Abstract
Fungi have evolved different strategies to cope with oxidative stress in competitive environments, however, the understanding of mechanisms that govern antioxidant response specificity and adequacy remains rudimentary. Trichoderma guizhouense NJAU 4742, a biocontrol fungus with strong viability, exhibits notable resistance to oxidative stress. This study characterizes a previously unidentified antioxidant-related Zn2-Cys6 transcription factor, TgZct4, in T. guizhouense based on genomic and transcriptomic profiles. Unlike the well-conserved transcription factors, TgZct4 has a positive role in the regulation of antioxidant response to both low and high concentrations of hydrogen peroxide. TgZct4 responds rapidly to oxidative stress, with its transcript levels showing a positive correlation with increasing hydrogen peroxide concentrations. In addition, TgZct4 is found to modulate T. guizhouense’s defense response by reprogramming antioxidant activity through classic antioxidant enzymes according to transcriptomic analysis. And the catalase TgCat1, regulated by TgZct4, confers protection against oxidative stress either independently or in conjunction with another TgZct4-dependent catalase TgCat2 in T. guizhouense. Overall, this work reveals TgZct4 as an important factor regulating the oxidative stress response in T. guizhouense, which provides valuable insights into fungal stress tolerance mechanisms and may contribute to the future genetic enhancement of this fungi for use as a biological control agent.
Similar content being viewed by others
Introduction
Both single and multicellular organisms rely on anti-stress mechanisms to cope with sudden and potentially lethal changes in the environment. Environmental insults, such as UV stress, heat shock stress, xenobiotics, and pathogen invasion, can increase the production of reactive oxygen species (ROS)1,2. Numerous in vitro approaches have shown that disproportionate and supraphysiological ROS levels are often associated with the principle of oxidative stress, inducing pathogenicity by damaging lipids, proteins, and DNA3,4. However, it has become apparent that ROS are also severe signaling molecules that regulate biological and physiological processes5.
Fungi have evolved to thrive even in the presence of low levels of ROS, which allows them to activate multiple protective responses against competitors and exploit various ecological niches6,7. Conversely, the generation of ROS to levels exceeding the cell’s ability to neutralize these species can lead to oxidative stress and cellular death. Antifungal agents can induce the death of cells by hijacking common oxidative stress mechanisms8,9. Different abiotic stresses are also likely to trigger the formation of ROS, tailoring the acclimation response in fungi10. This high rate of ROS production can be counterbalanced by an equally high level of antioxidant activity. Opportunistic soil-inhabiting fungi have therefore evolved various antioxidant systems, which consist of enzymatic as well as non-enzyme defense systems dedicated to preventing the build-up of intracellular ROS11,12. This response is often intricate and involves cellular reprogramming at the transcriptional, posttranscriptional, and metabolomic levels13. Among the well-studied oxidative stress regulators in fungi, the transcription factors (TFs) Ap1 and Skn7 stand out14.
Trichoderma (Hypocreales, Ascomycota), conventionally described as necrotrophic mycoparastitic fungi, are able to attack plant pathogenic fungi directly to compete for nutrients and/or space and even feed on them15. Trichoderma guizhouense NJAU 4742 (Tg), which can colonize soil and plant rhizosphere, not only significantly promotes the growth of various crops but also effectively controls soil-borne diseases through its robust mycoparasitic capabilities and its ability to induce systemic resistance (ISR) in plants16,17,18,19,20,21. The utilization of Tg is advantageous as it contributes to the reduction of chemical pesticide use and advances the biological control of plant diseases. As mycoparasitic fungus Tg exhibits a remarkable capacity to outcompete and inhibit the growth of another hypocrealean fungus, Fusarium oxysporum, leading to sporadic cell death in the latter. Successful protection against phytopathogenic fungi is secured by the excessive production of hydrogen peroxide (H2O2) through an NADPH oxidase (Nox)22. Furthermore, the production of azaphilones confers higher tolerance to H2O2 in the defense of Tg against F. oxysporum23. In this study, we found that Tg exhibit greater ability to adapt to exogenous H2O2 than several other Trichoderma strains. Interestingly, deleting the well-conserved TFs TgAp1, TgSkn7, TgMsn2, TgMsn4, TgAtf1, and TgAtf2 did not significantly reduce the tolerance to H2O2. Through RNA sequencing, we revealed the induction of previously unreported antioxidant-related TFs by identifying those whose expression was strongly induced in the presence of H2O2. Reverse genetics confirmed their role in manipulating the protection of Tg against oxidative stress, thereby safeguarding the fungus under adverse conditions. Experimental validation confirmed the transcriptional activation and nuclear localization of the identified TF, TgZct4, in response to oxidative stress. Phylogenetic analysis showed that homologous proteins of TgZct4 are widely distributed within the Ascomycota fungal phyla. Furthermore, TgZct4 was discovered to modulate Tg’s defense response by reprogramming transcripts of classic catalases, superoxide dismutases, and peroxidases, as revealed by transcriptomic analysis. As a result, our work shows a previously unidentified transcription factor, TgZct4, as a positive determinant in the antioxidant activity of Tg. Our comprehensive characterization of the oxidative stress response of Tg enhances our understanding of the adaptability and resilience of this opportunistic fungus and thus sheds light on its ecological significance.
Results
Tg exhibits higher tolerance to H2O2, which is independent of the well-known conserved oxidative stress-related TFs
Our earlier research revealed that Tg could produce hydrogen peroxide (H2O2) when it encounters the aerial mycelium of the toxin-producing fungus Fusarium oxysporum f. sp. cubense race 4 Foc422. In this study, we explored how Trichoderma guizhouense NJAU 4742 (Tg) acclimatizes to and grows in an oxidative stress environment. To gain a comprehensive understanding of the response of Tg to oxidative stress, we conducted comparative assessments of the stress tolerance between Tg and several other Trichoderma spp. strains, including Trichoderma virens Gv29-8 (Gv29-8), Trichoderma reesei QM6a (QM6a), and Trichoderma harzianum CBS226.95 (CBS226.95). We monitored the growth of all tested strains during exposure to varying concentrations of H2O2 (0, 5, 10, 20, and 40 mM) in glucose synthetic medium (GSM). Both Tg and Gv29-8 exhibited remarkable tolerance to H2O2 in the darkness, surviving even in the presence of 40 mM H2O2. In contrast, CBS226.95 and QM6a were susceptible to H2O2 on GSM, even at the relatively low concentration of 5 mM H2O2, and their colonial morphology became significantly weaker as a result of exposure to H2O2 (Fig. 1A, B). Notably, QM6a exhibited significantly impaired mycelial growth on GSM medium without H2O2. Potato dextrose agar (PDA) media was also tested. Compared to Tg, Gv29-8, and CBS226.95, QM6a demonstrated significantly weaker resistance to H2O2. When exposed to 40 mM H2O2 for 45 h, the growth of QM6a was completely inhibited, with only the inoculation column visible on the plates, whereas the inhibition rates of Tg, Gv29-8, and CBS226.95 were 40.26, 41.56, and 42.37% respectively (Supplementary Fig. 1A, B). These findings indicated that Tg has the ability to resist high concentrations of exogenous H2O2.
A Colony morphology of Tg (T. guizhouense), Gv29-8 (T. virens), CBS226.95 (T. harzianum), and Qm6a (T. reesei) cultivated on GSM plates supplemented with 0, 5, 10, 20, and 40 mM H2O2 at 25 °C for 42 h in the darkness. B The relative inhibition rates of mycelial growth of Tg, Gv29-8, CBS226.95 and Qm6a on GSM plates in the presence of 0, 5, 10, 20, and 40 mM H2O2 cultivated for 42 h (n = 6 biologically independent samples). C Colony morphology of the Tg WT, ΔTgap1, ΔTgskn7, ΔTgatf1, and ΔTgatf2 strains incubated on GSM plates supplemented with 0, 5, 10, 20, and 40 mM H2O2 at 25 °C for 42 h in the darkness. The deletion mutant of Tgatf1 was retrieved from Li et al.80. D The relative inhibition rates of mycelial growth of Tg WT, ΔTgap1, ΔTgskn7, ΔTgatf1, and ΔTgatf2 strains in the presence of 0, 5, 10, 20, and 40 mM H2O2 cultivated for 42 h (n = 6). The bars show the average values for each factor, and the error bars represent the 1.96 * Standard Error for the Sample Mean. Different lowercase letters (a, b, c, d) indicate statistically significant differences at P < 0.05 in the growth of selected strains under the same concentration, based on one-way ANOVA followed by Tukey’s HSD test. The letters were assigned in descending order of sample means. Strains sharing the same letter were not significantly different. Exact P-values were provided in Supplementary Data 6.
In fungi, several highly conserved TFs, such as Yap1, Skn7, Msn2, Msn4, Atf1, and Atf2, play a central role in the regulation of oxidative stress12. In this study, homologous genes of these well-known conserved TFs were found in the genome of Tg and named Tgap1, Tgskn7, Tgmsn2, Tgmsn4, Tgatf1, and Tgatf2. BLAST analysis revealed that Tgmsn2 and Tgmsn4 share identical sequences, indicating they represent the same gene, hereafter referred to as Tgmsn2/Tgmsn4. Multiple sequence alignments indicated that these TFs in Tg show high similarities to their homologs in several filamentous fungi. However, both Yap1 and Skn7 homologous sequences showed low similarity ( ≤ 35%) between Tg and Saccharomyces cerevisiae. And the gene with homology to Msn2 and Msn4 in Tg also shared low similarity to msn2 and msn4 genes in Aspergillus (Supplementary Fig. 2). Furthermore, the absence of Tgmsn2/Tgmsn4 caused defective growth of Tg on the PDA plates (Supplementary Fig. 1C). Deletion of the genes Tgap1 and Tgatf2 in Tg did not distinctly alter its tolerance to H2O2 stress on the GSM plates, while the deletion of the gene Tgskn7 only marginally impaired the tolerance. The inhibition rate of the deletion mutant ΔTgskn7 increased by 10.12% compared to wild type (Tg WT) in the presence of 5 mM H2O2. In the presence of 10 mM H2O2, the increase was 6.85%. However, no significant difference in the inhibition rate of ΔTgskn7 compared to Tg WT was observed in the presence of 20 mM H2O2 (Fig. 1C, D). Interestingly, loss of the homologous gene of atf1 impaired the growth of Tg on GSM plates routinely cultured in an environment without stress, while the growth on PDA plates remained healthy (Fig. 1C, Supplementary Fig. 1C). Additionally, deletion of the gene Tgatf1 in Tg obviously impaired the tolerance of the strain to H2O2 stress on the PDA plates (Supplementary Fig. 1D, E). These results indicated that the functions of well-studied TFs have diverged significantly among fungi and that previously unknown TFs involved in the detection of oxidative signals need to be identified and characterized in fungi.
Transcriptomic analysis identified two uncharacterized transcription factors that are putatively involved in regulating oxidative stress
To investigate how Tg responds and adapts to high oxidative stress, the TFs involved in regulating the stress response were probed by RNA sequencing. We analyzed mycelial samples under different conditions, namely, untreated mycelia (0 mM H2O2) and mycelia treated with H2O2 (10, 20, and 40 mM) for varying durations (0.5, 1, and 2 h), to perform a comprehensive screen of functional TFs involved in the tolerance to H2O2. In this dataset, a total of 11,366 genes were identified, and approximately 87.53% of these corresponding to the exons of the Tg genome were referred to as known genes, while the remainder that could not be accurately mapped to annotated genes on the Tg genome were defined as new genes. Nonmetric multidimensional scaling (NMDS) tests showed that both the duration and concentration of H2O2 exposure could affect the expression of genes in Tg (Supplementary Fig. 3A). The number of genes with detectable transcript levels under normal conditions was slightly lower than that detected at the middle response stage (after exposure to H2O2 for 1 h), and more than 85% of genes identified in the dataset were expressed in each group (Supplementary Fig. 3B). We defined genes with FPKM ≥ 50 as highly expressed genes (Supplementary Data 1).
