Abstract
Limited studies have highlighted the importance of incorporating behavioural assessments into insecticide efficacy evaluations for wireworm pest control. “For this study, video tracking technology combined with a soil bioassay arena was employed to analyse the behaviour of Agriotes obscurus wireworms before, during, and after exposure to wheat seeds treated with the neonicotinoid insecticides thiamethoxam and imidacloprid at field-relevant concentrations. The analysis identified a set of behavioural key metrics for assessing the effects of these insecticides on wireworms. The results showed that these insecticides exhibited neutral attractancy towards wireworms. A brief period of feeding followed by rapid intoxication minimised damage to seeds. Furthermore, the wireworms demonstrated a specific form of behavioural resistance to neonicotinoids that did not rely on sensory input. In these insects, the rapid speed of intoxication, accompanied by drastic changes in behaviour, ensured that they received a sublethal rather than lethal dose of the insecticide. The wireworms fully recovered from all behavioural abnormalities within a week, and none died within 20 days following the exposure. In conclusion, this video tracking method provides a rapid and efficient means of assessing insecticides intended for wireworm management, offering valuable insights prior to more resource-intensive and costly field trials.
Similar content being viewed by others
Introduction
Click beetles (Coleoptera: Elateridae), with nearly 10,000 species, are found worldwide in both agricultural and natural ecosystems1. Their larvae, commonly known as wireworms, live in the soil. Many of these species are important pests, damaging subterranean plant organs of a wide range of agricultural crops, such as potato, sweet potato, cereals, maize, carrot, sugar beet, and sugarcane1,2,3,4,5. In Europe and North America, the most destructive species are the generalist feeders Agriotes obscurus and A. lineatus, which damage seeds, roots, stems, and harvestable plant parts of the crops, often causing secondary damage through pathogen infection1,3,6. These injuries reduce crop yields and quality1,3,6,7, resulting in substantial economic losses6,8,9.
While the biology of A. sordidus and A. ustulatus has been extensively studied, particularly focusing on the morphological and biological parameters of their development1,10,11, data on the biology of A. obscurus remain limited1,12. Under laboratory conditions, A. obscurus larvae undergo 8 to 11 instars during an 18-month period, whereas in semi-natural conditions, up to 13 instars have been recorded over a 30-month observation period12. The body length of final instars ranges from 17 to 23 mm12,13. Agriotes wireworms exhibit two primary periods of feeding and locomotor activity each year: spring and early autumn. During these periods, they remain active near the soil surface. Between these active phases, wireworms burrow deeper to avoid unfavourable soil conditions, particularly during dry and hot midsummer months1,14. These vertical movements generally coincide with their moulting cycles and non-feeding periods1,4,10,15,16. In Agriotes species, non-feeding periods may account for up to 80% of each larval instar10. The late instars are physiologically well-adapted to survive extended periods of food scarcity17, with their larval period potentially lasting up to five years before metamorphosis into the adult phase, which spans from April to late July3. Foraging elaterid larvae, including Agriotes species, rely on their highly sensitive olfactory apparatus to detect and orient towards various plant volatile compounds. These include carbon dioxide (CO₂), which is produced by germinating seeds, respiring plants, and decomposing plant material18,19. Doane et al.19 found that wireworms could detect and orient towards CO₂ sources from distances of up to 20 cm. Germinating wheat, barley, corn, and sorghum seeds were found to be particularly effective, which is why they have been widely used in wireworm control experiments3,8,20,21,22,23,24,25.
Neonicotinoid insecticides are now extensively used to control wireworms in a variety of crops worldwide, offering varying degrees of efficacy against this pest26,27,28. Neonicotinoids are systemic insecticides that interact with nicotinic acetylcholine receptors (nAChRs) in the insect central nervous system. By blocking these receptors, they prevent synaptic transmission between nerves, resulting in tetanic contractions, intense leg trembling, body convulsions, paralysis, and eventual death29,30,31. Neonicotinoids can affect insects through both dermal and oral exposure. Acute toxicity tests (LD50) have shown that susceptibility to neonicotinoids varies widely among insect species, including honeybees (Apis mellifera), carabid beetles (Platynus assimilis), and telecoprid dung beetles (Canthon chalcites and C. vigilans), with not all individuals dying at field-realistic concentrations32,33,34. Due to their detrimental effects on the environment, biodiversity, and human health35,36, neonicotinoids are banned in the European Union (https://food.ec.europa.eu/plants/pesticides/eu-pesticides-database_en, accessed 02.05.2023).
Imidacloprid, a neonicotinoid insecticide, is marketed by Bayer under the brand names Admire® Pro, Gaucho®, Confidor®, and Monceren® G (https://www.bayer.com/en/agriculture/products, accessed 02.05.2023), while thiamethoxam is sold by Syngenta under the brand names Actara® and Cruiser® (https://www.syngenta.com/en/protecting-crops, accessed 02.05.2023). According to product labels, these neonicotinoids provide broad-spectrum control of sucking and chewing insects, including wireworms. They can be applied through seed dressing, foliar sprays, or in-furrow applications to protect a variety of crops. In contrast to previously used insecticides, neonicotinoids offer the advantage of being effective at much lower doses31. Multiple studies, however, show that neonicotinoid treatments yield inconsistent results in suppressing wireworm damage, crop yields, and economic returns, depending on the crop plant and pest species across different regions4,18,27,28,37,38,39. Despite offering early-season protection for crop seeds and young seedlings, wireworms may recover from intoxication and continue to damage crops later in the growing season.
Wireworm control strategies relying on insecticide seed treatments, require an in-depth understanding of wireworm chemical ecology and behaviour6,40,41,42,43. Previous studies have demonstrated the importance of understanding the repellent, sublethal and lethal effects of both novel and traditional insecticides on wireworms, as these effects directly influence their efficacy in wireworm control. It is crucial to understand how these chemicals interfere with normal foraging and feeding behaviour. Laboratory bioassays can provide valuable insights into insecticide effects before large-scale field trials. However, there is a lack of data on how wireworm behaviour affects insecticide efficacy. Significant contributions have been made by Canadian researchers who studied sublethal and lethal effects of various insecticides, including neonicotinoids, on the behaviour, health, and recovery of A. obscurus and Limonius canus larvae in soil and soilless bioassay arenas40,41,42,43,44. However, these studies relied on visual observation and manual recording of wireworm locations, limiting their ability to quantify important behavioural parameters with precision. In contrast, modern video tracking software, which has been used for decades to track and analyse animal behaviour with high accuracy45,46, could be a valuable tool for ethotoxicological experiments on wireworms. This approach has been used in studies of other insect species, such as the honeybee (A. mellifera)47, bumblebee (Bombus terrestris)48, carabid beetle (P. assimilis)33,49, and velvetbean caterpillar (Anticarsia gemmatalis)50.
We hypothesise that automated video tracking, used in a soil bioassay arena, is a valuable tool for collecting essential and reliable data on behavioural interactions between soil-dwelling wireworms and neonicotinoid-treated seeds.
The objectives of this study were:
(1) to use an automated video tracking approach to identify parameters and develop indices for measuring various aspects of A. obscurus wireworm behaviour before, during, and after contact with insecticides;
(2) to apply the developed methodology to describe wireworm behaviour in response to the neonicotinoid insecticides thiamethoxam and imidacloprid-treated seeds;
(3) to select the most descriptive parameters and indices to assess the efficacy of neonicotinoid insecticides in wireworm control.
Materials and methods
Test insects
Wireworms of A. obscurus were collected by digging them from an old grassland in southern Estonia (58.43173 N, 25.61835 E) in April 2021. This site had not been subject to agronomic treatments for at least 40 years and was in close proximity to conventional crop fields. Monitoring of adult A. obscurus, A. lineatus, A. sputator, and A. ustulatus from 2020 to 2023 using sex pheromone traps (Pherobank, Wageningen, the Netherlands) revealed that A. obscurus was the only species inhabiting this site. The wireworms were placed in 1 L glass containers filled with moist sandy loam soil (20 larvae per container) and stored at 5 °C for up to one month prior to use. Every day, for a period of two weeks, 4 or 8 wireworms (one or two insects per test group, respectively) were selected from the containers for the experiments. This procedure ensured that the wireworms in all groups were stored in the containers for the same duration before experimentation. Larvae selected for the experiments were between 15 and 22 mm in length, corresponding to instars L8 to L1212. To confirm the taxonomic identity of the wireworms as A. obscurus, larvae were identified after the experiments using a light microscope (Eclipse FN1, Nikon, Japan) and a morphological taxonomic key51. The number of insects in each test variant was 20, and each wireworm was used in the experiments only once. The experiments were conducted at the Institute of Agricultural and Environmental Sciences, Estonian University of Life Sciences, in May and June 2021.
