Abstract
The waste residues produced by metallurgical industry have caused great harm to the environment. Three kinds of residues, lithium slag (LS), copper slag (CS), and desulfurized gypsum (DG) were employed as partial cement replacements to develop an eco-friendly cementitious composite. It was found that the essential particles were generated using wet ball milling 10.0 wt. % LS and 20.0 wt. % CS, upon activation with 6.0 wt. % desulfurization DG, the hydration quality of the slurry was markedly enhanced as an additive to substitute the equivalent percentage of ordinary Portland cement (OPC). The ‘low-alkali activation and optimal ratio’ synergistic approach effectively enhances the reactivity of the LS-CS composites. Meanwhile, the nucleation effect of LS and the filling effect of CS, contributes to the microstructural refinement. The result showed that the optimized specimen attained 77.78 and 95.76% of the control (C0)’s compressive strength at 3 and 28 days, respectively. The hydration was comprehensively characterized by quantitative X-ray diffraction (QXRD), SEM and FTIR spectroscopy, and the surface fractal was analyzed by MIP data. Furthermore, the test data indicated that LS exhibited substantial calcium hydroxide (CH) consumption while concurrently activating CS hydration, resulting in enhanced C- (A, F)-S-H phase formation. Overall, this investigation presents an effective approach for the thorough utilization of LS and CS.
Similar content being viewed by others
Introduction
Jiangxi is well known as a major Chinese mining and metallurgical province for the abundant lithium and copper resources1,2,3. LS is the waste residue produced in the smelting process of lithium salt from lithium mica or lithium pyroxene, while CS is the waste residue produced in the process of copper refining. One ton of lithium salt or copper concentrate will produce 8–10 tons of LS dross and 2.2 tons of CS dross respectively. Rapidly expanding new energy vehicle industry has driven surging demand for lithium. This demand surge has led to dramatic accumulation of LS, far exceeding existing treatment capacities. Many enterprises are now compelled to rent or construct dedicated storage facilities for LS stockpiles. Consequently, LS recycling has emerged as a critical bottleneck in the lithium-based new energy vehicle supply chain, making its resource utilization an urgent priority.
The LS produced primarily originates from salt-based extraction methods. Its chemical composition resembles that of fly ash, containing abundant silica-alumina components with high concentrations of SiO2 /Al2O31. In contrast, CS is characterized by substantial Fe2O3 / SiO2 content but low CaO levels, placing it between conventional pozzolanic materials and blast furnace slag as an ‘atypical pozzolanic’ material. Due to its relatively low pozzolanic activity, it can be classified as an Alumino-Ferrosilicate pozzolan4,5,6. The hydration activity of both LS and CS depends predominantly on their mineral phase composition, activator type, and particle fineness7,8. Current research on alkali-activated cementitious materials predominantly focuses on traditional precursors (e.g., slag, fly ash, metakaolin, and silica fume), while studies on LS-CS composite system remain in the exploratory stage.
The types and dosage of activators for LS and CS systems exhibit significant variations. Based on the chemical composition of raw materials, researchers7,8 have proposed mix design approaches using key molar ratios including SiO2/Al2O3 (Si/Al) or CaO/SiO2 (Ca/Si), Na2O/SiO2 (Na/Si) or Na2O/Al2O3 (Na/Al), and H2O/Na2O (H/Na), etc. Javed et al. investigated fly ash-LS geopolymers activated with 8 M NaOH and Na2SiO3 solutions9,10. Their study revealed that as LS content increased from 0% to 75%, the Si/Al ratio varied from 2.61 to 3.11. Dong et al. developed a synergistic approach combining high-temperature calcination (700 °C), mechanical milling (20 μm particle size), and chemical modification (1 mol/L NaOH) to enhance LS reactivity11. The results demonstrated that this treatment significantly improved the mechanical properties while meeting the workability of construction. For CS utilization, Lu et al. formulated a composite binder system with the composition: CS: cement clinker (CC): gypsum powder (GP): sodium hydroxide (NaOH): slaked lime (SL) = 69:15:6:2:812. Alternative activation methods were investigated by Chen et al., who employed CaO and Na2SO4(4% optimal dosage) to stimulate CS reactivity through high-temperature roasting, producing a modified CS-based cement with enhanced compressive strength13. Further optimization was achieved by Lan et al. through chemical-mechanical activation. Their study determined that CS ball-milled below 74 μm, combined with 28% lime, 2% NaOH, and 0.1% triethanolamine, exhibited suitable properties for underground filling applications14.
Chemical activation of lithium and CS primarily employs alkaline excitation methods, utilizing activators such as water glass, silicates, and sodium hydroxide. He et al. demonstrated that NaOH effectively enhances the pozzolanic activity of LS15. Their results indicated that specimens containing 6 wt% NaOH achieved comparable strength to conventional cement, while maintaining concentrations of hazardous elements well below regulatory limits. Javed et al. systematically investigated the dissolution behavior of LS under alkaline-hydrothermal conditions16. Their study revealed that increasing NaOH concentration (1–10 mol/L) significantly promoted the dissolution of spodumene and other mineral phases in LS, facilitating the release of Si, Al, and Ca species. Furthermore, effective activation of LS’s pozzolanic properties required hydrothermal treatment temperatures exceeding 60 °C. Advancing CS activation methodology, Soultana et al. comprehensively examined the influence of NaOH and Na2SiO3 solutions on CS properties, with particular focus on solid-liquid ratio and conditioning temperature parameters17.
To enhance the performance of alkali-activated materials while achieving low-carbon and cost-effective production, researchers have explored alternative activation approaches using solid waste materials as substitutes for conventional strong alkali or salt activators. These innovative methods focus on developing low-alkali activation systems characterized by reduced alkali dosage, lower concentration, and decreased modulus. Notable examples include utilizing desulfurization gypsum as a sulfate activator and calcium carbide slag as an alkaline activator. Zheng et al. developed novel composite activators (N-CCR-H: Na2SO4-calcium carbide residue-NaOH; N-CCR-S: Na2SO4-electrolytic residue-Na2SiO3) for preparing pozzolanic geopolymers18. Their results demonstrated that the N-CCR-S activated geopolymers exhibited superior microstructural density compared to conventional systems. In related work, Li et al. employed desulfurization gypsum to address the challenges of low early strength and excessive drying shrinkage in high-volume slag concrete19. Optimal performance was achieved at 5% desulfurization gypsum dosage, yielding satisfactory strength development. Further advancing this approach, Cui et al. implemented a synergistic activation strategy combining calcium carbide slag and DG for phosphorous slag, with metakaolin (MK) incorporation to supplement Al2O3 content in the cementitious system20.
