Abstract
Despite global efforts, many communities fail to deliver water sustainability due to lack of context-sensitive solutions, community awareness, stakeholder coordination, and reliable ground-level data. To combat this, this study proposes a geo-enabled, participatory, digital governance platform—“Mera Gaon Hamara Jal”—for decentralised water management through empowered multi stakeholders. It integrates a multi-level, multi-stakeholder decision module (MMDM) that utilises 50 water sustainability indicators to perform evidence-based diagnostics. The module operationalises water security as a composite outcome, derived from two complementary dimensions—water poverty, which captures multidimensional deprivation across resources, access, use, capacity, and environment, and water quality, which reflects the physicochemical and microbial integrity of drinking-water sources. It uniquely integrates localised indicator development approaches, heterogeneous data collection approaches and data driven decision models to derive threshold-based risk classification, index computation, and composite risk scoring. Validated across ten rural communities (1,039 households), Alappad emerged as the highest-risk cluster (~ 37% risk). The platform identified spatial and thematic vulnerabilities, mapped hotspots, and enabled real-time decisions, context specific intervention, multi-stakeholder collaboration, and actionable strategies for water sustainability, contributing to advancing SDG 6.
Introduction
Despite being Earth’s most abundant surface resource, water continues to pose one of the most pressing sustainability and governance challenges of the 21st century1. More than 2.2 billion people worldwide lack access to safely managed drinking water, and this crisis is intensifying due to population growth, climate change, ecosystem degradation, and industrial expansion2. Water systems are increasingly overexploited and contaminated, forcing vulnerable communities—especially in rural and low-income regions—to rely on unreliable, unsafe sources that often fail to meet minimum health standards3. The resulting impacts on human health, ecosystem integrity, and socio-economic stability are profound, hindering progress toward Sustainable Development Goal 6 (SDG 6).
Water governance in India is a complex interplay of hydro-ecological, socio-economic, and institutional systems, each contributing distinct and interrelated challenges that shape the sustainability of water resources. The hydro-ecological context is characterized by high variability and stress, including erratic monsoon rains, the persistent decline of groundwater tables due to over-extraction, widespread contamination of both surface and subsurface water bodies, and increasing impacts of climate change manifested through floods, droughts, and temperature extremes (Yang et al., 2025; Dinka, 2018; Drishti IAS, 2024). These ecological pressures disrupt water availability and quality, posing direct risks to agriculture, ecosystems, and human health, especially in rural and peri-urban regions heavily dependent on groundwater and monsoon-fed surface waters. Socio-economic inequalities exacerbate these environmental vulnerabilities; marginalized and low-income households disproportionately bear the burden of limited water access, affordability constraints, and higher exposure to waterborne diseases and inadequate sanitation infrastructure (Nath et al., 2024; India Water Portal, 2025). Such disparities underscore the need for targeted interventions sensitive to local contexts and vulnerable populations. On the institutional front, governance challenges persist due to fragmented and overlapping jurisdictional authorities, weak coordination across government departments and agencies, limited enforcement capacity, and the uneven implementation of decentralized policies such as the Jal Jeevan Mission aimed at universal potable water access (Pahl-Wostl, 2012; UN-Water, 2023; NITI Aayog, 2024). Furthermore, traditional top-down water management frameworks have struggled to incorporate community knowledge and responsiveness, resulting in gaps between policy and practice. The evolving consensus in scholarship advocates for integrated, community-embedded, and data-driven governance frameworks that reconcile ecosystem realities with social equity and institutional efficacy. Anchored in these insights, the present study develops and validates a participatory, decentralized digital platform that operationalizes sustainable water governance by linking granular data collection, multi-stakeholder engagement, and tiered decision-making across hydro-ecological, socio-economic, and institutional dimensions.
Building on these contextual challenges, water governance in many regions remains constrained by decentralised infrastructure, fragmented policies, and limited institutional capacity4. Top-down water management strategies, while well-intentioned, often fail to capture localised vulnerabilities or translate community knowledge into adaptive responses. Frameworks such as Integrated Water Resources Management (IWRM)5and water safety planning6,7offer useful theoretical guidance but remain difficult to operationalise at the community level. These approaches often lack dynamic feedback systems, adequate data granularity, or sustained stakeholder participation—particularly in rural settings8.
Digital platforms have emerged as promising tools to support water sustainability through real-time monitoring, community engagement, and data-driven planning9. However, recent studies reveal persistent shortcomings. Several platforms ranging from community reporting tools like mWater and Akvo Caddisfly, to institutional monitoring systems such as the Jal Jeevan Mission (JJM) IMIS dashboard, and risk assessment tools like TEVA-SPOT and RISKNOUGHT have attempted to address these challenges yet they continue to struggle with integrating advanced analytics, enabling predictive decision-making, and adapting to rapidly changing local contexts10. Limitations in scalability, interoperability, and algorithmic transparency further hinder their uptake by institutions11. Moreover, community engagement is frequently reduced to passive data collection, with limited empowerment or ownership over decisions12. These gaps point to a critical need for a new generation of digital tools—ones that are decentralised, participatory, and analytically robust.
The overarching objective of this study is to develop and validate a decentralised, data-driven platform that assesses rural water sustainability using household-level indicators and translates these diagnostics into stakeholder-specific decision support across multiple governance levels. To achieve this, the study addresses the following research questions:
RQ1: How can data from households, participatory tools, and sensors be systematically integrated to generate reliable assessments of water sustainability at micro (household and community) scales?
RQ2: How can these assessments be operationalised within a Multi-level, Multi-stakeholder Decision Module (MMDM) to provide actionable recommendations for decentralised water governance?
This paper presents the design, deployment, and field validation of Mera Gaon Hamara Jal (My Village, Our Water)—a geo-enabled, community-centric digital platform for decentralised water governance. Built on participatory rural appraisal, real-time sensor monitoring, and household surveys, the platform integrates over 50 sustainability indicators across social, economic, environmental, and institutional dimensions. Its architecture is designed to convert raw data into stakeholder-specific insights through threshold-based diagnostics, composite scoring, and spatial-temporal risk mapping. Dynamic visualisations and analytics support co-design of interventions and real-time feedback across governance layers.