Soil bioassay arena
A modified circular soil bioassay arena40 was used for video tracking experiments. The arenas were made from three transparent plexiglass sheets, measuring 30 × 30 cm each, stacked on top of one another, and secured with small carriage bolts. A circular hole, 13 cm in radius, was laser-cut in the centre of the 3 mm thick middle sheet, forming an airtight arena chamber with a depth of 3 mm (Fig. 1). Entry holes were drilled into the top sheet for the wireworms to enter. A hollow, 5 mm in diameter and 2 mm in depth, was drilled in the centre of the 4 mm thick bottom sheet, serving as the location for the test items. Immediately before each video recording, a uniform sandy loam soil layer, approximately 2 mm in depth, was sieved onto the arena. The thin soil layer ensured that the wireworm was clearly visible from above throughout the entire observation period. The moisture content of the soil was 20%. After loading the arena with soil and insecticide-treated or untreated wheat seeds, the entry holes were sealed with 50 × 15 × 1 mm glass sheets, which were only opened for wireworm entry. A 60-min preconditioning period then followed, allowing the establishment of radial attractive CO2 gradients in the arena through molecular diffusion from three germinated wheat seeds, a prerequisite for the wireworm’s olfactory orientation. By this time, the relative humidity above the soil layer was approximately 100%, with tiny droplets of condensed water on the inside surface of the upper sheet.
(a) Top view of the circular soil bioassay arena. The entry holes are sealed with glass covers to prevent water evaporation and escape of wireworms. (b) Arena zones as delineated by EthoVision XT software. Concentric, coloured circles represent zones 1 to 4 with diameters of 260, 195, 130, and 65 mm, respectively. The centre points of zones 4 to 8 were used as reference points for calculating wireworm displacement. The central fourth zone is referred to as the Food Area. The centre point of the arena is marked by a red dot. The black arrow indicates the location of germinated wheat seeds emitting CO2. (c) Example of a wireworm track in the bioassay arena loaded with thiamethoxam-treated wheat seeds. After contact with the insecticide, the wireworm track becomes noticeably more curved due to convulsive body bending behaviour (BBB). (d) Heat map of the same wireworm track shown in (c). Light blue, yellow, and red areas represent locations where the wireworm spends longer periods of time.
Seed treatment and test variants
Wheat seeds were liquid-treated with the neonicotinoid insecticides: thiamethoxam (Actara® 25 WG, Syngenta) at 20 g a.i./100 kg and imidacloprid (Monceren® G, Bayer) at 65 g a.i./100 kg. These treatments represent the application rates of the insecticides in the field (https://www.syngenta.com/en/protecting-crops, accessed on 02.05.2023; https://www.bayer.com/en/agriculture/products, accessed on 02.05.202352). Immediately after treatment, the seeds were placed in a 100 mm polystyrene Petri dish (Sigma-Aldrich) with a piece of moist filter paper (Whatman®) at the bottom and transferred to an Environmental Test Chamber MLR-351H (SANYO Electric Co., Ltd., Japan) at 20 °C and 100% RH for 48 h to germinate. The test variants used are specified in Table 1.
Video tracking and post-bioassay health observations
One week prior to each day of video tracking wireworm activity in soil bioassay arenas, the required number of wireworms (4 or 8 insects per day) was placed in 100 mm plastic Petri dishes filled with moist soil and transferred to laboratory conditions (20–21 °C) without food for acclimation. Only wireworms that displayed feeding activity on germinated wheat seeds during the 10-min selection period were selected for the experiments. Long video recordings, each lasting 4 h, were performed in four bioassay arenas simultaneously with a resolution of 1920 × 1080 pixels at 5 frames per second using USB Logitech HD Pro Webcam C920 (Logitech Inc., USA) and Debut Video Capture software (NCH Software, USA). The activity of four or eight wireworms (one or two insects from each test variant, respectively) was video recorded each day. All video recordings in soil bioassay arenas were completed within three weeks in May 2021. Recordings began immediately after the wireworms entered the arena. Diffused and uniform illumination of the arenas was provided by four LED lamps MR 16 (12 V, 7.5 W, 570 lm, 3000 K) directed upward towards reflecting white screens fixed on opposite sides of the arenas. Illumination at the arena level (45 lx) was measured using a Digital Light Meter TES-1335 (TES Electrical Electronic Corp., Taipei, Taiwan). The arenas were well balanced in terms of illumination to eliminate potential phototaxis responses of the wireworms (Fig. 2a–d). All video recordings were performed at both room and soil temperatures of 20–21 °C. The number of insects in each test variant was 20. After each bioassay replicate, the wireworm, soil, and test items were removed from the arena, and the arenas were washed between replicates with fragrance-free detergent Palmolive Ultra Pure (Colgate-Palmolive Company) and rinsed with tap water. Removed wireworms were placed individually in 100 mm Petri dishes filled with moist soil and kept at room temperature for further health observations. To assess wireworm health and recovery from intoxication after contact with the insecticides, their activity was video recorded in 50 mm Petri dishes for 60 min daily over 10 days following the treatment. Possible mortality was checked daily by visual inspection over a 20-day period after treatment.
Representative A. obscurus wireworm track shapes in different test variants, photographed 18 h after the wireworm entered the bioassay arena. Wireworms are shown in yellow, and the green dots indicate their entry points. Germinated wheat seeds are located at the arena centre (red dots). (a) In the no-seed control variant, wireworm tracks are almost evenly distributed across the arena, indicating that the arena illumination is balanced. Wireworms showed a tendency to move along the arena’s border (blue arrows). (b) In the untreated wheat seed variant, the wireworm quickly contacted the seeds (green arrow) and prefer to remain close to them throughout the observation period. (c,d) Characteristic track patterns in the thiamethoxam- and imidacloprid-treated wheat seed variants, respectively. Green arrows indicate narrow tracks before contact with the insecticide, while red arrows highlight wider tracks caused by convulsive body bending behaviour in intoxicated wireworms. In this behaviour, the wireworm’s head and tail move with a large amplitude, while the body’s centre remains relatively stationary.
Video data analysis
EthoVision XT software (Noldus Information Technology, Wageningen, The Netherlands) was used to analyse the behavioural activities of wireworms in the bioassay arena. The video footage of the arena was digitally divided into four concentric zones. The central zone served as the Food Area, while four reference zones were drawn at the arena borders (Fig. 1). The central points of zones 4 to 8 were used as reference points for calculating the wireworm displacement across the arena. Data were extracted from the recorded video files at a rate of 5 samples per second. The software tracked the wireworm centre of gravity, and various locomotor activity parameters were calculated, including Total Distance Moved (TDM, mm), Mean Distance Moved (MDM, mm min⁻1), Velocity (mm s⁻1), Time Not Moving (TNM, min), and the distance (mm) to the five reference points. The following Data Profile settings were used: bin width of 1 min, start velocity of 0.4 mm s⁻1, stop velocity of 0.03 mm s⁻1, and an averaging interval of one sample. Absolute Meander Total (AMT), which characterises track curvature, was extracted using the following settings: bin width of 1 min, start velocity of 0.6 mm s⁻1, stop velocity of 0.5 mm s⁻1, and an averaging interval of one sample. The TNM was defined as a 60 s period during which no movement of the wireworm was detected. Unlike the MDM, the Velocity did not account for periods of inactivity (TNM).