In this work, we have developed a binary solid waste cementitious material, using DG as an activator, combined with CS and LS waste slag powder, achieving a total substitution rate of 30 wt%, alongside 70 wt% ordinary Portland cement (Fig. 4). Low-alkali and sulfate activation facilitated hydration of slags to attain synergistic low-alkali room temperature material preparation according to components (Fig. 4a). Moreover, the strength of the specimens at the specified age, t the XRD composition of the hydrate, and the TG-DTG thermal analysis data indicate that the unburned composite admixture complies with the ordinary Portland cement standards. The fractal dimension of the matrix, based on SEM and MIP test results, signifies the stable heterogeneity and complexity of the composite cementitious material post-hydration. This work not only offers high-strength cement admixtures for construction materials (Fig. 4b) but also presents an energy-efficient method for recycling industrial solid waste.
XRD patterns of raw materials.
Experiment
Raw materials
DG was selected as the activator, OPC (P.O 42.5), CS and LS were used as the raw materials.LS was taken from Yichun LS stockpile of Jiangxi Jiu Ling Lithium Industry Co., which was the waste residue of lithium carbonate production by sulfuric acid method. The appearance of LS sample is light yellow, without water hardness, porous structure, easy to adsorb water, grinding easily. The CS sample was supplied by Jiangxi DeXing Copper Group Co., Ltd., and it exhibited a dark gray appearance with low hygroscopicity, excellent grindability, negligible water absorption and non-hardening behavior in aqueous conditions.
The chemical compositions of DG, LS, CS and OPC were quantitatively analyzed using X-ray fluorescence spectroscopy (XRF), with detailed results presented in Table 1. Phase composition analysis was conducted by X-ray diffraction (XRD), and the corresponding diffraction patterns are shown in Fig. 1.
Particle size distribution (a) and Cumulative volume (%) of raw materials (b).
The composition of LS utilized in this work is similar to fly ash. The contents of CaO, SiO2 and Al2O3 in LS are 25.4,33.5 and 20.7%, respectively, and their content reached 79.6%. It contains a large amount of silicon and aluminum components, and possesses specific reactivity. The CS is abundant in Fe2O3 and SiO2, with the iron phase predominantly comprising magnetite and fayalite, which constitute approximately 50%, while the CaO content is minimal. The concentrations of CaO, SiO2, and Al2O3 are 1.68%, 30.91%, and 8.64%, respectively, yielding a cumulative total of 41.23%. The pozzolanic activity is minimal. Desulfurization gypsum (DG) serves as an active agent, mostly consisting of dihydrate gypsum (CaSO4 · 2H2O). The crisp and intense diffraction peak in the XRD image (Fig. 1) indicates great crystallinity and structural stability.
Both CS and LS were ball-milled to achieve the target particle size distribution, followed by oven drying at 85 °C to reduce moisture content below 0.2%. The measured specific surface area was 3.13 g/cm³ for OPC, 3.18 g/cm³ for CS, and 2.75 g/cm³ for LS. Particle sizes were measured by laser particle size analyzer (Malvern Mastersizer 2000, UK), and their distribution analysis are presented in Fig. 2, compares the wet-ground LS (Ball milling) with other raw materials.
SEM pictures of C (a), LS (b) and CS (c).
Particle size analysis revealed distinct median diameters (D50) for each material: 2.50 μm for LS, 16.63 μm for C, 35.24 μm for CS, and 9.84 μm for DG. These results demonstrate that wet milling can effectively produce micron-scale LS particles. SEM characterization (Fig. 3) confirmed the particle size distribution, showing that most LS particles were smaller than 2.88 μm, while CS particles averaged approximately 60.26 μm significantly larger than typical cement particles. Specific surface area measurements showed values of 873 m²/kg for OPC, 1340 m²/kg for DG, 552 m²/kg for CS, and 2990 m²/kg for LS.
Samples preparation flowchart.
Preparation for specimens
CS and LS were used to partially replace cement at 30 wt% total replacement level, with varying CS/LS mass ratios, and compared with OPC (P.O 42.5) samples to analyze the mechanism of its effect on the hydration properties of LS-CS cementitious materials. The experimental mixing ratios are shown in Table 2. According to the experimental mixing ratios in the table, the Water-to-binder ratio (W/B = 0.4) was taken, and the powder and deionized water of each sample were put into the cement slurry mixer, and the mixed slurry was molded into specimens according to the two sizes of 40 mm×40 mm×40 mm and 40 mm×40 mm×160 mm, and the maintenance was carried out under 20℃ and 98% RH. The process of preparing the paste sample is shown in Fig. 4b.
Experiments and measurement
Flowability
The fluidity of fresh slurry is determined according to the testing procedure. After flattening and compaction, the slurry needs to be subjected to 25 times of vibration diffusion at a frequency of 1 Hz when the mold is quickly lifted from the shaking table. The diameter of the slurry fluidity must be quickly measured (more than twice, averaging).
Mechanical property
The performance of composite cementitious materials is primarily assessed and analyzed using cement paste samples. 40 × 40 × 40 mm3 and the 40 × 40 × 160 mm3 paste specimens were tested by the YAW-300 machine for mechanical properties3. The mortar specimens were also prepared to evaluate compressive and flexural strengths after they had been cured for 3d, 7d and 28d, according to GB/T 17,671 − 2021, the specific steps and data of the test reference supplementary materials.
Mineralogical analysis of slurry materials
-
(1)
The hydration phases of the samples were analyzed by X-ray diffractometer. Instrument parameters, angle range, scanning speed and increment settings must meet the requirements of QXRD3.
-
(2)
Thermal decomposition characteristics of 28-d hydrated samples were evaluated through simultaneous TG-DTG analysis. The CH decomposition (400–550 °C) and non-evaporable water content (105–550 °C) were calculated as21:
Where \(\:{W}_{n}\) is the mass at \(\:n\) °C, \(\:{M}_{n}\) is the molar mass, \(\:{W}_{CH}\) is the CH content, and \(\:{W}_{ne}\) denotes the non-evaporated water content, defined as:
Using \(\:{W}_{ne}\), the degree of cement hydration (DOH) was calculated as follows21.