The platform was implemented across ten rural communities, encompassing data from 1,039 households. By linking citizen-sourced insights with institutional frameworks and policy feedback loops, Mera Gaon Hamara Jal operationalises a scalable, inclusive model for water governance. This paper demonstrates how participatory, data-driven digital systems can bridge the gap between policy and practice, strengthen community resilience, and advance sustainable water management at the last mile.
Main
A geo-enabled architecture for decentralised water governance
To address the limitations of top-down water management approaches, the Mera Gaon Hamara Jal platform incorporates a Multi-level, Multi-stakeholder Decision Module (MMDM) as its core analytical and decision-support engine. The MMDM is designed to operationalise decentralised water governance by transforming granular household-level data into stakeholder-specific insights and recommendations across five governance levels: household, community, district, state, and national.
The overall operational architecture of the platform is illustrated in Fig. 1, which depicts the complete workflow from data collection to recommendation and feedback. The framework begins with a multi-source data collection layer, integrating participatory rural appraisal (PRA) tools, household surveys, human-centred design methods, and sensor-based monitoring to capture over fifty indicators across social, economic, environmental, and institutional dimensions. These data feed into the Decision Module, which processes household-level inputs through successive analytical layers:
(1) generation of household-level binary matrices based on indicator thresholds; (2) identification of correlated indicators and clustering into sustainability domains; and (3) formation of composite indices that reflect multidimensional water sustainability profiles.
Operational architecture of the Mera Gaon Hamara Jal platform. The multi-level, multi-stakeholder decision module (MMDM) transforms household-level data into threshold-based binary matrices, computes composite risk scores, and routes insights to stakeholders through dynamic decision logic across five governance levels. (PRA – Participatory Rural Appraisal; HCD – Human-Centred Design; FGD – Focus Group Discussion; MMDM – Multi-level, Multi-stakeholder Decision Module; NGO – Non-Governmental Organisation).
The outputs of these analytical layers enable problem derivation, where spatial hotspot maps and risk clusters highlight critical vulnerabilities within and across communities. The subsequent recommendation layer translates these diagnostic results into actionable, stakeholder-specific insights. Recommendations are structured across three axes—multi-spatial (household to national), multi-stakeholder (household, community, NGO, local government, expert domain), and multi-dimensional (social, economic, environmental, institutional)—ensuring contextual relevance and decision coherence. These tailored, role-specific outputs ensure that each governance layer—households, community institutions, NGOs, and government agencies—receives information relevant to its operational scope, whether diagnostic alerts, community-level summaries, or policy-oriented reports.
Finally, the architecture incorporates a feedback and evaluation loop, where implemented interventions and local responses are reintegrated into the platform through co-design and continuous learning. This cyclical design ensures analytical rigour, local relevance, and operational adaptability. Unlike static dashboards, the platform continuously performs real-time data transformations and updates, facilitating dynamic, context-aware decision support for sustainable water governance.
The platform was deployed across 1,039 households in ten rural communities: Batwari Sunar (Uttarakhand), Dongarampur (Karnataka), Juna Kathiwada (Madhya Pradesh), Ratanpur (Bihar), Sarai Nooruddinpur (Uttar Pradesh), Harirampura (Rajasthan), Kalinagar (West Bengal), Alappad and Chingoli (Kerala), and Nagercoil (Tamil Nadu)—representing diverse hydro-ecological, socio-economic, and institutional contexts. The following sections demonstrate how the MMDM identifies household-level vulnerabilities, derives composite insights, and generates stakeholder-specific recommendations for sustainable water management.
Indicator based household level risk
To diagnose household-level water sustainability vulnerabilities, the platform constructs a binary risk matrix F of dimensions n × m, where n is the number of households and m is the number of water sustainability indicators. Each element \(\:{f}_{ij}\) is assigned based on threshold exceedance:
The matrix is represented as:
The household-level risk score Ri is calculated as the row sum of F, indicating the total number of sustainability parameters for which a household exceeds defined thresholds:
This score represents the total number of sustainability indicators for which a household is at risk. Since it is a count-based measure, higher values indicate greater multidimensional vulnerability. The Ri values were interpreted in a relative, rather than absolute, manner to compare households within each community and to identify high-risk (hotspot) clusters. In this context, “risk clusters” refer to households whose Ri values are comparatively higher than the community average. These households were highlighted to prioritise areas where multiple sustainability issues coexist simultaneously. In Alappad, Ri ranged from 2 to 18 across households. The platform identifies such variations and generates tailored, stakeholder-specific recommendations. For instance, the highest-risk household (H22), which exceeded 18 thresholds, exhibited vulnerabilities across multiple domains, including water treatment, composting, groundwater awareness, and disaster preparedness. Meanwhile, households (H2) with only 2 indicators above threshold primarily faced issues related to drinking water safety and recharge practices. Figure 2a shows the household-level risk distribution for 69 households from Alappad village, used here as a representative subset to illustrate the method.
Indicator-based community-level risk
To identify spatial patterns of water sustainability vulnerability, the platform aggregated household-level indicator threshold exceedances to compute risk percentages for each community. For a given community Ck, with nk households and m indicators, the community risk score Sk is defined as the ratio of observed exceedances to the total possible exceedances across all households and indicators.
Thus, Sk ∈ [0,1], and represents the percentage of sustainability indicators that are at risk across all households in a community. The analysis conducted in Alappad revealed significant spatial variation, with risk percentages ranging from 18.79% to 37.21% (Fig. 2.b). The highest risk levels were observed in C6 (Cheriyazhekkal ), C10 (Parayakadavu), and C11 (Perumpally), each exceeding 36.9%, indicating concentrated sustainability burdens. In contrast, C8 (Kuzhithura), C2 (Azheekkal), and C9 (Mookkumpuzha) reported the lowest risk values, all below 19.3%, suggesting comparatively stronger sustainability performance. This spatial risk profiling enables evidence-based prioritization of communities for targeted interventions.
Index based analysis - household & community based risk
The Water Poverty Index (WPI) was computed for seven communities using community-derived indicators across five dimensions: access, resource, usage, capacity, and environment- adapted from Sullivan et al. (2003) (Fig. 2c). Each dimension was normalised using min–max scaling and assigned equal weights, as expressed below:
WPI = \(\frac{\sum\:_{i=1}^{5}{w}_{i}Xi}{\sum\:_{i=1}^{5}{w}_{i}}\), where Xi denotes the normalised value of each subcomponent and wi represents its weight. The resulting WPI values ranged from 0 (severe water poverty) to 1 (sustainability). As depicted in Fig. 2c, Ratanpur had the lowest WPI, indicating greater sustainability, while Kalinagar recorded the highest, reflecting critical vulnerability. Access showed the widest disparity, with scores ranging from 0.0264 (Juna Katthiwada) to 0.20 (Kalinagar). Capacity had the lowest average (0.0384), suggesting stronger institutional readiness.