Displacement was defined as the difference between the initial and final positions of the wireworm centre of gravity, irrespective of the actual path taken to reach the final position. Displacements were calculated relative to the five reference points. The maximum displacement was used to calculate the Displacement Index (DI), according to the formula:
DI was calculated for the time elapsed before the wireworm First Entry into the Food Area (FEIFA), independent of its duration, and for the fixed 5 min periods following the FEIFA.
The Index of Attractancy (IA) was calculated using the formula:
where C represents the wireworm track parameter value measured before the FEIFA in the control variant, and TOS represents the track parameter value before the FEIFA when exposed to the Test Odour Source (TOS). IA values were classified as follows: repellency < 1; neutral = 1; attractancy > 1.
Thus, the TOS attractancy values ranged from 0 to 2. The quantified track parameters used for IA calculations are shown in Fig. 3.
Effect of seed treatment on A. obscurus wireworm track parameters prior to entering the Food Area. Different letters indicate significantly different means (p ≤ 0.05, Kruskal–Wallis test). UTWS, TTWS, and ITWS represent untreated, thiamethoxam-treated, and imidacloprid-treated variants, respectively. Each test group includes 20 insects.
Statistical analyses
Statistical analyses were performed using STATISTICA 13 (StatSoft, USA). The significant effects of chemicals on wireworm track parameters were assessed using non-parametric tests (Wilcoxon matched paired test, Kruskal–Wallis test) and parametric tests (GLM Fisher’s LSD test) with a significance threshold of p ≤ 0.05. Data were normalised using the square root (SQRT) transformation method.
Results
Olfactory orientation of A. obscurus wireworms to treated and untreated wheat seeds
In all experimental variants, wireworms quickly contacted the wheat seeds in the soil bioassay arena within an average of 15 min. No significant differences were observed in their olfactory orientation behaviour between the insecticide-treated and untreated seed variants (Fig. 3a–g). The calculated attractancy indices for all treatments were equal to 1.0, indicating that both thiamethoxam and imidacloprid exhibited neutral attractancy towards the wireworms.
Effect of seed treatment on wireworm behaviour over time following their first entry into the food area
Feeding activity
Within 4 h of observation, wireworms entered the Food Area up to seven times, with no significant differences observed between the test variants (Fig. 4a). In the TTWS and the ITWS variants, wireworms fed on seeds for approximately 16 min, which was 14 times shorter than the feeding period in the UTWS variant (Fig. 4b). Feeding on insecticide-treated seeds ceased rapidly due to intoxication, providing a useful temporal measure to characterise the speed of intoxication (Fig. 5). No significant differences were observed in the four key track parameters measured within the first 5 min of contact with the seeds (Fig. 4c–f), suggesting that the wireworms did not differentiate between treated and untreated seeds at the level of gustation.
Feeding activity of A. obscurus wireworms in the bioassay arena, depending on seed treatment, over a 4-h video recording (a,b) and during the 5-min period immediately after the first contact with the seeds (c–f). Different letters indicate significant differences between variants (p ≤ 0.05, Kruskal–Wallis test). Vertical bars represent the standard error of the means. UTWS, TTWS, and ITWS represent untreated, thiamethoxam-treated, and imidacloprid-treated variants, respectively. Each test group includes 20 insects.
Actograms showing tremors and convulsive body bending behaviour (BBB) of A. obscurus wireworms following contact with imidacloprid-treated seeds. (a) Feeding on seeds with no visible body movements. (b) Small-amplitude tremors in an intoxicated wireworm. (c) Large-amplitude BBB, indicative of toxic stress. (d) Drastic change in wireworm behaviour due to intoxication. Note the different y-axis scales in panels (a–d). The reference point is positioned perpendicular to the wireworm’s body axis.
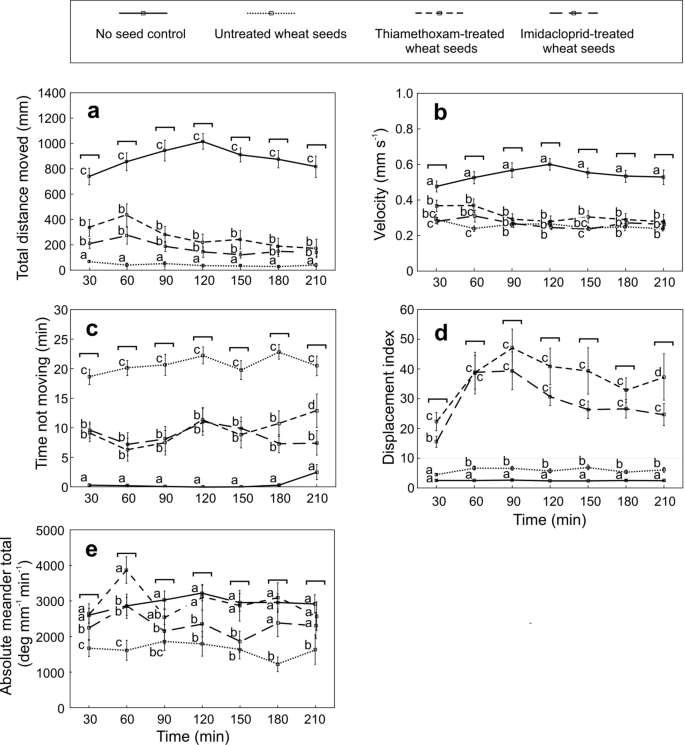
Total distance moved
Food quality had a significant impact on wireworm track parameters. Within 210 min of contact with the insecticide-treated seeds, the TDM was significantly higher in the insecticide-treated variants compared to the UTWS variant (Fig. 6a). However, no differences were observed between the two insecticide-treated variants. The TDM values in both insecticide-treated variants remained much lower than those in the NSC variant demonstrating that the wireworms became hypoactive due to intoxication. A significant decrease in the TDM over time was observed in the TTWS and the UTWS variants (GLM, Fisher’s LSD test; p < 0.05), while no significant change was detected in the ITWS and the NSC variants (GLM, Fisher’s LSD test; p > 0.05). These findings suggest that the two neonicotinoids had slightly different effects on wireworm locomotor activity.
Effect of seed treatment on A. obscurus wireworm behavioural activity after the first entry into the food area over time. Different letters indicate significantly different means (p ≤ 0.05, GLM, Fisher’s LSD test). Vertical bars represent the standard error of the means. Each test group includes 20 insects.
Velocity
No differences in the wireworm Velocity were observed between the ITWS and the UTWS variants (Fig. 6b). Slightly higher Velocities were occasionally recorded in the TTWS variant compared to the UTWS control. Nevertheless, wireworm Velocity in all treated and untreated variants was significantly lower than in the NSC variant, likely due to intoxication and prolonged feeding. The Velocity did not change over time in any of the test variants (GLM, Fisher’s LSD test; p > 0.05), indicating that the Velocity is a less sensitive track parameter for detecting and quantifying toxic stress in wireworms compared to the TDM.
Time not moving
The TNM parameter, which characterises wireworm mobility, showed that in the UTWS variant, wireworms did not move for approximately 20 min per 30-min period (Fig. 6c). In contrast, in the NSC variant, wireworms were almost continuously mobile, while in the TTWS and the ITWS variant, the TNM values remained intermediate. No significant changes in the TNM were observed over time in the untreated and insecticide-treated variants (GLM, Fisher’s LSD test; p > 0.05), with only small fluctuations occurring in the NSC variant (GLM, Fisher’s LSD test; p < 0.05).
Displacement index
The DI, a track shape parameter reflecting convulsive, stationary body bending behaviour (BBB), was significantly higher in both insecticide-treated seed variants compared to the UTWS and the NSC variant (Fig. 6d). The DI values above 20 were associated with BBB, where intoxicated wireworms were unable to move. In the UTWS and the NSC variant, no change in the DI occurred over time (GLM, Fisher’s LSD test; p > 0.05), whereas a significant rise in the DI was observed within the first 60 min in the TTWS and the ITWS variant (GLM, Fisher’s LSD test; p < 0.05), indicating that intoxication levels increased over time.
