Abstract
Multiple sclerosis (MS) is a heterogeneous inflammatory disease of the central nervous system in which environmental factors, particularly viral infections, are thought to contribute to disease susceptibility and progression. However, whether antiviral immune responses differ across clinical phenotypes remains incompletely understood. In this study, we analyzed the distribution of antiviral serology in patients with primary progressive, relapsing–remitting, and secondary progressive MS, comparing them with healthy controls. Serum IgG responses against several neurotropic and non-neurotropic viruses were assessed and evaluated according to disease phenotype, clinical characteristics, and disability measures. We observed distinct serological profiles among MS subtypes, with differential patterns of antiviral antibody prevalence and titers. Notably, specific antiviral responses were associated with progressive forms of the disease and with markers of greater clinical severity. These findings suggest that antiviral immunity is not uniform across MS phenotypes and may reflect divergent pathogenic mechanisms underlying disease progression. Our results support a potential role for virus–host interactions in shaping the clinical course of MS and highlight antiviral serology as a complementary tool to improve disease stratification. Understanding these immune signatures may contribute to refining pathogenic models and identifying novel targets for personalized therapeutic strategies.
Introduction
Multiple sclerosis (MS) is a chronic, immune-mediated disease of the central nervous system characterized by inflammation, demyelination, and neurodegeneration. It typically manifests in young adults and more frequently in women. Genetic predisposition and environmental factors such as viruses, vitamin D deficiency, low sun exposure, metabolites from the microbiota, smoking or obesity in adolescence have been implicated in disease risk1,2.
Among environmental factors, infectious agents, especially viruses, have long been considered potential triggers or modulators of MS. Epidemiological and molecular studies have consistently pointed to several viruses, with the strongest evidence for Epstein-Barr virus (EBV)3. Additional viruses implicated include human herpesvirus 6 (HHV-6), cytomegalovirus (CMV), and human endogenous retroviruses (HERVs)4,5. Mechanisms proposed include molecular mimicry, bystander activation, epitope spreading, direct infection of CNS-resident cells, and immune modulation by latent or reactivated viruses6,7. Furthermore, brain tissue studies have shown EBV latent and lytic proteins in MS lesions, suggesting that beyond peripheral immune activation, direct viral involvement in the CNS may contribute to pathology8.
However, MS is clinically heterogeneous. About 85% of patients present with a relapsing-remitting course (RRMS), characterized by acute inflammatory episodes (relapses) followed by periods of remission, while a smaller proportion have primary progressive MS (PPMS), in which disability accumulates steadily without relapses. Over time some RRMS patients transition to a secondary progressive phase (SPMS), where progression occurs largely independent of relapses. But, despite the existing literature on viruses in MS, few studies reported findings by disease course. Thus, as most of our current knowledge is based on RRMS, there remains a gap in understanding the viruses linked to SPMS or PPMS.
For this reason, we analyzed nearly 700 individuals from the following cohorts: PPMS, RRMS, SPMS, and healthy controls (HC). In these subjects, we assessed the prevalence and titers of EBNA-1 and VCA IgG from EBV, CMV IgG, and HHV-6 A/B IgG and IgM. To better understand the possible role of these viruses in the different clinical forms of the disease, antiviral antibody titers were correlated with two biomarkers of neuronal and glial damage, serum neurofilament light chain (sNfL) and serum glial fibrillary acidic protein (sGFAP). Elevated sNfL reflects acute or ongoing axonal injury, while elevated sGFAP is increasingly linked to astrocytic activation and progressive disease.
Methods
Study design
A multicentric observational cross-sectional study. Samples from PPMS, RRMS, SPMS, and HC were collected. MS patients were recruited from the following Hospitals in Spain: Hospital General Universitario Gregorio Marañón, Hospital Universitario de Getafe, Hospital Universitario de Torrejón, Hospital Universitario Quirónsalud Madrid, and Hospital Universitario Ramón y Cajal. HC were recruited from volunteered blood donors of Hospital Clínico San Carlos.
