Abstract
Even if a new product is launched, that is a deteriorating type; there is a chance of imperfect production due to its deteriorating nature. Then, the producer faces trouble since the production starts and the trouble is the deteriorating rate of those products. One sure fact is that the longer a deteriorating product stays in the production unit or warehouse, the lesser its shelf-life will be when it reaches the retailer and, finally, consumers. During this entire process, one of the most troublesome things is the uncertain nature of the deterioration rate of the product. This study examines the above-stated scenario when the deterioration rate affects the newly launched products from the production of the product to the selling of the product. In this process, the product loses its shelf-life gradually, where inflation exists in the market. This implies that inflation happens for the time value of money but with the depreciating value of the shelf-life of a product. Because of the depreciating shelf-life, the retailer faces a shortage of the products in the market. As it is a newly launched product, an increasing demand happens over time, and a ramp-type demand pattern justifies the market demand for this type of product. To ensure the minimum cost of the supply chain, two different types of deteriorating rates are tested in this study: crisp deterioration rate and uncertain deterioration rate. A fuzzy and cloudy fuzzy sets are used to check the uncertain deterioration rates. A global minimum cost is found using the classical optimization methods. Results show that the cloudy fuzzy environment for a deterioration rate obtains the global minimum supply chain cost. The global minimum cost of the supply chain in the cloudy fuzzy environment is 2.54% less than the fuzzy environment and 1.95% less than the crisp environment. The optimal time is minimal in the cloudy fuzzy environment, followed by the crisp and fuzzy environments. Sensitivity analysis and managerial insights are discussed for generating insights from this study.
Similar content being viewed by others
Introduction
Each deteriorating product has a time period to be usable; after that period, the product starts spoiling. There are different types of deteriorating products for a single product type, such as potatoes, baked potatoes, packaged baked potatoes, pizza, ready-to-eat pizza, and others. Each type of product made from potatoes has a different deterioration rate. A potato can deteriorate faster in a warm environment than in a cold environment. The baked potato can be eatable for hours at a normal temperature but stored in a chiller can decrease its deterioration rate. That baked potato can have a very low deterioration rate when stored in a freezer. In a similar fashion, the situation of packaged baked potatoes changes and that of its deterioration rate. Now, the environment cannot be measured; it can only be expressed as it can be said, like 40°C, but the warmness of that temperature cannot be expressed crisply. The deterioration directly connects with this environment of hotness and coldness, which cannot be measured crisply.
The above-described situation explains that the deterioration rate of a product depends significantly on the environment and temperature. That is, there is no chance that the deterioration rate can be constant in reality. A few studies used the time-dependent deterioration rate, i.e., the deterioration increases when the time increases. Even though the rate is variable, the value is estimated as a crisp number. Rather, the deterioration rate can be expressed as a fuzzy number (Sarkar et al., 2021). The deterioration rate does not have a concrete value but has an estimated interval or boundary value where the rate can belong. This justifies the fuzziness of the deterioration of products, depending upon temperature. Still, the problem exists as the exact upper and lower limit or a defined interval cannot just define a feeling. How can someone explain how much or how fast the potato deteriorates? It is not similar to expressing a distance between two places that is 200 kilometers and the car passes approximately 192 to 195 kilometers, which is fuzzy. The car belongs to that interval with some value between those when someone says they are within that kilometer of range.
This explanation is inappropriate for a deteriorating product such as a potato. That is why the deterioration rate can be expressed as a fuzzy number, but more precisely, a cloudy fuzzy number. It is more dense than a fuzzy number, and the value always exists. The process gains experience over time (say, time tends to infinity), and fuzziness reduces but exists. An exact or crisp value from a cloudy fuzzy set is found at the end of the time. A cloudy fuzzy environment is more appropriate for the vagueness of the value of a parameter. Demand, cost parameters, or any relevant parameters can be treated as uncertain based on the characteristics of the parameter (Moon et al., 2022). The target parameter for this study is the deterioration rate to show that it fits well within a cloudy fuzzy environment rather than a crisp environment. Meanwhile, the situation becomes more complex when the demand for the product is ramp-type. In general, a ramp-type demand is used for newly launched products. For a ramp-type demand, the demand increases when the market grows, and the demand stays constant when the market becomes stable after a certain time. The result supports the study’s goal and satisfies the study’s objective by minimizing the supply chain’s total cost.
The rest of the paper is presented as follows: a comprehensive literature review and research gaps are provided in Section 2, preliminaries are presented in Section 3, and Section 4 describes the concepts of the model. In Section 5, the fuzzy model is developed, and the solution methodology is given in Section 6. The numerical experiment is in Section 7, sensitivity analysis and observation are given in Section 8, managerial insights are discussed in Section 9, and conclusions are shown in Section 10.
Literature review
This section provides a keyword-based literature review.
Inventory management within a supply chain management
The inventory model is operating in a strange and unpredictable environment. Most of the researchers have discussed the inventory model with supply chain management (SCM) (Pal et al., 2023). Inflation is important for both goods and shipping to their prices. This forces all manufacturers to adjust and alter company-wide costs and inventory budgets. As inflation increases, it causes an uneasy buying pattern between manufacturers and consumers, and the need to make adjustments appears occasionally, causing fluctuations in consumer demand. If the demand suddenly increases, it becomes a challenge for the manufacturers to meet it, and many problems arise for the companies. Since it is essential for inventory management, many researchers have developed models in different dimensions regarding inflation. Clark and Scarf (1960) developed a model on SCM for discrete setup cost reduction with selling price-dependent demand. Sarker et al. (2000) developed optimal policies for multi-echelon inventory problems. He et al. (2010) discussed a green inventory model under a volume-flexible environment. Singh and Singh (2011) introduced an imperfect production process with an exponential demand rate and demand-dependent production systems for deteriorated products. In their model, they only considered shortages on the retailer’s part, and the unfulfilled demand is partially backlogged. The study aimed to minimize total SCM cost under inflation, considering that deterioration follows Weibull distribution. Rani and Kishan (2011) discussed a production inventory model with controllable carbon emission reduction. Shastri et al. (2013) formulated a multi-echelon supply chain model for deteriorating items with partial backordering under an inflationary environment. They optimized the total joint cost of the SCM by considering a fixed demand rate and a fixed rate of deterioration for the retailer and manufacturer. Singh et al. (2014) examined the SCM for deteriorating items under a probabilistic environment. De and Beg (2016) discussed SCM to analyze the effect of variable production rates. Sarkar et al. (2022a) examined the impact of optimal delivery policy on the retailer and supplier in an SCM. Sharmila and Uthayakumar (2015) discussed SCM for different types of products, and the model was formulated for more than one supplier and retailer under constant demand and production. Sharma et al. (2021) developed an inventory model for deteriorating food with a preservation supply chain and downstream delayed payment. Ghosh et al. (2021a) introduced three-echelon supply chain management with deteriorated items under the effect of inflation. Ghosh et al. (2021b) introduced a volume-flexible economic production model with imperfect quality items. Padiyar et al. (2022a) introduced an economic production quantity (EPQ) model under a cloudy environment. Sarkar and Bhuniya (2022) improved the service for defective products within an SCM, whereas Sarkar and Sarkar (2020) discussed insufficient service management within an SCM.
Deteriorating products within a supply chain model
In real life, deterioration plays a significant role because deterioration occurs in almost all types of products, like fruits, vegetables, and medicines. Many authors have deeply studied deteriorating inventory in recent years. Singh and Singh (2010) discussed the SCM for three types of demand: shortage and partial backlogging, in which the replenishment cycle is infinite. Rathod and Bhathawala (2016) introduced two levels of storage models for deteriorating items with stock-dependent demand. Panda et al. (2019) discussed an inventory model with a replenishment policy for deteriorating items with a trade credit policy. Maihami et al. (2019) discussed an inventory model for deteriorating goods with storage stock problems and stock price-dependent demand rates. Uthayakumar and Hemapriya (2019) developed an inventory model by creating a green supply chain with a credit period-dependent demand for deteriorating products. Padiyar et al. (2021) discussed a fuzzy inventory model with the remanufacturing process. Sarkar et al. (2022b) discussed the waste nullification from deteriorated products through a circular economy. Padiyar et al. (2023a) examined the SCM for deteriorating products with shortage, partially backlogged under inflation. Xu et al. (2023) discussed the imperfect production process in SCM for the Weibull deterioration rate under the inflation environment. Aktas and Kabak (2024) addressed an inventory model with the help of fuzzy theory, in which the demand is taken as time-dependent with the shortage. Antczak (2024) introduced an optimal production model for deteriorating items for multiple market demands.
Fuzzy environment in the supply chain for uncertainty
Fuzzy theory primarily concerns quantitative analysis of delay and inaccuracy (Sarkar and Chakrabarti, 2022; Padiyar et al., 2023b). Therefore, fuzzy set theory plays an important role in discussing an inventory model in a better way. Over the years, many researchers have developed an inventory model with the help of fuzzy theory (Maity et al., 2021a). Rau et al. (2003) developed the SCM for deteriorating goods with exponential demand under the inflation environment. Jaggi et al. (2012) introduced the theory of triangular dense fuzzy set-in new form to defuzzify the total cost function. Saha (2017) described a reverse logistics inventory model in which production and remanufacturing are discussed in a fuzzy environment. De and Mathata (2019) developed a model to recognize backorder for perishable items under multiple advanced and delayed payment policies. Singh et al. (2019) developed the EOQ model in cloudy fuzzy to produce imperfect quality in which proportionate discount is allowed. Ali et al. (2020) developed an inventory model with a fuzzy set theory for deteriorating products through the supply chain. Shaikh et al. (2020) developed the cloudy fuzzy in the economic order quantity (EOQ) model for demand uncertainty. Singh and Tayal (2020) proposed an inventory model with different types of demand functions and discussed the importance of fuzzy parameters in healthcare industries. They used a triangular fuzzy number (TFN) for the demand, defuzzified the model with the signed distance method, and got the maximum profit for all three models. Padiyar et al. (2021) introduced an integrated fuzzy inventory model when inflation and deterioration rates are uncertain. In a similar direction, Mallik and Maity (2021) solved an inventory problem for non-random uncertain demand. Maity et al. (2021) solved the problem of green products and emissions from the system using dense fuzzy logic. However, Sohani et al. (2024) used the Dempster-Shafer theory for handling uncertain demand patterns. Rajput et al. (2019) introduced a supply chain model for green products with different payment strategies, focusing on making the supply chain as green as possible for any product. Since each product has another period for spoilage, there is always uncertainty about the rate at which the product will deteriorate. Due to this, fuzzy set theory is one of the best options to remove this uncertainty (De and Mahato, 2023).