Absolute meander total
Seed treatment with neonicotinoids affected wireworm track shape. In the TTWS variant, an occasional increase in track curvature was observed within 30 to 60 min of contact with thiamethoxam-treated seeds compared to the NSC (Fig. 6e). In the ITWS variant, the AMT values remained lower than those in the NSC. The AMT values were higher in both insecticide-treated variants compared to the UTWS variant, and no significant changes were observed over time in the UTWS, the ITWS, or the NSC variant (GLM, Fisher’s LSD test; p > 0.05). However, an occasional increase in the AMT was observed in the TTWS variant within 30 to 60 min after the contact with thiamethoxam-treated seeds (GLM, Fisher’s LSD test; p < 0.05).
Wireworm behaviour in different zones of the arena after their first entry into the food area
Time spent in zones
Within 210 min after the FEIFA, wireworms spent 16 to 25 times longer in the Food Area loaded with treated and untreated wheat seeds compared to the NSC variant (Fig. 7a). In the TTWS and the ITWS variant, wireworms spent 69% and 90% of their time, respectively, in the Food Area close to the insecticide-treated seeds. The remaining time was spent in the neighbouring third zone. In contrast, in the UTWS variant, wireworms spent 99.9% of the time in the Food Area, while in the NSC variant, wireworms predominantly stayed in the arena periphery.
Effect of seed treatment on A. obscurus wireworm behaviour in different zones of the bioassay arena within 210 min after the first entry into the food area. Different letters indicate significantly different means between test variants (p ≤ 0.05, Kruskal–Wallis test). Vertical bars represent the standard error of the means. FA denotes the Food Area. Each test group includes 20 insects.
Total distance moved, mean distance moved, and velocity
In the Food Area, wireworms in the insecticide-treated seed variants had significantly higher TDM and MDM values than in the UTWS variant (Fig. 7b, c). This higher motor activity was mainly due to the stationary BBB behaviour in intoxicated wireworms (Fig. 6f). In the neighbouring third zone, wireworms in the TTWS variant moved significantly longer distances than in the ITWS and the UTWS variants, which was consistent with the time spent in the zone, while no differences in the MDM were observed between the three variants. Interestingly, no differences in the Velocity were observed between the insecticide-treated and the UTWS variant (Fig. 7d), suggesting that the TDM and the MDM are more reliable ethotoxicological biomarkers than the Velocity.
Time not moving and absolute meander total
In the UTWS variant, wireworms remained immobile for 84% of the time in the Food Area (Fig. 7e). In the TTWS and the ITWS variant, wireworms were immobile for significantly shorter periods (50 and 56 min, respectively). In the NSC variant, wireworms remained continuously mobile in the Food Area. In the neighbouring third zone, wireworms in the insecticide-treated seed variants remained immobile for a significantly longer period than in the UTWS and the NSC variant, indicating that the TNM is a highly discriminative ethotoxicological biomarker for assessing wireworm behaviour under toxic stress. No significant differences in the AMT were found between the variants (Fig. 7f).
Location of intoxicated wireworms in the arena over time
At the end of the 4-h video recording, the majority of intoxicated wireworms remained in the Food Area close to the toxic seeds (Figs. 7a, 8a, b). However, 18 h later, most wireworms moved away from the toxic seeds, with a significantly greater mean distance from the arena centre compared to their location at the end of the 4-h recording (Mann–Whitney U test: Z = -2.81321, p = 0.0049 for the TTWS; Z = -3.59766, p = 0.0003 for the ITWS).
Recovery from behavioural abnormalities
Within two to three days after the FEIFA, the TDM and the DI values of individual wireworms in both insecticide-treated seed variants exhibited considerable variability compared to the untreated control (Fig. 9b, d). Subsequently, the variability in data between the insecticide-treated and untreated seed variants decreased. In contrast, the TNM values of the individuals were extremely variable in all test variants including the UTWS control within all 10 days of observation (Fig. 9f). Despite this large variation, it appeared that the day after the FEIFA, the intoxicated wireworms were significantly hypoactive on average and produced notably curvier tracks compared to those in the UTWS control (Fig. 9a, e, and c, respectively). In contrast, between three to five days post-treatment, wireworms in the TTWS and the ITWS variant exhibited hyperactivity compared to those in the UTWS control (Fig. 9a). During this period, significant differences were also observed in the DI and the TNM between the insecticide-treated and untreated seed variants (Fig. 9c, e). No further differences in these three key wireworm track parameters were detected between the variants thereafter, indicating that the insects had fully recovered from the behavioural abnormalities.
Recovery of A. obscurus wireworms from behavioural abnormalities within 10 days after treatment. TDM, total distance moved; DI, displacement index; TNM, time not moved. Asterisks indicate significant differences between insecticide-treated seed variants and untreated wheat seed control (p ≤ 0.05, GLM, Fisher’s LSD test). Vertical bars represent the standard error of the means. Each test group includes 20 insects.
Discussion
Various methods have been employed to quantify the effects of agrochemicals and volatile compounds from food plants on wireworm olfactory orientation, foraging behaviour, feeding activity, and toxic stress. These methods include radioactive tagging with radioactive cobalt53, labelling food plants with rubidium54, acoustic field detection55, X-ray computed tomography56, and visual observation in soil bioassay arenas40. However, due to the low temporal resolution of data acquisition and/or the inability to precisely ascertain the location of the insect relative to treated and untreated food plants, these approaches miss much of the useful information on wireworm behaviour contained in their motion tracks.
In this study, we investigated the behavioural responses of A. obscurus wireworms to thiamethoxam- and imidacloprid-treated, germinated wheat seeds in a soil bioassay arena using automated video tracking analysis. Our results demonstrate that this approach enables a more precise and detailed analysis of a wide range of wireworm behavioural parameters compared to previous methods. For instance, we show that the duration of feeding on insecticide-treated seeds serves as a useful temporal measure for characterising the speed of intoxication in wireworms. Specifically, we found that A. obscurus wireworms exposed to seeds treated with thiamethoxam and imidacloprid at field-relevant doses exhibited signs of intoxication within 16 min and ceased feeding. This finding contrasts with the study by van Herk et al.43, which used visual observation in a similar experiment. These authors used the duration of seed contact as a temporal indicator of intoxication and reported that most A. obscurus larvae remained in contact with the seeds for over 45 min after initial contact. Unlike the video tracking approach, however, their visual observation method did not capture changes in wireworm behaviour, such as tremors, BBB, or altered locomotion – early behavioural indicators of intoxication33,49,57,58. Thus, our automated video tracking analysis provides a more sensitive and comprehensive tool for assessing insecticide effects on wireworm behaviour, revealing faster intoxication and more detailed behavioural changes than previously recognised. In a feeding state, A. obscurus wireworms destroy 1.8 untreated germinating wheat seeds per individual in 14 days at 22 °C4. Our results show that the very short duration of feeding on thiamethoxam- and imidacloprid-treated seeds, along with the rapid speed of intoxication, drastically minimises wireworm damage to the treated seeds.
In this study, we quantified the level of toxic stress in wireworms following exposure to insecticide-treated seeds using five track parameters and indices. Our results show that the most sensitive and informative parameters were the locomotor activity parameters TDM and TNM, as well as the track shape parameter DI. These parameters provided the most accurate assessment of the toxic effects, offering a clear indication of the wireworms’ response to insecticide exposure. In contrast, the track parameters Velocity and AMT were less descriptive and did not capture toxic stress as effectively as the other parameters. Our results show that within approximately 24 h of first contact with the thiamethoxam- and imidacloprid-treated seeds, A. obscurus wireworms exhibited a significant hypoactive state on average, though their activity levels varied considerably. Approximately 20–25% of the time, the wireworms were immobile. The variability in their locomotor activity suggests that they probably received different sublethal doses of the insecticide. These results are consistent with the previous studies indicating that various nicotinic acetylcholine receptor (nAChR) blockers, such as imidacloprid, thiamethoxam, and flupyradifurone, can lead to hypoactivity in different insects, including wireworms33,42,43,59,60,61. Intriguingly, during the following 3 to 4 days, thiamethoxam and imidacloprid caused time-delayed locomotor hyperactivity in A. obscurus wireworms. A similar gradual transition from hypoactive to hyperactive behaviour over time was also reported after flupyradifurone treatment in the larval Chrysoperla carnea61. The opposite changes in activity may also occur. Teeters et al.59 reported a gradual transition from hyperactive to hypoactive behaviour over time after imidacloprid exposure in honeybees (A. mellifera). Thus, nAChR agonists may elicit various mobility patterns in different insect species.
