Abstract
Artificial intelligence-generated content (AIGC) is an emerging technology with growing influence across numerous fields, yet factors shaping its sustained adoption—particularly among specialized groups such as medical students—remain poorly understood. This study examines the determinants of medical students’ intention to use AIGC tools, integrating the Unified Theory of Acceptance and Use of Technology (UTAUT), Diffusion of Innovations theory, and Perceived Risk theory into a comprehensive framework. Data were collected from 401 medical students and analyzed using structural equation modeling. The results indicate that performance expectancy, effort expectancy, and social influence are the strongest positive predictors of usage intention, while perceived risk and perceived trust did not show significant effects. These findings underscore the importance of enhancing usability, social support, and integration into educational workflows. The study provides actionable insights for medical educators, technology developers, and policymakers seeking to promote AIGC adoption through tailored training, ethical guidelines, and system improvements.
Similar content being viewed by others
Introduction
AIGC, which stands for “Artificial Intelligence Generated Content,” is a technology that utilizes artificial intelligence to automatically generate content such as text, images, audio, video, etc. The core of this technology is to mimic the creative process of human beings and to generate innovative and original content through the learning of extensive datasets. In November 2022, OpenAI launched ChatGPT (Abid et al., 2022), brought the concept of AIGC into the mainstream consciousness. The release of DeepSeek has led to the widespread application of AIGC tools in China.
As a recently developed technology, the continuous usage intention of generative artificial intelligence platforms among the general public remains unclear, while the sustained use of a technology by its users is a key indicator of its success. As with any other information technology, the degree of satisfaction with use and the willingness to sustain use determine the development of generative AI technology and the application scenarios. Foreign scholars earlier introduced this concept into the field of artificial intelligence, and the initial research was mostly aimed at experiments on GPT-2, chatbot systems in the healthcare field, and other AIGC applications, by exploring the impact of the factor of trust on the user’s perception of the quality of information services provided by AI, from which it was found that the user’s psychological hesitancy and emotional concerns would significantly affect their willingness to use (Hyeon et al., 2023). Subsequently, with the expansion of research, after the release of ChatGPT, some scholars conducted research based on the improvement of clinical decision support logic, from which it was concluded that users’ willingness to use is affected by whether the content produced by GPT is actually useful or not Sun et al. found that the system’s emotional guidance to the user during information querying is crucial, and that the system’s effective simulation of emotions and guidance to the user has a significant impact on the enhancement of the HCI perception (Liu et al., 2023). Hyeon et al. suggested that the intrinsic characteristics of AIGC tools and external stimulus factors both influence users’ willingness to use them (Hyeon et al., 2023). Zhang Hai et al. have classified the factors affecting the users’ use of AIGC tools into four distinct categories: social factors, subject factors, technological factors, and information factors (Zhang et al., 2023). Some scholars have explored the effects of perceived usefulness, perceived ease of use, and attitude toward use on usage behavior based on the Technology Acceptance Model (Yilmaz et al., 2023). Other scholars also uncover user motivations for adopting ChatGPT from a social and cultural perspective (Sun et al., 2021). Although the above studies have covered the application of AIGC tools, they lack in-depth exploration of the willingness to use them by users in specific domains-especially medical students.
In the medical field, AIGC technology has demonstrated significant potential for application. This study gains distinctive significance by focusing on medical students—a population uniquely positioned at the critical nexus of demanding clinical training and future AI-integrated practice. Medical students’ mastery of complex, high-stakes domains (e.g., clinical reasoning, pharmacology) and impending role in evidence-based, patient-centered care make understanding AIGC adoption factors essential for shaping competent, ethical future physicians. Through interactions with AIGC technology, medical students can rapidly assimilate a substantial corpus of cutting-edge medical theoretical knowledge (Zhang et al., 2024), gain access to reliable statistical data, explore medical literature pertinent to related research areas, compose experimental research papers and case reports, and refine their writing by enhancing the clarity and consistency of their work. AIGC also allows medical students to practice key clinical skills such as diagnosis and treatment of diseases in a safe and controlled environment by simulating patient-physician encounters in a variety of real-life scenarios (Pan et al., 2024) such as virtual laboratories or virtual patient dialogs (Sridharan et al., 2024). Additionally, AIGC technology can also perform tasks such as experimental data analysis and programming. Although AIGC is not yet ready for use in clinical practice, it can automate and rapidly enable medical text summary, greatly improving physician efficiency in diagnosing, treating, and following up with patients (Sallam, 2023). However, despite its tremendous potential, the successful widespread application of AIGC technology hinges on the willingness of medical students to use it. The AIGC tool offers users around the world a new way of accessing knowledge, which presents unprecedented opportunities and raises entirely new challenges. Numerous problems and limitations associated with AIGC technology are the primary factors restricting its use by medical students in their academic work(Zhang et al., 2023). For instance, the AIGC content may provide inaccurate or inappropriate medical science articles, which could mislead readers. Additionally, the generation of case data may pose a risk of compromising patient privacy (Sallam, 2023). These professional learning needs and task-oriented driving make medical students put forward higher requirements on the accuracy and reliability of AIGC technology, and maintain higher sensitivity to the perception of risk (Rejeb et al., 2024). Therefore, understanding and analyzing the factors that influence medical students’ willingness to use AIGC technology is of great significance for facilitating the advancement of medical education.
This study aims to examine the factors influencing medical students’ intention to use AIGC technologies. By integrating relevant theories, we establish a research framework on this topic to better understand the formation process of medical students’ intention to adopt AIGC technologies, providing targeted improvement plans for medical education. In this study, we construct a research model using the Unified Theory of Acceptance and Use of Technology (UTAUT), Diffusion of Innovations Theory, and Perceived Risk Theory to analyze multiple factors affecting medical students’ intention to use AIGC technologies. Building on this framework, this study examines perceived risk, trust perceptions, performance expectancy, and social influence and other influencing factors. This study seeks to bridge a significant knowledge gap regarding medical students’ behavioral intentions toward AIGC tools. Its primary contribution lies in developing a domain-specific model for medical education, while delivering actionable guidelines for institutional stakeholders to optimize AIGC implementation, generate urgently needed insights to inform context-sensitive AI integration strategies for future healthcare workforce development in resource-constrained settings.
Literature review
Research on the application of AIGC tools in education
Since AIGC tools have come into public view, numerous scholars from various fields, both domestically and internationally, have conducted research and discussions on their impacts. In the field of education, scholars have investigated the potential applications of ChatGPT in various aspects of teaching practice, such as teacher instruction, talent cultivation, and student learning. Rejeb et al. (2024). consider ChatGPT to be an important tool that benefits both students and teachers, with students primarily using ChatGPT for language learning or communication skills, online education, coding or programming, writing and translation, personalized learning, debugging, and facilitating collaboration (Baig et al., 2024) This new human-machine interactive educational model has also led scholars to attribute a digital tutor status to ChatGPT, which is conducive to the continuous advancement and improvement of educational technology (Wang et al., 2023). As AIGC tools continue to expand, educators need to improve their AI literacy through education and alertness to new advances in technology to optimize the integration of AIGC in admissions, learning, assessment, and medical education research (Van Dis et al., 2023). Compared with traditional manual scoring, AIGC has higher efficiency and cost-effectiveness in intelligent scoring of subjective questions, in which the ChatGPT scoring results are the closest to the instructor’s scoring results and have the best performance (Xiangba, 2024).
At the same time, several studies have indicated that academic content generated by AIGC tools can be inaccurate and provide erroneous references, which may lead to bias and plagiarism. For instance, Dwivedi, in the process of attempting to write an article using ChatGPT, found its deficiencies in logic, novelty, and criticality, as well as the provision of erroneous reference (Dwivedi et al., 2023). Furthermore, ChatGPT doesn’t understand the context of statements and cannot answer more abstract questions, which was confirmed by its creators. It may also introduce certain simplifications in data analysis (Burger et al., 2023) ChatGPT is also incapable of deduction, has limited mathematical skills(Frieder et al., 2023) and does not assess data reliability well (Farrokhnia et al., 2023). Other concerns encompass ethical and moral issues (Farrokhnia et al., 2023), transparency and legal matters, bias risks (Esplugas at al., 2023), plagiarism (Mohamed et al., 2023) and the lack of originality (Sallam et al., 2023).
