Abstract
Under the background of global climate change, international trade friction, and a complex and changeable geopolitical situation, the problem of food security has become increasingly prominent. As the foundation of human survival and development, the stability and sustainability of food production are directly related to the economic security, social stability, and people’s well-being of the country. Grain production resilience is not only the stable guarantee of food output, but also the cornerstone of the stable operation of the national economy and society. Based on the panel data of 31 provinces and cities in China from 2004 to 2022, this paper analyzes the spatiotemporal pattern and spatial heterogeneity of grain production resilience in China by using the entropy method, kernel density estimation, standard deviation ellipse, spatial correlation analysis, and geographically weighted regression. The kernel density curve gradually moved to the right, the peak height decreased continuously, and the curve shape changed from “double peak” to “single peak”; the average center was always located in Henan Province and gradually shifted to the north; the standard deviation ellipse was mainly located in the middle and east regions, and the coverage area gradually increased; the grain production resilience had positive spatial correlation, and there was spatial spillover effect in some regions, but the spatial correlation was gradually weakened; The effects of fiscal support to agriculture and agricultural production price index on grain production resilience were significantly negative, and presented a stratified diffusion pattern from north to south and from east to west respectively, while the effects of planting structure and regional market scale on grain production resilience were significantly positive, presenting a stratified diffusion pattern from northwest to southeast and from west to east respectively. Therefore, this paper puts forward the following policy suggestions: one is to strengthen regional coordination and linkage to optimize the spatial development pattern of grain production; the other is to perfect the financial support system to improve the efficiency of fund use; the third is to optimize the planting structure layout to enhance the system’s anti-risk ability; the fourth is to perfect the price control mechanism to stabilize market expectations.
Similar content being viewed by others
Introduction
China, as the largest developing country in the world, uses less than 9% of the world’s arable land to feed nearly 20% of the world’s population (Liu et al. 2021). The report of the 20th National Congress of the Communist Party of China pointed out: “Consolidate the foundation of food security in all directions and ensure that the rice bowl of China people is firmly in their own hands.” At present, China's grain output has achieved the “21 consecutive bumper harvest” of grain production, but it is still facing the global financial crisis (Darnhofer 2021), Global Public Health Event (like COVID-19) (Lioutas and Charatsari 2021), geopolitical conflicts (Adelaja and George 2019), and frequent extreme weather (Cinner et al. 2022; Makate et al. 2019). In addition, grain, as a special commodity, has a small elasticity of demand, which makes the grain production link vulnerable (Cai and Wen 2024). In view of this, how to improve the grain production resilience and strengthen the bottom line of food production security to ensure the stability of grain supply is of great significance to the whole country.
Resilience comes from the Latin for resilience. Resilience comes from ecology, the ability of an ecosystem to absorb shocks and adjust itself to restore its original state after being disturbed (Holling 1973). In the field of physics, “resilience” is used to describe the ability of materials to absorb energy during deformation and fracture under force. Later, it was introduced into psychology, sociology, economics, and other disciplines, and its connotation was continuously expanded. On economic resilience, indicators are mostly constructed from resistance, resilience, and innovation (Cai and Wen 2024; Zhu and Zhang 2024; Jiang et al. 2023) and mainly applied to macroeconomic resilience (Chen et al. 2024), urban economic resilience (Xiong and Wang 2024), tourism economic resilience, etc. (Zhu and Lu 2024); among them, the research on grain supply chain resilience is still in the exploration stage. Tendall et al. (2015) first introduced resilience into grain field, and then scholars clearly deconstructed grain supply chain resilience into three aspects of economic resilience according to Béné (2020) theory; the research on grain production resilience is less and mainly from the perspective of the whole country and main grain producing areas. For example, Jiang et al. (2023), Zheng et al. (2024a, b) and other scholars discussed the spatiotemporal characteristics of grain production resilience in China. Other scholars have studied the grain production resilience of the main grain-producing areas. The influencing factors mainly include the construction of high-standard farmland and agricultural demonstration areas, agricultural science and technology innovation, labor transfer, agricultural productive services, extreme temperature, etc. (Darnhofer 2021; Cai and Wen 2024; Zhu and Zhang 2024; Fan et al. 2024; Gao and Li 2025). Specifically, high-standard farmland construction can promote technological progress, increase the farmland irrigation area and enhance agricultural mechanization (Gao and Li, 2025), promoting agricultural socialized services (Liu and Qin 2024); the construction of agricultural demonstration areas can coordinate regional agricultural resources and make agricultural production factors flow reasonably (Li and Ma 2025), improving agricultural productivity (Zhu et al. 2025), thus improving the grain production resilience. Science and technology are the first productive forces, and the rapid development of agricultural science and technology can not only reduce the use of chemical fertilizers, but also improve the level of agricultural mechanization (Peng et al. 2024), thus enhancing the grain production resilience. Because agriculture is a labor-intensive industry, the labor force is a key factor that cannot be ignored. On the one hand, the aging trend in rural areas is increasing year by year, but this phenomenon can produce a reverse mechanism, resulting in scale effect, mechanical effect and service effect (Cui et al. 2025); on the other hand, the non-agricultural transfer of labor force can promote the moderate scale operation of farmland, thus improving the grain production resilience (Zeng and Cai 2024). In addition, some scholars believe that agricultural productive services can significantly promote grain production resilience, in which scale effect and specialization effect are the main mechanisms (Zhu and Zhang 2024). Another important factor affecting food production is climate change. In recent years, air pollution, global warming, and extreme weather have weakened the resilience and transformation ability of food production (Qin et al. 2025), while financial support for agriculture can effectively mitigate the negative impact of climate change on agricultural production (Ma et al. 2025).
To sum up, the temporal and spatial distribution of grain production and its influencing factors have always been hot issues in academic circles. The existing research provides a good framework for this paper, but there are some shortcomings as follows: First, in the existing research, the influencing factors are mostly from the overall perspective, ignoring the heterogeneity of regional influencing factors, which has certain limitations. Second, the existing literature mainly focuses on standard deviation ellipses, geodetectors, spatial correlation analysis, Theil index, spatial Markov chain and so on (Jiang et al. 2023; Zheng et al. 2024a, b). There are few literatures on heterogeneity analysis of grain production resilience by geographical weighted regression. Third, the sample scope of existing research mostly focuses on a certain province or a certain contiguous region, and lacks data investigation on the whole country. Based on the panel data of 31 provinces (autonomous regions and municipalities) in China from 2004 to 2022, this paper analyzes the spatial heterogeneity of the influencing factors of grain production resilience in China by using entropy method, kernel density estimation, standard deviation ellipse, spatial correlation analysis and geographical weighted regression, so as to provide reference for the government to formulate differential policies on grain production.
The marginal contributions of this paper are as follows: First, it further expands the cognitive dimension of influencing factors of grain production resilience from the perspective of research. Second, a variety of advanced spatial analysis methods have been comprehensively used to promote the in-depth integration and development of geography, economics, and agronomy, contributing to the improvement of the method system in the field of food production research, and promoting more diversified and refined food production research methods. Third, by clarifying the key influencing factors and spatial change characteristics of food production resilience in different regions, it can help to build a more accurate food security early warning system and provide guidance for the formulation of relevant policies. The innovative points of this paper are as follows: First, breaking through the limitations of commonly used methods in existing research, it is the first to systematically combine geographically weighted regression with methods such as the entropy method and kernel density estimation to analyze the spatial heterogeneity of grain production resilience, making a new attempt in the adaptation of methods to grain production research. Second, abandoning the research inertia of focusing on local regions, it is based on the panel data of 31 provinces (autonomous regions and municipalities directly under the central government) in China, and comprehensively explores the spatial heterogeneity of grain production resilience on a macro scale.
