
Baz, M. M. et al. Chemical composition and bio-efficacy of agro-waste plant extracts and their potential as bioinsecticides against Culex pipiens mosquitoes. Parasitol. Int. 104, 102968 (2025).
Ramachanderan, R. & Schaefer, B. Spinosyn insecticides. ChemTexts 6, 1–29 (2020).
Demarque, D. P. & Espindola, L. S. Challenges, advances and opportunities in exploring natural products to control arboviral disease vectors. Front. Chem. 9, 779049 (2021).
Natal, C. M. et al. New carvacrol and thymol derivatives as potential insecticides: Synthesis, biological activity, computational studies and nanoencapsulation. RSC Adv. 11, 34024–34035 (2021).
Jeffrey R. Bloomquist. Insecticides: Chemistries and characteristics. In Radcliffe’s IPM World Textbook (eds. E. B. Radcliffe, W. D. Hutchison & R. E. Cancelado) (University of Minnesota, St. Paul, MN.) https://ipmworld.umn.edu
Santos, L. H. et al. Understanding structure-activity relationships for trypanosomal cysteine protease inhibitors by simulations and free energy calculations. J. Chem. Inf. Model. 59, 137–148 (2019).
Prieto-Martínez, F. D. et al. Molecular docking: current advances and challenges. TIP Revista especializada en ciencias químico-biológicas 21, 65–87 (2018).
Rietjens, I. M. C. M. et al. Impact of structural and metabolic variations on the toxicity and carcinogenicity of hydroxy- and alkoxy-substituted allyl- and propenylbenzenes. Chem. Res. Toxicol. 27, 1092–1103 (2014).
Metcalf, R. Structure-activity relationships for insecticidal carbamates. Bull. World Health Organ. 44, 43 (1971).
Al-Karmalawy, A. A. et al. Molecular docking and dynamics simulation revealed the potential inhibitory activity of ACEIs against SARS-CoV-2 targeting the hACE2 receptor. Front. Chem. 9, 661230 (2021).
Xu, Y., Cheng, S., Sussman, J. L., Silman, I. & Jiang, H. Computational studies on Acetylcholinesterases. Molecules 22, 1324 (2017).
Sussman, J. L. et al. Atomic structure of acetylcholinesterase from Torpedo californica: A prototypic acetylcholine-binding protein. Science 253, 872–879 (1991).
Harel, M. et al. Quaternary ligand binding to aromatic residues in the active-site gorge of acetylcholinesterase. Proc. Natl. Acad. Sci. U. S. A. 90, 9031–9035 (1993).
Citrus japonica Thunb. | Plants of the World Online | Kew Science. World Checklist of Selected Plant Families (WCSP) https://powo.science.kew.org/taxon/urn:lsid:ipni.org:names:771939-1
Shah, R. M. et al. Toxicity of 25 synthetic insecticides to the field population of Culex quinquefasciatus Say. Parasitol Res. 115, 4345–4351 (2016).
Kauffman, E. et al. Rearing of Culex spp. and Aedes spp.. Mosquitoes Bio-protocol 7, 2542 (2017).
World Health Organization. Guidelines for laboratory and field testing of mosquito larvicides. WHO/CDS/WHOPES/GCDPP/2005.13 Preprint at (2005).
Ismail, M. F., El-Sayed, A. A., Hosni, E. M. & Hassaballah, A. I. Synthesis and evaluation of larvicidal efficacy against C. pipiens of some new heterocyclic compounds emanated from 2-cyano-N’-(2-(2,4-dichlorophenoxy)acetyl)acetohydrazide. Chem. Biodivers. 21, e202301560 (2024).
Abbott, W. S. A method of computing the effectiveness of an insecticide. J. Econ. Entomol. 18, 265–267 (1925).
D. J. Finney. Probit Analysis. Journal of Pharmaceutical Sciences vol. 60 (Cambridge University Press, 1971).
Sun, Y.-P. Toxicity index-an improved method of comparing the relative toxicity of insecticides. J. Econ. Entomol. 43, 45–53 (1950).
Bateman, A. UniProt: A worldwide hub of protein knowledge. Nucleic Acids Res. 47, D506–D515 (2019).
Guex, N., Peitsch, M. C. & Schwede, T. Automated comparative protein structure modeling with SWISS-MODEL and Swiss-PdbViewer: A historical perspective. Electrophoresis 30(Suppl 1), 162–173 (2009).
Bienert, S. et al. The SWISS-MODEL repository-new features and functionality. Nucleic Acids Res. 45, D313–D319 (2017).
Khalil, M. S. et al. Synthesis and insecticidal assessment of nitrogenous heterocycles derived from 2-pyridone derivative against Culex pipiens L. Larvae. J. Mol. Struct. 1322, 140405 (2025).
El-Sayed, M. K. F. et al. Synthesis, molecular modelling and evaluation of larvicidal efficacy of annulated Benzo[h]chromenes against Culex pipiens L. Larvae. Sci. Rep. 14, 1–19 (2024).
Funding
Open access funding provided by The Science, Technology & Innovation Funding Authority (STDF) in cooperation with The Egyptian Knowledge Bank (EKB).
Author information
Authors and Affiliations
Contributions
All authors contributed to the conception and design of the study, as well as the writing and revision of the manuscript. (A. H. and Y. A.) were responsible for the collection and identification of the plant material and the isolation and spectroscopic analysis of Hesperidin. (M. K) and (E. M. H.) conducted the biological studies and molecular docking simulations. All authors reviewed and approved the final manuscript.
Corresponding author
Ethics declarations
Ethics declaration
This study was approved by the Research Ethics Committee at Ain Shams University (Approval code: ASU-SCI/ENTO/2024/7/1) and was performed according to the guidelines of the National Institute of Health (NIH). All methods are reported by ARRIVE guidelines.
Competing interests
The authors declare no competing interests.
Additional information
Publisher’s note
Springer Nature remains neutral with regard to jurisdictional claims in published maps and institutional affiliations.
Supplementary Information
Rights and permissions
Open Access This article is licensed under a Creative Commons Attribution 4.0 International License, which permits use, sharing, adaptation, distribution and reproduction in any medium or format, as long as you give appropriate credit to the original author(s) and the source, provide a link to the Creative Commons licence, and indicate if changes were made. The images or other third party material in this article are included in the article’s Creative Commons licence, unless indicated otherwise in a credit line to the material. If material is not included in the article’s Creative Commons licence and your intended use is not permitted by statutory regulation or exceeds the permitted use, you will need to obtain permission directly from the copyright holder. To view a copy of this licence, visit http://creativecommons.org/licenses/by/4.0/.
About this article
Cite this article
Haikal, A., Kamal, M., Hosni, E.M. et al. Evaluation of hesperidin as a potential larvicide against Culex pipiens with computational prediction of its mode of action via molecular docking. Sci Rep 15, 2677 (2025). https://doi.org/10.1038/s41598-025-85760-2
Received:
Accepted:
Published:
Version of record:
DOI: https://doi.org/10.1038/s41598-025-85760-2
Keywords
This article is cited by
-
Design synthesis, characterization, molecular docking and antimicrobial evaluation of novel heterocycles with acrylonitrile and anthracene moieties
Scientific Reports (2025)
-
Synthesis and in silico studies of new thiophene-isoquinolinone hybrids as potential larvicides against Culex pipiens
Scientific Reports (2025)
-
Dual control of mosquito and stored grain pests by two Algerian Ruta species: novel insights into chemical profiling and molecular docking
International Journal of Tropical Insect Science (2025)