Exposure to H2O2 stress induced significant reprogramming of gene expression in Tg, and genes were considered differentially expressed if they met the following criteria: |log2FoldChange | ≥ 2 and FDR ≤ 0.01 in the treatment group compared with the corresponding control group treated with 0 mM H2O2. As expected, the highest concentrations of H2O2 had the greatest effect on gene expression patterns during the initial response phases (after exposure to H2O2 for 0.5 h), the middle response phases (after exposure to H2O2 for 1 h), and adaptation response phases (after exposure to H2O2 for 2 h), resulting in the most substantial changes in gene expression (Supplementary Fig. 3C, D). Interestingly, the highest number of differentially expressed genes (DEGs) was detected in the initial H2O2 exposure period (after exposure to H2O2 for 0.5 h) with all three tested concentrations, and 2194, 3084, and 4231 DEGs were obtained at this time point with H2O2 concentrations of 10, 20, and 40 mM, respectively. The number of DEGs decreased with increases in the exposure time. Surprisingly, a comparison of the DEGs identified after exposure to 20 mM H2O2 for different exposure durations revealed little difference in the number of DEGs between the middle exposure period (after exposure to H2O2 for 1 h, 1639 DEGs) and the adaptation response period (after exposure to H2O2 for 2 h, 1748 DEGs) (Supplementary Fig. 3C). Notably, the transcriptional response represented a dynamic and global alteration in the gene expression profile throughout the exposure of Tg to H2O2, and a more pronounced response was detected at the initial response phase compared to the adaptation response phase (Supplementary Fig. 3D).
To gain a comprehensive understanding of the response of Tg to H2O2, we analyzed the TFs responsible for the detected global transcriptional changes with a particular focus on the upregulated TFs. A total of 516 genes were annotated as TFs in the transcriptome in reference to the Tg genome (Fig. 2A), and these included putative TFs and homologs of well-conserved TFs. Remarkably, the differential expression pattern of TFs was similar to that of DEGs (Fig. 2A; Supplementary Fig. 3C).
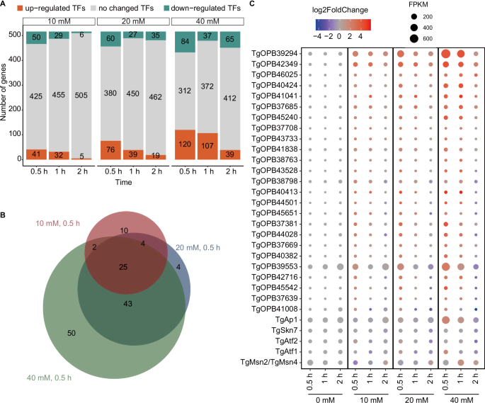
A The count of TFs identified in the transcriptome was assessed following Tg exposure to 10, 20, and 40 mM H2O2 for 0.5, 1, and 2 h, in comparison to the control without H2O2. B Venn diagrams show the intersection of the upregulated TFs in Tg following exposure to 10, 20, and 40 mM H2O2 for 0.5 h compared to those in Tg without H2O2. C The transcriptional levels of the 25 TFs found in Venn diagrams and five well-conserved TFs were examined in the Tg strain on GSM plates supplemented with 10, 20, and 40 mM H2O2 for 0.5, 1, and 2 h, in comparison to the control without H2O2. These 25 TFs were upregulated and identified as overlapping among three independent experiments of Tg exposed to 10, 20, and 40 mM H2O2 for 0.5 h, compared to the control without H2O2. The numbers in the sub-divided barplot columns and Venn diagram indicate the number of genes in the corresponding group.
During the H2O2 response period (exposure to H2O2 for 0.5 and 1 h), the number of upregulated TFs generally exceeded the number of downregulated TFs, whereas during the H2O2 adaptation response period (exposure for 2 h), the number of upregulated TFs was lower than that of downregulated TFs. The largest number of differentially expressed TFs was detected at each initial response stage (Fig. 2A). Moreover, 25 of the upregulated TFs were found during the initial response phase to H2O2 exposure, showing overlap across three tested concentrations (Fig. 2B). The expression patterns of these TFs regulated by the H2O2 response and TFs TgAp1, TgSkn7, TgMsn2/TgMsn4, TgAtf1, and TgAtf2 were further analyzed to identify specific TFs involved in the tolerance to H2O2. Among these 25 upregulated TFs, three putative TFs (TgOPB42349, TgOPB39553, and TgOPB39294) displayed consistently high expression levels during exposure to all three tested H2O2 concentrations. Moreover, TgOPB42349 and TgOPB39294, which are named Tgzct4 and Tgzct6, respectively, were always upregulated at all three tested time points across all concentrations, whereas TgOPB39553 was upregulated in the initial H2O2 response phase (Fig. 2C). In contrast, the transcripts of Tgap1, Tgskn7, Tgmsn2/Tgmsn4, Tgatf1, and Tgatf2 involved in the oxidative stress response did not display obvious increases under 10 and 20 mM H2O2, while Tgap1, Tgmsn2/Tgmsn4, and Tgatf1 displayed significantly upregulated expression under 40 mM H2O2 (Fig. 2C). These results suggested that the Tgzct4 and Tgzct6 genes are rapidly and persistently activated within 2 h, which means that putative transcriptional factors TgZct4 and TgZct6 might actively participate in the transcriptional responses throughout the duration of Tg exposure to H2O2.
Absence of Tgzct4 leads to remarkable sensitivity to oxidative stress in Tg
To test whether TFs TgZct4 and TgZct6 would play an active role in the tolerance of Tg to H2O2, the Tgzct4 and Tgzct6 genes were knocked out through homologous recombination. The Tgzct4 deletion mutant and the Tgzct6 deletion mutant were verified using Southern blotting (Supplementary Fig. 4B, C). The participation of Tgzct4 and Tgzct6 in the resistance to oxidative stress was investigated by comparing the growth of the wild type (Tg WT) with that of the deletion mutants in the presence of the oxidative stress. As expected, the mycelia of the ΔTgzct4 and ΔTgzct6 mutants were more susceptible to H2O2 than those of the Tg WT strain. The inhibition rates of ΔTgzct4 and ΔTgzct6 increased by 31.89 and 13.21%, respectively, compared to Tg WT in the presence of 10 mM H2O2. In the presence of 20 mM H2O2, respective increases were 18.76 and 9.09%. It is worth noting that the ΔTgzct6 mutant mycelia exhibited weaker sensitivity to H2O2 than the ΔTgzct4 mutant mycelia. The inhibition rates of ΔTgzct6 were reduced by 18.67% compared to ΔTgzct4 mutant in the presence of 10 mM H2O2 (Fig. 3A, B). Furthermore, we conducted an experiment to examine the ability to rescue the susceptibility phenotype of the ΔTgzct4 and ΔTgzct6 mutants. The Tgzct4 complementary mutant (ΔTgzct4::Tgzct4) and Tgzct6 complementary mutant (ΔTgzct6::Tgzct6) were constructed with their native promoters in Tg. Reverse transcription-quantitative PCR (RT‒qPCR) revealed that the transcription of the Tgzct4 gene in ΔTgzct4::Tgzct4 mutant under 10 mM H2O2 exposure showed more than twofold improvement compared with that in the Tg WT strain (Supplementary Fig. 4A). Accordingly, the expression of the wild-type Tgzct4 gene was able to rescue the observed susceptibility phenotype of ΔTgzct4 to H2O2 (Fig. 3A, B). Similarly, expression of the wild-type Tgzct6 gene was able to complement the sensitivity of the ΔTgzct6 mutant against H2O2 (Fig. 3A, B; Supplementary Fig. 4A). Unexpectedly, the opposite phenotypic profile was observed for tolerance to other abiotic stress, such as menadione and antifungal agents, including ketoconazole, amphotericin B, griseofulvin, and terbinafine. The lack of TgZct4 had no effect on the resistance of the Tg strain to these stresses, while the lack of TgZct6 improved the sensitivity of Tg to menadione. Both Tg and its mutants were impaired in growth when exposed to these antifungal agents (Supplementary Fig. 5A, B, C). The findings suggested that TgZct4 possesses the capacity to modulate the tolerance of the Tg strain to H2O2 oxidative stress, and notably, this capability is more robust compared to TgZct6. Further evaluation is needed to explore the role of TgZct4 in regulating known H2O2-inducible target genes.
A Colony morphology of Tg WT, ΔTgzct4, ΔTgzct4::Tgzct4, ΔTgzct6, and ΔTgzct6::Tgzct6 cultivated on GSM plates supplemented with 0, 10, 20, and 40 mM H2O2 at 25 °C for 42 h in the darkness. B The relative inhibition rates of mycelial growth of Tg WT, ΔTgzct4, ΔTgzct4::Tgzct4, ΔTgzct6, and ΔTgzct6::Tgzct6 in the presence of 0, 10, 20, and 40 mM H2O2 cultivated for 42 h (n = 6 biologically independent samples). C Growth of Tg WT, ΔTgzct4 mutant, and ΔTgzct4::Tgzct4 mutant spores in GSM liquid medium with 0, 2.5, 5, 10, 15, and 20 mM H2O2 at 25 °C for 144 h in the darkness. D Growth curve of Tg WT, ΔTgzct4 mutant, and ΔTgzct4::Tgzct4 mutant spores in the presence of 0, 2.5, 5, 10, 15, and 20 mM H2O2 cultivated for 168 h and measured every 12 h (n = 8). The data represented the average values from biological duplications and the 1.96 * Standard Error for the Sample Mean. Different lowercase letters (a, b, c, d, e) indicate statistically significant differences at P < 0.05 in the growth of selected strains under the same concentration, based on one-way ANOVA followed by Tukey’s HSD test. The letters were assigned in descending order of sample means. Strains sharing the same letter were not significantly different. Exact P-values were provided in Supplementary Data 6.
The conidial spore germination was also investigated. Similar results were obtained in GSM liquid media, and the growth rate of the ΔTgzct4 mutant was markedly lower than that of the Tg WT strain in the presence of H2O2 (Fig. 3D). Under oxidative stress, spores of the ΔTgzct4 mutant also showed higher sensitivity, as revealed by greater suppression of conidial germination and subsequent hyphal growth compared with the Tg WT strain (Fig. 3C, D). Microscopic observation revealed that spores of Tg WT germinated after 22 h of incubation under 2.5 mM H2O2, while those of ΔTgzct4 did not (Supplementary Fig. 5D). Notably, in the absence of H2O2, conidial spores of the ΔTgzct4 mutant showed similar germination to the Tg WT, and the hyphal growth of the ΔTgzct4 mutant was indistinguishable from that of the Tg WT (Fig. 3; Supplementary Fig. 5D). These results indicated that TgZct4 is involved in the adaptation of mycelia and conidial spores of Tg to oxidative stress.
To investigate the biological functions of transcriptional factors TgZct4 and TgZct6 of Tg in combating its target hosts, we compared the results of the Tg WT with those of the deletion mutants confronted on plates with Fusarium species, Alternaria alternata, and Botrytis cinerea. The absence of TgZct4 and TgZct6 showed no obvious differences in antagonistic activities. Both ΔTgzct4 and ΔTgzct6 mutants could overgrow the colonies of these host fungi to repress their hyphal growth, similar to Tg WT (Supplementary Fig. 6). It appeared that the knockout of TgZct4 and TgZct6 does not reduce the antagonistic vigor of Tg.
