Abstract
To date, no reliable blood-based or instrumental parameters are available to quantify dialyzer fiber blocking during hemodialysis. The only accurate method remains micro-computed tomography (µCT) imaging of the hemodialyzer post-dialysis, a labor-intensive process currently limited to research settings. Although several cross-sectional studies have employed µCT to evaluate hemodialyzer performance and anticoagulation strategies, intrapatient variability of this method has not been systematically examined. This study addressed that gap by enrolling ten chronic hemodialysis patients, each undergoing two series of three identical dialysis sessions: one with full anticoagulation and one with only 25% of the standard anticoagulation dose. µCT imaging after each session revealed important intrapatient variability in fiber blocking, comparable in magnitude to interpatient variability. These findings underscore the need for caution when interpreting cross-sectional assessments of dialyzer clotting and highlight the importance of accounting for intrapatient variability in the design and sample size estimation of future studies on clotting. Additionally, among the parameters derived from whole blood thrombin generation (WBTG) tests, only lag time and time to peak demonstrated correlations with fiber patency. However, due to their limited predictive accuracy at the individual level, even these promising markers fall short of providing clinically useful predictors for dialyzer fiber blocking.
Introduction
In recent years, several studies have utilized micro-CT (µCT) scanning of hemodialyzers post-dialysis to assess fiber blocking as a marker of coagulation1,2,3,4,5,6. These investigations typically employed a cross-over study design, where each patient served as their own control, to examine the effects of various factors, including anticoagulation strategies, dialysis modalities, and hemodialyzer types. However, despite these advancements, key questions remain regarding the use of µCT in this context. Addressing these uncertainties is essential before this technique can be broadly adopted for both research and clinical applications.
First, the statistical power of cross-over studies with only a single session per study arm is highly dependent on the intrapatient variability of µCT results over time. The resolution of µCT scanning (i.e. 25 μm in most studies) and its reproducibility (i.e., technical test-retest reliability, though unpublished) have been well established7,8. But fluctuations in patient’s coagulation status, whether spontaneous or condition-related, might introduce significant variability in dialyzer clotting across sessions. Factors such as inflammation or vascular access can influence this variability. Importantly, the degree of intrapatient variability in µCT-based assessments of fiber blocking across comparable yet distinct dialysis sessions has hitherto not been systematically investigated. Despite the fact that this variability likely reflects genuine physiological changes rather than limitations of the measurement technology, understanding it is crucial for designing adequately powered studies using µCT. A thorough evaluation of both inter- and intrapatient variability in fiber blocking during chronic hemodialysis will help determine how µCT can serve as a reliable endpoint in future cross-over and interventional trials.
Second, while µCT imaging is a highly valuable tool in research settings8, its applicability in routine clinical practice is limited by its complexity and retrospective nature. Clinical decision-making would benefit more from a less burdensome and preferably real-time marker of hemodialyzer performance, ideally one that can be estimated before or monitored during the dialysis session rather than only afterward. Unfortunately, current online dialysis machine parameters, such as transmembrane pressure, arterial and venous pressures, and online clearance monitoring, show poor correlation with µCT-derived measures of fiber blocking7. Although post-treatment visual scoring and dry mass assessment of the dialyzer demonstrate reasonable correlation with µCT outcomes, their predictive value at the individual session level remains suboptimal7.
Commonly used biochemical markers are also limited; they typically reflect only isolated components of the coagulation cascade and often lack the sensitivity to detect clinically relevant fluctuations in a patient’s coagulation status9,10,11. Consequently, their association with µCT-based dialyzer outcomes is weak.
While thrombin generation (TG) is commonly determined in plasma to identify global coagulation phenotype, whole blood TG (WB-TG) testing incorporates the cellular components of blood, including platelets and erythrocytes, thus providing a more physiologically relevant assessment of coagulation12,13. Given this potential, WB-TG merits further investigation as a candidate biomarker for coagulation dynamics in hemodialysis patients.
The primary aims of this study were: (1) to assess the intrapatient variability of dialyzer fiber blocking as measured by µCT scanning, and to compare these findings with the variability in visual scoring and dialyzer mass; and (2) to explore the potential of whole blood thrombin generation (WB-TG) as a biomarker for coagulation by examining the association between thrombogram parameters and fiber patency as assessed by µCT. By evaluating these relationships across different doses of low molecular weight heparin, the findings will provide critical data to inform sample size calculations for future studies and offer insights relevant to clinical practice.