In response to the potential applications and challenges brought by AIGC tools, researchers have proposed lots of corresponding strategies. For instance, Dwivedi et al.(2019) suggest that to make ChatGPT more responsible and ethical, the development and deployment of artificial intelligence technology should adhere to a human-centered approach, while researchers ought to actively explore the optimal models for human-machine collaboration. Pritish(2023) believes that the efficiency of artificial intelligence depends on the rigor of its development. Wang Jianlei and Cao Huimeng (2023) point out that people should not simplistically attribute some order crises to artificial intelligence technology. Instead, return to the process of human ontology and human-machine interaction.
Current research on AIGC tools predominantly focuses on macro-level analysis, paying less attention to micro-level insights regarding the adoption intentions of specific domain users towards new technologies. This gap exists primarily because existing studies have predominantly examined broader user groups, and the rapid emergence of AIGC combined with the complexity of the medical field has led to a relative delay in empirically addressing this group’s specific needs and concerns. This study aims to bridge this interdisciplinary gap. Consequently, this study aims to investigate the factors influencing medical students’ willingness to adopt AIGC technology, with a focused lens on their domain-specific challenges—including ethical vulnerability to patient harm, evidence-validation burden from probabilistic outputs, and professional identity tensions. By doing so, it provides novel perspectives for understanding how AIGC reshapes human-machine relationships, challenges human values in clinical training, and transforms knowledge production paradigms in intelligent communication era.
Research on user acceptance intention
With the rapid development of information technology, the application of artificial intelligence and big data technologies has become increasingly widespread. The acceptance and usage intention of users towards new technologies and service platforms have emerged as a field worthy of attention for both academia and industry. However, the factors influencing acceptance intention are complex and diverse, relating to theoretical frameworks such as the Unified Theory of Acceptance and Use of Technology (UTAUT) and the Diffusion of Innovations theory. For instance, argue that perceived usefulness and perceived ease of use positively influence users’ adoption of digital payment services. In the field of marketing, anthropomorphism plays a significant role in shaping consumers’ attitudes towards AI chatbots, affecting their willingness to share information and make purchases (Manzhi et al., 2024). Zhu Yarut (2020), in whose exploration of users’ continued intention to use mobile reading apps, highlighted the impact of flow experience, resource experience, and price experience on user satisfaction and trust. Jo (2023) proposed a four-stage theoretical model with 13 variables in order to explore the factors affecting ChatGPT product word-of-mouth and user usage behavior by integrating several theories of behavioral willingness. With the rise of ChatGPT, more and more researchers are beginning to explore users’ willingness to use this new technology. Hyeon (2023) explored the impact of the factor of trust on the user’s perception of the quality of information services provided by AI. Azaria (2023) found that users’ willingness to use is affected by whether the content produced by GPT is actually useful or not. Sun et al. (2021) noted that the system’s emotional guidance to the user during information querying is crucia. Soliman et al. (2024) used a hybrid approach combining a linear partial least squares structural equation modeling model with compensation and a non-linear artificial neural network (ANN) model without compensation. This study indicated that perceived usefulness and autonomy are significant predictors of the continued intention to use GenAI in the Thai context (Soliman et al., 2024).
With the rapid development and widespread application of AIGC technology, exploring the adoption behavior of different user groups towards emerging technologies has become a core issue of concern for both academia and industry. This study integrated the UTAUT model, innovation diffusion theory, and perceived risk theory to construct a multidimensional AIGC technology adoption influencing factor model, enriching the research paradigm of technology acceptance theory. Secondly, focusing on the special professional group of medical students, empirical research will be conducted, and the research results will directly assist in the digital transformation of medical education, providing scientific basis for the standardized application of AIGC technology in clinical teaching, scientific research training and other scenarios. Finally, the practical guidance plan developed in this study can help technology developers accurately grasp user needs, optimize product design, and provide decision-making references for medical institutions to formulate AIGC application policies. It has significant social benefits and application prospects.
Theoretical support and research hypotheses
The unified theory of acceptance and use of technology (UTAUT)
The Unified Theory of Acceptance and Use of Technology was proposed by Venkatesh and Davis in 2000. (Venkatesh V. and Davis F. D., 2000) The UTAUT model might be efective in facilitating the adoption of various technologies in various cultural contexts (Al-Adwan, Samed A. and Mutaz M. Al-Debei., 2024).The UTAUT has gained a widespread reputation among academics and has been proclaimed as a robust framework for technology difusion and adoption due to its robustness, simplicity and parsimony, and superiority to other established rival theories (Dwivedi et al., 2019; Venkatesh V. and Davis F. D., 2000). This model has been widely used in information technology user behavior research. Dwivedi YK et al. proved the rationality and applicability of UTAUT model through meta-analysis of user behavior studies in multiple fields(Dwivedi Y K, Kshetri N, Hughes L, et al., 2023).
The Technology Acceptance Model (TAM), as the predecessor of UTAUT, primarily comprises two core variables: perceived usefulness and perceived ease of use. UTAUT extends TAM by incorporating critical additional variables such as social influence and facilitating conditions, making it particularly suitable for medical education - a field characterized by stringent professional standards and strong social norms. Medical students’ technology acceptance behaviors are influenced not only by individual perceptions but also significantly by social factors (e.g., peer evaluations and faculty recommendations) and environmental factors (e.g., institutional technical support). Compared to TAM’s “perceived usefulness,” UTAUT’s “performance expectancy” more precisely captures medical students’ specific expectations regarding AIGC’s potential to enhance learning efficiency and clinical practice capabilities. Similarly, “effort expectancy” in UTAUT provides a more comprehensive assessment of learning costs than TAM’s “perceived ease of use.” Therefore, this study employs the UTAUT model as its primary theoretical framework to investigate medical students’ usage behaviors and influencing factors concerning AIGC.
The four core factors of the model include performance expectancy, effort expectancy, social influence and facilitating conditions. Performance expectancy is the degree to which an individual feels that the use of innovative technology can improve work performance; Effort expectancy is the degree to which an individual finds the innovative technology easy to use and adopt. Behavioral intention refers to the degree of willingness of users to use a certain technology or product. Karrar Al-Saedi et al. proved in the relevant research on mobile payment technology that performance expectancy and effort expectancy are one of the important factors affecting users’ behavioral intention (K. Al-Saedi, M. Al-Emran, E. Abusham and S. A. El Rahman, 2019).
In the behavioral research of medical students using AIGC, performance expectancy refers to the degree of improvement and help to personal learning and research performance perceived by medical students in the process of using AIGC. AIGC can provide personalized learning resources and automated assessment and feedback according to the learning progress, interests and weaknesses of medical students, so as to improve their learning efficiency. The higher the degree of perceived improvement, the greater the behavioral intention of medical students to use AIGC. Therefore, the following hypotheses are proposed in this study:
H1: Performance expectancy positively influences medical students’ behavioral intention.
Effort expectation refers to the degree of effort that medical students perceive themselves to be required to use the AIGC tool, i.e., the degree to which they perceive the AIGC to be easy to use. To use AIGC, which is an emerging and highly technical tool, medical students need to spend time learning how to use various functions of the AIGC platform, including entering instructions, adjusting parameters, and interpreting generated content. For example, when using ChatGPT for medical knowledge inquiry and learning, students need to understand how to ask effective questions to obtain accurate and useful answers. If medical students perceive AIGC as simple to operate and easy to use, they will be more motivated to accept and use AIGC services.
Therefore, the following hypotheses are proposed in this study:
H2: Effort expectancy positively influences medical students’ behavioral intention.
In addition, some scholars have proved the impact of effort expectancy on performance expectancy. The behavioral intention model of mobile payment technology built by T. Oliveira et al. shows that effort expectancy has a positive and significant impact on performance expectancy(Oliveira T, Thomas M, Baptista G, et al., 2016). Similarly, in this study, if medical students think AIGC is easy to use, it means that they can quickly grasp how to use it and use AIGC tools to meet their information needs, and when they find that AIGC can easily help them complete learning tasks more efficiently, their performance expectations will be increased.. Therefore, the following hypothesis is proposed in this study:
H3: Effort expectancy positively influences medical students’ performance expectancy.