MS patients met the following inclusion criteria: (1) older than 18 years, (2) a diagnosis of PPMS, RRMS or SPMS according to 2010 or 2017 revised McDonald diagnostic criteria as appropriate, (3) gave the informed consent. Exclusion criteria for MS patients: (1) pregnant women, (2) MS patients with other concomitant neurological or autoimmune pathologies, (3) corticosteroid treatment in the last 3 months previous to the sample collection. Inclusion criteria for HC: (1) older than 18 years, (2) gave the informed consent. Exclusion criteria for HC: (1) pregnant women, (2) HC having any relationship of consanguinity with MS patients or patients with other autoimmune diseases.
Ethics statement
This study was conducted in accordance with the Declaration of Helsinki, and it was approved by the local Ethic Committee of the Hospital Clínico San Carlos (Comité Ético de Investigación Clínica del Hospital Clínico San Carlos).The informed consents were collected from all the subjects recruited in this study.
Data and sample collection
Data collection includes the following variables: (1) demographical variables: sex and age; (2) clinical variables at the sample collection: age at the disease onset, disease duration, EDSS score, MSSS (MS severity score), number of relapses since the disease onset, and in the last two years; (3) radiological variables at the sample collection: number of T2 and gadolinium-enhanced lesions at magnetic resonance imaging (MRI). In Table 1 is summarized the data collected from each cohort.
A serum sample was obtained by venipuncture from each patient included in the study. Samples were collected in a dry tube (BD vacutainer) for serum isolation. Aliquots were cryopreserved and eventually stored at -80 °C until use.
Antiviral serologies by automated ELISA
The following antibody titers were assessed using commercial tests: anti-EBNA-1 (Epstein-Barr nuclear antigen 1) and anti-VCA (Viral Capsid Antigen) IgG (Trinity Biotech, USA), both from EBV, anti-CMV IgG (Vircell, USA), and anti-HHV-6 A/B IgG and IgM (Vidia, Ltd., Czech Republic). The analysis was performed in an automated ELISA processing system (DS2, Dynex Technologies, USA). Results were reported in artificial units (AU), calculated by multiplying the index value by 10 (where the index value is the sample absorbance divided by the cut-off value)9. Each sample was tested in duplicate. Values below 9 AU were considered negative, while samples with values between 9 and 11 AU were reanalyzed.
Quantification of sNfL and sGFAP
Serum NfL (sNfL) and serum SGFAP (sGFAP) levels were measured using the Simoa NFLight™ Advantage Kit and the Simoa™ GFAP Discovery Kit, respectively (Quanterix, Billerica, MA, USA), on an SR-X instrument (Quanterix, Billerica, MA, USA), following the manufacturer’s instructions. sNfL values were expressed as Z-scores, which adjust raw concentrations for age and body mass index10. Z-scores were calculated using the Serum Neurofilament Light Chain Reference App.
Statistical analysis
Categorical variables were expressed as percentages, normal numerical variables as mean ± standard deviation, and non-normal as median (25th, 75th percentile). The association between/among categorical variables was analyzed using the Chi-square χ2 test, or Fisher’s exact test when the value of the expected count less than 5 is more than 20%. For the quantitative variables, the means will be compared using the test Student’s t-test or analysis of variance (ANOVA, for comparisons of more than two groups) or the Mann-Whitney U test, or the Kruskall Wallis test (to compare the medians of several groups) in case the quantitative variables did not fit a normal distribution. The parametric Pearson coefficient or the nonparametric Spearman coefficient will be applied to evaluate the correlation between two continuous quantitative variables. Subjects with missing data were omitted from the corresponding analyses. P-values < 0.05 were referred to as statistically significant in the text. When necessary, the Bonferroni adjustment will be carried out. Linear Discriminant Analysis (LDA) was applied to continuous viral predictive markers to identify linear functions that best discriminate the MS-clinical cohorts. Predictive accuracy was assessed using leave-one-out cross-validation. Analyses were performed using SPSS v28 (IBM, USA), R Studio v4.5.0 and Prism version 8.0 (GraphPad Prism, San Diego, CA, USA).