Results
Relevant demographic, clinical, and dialysis data of the ten included patients are summarized in Table 1. Patients (age 51.3 [45.0;60.6]; 7 male) had stable double needle dialysis through an arterio-venous fistula (n = 9) or a well-functioning tunneled central venous catheter, i.e. Palindrome 14.5 F (Medtronic, Minneapolis, MN) (n = 1).
In all patients, anticoagulation of the extracorporeal system was achieved with Low Molecular Weight Heparin (LMWH) (i.e. enoxaparin) in the venous blood line (Table 1), and none of the patients were on antiplatelet therapy, apart from two patients on acetylsalicylic acid.
None of the sessions had to be stopped prematurely, all flow settings were maintained according to the protocol, and no adverse events were recorded.
No significant differences were observed across the six consecutive dialysis sessions in patients’ pre-dialysis body weight, total blood volume processed per session, or the volume of ultrafiltration (Table 1). The biochemical blood parameters as measured at the start of the first dialysis test session are also provided in Table 1.
All patient-specific µCT scans are shown in Fig. 1 for the three sessions with full anticoagulation and the three sessions with only 1/4 of the regular anticoagulation dose.
Representative cross-sections of dialyzer outlet potting of FX800 Cordiax dialyzer, the greyscale range is from 0 to 0.5 cm− 1 and the scale bar denotes 10 mm.
Visual scoring of the dialyzers, as performed post dialysis by two independent observers, was 1.3[1.2;2.8] and 4.0[3.8;4.4] (median[IQR]) for the sessions with full and only 1/4 of the regular anticoagulation dose (paired t-test P = 0.002). Dialyzer dry mass was 201[191;207]g and 221[210;227]g (p = 0.031), and fiber patency as derived from µCT imaging was 94[90;97]% and 74[63;82]%, respectively (p < 0.001) (Table 2). Hence, visual scoring, dry mass and µCT results were significantly better (i.e. pointing to less fiber blocking) in the sessions with full anticoagulation versus those with only one quarter of the administered anticoagulation dose.
Although correlations were found between the dialyzer dry mass and fiber patency from µCT scanning (P < 0.001; R=-0.671), and between the visual scoring and fiber patency (P < 0.001; R=-0.784), the point predictive power was rather low.
The Intraclass Correlation Coefficients (ICCs) and the percentage of intrapatient variability versus interpatient variability are given in Table 2; Fig. 2 for visual scoring, dialyzer dry mass, and fiber patency as obtained from µCT scanning. The ICC values for visual scoring are of the order ~ 0.8. ICCs for dialyzer mass and fiber patency are of the order ~ 0.5.
Dialyzer fiber patency (A), visual scoring (B), and dialyzer dry mass (C) per patient over the three dialysis sessions with full anticoagulation (left panel) and the three sessions with 1/4th of the regular anticoagulation (right panel).
The thrombin generation parameters are presented in Table 3 for the blood samples as taken at the dialysis start (i.e. before anticoagulation administration) and at the dialysis end, and this for sessions with full and only 1/4 of anticoagulation. At the dialysis start, as expected, no differences were found between the thrombin generation parameters with full and 1/4 anticoagulation. At the dialysis end, the sessions with full anticoagulation resulted in a higher ETPp (endogenous thrombin potential until the thrombin peak), a longer lag time and longer time to peak, and a smaller velocity index as compared to the sessions with only 1/4 of the anticoagulation.
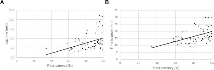
Comparing these thrombin generation parameters with the post dialysis fiber patency, no correlations were found for the parameters as derived from the blood samples taken at the start. For the blood samples taken at the dialysis end, a correlation was found with fiber patency for lag time (P < 0.001; R = 0.480) and for time to peak (P < 0.001; R = 0.521) (Fig. 3). Due to the low point predictive power of the curves, these parameters cannot be used to predict post dialysis fiber patency in a clinical setting.
Relations of Lag time (A) and Time to peak (B) of blood samples taken at the dialysis end with fiber patency.