Phytophagous insects possess a wide variety of detoxification strategies to recover from intoxication62,63,64,65. For instance, in the most thoroughly investigated insect, the honeybee (A. mellifera), five protein superfamilies—cytochrome P450 monooxygenases, carboxylesterases, glutathione S-transferases, UDP-glycosyl transferases, and ATP-binding cassette transporters—are involved in the metabolic detoxification of xenobiotics, including neonicotinoid insecticides66,67,68. Malpighian tubules, the fat body, and the midgut are also essential for the metabolic clearance of environmental toxins in honeybees64,68. Our video-tracking analysis of A. obscurus wireworms demonstrated that they fully recover from all behavioural abnormalities within a week after exposure to thiamethoxam- and imidacloprid-treated seeds, with none of the wireworms dying within 20 days of exposure. These findings differ from previous studies conducted in similar soil bioassay arenas. For instance, van Herk et al.42,43 found that wireworms almost fully recovered from behavioural abnormalities after two weeks, even at lower doses than used in our study. Unlike our study, they assessed the health conditions of wireworms visually, with intervals of 7 or 14 days, using a set of qualitative indices such as “alive”, “moribund”, “writhing”, “appendage movement”, and “dead”, which did not allow for precise determination of the level of toxic stress or the time of recovery. In long-term health monitoring experiments, low mortality rates of 5% were observed in A. obscurus wireworms 14 days after exposure to neonicotinoid insecticides41,43. However, these mortality rates increased over time, reaching up to 40% at 56 and 210 days post-exposure.
Previous studies show that, in a state of toxic stress, the foraging and feeding activity of insects is suppressed. For example, Tooming et al.33 reported a synchronisation between abnormalities in locomotor activity and a decline in the consumption rate of clean food in the predatory carabid P. assimilis (Carabidae) exposed to sublethal doses of thiamethoxam. Doses affecting locomotor activity concurrently affect feeding activity. Feeding was significantly suppressed in both hyperactive and hypoactive beetles. Four days after treatment, intoxicated beetles fully recovered from abnormalities in their locomotion, coinciding with the recovery of their normal clean food consumption rate. Reduced feeding following exposure to sublethal doses of various neonicotinoid insecticides has also been demonstrated in late-instar mayflies (Epeorus longimanus; Heptageniidae) during the five days after exposure69, in fifth-instar nymphs of the predatory bug Macrolophus pygmaeus (Miridae) – within seven days70, in honeybees (A. mellifera) – within two weeks of sublethal exposure71, and in the wheat aphid (Schizaphis graminum) – after 48 h of mild exposure to thiamethoxam72. Therefore, we expect that feeding will also be suppressed in A. obscurus wireworms within about a week after exposure to thiamethoxam- and imidacloprid-treated wheat seeds in the field when the insects are in a state of toxic stress. However, further studies are needed to specify the effect of toxic stress on both clean and insecticide-treated food consumption rates in wireworms.
Repellency and irritancy of pesticide formulations are crucial considerations in wireworm control, as these properties can significantly impact their efficacy. As the first line of defence, insects may develop various behavioural mechanisms to reduce their exposure to toxic compounds. For example, they may possess specialised olfactory and/or gustatory receptor cells that allow them to detect or recognise the presence of a pesticide before receiving a lethal dose, enabling them to avoid it. Such behavioural resistance to pesticides has been observed in several insecticide classes, including organochlorines, organophosphates, carbamates, and pyrethroids73,74,75. These protective behaviours may include changes in locomotor activity and knockdown effects, which help reduce an insect’s exposure to toxic substances. Insects may also stop feeding when encountering certain insecticides or move away from the treated area. Post-contact repellent behaviour has also been documented in Agriotes wireworms exposed to pyrethroid insecticides such as tefluthrin and λ-cyhalothrin40,43. In this study, we demonstrate the neutral attractancy of thiamethoxam and imidacloprid to A. obscurus wireworms, in line with previous findings by van Herk et al.42. This suggests that the wireworms are unable to discriminate between treated and untreated seeds based on olfactory cues at a distance. For the first time, we show that these insects also cannot differentiate between insecticide-treated and untreated seeds via contact chemoreception. However, within a day of contact with neonicotinoid-treated seeds, the wireworms exhibit a clear tendency to move away from the toxic food. Our results indicate that A. obscurus wireworms exhibit a form of behavioural insecticide resistance to neonicotinoids that does not rely on sensory input. In these insects, the rapid speed of intoxication, accompanied by drastic behavioural changes, ensures that they receive a sublethal dose rather than a lethal one. If the wireworms have the opportunity to stop feeding and move away from the treated seeds, they fully recover from all behavioural signs of intoxication within a week.
Several field studies have shown that the neonicotinoids thiamethoxam and imidacloprid provide effective crop stand protection against wireworms early in the season, without significantly reducing the populations of various pest elaterid species, including A. obscurus24,38,52,76,77. Therefore, our results confirm and clarify the effectiveness of these insecticides in controlling wireworms when used as seed treatments in the field.
In conclusion, this study successfully employed an automated video tracking approach to assess the behavioural response of A. obscurus wireworms to thiamethoxam- and imidacloprid-treated seeds. We identified key behavioural parameters, including the TDM, the TNM, the DI, the duration of feeding, the speed of intoxication, and the index of attractancy, to measure the toxic and non-toxic effects of insecticides on wireworm behaviour. Our results demonstrated that exposure to neonicotinoid-treated seeds induced hypoactivity, followed by a delayed transition to hyperactivity, with wireworms showing avoidance behaviour and recovering from intoxication within a week. Additionally, the study revealed that wireworms did not discriminate between treated and untreated seeds based on olfactory or gustatory perception. Despite this, the wireworms exhibited behavioural resistance mechanisms to reduce exposure. Overall, the findings confirm the efficacy of neonicotinoids in providing crop protection while highlighting behavioural insecticide resistance in wireworms.
Neonicotinoid use increased rapidly after 2003 with the introduction of seed-applied products for major field crops such as maize, soybean, cotton, vegetables, wheat, and rice, marking an unprecedented shift towards large-scale prophylactic insecticide use with little or no regard for actual pest occurrence78,79,80. This trend of neonicotinoid use continues to rise. Imidacloprid, clothianidin, and thiamethoxam are the three most commonly used neonicotinoid insecticides for seed treatment. However, mounting evidence suggests that the pest management and crop yield benefits of this approach are negligible78,79,80,81,82. The potential negative consequences of overusing insecticides were summarised by Stern et al.83 over 60 years ago, namely: (1) the evolution of insecticide resistance in target pests, (2) outbreaks of secondary pests, (3) resurgence of target pests, and (4) hazards to human health and wildlife. Widespread environmental contamination with neonicotinoids has substantially contributed to dramatic declines in the richness and abundance of non-target terrestrial and aquatic invertebrate species, including natural enemies and pollinators, across the globe79,80,84,85,86,87,88. These impacts on invertebrate populations have cascaded through ecosystems, jeopardising key ecosystem services such as pollination, soil formation, soil nutrient cycling, water purification, and food web support86,87,89,90,91.
The extensive use of neonicotinoid-treated seeds raises important questions regarding their relationship with Integrated Pest Management (IPM), an alternative pest management approach that seeks to balance the beneficial and detrimental aspects of insecticides83. Within an IPM framework, insecticide applications are reserved for areas where monitoring reveals that pest populations have exceeded economic thresholds and where no agronomic solutions, biological control, physical treatments, or other non-chemical pest control methods are available. For instance, Furlan et al.92 demonstrated this approach in the case of wireworms in maize crops. Over a 29-year survey, they found no yield reduction when wireworm-induced plant damage remained below 15% of the stand. The authors concluded that implementing IPM could result in the treatment of no more than 4% of maize-cultivated land with soil insecticides or neonicotinoid-coated seeds, significantly reducing the negative impacts of these pesticides. In a four-year field experiment examining a paired corn–watermelon cropping system, Pecenka et al.93 incorporated neonicotinoid-treated seeds within an IPM framework to control corn rootworms and wireworms, which are the primary pests of maize. Their findings demonstrated that neonicotinoid use could be reduced by 95% while maintaining or even increasing yields, through the conservation of wild bees as crop pollinators. These results provide compelling evidence that food production and ecosystem sustainability need not be mutually exclusive goals. Together, these studies suggest that when integrated into an IPM approach, the use of neonicotinoid-treated seeds can help mitigate pest damage while minimising the broader ecological consequences associated with pesticide use. By focusing on pest population monitoring and applying insecticides only when necessary, IPM ensures a more sustainable and environmentally conscious approach to pest control.