The hypothetical protein TgZct4 is a transcription factor localized in the cell nucleus of Trichoderma under H2O2 oxidative stress
The protein sequence of TgZct4 from the genome of Tg was originally annotated as a hypothetical protein by BLAST analysis of the NCBI. Sequence analysis from Pfam showed that TgZct4 consists of 763 amino acids and harbors a “fungal Zn2-Cys6 binuclear cluster domain” (PF00172.18) in the N-terminus and a “fungal special transcription factor” homology region (PF1195.18) (Fig. 4A). The taxonomic group of the strains containing homologs of this protein was Ascomycota. Forty-two homologous proteins were selected through the BLAST search of the homologous amino acid sequence corresponding to the TgZct4, indicating that these homologs could be broadly codrived across four classes, including Sordariomycetes, Eurotiomycetes, Dothideomycetes, and Leotiomycetes (Supplementary Fig. 7). The results showed that TgZct4 is widely distributed in the ascomycete fungal genus and forms separate clades involving several Trichoderma species, indicating its important role in filamentous fungi.
TgZct4 is a transcription factor involved in the response to oxidative stress. A The TgZct4 amino acid sequence contains a typical Zn2-Cys6 Zinc cluster domain and a fungal-specific transcription factor domain, as revealed by Pfam. B Location of TgZct4 protein in cells. TgZct4-eGFP fusion protein was localized to the nucleus. C Transcriptional activation activity of the TgZct4 protein. The Y2H-BD transformant was used as a negative control. The transformants were streaked on YPDA, SD/Trp-/Agar and SD/Trp-/ X-α-Gal/Agar medium and incubated at 30 °C for 3 days in the darkness.
To further investigate the type and subcellular location of the TgZct4 protein, we generated the TgZct4::eGFP strain in which the native Tgzct4 gene was replaced with the Tgzct4-egfp gene. The subcellular location of the TgZct4-eGFP fusion protein in the hyphae and spores of TgZct4::eGFP was inspected by fluorescence microscopy. Under exposure to H2O2, TgZct4-eGFP was induced and localized to the nucleus, as verified by colocalization with DAPI nuclear staining (Fig. 4B). This result confirmed that oxidative stress directly induces the expression of TgZct4, which accumulates in the nucleus.
To verify that the TgZct4 protein has transcriptional activation activity, GAL4 DNA-binding domain (BD)-TgZct4 fusion plasmids (pBD–TgZct4) were transformed into Y2HGold yeast cells and assayed for their ability to activate transcription of the marker TRP1 gene. A yeast transformant with an empty vector (pBD) was used as a control. Both yeast transformants grew freely in normal medium (YPAD) and were selected by SD medium without tryptophan (SD/-Trp). However, on SD/-Trp medium supplemented with X-α-Gal, yeast transformants carrying pBD–TgZct4 fusion plasmids presented a blue color, whereas the control could not (Fig. 4C). In conclusion, these findings demonstrated that the hypothetical protein TgZct4 functions as a transcription factor with transcriptional activation activity.
Expression of the TF TgZct4 relies on the concentration and duration of H2O2
The expression of Tgzct4 in Tg was measured by RT‒qPCR to further investigate whether Tgzct4 is activated by H2O2 induction. A significant positive correlation was found between the transcriptional level of Tgzct4 and the step-up exogenous H2O2 content (linear model, P < 0.001, R2 = 0.68) in Tg exposed to H2O2 for 0.5 h (Fig. 5A). Furthermore, the dynamic expression of Tgzct4 at various stages in the response to H2O2 was determined by RT‒qPCR (Fig. 5B). The highest increase in the Tgzct4 transcript levels (51-fold) was observed after exposure to 10 mM H2O2 for 0.5 h compared with the corresponding control group without H2O2 treatment for the same duration. Subsequently, the Tgzct4 transcript levels declined significantly. Notably, the expression of TgZct4 remained upregulated throughout the H2O2 response period (exposure to H2O2 for 0.5 and 1 h), the adaptation response period (exposure for 2 h), and the adaptation period (exposure for 4 and 36 h). In contrast, a low expression level of TgZct4 was continuously observed without exogenous H2O2 induction (Fig. 5B).
A Scatterplot of the correlation between the Tgzct4 expression levels and the concentrations of H2O2 (n = 4 biologically independent samples). The relative expression level of Tgzct4 in the Tg strain after cultivation on GSM plates in the presence of 0, 2, 4, 6, 8, 10, 12, 14, 16, 18, and 20 mM H2O2 for 0.5 h. The significance of the differences was calculated by ANOVA. B The relative expression level of Tgzct4 in the Tg strain after cultivation on GSM plates in the presence of 0 and 10 mM H2O2 for 0.5, 1, 2, 4, and 36 h (n = 4). The significance of the differences (***, P-value ≤ 0.001; **, 0.001 < P-value ≤ 0.01; *, 0.01 < P-value ≤ 0.05; ns, not significant) was determined by the T-test. Exact P-values were provided in Supplementary Data 6. The gene expression levels were normalized to those of the internal reference Tgtef. The data represented the average values from four biological duplications and the 1.96 * Standard Error for the Sample Mean.
Role of TgZct4 in the transcriptome-wide changes of Tg in response to H2O2
To gain a deeper understanding of the role of the TF TgZct4 in mediating the oxidative stress response, RNA-sequencing was performed to compare the transcriptome reprogramming between the ΔTgzct4 mutant and Tg WT strain in the presence of 20 mM H2O2 for 0.5 h.
A total of 791 DEGs ( | log2FoldChange | ≥ 2 and FDR ≤ 0.01) were identified in the ΔTgzct4 mutant compared to the Tg WT strain by genome-wide transcriptomic analysis (Supplementary Data 2). The number of downregulated genes (517 genes) was markedly greater than that of upregulated genes (274 genes) (Fig. 6A, B). Among the 517 downregulated genes, 496 downregulated known DEGs that could refer to exons of the Tg genome were further evaluated for downstream analysis.
A Number of DEGs in the ΔTgzct4 mutant on GSM supplemented with 20 mM H2O2 compared with the Tg strain. The genes mapped to the regions of exons on the Tg genome were referred to as known genes, while the genes unannotated on the Tg genome were defined as new genes. The numbers in the sub-divided barplot columns indicate the number of genes in the corresponding group. B Volcano plot of -log10 (FDR) versus log2FoldChange for the detected RNA levels in the Tg WT and ΔTgzct4 mutant. The labeled genes were ranked among the top ten with significant differences, and the DEGs are indicated by dotted lines (no change is indicated between the dotted lines). C Gene Ontology (GO) enrichment of known genes downregulated by Tgzct4. Only terms respectively ranked in the top 10 based on their significance in biological process, cellular component, and molecular function GO categories are shown. The numbers on the right side of the histogram columns represent the number of genes enriched in the corresponding term. D Transcriptional expression of typical antioxidases defense systems in the ΔTgzct4 mutant versus Tg strain exposed to 20 mM H2O2. CAT, catalase; SOD, superoxide dismutase; POD, peroxidase. The inside represents the expression patterns, the outside represents the expression changes.
Gene Ontology (GO) enrichment analysis revealed that the significantly downregulated known genes are related to oxidoreductase activity, antioxidant activity, and housekeeping functions such as ribosome, translation, and peptide metabolic processes (Fig. 6C). While the significantly upregulated known genes were distinctly enriched in glutathione biosynthetic process and transmembrane transport, besides membrane, oxidoreductase activity, and transferase activity (Supplementary Fig. 8). Here, the transcripts of all genes within the antioxidant trigazaphilones biosynthetic gene clusters (trigazaphilones BGCs) exhibited low levels both in the ΔTgzct4 mutant and the Tg WT strain following exposure to 20 mM H2O2 for 0.5 h. Except for TgOPB37947, no significant differences were observed in the expression of these genes between the ΔTgzct4 mutant and Tg WT strain (Supplementary Fig. 9A). Additionally, the transcription of the trigazaphilones BGCs genes underwent a gradual increase as Tg develops. Most of these genes were present in the upregulated transcripts during the middle response stages (exposure to H2O2 for 1 h) of Tg exposure to 10 and 20 mM H2O2. The expression of two core genes encoding transcriptional activators (TgOPB37945 and TgOPB37948) within the trigazaphilones BGCs were found to be repressed during the initial response stages (exposure to H2O2 for 0.5 h) (Supplementary Fig. 9B). It is obvious that the top 10 most significantly changed DEGs are all downregulated in the transcriptome data, and these DEGs include a gene encoding CAT6 (TgOPB37380) and a gene encoding iron-dependent POD (TgOPB45110) (Fig. 6B). Nine out of 31 genes related to detoxifying ROS (TgOPB42210, TgOPB37380, TgOPB45111, TgOPB39159, TgOPB41595, TgOPB46299, TgOPB45110, TgOPB43868, and TgOPB37066), which encode catalases (CATs, 4 out of 9 genes), superoxide dismutases (SODs, 2 out of 5 genes), and peroxidases (PODs, 3 out of 17 genes), respectively, were found to be inhibited in the transcription profile of the ΔTgzct4 mutant compared to that of the Tg WT strain. In particular, genes encoding CATs (TgOPB37380, TgOPB42210 and, TgOPB45111) and POD (TgOPB45110) were markedly downregulated (log2FoldChange ≤ -4) in the transcription profile of the ΔTgzct4 mutant compared with that of the Tg WT strain (Fig. 6D). Moreover, the catalase TgOPB45111 was always upregulated throughout the H2O2 response and adaptation period in the Tg strain, whereas the catalase TgOPB42210 was always detected at a high expression level and could be induced by H2O2 (Supplementary Fig. 10). These results demonstrated that the pathway of TgZct4-mediated oxidative stress resistance is dependent on classic antioxidant enzymes and that the expression of TgOPB42210 and TgOPB45111 is induced by oxidative stress in a TgZct4-dependent manner.
The TgZct4-dependent catalase genes Tgcat1 and Tgcat2 induced by H2O2 stress are important responders to oxidative stress
The above-described results showed that TgZct4 is needed for the adaptation of oxidative stress exerted by H2O2 and that the transcript of catalase TgOPB42210 (TgCat1) and TgOPB45111 (TgCat2) in a TgZct4-dependent manner under oxidative stress. TgCat1 and TgCat2 were predicted to be catalases containing a “catalase domain” and a “catalase-related immune-responsive domain” according to the Pfam database (Figs. 7A, B). Furthermore, the locations of TgCat1 and TgCat2 were in the peroxisomal through CELLO and WoLF PSORT prediction (Supplementary Data 3).