Social influence is the degree to which an individual feels whether others think the innovative technology should be used or not. Many studies have proved that under the social influence of social media, opinion leaders, interpersonal relationships, etc., users will be more willing to use new technologies (K. Al-Saedi, M. Al-Emran, E. Abusham and S. A. El Rahman, 2019).
Due to the high popularity of AIGC, it is used by all walks of life in the society. At this time, comments and opinions at the social level and opinions of surrounding individuals may influence students’ understanding of AIGC and their intention to use it. For example, media reports, recommendations from friends, classmates and teachers, recognition from experts in related fields, publicity and promotion of network V and public accounts, etc., all these above may make a difference to the medical students’ behavior intention. The more positive the attitude of surrounding people or society toward AIGC, the higher the intention of medical students to use AIGC may be. Therefore, the following hypothesis is proposed in this study:
H4: Social influence positively influences medical students’ behavioral intention.
Facilitating conditions refers to the level of support that an individual feels for the use of a system from aspects such as technical devices. Kumar (2020) and Rezvani (2022) have found in separate studies that the availability and learning curve of technology are key factors that influence users’ willingness to invest in learning and using it.
In this study, facilitating conditions refers to medical students’ access to the resources and knowledge necessary for AIGC. The AIGC tool is user-friendly and easy to use, and medical students can quickly get started, which will significantly increase their intention to use it. In addition, if educational institutions or other institutions provide the necessary technical support and training on the functions and use of AIGC tools to ensure that students can effectively use these tools, their intention to use them may also increase.
Facilitating conditions reduces barriers for medical students to use AIGC and makes them more willing to use AIGC tools. Therefore, the following hypothesis is proposed in this study:
H5: Facilitating conditions positively influences medical students’ behavioral intention.
Perceived risk model
The concept of perceived risk was first proposed by Bauer (1960), who believed that there was a risk that the actual result of each consumer’s purchase behavior would be different from the expected result. The concept was first used in the study of consumer behavior and later introduced into the study of acceptance behavior of information systems. According to different situations, perceived risk can be divided into functional risk, privacy risk, economic risk and psychological risk. When the user thinks that the information system may cause loss during the use of the system, the perceived risk will arise. Other studies on users’ willingness to use new technologies or products, such as mobile payment technology (K. Al-Saedi, M. Al-Emran, E. Abusham and S. A. El Rahman., 2019), electronic banking (Poon W C., 2008), UGC-type smart tourism service platforms, etc., have verified that perceived risk has a negative impact on users’ intention to use. Therefore, this study introduced perceived risk variables to explore their impact on medical students’ information query behavior using AIGC.
The Protection Motivation Theory (PMT) explains risk response behaviors through two dimensions: threat appraisal and coping appraisal. This study employs the Perceived Risk Model (PRM) instead because it provides more direct measurement of how specific risk types (e.g., functional risk, privacy risk) influence usage intentions. In the context of medical education, AIGC-related risks such as diagnostic errors and patient privacy breaches represent concrete, measurable risk categories that PRM’s classification framework can precisely capture. Compared to PMT’s generalized risk response model, PRM’s risk taxonomy and measurement approach are better suited for evaluating the specialized concerns that medical students may have regarding AIGC risks.
Trust refers to expectations or confidence in another party. Gillath (2021) points out that for AIGC, trust is the extent to which people are willing to follow the advice of AIGC. In the medical field, trust is a very important factor that cannot be ignored, which greatly restricts the application of medical AIGC model (Cascella M, Montomoli J, Bellini V, et al., 2023; Chervenak J., Lieman, H., Blanco-Breindel, M., and Jindal, S., 2023; Gilson, A., Safranek, C. W., Huang, T., Socrates, V., Chi, L., Taylor, R. A., and Chartash, D., 2023). Previous studies employing experimental approaches have consistently demonstrated a significant positive correlation between users’ trust levels in AIGC tools and their behavioral intentions to use these technologies. Specifically, empirical evidence indicates that enhanced user trust in AIGC tools directly translates to greater willingness to adopt and utilize these systems. These findings collectively underscore the pivotal role of trust perception in the technology acceptance process for AIGC applications, particularly in professional domains where decision-making carries significant consequences (Wang, L., 2023). When a model can provide clear, transparent explanations, users can better understand how the model arrived at a prediction or decision, making it easier to trust and accept the model’s output.
In this study, medical students’ trust in AIGC was defined as: believing that the information provided by AIGC is credible, believing that AIGC has the ability to provide services and willing to accept its services. Due to the complexity of the AIGC model, it is sometimes difficult for users to understand its automatically generated content, resulting in doubts about its rationality and accuracy, that is, trust issues. In addition, algorithm missing, sentence understanding deviation may also lead to errors. At this point, the degree of trust becomes a key variable. The higher the level of trust in AIGC, the higher the willingness to use it. Therefore, the following hypothesis is proposed in this study:
H6: The perceived trust on AIGC tools positively influences medical students’ behavioral intention.
Perceived risk can be understood as an individual’s subjective belief about the potential danger posed by a particular situation, which influences the decision-making process. In the study of the influencing factors of technology acceptance and use, perceived risk is usually included in the model as a hindrance factor. According to Bauer(Bauer, R. A., 1960), any purchase made by the consumer may not be certain whether the expected outcome is correct, and some results may make the consumer unhappy, thus creating a perceived risk, which mainly includes the uncertainty of the outcome of the decision and the severity of the consequences of the wrong decision.
Both perceived risk and performance expectancy involve evaluations of technology usage outcomes, yet they represent distinct dimensions. Performance expectancy measures individuals’ anticipation of positive outcomes (e.g., “Can AIGC enhance my learning efficiency?”), while perceived risk focuses on potential negative consequences (e.g., “Could AIGC-generated errors misguide my study?”). This bidirectional evaluation creates a conceptual linkage between the two variables.
However, a deeper examination reveals fundamental differences. Performance expectancy, as a positive driver in the UTAUT model, reflects subjective assessments of a technology’s usefulness, emphasizing potential benefits that motivate adoption. In contrast, perceived risk, a negative inhibitor in the PRM framework, evaluates possible adverse effects that may deter usage. Specifically, performance expectancy pertains to anticipated gains (a proactive adoption motive), whereas perceived risk concerns potential costs (a risk-avoidance consideration). In the high-stakes context of medical education, students simultaneously assess AIGC’s learning benefits (performance expectancy) and weigh its risks (e.g., diagnostic inaccuracies or ethical dilemmas). These dimensions operate independently yet collectively shape adoption decisions. Thus, incorporating both variables in theoretical modeling and empirical measurement provides a more comprehensive understanding of the psychological mechanisms underlying medical students’ AIGC acceptance.
In this study, AIGC tools conduct information interaction through the Internet, and the feedback results are uncertain. Medical students need to accept the seriousness of the consequences of wrong feedback, such as whether the feedback results are correct and appropriate, whether there are problems such as plagiarism or infringement in the results. In addition, AIGC often requires users to provide relevant information and data during the generation process, which also means the risk of data and personal information disclosure. The more serious the perceived risk, the less strong the behavioral intention. Therefore, the following hypothesis is proposed in this study:
H7: Perceived risk negatively influences medical students’ behavioral intention.
Diffusion of innovations theory
Diffusion of Innovations Theory is a basic law about the diffusion of new ideas, new things and their practical processes in the social system proposed by Rogers(Rogers E M, 2010). This theory puts forward the concept of comparative advantage, that is, if users think that the relative advantage of a new technology is greater than that of the existing technology, they are inclined to accept the new technology, and the process of acceptance is easier, thus promoting the spread and diffusion of the technology. Agarwal et al. believe that individual innovation is one of the important factors affecting users’ acceptance of information technology, and define it as “the willingness of individuals to try any new information technology”, introducing this concept into the field of information technology acceptance.(Agarwal R and Prasad J, 1998) Therefore, comparative advantage and individual innovation were introduced into the research framework as key variables to verify the influence of these two factors on medical students’ willingness to use AIGC.
The Technology-Organization-Environment (TOE) framework analyzes technology adoption through three dimensions: technological, organizational, and environmental factors. However, this study selects the Diffusion of Innovations (DOI) theory because it specifically focuses on the inherent characteristics of innovations, particularly relative advantage and compatibility - dimensions that are critically relevant to innovation in medical education. Given that medical education features rapid knowledge updates yet cautious adoption of new technologies, DOI’s five innovation characteristics enable more precise evaluation of AIGC’s alignment with medical education systems. Unlike TOE’s organizational-environmental perspective, DOI emphasizes how an innovation’s intrinsic features influence adoption decisions at different stages, which better corresponds to studying the diffusion process of AIGC as a specific innovation in medical education contexts.