Discussion
This randomized cross-over study evaluated the intrapatient variability of dialyzer fiber blocking, as assessed by post-dialysis visual scoring, dialyzer dry mass, and µCT scanning. The study was conducted and randomized over two one-week periods: one with three consecutive dialysis sessions using the standard anticoagulation dose, and another with sessions using only one quarter of the standard dose. In addition, whole blood thrombin generation (WB-TG) tests were performed on pre- and post-dialysis blood samples to investigate their potential as predictive markers for dialyzer fiber blocking.
The main findings of this study are as follows. First, the intrapatient variability of dialyzer fiber blocking, as measured by dialyzer mass and µCT scanning, demonstrated an intraclass correlation coefficient (ICC) of approximately 0.5, of the same magnitude as interpatient variability. Second, although certain whole blood thrombin generation parameters, specifically lag time and time to peak, showed correlations with fiber patency, their low point predictive power limits their utility as reliable biomarkers for dialyzer fiber blocking.
The intraclass correlation coefficients (ICCs) for dialyzer mass and fiber patency are well below the commonly accepted threshold of 0.7. This suggests that intrapatient variability across three consecutive dialysis sessions within the same week is on par with the variability observed between different patients. Given the high test–retest reliability of µCT scanning, the observed intrapatient variability is likely due to biological factors, such as the patient’s inflammatory status or complications with vascular access. This intrapatient variability is likely to increase further when monitoring patients and dialyzers over longer periods, potentially driven by the documented high incidence of inflammation and infections, such as the frequently observed bloodstream infections in hemodialysis (HD) patients14.
Inflammation and infection significantly influence coagulation by stimulating the release of proinflammatory cytokines. This, in turn, enhances the production and expression of tissue factor, triggering the coagulation cascade and leading to thrombin generation15. Moreover, inflammation interferes with other regulatory mechanisms of coagulation by downregulating natural anticoagulants, such as thrombomodulin and the endothelial cell protein C receptor, and by inhibiting fibrinolysis16,17,18.
The present observations emphasize the need for caution when interpreting random cross-sectional assessments of dialyzer fiber patency. The low ICCs highlight the importance of accounting for this variability in the design of future cross-sectional studies on clotting, particularly in the estimation of appropriate sample sizes.
Visual scoring post dialysis remains the main and only method in clinical practice to evaluate clotting in the dialyzer. The ICCs for visual scoring appear higher (~ 0.8) than with µCT evaluation. However, these values are artificially inflated due to the limited set of discrete scoring categories, and should be interpreted with appropriate skepticism. Hence, when deciding to increase the anticoagulation dose, based on a high visual score of the dialyzer of the preceding dialysis session, follow-up is important to avoid anticoagulation overdosing in the long term. In this way, it is avoided to subsequently increase anticoagulation with each episode of inflammation or infection, without normalizing the dose in the intermediate periods. This is of utmost importance since over-anticoagulation has been linked, apart from bleeding problems, with a decrease in overall quality of life19.
Apart from visual scoring, one could think about using a biochemical marker to quantify or predict clotting. The conventional clotting time tests however only provide limited information about the initiation of coagulation20,21,22. Indeed, PT and aPTT are insensitive to changes in the anticoagulant pathways and are therefore not indicative for thrombotic risks caused by anticoagulant pathway impairment22,23,24,25.
On the contrary, thrombin generation (TG) tests are usually initiated with low concentrations of tissue factor (TF) and report the full process of thrombin activation and inactivation. Platelet poor plasma (PPP) TG tests offer insights in the function of pro- and anticoagulant factors, but do not represent the involvement of blood cells, such as the platelets, erythrocytes and leukocytes26,27. While testing thrombin generation in platelet rich plasma (PRP-TG), revealing many influences of platelets on coagulation, whole blood TG (WBTG) tests also measure the role of all blood cells in the coagulation management.
Platelets accelerate the initiation and velocity of TG by phosphatidylserine exposure, granule content release and surface receptor interaction with coagulation proteins12. Erythrocytes are also major providers of phosphatidylserine, and erythrocyte membranes trigger contact activation28,29. Furthermore, leukocytes and cancer cells may be important players in cell-mediated coagulation because, under certain conditions, they express tissue factor, release procoagulant components and can induce platelet activation30,31,32,33. We argue that testing TG in the presence of blood cells may be useful to distinguish blood cell–related coagulation disorders. However, it should also be noted that these blood cell dependent TG assays are not yet clinically validated. The present study adds that TG parameters do not strongly correlate with dialyzer outcome as measured with objective µCT imaging. Further standardization and validation studies are needed to explore their clinical usefulness.