Research gaps and contributions of this paper
In the present business scenarios, SCM faces different issues, such as inflation, demand fluctuation, product characteristics, deterioration, and supply chain disruptions (Mridha et al., 2024). In these contexts, the present model formulates a two-echelon supply chain (Garai et al., 2021) for deteriorated products under the effect of price- and advertisement-driven demand (Kumar et al. 2025; Mahapatra et al. 2025), partial backlogging, and inflation (Tayyab and Sarkar, 2021) for deteriorated products. In the literature, most of the studies were mathematically modelled with the consideration of similar types of demand, i.e., deterministic (Habib et al., 2021, 2022), stochastic (Mishra et al., 2024), or ramp-type, for each player of the SCM. The difference between the work done and the work of this paper can be understood through Table 1. The present model develops a ramp-type demand for the manufacturer and price- and advertisement-dependent demand for the retailer for deteriorated products with an uncertain rate of deterioration. This study aims to find production and shortage time such that the SCM can have the global minimum cost even if the uncertain deterioration of products is present within the production time. Different crisp, fuzzy, and cloudy scenarios are discussed to establish the most effective policy for a ramp-type demand of deteriorating products.
Many researchers have effectively developed inventory models in different conditions (Das et al., 2011). More research has yet to be found in which a multi-echelon system has been developed for single producers with single retailers. The production model is discussed in two ways, with two different deteriorating rates under an inflationary and fuzzy environment (Karmakar et al., 2018; Kumar et al., 2022). In contrast to the above research model, some elements make this model unique and fulfill the expectations of the current environment. Sometimes, such situations arise that a member of the supply chain has less inventory than he has to supply further (Roy et al., 2008; Ghosh et al., 2022). Besides, due to the ongoing market competition with inflation, it is optional for each product’s members of the supply chain system to benefit (Padiyar et al., 2022d). Thus, this model is designed to accommodate the use of more than one product, allowing for replacing one product with another if it does not benefit from it, without affecting the overall model.
Preliminaries
A producer sells a deteriorating type of product to the retailer. The product is a new launch such that the product’s demand increases with time until a certain point. When the market growth becomes saturated, the demand becomes steady instead of increasing in nature and becomes constant until the end of the cycle. A ramp-type demand nicely represents this property. Thus, a ramp-type demand is considered by the producer. The product deteriorates at both ends during the cycle time. For the producer, the product starts to deteriorate during or after production time \({T}_{1}\). The deterioration rate of the product before and after production is different. The retailer’s inventory deteriorates gradually at a rate \({\theta }_{3}\). The producer fulfills the order from the retailer, and there is no shortage. However, the retailer faces a shortage due to product deterioration and faces a partial backlogged situation for fulfilling the shortage amount and a loss sale exists in the retailer’s system. Three models are derived and tested based on the crisp, fuzzy, and cloudy fuzzy deterioration rate. Finally, the total cost of the producer and the SCM are derived. Some definitions of fuzzy set theory are provided below to understand the model further.
Definition 1. A fuzzy set \(\widetilde{\beta }\) on the interval (\(-\infty ,\infty\)) is called a fuzzy point if its membership function is \({\mu }_{\tilde{\beta }}(y)=\left\{\begin{array}{c}1\,,y=\beta \\ 0,y\,\ne\, \beta \end{array}\right\}\), where β is the support point of the fuzzy set.
Definition 2. A fuzzy set [\({U}_{\beta },{V}_{\beta }\)] where \(0\le \beta \le\)1, U, V ϵ R, and \({\rm{U}} < V\), is called a level of fuzzy interval if its MF is \({\mu }_{[{U}_{\beta },{V}_{\beta ]}}(x)=\left\{\begin{array}{c}\beta ,{U}\le y\le V\\ 0,{otherwise}\end{array}\right\}\).
Definition 3. A fuzzy number
where
and
, is called a TFN if its MF is 
When
, one can have fuzzy point,
The family of all TFN on R is denoted as
.
The β cut of
is M \((\beta )=[{M}_{L}\left(\beta \right),{M}_{R}(\beta )]\), where \({M}_{L}\left(\beta \right)=\xi +\left(\sigma -\xi \right)\beta\) and
are the left and right endpoint of \({\rm{M}}(\beta )\).
Definition 4. If
is a TFN, then the signed distance of \(\widetilde{M}\) is defined as
.
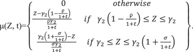
Definition 5. Fuzzy number \(\widetilde{N}=({\gamma }_{1},{\gamma }_{2},{\gamma }_{3},)\) is said to be a cloudy fuzzy number if, after infinite times, the set \(\widetilde{N}\) converts to a crisp singleton set, i.e., if t → ∞ both \({\gamma }_{1},{\gamma }_{3}\to {\gamma }_{2}\). Let us consider
where
. Note that
& \(\mathop{\mathrm{lim}}\limits_{t\to \infty }{\gamma }_{2}\left(1+\frac{\sigma }{1+t}\right)={\gamma }_{2}\), and the membership function is

Definition 6. Ranking index over cloudy fuzzy
Assume L(ψ, t) and R(ψ, t) as the left and right ψ-cut of μ(Z, t), then the defuzzification formula under time extension of Yager’s ranking index is given by \(\chi (\widetilde{N})=\frac{1}{2T}{\int }_{\psi =0}^{1}{\int }_{t=0}^{T}\left\{L\left(\psi ,{t}\right)+R(\psi ,{t})\right\}d\psi {dt}\), where ψ and t are independent variables and
,
,
Thus,
.
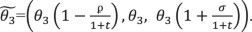
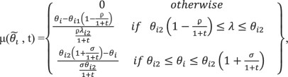
Clearly, \(\mathop{\mathrm{lim}}\limits_{T\to \infty }\chi (\widetilde{N})={\gamma }_{2}\), the factor \(\frac{\log (1+T)}{T}\) is called the index of cloudy fuzzy. Let us assume that the above-proposed model behaves as a cloudy fuzzy number. \({\theta }_{1},{\theta }_{2},{{and}\theta }_{3}\) are as cloudy fuzzy numbers where


Their membership functions and ranking indices are as follows:

where i = 1, 2, and 3. The ranking indices are 
Associative notation and assumptions are given as follows.
Notation
The used notation is listed below.
Notation for retailer
T cycle length of inventory (time unit)
γ base demand (units)
ρ index of price elasticity
ψ selling price ($/unit)
η shape parameter
β frequency of advertisement (positive integer)
θ3 deterioration rate for the retailer (%)
ds deterioration cost for retailer ($/unit)
hs holding cost for retailer ($/unit)
Q maximum inventory of retailer (units)
ψm purchasing cost ($/unit)
B backlogging inventory (units)
cb backlogging rate ($/unit)
As ordering cost ($/order)
Ls lost sale cost ($/unit)
δ shape parameter of the backlogging
G2 greening cost ($)
ΠS cost of the retailer for crisp environment ($/cycle)
D(β, ψ) market demand of the product (units)
α time when the market becomes stable for the ramp-type demand (time unit)
Notation for producer
\({\theta }_{1},{\theta }_{2}\) deterioration rate (%) for α < T1 and T1 < α, respectively
AP ordering cost ($/order)
A reliability rate for producer inventory
\({d}_{P}\) deterioration cost ($/unit)
\({h}_{P}\) unit holding cost ($/unit)
\(D(t)\) time-dependent demand (units)
λ scaler multiplier
R0 base demand rate (units)
G1 greening cost ($)
\({I}_{{P}_{1}},{I}_{{P}_{2}}\) inventory level of the producer at the time t, when 0 ≤ t ≤ T1 and \({T}_{1}\le t\le T\), respectively
\({I}_{{P}_{11}},{I}_{{P}_{21}}\) inventory level of the producer at the time t in Scenario 1 for \(0\le t\le {T}_{1}\) and \({T}_{1}\le t\le {\rm{\alpha }}\), respectively
\({I}_{{P}_{22}}\) inventory level of the producer at the time t in Scenario 1 when \({\rm{\alpha }}\le t\le T\)
\({\Pi }_{P},\,\widetilde{{\Pi }_{p}}\) cost of the producer for the crisp and fuzzy environment, respectively ($/cycle)
Other notation
r inflation rate (%)
\(\widetilde{{\Pi }_{{TC}}}\) SCM cost for fuzzy environment ($/cycle)
\({\Pi }_{{TC}}\) SCM cost in crisp environment ($/cycle)
Decision variables
\({T}_{1}\) cycle length of production (time unit)
\({T}_{2}\) time when the shortage starts in the retailer’s part (time unit)
Assumptions
The following assumptions are used to formulate the proposed model.
-
(1)
The producer manufactures a single type of deteriorating product. The demand rate for the producer is a ramp-type function [30]. The demand is D(t) = \({R}_{0}\left[t-\left(t-\alpha \right)M\left(t-\alpha \right)\right]\), R0 > 0 where M(t − α) is a Heaviside step function as follows \(M(t-\alpha )=\left\{\begin{array}{c}1\;{if\; t}\ge \alpha \\ 0\;{if\; t} < \alpha \end{array}\right.\). The demand rate for the retailer is a function of the selling price and advertisement parameter, i.e., D(β, ψ) = (γ − ρψ)βη.
-
(2)
The production rate of the producer is a scalar multiple of the market demand, i.e., P(t) = λD(t), λ > 1. Once products are produced from the production house, the retailer gets the item as per the requirement. The retailer faces a shortage with partial backlogging within the cycle time. The backlogging rate of the retailer is \({e}^{-\delta t}\), δ is a shape parameter. After a partial backlog, a lost sale exists in the retail system.
-
(3)
Since the product has a deteriorating rate for different time periods, there is always uncertainty about the rate of deterioration. θ1, θ2 are the deterioration rate of the producer and θ3 is the deterioration rate of the retailer. The deterioration rate of the producer and retailer is both crisp and uncertain. A fuzzy set theory is utilized to remove the deterioration rate’s uncertainty.
-
(4)
Greening cost is paid by both the producer and retailer. The greening cost is for using green technology to reduce carbon emissions from the system. The planning horizon is finite.
Model formulation
The producer produces the product till time \(t={T}_{1}\), and the production is stopped. The producer chooses a certain time for the item to be prone to spoilage, before and after which the probability of spoilage varies. If the item is finished in the production plant before time t = α, it is slightly less likely to be defective. But if production continues after a time period t = α, then the probability of the item being damaged increases slightly. Hence, the producer’s spoilage rate differs in the two other models. After finishing the production, the retailer purchases the item as per his requirement, and the demand increases till the time period \(t={T}_{2}\). Then there is the shortage of goods. Due to this, the customer prefers to go to the other retailer, and due to this, the retailer is partially backlogged due to a shortage. The deterioration rate is constant in this model.