A The TgCat1 amino acid sequence contains a “catalase domain” and a “catalase-related immune-responsive domain”, as revealed by Pfam. B The TgCat2 amino acid sequence contains a “catalase domain” and a “catalase-related immune-responsive domain”, as revealed by Pfam. C Hypersensitivity of the Tg WT, ΔTgcat1-1, ΔTgcat1-2, ΔTgcat2-1, ΔTgcat2-2, ΔTgcat1ΔTgcat2-1, and ΔTgcat1ΔTgcat2-2 strains cultivated on GSM plates supplemented with 0, 10, 20, and 40 mM H2O2 at 25 °C for 42 h in the darkness. D The relative inhibition rates of mycelial growth of Tg WT, ΔTgcat1-1, ΔTgcat1-2, ΔTgcat2-1, ΔTgcat2-2, ΔTgcat1ΔTgcat2-1, and ΔTgcat1ΔTgcat2-2 in the presence of 0, 10, 20, and 40 mM H2O2 cultivated for 42 h (n = 6 biologically independent samples). E Growth of Tg WT, ΔTgcat1-1, ΔTgcat1-2, ΔTgcat2-1, ΔTgcat2-2, ΔTgcat1ΔTgcat2-1, and ΔTgcat1ΔTgcat2-2 strains spores in GSM liquid medium supplemented with 0, 2.5, 5, 10, 15, and 20 mM H2O2 at 25 °C for 144 h in the darkness. F Growth curve of Tg WT, ΔTgcat1-1, ΔTgcat1-2, ΔTgcat2-1, ΔTgcat2-2, ΔTgcat1ΔTgcat2-1, and ΔTgcat1ΔTgcat2-2 strains spores in the presence of 0, 2.5, 5, 10, 15, and 20 mM H2O2 cultivated for 168 h and measured every 12 h (n = 7). ΔTgcat1-1 and ΔTgcat1-2, the single deletion mutants of gene Tgcat1; ΔTgcat2-1 and ΔTgcat2-2, the single deletion mutants of gene Tgcat2; ΔTgcat1ΔTgcat2-1 and ΔTgcat1ΔTgcat2-2, the double deletion mutants of both genes Tgcat1 and Tgcat2. The results are shown as the average values from biological duplications and the 1.96 * Standard Error for the Sample Mean. Different lowercase letters (a, b, c, d) indicate statistically significant differences at P < 0.05 in the growth of selected strains under the same concentration, based on one-way ANOVA followed by Tukey’s HSD test. The letters were assigned in descending order of sample means. Strains sharing the same letter were not significantly different. Exact P-values were provided in Supplementary Data 6.
To functionally analyze the roles of Tgcat1 and Tgcat2 in Tg, these genes were disrupted via homologous recombination, resulting in the generation of deletion mutants. When cultured on GSM medium with exogenous H2O2 below 10 mM, the double deletion mutants of genes Tgcat1 and Tgcat2 (ΔTgcat1ΔTgcat2-1 and ΔTgcat1ΔTgcat2-2) exhibited a higher sensitivity to H2O2 than the Tg WT strain, whereas the single deletion mutants of gene Tgcat1 (ΔTgcat1-4 and ΔTgcat1-5) or Tgcat2 (ΔTgcat2-1 and ΔTgcat2-2) did not show such effects. The inhibition rates of ΔTgcat1ΔTgcat2-1 and ΔTgcat1ΔTgcat2-2 increased by 5.56 and 8.56%, respectively, compared to Tg WT in the presence of 5 mM H2O2. When exposed to 10 mM H2O2, the inhibition rates increased by 8.79 and 11.49%. However, at higher H2O2 concentrations (20 and 40 mM), the lack of gene Tgcat1 or Tgcat2 did not further enhance the growth inhibition of the Tg strain (Fig. 7C, D). Different results were obtained in GSM liquid media with conidium. The lack of gene Tgcat1 significantly slowed down conidia germination and hyphal growth, a phenotype also observed in the double deletion of Tgcat1 and Tgcat2 in Tg under 15 and 20 mM H2O2 (Fig. 7E, F). The single deletion mutants of gene Tgcat2 showed hyphal expansion rates similar to those of the Tg WT strain. Therefore, TgCat1 affects the REDOX balance and protects against oxidative stress alone or jointly with TgCat2 in the Tg strain.
Tgcat2 is a direct target of transcription factor TgZct4 in the H2O2 stress response of Tg
To further validate TgZct4’s transcriptional factor functionality and identify its target genes in the H2O2 response, we performed chromatin immunoprecipitation sequencing (ChIP-Seq) using the TgZct4::eGFP transgenic strain treated with 20 mM H2O2 for 0.5 h. This analysis revealed genome-wide binding profiles of TgZct4 in the presence of H2O2, identifying 1779 total binding peaks distributed across chromosomes, with predominant localization near gene regions (Supplementary Fig. 11A; Supplementary Data 4). Approximately 60.3% of these peaks were located within the promoter regions of RefSeq genes (Fig. 8A). Analysis of all binding peaks by Homer demonstrated strong enrichment of the TgZct4 consensus sequence motif (P ≤ 1e-14), predicting that these are likely binding sites for the transcription factor TgZct4 (Supplementary Fig. 11B). ChIP-Seq specifically identified four high-confidence TgZct4-binding peaks (P ≤ 4.85e-09) near gene Tgcat2 (TgOPB45111), whereas no significant binding was detected near gene Tgcat1 (TgOPB42210) (Fig. 8B; Supplementary Data 4). GO enrichment analysis of potential TgZct4-bound genes revealed significant enrichment of molecular functions related to oxidoreductase activity (acting on peroxide as acceptor), peroxidase activity, and catalase activity (Fig. 8C). Intriguingly, these terms partially overlapped with those enriched among TgZct4-dependent downregulated known DEGs (Figs. 6C,8C). However, only 7.86% of the downregulated known DEGs dependent on TgZct4 overlapped with potential TgZct4-bound genes (Fig. 8D). Together, these findings established that TgZct4 acts as a transcriptional regulator of H2O2-responsive defense genes. While Tgcat2 appeared to be directly regulated by TgZct4, Tgcat1, encoding a TgZct4-dependent catalase, likely underwent indirect regulation. Moreover, TgZct4 was assumed to control multiple biological metabolism processes and the oxidation-reduction process, thereby playing important roles in organismal development and survival under H2O2 stress conditions.
A Pie chart of the genomic distribution of TgZct4-eGFP ChIP-Seq peaks. The percentage of peaks located within each region is shown on the label. B TgOPB45111 (Tgcat2) is located on TgZct4-Bound Chromatin (chromosome LVVK01000005.1). The annotation of peaks corresponding to Tgcat2 is summarized in the following table and visualized using IGV 2.17.4 software. C Top GO-enriched terms for potential TgZct4-binding target genes identified by ChIP-seq. A P-value ≤ 0.01 was used as the significance threshold. The Rich Factor is defined as the ratio of the number of enriched genes to the total number of background genes. D The Venn diagram displayes the intersections of TgZct4-dependent downregulated known DEGs with potential TgZct4-binding target genes in Tg under H2O2 conditions.
Discussion
ROS control many different processes and play an important signaling role in living organisms but are initially considered damaging agents that injure cells24. ROS has the ability to impede the growth of several plant pathogenic fungi, leading to a notable reduction in the viability of both mycelia and spores25. In filamentous fungi, a highly complex and interlaced regulatory network comprising various signaling components and downstream factors have developed for the evasion of oxidative stress-induced killing26,27,28. Nevertheless, this intertwined network is far from being elucidated. Among such components, the positive roles of conserved genes encoding well-known transcription factors (TFs) (including Ap1, Skn7, Msn2, Msn4, Atf1, and Atf2) during exposure to oxidative stress have been observed in many microorganisms, such as yeast, Aspergillus fumigatus, and Magnaporthe oryzae29,30,31. Here, in addition to the abovementioned TFs, we identified as the TF TgZct4 as a manager that ultimately contributes to the balance of cellular redox in Trichoderma guizhouense NJAU 4742 (Tg) by transcriptome and gene editing. Deletion of the Tgzct4 gene in Tg significantly inhibited the growth of hyphae and the germination of spores under hydrogen peroxide (H2O2) stress. We subsequently explored its downstream signals and identified two catalases that play a role in the tolerance of Tg to H2O2. Our results robustly demonstrated that TgZct4, among various components within the regulatory network, leads a previously uncharacterized regulatory approach in response to oxidative stress.
Our study showed that Tg exhibits a strong tolerance to oxidative stress and a stronger ability to defend against H2O2, even at an exceptionally high H2O2 concentration of 40 mM (Fig. 1A). This concentration exceeds the putative biological levels encountered during its interaction with Foc422. Moreover, Tg exhibited broad and stepwise reprogramming of its global transcriptome in response to sudden oxidative insult, and the dynamic changes in programming gradually slowed over time (Supplementary Fig. 3C), in agreement with recent studies indicating the same trend in transcriptomic changes32,33,34,35. We further found that the changes in transcript reprogramming in Tg are gradual during exposure to higher levels of H2O2. The number of differentially expressed genes (DEGs) was generally similar between two of the tested phases (1 h and 2 h) during the exposure of Tg to higher concentrations of H2O2 (20 or 40 mM) (Supplementary Fig. 3C). This observation might be attributed to the fact that stronger stress imposes a greater energy demand and necessitates more extensive gene expression reprogramming, which extends the time needed for cellular adaptation36. This study extended the knowledge of the responses of filamentous fungi to high levels of oxidative stress.
Within this regulatory network, TFs are vital in the response to oxidative stress as well as well-known enzymatic and nonenzymatic defense systems12,37,38. For example, in Candida glabrata, the expression of more than 40% of TF-encoding genes (61 out of 149) changes after H2O2 treatment, and these include known well-conserved regulators (e.g., CgSkn7, CgMsn2, CgMsn4, and CgYap1)39. In this study, we also highlighted the importance of TFs in the response of Tg to oxidative stress. The expression of approximately 204 TF genes, including known well-conserved TFs and putative TFs, were altered by H2O2 stimulation (Fig. 2A). Although these TF-encoding genes are abundant in fungal genomes40,41, the pathways of the most putative TFs involved in the ROS response remain unclear.
Several homologs of known well-conserved regulators involved in the oxidative stress response in Tg, including TgAp1, TgSkn7, TgAtf1, and TgAtf2, were deleted to investigate their effect on the tolerance of Tg to oxidative stress. These regulators are reported as crucial TFs that regulate the transcription of genes and fungal function associated with the H2O2 tolerance in Saccharomyces cerevisiae, Aspergillus nidulans, and Aspergillus fumigatus42,43,44. In Schizosaccharomyces pombe, the Sty1 (Spc1) stress-activated mitogen-activated protein kinase pathway and the Pap1 and Atf1 transcription factors complementarily regulate the response to H2O245. Pap1 activation is observed only with a low level of H2O2, whereas an increase in the H2O2 concentration can strongly trigger the mitogen-activated protein kinase Sty1 pathway and subsequently activate the TF Atf1, which is primarily involved in the response to potentially lethal levels of H2O246,47,48. In addition, Atf1 is a typical transcription factor involved in regulating vegetative growth and development49. It is consistent with our partial findings that the deletion of TgAtf1 in Tg resulted in growth defects with poor nutrition and TgAtf1 appeared to contribute to tolerance against relatively high oxidative stress levels on PDA plates (Fig. 1C; Supplementary Fig. 1D and 1E). The rest of the TFs we studied exhibited minimal involvement in the coping of Tg with oxidative stress (Fig. 1C, D; Supplementary Fig. 1D, E), contrasting with their significant functions in other fungi14,41. TgMsn2/TgMsn4 was found essential for the survival of Tg under favorable conditions (Supplementary Fig. 1C), even though Msn2 and Msn4 act as TFs containing Cys2His2 zinc fingers and have been implicated in the response of yeast to a broad set of environmental stresses, such as oxidative, heat shock or osmotic stress50. Hence, we conjectured the existence of distinctive transcriptional regulatory networks in Tg that operate alongside or independently of well-known regulatory pathways observed in other fungi. This divergence highlighted the potential for regulatory mechanisms underlying oxidative stress tolerance in Tg.