Patients and methods
Patients
This single center prospective cross-over study included ten stable patients on regular maintenance hemodialysis (HD). Patients had a well-functioning vascular access, and ultrafiltration rate not exceeding 4 L/h, no use of antiplatelets or anticoagulants (apart from acetylsalicylic acid), and had no known coagulation disorder, active inflammation or malignancy.
The protocol adhered to the Declaration of Helsinki, was approved by the institutional research committee (Ethical Committee - Ghent University Hospital, ONZ-2023-0201 - B6702023000354–06/07/2023), and was registered in https://www.clinicaltrials.gov (NCT06140563 – ‘Variability in Micro-CT Imaging Results to Quantify Dialyzer Clotting (ClotVar)’). Written informed consent was obtained from all patients at inclusion.
Dialysis and anticoagulation
Patients were randomized to a two-arm cross-over protocol (each arm lasted for 1 week with 3 test dialysis sessions) with two different anticoagulation strategies, i.e. regular dose versus 1/4 dose anticoagulation (Fig. 4). The ‘regular anticoagulation dose’ was the dose that the patient was currently administered and which was determined by clinical expertise.
Flowchart of the study protocol (R = randomization; LMWH = low molecular weight heparin).
All test sessions lasted 240 min and were performed in hemodialysis (HD) mode, using an FX800 Cordiax dialyzer on a 5008 dialysis machine (both Fresenius Medical Care, Germany). Blood flow was 300mL/min, dialysate flow 500mL/min, and ultrafiltration rates were set according to the needs of the patients.
At the dialysis start, low molecular weight heparin was injected as a bolus in the venous blood line once blood had passed the injection point. Clotting events were recorded, but no interventions like saline flushes were allowed. Also, premature ending of dialysis sessions was not allowed, except in case of full dialyzer clotting.
Blood sampling and analyses
At the start of the first dialysis study session, blood was sampled to determine different biochemical parameters: i.e. a 3.5mL EDTA tube (Beckton Dickinson, USA) to determine total number of platelets, and a 2.7mL Sodium Citrate tube (Beckton Dickinson, USA) to determine Prothrombin Time (PT), and activated Platelet Thrombin plastin Time (aPTT).
With each session, blood was also sampled (2.7mL Sodium Citrate tube) at the dialysis start (before low molecular weight heparin administration) and at the end of dialysis, to perform a whole blood thrombin generation (WB-TG) test12,13.
Citrate tubes were always preceded by either an EDTA or a blank tube to avoid the influence of activation in the needle on the measurement of clotting parameters. All blood samples were taken with 20G needles.
Blood samples were treated as has been described previously by Wan et al., with some modifications13. Firstly, citrated whole blood was mixed with the fluorogenic thrombin substrate ZGGR-AMC and incubated for 10 min at 37 °C. Subsequently, the blood was mixed with a trigger containing tissue factor (TF) and CaCl2. The volume ratio of WB, substrate solution and trigger-containing solution was 3:2:1. Of this mixture, 65 µL per well was transferred into a 96-well plate. Final concentrations in the well were 50% WB, 1 pmol/L TF, 9 mmol/L CaCl2 and 416.7 µmol/L ZGGR-AMC. All blood samples were measured in triplicate and calibrated by replacing the trigger-containing solution with a calibrator (corresponding with 300 nmol/L thrombin activity). The Varioskan LUX Multimode Microplate Reader and SkanIt Software (version 6.1.0.51) (both ThermoFisher Scientific, MA, USA) were used to measure fluorescence signals with λexcitation = 350 nm and λemission = 460 nm. WB thrombogram parameters were calculated from the measured data, i.e. lag time (min) (i.e. the time needed for thrombin to reach a detectable concentration), thrombin peak (nmol/L), time to peak (min), velocity index (nmol/L/min) (i.e. slope of the thrombin curve), and endogenous thrombin potential until the thrombin peak (nmol.min/L) [ETPp; i.e., the area under the TG curve (AUC) until thrombin peak]13.