Producer’s inventory model
The producer’s inventory level can be represented by following the first-order differential equations.
with boundary conditions \({I}_{P1}\left(0\right)=0={I}_{P2}\left(T\right)\).
From the demand function, there are two different relations between α and T1:
-
(a)
Scenario 1: \({T}_{1}\le \alpha \le T\)
-
(b)
Scenario 2: \(\alpha \le {T}_{1}\le T\).
The producer’s inventory model is divided into two different scenarios in both situations.
Scenario 1 (\({T}_{1}\,\le \,\alpha \,\le \,T\))
Complete cycle length T is divided into three intervals [\(0,{T}_{1}\)], [\({T}_{1},\,\alpha ]\) and [\(\alpha ,T\)]. In this condition (Fig. 1), the producer’s total demand is
Producer’s inventory level in Scenario 1.
Therefore, Eqs. (1) and (2) become
Solution of Eqs. (3) to (5) are
In this case, the producer’s total cost depends on the following costs.
Ordering cost Ordering cost is the total cost involved in ordering the inventory, including the cost of purchasing and inspecting the inventory; finally, the total ordering cost for the producer is
Holding cost Holding cost involves careful inventory storage and maintenance, including hardware equipment, material handling equipment, and software applications. The holding cost for the producer is
Deterioration cost How much material is being used in the manufacture of any item, and after the manufacture of the item in the production house, the amount of material that decreases is decay, in which some material decays. Using the constant deterioration rate, the deterioration cost is
Greening cost Care has to be taken in material production, keeping the environment in mind in many ways. For this reason, each producer spends a fixed amount in different areas to protect the environment.
Therefore, the total cost for the producer in the first scenario is \({\pi }_{P}\left({T}_{1}\right)=\frac{{W}_{1}}{T}\), where \({W}_{1}\) = ordering cost + holding cost + deteriorating cost + Green cost
Problem 1. It describes the minimization problem of the producer for Scenario 1 as follows:
Senario 2 ( \({\boldsymbol{0}}\,{{\le }}\,{\boldsymbol{\alpha }}\,{{\le }}\,{{\boldsymbol{T}}}_{{\boldsymbol{1}}}\) )
Complete cycle length T is divided into three intervals [\(0,\alpha\)], [\(\alpha ,{T}_{1}\)], and [\({T}_{1},T\)]. In this condition (Fig. 2), the producer’s total demand is
Producer’s inventory level in Scenario 2.
Therefore, Eqs. (1) and (2) become
with the conditions
Solution of Eqs. (14) to (16) are
In this case, the producer’s total cost depends on the following costs.
Holding cost Holding cost involves in careful storage and maintenance of the inventory, including hardware equipment, material handling equipment, and IT software applications. The holding cost for the producer is
Deterioration cost The producer’s deterioration cost using the constant deterioration rate is
Therefore, the total cost for the producer in the second scenario is \({\pi }_{P}\left(T,{T}_{1}\right)=\frac{{W}_{2}}{T}\), where, \({W}_{4}\) = ordering cost + holding cost + deterioration cost + greening cost.
Problem 2. It describes the minimization problem of the producer for Scenario 2 as follows:
Retailer’s inventory system
The retailer has an inventory Q unit at the beginning of the cycle (Fig. 3). Then, this inventory decreases due to the mixed effect of item spoilage and demand, and the inventory level becomes zero at a time t = T2. After this, the shortage starts, which is partially backlogged until the end of the cycle.
Inventory level of the retailer with shortage.
The following first-order linear differential equation can represent the retailer’s inventory level.
with \({I}_{s1}\left({T}_{2}\right)=0\), \({I}_{s1}\left(0\right)={\rm{Q}}\), \({I}_{s2}\left(T\right)={\rm{B}}\), \({I}_{s2}\left({T}_{2}\right)=0\).
Solution of Eqs. (23) to (24) are
Now, the retailer’s total cost depends on the following costs.
Ordering cost Ordering costs include the costs a company incurs to purchase and receive the products to be stocked in its inventory.
Holding cost Inventory holding costs are all fees incurred to store any inventory. Holding costs are generally related to the cost of space required to maintain unsold inventory and the cost associated with the risk of loss through inventory obsolescence. The holding cost of the deteriorating products from 0 to \({T}_{2}\) with inflation is
Deterioration cost During inventory management, a few items deteriorate from 0 to \({T}_{2}\). Products finish at a time \({T}_{2}\), thus the constant deterioration exits until that time, and the deterioration cost under the inflation is
Purchasing cost It includes all costs involved in purchasing products from the producer. Whatever the backlogged quantity from the last cycle, the retailer orders those along with the order for the present cycle. That is, the total purchasing cost is
Partial backlogging cost Shotage exists in the system in terms of a backlog, and the backlogged rate is \({e}^{-\delta t}\). However, the retailer replenishes that backlog partially during the cycle time. The retailer has a shortage of products during the cycle time with a backlog of quantity B. The retailer buys the backorder and ordered quantities at the beginning of the cycle. The partial backlogging cost is
Lost sale cost Associated lost sale cost of the retailer after replenishing the partial backlogging is
Greening cost The retailer spends a fixed amount in different areas to protect the environment from emissions such as
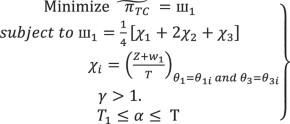
Therefore, the total cost for the retailer \({\pi }_{S}=\frac{Z}{T}\), where Z = ordering cost + holding cost + purchasing cost + deterioration cost + backordering cost + lost sale cost + greening cost.
In the following two problems (Problem 3 and Problem 4), the total cost of the supply chain is minimized under a crisp scenario when the total cycle time is divided into three parts \(\left[0,{T}_{1}\right]\), \([{T}_{1},\alpha ]\), and \([\alpha ,{T}]\).
Problem 3. Problem 3 minimizes the total cost of the supply chain (manufacturer’s total cost + retailer’s total cost) when \({T}_{1}\le \alpha \le T\) (Scenario 1). This problem is formed according to the relation between α and \({T}_{1}\).
Problem 4: Problem 4 minimizes the total cost of the supply chain when \(0\le \alpha \le {T}_{1}\) (Scenario 2). In both cases, the relation of α and \({T}_{1}\) can be found from assumption 1 regarding the demand function of the manufacturer.
Fuzzy model
The deterioration rate for any deteriorated product type varies for different reasons, and it cannot always be evaluated precisely. Therefore, the deterioration rate is uncertain in this model, and that is why it is considered a fuzzy number (Jaggi et al., 2012) rather than an interval value number or a stochastic method. In the interval value method, the deterioration rate represents a certain value within a specific range with a lower and upper bound. Meanwhile, in a stochastic method, the deterioration rate has to be a random variable following some known or unknown probability distribution functions, not uncertain. Thus, the stochastic method cannot be used here. However, in the fuzzy method, the deterioration rate is represented by a fuzzy number where the boundary concept is unclear. Deterioration property does not particularly follow any time interval as it gradually deteriorates over time, which is a little difficult to represent within a certain time interval. Rather, choosing a fuzzy number with a membership value between 0 and 1 is more perfect, based on the deterioration nature (slightly deteriorated, a little deteriorated, and so on) rather than a range of membership values. The fuzzy supply chain model is discussed below.
Problems in fuzzy environment
Deterioration of products does not follow any rules, but the surrounding environment greatly impacts it. A favorable environment can cause a delay in the deterioration rate, whereas a non-favorable situation can increase the deterioration rate more than its normal rate. Apart from these special environments, the deterioration rate generally starts slowly and gradually increases until a certain time when most of the product has deteriorated. After that, the deterioration rate decreases, and in the end, it fully deteriorates. This phenomenon can be described through TFN rather than other fuzzy sets, such as trapezoidal fuzzy sets. Thus, the model is solved using a TFN. Let \({\theta }_{1}\) and \({\theta }_{2}\) and \({\theta }_{3}\) are TFN, where \(\widetilde{{\theta }_{1}}=\left({\theta }_{11},{\theta }_{12},{\theta }_{13}\right)\) and \(\widetilde{{\theta }_{2}}=\left({\theta }_{21},{\theta }_{22},{\theta }_{23}\right)\), \(\widetilde{{\theta }_{3}}=\left({\theta }_{31},{\theta }_{32},{\theta }_{33}\right)\).
Problem 5. It defines the minimization problem for the producer in the fuzzy environment for Scenario 1 as
Problem 6. It defines the minimization problem for the producer in a fuzzy environment for Scenario 2 as
Problem 7. It defines the minimization problem of the SCM total cost according to \({T}_{1}\le \alpha \le {\rm{T}}\) in a fuzzy environment.

Problem 8. It defines the minimization problem of the SCM total cost according to \(0\le \alpha \le \,{T}_{1}\) in a fuzzy environment.

Problems in a cloudy fuzzy environment
This section formulates the model under the cloudy fuzzy environment for uncertain deterioration rates. For deterioration, the fuzziness of the deterioration rate reduces because of experience gathering, and thus, the deterioration rate becomes certain over time. Meanwhile, one of the properties of a cloudy fuzzy set is that it converges to a crisp value after time progresses. Because of the similarities between the two scenarios, the cloudy fuzzy environment has been tested in this section for SCM cost minimization.
Problem 9. It provides the minimization problem for the producer in a cloudy fuzzy environment for Scenario 1.
Problem 10. It provides the minimization problem for the producer in a cloudy fuzzy environment for Scenario 2.
Problem 11. It provides the total cost of the SCM in a cloudy fuzzy environment for\(\,{T}_{1}\le \alpha \le {\rm{T}}\).

Problem 12. It provides the total cost of the SCM in a cloudy fuzzy environment for \(0\le \alpha \le \,{T}_{1}\).

Solution methodology
Thus, there are twelve problems: Problems 1 to 4 are defined for a crisp environment, Problems 5 to 8 are defined in a fuzzy environment, and Problems 9 to 12 are defined in a cloudy fuzzy environment. The classical optimization method is used to solve the above problems. Values of the decision variables are found using the necessary condition of the classical optimization, i.e., by equating the first-order derivatives with respect to the decision variables with zero. The global minimum cost is proved with the sufficient condition of the classical optimization, i.e., with the second-order derivatives of the objective functions with respect to decision variables. Problems 1 and 2 are solved theoretically to establish the global minimum cost of the producer. Problems 5,6,9, and 10 can be solved similarly. The establishment of the global minimum cost for SCM is proved numerically.