Innovative technology acceptance is a common individual psychological trait of users, which refers to the internal tendency to pursue new information, new stimuli and new experiences. It shows the extent to which users are more willing to adopt new things earlier than others in their social network relationships, and can effectively explain the different reactions of individuals when adopting new things(Kaushik A K and Rahman Z, 2014).
Although innovation acceptance and effort expectancy share similarities—both concern the convenience of technology use, with the “complexity” dimension of innovation acceptance and effort expectancy both reflecting users’ consideration of technological difficulty—a deeper analysis reveals their essential differences. Innovation acceptance is a systematic indicator in the Diffusion of Innovations (DOI) theory, primarily assessing the impact of the technology’s objective characteristics on adoption decisions. In contrast, effort expectancy is an individual perception variable in the UTAUT model, focusing on measuring users’ subjective judgments of ease of use.
This distinction manifests in the following ways: Innovation acceptance emphasizes the inherent complex features of the technology, belonging to objective attributes, while effort expectancy concerns individuals’ psychological expectations of the difficulty of using the technology, representing subjective perceptions. Precisely because of this fundamental difference in theoretical positioning and measurement focus, retaining both variables in the study allows for a more comprehensive grasp of the various factors influencing technology adoption. It enables the examination of both the technology’s inherent characteristics and users’ subjective experiences, thereby providing a more complete analytical framework for understanding medical students’ willingness to use AIGC.
In this study, AIGC is an emerging technology tool that is in the process of diffusion and dissemination. Medical students’ acceptance of this innovative technology is closely related to their psychological state and driving force when using this tool. If users accept the new technology internally, they will be willing to further try, explore, and use the tool, and the relevant experience will gradually accumulate, so their willingness to use AIGC tools will also increase. Based on this, the following hypothesis is proposed in this study:
H8: The acceptance of innovative technology positively influences medical students’ behavioral intention.
Existing research indicates that an individual’s acceptance of innovative technologies significantly influences their performance expectations. It has been pointed out that consumers with higher innovativeness are more willing to accept new products, a trait that enables them to more actively explore the functions and application scenarios of new technologies. (Moon J W and Kim Y G, 2001) In the context of this study, medical students with a higher acceptance of AIGC are more likely to proactively discover various applications of this technology in medical learning and clinical practice, thereby more fully recognizing its potential value in enhancing learning efficiency and optimizing knowledge acquisition. This positive exploration behavior will strengthen their perception of the practicality of AIGC, and in turn, increase performance expectations. Based on this, this study proposes the hypothesis:
H9: The acceptance of innovative technology positively influences medical students’ performance expectancy.
The acceptance of innovative technologies also influences an individual’s assessment of the difficulty of using the technology. Dahlberg et al. (2015) found in their research that consumers’ innovativeness can positively affect performance expectations and effort expectations. In this study, medical students with a high acceptance of AIGC are more likely to invest time and energy in familiarizing themselves with its operation process. During this process, they are more likely to experience the advantages of AIGC over traditional learning tools, such as a more concise interface design or a more intelligent interaction method. This positive experience will reduce their perception of the difficulty of use, thereby forming a more favorable effort expectation. Based on this, this study proposes the hypothesis:
H10: The acceptance of innovative technology positively influences medical students’ effort expectancy.
This study integrates the Unified Theory of Acceptance and Use of Technology (UTAUT), Diffusion of Innovations Theory (DOI), and Perceived Risk Model (PRM) to construct a multi-level analytical framework. The UTAUT model reveals medical students’ evaluations of AIGC’s usefulness and ease of use at the individual level, while the DOI theory explains the alignment process between AIGC and medical education systems at the institutional level. The PRM specifically addresses professional medical considerations by capturing concerns about potential risks in technology applications, such as diagnostic errors and privacy breaches.
These three theories complement each other organically: UTAUT’s performance expectancy and DOI’s relative advantage collectively assess technological value, though with respective emphases on personal perception versus systemic characteristics. The PRM forms a risk-benefit decision balance with UTAUT, while DOI’s compatibility dimension moderates the impact strength of risk perception. This integrated approach comprehensively elucidates the formation mechanism of medical students’ willingness to adopt AIGC technologies.
Based on the above assumptions, the research model is shown in Fig. 1.
Methods
The objective of this research is to conduct an exhaustive examination of the factors that influence medical students’ intention to utilize artificial intelligence generated content (AIGC), and to dissect the complex dynamics among these determinants.
Data collection
The survey was conducted over a period from May to July 2024, targeting a specific cohort of medical students. The inclusion criteria for this group were stringent, encompassing only undergraduate, master’s, and doctoral students majoring in medicine who had engaged with AIGC tools, such as ERNIE Bot and ChatGPT, within the preceding month. The recruitment strategy involved a combination of convenient sampling and snowball sampling techniques, facilitated through WeChat groups.
The questionnaire was disseminated online via the Wenjuanxing platform, Wenjuanxing is a useful tool for collecting data. It provides an intuitive interface with a wide range of question types and powerful logic control features. Moreover, the platform allows for real-time monitoring of survey responses and data analysis, enabling users to adjust their surveys based on incoming data. To prevent duplicate submissions each respondent must enter a unique password to access the survey, which becomes invalid after a single use and is required to enter a verification code sent to their mobile phones before they can proceed with the survey. In order to verify participant identity, participants are required to provide personal information such as their name and ID number. We also distribute monetary incentives only after the survey responses have been reviewed and approved, ensuring the authenticity of the responses. This methodical approach ensures that the study’s findings are grounded in a representative and relevant sample of the medical student population.
Bonett et al. (1987) suggested that the sample size should be at least five times the number of parameters in the model. Hair et al. (1998) recommended that the sample size should be at least ten times the number of parameters in the model. Given that the questionnaire comprised 33 items, the sample size range should be no less than 165 to 330. We collected a total of 401 responses from medical students who had utilized AIGC tools. To ensure data integrity, we took the following measures: we excluded participants whose response time was less than two minutes to eliminate potential random answering; for participants who did not use AIGC and did not continue with subsequent questions, we applied listwise deletion; other participants were required to complete all questions to ensure data consistency. After screening, 347 of these responses were deemed valid, providing a robust dataset for the analysis, which met the required sample size and provided a robust dataset for the analysis.
Questionnaire design
This study carefully designed a questionnaire survey specifically tailored for medical students, incorporating multiple constructs. The questionnaire includes measurement items related to eight constructs: Effort Expectancy, Performance Expectancy, Acceptance of Innovative Technologies, Usage Intention, Social Influence, Perceived Risk, Perceived Trust and Facilitating Conditions. These measurement items are drawn from established scales, which have been meticulously calibrated and validated to ensure their relevance and reliability within the context of this study.
The questionnaire is divided into two main sections: demographic information and research scales. The latter includes measurement items for eight variables in the model, with each variable assessed through a series of four or five questions. A 5-point Likert scale is employed to gauge respondents’ opinions, reflecting their actual experiences or subjective perceptions. The scale ranges from “1” (completely disagree) to “5” (completely agree), with “3” representing neutral.
The questionnaire was developed based on existing literature. The precise wording of the measurement options and the scholarly sources from which they are derived are elaborated in the subsequent Table 1, providing a transparent and thorough foundation for the study’s methodology.
The scales used were translated bidirectionally in both Chinese and English to ensure semantic consistency.
Quality control
To minimize sampling bias, we employed a random sampling method using the WenJuanXing platform, ensuring our sample was as representative as possible. To address potential non-response errors, we offered a small monetary incentive (2–3 RMB) and improved the clarity and readability of the questionnaire to encourage active participation. Additionally, to reduce measurement errors, we utilized precise and reliable measurement tools within the WenJuanXing survey design and provided comprehensive training and standardized procedures for survey administrators. Detailed quality control measures are provided in Supplementary File S1.
Ethical statements
Before starting the questionnaire, we required participants to read the complete informed consent form and only allowed them to begin answering the questionnaire after selecting the consent option. The informed consent form and the research proposal were approved by the Institutional Review Board (IRB) of the author’s institution. (The IRB reference number is included at the end of the article).