Where \(\:{W}_{b\left(t\right)}\) is the non-evaporable water content in the cement at time \(\:t\), \(\:{W}_{b\left({\infty\:}\right)}\) is taken as 0.24 g22,23, and \(\:{F}_{c}\) is the fraction of cement (mass ratio).
The degree of reactivity (DOR) of CS or LS are measured by the CH content during hydration24, as an indicator towards the formation of additional C-S-H (due to nucleation sites)21.
-
(3)
The hydration products in hardened pastes were characterized by FTIR spectroscopy (Thermo Scientific Nicolet iS20, USA). The experiments were performed in transmission mode using standard KBr techniques.
-
(4)
The morphology of 28 d hardened samples was characterized by SEM (ZEISS Sigma 300, Germany)25.
Microstructure
-
(1)
The pore structure of the samples was characterized by MIP25.
-
(2)
A fractal model was employed to characterize the heterogeneous and complex pore structure of the cementitious material25. This model utilizes MIP data and thermodynamic principles to quantitatively determine the pore surface fractal dimension, providing a robust metric for assessing microstructural complexity.
The relationship between pore volume (\(\:V\)) and pore diameter is established by MIP analysis based on the fundamental principle that the external work required to force mercury into the porous material equals the corresponding increase in mercury surface energy. This energy balance yields the following quantitative relationship between applied pressure \(\:P\) (Pa) and intruded mercury volume \(\:V\) (m³)26.
where \(\:\sigma\:\) is the surface tension of the mercury liquid surface, \(\:\theta\:\) is the contact angle between mercury and the measured substance; \(\:S\) the pore surface area of the measured substance (m2)27.
Let \(\:{D}_{s}\) represent the fractal dimension, which can be mathematically expressed using the following pore structure parameters: surface area (\(\:S\)), pore diameter (\(\:{r}_{n}\)), and mercury intrusion volume (\(\:{V}_{n}\))28. Equation (5) can be discretized as:
Assume the following equation:
Equations (7) and (8) Substituting into the equation Eq. (6) and taking natural logarithms on both sides of the equation, the adjusted Eq. (6) is
According to Eq. (9), the data measured by mercuric pressure meter can be used directly to find out \(\:\text{l}\text{n}\left({W}_{n}{/r}_{n}^{2}\right)\) and \(\:{Q}_{n}^{{\prime\:}}={V}_{n}^{1/3}/{r}_{n}\),and then logarithmic linear regression of the two, and its slope29 is the fractal dimension \(\:{D}_{s}\).
Results
Fluidity of the pastes
The effect of waste slag proportion on the fluidity of composite paste is presented in Fig. 5, As the LS content increased, the fluidity of the paste samples exhibited an upward trend. This improvement is due to the wet ball milling process, which degrades the porous structure of LS and diminishes its water absorption capacity, thereby enhancing the workability of the slurry. The fluidity of the 2-CSC sample with 30% CS is 217 mm, while the fluidity of the 1-CLS sample is 239 mm. The 2-CSC sample is 2.7% lower than C0, whereas the 1-CLS sample is 7.17% higher than C0, suggesting that the wet ball milling of LS enhances the fluidity of the sample slurry, while CS diminishes it. The fluidity of composite mortar samples resembles that of paste samples, refer to the Figure S1 in supplemental material.
The fluidity of fresh pastes of the specimens.
The paste fluidity of C0, 1-CLS, 2-CSC, 3-CCL, 4-CCL and 5-CCL were 223,239,217,225,228 and 229 mm, respectively, and the fluidity of the corresponding mortar specimens was 143, 144, 132, 135, 138 and 140 mm, respectively (Figure S1). These values meet the requirements of the specification for liquidity.
Besides the impact of raw material particles on slurry fluidity, exogenous additives also exert influence. The DG content of 6.0% may fall within the suitable range, supplying an appropriate amount Ca2+ and SO42−, which can enhance particle dispersion and mitigate the specific surface area water absorption impact, hence improving fluidity.
Mechanical properties
The mechanical performance of mortar specimens containing varying proportions of LS and CS is presented in Fig. 6 (a) for compressive strength and Fig. 6(b) for flexural strength.
The compressive (a) and flexural strength (b) of paste specimens at curing ages of 3, 7, 28d.
Notably, the 3-CLL’s improvement of compressive strength was the most significant when compared with C0 specimen, the 3-d and 28-d compressive strength reached 77.78% and 95.76% of C0, respectively. The 3-d strength of the 3-CCL specimen was higher than that of the 1-CLS specimen (single-doped LS) by 1.89 times and 1.12 times than 2-CSC (single-doped CS) specimen, and the 28-d strength was 2.03 times higher than 1-CLS specimen (single-doped LS) and 1.34 times higher than 2-CSC (single-doped CS) specimen.
The mechanical properties of the solid-waste co-mingled mortar increased and then decreased with the decrease of the mass ratio of CS/LS, showing that the synergistic activation effect can be reached when meeting a certain proportion of CS and LS mixing. The 3-d compressive strength of 1-CLS mixed with LS only reaches 41.14% of the control group, however, the 3-d compressive strength of 2-CSC mixed with CS reaches 69.31% of the control group, which proves that the gradation of CS particles was slightly better than that of LS.
Comparison of flexural strength, as shown in Fig. 6 (b), the 3-d flexural strength of 3-CCL was 10.52 MPa, which was 2.02 and 1.25 times higher than that of the mono-doped 1-CLS and 2-CSC, respectively, and the 28-d flexural strength was 13.57 MPa, which was 1.63 and 1.29 times higher than that of the mono-doped 1-CLS and 2-CSC, respectively.
With the growth of age, the strength of 4-CLS and 5-CLS specimens increased less, the 28-d compressive strength was not as high as that of the specimens with single-doped CS, and both of them improved significantly than that of the specimens with single-doped LS, but the 28-d flexural strength was improved by 1.28 and 1.02 times than that of the single-doped 1-CLS and 2-CSC specimens, respectively.