Solution for Problem 1
From Eqs. (9), (10), (11), and (12), it follows that \({\prod }_{P1}({T}_{1})\)
Differentiate both sides of Eq. (46) with respect to T1, one can have the first-order derivative as
Now, the necessary condition to obtain the optimal cycle length from Eq. (47) is
The value is
Again, differentiate partially with respect to variable T1 of Eq. (47), then
implies \(\frac{{d}^{2}{\Pi }_{P1}({T}_{1})}{d{{T}_{1}}^{2}} > 0\) if
\(\left(A\lambda -1\right)\left[\left(\frac{{e}^{-r{T}_{1}}}{{\theta }_{1}}-r\frac{{e}^{-{{rT}}_{1}}}{{\theta }_{1}}\right)+\left(r\frac{{e}^{{-{rT}}_{1}}}{{{\theta }_{1}}^{2}}\right)-\left(\left({\theta }_{1}+r\right)\frac{{e}^{-\left({\theta }_{1}+r\right){T}_{1}}}{{{\theta }_{1}}^{2}}\right)\right]+(-{e}^{-({\theta }_{1}+r){T}_{1}})\left(A\lambda {T}_{1}{e}^{{\theta }_{1}{T}_{1}}\right)(-{e}^{-({\theta }_{1}+r){T}_{1}})\left[A\lambda {R}_{0}\left(\frac{{T}_{1}}{{\theta }_{1}}-\frac{1}{{{\theta }_{1}}^{2}}\right){{\theta }_{1}e}^{{\theta }_{1}{T}_{1}}+A{R}_{0}\lambda \frac{{e}^{{\theta }_{1}{T}_{1}}}{{\theta }_{1}}\right]+\left[A\lambda {R}_{0}\left(\frac{{T}_{1}}{{\theta }_{1}}-\frac{1}{{{\theta }_{1}}^{2}}\right){e}^{{\theta }_{1}{T}_{1}}+\frac{\left(A\lambda -1\right){R}_{0}}{{{\theta }_{1}}^{2}}\right](({\theta }_{1}+r){e}^{-{T}_{1}({\theta }_{1}+r)})+\left(\frac{{e}^{-\left({\theta }_{1}+r\right){T}_{1}}-{e}^{-\left({\theta }_{1}+r\right)\alpha }}{\left({\theta }_{1}+r\right)}\right)[A\lambda [{e}^{{\theta }_{1}{T}_{1}}+{T}_{1}{\theta }_{1}{e}^{{\theta }_{1}{T}_{1}}]] > \frac{1}{{\theta }_{1}}\left({{rT}}_{1}{e}^{-r{T}_{1}}-{e}^{-r{T}_{1}}\right)-\left({e}^{-r{T}_{1}}\right)\left(\frac{1}{{\theta }_{1}}-\frac{r}{{{\theta }_{1}}^{2}}\right)\). Hence, the total cost for the producer in Scenario 1 is the global minimum at T1.
Solution for Problem 2
From Eq. (20) & (21), it follows that,
Differentiate both sides of Eq. (50) with respect to T1, one can have
Now, the necessary condition to obtain the optimal cycle length from Eq. (51) is \(\frac{d{\Pi }_{P2}({T}_{1})}{d{T}_{1}}=0\), which gives
Again, differentiate partially with respect to variable T1 of Eq. (51), then
which gives \(\frac{{d}^{2}{\Pi}_{P2}({T}_{1})}{d{{T}_{1}}^{2}}0\) if \(\alpha \{{e}^{{\theta }_{2}T}(({\theta }_{2}+r){e}^{-({\theta }_{2}+r){T}_{1}})-r({e}^{-r{T}_{1}})\} > (A\lambda -1)[r\alpha ({e}^{-r{T}_{1}})+({\theta }_{2}+r)(\frac{1-{e}^{{\theta }_{2}\alpha }}{{\theta }_{2}})({e}^{-({\theta }_{2}+r){T}_{1}})]\). Then the total cost for the producer in Scenario 2 is the global minimum at T1.
Algorithm
Numerical results are found using the Mathematica 11 software for optimization. Mathematical commands optimize the objective function rather than the programming code. An algorithm is stated to obtain the numerical values of the decision variables and the minimum total cost of the above objective functions. The following algorithm is used to solve the proposed Problems 1 to 12.
Step 1 Give the values of the input parameters. Set a loop counter i = 1.
Step 2 Write the values of decision variables of Problems 1 to 12. Write the crisp and defuzzified objective functions based on the problem.
Step 3 Find the values of decision variables \({T}_{1}\) and \({T}_{2}\) for i = i + 1 based on the problem. Run the loop.
Step 4 If \({\rm{Cost}}({T}_{1}\left(i+1\right))={\rm{Cost}}({T}_{1}\left(i\right))\) and \({\rm{Cost}}({T}_{2}\left(i+1\right))={\rm{Cost}}({T}_{2}\left(i\right))\), then \({\rm{Cost}}({{T}_{1}\left(i\right)}^{* })\) and \({\rm{Cost}}({{T}_{2}\left(i\right)}^{* })\) is the global minimum. Go to Step 7.
Step 5 If \({\rm{Cost}}({T}_{1}\left(i+1\right)) < {\rm{Cost}}({T}_{1}\left(i\right))\) and \({\rm{Cost}}({T}_{2}\left(i+1\right)) < {\rm{Cost}}({T}_{2}\left(i\right))\), repeat Step –Step 4. Else, go to Step 6.
Step 6 If \({\rm{Cost}}({T}_{1}\left(i+1\right)) > {\rm{Cost}}({T}_{1}\left(i\right))\) and \({\rm{Cost}}({T}_{2}\left(i+1\right)) > {\rm{Cost}}({T}_{2}\left(i\right))\), check the values of the input parameters, and repeat Step 1 –Step 4.
Step 7 Optimum values of decision variables are \({{T}_{1}\left(i\right)}^{* }\) and \({{T}_{2}\left(i\right)}^{* }\) for the designated problems 1 to 12. Print the values.
Step 8. Stop.
Numerical experiments
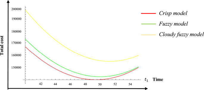
A numerical experiment is executed for the formulated problem to validate the model. Numerical analysis is conducted with the input parameters taken from the literature Dai et al. (2017), Yadav and Singh (2018), and Wang et al. (2024). Data is not collected through the survey. Some of the parametric values are modified for the convergence of the total cost function. An extensive sensitivity analysis is performed in the sensitivity analysis section to analyze the results further. The optimal results of the problem are represented in tabular form in Table 2. Analysis of the results for parameters is discussed through sensitivity analysis. Besides, the global minimality is established numerically and shown within the result for SCM cost. The convexity of objective functions is shown numerically in Figs. 4–6.
Convexity graph of total cost function for different models for Problems 1, 5, and 9.
Convexity graph of the total cost for different models for Problems 3, 7, and 11.
Convexity graph of the total cost for different models for Problems 4, 8, and 12.
Problem 1
The necessary condition to obtain the optimal cycle length from Eq. (46) is \(\frac{d{\Pi }_{P1}({T}_{1})}{d{T}_{1}}=0\). Then the values of parameters are A = 5, R0 = 10 units, λ = 1.5, AP = 15 ($/order), hP = 12 ($/unit), dp = 1.2 ($/unit), \({\theta }_{1}=0.02\), r = 0.01, α = 60 days, T = 100 days, \({G}_{1}=\$300\), and consider the cycle length T is constant. \(\frac{{{\boldsymbol{d}}}^{{\boldsymbol{2}}}{\Pi }_{P1}({T}_{1})}{{\boldsymbol{d}}{{{\boldsymbol{T}}}_{{\boldsymbol{1}}}}^{{\boldsymbol{2}}}}{\boldsymbol{ > }}0\) as described in Section 6.1. Thus, the total cost for the producer in Scenario 1 is the global minimum at T1 = 49.29 days, and the minimum value of total cost is \({\prod }_{P1}=\$\mathrm{137,212}/{\rm{cycle}}\) (Fig. 4).
Problem 2
The necessary condition to obtain the optimal solution is \(\frac{d{\Pi }_{P2}({T}_{1})}{d{T}_{1}}=0\). Then, the values of the parameters are A = 5, R0 = 10 units, λ = 1.5, AP = 15 ($/order), \({G}_{1}=\$300\), hP = 12 ($/unit), dp = 1.2 ($/unit), \({\theta }_{2}=0.06\), r = 0.01, α = 60 days, T = 100 days, and consider the cycle length T is constant and \(\frac{{d}^{2}{\Pi }_{P2}({T}_{1})}{d{{T}_{1}}^{2}}{\boldsymbol{ > }}0\) as described in Section 6.2. Thus, the total cost for the producer in Scenario 2 is the global minimum at T1 = 68.8102 days, and the minimum value of total cost is \({\prod }_{P2}=\$\mathrm{151,238}/{\rm{cycle}}\).
Problem 3
Since \({\Pi }_{P1}({T}_{1})+{\Pi}_{S}\left({T}_{2}\right)={\Pi}_{{TC}1}\left({T}_{1},{T}_{2}\right)\), now, the optimal solution are obtained from the necessary conditions \(\frac{d{\Pi}_{{TC}1}({T}_{1},{T}_{2})}{d{T}_{1}}=0\) and \(\frac{d{\Pi}_{{TC}1}({T}_{1,}{T}_{2})}{d{T}_{2}}=0\). The parameters are A = 5, R0 = 10 units, λ = 1.5, γ = 150, \(\rho =0.35\), ψ = 2, β = 2, η = 0.02, AS = 20 ($/order), hs = 7 ($/unit), ds = 5 ($/unit), C1 = 25, \({G}_{1}=\$300\), \({G}_{2}=\$320\), AP = 15 ($/order), hP = 12($/unit), dp = 1.2 ($/unit), \({\theta }_{1}=0.02\), \({\theta }_{3}=0.08\), r = 0.01, C2 = 5, LS = 7 ($/unit), \(\delta =0.04\), α = 60 days, T = 100 days. Then \(\frac{{d}^{2}{\Pi }_{{TC}1}({T}_{1,}{T}_{2})}{d{{T}_{1}}^{2}}=\mathrm{51,420.8} > 0\) and \(\left(\frac{{d}^{2}{\Pi }_{{TC}1}({T}_{1,}{T}_{2})}{d{{T}_{1}}^{2}}\right)\left(\frac{{d}^{2}{\Pi }_{{TC}1}({T}_{1,}{T}_{2})}{d{{T}_{2}}^{2}}\right)-{\left(\frac{{d}^{2}{\Pi }_{{TC}1}({T}_{1,}{T}_{2})}{d{T}_{1}{T}_{2}}\right)}^{2}=\mathrm{21,364.51} > 0\), Hence, the total cost is a global minimum for the integrated model in Scenario 1, and it is minimum at T1 = 49.29 days, T2 = 17.4725 days, and its minimum value is \({\Pi}_{{TC}1}=\$\mathrm{139,242}/{\rm{cycle}}\)
Problem 4
Since \({\Pi}_{P2}\left({T}_{1}\right)+{\Pi}_{S}\left({T}_{2}\right)={\prod }_{{TC}2}({T}_{1,}{T}_{2})\), now, the optimal solutions are obtained from the necessary conditions \(\frac{d{\Pi }_{{TC}2}({T}_{1,}{T}_{2})}{d{T}_{1}}=0\) and \(\frac{d{\Pi }_{{TC}2}({T}_{1,}{T}_{2})}{d{T}_{2}}=0\). The parameters value are A = 5, R0 = 10 units, λ = 1.5, γ = 150, \(\rho =0.35\), ψ = 2, β = 2, η = 0.02, AS = 20 ($/order), hs = 7 ($/unit), ds = 5 ($/unit), C1 = 25, AP = 15 ($/order), hP = 12 ($/unit), dp = 1.2 ($/unit), \({\theta }_{2}=0.06\), \({\theta }_{3}=0.08\), r = 0.01, C2 = 5, LS = 7 ($/unit), \(\delta =0.04\), α = 60 days, T = 100 day, \({G}_{1}=\$300,\,{G}_{2}=\$320\). One can get \(\frac{{d}^{2}{\Pi}_{{TC}2}({T}_{1,}{T}_{2})}{d{{T}_{1}}^{2}}=\mathrm{39,966.3} > 0\) and \(\left(\frac{{d}^{2}{\Pi }_{{TC}2}({T}_{1,}{T}_{2})}{d{{T}_{1}}^{2}}\right)\left(\frac{{d}^{2}{\Pi }_{{TC}2}({T}_{1,}{T}_{2})}{d{{T}_{2}}^{2}}\right)-{\left(\frac{{d}^{2}{\Pi }_{{TC}2}({T}_{1,}{T}_{2})}{d{T}_{1}{T}_{2}}\right)}^{2}=\mathrm{52,560.54} > 0\). Hence, the total cost for the integrated model in Scenario 2 is the global minimum at T1 = 68.8102 days, T2 = 17.4725 days, and its minimum cost is \({\Pi}_{{TC}2}=\$\mathrm{155,102}/{\rm{cycle}}\).