Results
Human herpesviruses prevalences and titers in the different MS clinical forms and in healthy controls
When we compared the prevalences and viral titers of the human herpesviruses included in the study, we found that EBNA-1 IgG titers were lower in PPMS (21.4 AU) group than in both RRMS (24.2 AU) (p = 0.0004) and SPMS (24.4 AU) (p = 0.00003) groups; although they were not different from those of the HC group (20.8 AU) (p = 0.323) (Table 2). Regarding EBV VCA IgG titers, they were higher in PPMS (49,9 AU) patients than in HC (44.0 AU) (p = 0.00004). On the contrary, CMV IgG titers were significantly higher in the PPMS group (30.1 AU) than in RRMS group (15.8 AU) (p = 0.000002) and SPMS group (24.5 AU) (p = 0.030); similarly, prevalence of detectable CMV IgG was higher in the PPMS group (73.4%) than in RRMS group (55.9%) (p = 0.0006; O.R.=2,2). Finally HHV-6 A/B IgM titers were higher in RRMS patients than in SPMS patients (p = 0.002). Results are shown in Table 2.
Human herpesviruses prevalences and titers and demographic variables
After stratifying by sex, we observed statistically significant associations in both males and females that were consistent with those found in the overall population (Supplementary Table 1). When we compared males and females in each one of the cohorts, we did not find differences for EBV. For HHV-6 A/B, only the prevalence of IgG antibodies was higher in female HC than in males (p = 0.008; O.R.=4.6). Regarding CMV prevalences and titers, they were higher in female than in males in all the cohorts, preserving statistical signification after Bonferroni correction in PPMS and RRMS cohorts (results are shown in Supplementary Table 1).
Regarding age, HHV-6 A/B IgG was inversely correlated and CMV IgG directly correlated in PPMS patients, EBV VCA IgG was directly correlated in the RRMS cohort (Supplementary Fig. 1). HHV-6 A/B IgG also inversely correlated with age in HC. When we analyzed separately those subjects that were above or below the median value age of the whole population (43 years), we found that below the median value only EBV VCA IgG correlated with age in the RRMS and HC cohorts. When we only considered those subjects above the median value of age, both HHV-6 A/B IgG and EBV VCA IgG inversely correlated with age in the PPMS group (Results are in Supplementary Fig. 1). In Fig. 1.A, we compared the herpesvirus titers between the different cohorts at different decades of age. In Fig. 1.B we show the herpesvirus prevalences for each one of the cohorts in the same decades of age.
A. Comparison of the herpesvirus antibody titers between the different cohorts at different decades of age: <40 years (PPMS: n = 27; RRMS: n = 172; SPMS: n = 21; HC: n = 96), between 40 and 50 years (PPMS: n = 47; RRMS: n = 77; SPMS: n = 38; HC: n = 48) and > 50 years (PPMS: n = 84; RRMS: n = 17; SPMS: n = 19; HC: n = 17). Median and interquartile range (P25 and P75) are shown. * (p < 0.05); ** (p < 0.005); *** (p < 0.0005). B. Evolution of the herpesvirus antibody prevalences in each one of the cohorts along different decades of age (< 40 years, between 40 and 50 years and with > 50 years).
Viral profile in PPMS, RRMS, and SPMS cohorts by the linear discriminant analysis (LDA) model
LDA was applied to evaluate the effectiveness of the viral immune response in discriminating between cohorts (Fig. 2). The model identifies two significant discriminant functions (DFs) equal to the number of cohorts (PPMS, RRMS, and SPMS) minus one. The predictor variables included IgG responses against CMV, HHV-6 A/B, EBNA-1, and EBV VCA, and IgM against HHV-6 A/B. DF1 was significant (Wilks’ Λ = 0.851, p < 0.0001) and accounted for 82.5% of the between-group variance (Fig. 2). DF1 was mainly characterized by the anti-CMV IgG response (structure coefficient = -0.62) and the anti-EBNA-1 IgG response (0.61). DF2 also contributed significantly (Wilks’ Λ = 0.972, p = 0.019), explaining 17.5% of the residual discriminatory variance. DF2 was predominantly defined by anti-HHV6 IgM response (-0.76), followed by the anti-VCA IgG response (0.24). The model showed moderate classification performance, with a correct classification rate of 49.8% (cross-validated 41.1%). Results are shown in Fig. 2.