The compressive and flexural strength of 3-CLL mortar samples (Figure S2) are also significantly larger than that of other mortar samples, which is consistent with the change of mechanical properties of paste samples.
This suggests that there is a significant lag in strength development due to the retarded volcanic ash effect of CS and LS. The contribution of CS to compressive strength is slightly greater than that of LS, probably due to the higher amount of Fe-phase in the CS and its participation in the hydration reaction25.
XRD result
The crystalline phase of 28-d hydration was characterized by QXRD, as presented in Fig. 7. Quantitative phase analysis was performed using the Rietveld refinement method with combined internal standard calibration30. The QXRD and Rietveld refinement steps reference supplementary materials. The diffraction patterns are shown in Figs. 7 (a-b). Based on the Debye-Scherrer formula31, the hydrated species were quantitatively analyzed for their crystalline phase material and component content, based on which a further analysis was carried out to determine the approximate proportion of amorphous material, almost half of which were C-(A)-S-H gels32.


XRD patterns for various mix at curing age of 28-d: (a) XRD patterns of all samples, (b) Refinement results of 3-CLL, and (c) The mineral phase and amorphous phase content.
The most complex crystalline phases of the 3-CCL, refer to (Fig. 7a,b). included Calcium Silicate (Ca3SiO5), Calcium Silicate (Ca2SiO4), Calcium Aluminum Oxide (Ca3Al2O6), Brownmillerite (Ca2(Al, Fe3+)2O5), Calcite (CaCO3), Dolomite (CaMg(CO3)2), Quartz(SiO2), Gypsum (CaSO4·2H2O), Portlandite (Ca(OH)2), Ettringite(Ca6Al2(SO4)3-(OH)12·26H2O), Fayalite(Fe2SiO4), Magnetite(Fe3O4),and about 16 other crystalline phases. Also including is 50.0% amorphous, as shown in (Fig. 7c).
The distinction in crystal phase type of 3-CCL, 2-CSC and C0 was minimal, because these three specimens of LS addition was less than 10 wt%.
Except for C0, all other specimens were added with low alkali activator DG. While 1-CLS, 3-CCL, 4-CCL, 5-CCL with the addition of LS had fewer types of crystalline phases and produced much less Portlandite than the 3-CCL, 2-CSC, and C0.
Under the activation of DG, the optimized ratio of CS-LS towards composites contributes more to the pozzolanic reaction. QXRD analysis of the 3-CCL revealed four prominent diffraction peaks in its crystalline phase composition, corresponding to: Gypsum (11.88°), Portlandite (18.26° and 34.30° 2θ), Calcite (29.62°), Comparative analysis showed that portlandite content in 3-CCL remained lower than in the C0 control specimen. The positions of the four sub-peaks with low strength in the main crystalline phase of the 3-CLL are 32.42°, 32.76°, 32.22°, and 33.88°, which represent Ca3SiO5 (C3S), Ca2SiO4 (C2S), and Ca3Al2O6 (C3A), respectively, Brownmillerite (C4AF) and other five mineral phases, which are the main components of the cement, which were detected in all specimens. The hydration rate of C4AF is rapid, nevertheless, it is regulated by diffusion, resulting in the formation of a dense layer of iron-rich hydration products on the particle surface, which impedes further internal hydration33. All specimens still contain their remnants. The diffraction peaks of C4AF in certain samples have been markedly diminished or entirely absent in the XRD pattern due to low crystallinity or encapsulation by particles.
The two peak positions of the main crystal phase components of the 3-CLL sample are 35.90 °and 35.52 °, which is not high and can still be measured, represent the two mineral phases of Fayalite (Fe2SiO4) and Magnetite (Fe3O4), respectively. These are the main components of CS, which have been detected in the three samples of 2-CSC, 4-CLL and 5-CLL, and the 2-CSC sample exhibited the highest content of these mineral phases, as shown in (Fig. 7a).
Thermogravimetric results
Figure 8 shows the curves of TG and DTG for slurry samples. The residual masses of samples C0, 1-CLS, 2-CSC, 3-CLL, 4-CLL and 5-CLL were 75.72, 75.24, 77.91, 70.73, 71.37 and 73.66%, respectively. Among the tested samples, 3-CLL exhibited the highest weight loss (70.73% residual mass), while 2-CSC showed the lowest (77.91% residual mass). The DTG analysis revealed that all six specimens exhibited a characteristic endothermic peak near 100 °C (100.3 ± 0.5°), attributable to the combined dehydration of C-S-H gel and thermal decomposition of ettringite (Aft) phases34.
TG and DTG curves of hydrated cement pastes at 28 days.
Based on TG-DTG analysis, the non-evaporable water content and Portlandite (CH) content in 28-d hydrated pastes can be calculated. The DOH of the cementitious materials can be evaluated both qualitatively and quantitatively by Eq. (3), while the DOR of the incorporated slags can be quantitatively assessed through Eq. (4).
Figure 9 shows the nonvolatile water and Portlandite content of each specimen, as well as the DOH and DOR of the blended solid wastes. The C0 specimen exhibits the highest Portlandite content.
(a) Non-evaporable water and portlandite content of pastes measured by TG and DTG, (b) DOH and DOR calculated by mass balance of CS&LS Composite slurry.
The non-evaporable water content analysis revealed that the 3-CLL exhibited the highest value (21.7%) among all samples. 4-CLL and 5-CLL had non-evaporated water contents of 20.7% and 19.4%, respectively, which were closer to the C0 specimen, as shown in Fig. 9 (a). Moreover, taking the C0 specimen as a benchmark, adding LS or CS alone to replace cement, the non-evaporated water content of hydration all showed a decreasing trend, if double-mixed with LS and CS, the non-evaporated water content increased and then decreased with the mass ratio of LS/CS (0.5, 1.0, 2.0), and the optimum mass ratio of LS/CS was about 0.5. The results indicate that specimens 3-CLL, 4-CLL, and 5-CLL generate a greater quantity of hydration products compared to 1-CLS and 2-CSC. This suggests that the combined use of CS and LS in the composites demonstrates a synergistic effect.