Problem 5
The optimal cycle length is obtained from the necessary condition \(\frac{d\widetilde{{\Pi}_{P1}({T}_{1})}}{d{T}_{1}}=0\). Then values of parameters are A = 5, R0 = 10 unit, λ = 1.5, AP = 15 ($/order), hP = 12 ($/unit), dp = 1.2 ($/unit), r = 0.01, α = 60 days, T = 100 days, \({\theta }_{11}=0.015,\,{\theta }_{12}=0.022,{\theta }_{13}=0.027\), \({G}_{1}=\$300\), and consider the cycle length T is constant and \(\frac{{d}^{2}\widetilde{{\Pi}_{P1}({T}_{1}})}{d{{T}_{1}}^{2}}{\boldsymbol{ > }}0\). Hence, the global minimum total cost for the producer in Scenario 1 is minimum at T1 = 49.80 days, and the minimum value of total cost is \(\widetilde{{\Pi}_{P1}}=\$\mathrm{140,222}/{\rm{cycle}}\).
Problem 6
The optimal cycle length is from the necessary condition \(\frac{d\widetilde{{\Pi}_{P2}({T}_{1})}}{d{T}_{1}}=0\). Then the values of parameters are A = 5, R0 = 10 units, λ = 1.5, AP = 15 ($/order), hP = 12 ($/unit), dp = 1.2 ($/unit), r = 0.01, α = 60 days, T = 100 days, \({\theta }_{21}=0.03,{\theta }_{22}=0.062,{\theta }_{23}=0.065\), \({G}_{1}=\$300\), and consider the cycle length T is constant and \(\frac{{d}^{2}\widetilde{{\Pi}_{P2}({T}_{1}})}{d{{T}_{1}}^{2}}{\boldsymbol{ > }}0\). Hence, the global minimum total cost for the producer in Scenario 2 is minimum at T1 = 68.7985 days, and the minimum value of total cost is \(\widetilde{{\Pi}_{P2}}=\$\mathrm{158,632}/{\rm{cycle}}\).
Problem 7
Since
where \(\,{\chi }_{i}={\left({\Pi}_{S}+{\Pi}_{P1}\right)}_{{\theta }_{1}={\theta }_{1i}{and}{\theta }_{2}={\theta }_{2i}}\), the optimal solution are obtained from the necessary conditions
and
. The parameters are A = 5, R0 = 10 units, λ = 1.5, γ = 150, \(\rho =0.35,\) ψ = 2, β = 2, η = 0.02, AS = 20 ($/order), hs = 7 ($/unit), \({\theta }_{11}=0.015,\,{\theta }_{12}=0.022,{\theta }_{13}=0.027,{\theta }_{31}=0.075,{\theta }_{32}=0.081,{\theta }_{33}=0.082,\) ds = 5 (/unit), C1 = 25, AP = 15 ($/order), hP = 12 ($/unit), dp = 1.2 ($/unit), r = 0.01, C2 = 5, \({L}_{S}\) = 7 ($/unit), \(\delta =0.04\), α = 60 days, \({G}_{1}=\$300,\,{G}_{2}=\$320,\,\)T = 100 days.
and
the total cost for the integrated model in the fuzzy sense for Scenario 1 is the global minimum at T1 = 49.80 days, T2 = 17.48 days, and its minimum value is
.
Problem 8
Since
where\(\,{\chi }_{i}={\left({\Pi}_{S}+{\Pi}_{P2}\right)}_{{\theta }_{1}={\theta }_{1i}{and}{\theta }_{2}={\theta }_{2i}}\), the optimal solutions are from the necessary conditions
, and
. The parametric values are A = 5, R0 = 10 units, λ = 1.5, γ = 150, \(\rho =0.35,\) ψ = 2, β = 2, \({G}_{1}=\$300,\,{G}_{2}=\$320,\,\)η = 0.02, AS = 20 ($/order), \({\theta }_{21}=0.03,{\theta }_{22}=0.062,{\theta }_{23}=0.065,\) hs = 7 ($/unit), \({\theta }_{31}=0.075,{\theta }_{32}=0.081,{\theta }_{33}=0.082\) ds = 5 ($/unit), C1 = 25, AP = 15 ($/order), hP = 12 ($/unit), dp = 1.2 ($/unit), r = 0.01, C2 = 5, LS = 7 ($/unit), \(\delta =0.04\) α = 60 days, and T = 100 days. Then, one can get
and
Hence, the total cost for the integrated model in the fuzzy sense for Scenario 2 is the global minimum at T1 = 68.7985 days, T2 = 17.48 days, and its minimum value is
.
Problem 9
The optimal cycle length is obtained from the necessary condition \(\frac{d\widetilde{{\Pi}_{P1}({T}_{1})}}{d{T}_{1}}=0\). Then the values of parameters are A = 5, R0 = 10 units, λ = 1.5, AP = 15 ($/order), hP = 12 ($/unit), dp = 1.2 ($/unit), r = 0.01, α = 60 days, T = 100 days, \({\theta }_{1}=0.02,\,\rho =0.35,\sigma =0.4\), \({G}_{1}=\$300\), and consider the cycle length T to be constant and \(\frac{{d}^{2}\widetilde{{\Pi}_{P1}({T}_{1}})}{d{{T}_{1}}^{2}} > 0\). Hence, the total cost for the producer in Scenario 1 is the global minimum at T1 = 51.210 days, and the minimum value of total cost is \(\widetilde{{\Pi}_{P1}}=\$\mathrm{150,405}/{\rm{cycle}}\).
Problem 10
The optimal cycle length is found from the necessary conditions \(\frac{d\widetilde{{\Pi}_{P2}({T}_{1})}}{d{T}_{1}}=0\). Then the values of parameters are A = 5, R0 = 10 units, λ = 1.5, AP = 15 ($/order), hP = 12 ($/unit), dp = 1.2 ($/unit), r = 0.01, α = 60 days, T = 100 days, \({\theta }_{2}=0.06\), \(\rho =0.35,\sigma =0.4\,{G}_{1}=\$300,\) and consider the cycle length T is constant and \(\frac{{d}^{2}\widetilde{{\Pi}_{P2}({T}_{1}})}{d{{T}_{1}}^{2}} > 0\). Hence, the total cost for the producer in Scenario 2 is the global minimum at T1 = 64.10 days, and the minimum value of the total cost is \(\widetilde{{\Pi}_{P2}}=\)$\(\mathrm{160,085}/{\rm{cycle}}\).
Problem 11
Since
where \({\chi }_{i}={\left({\Pi}_{S}+{\Pi}_{P1}\right)}_{{\theta }_{1}{\rm{and}}{\theta }_{3}}\) is in cloudy fuzzy. Now, the optimal solutions are found from the necessary conditions
and
. The values of the parameters are A = 5, R0 = 10 units, λ = 1.5, γ = 150, \(\rho =0.35,\) ψ = 2, β = 2, \({G}_{1}=\$300,\) \({G}_{2}=\$320,\)η = 0.02, AS = 20 ($/order), hs = 7 ($/unit), \(\rho =0.35,\,\sigma =0.4\), \({\theta }_{1}=0.02,\,{\theta }_{3}=0.08,\) ds = 5 ($/unit), C1 = 25, AP = 15 ($/order), hP = 12 ($/unit), dp = 1.2 ($/unit), r = 0.01, C2 = 5, LS\(=7\) ($/unit), \(\delta =0.04\) α = 60 days, and T = 100 days.
and
. Hence, the total cost for the integrated model in the fuzzy sense for Scenario 1 is the global minimum at T1 = 49.20 days, T2 = 16.85 days, and its minimum value is
.
Problem 12
Since
where\(\,{\chi }_{i}={\left({\Pi}_{S}+{\Pi}_{P2}\right)}_{{\theta }_{2}{and}{\theta }_{3}}\) is cloudy fuzzy. Now, the optimal solutions are obtained from the necessary conditions
and
. The parameters values are A = 5, R0 = 10 units, λ = 1.5, γ = 150, \({G}_{1}=\$300,\,{G}_{2}=\$320,\,\rho =0.35,\) ψ = 2, β = 2, η = 0.02, AS = 20 ($/order), \({\theta }_{2}=0.06,{\theta }_{3}=0.08,\) ds = 5 ($/unit), C1 = 25, AP = 15 ($/order), hP = 12 ($/unit), dp = 1.2 ($/unit), r = 0.01, C2 = 5, LS = 7 ($/unit), \(\delta =0.04\), α = 60 days, T = 100 days. Then, one can get
and
Hence, the total cost for the integrated model in the fuzzy sense for Scenario 2 is the global minimum at T1 = 61.015days, T2 = 18.305 days, and its minimum value is
.