Theoretical analysis and research hypotheses
The first law of geography states that there is some correlation between the economic performance of any neighboring area, and the closer the distance, the stronger the spatial correlation (Tobler 1970; Hou and Yao 2019). At present, the research on grain production mainly focuses on its own resource endowment and functional attributes, and there is little research on the spatial spillover effect between regions. In fact, spatial diffusion based on technology, talents, and resources can realize cross-regional connection, thus making the spatial pattern of grain production in China have a significant autocorrelation phenomenon (Zhang et al. 2022). However, due to the expansion of the radiation range, the demonstration effect of grain production gradually weakens, resulting in ripple effect. However, in the long run, the spatial pattern of grain production will converge, resulting in scale effect (Du et al. 2023). In this process, the grain production resilience is continuously enhanced.
The research on grain production resilience in academic circles is mainly divided into two dimensions: resistance and resilience, in which resistance refers to the ability of grain production system to resist the impact of uncertainty. In this paper, it is divided into two secondary indexes: basic security and stability. Basic security of grain depicts the important conditions of grain production and is the guarantee for grain production to proceed smoothly. Therefore, it is mainly measured by effective irrigation area, grain sown area and total power of agricultural machinery. The stability of grain production mainly reflects the current economic base and grain output, and is one of the important indicators to measure the grain production capacity. The more stable the grain output, the stronger the ability of the grain production system to resist risks. Therefore, it is mainly measured by the per capita grain possession, grain output per unit sown area and GDP per capita. Resilience refers to the ability of the grain production system to adjust and recover after being impacted, mainly including two secondary indicators: ecological coordination and recoverability. Ecological coordination describes the coordination relationship between food production system and ecosystem. The higher the coordination degree, the smaller the impact of food production on ecological environment, the smaller the rigid constraint of ecosystem, and the stronger the sustainability of food production. The phenomenon of blindly using chemical fertilizers and pesticides in agricultural production occurs from time to time. This way of increasing grain production with high input factors of production often costs the environment (Luo et al. 2023). Therefore, pesticide use per unit grain planting area, agricultural diesel oil use, chemical fertilizer use, agricultural plastic film use and agricultural water use are mainly selected as negative indicators to measure the ecological harmony of grain production. Recoverability reflects the ability of grain production to recover to normal production level after being impacted, which is mainly reflected in disaster degree and recovery strength, so it is mainly measured by disaster/ affected area, multiple planting index, soil erosion control area and added value of total agricultural output value.
Grain production resilience is affected by various factors, including policy environment, natural conditions, market demand changes and socio-economic factors. This paper selects the proportion of fiscal support to measure the impact of policy environment factors on the spatial pattern of grain production resilience (Cui et al. 2025; Zeng and Cai 2024). For example, increasing support for agricultural infrastructure investment and agricultural research and subsidies for grain farmers can enhance farmers ‘enthusiasm for grain cultivation and ensure the sustainability of grain production. However, if the use of financial support funds is inefficient, the proportion of financial support for agriculture will have an inhibitory effect on grain production resilience. At present, due to the numerous sources of financial funds, decentralized management, lack of strict and effective supervision mechanism for the use of funds, and lack of professional literacy of some personnel responsible for supporting agricultural funds, the effect of using financial funds for supporting agriculture is greatly reduced. In this paper, planting structure was selected to measure the effect of natural conditions on the spatial pattern of grain production resilience (Peng et al. 2024). If the planting structure is too single and excessively dependent on one or a few crops, once major disasters occur to these crops, food production will be easily damaged, resulting in insufficient resilience (Chen et al. 2024). At the same time, scientific and reasonable arrangement of food crops and non-food crops planting structure can ensure a certain amount of food production, thus enhancing the resilience of food production. Third, market demand changes. Changes in market demand will cause frequent changes in the production price of agricultural products, growers are difficult to control income, dare not make long-term stable investment, is not conducive to enhancing the ability of grain production to resist long-term risks, thus affecting grain production resilience, so this paper selects changes in the production price of agricultural products to measure the impact of changes in market demand on the spatial pattern of grain production resilience (Jiang et al. 2023; Zeng and Cai 2024). Fourth, socio-economic factors. Regional market size can directly reflect the economic operation, which is helpful to analyze the overall situation of the market, regional characteristics and commodity supply. This paper selects the regional market size to measure the impact of socio-economic factors on the spatial pattern of grain production resilience. Large market size means stronger grain digestion capacity; growers do not have to worry about output backlog and are willing to expand grain planting area. At the same time, large market size tends to attract related industries, such as grain processing, storage, logistics and other industries will be more developed. A sound industrial chain can better cope with the risks faced by relevant links after grain production, thus indirectly strengthening grain production resilience (Li and Ma 2025).
Based on the above analysis, the following hypotheses are proposed:
H1: The proportion of fiscal support to agriculture has a negative impact on grain production resilience.
H2: Planting structure has a positive impact on grain production resilience.
H3: Changes in agricultural production prices have a negative impact on grain production resilience.
H4: Regional market size has a positive impact on grain production resilience.
Research methods and data sources
Research methods
Entropy method
In this paper, grain production resilience is measured by the entropy method. The entropy method is a relatively objective index weighting method (Zheng et al. 2024a), which can avoid subjective factors to the greatest extent to ensure that the evaluation model is more authentic and objective. The calculation steps are as follows: First, standardize the original data, xij represents the jth evaluation index value of the ith evaluation object. The formulas for the standardization process of positive index and negative index data are shown in (1) and (2), respectively.
After calculating the standardized index Zij value, calculate the index weight, which is expressed by pij, and the specific calculation formula is shown in (3). In the formula, pij indicates the proportion of the jth index of the ith province in the sum of the indicators of all provinces, and n is the number of provinces.
Then, the entropy value and difference coefficient of the jth term are calculated according to (4) and (5). The entropy value is expressed by ej, and the difference coefficient is expressed by gj.
The weights wj for each index are determined from (6).
Finally, calculate the comprehensive score of each index:
In Eq. (7), sij denotes the score of the jth indicator in the ith province, and the larger the value, the higher the grain production resilience.
Kernel density estimation
In this paper, Stata17 and Matlab2024 software are used to estimate kernel density. The Gaussian kernel function is used to analyze the dynamic evolution of grain production resilience in China. The calculation model is as follows:
In Eq. (8), f(x), v, H, respectively, represent the density function, the number of observations and the bandwidth, k(*) represents the Gaussian kernel function, and xi is the observation value of the ith region.
Standard deviational ellipse
Standard deviation ellipse is a statistical method to describe the distribution characteristics of geographical elements of the research object (Zhu et al. 2024). This paper further analyzes the spatial variation of grain production resilience in China by drawing a standard deviation ellipse with ArcGIS 10.8.2 software, and the calculation method is as follows:
In Eq. (9), x and y are the longitude and latitude coordinates of variables, X and Y represent the mean centers, and v is the total number of variables.
Spatial correlation analysis
Spatial autocorrelation is the premise and guarantee of spatial econometric analysis. Only when spatial autocorrelation exists in the study object can spatial correlation modeling analysis be carried out on the data. The spatial correlation test adopts the global Moran index and the local Moran index. Moran index values are between [−1,1]. If it is less than 0, it means negative correlation; if it is greater than 0, it means positive correlation; if it is equal to 0, it means spatial correlation (Zheng et al. 2024a). The global Moran index formula is as follows:
The local Moran index formula is as follows:
In Eqs. (10) and (11), si is the grain production resilience level of region i, \(\bar{s}\) represents the national average grain production resilience level, wij is the spatial weight matrix, and n is the total number of regions.
Geographically weighted regression
Geographically weighted regression introduces spatial location into the ordinary linear regression model, taking into account spatial heterogeneity and unsteady state, making the regression model more reasonable in local areas [20]. Its model formula is:
In Eq. (12), (ui, vi) are the latitude and longitude coordinates of the ith region, βk(ui, vi) is the kth regression parameter of the ith sample, εi is the random error of the ith sample.
Construction of the grain production resilience index system
Based on the research of Zhu and Zhang (2024), Jiang et al. (2023) and Zheng et al. (2024b), this paper adopts comprehensive index system method to construct grain production resilience from two dimensions of resistance and resilience, and divides resistance into basic security and stability; divides resilience into ecological coordination and recoverability, and constructs a national grain production resilience index system with three levels and 15 indicators.