A predicted and previously uncharacterized TF named TgZct4, which contains a Zn2-Cys6 binuclear cluster domain, was found by transcriptomic analysis and identified as a TF via assays of transcriptional activation activity and ChIP-Seq (Figs. 4C, 8A; Supplementary Fig. 11). We found that the expression pattern of Tgzct4 during exposure to H2O2 matches those of the Cgyap1, Cgskn7, and Cgmsn4 genes, which includes a rapid rise within a short period followed by a decrease to the baseline level (Figs. 2C, 5B)39. Contrary to the well-known TFs in filamentous fungi that are differentially activated in response to different H2O2 levels45, the transcripts of TgZct4 respond rapidly regardless of the intensity of oxidative stress. TgZct4 could be promptly activated and continuously transcribed at both low and high concentrations of H2O2. Meanwhile, the expression of Tgzct4 remained consistently upregulated in Tg throughout exposure to H2O2 (Figs. 2C, 5). Additionally, the transcription of TgZct4 was positively associated with the concentration of H2O2 (Fig. 5A). This result suggested that TgZct4 is highly responsive to the level of H2O2, designed not only to induce response and adaptation but also to promote survival by eliciting specific responses.
Based on the data presented in this work, we proposed a model formulated for TgZct4 to regulate H2O2 stress in Tg (Fig. 9). Under oxidative stress, extensive reprogramming of gene expression facilitated by TFs occurs in fungi51,52,53,54. As expected, transcriptomic analysis and ChIP-Seq revealed that the action of antioxidant enzymes (such as catalases, superoxide dismutases, and peroxidases) and antioxidants is repressed in the absence of TgZct4 in the initial H2O2 exposure period (after exposure to H2O2 for 0.5 h). However, the glutathione system, central and best-known in protecting cells from oxidative stress12, was activated. The specific relationship between TgZct4 and the glutathione system remains unclear. Furthermore, the limited overlap between TgZct4-dependent downregulated known DEGs and potential TgZct4-bound genes strongly indicated an indirect regulatory mechanism in addition to a direct regulatory mechanism, possibly involving intermediate transcriptional regulators. Previous studies on the oxidative stress response of filamentous fungi induced by H2O2 show that exogenous H2O2 mainly increases the catalase levels in a cell55. In the current study, we interestingly found that two catalases, TgCat1 (TgOPB45111) and TgCat2 (TgOPB42210), serve as critical antioxidant catalases in Tg, demonstrating radical scavenging activities in a TgZct4-dependent manner (Figs. 6D, 7; Supplementary Fig. 10). Catalases can be categorized into two distinct clades: spore-specific catalase and mycelium-relevant catalases. For instance, one spore-specific catalase (AFLA_056170) and two mycelium-relevant catalases (AFLA_090690 and AFLA_100250) have been found in Aspergillus flavus56. In Aspergillus fumigatus, one catalase (CatAp) present in conidia primarily protects spores from H2O2 damage prior to or during germination, whereas two catalases (Cat1p and Cat2p) are distributed in the mycelium57. The catalase TgCat1 in cooperation with the catalase TgCat2 were capable of providing protection against H2O2 at different stages of the lifecycle containing spores and mycelium in Tg (Fig. 7C–F). Notably, the catalase TgCat1 could effectively combat H2O2 in conidia on its own but not in mycelium. One possible explanation for this observation might be that TgCat2 responds to H2O2 rapidly and transiently, and this response alone can not sustain the adaptation of Tg cells to the stress, but TgCat1 can perform a prolonged activity, allowing for extension of this protective function (Supplementary Fig. 10). Another one might be that TgCat2 is a mycelium-specific catalase, while TgCat1 functions in both mycelium and spores.
The transcriptional factor TgZct4 is able to be activated at the instant in response to H2O2 as well as during adaptation to H2O2, playing a part in detoxifying oxidative stress in Tg. Exposure of Tg to H2O2 promotes the nuclear accumulation of TgZct4. This rapid nuclear accumulation triggers the induction of TgZct4-dependent genes with antioxidant functions, which are vital for fungal development and survival. During Tg’s adaptation to H2O2, the production of antioxidants trigazaphilones is promoted. The pathway during Tg’s immediate response to H2O2 is depicted with a solid black arrow, while the pathway during adaptation is shown with a dotted black arrow. The question mark indicates an unknown aspect of the process.
The TF TgZct4 was found to play an important role in the antioxidant mechanism, safeguarding Tg against H2O2. This function is likely biologically significant, as a few fungi would produce ROS when encountering other fungi or in response to abiotic environmental stresses58,59,60. During the direct confrontation of Trichoderma harzianum with Pythium ultimum, elevated levels of NADPH oxidases are able to lead to an increase in ROS production, enhancing the antagonistic efficacy against P. ultimum61. The trigazaphilones function as part of antioxidant mechanism, safeguarding Tg against the H2O2. In previous research by Pang et al., trigazaphilones are identified as part of the antioxidant mechanism and are implicated in Tg-fungi interactions23. Consistent with the role of trigazaphilones, TgZct4 displayed no obvious contribution to antagonistic activity in Tg against Fusarium, but it exhibited profound antioxidant activity (Supplementary Fig. 6; Fig. 3). The transcript level of Tgzct4 was upregulated in Tg tolerance to 10 mM H2O2 (Fig. 5B). It means that TgZct4, similar to trigazaphilones, may complement the oxidative attack of Tg on Foc4 by enforcing its own antioxidant potential. Interestingly, the expression patterns of genes within the trigazaphilones BGCs and encoding TgZct4 differed clearly in Tg response to H2O2. The precise function of trigazaphilones involved in Tg response to H2O2 remains unclear. Here, the antioxidant trigazaphilones might play a role in inducing the adaptation to H2O2, as their associated genes were predominantly upregulated during the middle response phase (after exposure to H2O2 for 1 h) besides the transcription of these genes underwent a gradual increase and stabilized as Tg grows (Supplementary Fig. 9B). Although the biosynthesis of trigazaphilones was not regulated by TgZct4 during the initial response stage (after exposure to H2O2 for 0.5 h), the expression of catalases, superoxide dismutases, and peroxidases acting as ROS scavengers appeared to be induced by TgZct4 to mitigate the accumulation of toxic intracellular ROS arising from environmental or the host-derived stressors (Supplementary Fig. 9A; Figs. 6C and 6D). Together, these findings illustrated that the TF TgZct4 may operate via pathways distinct from those of the antioxidant trigazaphilones to protect Tg from oxidative stress. This mechanism likely plays a pivotal role in orchestrating sophisticated processes for ROS perception, neutralization, and protection against ROS-induced cellular damage, thereby maintaining physiological redox homeostasis that is crucial for cellular viability and function.
In summary, our study has unveiled a previously uncharacterized transcription factor denoted TgZct4 that serves as a positive regulator of oxidative stress responses, conducive to enhancing the environmental adaptability and competitiveness of the beneficial fungus Tg. This discovery provides valuable insights into the mechanisms through which the H2O2-producing fungus Tg tolerates high levels of oxidative stress due to H2O2. Based on the findings of this study, further research can attempt to decipher how TgZct4 is activated by ROS and identify the specific signaling pathways involved in this process. Additionally, further investigation is needed to explore the pathways regulated by TgZct4 in defending Tg against the H2O2 produced during its interaction with Foc4 and clarify its precise role in this fungal confrontation, hence, providing fresh insights into the mechanisms governing fungal defense against host and contributing to enhancing the fungal biological control potential.
Methods
Fungal strains, growth media, and culture conditions
All filamentous fungal strains were routinely cultured on PDA (BD, Difco Laboratories, USA) at 25 °C in the darkness21, whereas the Y2HGold yeast was performed via routine culture on YPDA (Sangon Biotech, Shanghai, China) at 30 °C in the darkness. Trichoderma guizhouense NJAU 4742 (Tg) was used as the parent strain in the experiments with its isogenic derivatives. All strains used in this study are summarized in Supplementary Table 1. For the stress resistance assays and molecular biological experiments, all the strains were cultured on GSM with 2% (w v-1) agar or in liquid GSM at 25 °C in the darkness. The liquid GSM medium was prepared as follows: 1 g of KNO3, 1 g of KH2PO4, 0.5 g of KCl, 0.5 g of MgSO4, 50 mL of 20% (w v-1) glucose, 10 mL of 1% (w v-1) CaCl2, and 10 mL of a solution of trace elements containing 1.6 g of MnSO4‧H2O, 1.4 g of ZnSO4‧7H2O, 5 g of FeSO4‧7H2O, and 2 g of CoCl2‧6H2O per 1 L of ddH2O, and ddH2O was then added to obtain a final volume of 1 L. The media were adjusted to a pH of 5.5 and sterilized at 115 °C for 30 min, and the solutions of glucose, CaCl2, and trace elements were sterilized by 0.22 μm filters.
Construction of mutants
Genetically modified strains were constructed through homologous recombination according to previously described methods22. The full-length DNA sequences were obtained from the Tg genome database and amplified by PCR with 2× Phanta Max Master Mix (Cat No. P515-02, Vazyme, Nanjing, China). The forward and reverse primers for the sequences are shown in Supplementary Table 2. The PCR products were cloned and inserted into the pMD19-T vector using the ClonExpress MultiS One Step Cloning Kit (Cat No. C113-01, Vazyme, Nanjing, China). Plasmids were amplified in Escherichia coli DH5α and sequenced (Cat No. DLC114, Beijing Tsingke Biotech Co., Ltd., China).
Deletion vectors were obtained using the hygromycin B phosphotransferase cassette (hph) as the selection marker62. Complementary vectors were constructed according to the native promoter and geneticin resistance cassette neo (G418) and used for protoplast transformation of the corresponding deletion mutant23. Double deletion mutants were constructed by crossing single deletion mutants in all possible combinations with hph and G418 resistance cassettes (Supplementary Table 1). To determine the localization of TgZct4, we constructed the TgZct4-eGFP fusion vector under the control of the native promoter of Tgzct4 and inserted this vector into the Trichoderma guizhouense wild type (Tg WT) strain. Putative gene mutants were constructed using the PEG-mediated transformation method and identified by PCR using the 2× Phanta Max Master Mix (Cat No. P515-02, Vazyme, Nanjing, China) and the corresponding primers (Supplementary Table 2). The validated mutants were subjected to three rounds of single-spore purification. The succession of the deletions was confirmed by Southern blotting, whereas the successful preparation of the complementary mutants was confirmed by Reverse transcription-quantitative PCR (RT‒qPCR).
Sensitivity to hydrogen peroxide-induced oxidative stress
The sensitivity to oxidative stress was observed based on mycelia and conidia growth in the presence or absence of H2O2. For mycelial growth assays, the oxidative stress treatments were performed on GSM agar medium supplemented with the stress-initiating agent 30% hydrogen peroxide (H2O2) (final concentrations of 5, 10, 20, and 40 mM), and the control groups were performed on GSM agar medium without H2O2. A fresh mycelium column with a diameter of 5 mm was placed in the center of the GSM agar plate (90 mm), and the morphologies of the strains were observed after 42 h of incubation at 25 °C in the darkness. The colony diameters on six independently replicated plates were measured for each tested strain and concentration, and the growth inhibition of each strain under stress was calculated based on the colony diameter as follows: relative inhibition rates (%) = (colony diameter of the control group - colony diameter of the treatment group)/colony diameter of the control group *100.
For conidia growth assays, fresh spores from the wild type (WT) and respective mutants were washed with sterile water and adjusted to an OD600 (SpectraMax Plus384, USA) of 1.0 corresponding to 107 cells mL-1. Approximately 2 µL of prepared conidial suspension was inoculated into 96-well plates containing 198 µL of GSM liquid medium with H2O2 at final concentrations of 0, 2.5, 5, 10, 15, and 20 mM per well. GSM liquid medium lacking conidia was used as a blank control. All cultures were incubated at 25 °C for 168 h in darkness. The optical density at 750 nm (OD750) was measured every 12 h. At least seven replicates were used for each sample and each concentration, and the averages were published.