To evaluate source-level safety, the Water Quality Index (WQI) was calculated for 30 sources in Alappad using the weighted arithmetic mean method (Brown et al., 1972). The WQI was calculated as:
WQI = \(\frac{\sum\:{Q}_{i}{W}_{i}}{{\sum\:W}_{i}}\), where \(\:{Q}_{i}=\frac{{V}_{i}-{V}_{0}}{{S}_{i}-{V}_{0}}*100\) is the quality rating of the i-th parameter, Vi is the observed value, Si is the permissible standard (BIS 10500:2012), V0 is the ideal value, and \(\:{W}_{i}=\frac{k}{{S}_{i}}\) is the relative weight of each parameter. Ten parameters were considered—TDS, EC, pH, turbidity, fluoride, chloride, alkalinity, hardness, iron, and total coliforms—measured using standard APHA (2017) procedures.
Median WQI scores were 38.47 for piped water, 155.8 for open wells, and 73.62 for borewells, as shown in Fig. 2d. Based on standard thresholds, all open wells were classified as ‘Unsuitable’, while piped and borewell sources showed mixed results ranging from ‘Excellent’ to ‘Unsuitable’. Although WQI effectively flagged high-risk sources, it did not reveal underlying causes such as infrastructure failure or proximity to pollution, underscoring the need for integrated, context-aware diagnostics.
Community level risk distribution
To characterise intra-community disparities, the platform generates a spatial summary matrix S for each community by aggregating key descriptive statistics across all water sustainability indicators:
Here, for each indicator j∈ {1, 2,…,m}:
-
µj = mean value across households.
-
σj = standard deviation.
-
Pj,25, Pj,50, Pj,75 = 25th, 50th (median), and 75th percentiles.
-
minj, maxj = minimum and maximum observed values.
-
Rj = number of households exceeding the risk threshold (from matrix F).
This matrix enables direct comparison of statistical profiles across communities, and identification of disparities, outliers, and risk concentration zones.
Figure 2e presents the distribution of household water usage in Alappad (C1) and Srayikkad (C12) using descriptive statistics such as mean, median, percentiles, and standard deviation. Comparatively Srayikkad (C12) showcased consistently high water usage levels, a stable and uniform pattern of access as reflected in a mean of 221.5 L per person per day, median of 250 L per person per day, and relatively narrow variation (SD: 125.1 L per person per day). Conversely, Alappad (C1) demonstrates a more uneven usage distribution, with a mean of 186.0 L per person per day, median of 200 L per person per day, and a broader standard deviation (130.9 L per person per day). The minimum usage as 10 L and the 25th percentile as 100 L at Alappad (C1) points to significant intra-community disparities in water access or storage capacity. This highlights the necessity for supply-side interventions aimed at enhancing infrastructure reliability and ensuring equitable distribution.
Indeed, the mean household water use in both Alappad (186 LPCD) and Srayikkad (221 LPCD) significantly exceeds the 55 LPCD norm prescribed by the Ministry of Jal Shakti under the Jal Jeevan Mission for rural domestic water supply13. When viewed in a broader context, this also surpasses the minimum human rights standard of 50–100 LPCD recommended by WHO/UN for basic health and hygiene, as well as average rural water consumption levels reported in global studies (typically 60–120 LPCD). Such elevated consumption levels indicate potential overuse, particularly in groundwater-dependent households, which may compromise long-term sustainability. This highlights the importance of proactive demand-side management, behavioural awareness, and water-use efficiency measures rather than focusing solely on supply-side solutions.
Indicator relationships (a) Number of indicators exceeding thresholds per household in Alappad, (b) Community-level water sustainability risk based on threshold, (c) WPI of seven communities by dimension, (d) Water source classification using WQI, (e) Comparative distribution of household water usage.
Inter-indicator relationships
To explore underlying relationships among key water sustainability indicators, a Spearman rank correlation analysis was conducted as shown in Fig. 3. The objective was not only to identify statistically significant relationships but also to uncover how multiple indicators interact within the broader system of water sustainability.
Spearman rank correlation analysis to identify inter- indicator relationship.
A moderate positive correlation (ρ = 0.53) was observed between perceived local government support (Indicator 38) and the implementation of restoration activities (Indicator 37). In Alappad (C1), 72.4% of respondents reported active engagement by local authorities in water resource management, alongside visible groundwater restoration efforts. This suggests that institutional involvement may play a crucial role in mobilizing timely environmental responses, particularly in ecologically vulnerable areas facing aquifer stress. In contrast, in Srayikkad (C12), 81% of respondents (47 out of 58) reported limited government support, while 48.3% identified local aquifers as overexploited (Indicator 30). The lack of formal restoration efforts in Srayikkad (C12) appears to coincide with signs of groundwater depletion and limited community-level mitigation.
A second moderate correlation (ρ = 0.58) was found between local government support (Indicator 38) and household composting practices (Indicator 19). In Alappad (C1), 84.1% of respondents noted consistent local government involvement, and 67.3% reported practicing composting. This alignment indicates that long-term governance presence not only provides infrastructure but also encourages environmentally responsible behavior at the household level. In contrast, in Srayikkad (C12), where government support was perceived as weak, only 39.7% of households engaged in composting. This disparity reinforces the importance of institutional engagement in shaping both environmental infrastructure and sustainable practices at the grassroots level.
Composite score derivation - multi - indicator relationship
To synthesize multidimensional household-level vulnerabilities, the platform grouped significantly correlated indicators (ρ > 0.5) into thematic domains and computed composite risk scores per household for each group. Let Ig represent the set of indicators in group g, and \(\:{F}_{ij}\:\)∈ {0,1} the binary risk flag for household i and indicator j. The composite score Sig was derived as a weighted average of binary exceedances:
The weights \(\:{w}_{j}\) were computed using the entropy weighting method to reflect each indicator’s discriminative power. Indicator values \(\:{w}_{j}\)j were first normalized into probabilities:
Entropy for indicator j was then calculated as:
The divergence \(\:{d}_{j}=1-{e}_{j}\) and normalized entropy weight:
Aggregating household scores across communities yielded a community-level multidimensional profile:\(\:{S}_{c}=[{S}_{c1},{S}_{c2},...{S}_{cG}]\)-where ScG is the aggregated composite score for group g in community c. This structure was extended to district Sd and state levels Ss through hierarchical aggregation.