It is found from the result (Table 2) that Problem 11 provides the global minimum cost of the SCM. This cost belongs to the cloudy fuzzy environment when the deterioration starts after the production finishes. The convexity of the cost function under crisp, fuzzy, and cloudy fuzzy scenarios is depicted in Figs. 4–6. For comparison, there exist a few studies in a similar direction (Barman et al., 2021, 2023a, b). However exact comparison is not possible among them as the circumstances of the studies are different (Bhunia et al., 2024, Mondal et al., 2024).
Sensitivity analysis and observation
A detailed sensitivity analysis and its observation are listed in this section.
Sensitivity analysis
The changes in optimum time and total cost with –50%, –25%, 0, 25%, and 50% variation in essential parameters are shown in Tables 3 to 6. Here, Table 3 represents the sensitivity analysis for problems 1,5 and 9; Table 3 represents the sensitivity for problems 2, 6, and 10. Table 4 illustrates the sensitivity analysis problems 3, 7, and 11, and Table 5 describes the sensitivity analysis problems 4, 8, and 12 in three different ways by combining crisp, fuzzy, and cloudy fuzzy models.
Observations
The following observations are enlisted below, which are found from the numerical analysis.
Observations for Problems 1, 5, and 9 (Table 3)
-
1.
Table 2 shows that if changes occur in the length of cycle T, then the cost function is highly increased in all three models, and optimal time is highly increased in the first two models but slowly increased in the third model, i.e., changes in cycle time are susceptible to decision variables and total cost function as well.
-
2.
If changes occur in inflation rate r, then the cost function is highly decreased in all three models. The optimal time is minorly decreased for the crisp model and highly increased in fuzzy and cloudy fuzzy cases, i.e., consideration of the inflation rate is a good strategy as it reduces total cost and optimum time in the crisp model. Therefore, suppliers should consider inflation in their model to make better supply chain decisions.
-
3.
If changes occur in the value of the index of price elasticity (λ) then the total cost increases and the optimum time decreases in fuzzy and cloudy fuzzy models. However, the total cost increases by –50%, reducing with –25%, +25%, and +50% changes, increasing the total cost in the crisp model, whereas optimal time is increasing with –50% and –25% changes and decreasing with 25% and 50% changes in the crisp model.
-
4.
Changes in the parameter α from –50% and −25% are increasing total cost, and +25% and +50% changes decrease total cost. In contrast, all changes highly increase optimal time in the crisp model. In the fuzzy model, the total cost is reduced by –50% and −25% and increased by +25% and +50% changes, i.e., the parameter α has very substantial behavior for the three models.
Observations for Problems 2, 6, and 10 (Table 4)
-
1.
From Table 3, it is seen that if changes occur in the length of cycle T, then cost and optimum time are highly increased in all three models, i.e., changes in cycle time are highly sensitive to total cost function as well. If changes occur in inflation rate r, the cost function is highly decreased in all three models, whereas the optimal time remains.
-
2.
If changes occur in the value of the index of price elasticity (λ), then the total cost is highly increasing and the optimum time decreasing in all three models. Therefore, the availability of products at low prices can lower the total cost. If changes occur in the parameter α, cost and optimum time are highly increased in all three models.
Observations for Problems 3, 7, and 11 (Table 5)
-
1.
From Table 4, it is seen that if changes occur in the length of cycle T, then the total cost and optimal time \({T}_{1}\) and \({T}_{2}\) are highly increased in both crisp and cloudy models, and the total cost decreases by −50% and −25% changes and highly increases by +25% and +50% changes in the length of cycle T, but the optimal time \({T}_{1}\) and \({T}_{2}\) are increasing for the fuzzy model.
-
2.
If changes occur in inflation rate r, the cost function is highly decreased, and the optimal time \({T}_{1}\) and \({T}_{2}\) are minorly decreased in all three models. Therefore, consideration of inflation in an integrated model to achieve minimum cost. If changes occur in the value of the index of price elasticity (\(\lambda\)) then the total cost is increasing, whereas optimal time \({T}_{1}\) is decreasing and \({T}_{2}\) remains fixed in all cases.
-
3.
If changes occur in the parameter α from –50% and −25%, the total cost increases, and +25% and +50% changes decrease the total cost in all three cases, whereas optimal time \({T}_{1}\) is increasing and \({T}_{2}\) remains fixed in all cases.
Observations for Problems 4, 8, and 12 (Table 6)
-
1.
Table 5 shows that if changes occur in the length of cycle T, total cost and optimal times \({T}_{1}\) and \({T}_{2}\) are highly increased in all cases.
-
2.
If changes occur in inflation rate r, then the cost function is highly decreased in all three cases; the optimal time \({T}_{1}\) remains fixed, and \({T}_{2}\) is minor decreased for crisp and fuzzy cases. In contrast, optimal times \({T}_{1}\) and \({T}_{2}\) decreased for cloudy fuzzy cases. Therefore, the inflation rate has a substantial behavior in an integrated model.
-
3.
It is seen that if changes occur in the value of the index of price elasticity (\(\lambda )\) then the total cost is increasing, whereas optimal time \({T}_{1}\) is decreasing and \({T}_{2}\) remains fixed in all cases. If changes occur in the parameter α, then the total cost and optimal time \({T}_{1}\) are increasing, and \({T}_{2}\) remains fixed in all cases.
Discussions and managerial insights
The minimum total cost is obtained in Problem 11. That is, the cloudy fuzzy environment is the best for the uncertainty in deterioration. However, the minimum cost for the cloudy fuzzy environment occurs when the deterioration starts after the production finishes. If the deterioration starts before the production finishes, the producer needs to produce more products because of the nature of the deteriorating product. If the deterioration starts after the production, the producer has very little time to store them in their warehouse and send them to the retailer. The retailer can sell those products in less time; thus, the products will not be stored in the retailer’s warehouse for a long time (Scenario 1). In the opposite (Scenario 2), when the deterioration of products starts during production, those products spend more time in the producer’s warehouse than Scenario 1. Thus, the product quality deteriorates more in the producer’s warehouse. When products reach the retailer’s end, the quality decreases more than in Scenario 1. Thus, the retailer faces more loss than Scenario 1 and the total cost of the SCM increases.
Meanwhile, if the deterioration starts during production time, the producer needs more time for production (T1 = 54 days) than Scenario 1 (T1 = 49 days). When there is no deterioration during production, there is no obstacle in the production system, and it requires less time. When there is an obstacle (deterioration of products) in the production system, it requires more time. But as the production rate is time-dependent, the production continues until the time finishes. During that time, more products are produced than usual and more deteriorated products are piled up. The production time cannot be adjusted by increasing the production rate to maintain the production time (Guchhait and Sarkar, 2024, 2025). Because if the production time increases, the production will run until that time and more SCM costs will be incurred. Thus, the SCM in Scenario 1 has less cost than the Scenario 2. Cloudy fuzzy set theory is appropriate for solving the proposed uncertainty in deteriorating rates. The producer can choose this method to find the minimum cost of the SCM for a similar situation.
The following insights are derived from the above discussions.
-
Due to the current market scenario, the supply chain members do not need to benefit from every product. However, using more than one product can fill the profit from one product with another, and the model is unaffected (Sarkar et al., 2025a). Every item has a different time duration to stay safe, due to which the item’s deteriorating rate differs. It impacts the deterioration rate, which is different for each stage of the supply chain, and it has been observed that if the inflation rate is increased, the total cost decreases in both scenarios.
-
Everyone is aware that each product has a different shelf life and rate of deterioration, and there is always uncertainty about the speed of deterioration. Deterioration within the production time makes the situation more complicated as the production rate becomes demand-dependent and, thus, time-dependent. As cloudy fuzzy set theory solves more complex type problems than a fuzzy set theory, the result proves that fact. Therefore, the most useful of this model is to remove this type of uncertainty using the cloudy fuzzy set theory.
-
The producer uses a ramp-type demand function for the product. As the ramp-type demand function reflects the gradual increase until a certain time and then decreases, the production manager can adjust the production rate based on the change in demand. The demand-based production rate is the most suitable for the production manager to handle a ramp-type demand. This helps the production manager avoid overproduction or underproduction, which is helpful in the reduction of inventory costs or in avoiding system shortages (Sarkar et al., 2025b). Further, including a fuzzy deterioration rate helps managers make better storage and production decisions for deteriorated items (Yadav et al., 2022).
-
As a cloudy fuzzy set helps predict and maintain product deterioration rate better than deterministic or random scenarios, the producer can label products more accurately about their shelf-life. Then, consumers can use products without having doubts about their shelf-life or deterioration. Thus, the society gets accurate shelf-life-enabled products.
Conclusions
The model was developed for a single producer and retailer in which the producer purchased the raw product from an external supplier, produced finished goods in the production plant, and transferred this inventory to the retailer. This model developed in an environment of uncertainty and inflation. It was found from the experiment that the SCM encountered the minimum total cost when the deterioration started after production. The numerical experiment supported the theoretical development that the cloudy fuzzy environment is preferable to the crisp and fuzzy environment. The minimum total cost of the model was found in Problem 11, which is supported by the cloudy fuzzy environment. Results showed that if changes occurred in inflation rate r, the cost function was highly decreased in all three models, and optimal time was slightly decreased for the crisp model and highly increased in the fuzzy and cloudy fuzzy cases. If changes occurred in the value of the index of price elasticity, then the total cost rose, whereas optimal time decreased. The production time for Problem 11 was less than that of Problem 12, i.e., the minimum production time was another reason for the minimum total cost. Thus, the deterioration of the product should start after the production is finished in all three crisp, fuzzy, and cloudy fuzzy environments.
Limitations
There are a few limitations of this study. Even though it is considered that the market demand depends upon the selling price and advertisement (Sarkar et al., 2020; Ahmed et al., 2021), the selling price and advertisement are constant. When the demand is time-dependent, the demand-dependent production rate is not suitable when the deterioration is within the production system. Because of the time-dependent production rate and the presence of deteriorating products, the production rate for Scenario 2 increases and, thus, the minimum total cost of the SCM. Besides, the model must consider shortage, which applies to a single producer. This model is not applicable in the case of single-retailer, multi-producers, and when shortages are not allowed in any part. Besides, the selling price and advertisement index are constant, which could not help reduce the SCM loss. As the main goal of the study is to show the uncertainty effect of the deterioration rate and its presence in the SCM in different scenarios for a ramp-type demand, other costs are taken as constant, but it shows that these things are taken care of in the model, such as greening cost.