Among them, basic security, as one of the important indexes to measure the grain production resilience, can reflect the kinetic energy and sustainability of grain production to a certain extent, and the stronger the basic security of grain, the stronger the ability to resist external shocks. Good stability can ensure a balanced grain supply and improve the sustainability of grain production. This paper selects per capita grain possession, per capita GDP and grain output per unit sown area to measure. Ecological harmony can provide a good ecological environment for grain production and enhance the impact of extreme weather events on grain production. This paper selects pesticide use per unit grain planting area, agricultural diesel use per unit grain planting area, chemical fertilizer use per unit grain planting area, agricultural plastic film use per unit grain planting area and agricultural water use per unit grain planting area. These indicators reflect the environmental damage and intensification of grain production. Environmental factors can also adversely affect food production. Recoverability measures the core index that the grain production system can recover to the original stable state after suffering external disturbance. Good recoverability ensures the stability of grain supply and enhances the system’s ability to resist risks. This paper selects disaster/disaster area, multiple cropping index, soil erosion control area and agricultural gross output value as measurement indicators, among which disaster/disaster area directly reflects the impact degree of natural risks faced by grain production. The smaller the disaster and disaster area, the more the Multiple cropping index reflects land use efficiency and production potential. A higher multiple cropping index means more output can be achieved on limited land, which enhances the stability and sustainability of the grain production system and is an important embodiment of resilience. This paper expresses the multiple cropping index by the ratio of total crop sown area to cultivated area in a year. The soil erosion control area is related to the basic conditions of agricultural production. The larger the control area, the more effective the improvement of the ecological environment, which can reduce the decline of production capacity caused by soil erosion and ensure the long-term grain production resilience. The added value of agricultural gross output value measures the development capacity of the grain production system from the perspective of economic output. The higher the added value, the higher the growth of the system in response to various challenges, reflecting strong resilience. A comprehensive index system of grain production resilience was constructed and the grain production resilience of 31 provinces (autonomous regions and municipalities) in China from 2004 to 2022 was calculated by the entropy method. The results are shown in Table 1.
Data sources
Considering the lack of data from Hong Kong, Macao, and Taiwan, this paper selects 31 provinces (autonomous regions and municipalities) of China as the research unit, and the research period is from 2004 to 2022. The data are mainly from the China Statistical Yearbook, the China Rural Statistical Yearbook, and the National Bureau of Statistics. Among them, effective irrigation area, grain sown area, grain yield per unit sowing area, Pesticide usage per unit grain sowing area, agricultural diesel usage per unit sown area, fertilizer usage per unit grain sowing area, agricultural plastic film usage per unit sown area, area of soil erosion control, and total cultivated area are from the China Rural Statistical Yearbook. The total power of agricultural machinery, per capita grain possession, per capita GDP, agricultural water consumption per unit grain sowing area, value added of total agricultural output, local financial expenditure on agriculture, forestry and water affairs, total output value of agriculture, forestry, animal husbandry and fishery, total planting area of crops, disaster area, affected area, agricultural product production price index and total retail sales of consumer goods come from the National Bureau of Statistics and China Statistical Yearbook.
Analysis on the spatio-temporal pattern of grain production resilience in China
Temporal characteristics of grain production resilience
It can be seen from Table 2 that from 2004 to 2022, the overall grain production resilience of China showed an upward trend, with the national average level increasing from 0.214 to 0.354, but the overall grain production resilience of China was still relatively low, with an average annual value of only 0.288 from 2004 to 2022, indicating that there is still much room for improvement in grain production resilience in China. From the perspective of each province, the grain production resilience is obviously different in each province, among which Henan, Shandong, and Heilongjiang are the top three provinces, with the average value above 0.49. According to the factor endowment theory, these provinces are located in the north of China, with a superior geographical location and abundant agricultural resources, so the grain production resilience is relatively high. Qinghai and Xizang ranked last, probably because these two provinces are located in arid plateau areas, with backward agricultural infrastructure, less cultivated land, more grasslands, and more constraints on grain production.
The spatiotemporal evolution characteristics of grain production resilience estimated by kernel density are shown in Fig. 1. It can be seen from Fig. 1 that the peak of kernel density gradually shifted to the right from 2004 to the early stage of 2013, indicating that the overall grain production resilience has been improved, which may be due to policy support, scientific and technological investment or improvement of agricultural infrastructure; in the transition period from 2013 to 2016, the peak value reached a relatively stable medium-high resilience range, with concentrated density, reflecting the convergence of regional food production resilience; while in the later stage from 2016 to 2022, the peak value shifted slightly to the left and there are multiple peaks, indicating that the regional heterogeneity of food production resilience is increasing. In terms of dispersion, from 2004 to 2010, the core density curve was wider, reflecting the significant differences in regional food production resilience; from 2010 to 2016, the core density curve narrowed, but the peak value was increasing, indicating that the resilience level of grain production in most regions was improving together and the regional difference was decreasing; from 2016 to 2022, the core density curve widened again, but showed the right tail characteristic, indicating the formation of new regional heterogeneity, which may be impacted by climate anomaly and market fluctuation, resulting in the differentiation of grain production resilience. In the aspect of density peak, grain production resilience changed from low peak value and scattered distribution in the early stage to high and concentrated peak value in the middle stage, and then changed to low peak value and scattered distribution in the late stage, which indicated that grain production resilience experienced a process from disorder to order and then to differentiation.
This kernel density shows spatiotemporal changes in grain production resilience from 2004 to 2022. The x-axis represents resilience, y-axis denotes years (2004–2022), and z-axis indicates index magnitude. Surface contours illustrate its dynamic differentiation and trends over the period.
Spatial characteristics of grain production resilience
This paper divides the years from 2004 to 2022 into four stages, i.e., 2004, 2010, 2016, and 2022. Grain production resilience is divided according to the natural breakpoint method, and the spatial distribution map of grain production resilience in different provinces of China is obtained. From Fig. 2, it can be seen that grain production resilience in all provinces except Xizang and Qinghai provinces has been continuously improved in terms of time. From the spatial perspective, the grain production resilience of Henan Province is always at a high level, above 0.43, among which Hebei Province and Shandong Province joined the high grain production resilience area in 2010; Yunnan Province, Heilongjiang Province, Gansu Province, Jiangsu Province and Hunan Province joined the high grain production resilience area in 2016; Hubei Province joined the high grain production resilience area in 2016, while the grain production resilience of Tibet Autonomous Region and Qinghai Province was always at a low level, below 0.13.
Panels a–d respectively depict the spatial distribution of grain production resilience in 2004, 2010, 2016, and 2022, with the legend in each panel denoting the ranges of grain production resilience.
This paper calculates the standard deviation ellipse and mean center of grain production resilience of China in four stages by using spatial statistical tools in ArcGIS 10.8.2. It can be seen from Fig. 3 that the mean center of grain production resilience of China is always located in Henan Province from 2004 to 2022, and the mean center gradually shifts northward. According to the standard deviation ellipse distribution, the standard deviation ellipse of grain production resilience in China is mainly located in the central and eastern regions, and the spatial distribution pattern of grain production resilience is basically stable, but has a trend of shifting to the northeast, and the coverage area is gradually increasing.
The figure illustrates the spatial distribution and directional trends of the mean centers and standard deviation ellipses of grain production resilience over the study period. The legend denotes the following: red triangle for the 2022 mean center, purple triangle for the 2016 mean center, yellow triangle for the 2010 mean center, cyan triangle for the 2004 mean center; red ellipse for the 2022 standard deviation ellipse, purple ellipse for the 2016 standard deviation ellipse, yellow ellipse for the 2010 standard deviation ellipse, and cyan ellipse for the 2004 standard deviation ellipse. A north arrow and scale bar are included to indicate spatial orientation and distance, respectively.