Analysis techniques
This study employs the SPSS and AMOS to rigorously assess the discriminant validity, normality, reliability and validity of the survey instrument, subsequently refining the collected survey data. By conducting separate exploratory factor analysis and structural equation modeling, the study aims to gain a holistic understanding of medical students’ readiness to embrace AIGC tools. Additionally, it seeks to dissect the distributional traits and interrelationships among the myriad variables involved, thereby shedding light on the multifaceted landscape of AIGC adoption within medical students.
Result
Pilot testing
The cornerstone of a questionnaire survey lies in the scientific rigor and efficacy of the survey instrument. Undertaking reliability and validity assessments, alongside exploratory factor analysis, is an indispensable preliminary step prior to embarking on data analysis.
Discriminant validity analysis and normality testing
According to Table 2, the absolute values of skewness for all variables are less than 1, indicating that the data distributions are close to symmetric and there is no significant skewness. Meanwhile, the absolute values of kurtosis are all less than 3, with only the kurtosis value of EE slightly higher than 2 but still within the acceptable range. Overall, the distributions of these variables are close to normal distribution, showing good normality.
According to Table 3, The AVE square root values for UI (0.816), PE (0.861), EE (0.751), PT (0.834), SI (0.755), PR (0.775), AIT (0.810), and FC (0.709) are all greater than the maximum absolute values of the inter-factor correlation coefficients, indicating that each construct exhibits good discriminant validity.
Reliability analysis and validity analysis
Reliability analysis is a pivotal technique for gauging the stability and dependability of survey questionnaires. Reliability—also termed as stability—refers to the credibility of a questionnaire, primarily evidenced by the consistency, uniformity, and steadfastness of the test outcomes. In this research, Cronbach’s alpha coefficient will be deployed to assess the internal consistency of reliability. This coefficient ranges from 0 to 1, with higher values denoting greater internal consistency.
Validity, conversely, pertains to the precision and efficacy with which the questionnaire reflects the measurement object. The validity of a questionnaire is typically bifurcated into content validity and construct validity. Content validity addresses the alignment between the test indicators and the measured entity, whereas construct validity concerns the fidelity with which the questionnaire measures the intended construct.
The Kaiser–Meyer–Olkin (KMO) test and Bartlett’s test of sphericity are two prevalent methods for ascertaining the suitability of data for factor analysis. The KMO statistic fluctuates between 0 and 1, with values closer to 1 indicating stronger variable intercorrelations, thus rendering the dataset more amenable to factor analysis.
We conducted reliability and validity analyses on the survey questionnaire and the sample quality of this study, utilizing SPSS software. The outcomes of these analyses are succinctly presented in the subsequent Tables 4 and 5, providing a transparent and comprehensive evaluation of the survey instrument’s metrics.
Based on the reliability analysis in Table 4, the Alpha coefficient stands at 0.935, signifying an excellent level of scale reliability. The validity assessment reveals a KMO test value of 0.916, which exceeds the threshold of 0.8, thereby attesting to a high degree of sample suitability for factor analysis. Furthermore, Bartlett’s Test of Sphericity yields a significance level of 0.000, underscoring the statistical significance of the test. Consequently, the survey questionnaire design in this study is deemed methodologically sound, and the sampling methodology is sufficiently robust, providing a solid foundation for subsequent data analysis and conferring a degree of scholarly significance to the research endeavor.
Exploratory factor analysis
Afterwards, principal component analysis and varimax rotation were used to extract the identify latent constructs. The sample analysis results are shown in Table 6. The cumulative variance contribution rate of the seven latent variables in the research model is greater than 60%, indicating that the questionnaire scale has good explanatory power. The results from the rotated component matrix show that each latent variable in the questionnaire can be well distinguished, and the grouping of observed variables under latent variables is consistent with expectations, with factor loading coefficients greater than 0.6 for each observed variable. In summary, the exploratory factor analysis results indicate that the scale has a good internal structure, the questionnaire design is reasonable, and the questionnaire can continue to be distributed.
Overall characteristics of data
Table 7 presents the fundamental demographic attributes of the surveyed medical student sample population.
From Table 7, it can be seen that among the 401 survey subjects in this study, there were 179 males and 222 females, respectively, with a proportion of 44.6% and 55.4%. The identity of the surveyed subjects is concentrated among undergraduate students, accounting for 70.8% of the surveyed subjects; In addition, there are master’s and doctoral students. Among the medical majors with the highest education level (excluding “other categories”), clinical medicine and nursing are ranked first and second respectively, with a selection frequency of 127 and 74. In addition, there are also majors such as basic medicine, pharmacy, traditional Chinese medicine, and medical technology.
Structural model analysis
Verification of overall model fit
The reliability and validity tests have demonstrated that the measurement items have good reliability and validity, and the survey data meets the requirements. Subsequently, a structural equation model was constructed using AMOS software and analyzed using the maximum likelihood method. Table 8 shows the overall fit index of the model. According to the model adaptation test results in Table 8, it can be seen that CMIN/DF (chi square degree of freedom ratio)=3.030, which is in the good range of 3–5; RMSEA (root mean square error)=0.064, within a good range of <0.08; In addition, the test results of ITI, TLI, and CFI all reached a good level of 0.8 or above, while PCFI and PNFI were within a good range of >0.5. The above test results indicate that the overall fitting degree of the model is good.
Model path verification
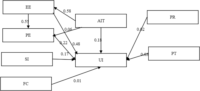
Perform path analysis on the model to obtain the path regression coefficients and significance levels between each latent variable. The specific results are shown in Table 9. If the absolute value of CR is greater than 1.96 and the P value is less than 0.05, then the significance test is passed, indicating that the research hypothesis proposed in this model is valid. From this, it can be seen that the hypotheses H1, H2, H3, H4, H8, and H9 proposed in this study are valid, while H5, H6, H7, and H10 are not. The final model path diagram is shown in Fig. 2.
Discussion
In this study, we conducted a comprehensive survey among medical students to explore their willingness to use artificial intelligence-generated content (AIGC) tools and identify key influencing factors. A total of 10 hypotheses have been formulated, and conclusions have been drawn through rigorous data analysis. The ensuing chapters are dedicated to a synthesis and in-depth discussion of the research findings, providing a comprehensive overview of the study’s outcomes and their implications. Initially, the study employed standardized path coefficients to evaluate the outcomes, which demonstrated the substantial influence of several key factors on medical students’ adoption of artificial intelligence-generated content (AIGC) tools. These factors include Effort Expectancy, Performance Expectancy, Acceptance of Innovative Technologies, Usage Intention, Social Influence, Perceived Risk, Perceived Trust, and Facilitating Conditions. The specific contributions of these seven factors to the AIGC usage behavior among the medical students surveyed are delineated as follows:
The study reveals that social influence has a significant and positive impact on medical students’ readiness to adopt AIGC tools in their scientific research. Guo et al. (2025) also found that social influence positively affect the intention to use. Social influence operates through three key mechanisms: compliance, internalization, and identification. As an emerging frontier in artificial intelligence, AIGC tools are currently in a phase of rapid adoption and dissemination. The collective evaluation and discourse surrounding this technology, encapsulated by the term “social influence,” can significantly sway medical students’ decisions to either adopt or forgo the use of AIGC tools. This, in turn, affects the likelihood of medical master’s and doctoral students incorporating these tools into their research practices. Particularly under the influence of social media campaigns, endorsements from opinion leaders, guidance from interpersonal networks, and recommendations from experts, medical students are more likely to be motivated to use AIGC tools.
Drawing from Bauer’s perspective(1960), consumer purchasing behaviors are inherently fraught with uncertainty regarding the accuracy of expected outcomes, and the possibility of undesirable results can engender Perceived Risk. Zhang Hai and colleagues(2023), through grounded theory qualitative research, observed that ChatGPT users exhibit a particularly pronounced perception of risk compared to other information systems. However, when our study extends the investigation to the medical student population, it was found that Perceived Risk did not significantly impede the willingness to use AIGC. Medical students’ intention to use AIGC is influenced by a variety of factors, rather than merely by perceived risk. They place greater emphasis on the practical utility of AIGC, such as whether it can enhance work efficiency or aid in learning, and, are also affected by social influences (e.g., the opinions of peers and mentors). These factors mediate the relationship between perceived risk and usage intention, as evidenced by the relationship between perceived risk and intention to use, resulting in an insignificant relationship. Additionally, there is a discrepancy between rational cognition and actual behavior. Medical students theoretically recognize certain risks associated with AIGC, but in practical situations, they still choose to use it due to factors such as the convenience of the technology and learning needs. For example, even if medical students are aware of the data privacy risks associated with AIGC, the convenience it offers in quickly obtaining medical information to complete academic tasks outweigh their concerns about risk, thus prompting them to use AIGC.