Future extensions
The deterioration rate can be used as a fuzzy decision variable in the further extension of this study. Implementing flexible production (Dey et al., 2021) is one of the immediate extensions of this model. Limitations of the model can be removed by using a variable selling price and advertisement (Datta et al., 2025) through retail channels (Amankou et al., 2024). The study can be extended using variable greening and transportation costs (Garai and Sarkar, 2022). The model can be extended in terms of the effectiveness of carbon policies (Das et al., 2022) with time-dependent demand and remanufacturing, variable deteriorating and preservation technology with cloudy fuzzy (Qiao et al., 2024; Gomes and Serra, 2024), replenishment policy under variable transportation, and green cost for deteriorating items with allowable trade-credit policy under tax.
Data availability
Data is provided in the paper.
References
Ahmed W, Moazzam M, Sarkar B, Rehman SU (2021) Synergic effect of reworking for imperfect quality items with the integration of multi-period delay-in-payment and partial backordering in global supply chains. Engineering 7(2):260–271
Aktas A, Kabak M (2024) Evaluation of energy storage alternatives for hybrid energy systems using a hesitant fuzzy approach. Journal of Industrial and Management Optimization 20(3):858–877
Ali R, Rani S, Agarwal A (2020) Inventory model for deteriorating items in green supply chain with credit period dependent demand. International Journal of Applied Engineering Research 15:157–172
Amankou KAC, Guchhait R, Sarkar B, Dem H (2024) Product-specified dual-channel retail management with significant consumer service. Journal of Retailing and Consumer Services 79:103788
Antczak T (2024) The minimax exact penalty fuzzy function method for solving convex nonsmooth optimization problems with fuzzy objective functions. Journal of Industrial and Management Optimization 20:392–427
Barman H, Pervin M, Roy SK, Weber GW (2021) Back-ordered inventory model with inflation in a cloudy-fuzzy environment. Journal of Industrial and Management Optimization 17(4):1913–1941
Barman H, Pervin M, Roy SK (2022) Impacts of green and preservation technology investments on a sustainable EPQ model during COVID-19 pandemic. RAIRO-operations Research 56(4):2245–2275
Barman H, Pervin M, Roy SK, Weber GW (2023a) Analysis of a dual-channel green supply chain game-theoretical model under carbon policy. International Journal of Systems Science: Operations & Logistics 10(1):2242770
Barman H, Roy SK, Sakalauskas L, Weber GW (2023b) Inventory model involving reworking of faulty products with three carbon policies under neutrosophic environment. Advanced Engineering Informatics 57:102081
Bhunia S, Das SK, Jablonsky J, Roy SK (2024) Evaluating carbon cap and trade policy effects on a multi-period bi-objective closed-loop supply chain in retail management under mixed uncertainty: Towards greener horizons. Expert Systems with Applications 250:123889
Clark AJ, Scarf H (1960) Optimal policies for multi echelon inventory problem. Management Science 6:475–490
Dai Z, Aqlan ZF, Gao K (2017) Optimizing multi echelon inventory with three types of demand in supply chain. Transportation Research Part E Logistic and Transportation Review 107:141–177
Das D, Roy A, Kar S (2011) A volume flexible economic production lot-sizing problem with imperfect quality and random machine failure in fuzzy-stochastic environment. Computers & Mathematics with Applications 61:2388–2400
Das S, Mondal R, Shaikh AA, Bhunia AK (2022) An application of control theory for imperfect production problem with carbon emission investment policy in interval environment. Journal of the Franklin Institute 359(No. 2):1925–1970
Datta A, Dey BK, Bhuniya S, Sangal I, Mandal B, Sarkar M, Guchhait R, Sarkar B, Ganguly B (2025) Adaptation of e-commerce retailing to enhance customer satisfaction within a dynamical system under transfer of risk. Journal of Retailing and Consumer Services 84:104129
De SK, Beg I (2016) Triangular dense fuzzy sets and new defuzzification method. Journal of Intelligent and Fuzzy System 31:469–477
De SK, Mathata GC (2019) A cloudy fuzzy economic quantity model for imperfect quality items with allowable proportionate discounts. Journal of Industrial Engineering International 15:571–583
De, SK, and Mahato, S (2023), A study of an EOQ model under triangular cloudy fuzzy neutrosophic demand rate, In Fuzzy Optimization, Decision-making and Operations Research: Theory and Applications (pp. 659-677). Cham: Springer International Publishing
Dey BK, Pareek S, Tayyab M, Sarkar B (2021) Autonomation policy to control work-in-process inventory in a smart production system. International Journal of Production Research 59(4):1258–1280
Garai A, Chowdhury S, Sarkar B, Roy TK (2021) Cost-effective subsidy policy for growers and biofuels-plants in closed-loop supply chain of herbs and herbal medicines: An interactive bi-objective optimization in T-environment. Applied Soft Computing 100:106949
Garai A, Sarkar B (2022) Economically independent reverse logistics of customer-centric closed-loop supply chain for herbal medicines and biofuel. Journal of Cleaner Production 334:129977
Ghosh PK, Mannab KA, Dey J, Kar S (2021a) An EOQ model with backordering for perishable items under multiple advanced and delayed payments policies. Journal of Management Analytics 9:403–434
Ghosh PK, Manna AK, Dey JK, Kar S (2021b) Supply chain coordination model for green product with different payment strategies: A game theoretic approach. Journal of Cleaner Production 290:125734
Ghosh PK, Manna AK, Dey JK, Kar S (2022) A deteriorating food preservation supply chain model with downstream delayed payment and upstream partial prepayment. RAIRO-Operations Research 56:331–348
Gomes DCS, Serra GLO (2024) Interval type-2 evolving fuzzy Kalman filter for processing of unobservable spectral components from uncertain experimental data. Journal of the Franklin Institute 361(2):637–669
Guchhait R, Sarkar B (2024) A decision-making problem for product outsourcing with flexible production under a global supply chain management. International Journal of Production Economics 272:109230
Guchhait R, Sarkar B (2025) Economic evaluation of an outsourced fourth-party logistics (4PL) under a flexible production system. International Journal of Production Economics 279:109440
Habib MS, Asghar O, Hussain A, Imran M, Mughal MP, Sarkar B (2021) A robust possibilistic programming approach toward animal fat-based biodiesel supply chain network design under uncertain environment. Journal of Cleaner Production 278:122403
Habib MS, Omair M, Ramzan MB, Chaudhary TN, Farooq M, Sarkar B (2022) A robust possibilistic flexible programming approach toward a resilient and cost-efficient biodiesel supply chain network. Journal of Cleaner Production 366:132752
He Y, Wang SY, Lai KK (2010) An optimal production inventory model for deteriorating items with multiple market demand. European Journal of Operational Research 20:593–600
Jaggi CK, Pareek S, Sharma A, Nidhi (2012) Fuzzy inventory model for deteriorating items with time varying demand and shortage. American Journal of Operational Research 2:81–92
Karmakar S, De SK, Goswami A (2018) A study of an EOQ model under fuzzy demand rate. International Conference on Mathematics and Computing 834:149–163
Khan MR, Alam MJ, Tabassum N, Khan NA, McKenzie AM (2023) Supply chain challenges and recommendations for international development agriculture projects: An application of the FGD-fuzzy Delphi approach. Humanities and Social Sciences Communications 10(1):531
Kumar A, Joshi K, Bhagat N, Punetha N, Padiyar SVS (2022) Mathematical modelling and analysis on green inventory model with shortage space for imperfect quality of deteriorating items with trapezoidal type demand. Neuro Quantolagy 20:2468–2478
Kumar S, Sigroha M, Kumar N, Kumari M, Sarkar B (2025) How does the retail price maintain trade-credit management with continuous investment to support the cash flow? Journal of Retailing and Consumer Services 83:104116
Kuraie VC, Padiyar SVS, Bhagat N, Singh SR, Katariya C (2021) Imperfect production process in an integrated inventory system having multivariable demand with limited storage capacity. Design Engineering 9:1505–1527
Li C, Shi X (2024) Optimization of a multilevel logistics network for prepositioned warehouses under an omni-channel retail model. Humanities and Social Sciences Communications 11(1):970
Mahapatra AS, Sengupta S, Dasgupta A, Sarkar B, Goswami RT (2025) What is the impact of demand patterns on integrated online-offline and buy-online-pickup in-store (BOPS) retail in a smart supply chain management? Journal of Retailing and Consumer Services 82:104093
Maihami R, Govindan RK, Fattahi M (2019) The inventory and pricing decisions in a three-echelon supply chain of deteriorating items under probabilistic environment. Transportation Research Part E: Logistic and Transportation Review 131:118–138
Maity S, De SK, Pal M, Mondal SP (2021a) A study of an EOQ model with public-screened discounted items under cloudy fuzzy demand rate. Journal of Intelligent & Fuzzy Systems 41(6):6923–6934
Maity S, De SK, Pal M, Mondal SP (2021) A study of an EOQ model of growing items with parabolic dense fuzzy lock demand rate. Applied System Innovation 4(4):81
Maity S, Chakraborty A, De SK, Pal M (2023) A study of an EOQ model of green items with the effect of carbon emission under pentagonal intuitionistic dense fuzzy environment. Soft Computing 27:15033–15055
Mallik A, Maity S (2021) A study of an EOQ model under cloudy fuzzy environment. International Journal of Fuzzy Mathematical Archive 19(2):137–148
Mishra M, Ghosh SK, Sarkar B, Sarkar M, Hota SK (2024) Risk management for barter exchange policy under retail industry. Journal of Retailing and Consumer Services 77:103623
Moon I, Yun WY, Sarkar B (2022) Effects of variable setup cost, reliability, and production costs under controlled carbon emissions in a reliable production system. European Journal of Industrial Engineering 16(4):371–397
Mondal A, Roy SK (2024) Fuzzy-stochastic distributional robust approach for microalgae-based bio-plastic supply chain with new sustainability aspects. Journal of Cleaner Production 476:143630
Mondal A, Giri BK, Roy SK, Deveci M, Pamucar D (2024) Sustainable-resilient-responsive supply chain with demand prediction: An interval type-2 robust programming approach. Engineering Applications of Artificial Intelligence 133:108133
Mridha B, Sarkar B, Cárdenas-Barrón LE, Ramana GV, Yang L (2024) Is the advertisement policy for dual-channel profitable for retailing and consumer service of a retail management system under emissions-controlled flexible production system? Journal of Retailing and Consumer Services 78:103662
Padiyar SVS, Singh SR, Punetha N (2021) Inventory system with price dependent consumption for deteriorating items with shortages under fuzzy environment. International Journal Sustainable Agricultural Management and Informatics 7:218–231
Padiyar SVS, Joshi A, Rajput N (2022a) A fuzzy inventory problem based on management for deteriorating item with remanufacture process. Stochastic Modeling & Applications 26:447–462
Padiyar SVS, Joshi A, Singh D (2022b) study of integrated fuzzy inventory model when deterioration and inflation rate are uncertain. International Journal of Novel Research and Development 7:1–18
Padiyar SVS, Kuraie VC, Bhagat N, Singh SR, Dem H (2022c) Green integrated model for imperfect production process under reliability. Journal of Mathematical Control Science & Applications 8:1–13