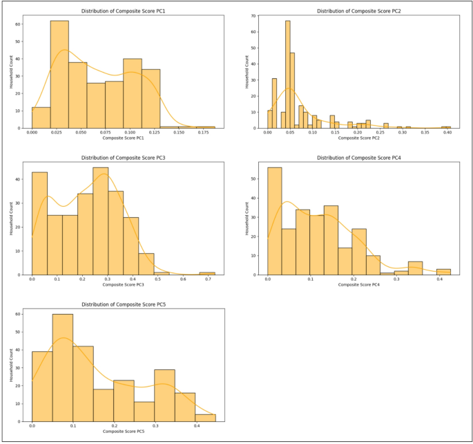
To validate these groupings, a principal component analysis (PCA) was conducted on the 50 + indicators (Fig. 4). Five principal components (PC1–PC5) were retained based on eigenvalue and loading thresholds (|L| ≥ 0.20), ensuring thematic coherence. Each component captured a distinct dimension of water sustainability. Figure 4 presents the distribution of household-level composite scores across the five principal components (PC1–PC5), derived through Principal Component Analysis (PCA) of water sustainability indicators.
Distribution of PCA derived composite risk score.
PC1: community-based groundwater management & collective action
This component exhibits a right-skewed distribution, with most households scoring between 0.02 and 0.12. PC1 reflects active participation in water management committees (I-45,L-0.21), awareness of groundwater recharge and restoration (I-42,L-0.23), familiarity with local groundwater infrastructure(I-44.L-0.2), and adoption of energy-efficient technologies like solar pumps (-37,L-0.24). The small group of households scoring above 0.15 represents those with strong engagement in community-led water management and sustainable practices. The overall pattern indicates that while a few households are highly proactive, the majority have moderate or limited involvement, highlighting significant potential for scaling up community engagement and participatory water governance.
PC2: traditional water practices & basic infrastructure
PC2 displays a pronounced left-skewed distribution, with the majority of households clustered at lower scores (0.02–0.08) and only a few exceeding 0.25. This component is driven by reliance on traditional water management methods(I-26,L-0.2), basic sanitation facilities (I-12,L0.22), participation in village water committees (I-45,0.19), and perceptions of water quality (I-32,L0.2). The concentration at the lower end suggests that most households either lack access to robust infrastructure or primarily depend on traditional methods, underscoring the need for infrastructure upgrades and integration of traditional knowledge with modern solutions.
PC3: technological adoption & water access efficiency
The distribution for PC3 is bell-shaped and approximately normal, centered between 0.2 and 0.35. This component captures household adoption of solar/energy-efficient water pumps (I-37,L0.2), proper drainage systems (I-25,L-0.27), awareness of composting (I-14,L-0.2), and efficient water access (shorter waiting times) (I-35,L-0.3). The wide spread indicates variability in technological adoption and water access efficiency among households. While many are making moderate progress, there are both high-performing households with advanced practices and others lagging behind. This suggests opportunities for targeted promotion of efficient technologies and infrastructure.
PC4: institutional engagement & sanitation outcomes
PC4 is right-skewed, with most scores between 0.05 and 0.25, and a tail extending to 0.4. It reflects participation in irrigation water management meetings(I-47,L-0.2), access to improved toilet facilities (I-12,L-0.185), use of traditional water-saving strategies(I-27,L-0.182), and overall engagement with local water governance (I-43,L-0.182). The distribution suggests a core group with intermediate institutional engagement and sanitation outcomes, while the upper tail identifies potential community leaders or model households. Households at the lower end may benefit from increased support for institutional participation and sanitation improvements.
PC5: health, infrastructure reliability & water quality perception
PC5 shows a flattened, slightly right-skewed, or bimodal distribution, with clusters at both low (0.02–0.08) and mid (0.15–0.25) scores. This component is shaped by self-reported water-related health issues (I-10,L-0.293), infrastructure failures (such as leakages) (I-30,L-0.247), and household perceptions of water quality(I-32,L-0.209). The spread indicates that while some households face persistent health and infrastructure challenges, others perceive their water situation as adequate. This divergence points to the need for targeted interventions addressing both physical infrastructure and health education, as well as responsive maintenance services.
Conclusion
This study introduces a decentralised, data-driven model for rural water sustainability assessment that addresses major limitations of conventional top-down approaches. Implemented through the Mera Gaon Hamara Jal (My Village, Our Water) platform across ten rural Indian communities, the model integrates participatory data collection, empirical analytics, and stakeholder-specific decision support to generate granular and actionable insights.
Traditional frameworks such as the WPI and WQI provide useful aggregated scores but often mask intra-community disparities and disconnect local-level vulnerabilities from policy action. By contrast, the proposed platform operationalises a bottom-up diagnostic system, treating each household as an independent analytical unit. Threshold-based binary matrices, entropy-weighted composite scoring, and correlation/PCA-based indicator clustering allow the platform to identify micro-level vulnerabilities, interdependencies, and risk hotspots that are otherwise overlooked.
This architecture reveals patterns of inequality, hidden governance failures, and unsustainable water use, translating them into stakeholder-specific outputs for households, community institutions, NGOs, and policymakers. Unlike static dashboards, the system facilitates continuous monitoring, feedback learning, and context-aware interventions, aligning with national and global frameworks such as Jal Jeevan Mission, SDG 6, WHO, and BIS standards.
Limitations and future scope
While the platform demonstrates strong potential, certain limitations remain. First, the reliability of outputs depends on active household participation and local acceptance, which varied across communities. Second, data need to be periodically updated to remain accurate, as household conditions and water sources change over time. Third, the current version does not integrate hydrological models or long-term climate projections, limiting its ability to simulate future scenarios. Connectivity constraints in rural regions also restrict real-time data synchronisation in some sites.
Future research will focus on expanding deployment to new hydro-ecological contexts, integrating advanced IoT sensors for continuous monitoring, and coupling the system with predictive models for droughts, salinity intrusion, and groundwater depletion. Enhancing interoperability with government databases and strengthening institutional adoption will further support its transition from pilot to policy instrument. By bridging community knowledge, scientific analytics, and governance processes, Mera Gaon Hamara Jal offers a replicable pathway for inclusive, data-driven, and adaptive water management.