A discriminant analysis biplot with vectors representing EBNA-1 IgG, EBV VCA IgG, CMV IgG, HHV-6 A/B IgG and HHV-6 A/B IgM. Points close together are similar observations, and the angles between variable arrows indicate their correlation (acute for positive, right for 0, obtuse for negative).
Human herpesviruses prevalences and titers in relation with sNfL and sGFAP values
A positive correlation between CMV titers and sGFAP levels above the median was observed in PPMS and SPMS patients, whereas a negative correlation between CMV titers and sNfL levels below 10 pg/ml was observed in healthy controls (HC). Regarding EBV, EBNA-1 was positively correlated with sNfL and sNfL z-Score in HC, but mainly with lower values of sNfL and sNfL z-Score. Finally, HHV-6 A/B IgG was negatively correlated with sGFAP in PPMS patients (r = − 0.304) and HHV-6 A/B IgM with sGFAP in RRMS patients (r = − 0.161). Results are shown in Table 3.
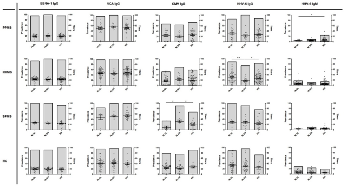
Then, patients were stratified in three groups: NLGL (low sNfL [< 10 pg/ml] and sGFAP [< median value]), NH (high sNfL [> 10 pg/ml] at different levels of sGFAP), and NLGH (low sNfL [< 10 pg/ml] and high sGFAP [> median value]) (Fig. 3). In SPMS patients, the NLGH group showed higher CMV IgG titers (p = 0.01) and a higher CMV seroprevalence (p = 0.03; O.R.= 18.0) compared with the NLGL group. CMV IgG titers were also higher in SPMS patients of the NLGH group than in the NH group (p = 0.02). Regarding HHV-6 A/B IgG titers, they were statistical significant lower in RRMS patients belonging NLGH group than in NLGL (p = 0.005) and NH (p = 0.03) groups. Regarding HHV-6 A/B IgM prevalence, it was higher in PPMS patients belonging to the NH group than in the NLGL group (p = 0.04; O.R.=12.7). Finally, no difference was found for EBV (EBNA-1 or VCA) in any of the cohorts after stratification by sNFL and sGFAP (results are shown in Fig. 3).
EBNA-1, VCA, CMV and HHV-6 A/B IgG and IgM prevalences and titers in PPMS, RRMS, SPMS and HC cohorts after stratification by sNfL and sGFAP levels: NLGL (low sNfL [< 10 pg/ml] and low sGFAP [< median value]), NLGH (low sNfL [< 10 pg/ml] and high sGFAP [> median value]), and NH (high sNfL [> 10 pg/ml] at different levels of sGFAP). Height of the grey columns show the viral prevalences. Median and interquartile range (P25 and P75) for viral titers are also shown. * (p < 0.05); ** (p < 0.005); *** (p < 0.0005).
Discussion
In this study, we investigated the potential relationship between antiviral immune responses and markers of neuroaxonal and glial damage across different clinical forms of MS. This approach aimed to clarify whether specific antiviral antibody profiles are linked to distinct pathogenic mechanisms underlying MS subtypes.
As we can see in Fig. 2, DF1 shows that CMV IgG has a negative correlation with EBNA-1 IgG. CMV IgG would be clearly associated with PPMS, EBV would be more related with RRMS/SPMS high titers (Fig. 1). In addition, DF2 indicates that EBV VCA IgG appears to be more strongly associated with SPMS, but not with PPMS, whereas HHV-6 A/B IgG—and particularly HHV-6 A/B IgM—are associated with RRMS.