Padiyar SVS, Kuraie VC, N. Bhagat N, Singh SR, Chaudhar R (2022d) An integrated inventory model for imperfect production process having preservation facilitiesunder fuzzy and inflationary environment. International Journal Mathematical Modelling and Numerical Optimisation 12:252–286
Padiyar SVS, Bhagat N, Punetha N (2023a) A multi-stage sustainable inventory model with backorder, fuzzy parameters and decision variable for deteriorating items with imperfect production and reliability. International Journal of Applied Decision Sciences 16(4):445–473
Padiyar SVS, Bhagat N, Singh SR, Punetha N, Dem H (2023b) Production policy for an integrated inventory system under cloudy fuzzy environment. International Journal of Applied Decision Sciences 16(3):255–299
Padiyar SVS, Bhagat N, Singh SR, Punetha N (2023c) Multi echelon fuzzy inventory model for perishable items in a supply chain with imperfect production and exponential demand rate. International Journal of Process Management and Benchmarking 14(1):23–51
Pal B, Sarkar A, Sarkar B (2023) Optimal decisions in a dual-channel competitive green supply chain management under promotional effort. Expert Systems with Applications 211:118315
Panda GC, Khan AA, Shaikh AA (2019) A credit policy approach in two warehouse inventory model for deteriorating items with price and stock dependent demand under partial backlogging. Journal of Industrial Engineering International 15:147–170
Qiao S, Feng J, Zhu P (2024) Distribution-based limited fuzzy bisimulations for nondeterministic fuzzy transition systems. Journal of the Franklin Institute 361(1):135–149
Rajput N, Pandey RK, Singh AP, Chauhan A (2019) An optimization of fuzzy EOQ model in healthcare industries with three different demand patterns using signed distance technique. Mathematics in Engineering Science and Aerospace 10:205–218
Rani M, Kishan H (2011) A multi echelon supply chain inventory model with variable demand rate for deteriorating items. Pure and Applied Mathematik Science 1:31–44
Rathod KD, Bhathawala PH (2016) The inventory model for deteriorating items with triangular type demand rate. IOSR Journal of Mathematics 12:57–63
Rau H, Wu MY, Wee HM (2003) Intergrated inventory model for deteriorating items under a multi-echelon supply chain environment. International Journal of Production Economics 86:155–16
Roy A, Kar S, Maiti M (2008) A deteriorating multi-item inventory model with fuzzy costs and resources based on two different defuzzification techniques. Applied Mathematical Modelling 32:208–223
Saha S (2017) Fuzzy inventory model for deterioration items in a supply chain system with price dependent demand and without backorder. American Journal of Engineering Research 6:183–187
Sarkar S, Chakrabarti T (2022) An EPQ model having Weibull distribution deterioration with exponential demand and production with shortages under permissible delay in payments. Mathematical Theory and Modeling 8:77–84
Sarkar B, Mridha B, Pareek S (2022a) A sustainable smart multi-type biofuel manufacturing with the optimum energy utilization under flexible production. Journal of Cleaner Production 332:129869
Sarkar B, Omair M, Kim N (2020) A cooperative advertising collaboration policy in supply chain management under uncertain conditions. Applied Soft Computing 88:105948
Sarkar A, Guchhait R, Sarkar B (2021) Application of the artificial neural network with multithreading within an inventory model under uncertainty and inflation. International Journal of Fuzzy Systems 24(5):2318–2332
Sarkar B, Debnath A, Chiu AS, Ahmed W (2022b) Circular economy-driven two-stage supply chain management for nullifying waste. Journal of Cleaner Production 339:130513
Sarkar B, Bhuniya S (2022) A sustainable flexible manufacturing–remanufacturing model with improved service and green investment under variable demand. Expert Systems with Applications 202:117154
Sarkar B, Sao S, Ghosh SK (2025a) Smart production and photocatalytic ultraviolet (PUV) wastewater treatment effect on a textile supply chain management. International Journal of Production Economics 283:109557
Sarkar B, Kugele ASH, Sarkar M (2025b) Two non-linear programming models for the multi-stage multi-cycle smart production system with autonomation and remanufacturing in same and different cycles to reduce wastes. Journal of Industrial Information Integration 44:100749
Sarkar M, Sarkar B (2020) How does an industry reduce waste and consumed energy within a multi-stage smart sustainable biofuel production system? Journal of Cleaner Production 262:121200
Sarker BR, Jamal AM, Wang S (2000) Supply chain model for perishable product under inflation and perishable delay in payment. Computers and Operations Research 27:59–75
Shaikh K, Panda GC, Khan MA, Mashud AH, Biswas A (2020) An inventory model for deteriorating items with preservation facility of ramp type demand and trade credit. International Journal in Operational Research 17:414–551
Sharma S, Singh SR, Kumar M (2021) A reverse logistics inventory model with multiple production and remanufacturing batches under fuzzy environment. RAIRO Operation Research 55:571–588
Sharmila D, Uthayakumar R (2015) Inventory model for deterioration items involving fuzzy with shortage and exponential demand. International Journal of Supply and Operations Management 2:888–904
Shastri SR, Singh D, Yadav, Gupta S (2013) Multi-echelon supply chain management for deteriorating items with partial backordering under inflationary environment. International Conference on Computational Intelligence: Modeling Techniques and Application (ICCIMTA) 10:320–329
Singh SR, Kumari R, Kumar N (2010) Replenishment policy for non-instantaneous deteriorating items with stock-dependent demand and partial back logging with two-storage facilities under inflation. International Journal of Operations Research and Optimization 1:161–179
Singh C, Singh SR (2010) Two echelon supply chain model with imperfect production, for weibull distribution deteriorating items under imprecise and inflationary. International Journal of Operation Research and optimization 1:9–25
Singh C, Singh SR (2011) Imperfect production process with exponential demand rate, wiebull deterioration under inflation. International Journal of Operational Research 12:430–445
Singh N, Vaish B, Singh SR (2014) Analysis of three level supply chain of inventory with deteriorating for muti-items. International Journal of Industrial Engineering Computations 5:417–430
Singh SR, Tayal S, Attri AK (2019) Two levels of storage model for deteriorating items stock dependent demand and partial backlogging with both rented warehouse. International Journal Process Management and Benchmarking 9:485–498
Singh SR, Tayal S (2020) Replenishment policy for deteriorating items with trade credit and allowable shortage under inflationary environment. International Journal Process Management and Benchmarking 10:462–478
Singh SK, Chauhan A, Sarkar B (2023) Sustainable biodiesel supply chain model based on waste animal fat with subsidy and advertisement. Journal of Cleaner Production 382:134806
Sohani S, Barman T, Sarkar B, Gunasekaran A, Pareek S (2024) Retail management policy through firefly algorithm under uncertainty using Dempster-Shafer theory for production firm. Journal of Retailing and Consumer Services 79:103760
Tayyab M, Jemai J, Lim H, Sarkar B (2020) A sustainable development framework for a cleaner multi-item multi-stage textile production system with a process improvement initiative. Journal of Cleaner Production 246:119055
Tayyab M, Sarkar B (2021) An interactive fuzzy programming approach for a sustainable supplier selection under textile supply chain management. Computers & Industrial Engineering 155:107164
Tyagi K (2023) A global blockchain-based agro-food value chain to facilitate trade and sustainable blocks of healthy lives and food for all. Humanities and Social Sciences Communications 10(1):196
Uravashi, Singh SR, Singh N (2013) Green supply chain model with product remanufacturing under flexible environment. Procedia Technology 10:216–226
Uthayakumar R, Hemapriya S (2019) Integrated vendor buyer inventory model in a supply chain with variable lead time and setup cost reduction. International Journal Process Management and Benchmarking 9:324–350
Wang CN, Nhieu NL, Chiang CT, Wang YH (2024) Assessing Southeast Asia countries’ potential in the semiconductor supply chain: An objectively weighting multi-criteria decision-making approach. Humanities and Social Sciences Communications 11(1):1260
Xu J, Ma Z, Xu Z (2023) Novel intuitionistic fuzzy weighted geometric operators for intuitionistic fuzzy multi-attribute decision making. Journal of Industrial and Management Optimization 19(10):7196–7220
Yadav D, Singh SR (2018) Integrated model with imperfect production process under the effect of learning. Malaya Journal of Matematik 1:90–101
Yadav D, Singh R, Kumar A, Sarkar B (2022) Reduction of pollution through sustainable and flexible production by controlling by-products. Journal of Environmental Informatics 40(2):106–124
Author information
Authors and Affiliations
Contributions
Surendra Vikram Singh Padiyar: Methodology, Supervision, Conceptualization, Resources, Investigation, Software, Review and editing. Ummeferva Zaidi: Writing of original draft, Software, Data curation. Amit Kumar, Mitali Sarkar, Rekha Guchhait: Formal analysis, Visualization, Review and editing. Biswajit Sarkar: Validation, Investigation, Review and editing, Resources, Formal analysis, Software.
Corresponding author
Ethics declarations
Competing interests
The authors declare no competing interests.
Ethical approval
Not applicable.
Informed Consent
No consent is required during this process.
Additional information
Publisher’s note Springer Nature remains neutral with regard to jurisdictional claims in published maps and institutional affiliations.
Rights and permissions
Open Access This article is licensed under a Creative Commons Attribution-NonCommercial-NoDerivatives 4.0 International License, which permits any non-commercial use, sharing, distribution and reproduction in any medium or format, as long as you give appropriate credit to the original author(s) and the source, provide a link to the Creative Commons licence, and indicate if you modified the licensed material. You do not have permission under this licence to share adapted material derived from this article or parts of it. The images or other third party material in this article are included in the article’s Creative Commons licence, unless indicated otherwise in a credit line to the material. If material is not included in the article’s Creative Commons licence and your intended use is not permitted by statutory regulation or exceeds the permitted use, you will need to obtain permission directly from the copyright holder. To view a copy of this licence, visit http://creativecommons.org/licenses/by-nc-nd/4.0/.
About this article
Cite this article
Padiyar, S.V.S., Zaidi, U., Kumar, A. et al. Influence of a cloudy fuzzy environment for deteriorating products with ramp-type demand under a supply chain management. Humanit Soc Sci Commun 12, 1371 (2025). https://doi.org/10.1057/s41599-025-05219-7
Received:
Accepted:
Published:
Version of record:
DOI: https://doi.org/10.1057/s41599-025-05219-7
This article is cited by
-
Joint optimal multi-vehicle and multi-bioenergy manufacturing scheduling for a supply chain network optimized for efficient carbon utilization
Environment, Development and Sustainability (2025)