Methodology
Recognising the limitations of existing digital platforms in achieving water sustainability, the need for an integrated and comprehensive platform is evident. Therefore, this section details the methodology incorporated in developing such a platform to overcome current challenges and propel grassroots water sustainability.
This study adopts a structured, five-phase methodology to design, implement, and validate a decentralised, data-driven platform for rural water governance. Grounded in participatory design, the approach integrates community engagement with spatio-temporal analytics and statistical modelling to co-generate localised water sustainability insights. The five phases include:, (1) indicator development, (2) data collection, (3)data analysis, (4) problem derivation and (5) Recommendations - Interventions & Policy. The integrated methodology is illustrated in Fig. 5.
Platform’s development methodology.
Phase 1: indicator development & localisation
The first step involved a comprehensive literature review to identify appropriate water sustainability indicators. Scopus was selected as the primary database due to its extensive repository of peer-reviewed research. A systematic keyword-based search was conducted, beginning with the broad term “Water Management,” which returned over 530,000 articles. This was progressively refined by appending “Sustainability,” “Community,” and “Indicators,” ultimately narrowing the set to 395 relevant articles. To ensure recent contextual relevance, only publications from 2020 onward were considered, yielding a final pool of 207 articles for in-depth analysis.
Critical review of the shortlisted articles yielded 49 indicators categorised across four key sustainability dimensions:
-
Social (e.g., drinking water access time, household size).
-
Economic (e.g., water expenditure, irrigation water volume).
-
Environmental (e.g., well location, groundwater quality).
-
Institutional (e.g., pollution sources, committee participation).
Subsequently, the second level of indicator development consisted of indicator validation and refinement through extensive stakeholder engagement, were conducted with households, environmentalists, water managers, health workers, and NGOs; thus ensuring relevance across communities. These community insights directly informed the development of context-specific indicators across four sustainability dimensions—social, economic, environmental, and institutional. Each indicator was linked to a predefined value type (binary, Likert, or quantitative) and mapped to potential risks and interventions.
While indicators were identified across all four dimensions, the distribution varied in scope and number. Based on the literature review and stakeholder consultations, a larger set of indicators emerged under the social, economic, and environmental dimensions, reflecting their household-level variability. In contrast, three core institutional indicators—local government support, participation in water committees, and frequency of institutional meetings—were finalised to capture governance capacity, participation, and responsiveness. This balance ensured analytical consistency across dimensions while avoiding redundancy.
The selection of these four sustainability dimensions was guided by global and national frameworks that conceptualise water sustainability as a multidimensional construct integrating ecological, socio-economic, and governance aspects. The structure aligns closely with the Water Poverty Index (Sullivan et al., 2003; Garriga & Foguet, 2010), which defines the five key components of water sustainability—resources, access, capacity, use, and environment—each operationalised through multiple indicators. Similar multidimensional frameworks are employed by UN-Water (2018) for SDG 6 monitoring and by NITI Aayog (2018) in India’s Composite Water Management Index, which together validate the inclusion of social, economic, environmental, and institutional dimensions as reliable measures of water sustainability. These references collectively establish the theoretical grounding for the indicator framework adopted in this study while allowing contextual localisation through participatory refinement. Table 1 lists the indicators identified along with their corresponding sources.
Phase 2: data collection & validation
The platform was implemented in a phased manner to generate insights into rural water sustainability across ten communities in India. Field engagement and data collection were carried out through the Live-in-Labs® programme, employing participatory methods to capture community-level realities. Sensors were deployed at selected water sources to enable real-time monitoring of physicochemical and microbial parameters. The study areas were strategically selected to reflect diverse hydro-ecological conditions, socio-economic profiles, institutional capacities, and water sustainability challenges (Table 2). This diversity allowed the platform to be tested and validated under real-world conditions with distinct problem profiles across different hydro-ecological and governance contexts.
To operationalise the indicator framework and capture both spatial and behavioural granularity, the study adopted a mixed-method data collection design integrating household surveys, participatory approaches, and sensor-based monitoring.
PRA tools were employed to capture community perceptions, behavioural practices, and institutional linkages related to water sustainability. Each tool was applied once in every community, ensuring comparable coverage and representativeness across sites. These were conducted as part of a phased engagement, where field teams stayed in each community for approximately 20–25 days. The sessions engaged households, women’s self-help groups (SHGs), local governance representatives, and village water management committees, facilitating both horizontal (community-level) and vertical (institutional-level) perspectives. For household surveys and PRA participation, approximately 10% of total households in each community were selected as the representative sample, following proportional sampling based on village size. The participatory tools employed in this study, along with the key parameters captured and the corresponding stakeholder-specific insights derived at household, community, local government, water authority, and domain expert levels, are summarised in Table 3.
The following tools were used:
-
Water resource mapping - This GIS-integrated tool mapped water and sanitation sources, distances to households, and linked data to relevant indicators, causes, and drivers, providing accurate spatial representations37.
-
Income-expenditure - This tool quantifies income and expenditure at community and household levels, offering a comprehensive view of economic dynamics, enabling optimal decisions for targeted interventions and resource allocation38.
-
Inflow-outflow - This tool offers a detailed understanding of water resource usage, the community’s degree of dependence, and seasonal inflow and outflow dynamics. This tool will assess usage burden and devise sustainable water management strategies37.
-
Seasonal calendar - This tool aids in analyzing the temporal patterns of water sustainability parameters such as water usage, availability, quality, and consumption38.
-
Venn diagram - This tool visualizes the accessibility of multi-stakeholders such as water authorities, local administrators, and change agents, who influence water usage patterns and address water-related challenges37. This tool provides insights into the community’s accessibility to decision-makers, offering a clearer understanding of the challenges involved in implementing recommendations effectively within the community.
-
Brainstorming/focused group discussions (FGDs) - This activity fosters active engagement with stakeholders to explore water-related challenges, scenarios of water sustainability challenges, and examine their immediate and long-term impacts39. It serves as a collaborative platform where participants can share perspectives, validate each other’s insights, and reach a consensus on water sustainability issues.
-
Problem tree - This tool facilitates a systematic examination of the root causes and consequences of water sustainability challenges identified through the preceding PRA tools39.