Observation of spore germination
Conidia from strains were inoculated into PDB liquid medium with or without 2.5 mM H2O2 at a final conidia concentration of 105 cells mL-1. Then five hundred microlitres of these conidial suspensions were inoculated on a 24 mm square slide and incubated at 28 °C in the darkness. After 12 and 22 h, the PDB was discarded, and the samples retained were observed under an Optical Microscope using 40 Х or 20 Х objective.
Susceptibility assays to other abiotic stress
To determine the roles of the TFs TgZct4 and TgZct6 in Tg resistance to various abiotic stresses, fresh mycelium plugs (5 mm in diameter) from the Tg strain and its mutants were inoculated at the center of GSM agar plates (90 mm), either supplemented or not supplemented with menadione at final concentrations of 30.0 μmol mL−1. Besides this, the strains were also inoculated on the center of the GSM agar plate (60 mm) supplemented with or without antifungal drugs dissolved in dimethyl sulfoxide (DMSO). The tested drugs include ketoconazole (Aladdin) at final concentrations of 10.0 and 20.0 μg ml−1, amphotericin B (Sigma-Aldrich) at 0.4 and 0.8 μg ml−1, griseofulvin (Aladdin) at 8.0 and 12.0 μg ml−1, and terbinafine (Aladdin) at 8.0 and 12.0 μg ml−1. Thereafter, the strains on 90 mm Petri plates were incubated in the darkness at 25 °C for 42 h, while those on 60 mm Petri plates were observed after 64 and 144 h of incubation. The growth inhibition was calculated using the method described in the hydrogen peroxide sensitivity assay, relative inhibition rates (%) = (colony diameter of the control group - colony diameter of the treatment group)/colony diameter of the control group *100.
Dual confrontation assay
To assess the function of TgZct4 in biological antagonistic activity of the Tg strain, a 5 mm diameter column of fresh mycelium from each tested fungus was placed at 2.5 cm from the edge of a 9 cm GSM plate and incubated in the darkness at 25 °C for 2 days. The test fungi include Fusarium oxysporum f. sp. cubense 4 (Foc4), Fusarium fujikuroi (Ff), Fusarium oxysporum (Foc), Alternaria alternata (Aa), and Botrytis cinerea (Bot). Following the initial incubation, a fresh mycelium column of the Tg strain or its mutants was placed on the opposite edge of the plate. These plates were then further incubated in the darkness at 25 °C, and the mycelial morphologies of these strains were observed 10 days post-inoculation. The experiment was performed in triplicate.
RNA-seq analysis
To assess the changes in gene expression induced by H2O2 during Tg development, a transcriptomic analysis of the Tg strain was performed. First, the Tg strain (fresh mycelium column with a diameter of 5 mm) was cultivated on GSM plates covered with cellophane for 36 h, and the cellophane with the strain was then transferred to GSM plates supplemented with or without H2O2 at final concentrations of 10, 20, and 40 mM. The mycelia (1 cm from the edge of a colony) were collected after incubation in the darkness at 25 °C for 0.5, 1, and 2 h. The collected mycelia were immediately frozen in liquid nitrogen, and RNA extraction, cDNA synthesis, library preparation, deep sequencing, and quality evaluation were performed at Mega Genomics (China). Three biological replicates of each group were used for RNA sequencing.
To explore the regulation of gene expression by TgZct4 during the exposure of the Tg strain to H2O2, a transcriptomic analysis of the Tg WT and ΔTgzct4 mutant strains was performed. The method was similar to the transcriptome of the Tg strain response to H2O2. Strains were cultivated on GSM plates for 36 h, and then transferred to GSM plates supplemented with or without 20 mM H2O2 for 0.5 h in the darkness at 25 °C. The mycelia (1 cm from the edge of a colony) were collected after incubation in the darkness at 25 °C for 0.5 h. All mycelia were collected and immediately frozen in liquid nitrogen, and RNA extraction, cDNA synthesis, library preparation, deep sequencing, and quality evaluation were performed at Gene Denovo Biotechnology Co. (Guangzhou, China). Three biological replicates of each group were used for RNA sequencing.
Total RNA was extracted using Trizol reagent kit (Invitrogen, Carlsbad, CA, USA) following the manufacturer’s instructions. RNA quality was assessed on an Agilent 2100 Bioanalyzer (Agilent Technologies, Palo Alto, CA, USA) and examined using RNase-free agarose gel electrophoresis. Eukaryotic mRNA was enriched using Oligo (dT) beads. Then the enriched mRNA was fragmented into short fragments using the fragmentation buffer and reverse transcribed into cDNA with random primers. Second-strand cDNA was synthesized by DNA polymerase I, RNase H, dNTP and buffer. The cDNA fragments were purified with QiaQuick PCR extraction kit (Qiagen, Venlo, The Netherlands), end-repaired, A-tailed, and ligated to Illumina sequencing adapters. Following size selection by agarose gel electrophoresis and PCR amplification, libraries were sequenced on the Illumina NovaSeq 6000 platform.
Filtered raw fastq sequences were mapped to the reference genome of Tg (https://www.ncbi.nlm.nih.gov/assembly/GCA_002022785.1/) using HISAT263,64. The rRNA reads were removed by short reads alignment tool Bowtie265. The clean reads were deposited in the Sequence Read Archive of NCBI under the accession numbers PRJNA1044388 and PRJNA1044386. These reads of each sample were assembled using StringTie and then compared with the known gene model of Tg66,67. The genes mapped to the exons of the Tg genome were referred to as known genes, while the genes unannotated on the reference genome were defined as new genes. For differential gene expression analysis, the log2FoldChange, and false discovery rate (FDR) were obtained using the R package DESeq268 based on the matrix of counts for each gene in the control and H2O2 treatment samples. FPKM was used to normalize the effects of different gene lengths and different total localization reads to estimate the expression of genes. A sample relationship analysis based on the expression level of each gene was performed through nonmetric multidimensional scaling (NMDS)69. The matrix of gene expression was presented as heatmaps, a color-coding system that represents different expression levels of given genes in different samples, and these were implemented using the R package circlize and ggplot2, as well as pheatmap70. Functional enrichment analysis of DEGs based on GO terms was performed using the OmicShare tools, a free online platform for data analysis (www.omicshare.com/tools), using the whole protein set as the background for Fisher’s exact test and the P-value as a measure of significance. The GO results were plotted using the R package ggplot2.
Sample preparation, RNA extraction, reverse transcription PCR, and RT‒qPCR
To assess the changes in Tgzct4 gene expression induced by exposure to different concentration of H2O2 during Tg development by RT‒qPCR assays, the strain (fresh mycelium column with a diameter of 5 mm) was cultivated on GSM plates covered with cellophane for 36 h, and the cellophane with strain was transferred to GSM plates supplemented with or without H2O2 at final concentrations of 2, 4, 6, 8, 10, 12, 14, 16, 18, and 20 mM for 0.5 h. To analyze the changes in Tgzct4 gene expression induced by different durations of exposure to H2O2 during Tg development, the column of strains was cultivated on GSM plates covered with cellophane for 36 h and then transferred to GSM plates supplemented with or without 10 mM H2O2 for 0.5 h, 1, 2, and 4 h. In addition, for long-term exposure analysis, the strain column was directly cultivated on GSM plates with or without 10 mM H2O2 covered with cellophane for 36 h.
Harvested mycelia (1 cm from the edge of a colony) from the abovementioned cultures were flash-frozen in liquid nitrogen and ground to a fine powder. Total RNA was extracted using the SteadyPure Plant RNA Extraction Kit (Cat No. AG21019, Accurate Biology, Hunan, China). cDNA was synthesized using HiScript ІІ Q RT SuperMix for qPCR ( + gDNA wiper) (Cat No. R223-01, Vazyme, Nanjing, China). RT‒qPCR assays were performed in a MicroAmp Optical 96-well Reaction Plate (Applied Biosystems) with a reaction mixture (volume of 20 µL) consisting of 10 µL of 2× ChamQ SYBR qPCR Master Mix (Cat No. Q341-02, Vazyme, Nanjing, China), 0.2 μM forward and reverse primers (Supplementary Table 2), 100 ng of cDNA, and ddH2O. The cDNA serving as the template was amplified with the qTOWER 2.2 system (Jena, Germany). All experiments were conducted according to the manufacturer’s instructions, and Tgtef (TgOPB38715) was used as a reference gene. The relative transcription levels were quantified as the 2^(-ΔCT) value (means ± S.Ds. calculated from at least three biological replicates), where ΔCT treated = CT reference gene - CT tested gene measured in stress-treated cultures, ΔCT control = CT reference gene - CT tested gene measured in untreated cultures, and CT values represent the RT‒qPCR cycle numbers of crossing points.
ChIP-Seq
For the TgZct4 ChIP-Seq experiment, sample preparation was carried out following the RNA-Seq method with some modifications. The TgZct4::eGFP transgenic strain was cultivated on GSM plates covered with cellophane for 36 h, and then the cellophane containing colony was transferred to GSM plates supplemented with 20 mM H2O2 for 0.5 h. The collected fresh mycelium was crosslinked with 1% formaldehyde (Sigma, Germany, F8775) for 10 min at room temperature, and the reaction was quenched with 1% glycine (Sangon Biotech, China, A610235) for 5 min. Then, the samples were immediately frozen in liquid nitrogen after being washed twice with pre-cold PBS buffer. Subsequently, sample lysis, chromosome isolation, chromatin cleavage, chromatin immunoprecipitation, library preparation, deep sequencing, and quality evaluation were conducted by DianXi Bio-tech & Consult Co., Ltd. (Shanghai, China). Chromatin was extracted with 1 mL lysis buffer for 10 min on ice and sonicated into approximately 300 bp fragments with Bioruptor (Diagenode, NJ, USA) for 20 cycles. Then the DNA was incubated overnight at 4 °C with 10 ug GFP antibody (A rabbit IgG GFP tag Polyclonal antibody, 1000 ug/ml; Cat No. 50430-2-AP; Proteintech Group, Wuhan, China). The DNA-bound beads were rinsed five times with RIPA buffer and then incubated with de-crosslinking buffer (50 mM Tris-HCl pH 8.0, 0.1% SDS) for 12 h at 65 °C to free the DNA. The de-crosslinked DNA was purified with QIAquick PCR purification columns (Qiagen, Hilden, Germany, 28106).
The NEBNext ChIP-seq Library Prep Master Mix Set for Illumina was used to prepare the sequencing library with custom-synthesized primers. Paired-end reads of 150 nt were generated on the Illumina NovaSeq 6000 platform. Filtered raw fastq sequences were aligned to the Tg reference genome using Bowtie2 software to comprehensively evaluate the coverage area and depth of sequencing reads65. The clean reads were deposited in the Sequence Read Archive of NCBI under the accession number PRJNA1209936. SAMtools was used to manipulate sequence alignment files; SAM files were converted and sorted into BAM files. For peak analysis, Macs 2.1.1 was applied with the default parameters to identify reads enrichment areas of the genome and calculate peak enrichment relative to the genomic background. To capture ChIP signals, Macs 2.1.1 was applied with the option q-value cutoff of 10-5. An input sample (without ChIP) was used as background to eliminate nonrandom enrichment and filter for high-confidence peaks. According to the reference genome, peak annotation and motif discovery were performed using HOMER 4.1 with the default parameters.