Figure 9 (b) shows the DOR and DOH of each specimen, and the 3-CLL had the best DOH. The DOH is a measure of gel generation, and the DOR is a process indicator in the reaction of activated hydration to produce portlandite. It is assumed that the DOR of pure cement is 100. The DOR of 2-CSC is 91, surpassing other specimens; nevertheless, the DOH is suboptimal at only 47.6%, suggesting a weak secondary hydration reaction to deplete portlandite. The DOR of 1-CLS is 75, and the DOH is 48.3%, which is inferior than the DOH of 3-CLL. The preceding research reveals that while the DOR of the 3-CLL specimen is average, its DOH of 59% surpasses that of the other specimens, thereby attaining the optimal impact of synergistic activation.
FTIR spectral results
Figure 10 shows the FTIR spectra of all specimens of hydrated paste at 28-d. The weak peak close to 3637.7 cm− 1 is caused by the H-O bond bending vibration of Portlandite35. The spectral peaks of portlandite weakens with increasing LS content. The spectral peaks near 3637.7 cm− 1 are less pronounced for 1-CLS, 3-CLL, 4-CLL, and 5-CLL, suggesting that the hydrogelation reaction of the LS-containing fractions depleted the portlandite25.
FTIR spectra of 28-d pastes.
The absorption peak at 1645.87 cm− 1 is a bending vibration of the H-O-H group, and the absorption peak at 3441.71 cm− 1 is associated with the telescoping vibration of the H-O bonding moiety36. The absorption peak close to 1422.75 cm− 1 is related to carbonate related C-O bonds. The absorption peaks near 977.93 cm− 1 are attributed to Si-O-Si asymmetric stretching vibrations associated with C-S-H gels37.
The absorption peak close to 708.23 cm− 1, combined with XRD results, is presumed to be a bending vibrational peak of the Fe-O bond, which is associated with Ferro-Silicates or Ferro-Aluminates. And the absorption peak near 461.36 cm− 1 is also associated with the asymmetric stretching vibration of Si-O-Al bond of the gel, which suggests that 1-CLS, 3-CLL, 4-CLL and 5-CLL exhibit more prominent gelling activity of LS.
The micro-morphology
SEM images of the microstructure and morphology of hydration products of the slurry at 28-d were observed microscopically. As shown in Figs. 11 (a-e), the main hydration products include small acicular calcareous alunite, hexagonal lamellar portlandite, and C-(A)-S-H gel. Compared with the other samples, the hydration products of the 2-CSC slurry are less developed and more porous, as shown in Fig. 11(b). Unlike the other samples, the hydration morphology of 3-CLL displays a more intricate structure, as illustrated in (Fig. 11c).
SEM images of C0 (a), 1-CLS (b), 2-CSC2 (c), 3-CLL (d), 4-CLL (e) and 5-CLL (f) pastes at 28-d hydration.
Figures 12 and 13 are the SEM images and the corresponding EDX spectrum of the Fe and Al phases cementitious material in the 28-d age pastes of the 3-CLL. Figure 12 (a) and Fig. 13 (a) show the iron phase cementitious material with clear particle boundary38. The iron content measured by the EDX spectrum is 38.95 wt% and 26.33 wt%, respectively, as shown in Fig. 12 (b) and Fig. 13 (b).
SEM (a) and EDS (b) test spectrum of 28-d samples 3-CLL paste.
SEM (a) and EDS (b) test spectrum of 28-d samples 3-CLL paste.
When the quantity of DG is suitable, the composite cementitious system remains in a state of sulfate excitation at 28 days, which not only inhibits the production of AFm but also facilitates the incorporation of the iron phase into C, resulting in the generation of iron-containing hydration products. The EDS point scan analysis of the 28-day 3-CLL sample reveals that the Fe/Al ratios in Fig. 12(b) and Fig. 13(b)are 7.375 and 7.353, respectively, iron phase is exceptionally abundant, confirming the presence of the iron phase in the hydration product. The hydration products of the iron phase are identified as iron phase ettringite F-AFt and iron phase gel C- (A, F)-S-H39, which contribute positively to the enhancement of compactness and strength.
The pore structure of composite cementitious pastes
Pore size distribution
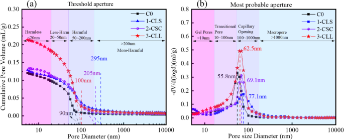
As shown in Fig. 14 (a), the sizes of threshold aperture for C0, 1-CLS, 2-CSC, and 3-CCL are 90, 295, 205, and 100 nm, respectively, with the most probable aperture sizes of 55.8, 77.1, 69.1, and 62.5 nm according to Fig. 14 (b).
Pore size distributions of Samples at 28-d.
The present work synthesizes the pore size distribution for C0, 1-CLS, 2-CSC, and 3-CCL, in terms of facilitating the establishment of a link with the macroscopic properties by utilizing FAN and Zhang. et al.40,41. There are differences in the concept of classification for concrete pore42 and pore structure43,44,45,46. Ishai, O43. and Mehta, P. K44. classified the diameters based on the range of diameters and the severity of the resulting diseases, which can be used as a reference for comparison.
Comparison of the threshold apertures shows that the pore sizes of C0 and 3-CCL are 90 nm and 100 nm, respectively, which are smaller than the other two specimens. The smaller the threshold aperture, the higher the material compactness, except for C0, 3-CCL specimens have better compactness. Moreover, the smaller threshold apertures, the higher fractal dimension of the high-pressure section, which is consistent with the analytical dimension of the 3.7.2 section. The most probable aperture dominates the macroscopic properties, with the sizes of 55.8 nm and 62.5 nm for C0 and 3-CCL, respectively, reflecting the smaller microscopic roughness.
Both C0 and 3-CCL threshold apertures are distributed in the Harmful pore range, and 1-CLS and 2-CSC threshold apertures are distributed in the More-harmful pore range. These data indicate that the combining of CS and LS has resulted in advantageous alterations to the pore distribution of the cement matrix. Optimizing the ratio of CS and LS increases the pores below 50 nm in the cementitious matrix while decreasing those above 100 nm, hence confirming better matrix compactness.
Surface fractal
Fractal geometry quantitatively describes the morphological diversity and structural complexity of pore network26,29.
The \(\:{D}_{s}\) of the 28-d hardened slurry was calculated using Eq. (9), as illustrated in Fig. 15, using segmental fitting. It was calculated separately for the low-pressure section (large holes) and the high-pressure section (small holes).