Utilizing Human-Centered Design tools, such as Participant Observation and Scenarios, further aid in analyzing the impacts of the water challenges to better capture the needs assessment at household and individual levels37,41,42,22. Community-specific water scenarios were developed through door-to-door semi-structured interviews.
Household surveys
Quantitative data were collected from 1,039 households across ten communities, representing approximately 10% of the total population in each community. A stratified random sampling approach ensured representation across gender, caste, and income groups. Surveys were administered using the SREE mobile application, a geo-enabled tool capable of recording multi-thematic crowd-sourced data with integrated GPS and timestamp functionality43. The questionnaire was standardized through pilot testing in two communities to ensure reliability and contextual clarity, and each interview took approximately 20–25 min to complete.
Sensor-based and environmental monitoring
To complement survey and participatory data, IoT sensors were deployed at 30 representative water sources, including piped taps, borewells, and open wells. Sensors continuously monitored pH, temperature, electrical conductivity (EC), total dissolved solids (TDS), turbidity, and residual chlorine, while microbial parameters (total and faecal coliforms) were periodically analysed through field kits and laboratory validation. Satellite imagery and secondary datasets such as public health records, water board data, and government statistics were used for triangulation, ensuring robust validation of environmental and institutional indicators.
Phase 3: data analysis
For in depth data analysis and thereby testing the platform’s adaptability, ten rural communities were strategically selected from five regions of India: South, North, East, West, and Central, representing hydro-geographic, socio-economic, and cultural diversity44,45. The key approaches used for detailed analysis and for deriving stakeholder specific insights are detailed below. All symbols, variables, and mathematical notations used in the indicator-based, index-based, and composite analyses are defined in Table 4.
-
Single indicator based: Each indicator was independently assessed using a threshold-based classification, with household-level values compared against standards from WHO46, Bureau of Indian Standards (BIS 10500:2012)47, UNICEF/WHO Joint Monitoring Programme (JMP)48, Government of India rural water supply standards49. A binary risk flag (0 or 1) was assigned to each household-indicator pair, where ‘1’ indicated a deviation from the acceptable standard or desired practice. The resulting binary risk matrix was aggregated across spatial levels (household, community, district) to compute the proportion of households at risk per indicator.
-
Index based: To assess household and community-level water sustainability in a structured and interpretable manner, water security was operationalised as a composite construct encompassing multiple dimensions represented by Water Poverty Index (WPI) and Water Quality Index (WQI). Accordingly these indices were computed using the collected dataset.
-
Water poverty index (WPI): The WPI is a widely accepted method for assessing community-level water sustainability (Lawrence et al., 2002; Sullivan et al., 2003; Garriga & Foguet, 2010). It provides a comprehensive measure of water-related deprivation, capturing both the physical availability of water and the socio-economic and environmental factors that affect its access and use50. The index is calculated using five dimensions - resources, access, capacity, use, and environment, each comprising multiple sub-indicators. Subcomponents are standardised using min–max normalisation, and assigned equal weights to ensure comparability across dimensions.
-
Water quality index (WQI): Complementing the WPI, which captures access and sustainability dimensions, the Water Quality Index (WQI) evaluates the physicochemical and microbial safety of drinking-water sources through a composite scoring approach (Brown et al., 1972; Sahu & Sikdar, 2008). In this study, WQI was computed using 10 parameters: Total Dissolved Solids (TDS), Electrical Conductivity (EC), pH, turbidity, fluoride, chloride, alkalinity, hardness, iron, and total coliforms, each benchmarked against the permissible limits set by WHO and BIS (IS 10500:2012). This index provides a score for evaluating source-level drinking water safety and supports the identification of high-risk zones.
-
-
Multiple indicator based: To identify latent structures and dependencies across sustainability indicators, Spearman’s rank correlation coefficient was applied. This non-parametric approach accommodates mixed data types and quantifies monotonic relationships between indicators. Indicators with correlation coefficients above 0.4 were grouped into clusters Ig, each representing a distinct sustainability domain such as infrastructure, health, or perception.
-
Principal component analysis (PCA) was used to validate the thematic coherence of these groups and reduce dimensionality. For each household i, binary risk flags Fij corresponding to indicators j∈Ig were aggregated to compute group-specific composite scores. To reflect the relative informational contribution of each indicator, entropy weighting was applied within each group. This process yielded interpretable, domain-specific vulnerability scores per household. Aggregating these across households produced multi-dimensional community-level risk profiles. Retaining disaggregated group scores across spatial scales (community Cd, district d, state s) enabled targeted, scale-specific policy planning and governance interventions.
Phase 4: problem derivation
Based on the insights generated from the previous phases—indicator based data at household level, community-based data aggregation, and multi-dimensional analysis—the specific water-related challenges in each community were systematically derived.
Phase 5: recommendations - interventions & policy
Based on these insights derived from each step, the single-indicator and multi-dimensional recommendations are generated. Threshold-based alerts (e.g., WQI limits) and evidence-informed trade-off scenarios were embedded to derive necessary recommendations. This integrated approach ensures that the same underlying data resource is transformed into actionable knowledge appropriate to each stakeholder’s decision-making context. All methods were carried out in accordance with relevant guidelines and regulations. The study protocol involving human participants, including surveys and household-level data collection, was reviewed and approved by the Institutional Ethics Committee of Amrita Vishwa Vidyapeetham, Amritapuri Campus. Informed consent was obtained from all participants prior to participation in the study.
Table 3 summarizes the participatory tools, and its capability on deriving their community specific key parameters, and the stakeholder specific distinctive outputs.
Data availability
The datasets generated and/or analysed during the current study are not publicly available due to privacy and community consent restrictions, but are available from the corresponding author on reasonable request.
References
Dinka, M. O. Safe drinking water: concepts, benefits, principles and standards. Water Challenges Urbanizing World. 163. (2018).
Yang, W. et al. Exacerbated anthropogenic water pollution under climate change and urbanization. Water Res. 280, 123449 (2025).
Edition, F. Guidelines for drinking-water quality. WHO Chron. 38 (4), 104–108 (2011).
Nath, D., Peramaiyan, P., Kumari, V., Laik, R. & Dotaniya, M. L. Water Resources of Rural India: Challenges and Management Strategies for Sustainable Development. In Water Resources Management for Rural Development pp. 191–200 (Elsevier, 2024).