Spatial autocorrelation analysis of grain production resilience
Based on the geographical distance spatial weight matrix, this paper uses the global Moran index to test the spatial agglomeration characteristics of grain production resilience in China. It can be seen from Table 3 that the global Moran index of grain production resilience in China from 2004 to 2022 is greater than 0, which is relatively significant on the whole, indicating that there is spatial positive correlation in grain production resilience in China, that is, grain production resilience around areas with high grain production resilience is also high, forming high-high agglomeration areas; From the dynamic evolution point of view, the global Moran index fluctuates in three stages: from 0.1563 to 0.1659 from 2004 to 2007, which may be affected by regional synergy promoted by agricultural tax reform; from 2008 to 2016, the fluctuation drops to 0.1404, which is due to the destruction of extreme weather; from 2017 to 2022, it continued to rise to 0.1714, which may be driven by the deepening policy of food security strategy. Spatial agglomeration was significantly enhanced. The index in 2022 increased by 9.7% compared with 2004, and the p value was optimized from 0.0205 to 0.0127, indicating that the differentiation pattern of high-high agglomeration area and low-low agglomeration area was further solidified, and the regional linkage effect was increasingly prominent.
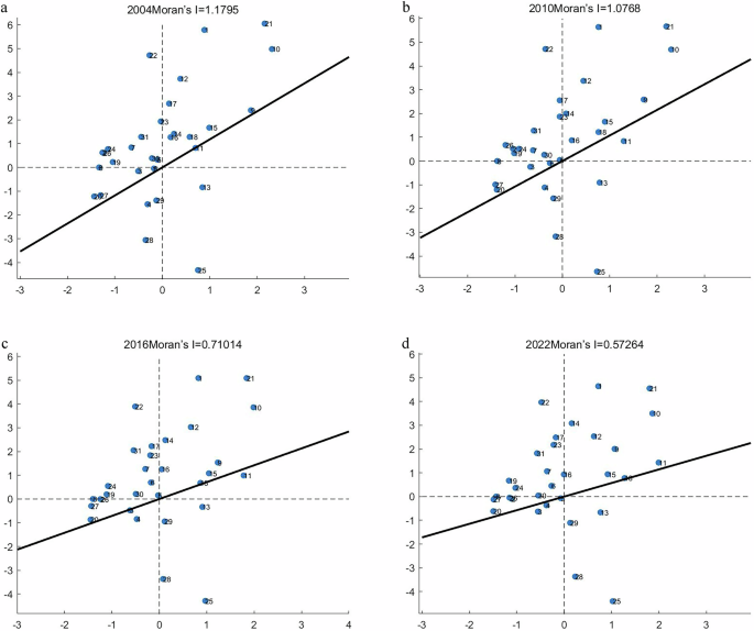
The Moran index of grain production resilience was calculated, and a Moran scatter plot was drawn as shown in Fig. 4. The Moran scatter plot was divided into four quadrants: the first quadrant and the third quadrant represented high agglomeration area and low-low agglomeration area, respectively, and the second quadrant and the fourth quadrant represented low-high agglomeration area and high-low agglomeration area, respectively. As can be seen from Fig. 4, the local Moran index is positive and decreasing from 2004 to 2022, which indicates that there is also a spatial spillover effect in local grain production resilience, but the spatial correlation is gradually weakening. From the distribution point of view, there are fewer provinces located in the fourth quadrant, while more provinces located in the first, second and third quadrants. Henan, Shandong, Heilongjiang, Hebei, Jiangsu, Inner Mongolia, Hubei, Anhui, Jilin and Liaoning provinces are mainly located in high-high agglomeration areas. Most of these provinces are traditional grain-producing areas in China, and the ranking of grain production resilience level in Table 2 is basically consistent. Among them, Heilongjiang, Henan, and Shandong not only have advantages in resource endowment, but also receive strong support from national policies in grain production, thus greatly increasing grain output and producing spatial spillover effects. For example, Jilin, Liaoning, Inner Mongolia and other regions are affected by spatial spillover effects of Heilongjiang, and the economic development level converges with the technical level, finally forming the scale effect of grain production in Northeast China. Jiangsu, Anhui, Hebei, adjacent to Shandong, Xizang, Qinghai, and Gansu provinces are located in low-low agglomeration areas, which are complex in terrain, lack of food production factor resources and difficult to effectively popularize agricultural technology. The provinces located in the low-high agglomeration areas mainly include Chongqing, Guizhou, Shanghai, Shanxi, Ningxia, etc. The neighboring provinces in these areas have high grain production resilience, while the provinces may not form a spatial spillover effect due to natural resource constraints such as less cultivated land area and backward agricultural development. Hunan, as one of the major rice-producing provinces in China, has high grain production resilience and demonstration effect, while Guangxi, Guizhou, and Guangdong, which are adjacent to Hunan, are limited by factor endowment, which makes the demonstration effect gradually weaken and finally forms ripple effect (Du et al. 2023). With the support of national policies, Yunnan and Xinjiang actively implemented the policy of supporting agriculture and benefiting agriculture, and the grain production resilience was gradually strengthened.
Anhui, Beijing, Fujian, Gansu, Guangdong, Guangxi, Guizhou, Hainan, Hebei, Henan, Heilongjiang, Hubei, Hunan, Jilin, Jiangsu, Jiangxi, Liaoning, Inner Mongolia, Ningxia, Qinghai, Shandong, Shanxi, Shaanxi, Shanghai, Sichuan, Tianjin, Tibet, Xinjiang, Yunnan, Zhejiang, Chongqing, respectively, represent numbers from 1 to 31. Panels a–d respectively present the scatter plots for 2004 (Moran’s I = 1.1795), 2010 (Moran’s I = 1.0768), 2016 (Moran’s I = 0.71014), and 2022 (Moran’s I = 0.57264). Each plot illustrates the local spatial autocorrelation of grain production resilience, where points represent provinces. The solid line denotes the Moran scatter trend, and the dashed vertical line at 0 indicates the mean value of the index.
Spatial heterogeneity analysis of factors affecting grain production resilience in China
Variable selection
Referring to the research results of Fan et al. (2024), Cai and Wen (2024), Jiang et al. (2023) and Dong et al. (2024), when constructing the GWR model, this paper selects four indicators, including the proportion of financial support to agriculture (FSA), planting structure (PS), agricultural product production price change (API) and regional market size (LNRMS), as variables to explain grain production resilience. The definitions of variables and descriptive statistics are shown in Table 4.
In order to improve the validity of the model and avoid estimation bias caused by the interaction between variables, OLS and collinearity tests were used to preliminarily evaluate the potential influencing factors to ensure that the variables included in the model had significant influence and were independent of each other. The results are shown in Table 5. The VIF values of each variable in the collinearity results from 2016 to 2022 are all less than 2, indicating that there is no strict multicollinearity between variables. According to the OLS regression results, the proportion of financial support to agriculture (FSA), planting structure (PS), and regional market size (RMS) have significant effects on grain production resilience from 2016 to 2022, except that the agricultural product production price index (API) has no significant effect on grain production resilience in 2020.
Analysis of regression results
Based on OLS and GWR models, this paper analyzes the spatiotemporal relationship of grain production resilience in China from 2016 to 2022. It can be seen from Table 6 that the fitting results of GWR model are better than those of OLS, in which AICc values are larger than those of GWR in 2016, 2018, 2020 and 2022, while the results of goodness of fit R2 and adjusted goodness of fit R2 in OLS are smaller than those of GWR, which indicates that under the same explanatory variables, GWR model can better explain the changes of influencing factors of grain production resilience in China. From 2016 to 2022, the AICc value gradually increases, and the goodness of fit R2 and the adjusted goodness of fit R2 always decrease, which indicates that the fitting effect is good in 2016, and then it shows a downward trend year by year.
Spatial heterogeneity analysis of influencing factors
ArcGIS software is used to visually analyze the regression coefficients of each influencing factor in the GWR model, and the spatial distribution maps of Figs. 5–8 are obtained, so as to further explore the spatial differences of each influencing factor.