Surface fractal dimension of hardened paste at 28 d: (a) C0; (b) 1-CLS; (c) 2-CSC; (d) 3-CLL.
For the low-pressure section (macropores) macro-porous fractal zone (> 1000 nm) is defined as macro-fractal zone, the fractal coefficient is \(\:{D}_{s-a}\) it reflects the accumulation of the hydration mixture particles in the large capillary pores, the high-pressure section (small pores) does not count the gelling pores less than 10 nm and ignores the transition pores less than 20 nm, and for the high-pressure section (small pores) the small-pores fractal zone (20 ~ 100 nm) is defined as the micro-fractal zone47, and the fractal coefficient is \(\:{D}_{s-i}\).
The \(\:{D}_{s-a}\) of the four sets of samples, C0, 1-CLS, 2-CSC, and 3-CLL, are 2.367, 2.399, 2.424, and 2.478, respectively, as shown in Fig. 15, and the \(\:{D}_{s-i}\) is 2.804, 2.186, 2.302, and 2.468, respectively. the \(\:{D}_{s-a}\) of the four sets of samples, 1-CLS, 2-CSC, and 3-CLL, is larger than that of sample C0, which may be since either CS or LS, single or complex doping, increases the complexity of the composites in the macroscopic region.
The \(\:{D}_{s-i}\) value of 3-CCL (with CS and LS co-doping) is only slightly lower than that of pure cement sample C0, yet remains significantly higher than all other samples. Notably, 1-CLS exhibits the smallest \(\:{D}_{s-i}\), suggesting that LS single-doping alone does not enhance microstructural complexity and may even impair pore structure refinement.
The CS-LS composite system exhibited lower threshold aperture (enhanced compactness) and higher fractal dimension (complex pore structure), corroborating the effect of synergistic optimization of multiple solid waste-slags.
Discussions
The effects of CS and LS as mineral admixtures on the characteristics of composites at various dosages were examined in this work. Although the CS particles exhibit angular morphology, which theoretically hinders the slurry flow, the experimental data show that the incorporation of CS significantly improves the flow performance of the composite system. This contradictory phenomenon may be due to the low reactivity and low water demand of CS.
The compressive experimental data also demonstrated the significant synergistic enhancement exhibited by the composites of CS and LS when replacing part of the cement. The compressive strength of the composites with optimized dosage ratio is significantly better than that of the specimens with a single dosage of waste slag.
This synergistic effect may be due to the following two mechanisms: firstly, the particle size of LS particles is significantly smaller than that of the other materials in terms of the physical filling effect, and the particle size distribution of cement (PC) particles is intermediate between that of cement LS and CS, and this complementary mechanism significantly enhances particle packing density in granular systems47. Laser particle size analysis data confirmed that the composite incorporation of CS and LS optimized the particle gradation of the cement blends. Secondly, at the chemical reaction level, the active component in LS and the Fe-phase component in CS were able to react with the cement hydration products in a secondary way to generate additional C- (A, F)-S-H gels, thus compensating for the lower activity of CS.
In the alkaline environment of the pore solution of the cement paste, iron olivine undergoes gradual hydrolysis and reaction to produce iron-containing hydration products. The reaction equation can be expressed as follows: (1) \(\:\text{F}\text{e}(\text{O}\text{H}{)}_{2}\) is further oxidized to form \(\:\text{F}\text{e}(\text{O}\text{H}{)}_{3}\)
.
The hydration of fayalite (Fe2SiO4) produces amorphous silica (SiO2·H2O), which exhibits pozzolanic activity. This reactive silica can subsequently combine with portlandite from cement hydration to form C-S-H gel.
In the later stages of cement paste hydration, iron olivine may also react directly with cement hydration products such as \(\:\text{C}\text{a}(\text{O}\text{H}{)}_{2}\) to produce iron-containing silicate or aluminate phases:
Iron-phase materials (e.g., Fe2SiO4 iron olivine, Fe2O3, and magnetite Fe3O4) contained in CS play an important role in the later hydration process. It has been demonstrated48that the hydration products of LS promote the dissolution of minerals in CS, as shown in Fig. 16, and this synergistic effect mainly stems from the interaction of reactive amorphous SiO2 and Al2O349 in LS with the Fe-phase materials in CS.
The Synergistic Effect and activation-low alkali activation mechanism of LS-CS composites.
Conclusions
The performance CS and LS after replacing part of the cement was investigated. Systematic characterization of the CS-LS blended cementitious system was performed, encompassing mechanical effect assessment, workability evaluation, hydration analysis (via XRD/FTIR), microstructural examination (SEM), and pore quantification (MIP). The key findings are summarized as follows.
The hydration of the composite cementitious material elevated the pH value to around 10.5. In the pore solution of the slurry, DG dissolved, releasing Ca²⁺ and SO₄²⁻ ions, so creating a ‘low alkali activation’ environment characterized by moderate weak alkali-sulfate. Upon hydration of the composite slag particles, the reactive Al³⁺ interacted with SO₄²⁻, Ca²⁺, and H₂O to generate needle-like ettringite. The hydrolysis of the composites and the creation of Aft utilize water to liberate OH−, which dissociates and reorganizes the silicon-aluminum network. The cementitious matrix with AFt as the skeleton and filled with dense C-(A)-S-H gels was formed in the hydration, and the iron phase may participate the hydration to generate a small amount of iron-containing hydration products C-(F)-S-H.
Furthermore, during the early hydration, LS demonstrates superior hydration reactivity compared to CS. This is attributed to the active silica and alumina in LS, which are also the factor indicators of strength contribution50. MIP combined with fractal theory confirmed that the synergistic effect of CS-LS reduced the most probable aperture, and formed a denser microstructure.
Although this study demonstrates the beneficial synergistic effect of the CS-LS composites in enhancing the compactness and mechanical strength of the matrix, the disadvantage is that the early strength advantage is not pronounced, and there are unexplored long-term properties, including volume stability and carbonation resistance, sulfate resistance and chloride ion resistance. These disabilities of composites have not been studied in depth. Follow-up researchers can continue to study in this direction.
Data availability
The data used to support the findings of this study are available from the corresponding author upon request.