Dialyzer sampling and analysis
At the end of the dialysis session, a standard rinsing procedure of the hemodialyzer was performed using 300mL of ONLINEplus™ solution (Fresenius Medical Care, Germany). Next, the hemodialyzer was dried for 24 h using continuous positive pressure ventilation in blood and dialysate compartments (Tetra APS300, Tetra, Germany), and was stored at 5 °C. After drying, the mass was measured using a scale with 1 g precision (CT 6000, Ohaus®, USA), and dialyzers were evaluated blindly by two independent researchers using a scoring system from 1 (no coagulated fibers) to 5 (difficult/impossible to reinfuse), following the methodology outlined by Matos et al.34.
To achieve a more precise quantification of dialyzer fiber blocking, dialyzers were scanned with a non-invasive micro-computed tomography (µCT) technique, as previously developed in-house7. Scan conditions were optimized for scanning dialyzers, to maximize the signal-to-noise ratio based on the sample size and structure, and the scanner properties. In front of the X-ray source, the dialyzer was mounted vertically in a purpose-built holder on the rotation stage with the dialyzer outlet potting in the middle of the field-of-view. During a continuous rotation of 360°, a total of 2401 projections were recorded with a 500ms exposure each, resulting in a total exposure time of 20 min. The proprietary reconstruction software package Pantera was used to reconstruct the raw projection data into a set of 2D cross-sections of the hemodialyzer. The isotropic voxel size of the reconstructed volume was 25³ µm³, which is sufficiently large to have only minimal effect of the source focal spot size on the true spatial resolution.
The non-blocked fibers (i.e. black dots in the images) were counted in a slice located halfway through the outlet potting, using the open-source platform for biological image analysis ImageJ (NIH, Bethesda, USA). The number of non-blocked fibers in the tested dialyzers (with at least 10% openness of a theoretical cross-section of a non-used fiber) were compared with the total number of fibers, being 13,051 ± 13, as quantified previously in three non-used FX Cordiax 800 dialyzer samples to determine the percentage of fiber patency3.
Statistical analysis
Statistical analyses were performed using SPSS (version 29, SPSS Inc, Chicago, USA). Continuous variables were summarized as mean ± standard deviation (SD) or median [25th percentile; 75th pct], and (minimum – maximum). To compare related variables, paired t-tests (normal distribution) or Wilcoxon signed rank tests (no normal distribution) were performed. To relate different parameters, Spearman correlations were performed.
Intrapatient variability was calculated for fiber patency, visual scores, and dry mass, for the three consecutive dialysis sessions with the same anticoagulation dose, i.e. 20 series of 3 dialyzers. From the intra- and interpatient variability, the Intraclass Correlation Coefficient (ICC) was calculated as ICC = (interpatient variability)² / [(interpatient variability)² + (intrapatient variability)²] = interpatient variance / (interpatient variance + intrapatient variance). The intraclass correlation coefficient (ICC) is a descriptive statistic that quantifies how strongly measurements within the same patient resemble each other compared with measurements from different patients. ICC values range from 0 to 1, where 0 indicates that intrapatient variability exceeds interpatient variability, and 1 indicates high consistency within patients and substantial variability between patients. A high ICC is thus desirable. The ICC was compared to the threshold of 0.7, corresponding to an intrapatient variability of maximum 65% of interpatient variability35. ICC was calculated for a two way mixed model (i.e. raters are fixed and the subjects are random), and absolute agreement is checked (i.e. not only checked for a correlation). The intrapatient variability can then be calculated as a portion of the interpatient variability, i.e. the square root of [(1-ICC) / ICC].
Data availability
The datasets generated during and/or analyzed during the current study are available from the corresponding author on reasonable request.
References
Vanommeslaeghe, F. et al. Evaluation with micro-CT of different anticoagulation strategies during Hemodialysis in patients with thrombocytopenia: A randomized crossover study. Artif. Organs. 43, 756–763 (2019).
Vanommeslaeghe, F. et al. Evaluation of different dialyzers and the impact of predialysis albumin priming in intermittent Hemodialysis with reduced anticoagulation. Kidney Int. Rep. 4, 1538–1545 (2019).
Vanommeslaeghe, F. et al. A randomized cross-over study with objective quantification of the performance of an asymmetric triacetate and a polysulfone Dialysis membrane using different anticoagulation strategies. Clin. Kidney J. 14, 398–407 (2021).