Data availability
The data used to support the findings of this study are available from the corresponding author upon request.
References
Traugott, M., Benefer, C. M., Blackshaw, R. P., van Herk, W. G. & Vernon, R. S. Biology, ecology, and control of elaterid beetles in agricultural land. Annu. Rev. Entomol. 60, 313–334 (2015).
Chalfant, R. B., Jansson, R. K., Seal, D. R. & Schalk, J. M. Ecology and management of sweet potato insects. Annu. Rev. Entomol. 35, 157–180 (1990).
Parker, W. E. & Howard, J. J. The biology and management of wireworms (Agriotes spp.) on potato with particular reference to the UK. Agr. For. Entomol. 3, 85–98 (2001).
van Herk, W. & Vernon, R. Wireworm damage to wheat seedlings: Effect of temperature and wireworm state. J. Pest Sci. 86, 63–75 (2013).
Poggi, S., Le Cointe, R., Lehmhus, J., Plantegenest, M. & Furlan, L. Alternative strategies for controlling wireworms in field crops: A review. Agriculture 11, 436. https://doi.org/10.3390/agriculture11050436 (2021).
Barsics, F., Haubruge, E. & Verheggen, J. Wireworms’ management: an overview of the existing methods, with particular regards to Agriotes spp. (Coleoptera: Elateridae). Insects 4, 117–152 (2013).
Ritter, C. & Richter, E. Control methods and monitoring of Agriotes wireworms (Coleoptera: Elateridae). J. Plant Dis. Prot. 120, 4–15 (2013).
Parker, W. E., Cox, T. & James, D. Evaluation of the use of baited traps to assess the risk of wireworm damage to potato. In Proceedings of Brighton Crop Protection Conference, Pests and Diseases. 199–204 (1994).
Popov, C., Bãrbulescu, A., Trotuş, E., Vasilescu, S. & Bucurean, E. Control of wireworms by seed treatment in Romania. Rom. Agric. Res. 15, 69–75 (2001).
Furlan, L. The biology of Agriotes ustulatus Schäller (Col., Elateridae) II. Larval development, pupation, whole cycle description and practical implications. J. Appl. Entomol. 122, 71–78 (1998).
Furlan, L. The biology of Agriotes sordidus Illiger (Col., Elateridae). J. Appl. Entomol. 128, 696–706 (2004).
Sufyan, M., Neuhoff, D. & Furlan, L. Larval development of Agriotes obscurus under laboratory and semi-natural conditions. Bull. Insectol. 67, 227–235 (2014).
Ford, G. H. Observations on the larval and pupal stages of A. obscurus and A. lineatus. Ann. Appl. Biol. 3, 97–115 (1917).
Brian, M. V. On the ecology of beetles of the genus Agriotes with special reference to A. obscurus. J. Anim. Ecol. 16, 210–24 (1947).
Burrage, R. H. Seasonal feeding of larvae of Ctenicera destructor and Hypolithus bicolor (Coleoptera: Elateridae) on potatoes placed in the field at weekly intervals. Ann. Entomol. Soc. Am. 56, 306–313 (1963).
Doane, J. F. Evaluation of a larval trap and baits for monitoring the seasonal activity of wireworms in Saskatchewan. Environ. Entomol. 10, 335–342 (1981).
Traugott, M., Pazmandi, C., Kaufmann, R. & Juen, A. Evaluating 15N/14N and 13C/12C isotope ratio analysis to investigate trophic relationships of elaterid larvae (Coleoptera: Elateridae). Soil Biol. Biochem. 39, 1023–1030 (2007).
Barsics, F., Haubruge, É., Francis, F. & Verheggen, F. J. The role of olfaction in wireworms: A review on their foraging behavior and sensory apparatus. Biotechnol. Agron. Soc. Environ. 18, 524–535 (2014).
Doane, J. F., Lee, Y. W., Klinger, J. & Westcott, N. D. The orientation response of Ctenicera destructor and other wireworms (Coleoptera: Elateridae) to germinating grain and carbon dioxide. Can. Entomol. 107, 1233–1252 (1975).
Simmons, C. L., Pedigo, L. P. & Rice, M. E. Evaluation of seven sampling techniques for wireworm (Coleoptera: Elateridae). Environ. Entomol. 27, 1062–1068 (1998).
Vernon, R. S., Kabaluk, T. & Behringer, A. Movement of Agriotes obscurus (Coleoptera: Elateridae) in strawberry (Rosaceae) plantings with wheat (Gramineae) as a trap crop. Can. Entomol. 132, 231–241 (2000).
Horton, D. & Landolt, P. Orientation response of Pacific coast wireworm (Coleoptera: Elateridae) to food baits in laboratory and effectiveness of baits in field. Can. Entomol. 134, 357–367 (2002).
Vernon, R. S., Kabaluk, T. & Behringer, A. Aggregation of Agriotes obscurus (Coleoptera: Elateridae) at cereal bait stations in the field. Can. Entomol. 135, 379–389 (2003).
Morales-Rodriguez, A., Ospina, A. & Wanner, K. W. Evaluation of four bait traps for sampling wireworm (Coleoptera: Elateridae) infesting cereal crops in Montana. Int. J. Insect Sci. 9, 1–11 (2017).
Jansson, R. K. & Lecrone, S. H. Evaluation of food baits for pre-plant sampling of wireworms (Coleoptera: Elateridae) in potato fields in southern Florida. Florida Entomol. 72, 503–510 (1989).
Simon-Delso, N. et al. Systemic insecticides (neonicotinoids and fipronil): Trends, uses, mode of action and metabolites. Environ. Sci. Pollut. Res. 22, 5–34 (2015).
Veres, A. et al. An update of the Worldwide Integrated Assessment (WIA) on systemic pesticides. Part 4: Alternatives in major cropping systems. Environ. Sci. Pollut. Res. 27, 29867–29899 (2020).
Nikoukar, A. & Rashed, A. Integrated pest management of wireworms (Coleoptera: Elateridae) and the rhizosphere in agroecosystems. Insects 13, 769. https://doi.org/10.3390/insects13090769 (2022).
Tomizawa, M. & Casida, J. E. Neonicotinoid insecticide toxicology: Mechanism of selective action. Annu. Rev. Pharmacol. Toxicol. 45, 247–268 (2005).
Lushchak, V. I., Matviishyn, T. M., Husak, V. V., Storey, J. M. & Storey, K. B. Pesticide toxicity: A mechanistic approach. Exp. Clin. Sci. 17, 1101–1136 (2018).
Buszewski, B., Bukowska, M., Ligor, M. & Staneczko-Baranowska, I. A holistic study of neonicotinoids neuroactive insecticides–Properties, applications, occurrence, and analysis. Environ. Sci. Pollut. Res. 26, 34723–34740 (2019).
Pisa, L. W. et al. Effects of neonicotinoids and fipronil on non-target invertebrates. Environ. Sci. Pollut. Res. 22, 68–102 (2015).
Tooming, E. et al. Behavioural effects of the neonicotinoid insecticide thiamethoxam on the predatory insect Platynus assimilis. Ecotoxicology 26, 902–913 (2017).
Cavallaro, M. C., Hladik, M. L., Hittson, S., Middleton, G. & Hoback, W. W. Comparative toxicity of two neonicotinoid insecticides at environmentally relevant concentrations to telecoprid dung beetles. Sci. Rep. 13, 8537. https://rdcu.be/d1lVb (2023).