Verification of transcriptional activation activity
The full-length coding DNA sequence (CDS) of the TgZct4 protein was obtained by PCR, and the primers used are listed in Supplementary Table 2. The purified PCR products were then linked to the pGBKT7 vector digested by EcoRI/BamHI. The fusion plasmid pBD-TgZct4 was transformed into the yeast strain Y2HGold using the lithium acetate method71, and the empty vector pGBKT7 was used as a negative control. The transformed yeast cells were spread onto YPDA, SD/-Trp, and SD/-Trp/X-α-Gal plates. After growth at 30 °C for 3–5 days, the growth and color of the yeast cells were observed to assess the transcriptional activation activity of TgZct4.
Microscopy
The strain expressing TgZct4-GFP was grown on GSM agar plates or incubated in PDB liquid. On GSM agar plates, sample preparation was performed according to the above-described transcriptome method but treated with only 40 mM H2O2 for 0.5 h. The samples in PDB liquid were prepared by growth on a glass slide. Five hundred microlitres of PDB containing 105 cells mL-1 conidia of the strain was inoculated on a 24 mm square slide and placed in the darkness for 12 h at 28 °C. The PDB was then discarded, and the sample was retained. Subsequently, 400 μL PDB supplemented with 20 mM H2O2 was slowly added to the glass slide containing the sample, which was then incubated at 28 °C for 15 min in the darkness. Following this step, the PDB was again discarded, and the sample was retained. Hyphae grown from the plates or PDB liquid were fixed with 4% paraformaldehyde for 10 min separately and washed with 1× PBS (pH 7.4) three times to remove fixative. After fixation, the samples were suspended in 50 μl of Hoechst 33342 Stain solution (10 μg mL-1, Cat No. C0030, Solarbio, Beijing, China) for 5 min, washed three times with 1× PBS (pH 7.4) to remove excess fluorescent dye, and then observed by a confocal laser-scanning microscope (Leica TCS SP8, Germany). The fixation and staining experiments were conducted in the darkness at room temperature.
Statistics and Reproducibility
ANOVA with Tukey’s multiple comparison test or T-test was used to assess the differences among the samples in the histogram and box plots. Significant differences in the mean values with a P-value less than 0.05 are indicated by “*” or different letters in the figures. Differentially expressed genes were identified using DESeq2. All statistical analyses were conducted in R version [R 4.5.1] unless otherwise stated.
Sample sizes and the number of replicates were provided in the relevant figure legends and throughout the manuscript. Biological replicates were defined as independently collected samples from distinct plates. No statistical methods were used to predetermine sample size. All attempts at replication were successful unless otherwise stated.
Bioinformatics analyses
Genomic files of Tg (GenBank: LVVK00000000.1) were retrieved from the NCBI63. The homologous amino acid sequences of the well-known conserved TFs, such as Yap1, Skn7, Msn2, Msn4, Atf1, and Atf2, were taken from the UniProt database. And the multiple sequence alignments of these TFs with orthologs in several fungi were performed by MAFFT72,73. The conserved domains of putative proteins were identified using the Pfam database74. The sequence of the TgZct4 protein in Tg was compared to sequences of its homologous proteins, which are conserved in the genome of other fungi, using the BLASTp function in BLAST+ (version 2.2.8)75. The phylogenetic analysis of TgZct4 (TgOPB42349) with orthologs and homologs from other fungal pathogens was performed using MEGA6 software76 according to previously described methods77. Orthologs and homologs were selected from the top 100 BLASTp hits retrieved from the UniProt database. Manual curation was carried out to correct incorrectly annotated genes. All polypeptide sequences were aligned using ClustalW with the “Gonnet” weighting matrix, a “gap opening penalty” of 10, a “gap extension penalty” of 20, and a “gap separation distance” of 5. The phylogenetic tree was constructed using the “neighbor-joining” algorithm and the “p-distance” substitution model. Percentage bootstrap values based on 1000 repetitions were used to assess the statistical support of the tree. The prediction of protein subcellular localization was implemented by CELLO and WoLF PSORT software78,79.
Reporting summary
Further information on research design is available in the Nature Portfolio Reporting Summary linked to this article.
Data availability
RNA sequencing data are available in the National Center for Biotechnology Information (NCBI: https://www.ncbi.nlm.nih.gov/) with the BioProject accession number PRJNA1044388 and PRJNA1044386. ChIP-Seq data are available at NCBI under the BioProject accession number PRJNA1209936. The uncropped and unedited blot images are available in the Supplementary Fig. 12. The numerical source datasets for graphs generated and/or analyzed during the current study are provided in the Supplementary Data 5. And additional data are available from the corresponding author on reasonable request.
References
Szechyńska-Hebda, M., Ghalami, R. Z., Kamran, M., Van Breusegem, F. & Karpiński, S. To be or not to be? Are reactive oxygen species, antioxidants, and stress signalling universal determinants of life or death? Cells 11, 1–32 (2022).
Drzeżdżon, J., Jacewicz, D. & Chmurzyński, L. The impact of environmental contamination on the generation of reactive oxygen and nitrogen species – consequences for plants and humans. Environ. Int. 119, 133–151 (2018).
Lushchak, V. I. Free radicals, reactive oxygen species, oxidative stress and its classification. Chem. Biol. Interact. 224, 164–175 (2014).
Rani, V., Deep, G., Singh, R. K., Palle, K. & Yadav, U. C. S. Oxidative stress and metabolic disorders: pathogenesis and therapeutic strategies. Life Sci. 148, 183–193 (2016).
Schieber, M. & Chandel, N. S. ROS function in redox signaling and oxidative stress. Curr. Biol. 24, R453–R462 (2014).
Singh, Y., Nair, A. M. & Verma, P. K. Surviving the odds: from perception to survival of fungal phytopathogens under host-generated oxidative burst. Plant Commun. 2, 100142 (2021).
Heller, J. & Tudzynski, P. Reactive oxygen species in phytopathogenic fungi: signaling, development, and disease. Annu Rev. Phytopathol. 49, 369–390 (2011).
Belenky, P., Camacho, D. & Collins, J. J. Fungicidal drugs induce a common oxidative-damage cellular death pathway. Cell Rep. 3, 350–358 (2013).
Emrick, D. et al. The antifungal occidiofungin triggers an apoptotic mechanism of cell death in yeast. J. Nat. Prod. 76, 829–838 (2013).
Lenoir, I., Fontaine, J. & Lounès-Hadj Sahraoui, A. Arbuscular mycorrhizal fungal responses to abiotic stresses: a review. Phytochemistry 123, 4–15 (2016).
Wangsanut, T. & Pongpom, M. The role of the glutathione system in stress adaptation, morphogenesis and virulence of pathogenic fungi. Int J. Mol. Sci. 23, 10645 (2022).
Montibus, M., Pinson-Gadais, L., Richard-Forget, F., Barreau, C. & Ponts, N. Coupling of transcriptional response to oxidative stress and secondary metabolism regulation in filamentous fungi. Crit. Rev. Microbiol. 41, 295–308 (2015).
Hernandez-Elvira, M. & Sunnerhagen, P. Post-transcriptional regulation during stress. FEMS Yeast Res. 22, 1–11 (2022).
Yaakoub, H., Mina, S., Calenda, A., Bouchara, J. P. & Papon, N. Oxidative stress response pathways in fungi. Cell. Mol. Life Sci. 79, 1–27 (2022).
Howell, C. R. Mechanisms employed by Trichoderma species in the biological control of plant diseases: the history and evolution of current concepts. Plant Dis. 87, 4–10 (2003).
Meng, X. et al. TgSWO from Trichoderma guizhouense NJAU4742 promotes growth in cucumber plants by modifying the root morphology and the cell wall architecture. Micro. Cell Fact. 18, 1–15 (2019).
Liu, Q. et al. The growth promotion of peppers (Capsicum annuum L.) by Trichoderma guizhouense NJAU4742-based biological organic fertilizer: possible role of increasing nutrient availabilities. Microorganisms 8, 1–23 (2020).
Liu, Q. et al. Proteomic analysis demonstrates a molecular dialog between Trichoderma guizhouense NJAU 4742 and cucumber (Cucumis sativus L) roots: role in promoting plant growth. Mol. Plant-Microbe Interact. 34, 631–644 (2021).
LIU, H. jun et al. Spore production in the solid-state fermentation of stevia residue by Trichoderma guizhouense and its effects on corn growth. J. Integr. Agric. 20, 1147–1156 (2021).
Xu, Y. et al. Extracellular proteins of Trichoderma guizhouense elicit an immune response in maize (Zea mays) plants. Plant Soil 449, 133–149 (2020).
Zhang, J. et al. The neutral metallopeptidase NMP1 of Trichoderma guizhouense is required for mycotrophy and self-defence. Environ. Microbiol. 18, 580–597 (2016).
Zhang, J. et al. Guttation capsules containing hydrogen peroxide: an evolutionarily conserved NADPH oxidase gains a role in wars between related fungi. Environ. Microbiol. 21, 2644–2658 (2019).
Pang, G. et al. Azaphilones biosynthesis complements the defence mechanism of Trichoderma guizhouense against oxidative stress. Environ. Microbiol. 22, 4808–4824 (2020).
D’Autréaux, B. & Toledano, M. B. ROS as signalling molecules: mechanisms that generate specificity in ROS homeostasis. Nat. Rev. Mol. Cell Biol. 8, 813–824 (2007).
Tudzynski, P., Heller, J. & Siegmund, U. Reactive oxygen species generation in fungal development and pathogenesis. Curr. Opin. Microbiol. 15, 653–659 (2012).
Gaupp, R., Ledala, N. & Somerville, G. A. Staphylococcal response to oxidative stress. Front. Cell Infect. Microbiol. 2, 33 (2012).
Simaan, H., Lev, S. & Horwitz, B. A. Oxidant-sensing pathways in the responses of fungal pathogens to chemical stress signals. Front. Microbiol. 10, 1–12 (2019).
Nahlik, K. et al. The COP9 signalosome mediates transcriptional and metabolic response to hormones, oxidative stress protection and cell wall rearrangement during fungal development. Mol. Microbiol. 78, 964–979 (2010).
Basu, S., Sarkar, P., Datta, S. & Sundaram, G. Dataset describing the genome wide effects on transcription resulting from alterations in the relative levels of the bZIP transcription factors Atf1 and Pcr1 in Schizosaccharomyces pombe. Data Brief. 42, 108034 (2022).
Lee, J. et al. Yap1 and Skn7 control two specialized oxidative stress response regulons in yeast. J. Biol. Chem. 274, 16040–16046 (1999).
Rajvanshi, P. K., Arya, M. & Rajasekharan, R. The stress-regulatory transcription factors Msn2 and Msn4 regulate fatty acid oxidation in budding yeast. J. Biol. Chem. 292, 18628–18643 (2017).
Chokshi, K. et al. Physiological responses of the green microalga Acutodesmus dimorphus to temperature induced oxidative stress conditions. Physiol. Plant 170, 462–473 (2020).
Proft, M. & Struhl, K. MAP kinase-mediated stress relief that precedes and regulates the timing of transcriptional induction. Cell 118, 351–361 (2004).
Upadhya, R., Campbell, L. T., Donlin, M. J., Aurora, R. & Lodge, J. K. Global transcriptome profile of Cryptococcus neoformans during exposure to hydrogen peroxide induced oxidative stress. PLoS One 8, e55110 (2013).
Gutin, J., Joseph-Strauss, D., Sadeh, A., Shalom, E. & Friedman, N. Genetic screen of the yeast environmental stress response dynamics uncovers distinct regulatory phases. Mol. Syst. Biol. 15, 1–16 (2019).