Given that EBV is considered one of the main triggers of MS3, and considering the negative correlation observed in DF1 between CMV IgG and EBNA-1 IgG (Fig. 2), our findings support the hypothesis that CMV infection may be negatively associated with the risk of developing RRMS, suggesting a possible protective effect, as previously proposed by other authors11. Besides, CMV IgG prevalence and titers in RRMS were statistically significant lower than in HC. Similarly, a previous report found similar results12. High anti-CMV titers reduced the risk of MS symptoms in a study perform with 273 patients with radiologically isolated syndrome (RIS)13. We described that CMV IgG titers showed a strong negative correlation with high levels of sNfL (> 10 pg/ml) (r = − 0.794) in the HC cohort, showing that CMV infection could be associated with a lower level of inflammation. Taken all these results together, CMV infection seems to be contributing to reduce the risk of developing MS. However, as we can see in Table 2, CMV showed higher prevalence and titers in the progressive forms of MS than in patients with RRMS, confirming also recent previous results14. Besides, CMV is positively correlated with higher levels (those above the median value) of sGFAP, a biomarker of neurodegeneration, in PPMS (r = 0.420) and in SPMS (r = 0.321). Also, in SPMS patients CMV prevalence and titers were significantly higher in those with low levels of sNfL and high levels of sGFAP. Then, we can conclude that while CMV infection seems to be a protective factor for RRMS, it would be associated with the progressive forms of MS and the neurodegeneration processes related to them, mainly in PPMS. Are these results contradictory? We think that the answer is no. CMV infection seems to help to control EBV infection. Previous results have shown that immune competition between CMV and EBV could be a possible mechanism behind the observed risk reduction for RRMS in CMV seropositive individuals15. Alternatively, CMV infection promotes expansion of a subset of mature natural killer (NK) cells, which could modulate the control of EBV16,17. The efficacy of the NKG2C + NK cell responses, a key cell population in the control of EBV infection, was significantly associated with previous infection with CMV18. But apart from the specific effect of CMV infection on EBV infection, chronic CMV infection influence the immune landscape impacting both, the composition and functionality of immune cell populations, inducing shifts in the inflammatory profile19,20, supporting our finding about the negative correlation between CMV IgG titers and sNfL levels. Therefore, CMV infection could help to a better response to EBV infection and to a lower inflammatory profile reducing the risk of developing RRMS. But if the MS patient is already infected by CMV, the mechanisms related to CMV infection could act as a catalyst for neurodegenerative processes. This dual role of CMV infection in MS could help to explain the controversy surrounding this virus in the pathogenesis of MS in recent years. Could we speculate that an anti-CMV therapy in patients with progressive forms of MS might help reduce neurodegeneration in these individuals? SGFAP levels could be used to monitor the potential efficacy of this therapy.
In relation to EBV, EBNA-1 IgG and EBV VCA IgG prevalences and titers were higher in RRMS patients than in HC, confirming previous results21. However, although the prevalences were similar in the three cohorts of MS patients, the titers of EBNA-1 IgG were significantly lower in PPMS patients than in RRMS and SPMS patients. The literature is heterogeneous whether EBV, and overall EBNA-1, associates with the different clinical courses of MS in a different way. While some papers report higher EBNA-1 in relapsing forms compared with PPMS22,23,24, others show elevated EBNA-1 in progressive subgroups or no clear difference between phenotypes14,25. In a brain tissue study, it was described an enrichment of EBV markers within lesions in progressive MS (both PPMS and SPMS) along with altered glial, astrocyte and neuronal interactions26. Therefore, while seems to be clear the association of EBV with the triggering of the disease, there does not appear to be a consensus regarding the possible role of the virus in the different clinical forms of the disease. When analyzing the association of EBV with sNfL and sGFAP as markers of neuroinflammatory and neurodegenerative processes, we found no significant associations in any MS cohort, even after stratification by sNfL and sGFAP levels (Fig. 3) for either EBNA-1 or EBV VCA. sNfL levels in individuals who were EBV-negative at baseline and went on to develop MS were similar to those of non-MS controls before and around the time of EBV infection but increased after EBV infection3. However, other recent study did not find a clear association between EBV and sNfL27. Taken together, these data confirm a strong association between EBV infection and RRMS but do not support a differential role of EBV across clinical subtypes. While it seems to be a temporal model in which EBV seroconversion seems to be followed by a latent period of growing axonal injury (reflected by rising sNfL) and eventual clinical MS, the contribution of EBV to neurodegenerative processes in progressive disease stages seems to be less clear and should be deeply studied.