Vanommeslaeghe, F., Josipovic, I., Boone, M., Van Biesen, W. & Eloot, S. Impact of intradialytic fiber clotting on dialyzer extraction and solute removal: a randomized cross-over study. Sci. Rep. 12, 5717. https://doi.org/10.1038/s41598-022-09696-7 (2022).
Vanommeslaeghe, F. et al. How biocompatible haemodialysers can conquer the need for systemic anticoagulation even in post-dilution haemodiafiltration: a cross-over study. Clin. Kidney J. 14, 1752–1759 (2021).
Puerta, M. et al. SOLFA study: a multicenter, open-label, prospective, randomized study to investigate the clotting propensity of asymmetric cellulose triacetate membrane compared to synthetic membranes in on line HDF. J. Nephrol. 38, 697–705 (2025).
Vanommeslaeghe, F. et al. Micro-computed tomography for the quantification of blocked fibers in hemodialyzers. Sci. Rep. 8, 2677. https://doi.org/10.1038/s41598-018-20898-w (2018).
Claudel, S. E., Miles, L. A. & Murea, M. Anticoagulation in hemodialysis: A narrative review. Semin Dial. 34, 103–115 (2021).
Linkins, L. A. & Lapner, T. Review of D-dimer testing: Good, Bad, and ugly. Int. J. Lab. Hematol. 39, 98–103 (2017).
Franchini, M., Focosi, D., Pezzo, P. & Mannucci, M. How we manage a high D–dimer. Haematologica 109, 1035–1045 (2023).
François, K. et al. Hemodialysis does not induce detectable activation of the contact system of coagulation. Kidney Int. Rep. 5, 831–838 (2020).
Wan, J., Konings, J., de Laat, B., Hackeng, T. M. & Roest, M. Added value of blood cells in thrombin generation testing. Thromb. Haemost. 121, 1574–1587 (2021).
Wan, J. et al. A novel assay for studying the involvement of blood cells in whole blood thrombin generation. J. Thromb. Haemost. 18, 1291–1301 (2020).
Schamroth Pravda, M. et al. Blood stream infections in chronic Hemodialysis patients - characteristics and outcomes. BMC Nephrol. 25 https://doi.org/10.1186/s12882-023-03442-5 (2024).
O’Brien, M. The reciprocal relationship between inflammation and coagulation. Top. Companion Anim. Med. 27, 46–52 (2012).
Esmon, C. T. The impact of the inflammatory response on coagulation. Thromb. Res. 114, 321–327 (2004).
Petäjä, J. Inflammation and coagulation. An overview. Thromb. Res. 127, S34–37 (2011).
Esmon, C. T. The interactions between inflammation and coagulation. Br. J. Haematol. 131, 417–430 (2005).
Eloot, S., Vanommeslaeghe, F., Josipovic, I., Boone, M. & Van Biesen, W. Association between anticoagulation strategy and quality of life in chronic Hemodialysis patients. Sc Rep. 13, 15105. https://doi.org/10.1038/s41598-023-42069-2 (2023).
Al Dieri, R., de Laat, B. & Hemker, H. C. Thrombin generation: what have we learned? Blood Rev. 26, 197–203 (2012).
Pagano, M. B. & Chandler, W. L. Thrombin generation assay: are we ready for prime time? J. Appl. Lab. Med. 2, 135–137 (2017).
Tripodi, A. Thrombin generation assay and its application in the clinical laboratory. Clin. Chem. 62, 699–707 (2016).
Langdell, R. D., Wagner, R. H. & Brinkhous, K. M. Effect of antihemophilic factor on one-stage clotting tests; a presumptive test for hemophilia and a simple one-stage antihemophilic factor assay procedure. J. Lab. Clin. Med. 41, 637–647 (1953).
Quick, A. J. On various properties of thromboplastin (aqueous tissue extracts). Am. J. Physiol. Leg. Content. 114, 282–296 (1935).
Mann, K. G., Brummel, K. & Butenas, S. What is all that thrombin for? J. Thromb. Haemost. 1, 1504–1514 (2003).
Scridon, A. Platelets and their role in hemostasis and thrombosis-from physiology to pathophysiology and therapeutic implications. Int. J. Mol. Sci. 23, 12772. https://doi.org/10.3390/ijms232112772 (2022).