Mota, Z. L. A review of the adverse effects of neonicotinoids on the environment. Environments 11, 196. https://doi.org/10.3390/environments11090196 (2024).
Zhang, Y. et al. Insight of neonicotinoid insecticides: Exploring exposure, mechanisms in non-target organisms, and removal technologies. Pharmacol. Res. 209, 107415. https://doi.org/10.1016/j.phrs.2024.107415 (2024).
Cherry, R., Taylor, J., Sherrod, D. & Karounos, M. Corn seed treatments for control of the corn wireworm (Coleoptera: Elateridae). J. Entomol. Sci. 52, 161–168 (2017).
van Herk, W. G., Labun, T. J. & Vernon, R. S. Efficacy of diamide, neonicotinoid, pyrethroid, and phenyl pyrazole insecticide seed treatments for controlling the sugar beet wireworm, Limonius californicus (Coleoptera: Elateridae), in spring wheat. J. Entomol. Soc. Brit. Columbia 115, 86–100 (2018).
Gvozdenac, S. et al. The effect of seed treatments on wireworm (Elateridae) performance, damages and yield traits of sunflower (Helianthus annuus L.). J. Cent. Eur. Agric. 20, 1188–1200 (2019).
van Herk, W. G. & Vernon, R. S. Soil bioassay for studying behavioural responses of wireworms (Coleoptera: Elateridae) to insecticide-treated wheat seed. Environ. Entomol. 36, 1441–1449 (2007).
van Herk, W. G., Vernon, R. S., Moffat, C. & Harding, C. Response of the Pacific Coast wireworm, Limonius canus, and the dusky wireworm, Agriotes obscurus (Coleoptera: Elateridae) to insecticide-treated wheat seeds in a soil bioassay. Phytoprotection 89, 7–19 (2008).
van Herk, W. G., Vernon, R. S. & Roitberg, B. D. Repellency of a wireworm, Agriotes obscurus (Coleoptera: Elateridae), on exposure to synthetic insecticides in a soil-less bioassay. Environ. Entomol. 37, 534–545 (2008).
van Herk, W. G. et al. Contact behaviour and mortality of wireworms exposed to six classes of insecticide applied to wheat seed. J. Pest Sci. 88, 717–739 (2015).
Vernon, R. S. et al. Transitional sublethal and lethal effects of insecticides after dermal exposures to five economic species of wireworms (Coleoptera: Elateridae). J. Econ. Entomol. 101, 365–374 (2008).
Noldus, L. P. J. J., Spink, A. J. & Tegelenbosch, R. A. J. EthoVision: A versatile video tracking system for automation of behavioral experiments. Behav. Res. Methods Instrum. Comput. 33, 398–414 (2001).
Noldus, L. P. J. J., Spink, A. J. & Tegelenbosch, R. A. J. Computerised video tracking, movement analysis and behaviour recognition in insects. Comput. Electron. Agric. 35, 201–227 (2002).
Alkassab, A. T. & Kirchner, W. H. Assessment of acute sublethal effects of clothianidin on motor function of honeybee workers using video-tracking analysis. Ecotoxicol. Environ. Saf. 147, 200–205 (2018).
Paus-Knudsen, J. S., Sveinsson, H. A., Grung, M., Borgå, K. & Nielsen, A. The neonicotinoid imidacloprid impairs learning, locomotor activity levels, and sucrose solution consumption in bumblebees (Bombus terrestris). Environ. Toxicol. Chem. 42, 1337–1345 (2023).
Merivee, E., Tooming, E., Must, A., Sibul, I. & Williams, I. H. Low doses of the common alpha-cypermethrin insecticide affect behavioural thermoregulation of the non-targeted beneficial carabid beetle Platynus assimilis (Coleoptera: Carabidae). Ecotoxicol. Environ. Saf. 120, 286–294 (2015).
Plata-Rueda, A. et al. Side-effects caused by chlorpyrifos in the velvetbean caterpillar Anticarsia gemmatalis (Lepidoptera: Noctuidae). Chemosphere 259, 127530. https://doi.org/10.1016/j.chemosphere.2020.127530 (2020).
Furlan, L., Benvegnù, I., Bilò, M. F., Lehmhus, J. & Ruzzier, E. Species identification of wireworms (Agriotes spp.; Coleoptera: Elateridae) of agricultural importance in Europe: A new "horizontal identification table". Insects 12, 1–12 (2021).
Vernon, R. S., van Herk, W. G., Clodius, M. & Harding, C. Wireworm management I: Stand protection versus wireworm mortality with wheat seed treatments. J. Econ. Entomol. 102, 2126–2136 (2009).
Fredericksen, C. F. & Lilly, J. H. Measuring wireworm reactions to soil insecticides by tagging with radioactive cobalt. J. Econ. Entomol. 48, 438–442 (1955).
Cheshire, J. M., Keaster, A. J., Ward, R. H. & Koirtyohann, S. R. Seed treatment with rubidium for monitoring wireworm (Coleoptera: Elateridae) feeding on corn. Environ. Entomol. 16, 475–480 (1987).
Johnson, S. N. et al. Non-invasive techniques for investigating and modelling root-feeding insects in managed and natural systems. Agr. For. Entomol. 9, 39–46 (2007).
Booth, S., Kurtz, B., de Heer, M., Mooney, S. J. & Sturrock, C. J. Tracking wireworm burrowing behaviour in soil over time using 3D X-ray computed tomography. Pest Manag. Sci. 76, 2653–2662 (2020).
Baatrup, E. & Bayley, M. Animal locomotor behaviour as a health biomarker of chemical stress. Arch. Toxicol. 20, 163–178 (1998).
Bayley, M. Basic behaviour: The use of animal locomotion in behavioural ecotoxicology. In Behavioural Ecotoxicology (ed. Dell’Omo, G.). 211–230 (Wiley, 2002).
Teeters, B. S., Johnson, R. M., Ellis, M. D. & Siegfried, B. D. Using video-tracking to assess sublethal effects of pesticides on honey bees (Apis mellifera L.). Environ. Toxicol. Chem. 31, 1349–1354 (2012).
Hesselbach, H. & Scheiner, R. The novel pesticide flupyradifurone (Sivanto) affects honeybee motor abilities. Ecotoxicology 28, 354–366 (2019).
Scheibli, L., Elsenhans, T., Wolf, H., Stemme, T. & Pfeffer, S. E. Influence of the pesticide flupyradifurone on mobility and physical condition of larval green lacewings. Sci. Rep. 13, 19804. https://rdcu.be/d1lYB (2023).
Després, L., David, J.-P. & Gallet, C. The evolutionary ecology of insect resistance to plant chemicals. Trends Ecol. Evol. 22, 298–307 (2007).
Heckel, D. G. Insect detoxification and sequestration strategies. In Annual Plant Reviews: Plant Insect Interactions (eds. Voelckel, C. & Jander, G.). 77–114 (Wiley-Blackwell, 2014).
Tsvetkov, N., Bahia, S., Calla, B., Berenbaum, M. R. & Zayed, A. Genetics of tolerance in honeybees to the neonicotinoid clothianidin. IScience 26, 106084. https://doi.org/10.1016/j.isci.2023.106084 (2023).
Kshatriya, K. & Gershenzon, J. Disarming the defenses: Insect detoxification of plant defense-related specialized metabolites. Curr. Opin. Plant Biol. 81, 102577. https://doi.org/10.1016/j.pbi.2024.102577 (2024).
Iwasa, T., Motoyama, N., Ambrose, J. T. & Roe, R. M. Mechanism for the differential toxicity of neonicotinoid insecticides in the honeybee, Apis mellifera. Crop. Protect. 23, 371–378 (2004).
Berenbaum, M. R. & Johnson, R. M. Xenobiotic detoxification pathways in honey bees. Curr. Opin. Insect Sci. 10, 51–58 (2015).
Maiwald, F. et al. Expression profile of the entire detoxification gene inventory of the western honeybee, Apis mellifera across life stages. Pestic. Biochem. Physiol. 192, 105410. https://doi.org/10.1016/j.pestbp.2023.105410 (2023).