Finally, HHV-6, especially HHV-6 A, has been increasingly investigated as a potential co-factor in the pathogenesis and clinical heterogeneity of MS28. Epidemiological and serological studies show that HHV-6 A seropositivity is more common in individuals who later develop MS compared with matched controls. HHV-6 A seropositivity was found in 40% of future MS cases versus 25% of controls, and was significantly associated with elevated sNfL levels, even years prior to clinical onset29. Although direct studies of HHV-6 A/B across all MS courses remain limited, some evidence points to HHV-6 A/B (reactivation or high serological response) being more frequent in relapse phases of RRMS than in SPMS or PPMS30. That suggests HHV-6 A/B may be more associated with the inflammatory relapsing component, characteristic of RRMS, and potentially with the transition to progression (SPMS), as we can see with a significant reduction of the prevalence and titers of HHV-6 A/B IgM in SPMS patients, and the negative correlation between HHV-6 A/B IgG and IgM with sGFAP. Whether HHV-6 A/B plays a role in PPMS is less clear. Given the pathophysiological differences, RRMS being characterized by focal inflammatory demyelination and SPMS or PPMS by neurodegeneration and smouldering inflammation, HHV-6 A/B may be more related to the inflammatory/relapsing axis rather than the purely degenerative one, when its role in the disease would be reduced as the disease evolves to more progressive forms and the astrocytic or glial processes become more dominant.
In conclusion, our results indicate that CMV may play a dual role in MS. While CMV appears to confer a protective effect against RRMS, this virus stands out as the main viral contributor to neurodegenerative processes, with particular importance in progressive MS forms, mainly in PPMS. Conversely, EBV and HHV-6 A/B seem to act primarily as risk factors in RRMS, but the relevance of HHV-6 A/B diminishes as neurodegeneration advances; thus, its role in SPMS and PPMS would be less clear.
Data availability
The original contributions presented in the study are included in the article. Further inquiries can be directed to the corresponding author.
References
Sahi, N., Ciccarelli, O., Houlden, H. & Chard, D. T. Unlocking multiple sclerosis genetics: from susceptibility to severity. Neurology 105, e214141 (2025).
Sedighi, S. et al. Comprehensive investigations relationship between viral infections and multiple sclerosis pathogenesis. Curr. Microbiol. 80, 15 (2022).
Bjornevik, K. et al. Longitudinal analysis reveals high prevalence of Epstein–Barr virus associated with multiple sclerosis. Science 375, 296–301 (2022).
Marrodan, M., Alessandro, L., Farez, M. F. & Correale, J. The role of infections in multiple sclerosis. Mult Scler. 25, 891–901 (2019).
Maple, P. A. et al. Epstein–Barr virus, herpes simplex virus, and varicella zoster virus infection dynamics in people with multiple sclerosis from Northern Italy. Pathogens 13, 499 (2024). Cytomegalovirus.
Tarlinton, R. E., Martynova, E., Rizvanov, A. A., Khaiboullina, S. & Verma, S. Role of viruses in the pathogenesis of multiple sclerosis. Viruses 12, 643 (2020).
Jakhmola, S. et al. Herpesviruses and the hidden links to multiple sclerosis neuropathology. J. Neuroimmunol. 358, 577636 (2021).
Hassani, A., Corboy, J. R., Al-Salam, S. & Khan, G. Epstein–Barr virus is present in the brain of most cases of multiple sclerosis and may engage more than just B cells. PLoS One. 13, e0192109 (2018).
Ortega-Madueño, I. et al. Anti-human herpesvirus 6A/B IgG correlates with relapses and progression in multiple sclerosis. PLoS One. 9, e104836 (2014).
Benkert, P. et al. Serum neurofilament light chain for individual prognostication of disease activity in people with multiple sclerosis: a retrospective modelling and validation study. Lancet Neurol. 21, 246–257 (2022).
Zivadinov, R. et al. Positivity of cytomegalovirus antibodies predicts a better clinical and radiological outcome in multiple sclerosis patients. Neurol. Res. 28, 262–269 (2006).
Grut, V. et al. Cytomegalovirus seropositivity is associated with reduced risk of multiple sclerosis: a presymptomatic case–control study. Eur. J. Neurol. 28, 3072–3079 (2021).