The UTAUT model indicates that the higher the expected effort of medical students, the more positive their attitude towards use; the higher the expectations for medical students’ efforts, the greater their Performance Expectancy. Al-Saedi et al. proved in the relevant research that performance expectancy and effort expectancy are one of the important factors affecting users’ behavioral intention(2019). In our study, Performance Expectancy and Effort Expectancy are the most significantly positive factors for medical master’s and doctoral students to use AIGC tools. AIGC tools are an emerging technology that is currently being diffused and disseminated. Compared with traditional academic platforms, they have the advantages of simple design and easy operation. Medical graduate students can obtain the required feedback through just a few simple steps. This significantly enhances medical students’ willingness to use AIGC.
The Acceptance of Innovative Technologies by medical students has a certain positive impact on their willingness to use AIGC, but the effect is not very significant. If users accept the technology in their hearts, they will be willing to further try, explore, and use the tool, and their relevant experience will gradually accumulate, affecting their willingness to use it. Tseng’s findings demonstrate that perceived innovative characteristics and dynamic individual differences significantly impact the public’s intention to use DT through their attitude toward using DT(2025). However, for medical students, due to the specialized nature of medical education and practice, which values tradition and established methods, the integration of AIGC into medical curricula and practice require more than just a general acceptance of innovation. It necessitates a shift in educational culture and clinical practice that values AIGC’s role in enhancing learning and patient care.
According to Ng, K.Y. and Chua, R.Y., Perceived Trust depends on an evaluation of someone’s past performance and reliability (2006). Tang’s results indicate that performance expectancy, effort expectancy, facilitating conditions, and habit significantly impact students’ intentions, with trust acting as a key mediator, particularly for privacy concerns and social influence (2025). However, this study shows that the Perceived Trust of medical students towards AIGC does not significantly affect their willingness to use it. This phenomenon can be analyzed from three main aspects: medical students’ professional knowledge, career uncertainty, and current education and training. Medical students undergo specialized education with a complex knowledge system. While AIGC can offer informational support, it may tonot grasp complex clinical contexts or individual differences, and its limitations lead accuracy concerns. Given the high responsibilities in medicine, students prefer traditional knowledge and experience,. adopting a cautious attitude toward new technologies Their lengthy career path and uncertainty about AIGC’s future role and acceptance in the profession also make them reluctant to use it. Additionally, medical education still focuses on traditional teaching and clinical practice, with limited AIGC application. Students lack sufficient exposure and systematic training to assess AIGC’s reliability and integrate its output with their knowledge, resulting in a disconnect between perceived trust and willingness to use.
The facilitating conditions of AIGC tools exert a positive influence on the medical students’ inclination to utilize these technologies. This result is consistent with Wu et al’s findings (2025). Within the scope of this study, Facilitating Conditions are defined as the advantageous circumstances that medical students encounter when engaging with AIGC, encompassing elements such as tailored support, immediate performance feedback, automated task execution, and ease of access. These Facilitating Conditions have effectively lowered the barriers for medical students to adopt AIGC, thereby increasing their propensity to embrace these tools. By streamlining the process of integration and enhancing the user experience, these conditions have played a crucial role in fostering a more receptive attitude towards the use of AIGC in the medical student community.
In addition, analyzing the use of AIGC by traditional Chinese medicine students in this study, it can be found that Effort Expectancy have a significant positive impact on Performance Expectancy. According to T Oliveira et al. argue that if users find a technology easy to use(2016), it means they can quickly grasp its usage and utilize it to meet their information needs, thereby improving efficiency; this study further demonstrates that medical students’ expectations of effort and performance in AIGC are closely related.
The Acceptance of Innovative Technologies has a significant positive impact on Effort Expectancy, while its positive impact on Performance Expectancy is generally moderate. JIN C H et al. (2014) found that consumer innovation can have a positive effect on Performance Expectancy and Effort Expectancy. Jeong’s study on effect of consumer’s perception of digital technology on luxury fashion platform satisfaction shows that optimism and innovativeness positively affect performance expectancy, effort expectancy (2024). However, there is no significant difference in the functional and practical expectations of AIGC between medical students with higher acceptance of innovative technologies and those with average acceptance of innovative technologies. The non-significant relationship between AIGC acceptance and performance expectancy may stem from medical students’ openness to new technology not necessarily translating into actual acceptance of innovation, which remains disconnected from their practical application outcomes. Although they recognize potential value of new technologies they lack the experience and skills to fully utilize AIGC’s capabilities. While AIGC is powerful, its in the medical field is limited; it cannot fully replace professional judgment and underperforms traditional methods in some tasks leading students to be cautious about its functions practicality. Meanwhile, the lack systematic AIGC training in medical education combined with absence content closely linked to clinical practice, results in high theoretical acceptance but poor practical application, affecting performance expectations. Performance perception is also shaped by usability and compatibility with workflows. Cultural, educational, and experiential differences affect how students relate tech acceptance to performance expectations. Future research should explore how tech acceptance influences performance expectations among diverse groups and ways to enhance this link through education and experienceAdditionally, immaturity and limited adaptability of AIGC mean it falls short of students’ expectations handling complex medical issues and performs poorly in specific areas, collectively preventing a significant increase in students’ expectations of AIGC’s functions and practicality.
In application, using AIGC in medical education and practice raises ethical concerns. Accuracy and reliability are critical, as misinformation can have severe consequences. AI systems must be trained on high-quality, up-to-date data and regularly updated to reflect the latest medical knowledge. Additionally, there is a risk of healthcare professionals becoming overly reliant on AIGC, which could undermine their clinical judgment and skills. Balancing the use of AI as a tool with maintaining human expertise is essential.
Conclusions
Theoretical contributions
This study has thoroughly investigated the propensity of medical students to use AIGC tools and the factors influencing this behavior, thereby enriching the theoretical research in this field. Based on standardized path coefficient analysis, the study has revealed the impact mechanisms of seven key factors on medical students’ use of AIGC tools: social influence, perceived risk, performance expectancy, effort expectancy, acceptance of innovative technologies, perceived trust, and facilitating conditions.
The research findings indicate that social influence has a significant positive impact on medical students’ willingness to use AIGC, operating through mechanisms of compliance, internalization, and identification. This highlights the crucial role of the social environment in the dissemination of technology. Performance expectancy and effort expectancy are the strongest drivers for medical students to use AIGC, demonstrating that the ease of use and efficiency of AIGC tools are key reasons for their acceptance. The acceptance of innovative technologies has a certain positive impact on medical students’ use of AIGC, but its effect is not significant due to the specialized and traditional nature of medical education. This suggests that integrating AIGC into medical curricula requires transformative changes in educational culture. Perceived risk does not significantly affect medical students’ willingness to use AIGC, indicating that they focus more on its practical utility and social factors rather than solely on risk perception. Perceived trust also has no significant impact on their willingness to use AIGC, which is related to medical students’ professional knowledge, career uncertainty, and the current state of education and training. This underscores the need for systematic training and practical application of AIGC in the medical field. Facilitating conditions have a significant positive influence on medical students’ use of AIGC, showing that a favorable technological environment and user experience are essential for promoting technology adoption. Moreover, the study found that among traditional Chinese medicine students, effort expectancy has a significant positive impact on performance expectancy. The acceptance of innovative technologies has a significant positive impact on effort expectancy but only a moderate impact on performance expectancy. This suggests a disconnect between medical students’ theoretical acceptance of AIGC and its practical application outcomes. These findings provide new insights into understanding the technology adoption behavior of medical students and offer theoretical support for optimizing the design of AIGC tools and promoting their application in medical education.
Practical implications
Based on the research findings, medical educators, policymakers, and AIGC developers can take targeted actions to advance the application of AIGC in the medical field.