Panels a–d respectively present the spatial distribution of FSA regression coefficients in 2016, 2018, 2020, and 2022. The legend in each panel denotes the ranges of FSA regression coefficients, with colors corresponding to specific value intervals. Solid lines represent national boundaries, dash-dot lines indicate the nine-dash line, and small green regions denote south China sea islands. North arrows and scale bars are included to illustrate spatial orientation and distance, respectively.
As shown in Fig. 5, the proportion of fiscal support to agriculture in most regions of China from 2016 to 2022 has a significant negative correlation with grain production resilience. Hypothesis H1 has been verified; that is, the greater the proportion of fiscal support to agriculture, the lower the grain production resilience level in China. Some scholars hold the opposite view, believing that the level of fiscal support to agriculture can directly benefit grain growers and improve their enthusiasm (Cui et al. 2025), but ignore the effectiveness of the use of funds and the law of diminishing marginal effect of financial support on grain production. Specifically, the proportion of operating expenses in the main grain-producing areas was high for a long time, occupying funds that could have been used for farmland infrastructure or science and technology promotion, resulting in the failure of funds to be converted into actual productivity. Secondly, although inclusive subsidies can improve the enthusiasm for grain cultivation in the short term, the marginal effect on grain production will continue to weaken in the long run. When the scale of financial support for agriculture is expanded but the structure is not optimized, the proportion of inefficient subsidies will rise, which will dilute the overall fund efficiency. In terms of time, the regression coefficient gradually increases from 2016 to 2020, which indicates that the negative correlation between the proportion of financial support to agriculture and the grain production resilience in China from 2016 to 2020 is weakening continuously, and the precision of subsidy is improved and the productive expenditure is increased; however, the negative correlation increases continuously from 2020 to 2022, which is due to the outbreak of Xinguan epidemic and the frequent floods in North China and droughts in the Yangtze River Basin. Spatially, the high and high values of the regression coefficient are mainly distributed in the south of China, while the low and low values are mainly distributed in the north and west. Among them, Xinjiang, Inner Mongolia and Heilongjiang have the greatest negative impact on grain production resilience, while Yunnan, Guangxi, Guangdong and Hainan have less impact, showing a stratified diffusion pattern from north to south as a whole. The reason is that agricultural production in the north and west depends heavily on natural conditions, such as drought and little rain in Xinjiang. Financial support for agriculture is concentrated on short-term irrigation facilities investment, so it is difficult to resist the long-term risk of extreme drought. In Inner Mongolia grassland, agriculture and animal husbandry intersect, sand erosion is frequent, financial support for agriculture focuses on grain planting subsidies, which may aggravate grassland degradation and weaken the ecological environment of grain production. Although the Heilongjiang region is “North Dacang”, it has high latitude, short grain growth period, mainly one-season crops, and frequent risks such as low temperature freezing damage and early frost. The increase of financial support for agriculture tends to lead to soil degradation and long-term reduction of grain resilience.
It can be seen from Fig. 6 that there is a significant positive correlation between planting structure and grain production resilience in most areas of China from 2016 to 2022. Hypothesis H2 is verified, that is, the larger the planting structure, the higher the grain production resilience level in China, which is consistent with the research results of previous scholars (Zheng et al. 2024b; Peng et al. 2024), the reason is that the high proportion of grain crops in the planting structure means that agricultural production resources are more concentrated in grain production, promoting the formation of specialized, large-scale and supporting grain production system, laying a foundation for resilience improvement, improving the buffer capacity of grain against market fluctuation, and enhancing the independence of regional grain self-sufficiency capacity. In terms of time, the regression coefficient gradually increases from 2016 to 2022, which indicates that the positive correlation between planting structure and China’s grain production resilience from 2016 to 2022 is increasing, mainly benefiting from the fact that this period is the critical period for deepening China’s food security strategy, and multiple factors promote the positive effect of planting structure on resilience. In space, that high and high value of regression coefficient are mainly distributed in the southeast of China, while the low and low value are mainly distributed in the northwest. Hunan, Jiangxi, Fujian, Guangxi and Guangdong have great influence, showing a stratified diffusion pattern from northwest to southeast, while Xinjiang, Xizang, Gansu, Qinghai, and Inner Mongolia have the least positive influence on grain production resilience, because the southeast region has abundant precipitation, suitable temperature and developed economy. Grain production has sustained and stable conditions. The climate in Northwest China is arid, and most of the cultivated land is dry land and sloping land. The ecological pressure of grain production is great.
Panels a–d respectively present the spatial distribution of PS regression coefficients in 2016, 2018, 2020, and 2022. The legend in each panel denotes the ranges of PS regression coefficients, with colors corresponding to specific value intervals. Solid lines represent national boundaries, dash-dot lines indicate the nine-dash line, and small green regions denote south China sea islands. North arrows and scale bars are included to illustrate spatial orientation and distance, respectively.
It can be seen from Table 5 that the impact of agricultural product production price index (API) on grain production resilience in 2020 is not significant, so the regression coefficient distribution diagram of agricultural product production price index in 2016, 2018 and 2022 is selected, and the results are shown in Fig. 7. There is a significant negative correlation between agricultural product production price index and grain production resilience in most areas of China from 2016 to 2022. Hypothesis H3 has been verified; that is, the larger the agricultural product production price index, the lower the grain production resilience level in China. The reason is that the larger the agricultural product production price index means the violent price fluctuation, which will lead to unstable farmers ‘long-term income expectations for grain production. When the price rises in the short term, farmers may blindly expand production. When prices fall, investment may be sharply reduced due to falling returns. This short-term speculative production will weaken the basic support capacity of grain production, resulting in a reduction in the buffer capacity of the production system for external risks. In addition, if the rise in the agricultural production price index is driven by production costs rather than market demand, the higher the price index, it does not mean that farmers ‘real income is increasing. For example, if the price increase of agricultural materials exceeds the price increase of agricultural products, farmers’ net income may decline instead (Jiang et al. 2023), which will directly hit farmers ‘enthusiasm for food production. In terms of time, the regression coefficient gradually increases from 2016 to 2022, which indicates that the negative correlation between the agricultural product production price index and China’s grain production resilience from 2016 to 2020 is weakening continuously. The reason is that the state stabilizes grain planting income through price support policies and producer subsidies during this period, such as adjustment of the minimum purchase price of rice and wheat, subsidies for corn and soybean producers, promotion of full cost insurance for the three major grain crops, etc. In spatial terms, the high and high values of regression coefficients are mainly distributed in the west of China, while the low and low values are mainly distributed in the east. Among them, Xinjiang, Xizang, Qinghai, Gansu, Yunnan, and Sichuan have less negative impact on grain production resilience, while Heilongjiang, Jilin, Liaoning, Fujian, Shandong, and Zhejiang have the greatest impact, showing a stratified diffusion pattern from east to west, and the high-value areas are increasing continuously. The reason is that the eastern provinces have a higher degree of agricultural marketization, grain production is closely linked with the market, and farmers ‘planting decisions are more sensitive to price fluctuations. However, agricultural production in western provinces is mainly self-sufficient, the commodity rate is relatively low, and the grain crop planting structure is relatively single and adjustment space is limited.
Panels a–d respectively present the spatial distribution of API regression coefficients in 2016, 2018, and 2022. The legend in each panel denotes the ranges of API regression coefficients, with colors corresponding to specific value intervals. Solid lines represent national boundaries, dash-dot lines indicate the nine-dash line, and small green regions denote south China sea islands. North arrows and scale bars are included to illustrate spatial orientation and distance, respectively.