Abbreviations
- LS:
-
Lithium slag
- CS:
-
Copper slag
- OPC:
-
Ordinary Portland cement
- DG:
-
Desulfurized gypsum
- SEM:
-
Scanning electron microscope
- XRD:
-
X-ray diffraction
- FTIR:
-
Fourier transform infrared spectroscopy
- MIP:
-
Mercury intrusion porosimetry
- DOH:
-
The degree of cement hydration
- DOR:
-
The degree of reactivity
- GB/T 17671 − 2021:
-
China standard "test method of cement mortar strength (ISO method)“
References
Gu, T. et al. Review: the formation, characteristics, and resource utilization of lithium slag. Constr. Build. Mater. 432, 136648 (2024).
Khair, S., Rahman, S. A., Shaikh, F. U. A. & Sarker, P. K. Evaluating lithium slag for geopolymer concrete: a review of its properties and sustainable construction applications. Case Stud. Constr. Mater. 20, e02822 (2024).
Xiang, B. et al. Synergistic effect of MWCNTs and GO as a reinforcing phase on copper slag-based cement composites. Sci. Rep. 15 (1), 13283 (2025).
Casagrande, C. A. et al. Copper slag in cementitious composites: A systematic review. J. Building Eng. 78, 107725 (2023).
He, Y. et al. A critical review on the use of copper slag (CS) as a substitute constituent in concrete. Constr. Build. Mater. 363, 129692 (2023).
Prabha, S. L., Gopalakrishnan, M. & Neelamegam, M. Development of high-strength nano-cementitious composites using copper slag. ACI Mater. J. 117 (4), 37–46 (2020).
Kong, F. H. et al. Effects of different activators on workability, mechanical properties and microstructure of alkali-activated slag-copper slag. Constr. Build. Mater. 463, 140151 (2025).
Feng, D. L. et al. Research progress on solidification/stabilization of sludge with Alkali–Activated cementitious materials: A review. Sustainable Chem. Pharm. 43, 101904 (2025).
Javed, U., Shaikh, F. U. A. & Sarker, P. K. Microstructural investigation of lithium slag geopolymer pastes containing silica fume and fly Ash as additive chemical modifiers. Cem. Concr. Compos. 134, 104736 (2022).
Javed, U., Shaikh, F. U. A. & Sarker, P. K. A comprehensive micro-nano investigative approach to study the development of aluminosilicate gel in binary blends of lithium slag geopolymer. Cem. Concr. Compos. 145, 105338 (2024).
Dong, J. et al. Investigation into the alkali-activation of lithium slag: A sustainable alternative to conventional cement with optimized mechanical properties. Constr. Build. Mater. 416, 135022 (2024).
Lu, K. et al. Preparation of new copper smelting slag-based mine backfill material and investigation of its mechanical properties. Constr. Build. Mater. 382, 131228 (2023).
Chen, Q. et al. Utilization of modified copper slag activated by Na2SO4 and CaO for unclassified lead/zinc mine tailings based cemented paste backfill. J. Environ. Manage. 290, 112608 (2021).
Lan, W., Wu, A. & Yu, P. Development of a new controlled low strength filling material from the activation of copper slag: influencing factors and mechanism analysis. J. Clean. Prod. 246, 119060 (2020).
He, Y. et al. Mechanical and environmental characteristics of cemented paste backfill containing lithium slag-blended binder. Constr. Build. Mater. 271, 121567 (2021).
Javed, U., Shaikh, F. U. A. & Sarker, P. K. Microstructural investigation of thermo-mechanically processed lithium slag for geopolymer precursor using various characterization techniques. Constr. Build. Mater. 342, 127952 (2022).
Soultana, A. et al. Properties of inorganic polymers produced from brick waste and metallurgical slag. Minerals 9 (9), 551 (2019).
Zheng, Y. et al. Comparison of ternary and dual combined waste-derived alkali activators on the durability of volcanic ash-based geopolymers. Cem. Concr. Compos. 136, 104886 (2023).
Jiang, L. et al. Utilization of flue gas desulfurization gypsum as an activation agent for high-volume slag concrete. J. Clean. Prod. 205, 589–598 (2018).
Cui, S., Fan, K. & Yao, Y. Preparation and characterization of quaternary clinker-free cementitious materials containing phosphorus slag, calcium carbide slag, desulfurization gypsum, and metakaolin. Constr. Build. Mater. 411, 134602 (2024).
Wei, J., Gencturk, B., Jain, A. & Hanifehzadeh, M. Mitigating alkali-silica reaction induced concrete degradation through cement substitution by Metakaolin and bentonite. Appl. Clay Sci. 182, 105257 (2019).
De Larrard, F. Concrete Mixture Proportioning: a Scientific Approach (CRC, 1999).
Fagerlund, G. Chemically bound water as measure of degree of hydration: method and potential errors. (2009).
Wei, J. & Gencturk, B. Hydration of ternary Portland cement blends containing Metakaolin and sodium bentonite. Cem. Concr. Res. 123, 105772 (2019).
Gu, X. et al. Synergistic effect and mechanism of lithium slag on mechanical properties and microstructure of steel slag-cement system. Constr. Build. Mater. 396, 131768 (2023).
Zhang, B. & Li, S. Determination of the surface fractal dimension for porous media by mercury porosimetry. Ind. Eng. Chem. Res. 34 (4), 1383–1386 (1995).
Cui, S., Liu, P., Cui, E., Su, J. & Huang, B. Experimental study on mechanical property and pore structure of concrete for shotcrete use in a hot-dry environment of high geothermal tunnels. Constr. Build. Mater. 173, 124–135 (2018).
Xue, G., Fu, Q., Xu, S. & Li, J. Macroscopic mechanical properties and microstructure characteristics of steel slag fine aggregate concrete. J. Building Eng. 56, 104742 (2022).
Wang, Y. & Diamond, S. A fractal study of the fracture surfaces of cement pastes and mortars using a stereoscopic SEM method. Cem. Concr. Res. 31 (10), 1385–1392 (2001).
Wang, J. et al. Quantitative determination of quaternary solid waste-based binders and its hydrates by XRD. Constr. Build. Mater. 425, 135888 (2024).
Debye, P. & Scherrer, P. Interferenzen an Regellos orientierten teilchen Im Röntgenlicht. I. Nachr. Von Der Gesellschaft Der Wissenschaften Zu Göttingen Mathematisch-Physikalische Klasse. 1916, 1–15 (1916).