Fissolo, N. et al. Prognostic factors for multiple sclerosis symptoms in radiologically isolated syndrome. JAMA Neurol. 82, 722–733 (2025).
Comabella, M. et al. Increased EBNA1-specific antibody response in primary-progressive multiple sclerosis. J. Neurol. 272, 26 (2024).
Sundqvist, E. et al. Cytomegalovirus seropositivity is negatively associated with multiple sclerosis. Mult Scler. 20, 165–173 (2014).
Martínez-Rodríguez, J. E. et al. Adaptive natural killer cell response to cytomegalovirus and disability progression in multiple sclerosis. Mult Scler. J. 22, 741–752 (2016).
Moreira, A. et al. Adaptive features of natural killer cells in multiple sclerosis. Front. Immunol. 10, 2403 (2019).
Vietzen, H. et al. Ineffective control of Epstein–Barr virus-induced autoimmunity increases the risk for multiple sclerosis. Cell 186, 5705–5718e13 (2023).
Müller, L. & Di Benedetto, S. Immunosenescence and cytomegalovirus: exploring their connection in the context of aging, health, and disease. Int. J. Mol. Sci. 25, 753 (2024).
Wang, C. et al. Effects of aging, cytomegalovirus infection, and EBV infection on human B cell repertoires. J. Immunol. 192, 603–611 (2014).
Domínguez-Mozo, M. I. et al. Epstein–Barr virus and multiple sclerosis in a Spanish cohort: a two-years longitudinal study. Front. Immunol. 13, 991662 (2022).
Pereira, J. G. et al. Higher frequency of human herpesvirus-6 viral DNA simultaneously with low frequency of Epstein–Barr virus viral DNA in a cohort of multiple sclerosis patients from Rio de Janeiro, Brazil. Mult Scler. Relat. Disord. 76, 104747 (2023).
Farrell, R. A. et al. Humoral immune response to EBV in multiple sclerosis is associated with disease activity on MRI. Neurology 73, 32–38 (2009).
McKay, K. A., Kwan, V., Duggan, T. & Tremlett, H. Risk factors associated with the onset of relapsing–remitting and primary progressive multiple sclerosis: a systematic review. Biomed. Res. Int. 2015, 817238 (2015).
Agostini, S. et al. EBV and multiple sclerosis: expression of LMP2A in MS patients. Front. Neurosci. 18, 1385233 (2024).
Orr, N. & Steinman, L. Epstein–Barr virus and the immune microenvironment in multiple sclerosis: insights from high-dimensional brain tissue imaging. Proc. Natl Acad. Sci. U.S.A. 122, e2425670122 (2025).
Lünemann, J. D. et al. Cytomegalovirus immune responses are associated with lower serum neurofilament light chain and disability accumulation risk at multiple sclerosis onset. Mult Scler. 30, 1445–1454 (2024).
Engdahl, E. et al. Increased serological response against human herpesvirus 6A is associated with risk for multiple sclerosis. Front. Immunol. 10, 2715 (2019).
Grut, V. et al. Human herpesvirus-6A and axonal injury before the clinical onset of multiple sclerosis. Brain 147, 177–185 (2023).
Voumvourakis, K. I. et al. Human herpesvirus 6 infection as a trigger of multiple sclerosis: an update of recent literature. BMC Neurol. 22, 57 (2022).
Acknowledgements
AGM has a technician contract from “REI: Red de Enfermedades Inflamatorias” (RD24/0007/0017). This work was financially supported by Ministerio de Ciencia e Innovación (Proyectos de generación de conocimiento)-Fondo Europeo de Desarrollo Regional (Feder) (PID2021-126041OB-I00), “Esclerosis Múltiple España” (EME) and “Fundación LAIR”.
Funding
AGM has a technician contract from “REI: Red de Enfermedades Inflamatorias” (RD24/0007/0017). This work was financially supported by Ministerio de Ciencia e Innovación (Proyectos de generación de conocimiento)-Fondo Europeo de Desarrollo Regional (Feder) (PID2021-126041OB-I00), “Esclerosis Múltiple España” and “Fundación LAIR”.