It can be seen from Fig. 8 that there is a significant positive correlation between regional market scale and grain production resilience in most regions of China from 2016 to 2022. Hypothesis H4 has been verified, that is, the larger the regional market scale, the higher the grain production resilience level in China. The reasons are as follows: firstly, the large market can adjust short-term fluctuation, so as to maintain the balance of supply and demand and provide continuous power for grain production; Second, the potential benefits of the large market can attract more capital into the agricultural field and promote the application of technologies such as mechanization, intelligence and water-saving irrigation; third, the scale effect of the large market can reduce the unit cost of grain production and circulation, reduce the production cost of farmers, and further enhance farmers ‘willingness to continue planting. In terms of time, the regression coefficient gradually increases from 2016 to 2018 and from 2020 to 2022, which indicates that the positive correlation between regional market scale and grain production resilience in China is constantly increasing, which benefits from the promotion of agricultural supply-side reform by the state, focusing on reducing corn planting area in non-advantageous producing areas, optimizing grain production structure, deepening the reform of grain storage system, and highlighting the supporting role of market for production resilience. However, the regression coefficient decreases from 2018 to 2020, indicating that the positive correlation has weakened. The reason is that Sino-US trade friction escalated in 2018, and China imposed tariffs on agricultural products such as soybeans and corn in the United States, resulting in a decline in domestic soybean imports and price fluctuations. At the same time, it triggered an increase in price fluctuations of agricultural materials such as chemical fertilizers and pesticides. This external shock broke the original balance between supply and demand in the market, farmers faced pressure from rising agricultural materials costs, and the uncertainty of grain production income increased. On the other hand, the market’s “stabilizer” effect on production is weakened due to the adjustment of acquisition strategy by processing enterprises due to the fluctuation of raw material prices, resulting in the temporary weakening of the correlation between market size and resilience. In space, the high and high values of the regression coefficient are mainly distributed in the east of China, and the low and low values are mainly distributed in the west. Among them, Heilongjiang, Jilin, Liaoning, Shandong, Fujian, Zhejiang, and Anhui have the greatest positive impact on grain production resilience, while Xinjiang, Xizang, Qinghai, Gansu, Chongqing, Yunnan, and Sichuan have less impact, showing a stratified diffusion pattern from west to east, and the low-value areas are shrinking continuously. The reason lies in that the eastern, northeast and east regions are the regions with the earliest market development and the most perfect system in China, with convenient transportation and strong linkage effect of domestic and foreign markets, while the market scale itself in the western region is small and scattered, the circulation efficiency is low, and the market mechanism is difficult to effectively act on production.
Panels a–d respectively present the spatial distribution of lnRMS regression coefficients in 2016, 2018, 2020, and 2022. The legend in each panel denotes the ranges of lnRMS regression coefficients, with colors corresponding to specific value intervals. Solid lines represent national boundaries, dash-dot lines indicate the nine-dash line, and small green regions denote south China sea islands. North arrows and scale bars are included to illustrate spatial orientation and distance, respectively.
Conclusions and recommendations
Conclusions
Based on the panel data of 31 provinces (autonomous regions and municipalities) in China from 2004 to 2022, this paper studies the spatial heterogeneity of influencing factors of grain production resilience in China based on a geographical weighted regression model, and draws the following conclusions:
-
(1)
From the time point of view, the overall grain production resilience of China shows an upward trend from 2004 to 2022, but the overall grain production resilience is still low. The grain production resilience varied significantly among provinces, among which Henan, Shandong, and Heilongjiang were the top three provinces, with mean values above 0.49. The kernel density curve gradually moved to the right, the peak height decreased continuously, showing the right tail characteristics, and the curve shape changed from “double peaks” to “single peak.”
-
(2)
From the spatial point of view, the grain production resilience of other provinces in China continued to improve; only Xizang and Qinghai had no significant improvement. The number of provinces with high resilience is increasing year by year, among which Henan Province is the core area, and the resilience value is stable above 0.43; Hebei and Shandong are among the high resilience areas in 2010; Yunnan, Heilongjiang, Gansu, Jiangsu, Hunan, and Hubei joined in 2016, forming a continuous high resilience pattern. Standard deviation ellipse analysis shows that the average center of grain production resilience in China is always located in Henan Province, but it shows an obvious northward shift trend. This indicates that the role of North China and Northeast China in the stability of grain system is gradually increasing, and the core position of Huang-Huai-Hai Plain needs to be further consolidated. The coverage of standard deviation ellipse is mainly concentrated in the central and eastern regions, and the overall spatial distribution pattern remains stable, but the principal axis of ellipse continues to extend to the northeast, and the coverage area gradually expands. This change reveals that the Northeast Plain is gradually becoming a new high-resilience area, which promotes the development of the national grain production resilience spatial structure to a more balanced direction.
-
(3)
Based on the global Moran index analysis of grain production resilience in China from 2004 to 2022, the results show that there is a significant and continuously increasing spatial positive correlation between grain production resilience, showing a continuous pattern of high resilience area adjacent to high resilience area, low resilience area adjacent to low resilience area, and a significant spatial spillover effect. From 2008 to 2016, the shock dropped to 0.1404 due to extreme weather and non-food degradation; from 2017 to 2022, it continued to rise to 0.1714 under the deepening of the food security strategy. Spatial agglomeration was significantly strengthened; the index increased by 9.7% in 2022 compared with 2004, p value optimized to 0.0127, highlighting the consolidation trend of high-high agglomeration and low-low agglomeration patterns, indicating that regional synergy has become a key path to improve grain system resilience.
-
(4)
Regression analysis of grain production resilience in China using OLS and GWR models showed that the GWR model was better than the OLS model. According to the GWR regression model, the proportion of fiscal support for agriculture and grain production resilience are significantly negatively correlated, indicating that the increase of the proportion of fiscal support for agriculture may reduce resilience, mainly because the proportion of business expenses is too high to occupy productive input, and the long-term marginal benefit of inclusive subsidies decreases, resulting in dilution of capital efficiency. Temporally, the negative correlation weakened due to the increase of subsidy precision and productive expenditure from 2016 to 2020, but strengthened again after 2020 due to COVID-19 and extreme climate. Spatially, the negative impact decreased from north to south, with Xinjiang, Inner Mongolia, and Heilongjiang most affected, and southern provinces such as Yunnan and Guangxi less affected. Planting structure and grain production resilience are significantly positively correlated, because a higher proportion of grain crops can promote the formation of a specialized, large-scale, and coordinated grain production system, and enhance the ability to resist market fluctuations and regional self-sufficiency. In terms of time, the positive correlation continues to increase from 2016 to 2022, benefiting from the deepening of the national food security strategy. The positive effect is strongest in southeast Hunan, Jiangxi, Fujian, Guangdong, and Guangxi, and weakest in northwest Xinjiang, Xizang, Gansu, Qinghai and Inner Mongolia. Temporally, the negative correlation between 2016 and 2022 is weakened due to the stable return of the national price support policy. Spatially, the negative impact decreases from east to west. Heilongjiang, Jilin, Liaoning, Shandong, Fujian, Zhejiang and other eastern major production areas are most affected, while Xinjiang, Xizang, Qinghai, Gansu, Yunnan, Sichuan and other western provinces are less affected. Regional market size is significantly positively correlated with grain production resilience, because market size can adjust supply-demand balance, attract agricultural investment, reduce production and circulation costs, and stabilize farmers ‘willingness to plant. Temporally, the positive correlation increases in 2016–2018 and 2020–2022, but temporarily weakens in 2018–2020 due to agricultural price fluctuations and acquisition instability caused by Sino-US trade frictions. Spatially, the positive effect increased from west to east, with the strongest effect in eastern Heilongjiang, Jilin, Liaoning, Shandong, Zhejiang, Fujian, Anhui and eastern Northeast China, and the weakest effect in western Xinjiang, Xizang, Qinghai, Gansu, Sichuan and Chongqing.
Recommendations
Based on the above conclusions, this paper puts forward the following policy recommendations:
First, strengthen regional coordination and optimize the spatial development pattern. Grain production resilience space has a significant positive correlation, and has the characteristics of “high-high” and “low-low” agglomeration differentiation. Therefore, it is necessary to build a cross-regional coordination mechanism. With Henan as the core, link Hebei, Shandong, Jiangsu and other contiguous high-resilience areas, improve transportation logistics and storage facilities network, and promote cross-provincial flow of production factors. Focus on consolidating the core position of the Huanghuaihai Plain, supporting the rise of the Northeast Plain, establishing a food security cooperation belt from North China to Northeast China, and strengthening regional linkage through technology sharing and capacity complementarity. For low-resilience areas such as Xizang and Qinghai, implement a twinning assistance plan, with Shandong and Heilongjiang provinces providing technical and talent support to gradually narrow regional gaps.