For medical educators, the lack of AIGC training is a pressing issue. The study shows that medical students’ perceived trust in AIGC is disconnected from its actual application effectiveness, and their acceptance of innovation does not significantly enhance their recognition of AIGC’s functionality. This indicates insufficient practical experience with AIGC. Educators should integrate AIGC into the curriculum through specialized training programs that combine clinical cases, allowing students to gain hands-on experience and build trust in AIGC. They should also emphasize AIGC as a complementary tool to traditional education, demonstrating its advantages in improving efficiency and aiding diagnosis. Additionally, educators should invite influential experts and practitioners to share real-world cases, enhancing students’ confidence in new technologies and mitigating uncertainties.
From a policy perspective, the immature application and lack of regulation of AIGC in the medical field affect students’ trust. Policymakers should introduce policies to promote AIGC application while regulating its use to ensure safety and reliability. Establishing industry standards and ethical guidelines can clarify the scope and liability of AIGC, enhancing trust. Policymakers should also support medical education reform, encourage the integration of AIGC into teaching, and foster interdisciplinary collaboration between medicine and technology fields. This will provide students with comprehensive interdisciplinary training and increase their acceptance and application capabilities.
For AIGC developers, the limitations of AIGC in handling complex clinical contexts and individual differences undermine students’ trust. Developers should enhance their understanding of medical needs, optimize algorithms, and improve accuracy and reliability. Collaboration with medical experts can refine AIGC performance to meet actual needs. Developers should also create targeted functional modules, such as personalized learning aids and diagnostic tools, to increase students’ willingness and satisfaction. Additionally, developers should collaborate with educational institutions to AIGC provide systematic training and optimize based on feedback, promoting its widespread application in medical education.
Finally, ethical issues must highly prioritized Medical education should enhance ethical training to cultivate a cautious attitude among students when using AIGC, preventing over-reliance on technology at the expense of professional judgment. Meanwhile, developers and medical institutions must ensure that the design of AIGC tools meets ethical requirements, protects patient privacy, prevents data leakage, and establishes regulatory mechanisms to promptly correct potential ethical problems Additionally, the cautious attitude of medical students towards AIGC also indicates that medical education needs to further strengthen ethical training for emerging technologies, helping students to balance technological innovation with ethical responsibility.
Limitations and future research
Although current research has significant implications, it is not without limitations. Firstly, in order to facilitate data collection, this study used a self-reported questionnaire to collect data. Although this study attempts to standardize the data collection process, errors may arise due to the fact that self-reported surveys heavily rely on human memory (Sudman and Bradburn, 1973). Therefore, in the future, other data collection methods such as experimental methods should be considered and more research on statistical analysis methods in the next phase of the study to further refine the conclusions of this study.
Secondly, this study analyzed the willingness of medical students to use AIGC from the perspectives of UTAUT model, Perceived Risk model, and innovation diffusion theory. In the future, research can combine more characteristics of medical students’ use of AIGC tools to analyze the factors that affect UTAUT under the background of medical students’ willingness to use AIGC, and further explore the factors that affect medical students’ willingness to continue using AIGC.
Additionally, factors such as participants’ digital literacy, prior exposure to AI tools, and levels of institutional support were not fully accounted for in our analysis. These omissions suggest that the results should be interpreted with caution, and future research should address these gaps to provide a more comprehensive understanding.
Finally, the cross-sectional and self-reported nature of the study design raises the risk of common method bias (CMB). Given that all data were collected at a single time point and primarily relied on participants’ self-reports, this may affect the authenticity and accuracy of the relationships between variablessuch as difficulty. Although we did not employ specific diagnostic tools for CMB (Harman’s single-factor test or a theoretically unrelated marker variable) in this study, we were fully aware of this potential issue during the study design and data analysis phases We plan to address this concern in future research by using multiple time points and multiple data sources to further validate our findings and mitigate the impact of this bias.
Data availability
The data sets generated during or analyzed during this study are available from the corresponding author upon reasonable request.
References
Abid H, Mohd J, Pratap RS (2022) An era of ChatGPT as a significant futuristic support tool: a study on features, abilities, and challenges. BenchCouncil Trans Benchmarks Stand Eval 2(4):100089
Agarwal R, Prasad J (1998) A conceptual and operational definition of personal innovativeness in the domain of information technology. Inf Syst Res 9(2):204–215
Al-Adwan AS, Al-Debei MM (2024) The determinants of Gen Z’s metaverse adoption decisions in higher education: Integrating UTAUT2 with personal innovativeness in IT. Educ Inf Technol 29(1):7413–7445
Al-Saedi K, Al-Emran M, Abusham E, El Rahman SA (2019) Mobile payment adoption: A systematic review of the UTAUT model. 2019 International Conference on Fourth Industrial Revolution (ICFIR), 1–5
Azaria A (2023) ChatGPT: More human-like than computer-like, but not necessarily in a good way. Proceedings of the Annual Meeting of the Cognitive Science Society, 45
Baig MI, Yadegaridehkordi E, Shuib L (2024) ChatGPT in higher education: a systematic literature review and research challenges. Int J Educ Res 127:102411
Bauer RA (1960). Consumer behavior as risk taking. In Hancock RS (Ed.), Dynamic marketing for a changing world (pp. 389–398). American Marketing Association
Bonett DG, Woodward JA, Randall E (1987) Estimating the size of closed populations using inverse multiple-recapture sampling. Biometrics 43(4):985–991
Burger B, Kanbach DK, Kraus S, Breier M, Corvello V (2023) On the use of AI-based tools like ChatGPT to support management research. Eur J Innov Manag 26(7):233–241
Cascella M, Montomoli J, Bellini V, Bignami E (2023) Evaluating the feasibility of ChatGPT in healthcare: an analysis of multiple clinical and research scenarios. J Med Syst 47(1):33
Chervenak J, Lieman H, Blanco-Breindel M, Jindal S (2023) The promise and peril of using a large language model to obtain clinical information: ChatGPT performs strongly as a fertility counseling tool with limitations. Fertil Steril 120(3):575–583
Dahlberg T, Guo J, Ondrus J (2015) A critical review of mobile payment research. Electronic Commerce Research and Applications, 14(5):265–284
Van Dis EAM, Bollen J, Zuidema W, van Rooij R, Bockting CL (2023) ChatGPT: five priorities for research. Nature 614(7947):224–226
Dwivedi YK, Rana NP, Jeyaraj A, Clement M, Williams MD (2019) Re-examining the unified theory of acceptance and use of technology (UTAUT): towards a revised theoretical model. Inf Syst Front 21(3):719–734
Dwivedi YK, Kshetri N, Hughes L, Slade EL, Jeyaraj A, Kar AK, Baabdullah AM, Koohang A, Raghavan V, Ahuja M, Albanna H, Albashrawi MA, Al-Busaidi AS, Balakrishnan J, Barlette Y, Basu S, Bose I, Brooks L, Buhalis D, Carter L, Wright R (2023) “So what if ChatGPT wrote it?” Multidisciplinary perspectives on opportunities, challenges and implications of generative conversational AI for research, practice and policy. Int J Inf Manag, 71:102642
Esplugas M (2023) The use of artificial intelligence (AI) to enhance academic communication, education and research: a balanced approach. J Hand Surg 48(8):819–822
Farrokhnia M, Banihashem SK, Noroozi O, Wals A (2023) A SWOT analysis of ChatGPT: Implications for educational practice and research. Innovations in Education and Teaching International 61(3):460–474
Frieder S, Pinchetti L, Griffiths R-R, Salvatori T, Lukasiewicz T, Petersen P, Chevalier A, Berner J (2023) Mathematical capabilities of ChatGPT. In: Oh A, Neumann T, Globerson A, Saenko K, Hardt M, Levine S (eds), Advances in neural information processing systems 36, 27699–27744