United Nations Environment Programme. (n.d.). Integrated water resources management. Water Resources Management. (2025).
World Health Organization. (n.d.). Water safety planning. In Water, sanitation, hygiene and health. (2025).
International Water Association. (n.d.). Water safety planning. IWA Network. (2025).
Pahl-Wostl, C., Lebel, L., Knieper, C. & Nikitina, E. From applying panaceas to mastering complexity: toward adaptive water governance in river basins. Environ. Sci. Policy. 23, 24–34 (2012).
Ratnam, M. Water supply mapping for a sustainable future: Data-Driven efforts in decision making. Smart Internet Things. 2 (1), 1–10 (2025).
Amador-Castro, F. et al. Internet of things and citizen science as alternative water quality monitoring approaches and the importance of effective water quality communication. J. Environ. Manage. 352, 119959 (2024).
Randhawa, S., Sandha, S. S. & Srivastava, B. A multi-sensor process for in-situ monitoring of water pollution in rivers or lakes for high-resolution quantitative and qualitative water quality data. In 2016 IEEE Intl Conference on Computational Science and Engineering (CSE) and IEEE Intl Conference on Embedded and Ubiquitous Computing (EUC) and 15th Intl Symposium on Distributed Computing and Applications for Business Engineering (DCABES) (pp. 122–129). (IEEE, 2016).
Nandanan, K. et al. Multi-Stakeholder-Centric Micro-Level Sustainability Assessments and Policy Recommendations 100710 (Environmental and Sustainability Indicators, 2025).
Ministry of Jal Shakti. Operational Guidelines for Jal Jeevan Mission: Har Ghar Jal (Department of Drinking Water & Sanitation, 2023).
Salam, A. Internet of things in water management and treatment. In Internet of Things for Sustainable Community Development: Wireless communications, sensing, and Systems (273–298). (Springer International Publishing, 2024).
Sharma, A. & Ji, S. Linkages between Traditional Water Systems (TWS) and Sustainable Development Goals (SDGs): A Case of Govardhan, India Vol. 9, 100816 (Social Sciences & Humanities Open, 2024).
Sintondji, L. O., Vissin, E., Dan, O. F., Dossou-Yovo, E. R. & Amouzouvi, D. Socio-demographic characteristics of households as determinants of access to water, hygiene and sanitation in So-Ava, Benin. J. Environ. Sci. Public. Health. 1 (4), 253–267 (2017).
Smith, J. L. A critical appreciation of the bottom-up approach to sustainable water management: embracing complexity rather than desirability. Local Environ. 13 (4), 353–366 (2008).
Smith, J. L. A critical appreciation of the bottom-up approach to sustainable water management: embracing complexity rather than desirability. Local Environ. 13 (4), 353–366 (2008).
Speir, S. L., Shang, L., Bolster, D., Tank, J. L., Stoffel, C. J., Wood, D. M., Wang, D. (2022). Solutions to current challenges in widespread monitoring of groundwater quality via crowdsensing. Groundwater 60 (1).
Ssozi-Mugarura, F., Blake, E. & Rivett, U. Designing for sustainability: Involving communities in developing ICT interventions to support water resource management. In 2015 IST-Africa Conference (pp. 1–8). (IEEE, 2015).
Sullivan, C. A., Meigh, J. R. & Giacomello, A. M. The water poverty index: development and application at the community scale. In Natural Resources Forum (Vol. 27, No. 3, 189–199). Oxford, UK: Blackwell Publishing Ltd. (2003), August.
Sullivan, C. A., Meigh, J. R. & Giacomello, A. M. The water poverty index: development and application at the community scale. In Natural Resources Forum (Vol. 27, No. 3, 189–199). Oxford, UK: Blackwell Publishing Ltd. (2003), August.
Thakur, A. & Devi, P. A comprehensive review on water quality monitoring devices: materials advances, current status, and future perspective. Crit. Rev. Anal. Chem. 54 (2), 193–218 (2024).
Thatai, S., Verma, R., Khurana, P., Goel, P. & Kumar, D. Water quality standards, its pollution and treatment methods. A new generation material graphene: applications in water technology, 21–42. (2019).
Tuna, G., Arkoc, O. & Gulez, K. Continuous monitoring of water quality using portable and low-cost approaches. Int. J. Distrib. Sens. Netw. 9 (6), 249598 (2013).
United Nations Department of Economic and Social Affairs. Statistics Division. The Sustainable Development Goals Report 2023: Special edition. (2023).
United Nations Environment Programme. (n.d.). Integrated water resources management. Water Resources Management. (2025).
Varma, D. S., Nandanan, K., PC, V. R., Pérez, M. L., Ramesh, M. V. & KA, S., & Participatory Design Approach To Address Water Crisis in the Village of Karkatta, Jharkhand, India Vol. 172, 121002 (Technological Forecasting and Social Change, 2021).
Vasanthavigar, M., Srinivasamoorthy, K., Vijayaragavan, K., Rajiv Ganthi, R., Chidambaram,S., Anandhan, P., Vasudevan, S. Application of water quality index for groundwater quality assessment: Thirumanimuttar sub-basin, Tamilnadu, India. Environ. Monit. Assess. 171, 595–609. (2010).
Vaseashta, A. et al. Exposome, biomonitoring, Assessment and Data Analytics To Quantify Universal Water Quality Threat Detection and Mitigation, 67–114 (Water Safety, 2021).
Vyas, J. N. & Nath, S. The Role of Government and the Public in Water Resource Management in India 399–415 (Resources, Strategies and Scarcity, 2021).
WHO & UNICEF. Progress on Household Drinking water, Sanitation and Hygiene 2000–2020: Five Years into the SDGs (World Health Organization (WHO) and the United Nations Children’s Fund (UNICEF), 2021).
World Health Organization. Guidelines for drinking-water quality (4th ed., incorporating the 1st addendum). Geneva: World Health Organization. (2017).
World Health Organization. (n.d.). Water safety planning. In Water, sanitation, hygiene and health. (2025).
Yang, W., Schmidt, C., Wu, S., Zhao, Z., Li, R., Wang, Z., Zhang, J. Exacerbated anthropogenic water pollution under climate change and urbanization. Water Res. 280, 123449 (2025).
Zia, H., Harris, N. & Merrett, G. Collaborative catchment-scale water quality management using integrated wireless sensor networks. In EGU General Assembly Conference Abstracts (pp. EGU2013-10248). (2013).