Alexander, A. C., Culp, J. M. & Liber, K. Effects of insecticide exposure on feeding inhibition in mayflies and oligochaetes. Environ. Toxicol. Chem. 26, 1726–1732 (2007).
Martinou, A. F., Seraphides, N. & Stavrinides, M. C. Lethal and behavioral effects of insecticides on the insect predator Macrolophus pygmaeus. Chemosphere 96, 167–173 (2014).
Zhu, Y. C., Yao, J., Adamczyk, J. & Luttrell, R. Feeding toxicity and impact of imidacloprid formulation and mixtures with six representative pesticides at residue concentrations on honey bee physiology (Apis mellifera). PloS One 12, e0178421. https://doi.org/10.1371/journal.pone.0178421 (2017).
Gul, H. et al. Hormetic effects of thiamethoxam on Schizaphis graminum: demographics and feeding behavior. Ecotoxicology 33, 253–265 (2024).
Sparks, T. C., Lockwood, J. A., Byford, R. L., Graves, J. B. & Leonard, B. R. The role of behavior in insecticide resistance. Pestic. Sci. 26, 383–399 (1989).
Nansen, C., Baissac, O., Nansen, M., Powis, K. & Baker, G. Behavioral avoidance - Will physiological insecticide resistance level of insect strains affect their oviposition and movement responses?. PLoS ONE 11, e0149994. https://doi.org/10.1371/journal.pone.0149994 (2016).
Siddiqui, J. A. et al. Insights into insecticide-resistance mechanisms in invasive species: Challenges and control strategies. Front. Physiol. 13, 1112278. https://doi.org/10.3389/fphys.2022.1112278 (2023).
Milosavljević, I., Esser, A. D., Murphy, K. M. & Crowder, D. W. Effects of imidacloprid seed treatments on crop yields and economic returns of cereal crops. Crop Prot. 119, 166–171 (2019).
Gasparic, H. V., Lemic, D., Drmic, Z., Cacija, M. & Bazok, R. The efficacy of seed treatments on major sugar beet pests: Possible consequences of the recent neonicotinoid ban. Agronomy 11, 1277–1288 (2021).
Douglas, M. R. & Tooker, J. F. Large-scale deployment of seed treatments has driven rapid increase in use of neonicotinoid insecticides and preemptive pest management in U.S. field crops. Environ. Sci. Technol. 49, 5088–5097 (2015).
Tooker, J. F., Douglas, M. R. & Krupke, C. H. Neonicotinoid seed treatments: Limitations and compatibility with integrated pest management. Agric. Environ. Lett. 2, 1–5 (2017).
Krupke, C. H. & Tooker, J. F. Beyond the headlines: The influence of insurance pest management on an unseen, silent entomological majority. Front. Sustain. Food Syst. 4, 595855. https://doi.org/10.3389/fsufs.2020.595855 (2020).
Furlan, L. & Kreutzweiser, D. Alternatives to neonicotinoid insecticides for pest control: Case studies in agriculture and forestry. Environ. Sci. Pollut. Res. 22, 135–147 (2015).
Labrie, G., Gagnon, A. -È., Vanasse, A., Latraverse, A. & Tremblay, G. Impacts of neonicotinoid seed treatments on soil-dwelling pest populations and agronomic parameters in corn and soybean in Quebec (Canada). PLoS ONE 15, e0229136. https://doi.org/10.1371/journal.pone.0229136 (2020).
Stern, V. M., Smith, R. F., van den Bosch, R. & Hagen, K. S. The integrated control concept. Hilgardia 29, 81–101 (1959).
Douglas, M. R. & Tooker, J. F. Meta-analysis reveals that seed-applied neonicotinoids and pyrethroids have similar negative effects on abundance of arthropod natural enemies. PeerJ. 4, e2776. https://peerj.com/articles/2776/ (2016).
Sánchez-Bayo, F. & Wyckhuys, K. A. G. Worldwide decline of the entomofauna: A review of its drivers. Biol. Conserv. 232, 8–27 (2019).
Van der Sluijs, J. P. Insect decline, an emerging global environmental risk. Curr. Opin. Environ. Sustain. 46, 9–42 (2020).
Mamy, L. et al. Impacts of neonicotinoids on biodiversity: A critical review. Environ. Sci. Pollut. Res. https://doi.org/10.1007/s11356-023-31032-3 (2023).
Quandahor, P. et al. Effects of agricultural pesticides on decline in insect species and individual numbers. Environments 11, 182. https://doi.org/10.3390/environments11080182 (2024).
Hallmann, C. A., Foppen, R. P. B., van Turnout, C. A. M., de Kroon, H. & Jongejans, E. Declines in insectivorous birds are associated with high neonicotinoid concentrations. Nature 511, 341–343 (2014).
Duchet, C. et al. Neonicotinoid mixture alters trophic interactions in a freshwater aquatic invertebrate community. Sci. Total Environ. 897, 165419. https://doi.org/10.1016/j.scitotenv.2023.165419 (2023).
Roodt, A. P., Huszarik, M., Entling, M. H. & Schulz, R. Aquatic-terrestrial transfer of neonicotinoid insecticides in riparian food webs. J. Hazard. Mater. 455, 131635. https://doi.org/10.1016/j.jhazmat.2023.131635 (2023).
Furlan, L. et al. Risk assessment of maize damage by wireworms (Coleoptera: Elateridae) as the first step in implementing IPM and in reducing the environmental impact of soil insecticides. Environ. Sci. Pollut. Res. 24, 236–251 (2017).
Pecenka, J. R., Ingwell, L. L., Foster, R. E., Krupke, C. H. & Kaplan, I. IPM reduces insecticide applications by 95% while maintaining or enhancing crop yields through wild pollinator conservation. Proc. Natl. Acad. Sci. USA 118, e2108429118. https://doi.org/10.1073/pnas.2108429118 (2021).
Funding
The Baseline Funding of the Estonian University of Life Sciences P200191PKTE (1.01.2021-31.12.2024), the project “Alternative methods in control of wireworms on potato 1.03.2020-28.02.2023” funded from Estonian Rural Development Plan (ERDP) for 2014–2020 and The Baseline Funding of the Estonian University of Life Sciences PPKTE—PKTE 01.04.2024–31.12.2024 supported this work.
Author information
Authors and Affiliations
Contributions
All authors contributed to the study conception and design. MK contributed to the experimental work. EM, AM and KN performed material preparation, data collection and analysis. EM wrote the first draft of the manuscript and all authors commented on previous versions of the manuscript. All authors read and approved the final manuscript. The authors give the consent for the publication in this journal.
Corresponding author
Ethics declarations
Competing interests
The authors declare no competing interests.
Ethics approval
After consulting with respective officials in Ministry of the Environment of Estonia, we have reached the conclusion that our work does not interfere with the Nagoya Protocol. We collected test insects for the experiments in Estonia, which has no restrictions.
Additional information
Publisher’s note
Springer Nature remains neutral with regard to jurisdictional claims in published maps and institutional affiliations.
Rights and permissions
Open Access This article is licensed under a Creative Commons Attribution-NonCommercial-NoDerivatives 4.0 International License, which permits any non-commercial use, sharing, distribution and reproduction in any medium or format, as long as you give appropriate credit to the original author(s) and the source, provide a link to the Creative Commons licence, and indicate if you modified the licensed material. You do not have permission under this licence to share adapted material derived from this article or parts of it. The images or other third party material in this article are included in the article’s Creative Commons licence, unless indicated otherwise in a credit line to the material. If material is not included in the article’s Creative Commons licence and your intended use is not permitted by statutory regulation or exceeds the permitted use, you will need to obtain permission directly from the copyright holder. To view a copy of this licence, visit http://creativecommons.org/licenses/by-nc-nd/4.0/.
About this article
Cite this article
Merivee, E., Mürk, A., Nurme, K. et al. Automated video-tracking analysis of Agriotes obscurus wireworm behaviour before, during and after contact with thiamethoxam- and imidacloprid-treated wheat seeds. Sci Rep 15, 7218 (2025). https://doi.org/10.1038/s41598-025-91175-w
Received:
Accepted:
Published:
Version of record:
DOI: https://doi.org/10.1038/s41598-025-91175-w