Whelihan, M. F., Zachary, V., Orfeo, T. & Mann, K. G. Prothrombin activation in blood coagulation: the erythrocyte contribution to thrombin generation. Blood 120, 3837–3845 (2012).
Sun, S. et al. Crucial roles of red blood cells and platelets in whole blood thrombin generation. Blood Adv. 7, 6717–6731 (2023).
Denis, F. et al. Red blood cell microvesicles activate the contact system, leading to factor IX activation via 2 independent pathways. Blood 135, 755–765 (2020).
Thomas, G. M. et al. Tissue factor expressed by Circulating cancer cell-derived microparticles drastically increases the incidence of deep vein thrombosis in mice. J. Thromb. Haemost. 13, 1310–1319 (2015).
Swystun, L. L. & Liaw, P. C. The role of leukocytes in thrombosis. Blood 128, 753–762 (2016).
Li, L. et al. Patients with multiple myeloma have a disbalanced whole blood thrombin generation profile. Front. Cardiovasc. Med. 9, 919495. https://doi.org/10.3389/fcvm.2022.919495 (2022).
Willems, R. A. L. et al. Altered whole blood thrombin generation and hyperresponsive platelets in patients with pancreatic cancer. J. Thromb. Haemost. 22, 1132–1144 (2024).
Matos, J. F. et al. Does subjective assessment of dialyzer appearance reflect dialyzer performance in online hemodiafiltration? Hemodial. Int. 24, 61–70 (2020).
Bunting, K. V. et al. A practical guide to assess the reproducibility of echocardiographic measurements. J. Am. Soc. Echocardiogr. 32, 1505–1515 (2019).
Acknowledgements
The authors are indebted to all dialysis nurses, a.o. Eveline Verlinden, Gerda Van de Walle, and Lukas Standaert, and the lab technician Sophie Lobbestael, for their help during the clinical study. The authors also want to thank Ben A. Olenchock, Gary Herman, and David Gutstein for discussions and manuscript review.
Funding
Ghent University Special Research Fund is acknowledged for the financial support to the UGCT Core Facility (BOF.COR.2022.008). The study was financially supported by Regeneron (USA).
Author information
Authors and Affiliations
Contributions
S.E., F.V.O. and W.V.B. substantially contributed to the conception and design of the work; S.E. contributed to the acquisition and analysis of data; I.J. and M.B. contributed to the acquisition of the imaging technique and imaging data; T.M., G.G., J.K. and M.R. contributed to the acquisition of the laboratory tests and data; S.E., F.V.O., F.D.S., G.G., W.V.B., L.F., R.A., and E.P.M. contributed to the interpretation of data; S.E. drafted the work, and all authors substantively revised the work. All authors approved the submitted version of the work, and agreed to be personally accountable for their own contributions and ensure that questions related to the accuracy or integrity of any part of the work will be appropriately investigated and resolved.
Corresponding author
Ethics declarations
Competing interests
L.F., R.A., and E.P.M. are employees of Regeneron Pharmaceuticals and may hold stock in the company. The remaining authors do not have Competing Interest.
Additional information
Publisher’s note
Springer Nature remains neutral with regard to jurisdictional claims in published maps and institutional affiliations.
Rights and permissions
Open Access This article is licensed under a Creative Commons Attribution-NonCommercial-NoDerivatives 4.0 International License, which permits any non-commercial use, sharing, distribution and reproduction in any medium or format, as long as you give appropriate credit to the original author(s) and the source, provide a link to the Creative Commons licence, and indicate if you modified the licensed material. You do not have permission under this licence to share adapted material derived from this article or parts of it. The images or other third party material in this article are included in the article’s Creative Commons licence, unless indicated otherwise in a credit line to the material. If material is not included in the article’s Creative Commons licence and your intended use is not permitted by statutory regulation or exceeds the permitted use, you will need to obtain permission directly from the copyright holder. To view a copy of this licence, visit http://creativecommons.org/licenses/by-nc-nd/4.0/.
About this article
Cite this article
Eloot, S., Mertens, T., Josipovic, I. et al. Predicting dialyzer fiber blocking is hard due to high intrapatient variability and limited utility of thrombin generation markers. Sci Rep 16, 5913 (2026). https://doi.org/10.1038/s41598-026-36507-0
Received:
Accepted:
Published:
Version of record:
DOI: https://doi.org/10.1038/s41598-026-36507-0