Kulkarni, P. P. et al. From open defecation to digital empowerment: a participatory IoT solution for a rural South Indian village. In International Conference on Smart Computing and Communication (pp. 311–323). (Springer Nature Singapore, Singapore, 2024). https://doi.org/10.1007/978-981-97-1326-4_26.
Ganesh, V. et al. Technology for addressing income insufficiency in rural India. In 2020 IEEE 8th R10 Humanitarian Technology Conference (R10-HTC) (pp. 1–6). (IEEE, 2020). https://doi.org/10.1109/R10-HTC49770.2020.9356975.
Prajwal, K. S. et al. The assessment of challenges and sustainable method of improving the quality of water and sanitation at Deurbal, Chhattisgarh. In IoT with Smart Systems: Proceedings of ICTIS 2022, vol 2. (pp. 721–730). (Springer Nature Singapore, Singapore, 2022). https://doi.org/10.1007/978-981-19-3575-6_69.
Krishnendu, S., Rohra, H. A., Kanakasabapathy, P., Nandanan, K. & Padil, V. V. Towards grassroots sustainable development using human centered design and participatory rural appraisal: A study in two rural Indian villages. Sustain. Futures 9, 100604 (2025).
Guleria, M. et al. Using human centered design to improve socio-economic livelihoods with modernized irrigation systems. In 2020 IEEE 8th R10 Humanitarian Technology Conference (R10-HTC) (pp. 1–6). (IEEE, 2020). https://doi.org/10.1109/R10-HTC49770.2020.9357058.
Ramesh, M. V., Muir, A., Nandanan, K., Bhavani, R. R. & Mohan, R. HCI curricula for sustainable innovation: the humanitarian focus at Amrita Vishwa Vidyapeetham. Interactions 29 (1), 54–57. https://doi.org/10.1145/3506564 (2022).
Nandanan, K. et al. Multi-stakeholder-centric micro-level sustainability assessments and policy recommendations. Environ. Sustain. Indicat. 100710 (2025).
Ramesh, M. V., Mohan, R. & Menon, S. Live-in-Labs: rapid translational research and implementation-based program for rural development in India. In 2016 IEEE Global Humanitarian Technology Conference (GHTC) (pp. 164–171). (IEEE, 2016).
Varma, D. S., Nandanan, K., PC, V. R., Pérez, M. L., Ramesh, M. V. & KA, S. Participatory design approach to address water crisis in the Village of Karkatta, Jharkhand, India. 172, 121002 Technol. Forecast. Soc. Change, (2021).
World Health Organization. Guidelines for drinking-water quality (4th ed., incorporating the 1st addendum). Geneva: World Health Organization. (2017).
Bureau of Indian Standards. IS 10500:2012 – Drinking water — Specification (Second revision) (Bureau of Indian Standards, 2012).
WHO & UNICEF. Progress on Household Drinking water, Sanitation and Hygiene 2000–2020: Five Years into the SDGs (World Health Organization (WHO) and the United Nations Children’s Fund (UNICEF), 2021).
Ministry of Jal Shakti. Operational Guidelines for Jal Jeevan Mission: Har Ghar Jal (Department of Drinking Water & Sanitation, 2023).
Sullivan, C. A., Meigh, J. R. & Giacomello, A. M. The water poverty index: development and application at the community scale. In Natural Resources Forum (Vol. 27, No. 3, 189–199). Oxford, UK: Blackwell Publishing Ltd. (2003).
Acknowledgements
The authors express their immense gratitude to Sri. Mata Amritanandamayi Devi, Chancellor of Amrita Vishwa Vidyapeetham, who has guided and provided funding to them for developing the Mera Gaon Hamara Jal platform. The authors would like to heartfully thank all the colleagues who have directly and indirectly contributed to the development and testing of the platform - Mrs. Aishwarya, Ms. Maya, Mrs. Amrita Jayakumar, Dr. Varsha Prem, Mrs. Namitha, Mrs. Krishnendu, Mr. Renjith Mohan, Ms. Pooja, Mr. Amritesh, Ms. Soumya K, Mr. Pratapachandran, Dr. Sani Satheesh, Mr. Anandu, Mr. Mahesh, and Mr. Balmukund Singh. The authors’ gratitude extends to all the coordinators working in rural communities in various Indian states for providing all the necessary support to conduct the study.
Funding
Open access funding provided by Amrita Vishwa Vidyapeetham. This research was supported by the E4LIFE International Ph.D. Fellowship Program offered by Amrita Vishwa Vidyapeetham.
Author information
Authors and Affiliations
Contributions
R.A.S., K.N., H.C.E., A.S., and V.A. conceptualized the study, developed the methodology, and carried out data analysis, field implementation, and validation. H.C.E. and R.G. contributed to data visualization. M.V.R. supervised the research, guided the platform architecture, conceptualized the study, and led the manuscript development. All authors contributed to the interpretation of results and reviewed the manuscript.
Corresponding author
Ethics declarations
Competing interests
The authors declare no competing interests.
Additional information
Publisher’s note
Springer Nature remains neutral with regard to jurisdictional claims in published maps and institutional affiliations.
Rights and permissions
Open Access This article is licensed under a Creative Commons Attribution-NonCommercial-NoDerivatives 4.0 International License, which permits any non-commercial use, sharing, distribution and reproduction in any medium or format, as long as you give appropriate credit to the original author(s) and the source, provide a link to the Creative Commons licence, and indicate if you modified the licensed material. You do not have permission under this licence to share adapted material derived from this article or parts of it. The images or other third party material in this article are included in the article’s Creative Commons licence, unless indicated otherwise in a credit line to the material. If material is not included in the article’s Creative Commons licence and your intended use is not permitted by statutory regulation or exceeds the permitted use, you will need to obtain permission directly from the copyright holder. To view a copy of this licence, visit http://creativecommons.org/licenses/by-nc-nd/4.0/.
About this article
Cite this article
Reshma, A.S., Nandanan, K., Ekkirala, H.C. et al. Unravelling water sustainability: a decentralised, data-driven model for water governance. Sci Rep 16, 11150 (2026). https://doi.org/10.1038/s41598-026-39927-0
Received:
Accepted:
Published:
Version of record:
DOI: https://doi.org/10.1038/s41598-026-39927-0