Second, improve the financial support system and improve the efficiency of fund use. The proportion of fiscal support to agriculture has a significant negative impact on grain production resilience, so it is necessary to adjust the expenditure structure, reduce the proportion of administrative expenses, and give priority to the new agricultural support funds to productive fields such as improved seed research and development, high-standard farmland construction, etc. Secondly, implement differentiated subsidy policies. For northern provinces such as Xinjiang and Inner Mongolia, the subsidy standards for agricultural machinery purchase and large grain growers should be improved; for southern provinces such as Yunnan and Guangxi, agricultural insurance premium subsidies should be emphasized. In view of the negative impact of the 2020 pandemic and extreme climate change on agricultural production, emergency fund pools can be established according to local actual conditions to provide targeted subsidies to affected areas. Finally, a mechanism of “determining subsidies according to effectiveness” can be implemented to link subsidies to grain output and quality, so as to avoid the diminishing marginal benefits of inclusive subsidies.
Third, optimize the planting structure layout and enhance the system’s ability to resist risks. In Hunan, Jiangxi, and other southeastern provinces, the functional areas of grain production should be demarcated, the rice-oil rotation model should be popularized, and the multiple cropping index and scale level should be improved. For northwest provinces, local resources should be based on natural endowments, such as developing drought-tolerant cereals in Gansu, expanding high-quality cotton-grain interplanting area in Xinjiang, building cross-regional agricultural science and technology parks, introducing intensive planting technology from southeast China, and improving resource utilization efficiency.
Fourth, improve the price control mechanism to stabilize market expectations. The negative impact of the agricultural production price index on grain production resilience is stronger in eastern China and weaker in western China. Therefore, it is necessary to establish a multi-level grain market price control system. In major producing areas such as northeast and east China, provincial grain price index insurance pilot projects will be established to automatically trigger claims when market prices are lower than cost lines. At the same time, we will improve the minimum purchase price policy, implement “high quality and good price” for wheat and rice, and guide farmers to optimize the variety structure. For western provinces, we need to focus on building a cold chain logistics system for producing areas to reduce the circulation loss of agricultural products, so as to stabilize terminal prices. To cope with extreme weather and trade frictions, we can establish a 30-day emergency reserve mechanism to stabilize market fluctuations through reserve throughput, and regularly issue grain supply and demand warning reports to reduce blindness and information asymmetry in farmers ‘production decision-making.
Fifth, expand the regional market size and strengthen market support. Regional market size is significantly positive for grain production resilience, and the positive effect increases from west to east. Therefore, it is necessary to expand the market size by region. In Heilongjiang, Jilin, Liaoning, Shandong, Zhejiang, Fujian, Anhui and other areas with strong positive effects in eastern and eastern China, we will accelerate the construction of large-scale grain trading markets and logistics hubs, improve online and offline trading platforms, and attract more agricultural investment. We will establish funds to deal with international trade frictions and stabilize agricultural materials supply and acquisition channels. For provinces with a weak role in western China, such as Xinjiang, Xizang, Qinghai, Gansu, Sichuan, and Chongqing, increase investment in grain market infrastructure, build regional storage and distribution centers, and reduce circulation costs. Strengthen docking with eastern markets, establish production and marketing cooperation mechanisms, and broaden sales channels. At the same time, it regularly releases market supply and demand information, guides farmers to adjust production according to market demand, stabilizes planting willingness, and gives full play to the supporting role of market scale on grain production resilience.
Limitations and future research directions
Based on the data of 31 provinces (regions) in China from 2004 to 2022, this paper systematically studies the spatiotemporal evolution characteristics and driving factors of grain production elasticity by using various spatial statistical methods, and puts forward targeted policy suggestions to enhance food security. However, the study has the following limitations:
First of all, although the measurement indicators of grain production resilience cover resistance and resilience, they are not fully incorporated into emerging factors such as digital agriculture and biological breeding, which may not fully describe the connotation of grain production resilience. Secondly, this study only selects four core variables, such as the proportion of financial support to agriculture, planting structure, price changes of agricultural products and regional market size, to study the grain production resilience, without involving external shock factors such as extreme weather event frequency and international trade friction, which may have limited explanatory power to the fluctuation of grain production resilience. Finally, this study takes the provincial administrative region as the research unit, which is difficult to reflect the micro-differences of different counties and topographic regions in the province, and may cover up the local resilience characteristics.
In order to solve these limitations, this study proposes the following aspects to provide a reference for future research. First, expand the index dimension. Include the penetration rate of smart agriculture into the grain production resilience evaluation system, and optimize the index weight with machine learning methods to improve the adaptability to modern grain production systems. Second, introduce external shock variables. Quantify the intensity of shocks such as extreme weather (such as drought and flood) and international food price fluctuations, and comprehensively analyze the dynamic transmission mechanism of shocks on grain production resilience. Third, refine the research scale: use county or township level data, combined with geographic detectors and other methods, to reveal the resilience differences and driving factors of micro-geographical units, providing more fine-grained basis for precise policy. Fourth, strengthen international comparative research. Comparing the resilience characteristics and influencing factors of grain production between China and other major grain-producing countries provides cross-regional reference for global food security governance.
Data availability
The datasets generated during this study are available from the corresponding author on reasonable request.
Change history
22 January 2026
In this article the authors "Yuan Liu" and "Guiyou Zhang" were incorrectly listed as corresponding authors. The original article has been corrected.