Kaur, R. & Kothiyal, N. C. Positive synergistic effect of superplasticizer stabilized graphene oxide and functionalized carbon nanotubes as a 3-D hybrid reinforcing phase on the mechanical properties and pore structure refinement of cement nanocomposites. Constr. Build. Mater. 222, 358–370 (2019).
Noguchi, N. et al. Hydration of ferrite-rich Portland cement: evaluation of Fe-hydrates and Fe uptake in calcium-silicate-hydrates. Constr. Build. Mater. 288, 123142 (2021).
Nsiah-Baafi, E. Investigation of strategies for risk minimisation of adverse alkali-silica reaction in concrete. (Doctoral dissertation, University of Technology Sydney (Australia)), 2021).
Sun, R. et al. Effect of white mud on properties of alkali activated slag. Constr. Build. Mater. 392, 131944 (2023).
Li, W., Mao, Z., Xu, G., Chang, H., Hong, J., Zhao, H., Liu, Z. Study on the early cement hydration process in the presence of cationic asphalt emulsion. Construct. Build. Mater. 261, 120025 (2020).
Ge, W., Zhang, Z., Ashour, A., Li, W., Jiang, H., Hu, Y., Cao, D. Hydration characteristics, hydration products and microstructure of reactive powder concrete. J. Build. Eng. 69, 106306 (2023).
Shao, J., Gao, J., Zhao, Y. & Chen, X. Study on the pozzolanic reaction of clay brick powder in blended cement pastes. Constr. Build. Mater. 213, 209–215 (2019).
Huang, X. & Wang, C. Influence of Al/Fe ratio on the hydration of brownmillerite in the presence of calcium sulfate. Constr. Build. Mater. 423, 135614 (2024).
FAN, Y. F. & LUAN, H. Y. Pore structure in concrete exposed to acid deposit. Constr. Build. Mater. 49, 407–416 (2013).
Zhang, T., Ma, B., Wu, S., Jin, Z. & Wang, J. Mechanical properties and hydration process of steel slag-cement binder containing nano-SiO2. Constr. Build. Mater. 314, 125660 (2022).
Zhan, P., Xu, J., Wang, J. & Jiang, C. Multi-scale study on synergistic effect of cement replacement by Metakaolin and typical supplementary cementitious materials on properties of ultra-high performance concrete. Constr. Build. Mater. 307, 125082 (2021).
Ishai, O. The time-dependent deformational behaviour of cement paste, mortar and concrete. In Proceedings of Conference on Structure of Concrete and its Behavior Under Load, Cement and Concrete Association (pp. 345–364). (1968).
Mehta, P. K. High-performance, high-volume fly ash concrete for sustainable development. In Proceedings of the International Workshop on Sustainable Development and Concrete Technology (pp. 3–14). Ames, IA, USA: Iowa State University. (2004).
Powers, T. C. The physical structure and engineering properties of concrete (No. 90). (1958).
Halamickova, P., Detwiler, R. J., Bentz, D. P. & Garboczi, E. J. Water permeability and chloride ion diffusion in Portland cement mortars: relationship to sand content and critical pore diameter. Cem. Concr. Res. 25 (4), 790–802 (1995).
He, H. et al. Pore structure representations based on nitrogen adsorption experiments and an FHH fractal model: case study of the block Z shales in the Ordos Basin, China. J. Petrol. Sci. Eng. 203, 108661 (2021).
Zhu, H., Zhang, D., Wang, T., McBain, M. & Li, V. C. Intrinsic self-stressing and low carbon engineered cementitious composites (ECC) for improved sustainability. Cem. Concr. Res. 149, 106580 (2021).
Zhang, L. et al. Study on the reinforcing mechanisms of nano silica to cement-based materials with theoretical calculation and experimental evidence. J. Compos. Mater. 50 (29), 4135–4146 (2016).
Zhang, Q., Liu, B., Sun, Z., Li, Q., Wang, S., Lu, X., Zhang, S. Preparation and hydration process of copper slag-granulated blast furnace slag-cement composites. Construct. Build. Materi. 421, 135717. (2024).
Funding
Research funding is provided by the Science and Technology Project of Jiangxi Provincial Department of Education (GJJ2402506) and the Natural Project of Jiangxi University of Technology (ZR2109, 23ZRZD02).
Author information
Authors and Affiliations
Contributions
Bingzhi Xiang: Writing—review & editing, Resources, Project administration, Methodology, Funding acquisition, Conceptualization. Zhongjian Zhang: Writing—original draft, Visualization, Investigation, Formal analysis, Data curation. Guoxiang Yang: Validation, Investigation, Data curation. Ruifeng Cheng: Visualization, Investigation, Data curation, Formal analysis. Jielu Zhu: Validation, Investigation, Data curation.
Corresponding authors
Ethics declarations
Competing interests
The authors declare no competing interests.
Additional information
Publisher’s note
Springer Nature remains neutral with regard to jurisdictional claims in published maps and institutional affiliations.
Supplementary Information
Below is the link to the electronic supplementary material.
Rights and permissions
Open Access This article is licensed under a Creative Commons Attribution-NonCommercial-NoDerivatives 4.0 International License, which permits any non-commercial use, sharing, distribution and reproduction in any medium or format, as long as you give appropriate credit to the original author(s) and the source, provide a link to the Creative Commons licence, and indicate if you modified the licensed material. You do not have permission under this licence to share adapted material derived from this article or parts of it. The images or other third party material in this article are included in the article’s Creative Commons licence, unless indicated otherwise in a credit line to the material. If material is not included in the article’s Creative Commons licence and your intended use is not permitted by statutory regulation or exceeds the permitted use, you will need to obtain permission directly from the copyright holder. To view a copy of this licence, visit http://creativecommons.org/licenses/by-nc-nd/4.0/.
About this article
Cite this article
Xiang, B., Zhang, Z., Yang, G. et al. The LS/CS ratio-performance relationship in DG-activated hybrid cements. Sci Rep 16, 8865 (2026). https://doi.org/10.1038/s41598-026-38577-6
Received:
Accepted:
Published:
Version of record:
DOI: https://doi.org/10.1038/s41598-026-38577-6

