Gillath O, Ai T, Branicky MS, Keshmiri S, Davison RB, Spaulding R (2021) Attachment and trust in artificial intelligence. Comput Hum Behav 115(52):1066607. https://doi.org/10.1016/j.chb.2020.106607
Gilson A, Safranek CW, Huang T, Socrates V, Chi L, Taylor RA, Chartash D (2023) How does ChatGPT perform on the United States Medical Licensing Examination (USMLE)? The implications of large language models for medical education and knowledge assessment. JMIR Med Educ 9:e45312
Guo K, Zhan C, Li X (2025) Factors influencing Chinese college students’ intention to use AIGC: a study based on the UTAUT model. Int J Syst Assur Eng Manag 16(4):1663–1677
Hair Joseph F., et al. (1998) Multivariate Data Analysis. 5th ed., Prentice Hall
Hyeon J, Youngsok B (2023) Analyzing ChatGPT adoption drivers with the TOEK framework. Sci Rep 13(1):22606
Jo H (2023) Understanding AI tool engagement: a study of ChatGPT usage and word-of-mouth among university students and office workers. Telemat Inform 85:102060
Kaushik AK, Rahman Z (2014) Perspectives and dimensions of consumer innovativeness: a literature review and future agenda. J Int Consum Mark 26(3):239–263
Kumar JA, Bervell B, Annamalai N, Osman S (2020) Behavioral intention to use mobile learning: Evaluating the role of self-efficacy, subjective norm, and WhatsApp use habit. IEEE Access, 8:208058–208074
Liu S, Wright AP, Patterson BL, Wanderer JP, Turer RW, Nelson SD, McCoy AB, Sittig DF, Wright MC (2023) Assessing the value of ChatGPT for clinical decision support optimization. MedRxiv [Preprint] 2:23286254
Manzhi L, Yaxin Y, Yue R, Xin Z (2024) What influences consumer AI chatbot use intention? An application of the extended technology acceptance model. J Hospit Tour Technol 15(4):667–689
Mohamed AM (2023) Exploring the potential of an AI-based Chatbot (ChatGPT) in enhancing English as a Foreign Language (EFL) teaching: Perceptions of EFL faculty members. Educ Inform Technol 29(3):3195–3217
Moon JW, Kim YG (2001) Extending the TAM for a World-Wide-Web context. Inf Manag 38(4):217–230
Oliveira T, Thomas M, Baptista G, Campos F (2016) Mobile payment: understanding the determinants of customer adoption and intention to recommend the technology. Compu Hum Behav 61:404–414
Pan G, Ye G, Fang S, Chen L (2024) The application of ChatGPT in medical clinical practice and ethical exploration. Chin J Clin Thorac Cardiovasc Surg 31(6):910–914
Poon WC (2008) Users’ adoption of e-banking services: the Malaysian perspective. J Bus Ind Mark, 23(1):59–69
Pritish G, Vineet T (2023) Artificial intelligence and ChatGPT in the legal context. Indian J Med Sci 75(1):1–2
Rejeb A, Rejeb K, Appolloni A, Treiblmaier H, Iranmanesh M (2024) Exploring the impact of ChatGPT on education: a web mining and machine learning approach. Int J Manag Educ 22(1):100932
Rezvani S, Heidari S, Roustapisheh N, Dokhanian S (2022) The effectiveness of system quality, habit, and effort expectation on library application use intention: The mediating role of perceived usefulness, perceived ease of use, and user satisfaction. Int J Bus Inf Syst 40(1):1–18
Rogers EM (2010) Diffusion of innovations. Addict Behav 27(6):989–993
Sallam M (2023) ChatGPT utility in healthcare education, research, and practice: systematic review on the promising perspectives and valid concerns. Healthcare 11(6):887
Sallam M, Salim NA, Barakat M, Al-Mahzoum K, Al-Tammemi AB, Malaeb D, Hallit R, Hallit S (2023) Assessing health students’ attitudes and usage of ChatGPT in Jordan: Validation study. JMIR Med Educ 9:e48254
Soliman M, Ali RA, Khalid J, Saeed MH, Al-Sabaawi MYM (2024) Modelling continuous intention to use generative artificial intelligence as an educational tool among university students: findings from PLS-SEM and ANN. J Comput Educ 12(1):1–32
Sridharan K, Sequeira RP (2024) Artificial intelligence and medical education: application in classroom instruction and student assessment using a pharmacology & therapeutics case study. BMC Med Educ 24(1):431
Sudman S, Bradburn NM (1973) Effects of time and memory factors on response in surveys. J Am Stat Assoc 68(344):805–815
Sun X, Pei Z, Zhang C, Li Y (2021) Design and analysis of a human-machine interaction system for researching human’s dynamic emotion. IEEE Trans Syst Man, Cybern Syst 51(10):6111–6121
Venkatesh V, Davis FD (2000) A theoretical extension of the technology acceptance model: four longitudinal field studies. Manag Sci 46(2):186–204
Wang J, Cao H (2023) The communication characteristics, logic, and paradigm of ChatGPT. J Shenzhen Univ 40(2):144–152
Wang L (2023) Boundary crossing: an experimental study of individual perceptions toward AIGC. J Technol Hum Interact 12(3):45–60
Wang S, Zhang Q (2023) Opportunities and challenges brought by ChatGPT to researchers. Libr Forum 43(3):109–118
Wu Q, Zhang H, Li X (2025) A study on students’ behavioural intention and use behaviour of artificial intelligence-generated content in physical education: Employing an extended unified theory of acceptance and use of technology model. Journal of Hospitality, Leisure, Sport & Tourism Education, 36
Xiangba D, Wang Z, Chang H, Zhao T (2024) Research on intelligent scoring of subjective questions in pharmacology exam based on large-scale language model. China Med Educ Technol 38(5):572–579
Yilmaz H, Maxutov S, Baitekov A, Balta N (2023) Student attitudes towards ChatGPT: a technology acceptance model survey. Int Educ Rev 1:57–83
Zhang H, Liu C, Wang D, Li J (2023) Research on the influencing factors of user intention to use ChatGPT. J Inf Theory Pract 46(4):15–22
Zhang R, Li J, Li B (2024) A study on the use of generative artificial intelligence in personalized English learning: an example of ChatGPT4o. Writ’ World 22:106–109
Zhu Y, Zha X, Yan Y (2020) Research on the influencing factors of continuous use intention of mobile reading apps from the perspectives of user experience and status quo bias. J Natl Libr China 29(6):41–53
Acknowledgements
The authors would like to thank the students who participated in the interview.
Author information
Authors and Affiliations
Contributions
Study conception and design: Huiying Qi.; Suggestions for paper revision and data analysis: Liping Guo. Data collection: Cheng Wang, manuscript writing and preparation: Zuwen Zhou, Huanhuan Qi and Zhuofan Li; Data analysis: Zuwen Zhou; All authors read and approved the manuscript. All authors have read and agreed to the published version of the manuscript.
Corresponding authors
Ethics declarations
Competing interests
The authors declare no competing interests.
Ethical approval
We have implemented a series of measures to safeguard data privacy: all personal information and research data collected have been anonymized to ensure that no individual can be directly identified through the data; the data are stored on secure servers and protected by advanced encryption technologies. All procedures performed in studies involving human participants were in accordance with the ethical standards of the institutional and with the 1964 Helsinki Declaration and its later amendments. The study was approved by the Institutional Review Board (IRB) of Peking University (No. IRB00001052-24025) on May 6, 2024.
Informed consent
Informed consent was obtained from all individual participants included in the study from May 7 to July 15, 2024. Medical Students were given the option to contact the research team before, during, and after the data collection and the option to withdraw their consent and stop participating in the research at any time.
Additional information
Publisher’s note Springer Nature remains neutral with regard to jurisdictional claims in published maps and institutional affiliations.
Supplementary information
Rights and permissions
Open Access This article is licensed under a Creative Commons Attribution 4.0 International License, which permits use, sharing, adaptation, distribution and reproduction in any medium or format, as long as you give appropriate credit to the original author(s) and the source, provide a link to the Creative Commons licence, and indicate if changes were made. The images or other third party material in this article are included in the article’s Creative Commons licence, unless indicated otherwise in a credit line to the material. If material is not included in the article’s Creative Commons licence and your intended use is not permitted by statutory regulation or exceeds the permitted use, you will need to obtain permission directly from the copyright holder. To view a copy of this licence, visit http://creativecommons.org/licenses/by/4.0/.
About this article
Cite this article
Zhou, Z., Qi, H., Li, Z. et al. Unlocking medical students’ adoption of AIGC tools: a multi-theory perspective. Humanit Soc Sci Commun 12, 1870 (2025). https://doi.org/10.1057/s41599-025-06078-y
Received:
Accepted:
Published:
Version of record:
DOI: https://doi.org/10.1057/s41599-025-06078-y