Author information
Authors and Affiliations
Contributions
MIDM, SR and RAL made the statistical analysis, discussed and interpreted findings, revised the manuscript critically. CRG, IOM, AAG, GPV and MAGM prepared the samples and processed the samples. LMV, LCF, NV, YA, ICP, MLMG, JMGD and RA provided unique reagents, discussed and interpreted findings, revised the manuscript critically. RAL contributed to the design of the study, guided the progress of the study and wrote the manuscript. All authors read and approved the final manuscript and have agreed both to be personally accountable for the author’s own contributions and to ensure that questions related to the accuracy or integrity of any part of the work, even ones in which the author was not personally involved, are appropriately investigated, resolved, and the resolution documented in the literature.
Corresponding author
Ethics declarations
Competing interests
María Inmaculada Domínguez-Mozo: nothing to disclose.Stefano Ruberto: nothing to disclose.Carla Rodríguez-García: nothing to disclose.Luisa María Villar: has served at scientific advisory boards, participated in meetings sponsored by, received speaking honoraria or travel funding or research grants from Roche, Sanofi, Merck, Biogen, Bristol Myers, and Novartis.Lucienne Costa-Frossard: reports compensation for consulting services and speaker honoraria from Biogen, Bristol Myers Squibb, Janssen, Merck-Serono, Novartis, Sanofi, Roche, and Teva.Noelia Villarrubia: nothing to disclose.Yolanda Aladro: has received research grants, travel support and lecturing and consulting fees from: Teva, Biogen, Roche, Merck, Novartis, Almirall, Sanofi-Genzime, Janssen and Bristol Myers Squibb.Ignacio Casanova-Peño: has received payments for consulting services from Novartis and Merck, speaking honoraria from Merck, Novartis, Sanofi, and Neuraxpharm, support for attending meetings from Merck, and research grants from TEVA and Sanofi.María Luisa Martínez-Ginés: has received compensation for consulting services and speaking fees from Merck, Biogen, Novartis, Sanofi-Genzyme, Almirall, ROCHE, BMS, Juvisé and TEVA.Jose Manuel García-Domínguez: has received speaker honoraria, research grants or advisor invitations from Bristol-Myers-Squibb, Johnson and Johnson, Biogen, Sanofi, Almirall, Merck, Roche, Zenas Pharma and Novartis.Isabel Ortega Madueño: nothing to disclose.Andrea Alonso Garrido: nothing to disclose.Guadalupe Pérez de Villar: nothing to disclose.María Ángel García-Martínez: nothing to disclose.Rafael Arroyo: has been a speaker or has participated in the advisory board of Novartis, Teva, Roche, Bristol, Janssem, Biogen, Merck and Sanofi-Genzyme.Roberto Álvarez-Lafuente: has received support for attending meetings from Biogen, Merck, Novartis, Sanofi-Genzyme and Neuraxpharm.
Additional information
Publisher’s note
Springer Nature remains neutral with regard to jurisdictional claims in published maps and institutional affiliations.
Supplementary Information
Below is the link to the electronic supplementary material.
Rights and permissions
Open Access This article is licensed under a Creative Commons Attribution-NonCommercial-NoDerivatives 4.0 International License, which permits any non-commercial use, sharing, distribution and reproduction in any medium or format, as long as you give appropriate credit to the original author(s) and the source, provide a link to the Creative Commons licence, and indicate if you modified the licensed material. You do not have permission under this licence to share adapted material derived from this article or parts of it. The images or other third party material in this article are included in the article’s Creative Commons licence, unless indicated otherwise in a credit line to the material. If material is not included in the article’s Creative Commons licence and your intended use is not permitted by statutory regulation or exceeds the permitted use, you will need to obtain permission directly from the copyright holder. To view a copy of this licence, visit http://creativecommons.org/licenses/by-nc-nd/4.0/.
About this article
Cite this article
Maria Inmaculada, DM., Ruberto, S., Rodríguez-García, C. et al. Differential distribution of antiviral serology across multiple sclerosis phenotypes and its implications for disease pathogenesis. Sci Rep 16, 10929 (2026). https://doi.org/10.1038/s41598-026-46208-3
Received:
Accepted:
Published:
Version of record:
DOI: https://doi.org/10.1038/s41598-026-46208-3