Warner, J. R. The economics of ribosome biosynthesis in yeast. Trends Biochem Sci. 24, 437–440 (1999).
Xing, C., Li, J., Yuan, H. & Yang, J. Physiological and transcription level responses of microalgae Auxenochlorella protothecoides to cold and heat induced oxidative stress. Environ. Res. 211, 113023 (2022).
Spencer, J., Phister, T. G., Smart, K. A. & Greetham, D. Tolerance of pentose utilising yeast to hydrogen peroxide-induced oxidative stress. BMC Res. Notes 7, 1–12 (2014).
Sethiya, P. et al. Transcriptomic analysis reveals global and temporal transcription changes during Candida glabrata adaptation to an oxidative environment. Fungal Biol. 124, 427–439 (2020).
Verma, S., Gazara, R. K. & Verma, P. K. Transcription factor repertoire of necrotrophic fungal phytopathogen Ascochyta rabiei: predominance of myb transcription factors as potential regulators of secretome. Front. Plant Sci. 8, 1–20 (2017).
Moye-Rowley, W. S. Regulation of the transcriptional response to oxidative stress in fungi: Similarities and differences. Eukaryot. Cell 2, 381–389 (2003).
Pflieger, D., Vinh, J., Toledano, M. B., Delaunay, A. & Barrault, M. B. A thiol peroxidase is an H2O2 receptor and redox-transducer in gene activation. Cell 111, 471–481 (2002).
Bákány, B. et al. Study on the bZIP-type transcription factors NapA and RsmA in the regulation of intracellular reactive species levels and sterigmatocystin production of Aspergillus nidulans. Int J. Mol. Sci. 22, 11577 (2021).
Lessing, F. et al. The Aspergillus fumigatus transcriptional regulator AfYap1 represents the major regulator for defense against reactive oxygen intermediates but is dispensable for pathogenicity in an intranasal mouse infection model. Eukaryot. Cell 6, 2290–2302 (2007).
Vivancos, A. P., Jara, M., Zuin, A., Sansó, M. & Hidalgo, E. Oxidative stress in Schizosaccharomyces pombe: different H 2O2 levels, different response pathways. Mol. Genet. Genomics 276, 495–502 (2006).
Quinn, J. et al. Distinct regulatory proteins control the graded transcriptional response to increasing H2O2 levels in fission yeast Schizosaccharomyces pombe. Mol. Biol. Cell 13, 805–816 (2002).
Vivancos, A. P., Castillo, E. A., Jones, N., Ayté, J. & Hidalgo, E. Activation of the redox sensor Pap1 by hydrogen peroxide requires modulation of the intracellular oxidant concentration. Mol. Microbiol 52, 1427–1435 (2004).
Vivancos, A. P. et al. A cysteine-sulfinic acid in peroxiredoxin regulates H2O2-sensing by the antioxidant Pap1 pathway. Proc. Natl. Acad. Sci. USA 102, 8875–8880 (2005).
Leiter, É., Emri, T., Pákozdi, K., Hornok, L. & Pócsi, I. The impact of bZIP Atf1ortholog global regulators in fungi. Appl. Microbiol. Biotechnol. 105, 5769–5783 (2021).
Mat Nanyan, N. S. B., Watanabe, D., Sugimoto, Y. & Takagi, H. Involvement of the stress-responsive transcription factor gene MSN2 in the control of amino acid uptake in Saccharomyces cerevisiae. FEMS Yeast Res. 19, 1–7 (2019).
Boorstein, S. A. & Godierman, M. Theory for zero-field splittings in aromatic hydrocarbons. Iii. J. Chem. Phys. 39, 2443–2452 (1963).
Kuge, S. & Jones, N. YAP1 dependent activation of TRX2 is essential for the response of Saccharomyces cerevisiae to oxidative stress by hydroperoxides. EMBO J. 13, 655–664 (1994).
Rodrigues-Pousada, C. et al. Yeast AP-1 like transcription factors (Yap) and stress response: a current overview. Microb. Cell 6, 267–285 (2019).
Lara-Rojas, F., Sánchez, O., Kawasaki, L. & Aguirre, J. Aspergillus nidulans transcription factor AtfA interacts with the MAPK SakA to regulate general stress responses, development and spore functions. Mol. Microbiol. 80, 436–454 (2011).
Shao, H. et al. Oxidative stress response of Aspergillus oryzae induced by hydrogen peroxide and menadione sodium bisulfite. Microorganisms 7, 225 (2019).
Zhu, Z., Yang, M., Bai, Y., Ge, F. & Wang, S. Antioxidant-related catalase CTA1 regulates development, aflatoxin biosynthesis, and virulence in pathogenic fungus Aspergillus flavus. Environ. Microbiol. 22, 2792–2810 (2020).
Paris, S. et al. Catalases of Aspergillus fumigatus. Infect. Immun. 71, 3551–3562 (2003).
Mattila, H. Basidiomycota fungi and ROS: genomic perspective on key enzymes involved in generation and mitigation of reactive oxygen species. Front. Fungal Biol. 3, 837605 (2022).
Yu, Q. et al. Endoplasmic reticulum-derived reactive oxygen species (ROS) is involved in toxicity of cell wall stress to Candida albicans. Free Radic. Biol. Med. 99, 572–583 (2016).
Silar, P. Peroxide accumulation and cell death in filamentous fungi induced by contact with a contestant. Mycol. Res. 109, 137–149 (2005).
Montero-Barrientos, M., Hermosa, R., Cardoza, R. E., Gutiérrez, S. & Monte, E. Functional analysis of the Trichoderma harzianum nox1 gene, encoding an NADPH oxidase, relates production of reactive oxygen species to specific biocontrol activity against Pythium ultimum. Appl. Environ. Microbiol. 77, 3009–3016 (2011).
Uzbas, F., Sezerman, U., Hartl, L., Kubicek, C. P. & Seiboth, B. A homologous production system for Trichoderma reesei secreted proteins in a cellulase-free background. Appl Microbiol. Biotechnol. 93, 1601–1608 (2012).
Druzhinina, I. S. et al. Massive lateral transfer of genes encoding plant cell wall-degrading enzymes to the mycoparasitic fungus Trichoderma from its plant-associated hosts. PLoS Genet. 14, e1007322 (2018).
Kim, D., Langmead, B. & Salzberg, S. L. HISAT: a fast spliced aligner with low memory requirements. Nat. Methods 12, 357–360 (2015).
Langmead, B. & Salzberg, S. L. Fast gapped-read alignment with Bowtie 2. Nat. Methods 9, 357–359 (2012).
Pertea, M., Kim, D., Pertea, G. M., Leek, J. T. & Salzberg, S. L. Transcript-level expression analysis of RNA-seq experiments with HISAT, StringTie and Ballgown. Nat. Protoc. 11, 1650–1667 (2016).
Pertea, M. et al. StringTie enables improved reconstruction of a transcriptome from RNA-seq reads. Nat. Biotechnol. 33, 290–295 (2015).
Love, M. I., Huber, W. & Anders, S. Moderated estimation of fold change and dispersion for RNA-seq data with DESeq2. Genome Biol. 15, 1–21 (2014).
Taguchi, Y. H. & Oono, Y. Relational patterns of gene expression via non-metric multidimensional scaling analysis. Bioinformatics 21, 730–740 (2005).
Blumenberg, M. Introductory chapter: transcriptome analysis. Transcriptome Anal. 370, 1–5 (2019).
Yang, L. et al. GsCBRLK, a calcium/calmodulin-binding receptor-like kinase, is a positive regulator of plant tolerance to salt and ABA stress. J. Exp. Bot. 61, 2519–2533 (2010).
Katoh, K., Misawa, K., Kuma, K. I. & Miyata, T. MAFFT: A novel method for rapid multiple sequence alignment based on fast Fourier transform. Nucleic Acids Res. 30, 3059–3066 (2002).
Katoh, K. & Standley, D. M. MAFFT multiple sequence alignment software version 7: improvements in performance and usability. Mol. Biol. Evol. 30, 772–780 (2013).
Mistry, J. et al. Pfam: the protein families database in 2021. Nucleic Acids Res. 49, D412–D419 (2021).
Camacho, C. et al. BLAST+: architecture and applications. BMC Bioinforma. 10, 1–9 (2009).
Tamura, K., Stecher, G., Peterson, D., Filipski, A. & Kumar, S. MEGA6: molecular evolutionary genetics analysis version 6.0. Mol. Biol. Evol. 30, 2725–2729 (2013).
Rybak, K. et al. A functionally conserved Zn2Cys6 binuclear cluster transcription factor class regulates necrotrophic effector gene expression and host-specific virulence of two major Pleosporales fungal pathogens of wheat. Mol. Plant Pathol. 18, 420–434 (2017).
Su, E. C. Y. et al. Protein subcellular localization prediction based on compartment-specific features and structure conservation. BMC Bioinforma. 8, 1–12 (2007).
Horton, P. et al. WoLF PSORT: protein localization predictor. Nucleic Acids Res. 35, 585–587 (2007).
Li, Y. et al. The bZIP transcription factor ATF1 regulates blue light and oxidative stress responses in Trichoderma guizhouense. mLife 00, 1–13 (2023).
Acknowledgements
The work was supported by the National Natural Science Foundation of China (32072674), and National Key Research and Development Program of China (2022YFD1900602). We especially thank Dr. Menghui Dong for his editing of the manuscript.
Author information
Authors and Affiliations
Contributions
Q.G., B.S., and J.Z. designed the experiment. Q.G., D.W., H.Z., and X.L. performed the experiment. Q.G., Y.J., and J.Z. analyzed the data. Q.G. wrote the raw manuscript. Z.Y., R.L., Q.S., J.Z., and B.S. participated in the discussion and editing of the manuscript. All authors approved the final version of the manuscript.
Corresponding authors
Ethics declarations
Competing interests
The authors declare no competing interests. The authors confirm that this manuscript is original, has not been published before and is not currently being considered for publication elsewhere. There are no known conflicts of interest associated with this publication and there has been no significant financial support for this work that could have influenced its outcome. The manuscript has been read and approved by all named authors.
Peer review
Peer review information
Communications Biology thanks Pooja Sethiya and Harshini Weerasinghe for their contribution to the peer review of this work. Primary handling editors Chris Koon Ho Wong and David Favero. A peer review file is available.
Additional information
Publisher’s note Springer Nature remains neutral with regard to jurisdictional claims in published maps and institutional affiliations.
Rights and permissions
Open Access This article is licensed under a Creative Commons Attribution-NonCommercial-NoDerivatives 4.0 International License, which permits any non-commercial use, sharing, distribution and reproduction in any medium or format, as long as you give appropriate credit to the original author(s) and the source, provide a link to the Creative Commons licence, and indicate if you modified the licensed material. You do not have permission under this licence to share adapted material derived from this article or parts of it. The images or other third party material in this article are included in the article’s Creative Commons licence, unless indicated otherwise in a credit line to the material. If material is not included in the article’s Creative Commons licence and your intended use is not permitted by statutory regulation or exceeds the permitted use, you will need to obtain permission directly from the copyright holder. To view a copy of this licence, visit http://creativecommons.org/licenses/by-nc-nd/4.0/.
About this article
Cite this article
Gao, Q., Wang, D., Zhu, H. et al. A Zn2-Cys6 transcription factor, TgZct4, reprograms antioxidant activity in the fungus Trichoderma guizhouense to defend against oxidative stress. Commun Biol 8, 1471 (2025). https://doi.org/10.1038/s42003-025-08864-5
Received:
Accepted:
Published:
Version of record:
DOI: https://doi.org/10.1038/s42003-025-08864-5