05 February 2026
A Correction to this paper has been published: https://doi.org/10.1057/s41599-026-06506-7
References
Adelaja A, George J (2019) Effects of conflict on agriculture: evidence from the Boko Haraminsurgency. World Development
Béné C (2020) Resilience of local food systems and links to food security: a review of some important concepts in the context of COVID-19 and other shocks. Food Security 12(4):805–822. https://doi.org/10.1007/S12571-020-01076-1
Cai LJ, Wen CH (2024) Study on the influence of labor transfer on the resilience of food production based on the evidence of major grain producing areas in China. China Agric Mach Chem J 45(03):313–321. https://doi.org/10.13733/j.jcam.issn.2095-5553.2024.03.041
Chen YH, Zeng MQ, Chen B (2024) Effects of climate change on resilience of grain production: a study on the regulatory effects based on crop diversity. Acta Ecol Sin 44(16):6937–6951. https://doi.org/10.20103/j.stxb.202310152241
Chen YT, Yang ZH, Wen XL (2024) Expectation guidance, economic resilience, and macroeconomic governance. Manag World 40(11):66–88. https://doi.org/10.3969/j.issn.1002-5502.2024.11.005
Cinner JE, Caldwell IR, Thiault L, Ben J, Blanchard JL, Coll M (2022) Potential impacts of climate change on agriculture and fisheries production in 72 tropical coastal communities. Nat Commun 13(01):3530. 10.1038/s41467-022-30991-4
Cui NB, Wang SM, Dong J (2025) The effect of rural labor aging on grain production resilience: a mediating effect based on backward perspective. Agric Modernization Res 46(02):237–247
Darnhofer I (2021) Resilience or how do we enable agricultural systems to ride the waves of unexpected change? Agric Syst 187:102997. https://doi.org/10.1016/j.agsy.2020.102997
Dong YN, Qi CC, Tan MJ, Yang YY (2024) Spatial differences and influencing factors of agricultural resilience in major grain producing areas. China Agric Resour Zoning 45(03):14–25
Du R, Liu SW, Cai R (2023) The evolution characteristics and driving mechanisms of China’s grain spatial production pattern. Econ Issues 528(08):92–102
Fan ZN, Qin CH, Yu S (2024) Research on the impact of extreme temperatures on grain production resilience: a green finance perspective. Chin J Eco Agric 32(05):896–910. https://doi.org/10.12357/cjea.20240088
Gao X, Li QN (2025) Effect of high standard farmland construction on grain productivity toughness and its mechanism. J China Agric Univ 30(08):255–267. https://doi.org/10.11841/j.issn.1007-4333.2025.08.21
Holling CS (1973) Resilience and stability of ecological systems. Annu Rev Ecol Syst 4(1):1–23. https://doi.org/10.1146/annurev.es.04.110173.000245
Hou MY, Yao SB (2019) Convergence and differentiation characteristics of China’s agricultural ecological efficiency from a spatial perspective. China Popul Resour Environ 29(04):116–126. https://doi.org/10.12062/cpre.20181108
Jiang H, Chen Y, Liu ZY (2023) The spatiotemporal pattern and influencing factors of resilience in China’s grain production. Econ Geogr 43(06):126–134. https://doi.org/10.15957/j.cnki.jjdl.2023.06.013
Li SL, Ma L (2025) Mechanism and policy effect of national modern agriculture demonstration area construction on grain production resilience. J Shenzhen Univ Humanit Soc Sci Ed 42(03):5–15
Lioutas ED, Charatsari C (2021) Enhancing the ability of agriculture to cope with major crisesor disasters: what the experience of COVID-19 teaches us. Agric Syst 187:103023. https://doi.org/10.1016/j.agsy.2020.103023
Liu J, Qin F (2024) Study on the impact of high-standard farmland construction on grain production toughness: a quasi-natural experiment based on high-standard farmland construction pilot policy. Agric Econ Manag 15(06):77–90
Liu ZJ, Zhong HM, Li YR, Wen Q, Liu XQ, JIAN YQ (2021) Change in grain production in China and its impacts on spatial supply and demand distributions in recent two decades. J Nat Resour 36(06):1413–1425. https://doi.org/10.31497/zrzyxb.20210605
Luo HP, Wang JC, Hu XY, Li ZY (2023) Coupling study on the vulnerability of food security and ecological security in major grain producing areas. Forum Stat Inf 38(07):117–128. https://doi.org/10.3969/j.issn.1007-3116.2023.07.009
Ma YX, Liu Y, Yu SA (2025) Effects of climate change on agricultural economic resilience-regulatory role of fiscal support for agriculture. J Ecol Agric China 33(01):166–177. https://doi.org/10.12357/cjea.20240361
Makate C, Makate M, Mango N, Siziba S (2019) Increasing resilience of smallholder farmers to climate change through multiple adoption of proven climate-smart agriculture innovations. Lessons from Southern Africa. J Environ Manag 231:858–868. https://doi.org/10.1016/j.jenvman.2018.10.069
Peng CS, Huang XY, Wang P, Zhong Y (2024) The impact of agricultural technological innovation on grain production resilience. Sci Technol Rev 42(16):47–57. https://doi.org/10.3981/j.issn.1000-7857.2024.01.00194
Qin ZH, Hu CY, Fan YL, Ding ZG (2025) Effect of air pollution on grain production resilience. J Agric Environ Sci 44:1–19
Tendall DM, Joerin J, Kopainsky B, Edwards P, Shreck A, Le QB, Kruetli P, Grant M, Six J (2015) Food system resilience: defining the concept. Glob Food Secur 2015(6):17–23. https://doi.org/10.1016/j.gfs.2015.08.001
Tobler WR (1970) A computer movie simulating urban growth in the Detroit region. Econ Geogr 46(1):234–240. https://doi.org/10.2307/143141
Xiong B, Wang ZW (2024) Can the policy of undertaking industrial transfer enhance the economic resilience of the cities receiving it? J Cap Univ Econ Bus 26(06):63–78
Zeng FS, Cai LJ (2024) Theoretical mechanism and empirical test of labor transfer affecting grain production resilience. J South China Agric Univ Soc Sci Ed 23(05):84–94. https://doi.org/10.7671/j.issn.1672-0202.2024.05.008
Zhang QA, Zhang FF, Mai Q, Wu GY (2022) Spatial spillover network and improvement path of China’s grain production efficiency. J Geogr 77(04):996–1008. https://doi.org/10.11821/dlxb202204015
Zheng JC, Zhou SX, Li C (2024a) Resilience measurement, spatiotemporal differentiation and advancing path of grain system in China: based on comparative perspective of three grain functional regions and four economic regions. Agric Resour Reg China 46(01):1–12
Zheng JX, Zhao Y, Wei Z (2024b) Dynamic evolution and trend prediction of grain production resilience based on spatial Markov chain. J Huazhong Agric Univ Soc Sci Ed 171(03):104–117
Zhu H, Qin MZ, Li HY, Wen MQ, Wu H, Xie SH (2024) Analysis of the spatiotemporal pattern evolution and influencing factors of farmland utilization efficiency in Henan Province. J Henan Univ Nat Sci Ed 54(03):338–351
Zhu JM, Lu XL (2024) The mechanism and spatial effects of digital economy in enhancing the resilience of tourism economy. Adv Geogr Sci 43(10):2004–2020. https://doi.org/10.18306/dlkxjz.2024.10.008
Zhu JX, Zhu ZQ, Zhang BJ (2025) Can agricultural industrial park construction improve grain production resilience?—Quasi-natural experiment based on national modern agricultural demonstration area. World Agric 47(03):119–131
Zhu MD, Zhang Q (2024) Agricultural productive services and grain production resilience: impact mechanisms and empirical tests. J Hunan Agric Univ Soc Sci Ed 25(06):1–11
Acknowledgements
This research was funded by the Major Project of Humanities and Social Sciences in University Scientific Research Projects of Anhui Province: Research on Paths and Policies for Accelerating the Development of “Grain-Head and Food-Tail Economy” in Anhui Province (No: 2024AH040312); the Provincial Quality Engineering Project of Colleges and Universities in Anhui Province: Characteristic Major of Agricultural and Forestry Economic Management Serving Ten Emerging Industries (No: 2023sdxx014); and the Key Project of Anhui Provincial Department of Education: Research on Voluntary Services and Rural Mutual Support Pension Models (No: SK2017A0144).
Author information
Authors and Affiliations
Contributions
Yuan Liu wrote the main manuscript text and prepared figures. Xinyu Pu checked the formatting of the article and made revisions. Guiyou Zhang revised the manuscript and offered suggestions. All authors reviewed the manuscript.
Corresponding author
Ethics declarations
Competing interests
The authors declare no competing interests.
Ethical approval
This article does not contain any study with human participants performed by any of the authors.
Informed consent
This article does not contain any study with human participants performed by any of the authors.
Additional information
Publisher’s note Springer Nature remains neutral with regard to jurisdictional claims in published maps and institutional affiliations.
Supplementary information
Rights and permissions
Open Access This article is licensed under a Creative Commons Attribution-NonCommercial-NoDerivatives 4.0 International License, which permits any non-commercial use, sharing, distribution and reproduction in any medium or format, as long as you give appropriate credit to the original author(s) and the source, provide a link to the Creative Commons licence, and indicate if you modified the licensed material. You do not have permission under this licence to share adapted material derived from this article or parts of it. The images or other third party material in this article are included in the article’s Creative Commons licence, unless indicated otherwise in a credit line to the material. If material is not included in the article’s Creative Commons licence and your intended use is not permitted by statutory regulation or exceeds the permitted use, you will need to obtain permission directly from the copyright holder. To view a copy of this licence, visit http://creativecommons.org/licenses/by-nc-nd/4.0/.
About this article
Cite this article
Liu, Y., Pu, X. & Zhang, G. Spatial heterogeneity of grain production resilience and its influencing factors in China: based on geographically weighted regression analysis. Humanit Soc Sci Commun 12, 1952 (2025). https://doi.org/10.1057/s41599-025-06214-8
Received:
Accepted:
Published:
Version of record:
DOI: https://doi.org/10.1057/s41599-025-06214-8










