Abstract
Halogen(I) complexes are widely used as halogenation reagents and traditionally feature homoleptic stabilising Lewis bases, though the recent revitalisation of iodine(I) carboxylate chemistry has provided isolable examples of heteroleptic iodine(I) complexes. This work reports iodine(I) pnictogenate complexes stabilised by a Lewis base (L), Ph2P(O)O─I─L, synthesised via cation exchange from the silver(I) precursor, (Ph2P(O)OAg)n. The complexes were characterised in both solution (1H, 1H-15N HMBC, 31P) and the solid state, and supplemented computationally by DFT studies. Interestingly, these iodine(I) pnictogenates demonstrate a range of stabilities, and have been found to excel as iodination reagents in comparison to carbonyl hypoiodites, with comparable reactivity to the eponymous Barluenga’s reagent in the iodination of antipyrine.
Similar content being viewed by others
Introduction
The utility of halogen bonding as a productive non-covalent interaction has been realised over the last few decades, with applications in a myriad of host–guest systems (e.g., chemical or biomolecular separations) and the preparation of functional materials (e.g., liquid-crystalline, magnetic, phosphorescent, porous)1,2,3,4. Halogen bonding, defined as the interaction between an electrophilic region of a halogen atom with neutral or anionic nucleophiles5, is also adept toward the assembly of supramolecular architectures6,7,8,9,10,11, largely owing to its highly directional bonding. This is especially true for the sub-class of halogen bonded species, halogen(I) (halenium) ions, which are fully polarised halogen atoms (X+; X = I, Br, Cl) that demonstrate linear 2-coordinate complexes of the form [L─X─L]+ in the presence of a pair of suitable Lewis bases (L)12,13,14,15,16,17,18, which have also been incorporated into supramolecular iodine(I) architectures19,20,21,22,23. Though first identified in the 1960s24,25,26, it was not until the 1980s when Barluenga and co-workers breathed new life into the study of halogen(I) complexes by demonstrating their versatility as mild iodination and oxidation reagents toward a wide variety of substrates27,28,29,30,31, which endures to this day through the continued use of Barluenga’s reagent, [I(pyridine)2]BF4.
Studies into the use of alkyl hypoiodites of the form R─OI (R = alkyl group) as iodination reagents also have a long history 32,33,34,35. As in situ generated reagents, these species have demonstrated an impressive capacity to iodinate non-activated substrates such as alkanes (e.g., conversion of n-butane to 2-iodobutane)32. Unlike for [N─I─N]+ type complexes where the structure was identified early on24, the composition of the actual reactive species for alkyl hypoiodites is still unclear (cf. “tBuOI”)34,36, preventing definitive structure–reactivity relationships from being established. Even the perhaps best-characterised carbonyl hypoiodite, CH3C(O)OI, had only been observed in solution by 1H NMR spectroscopy and spectrophotometrically 37,38. Whilst named as hypoiodites due to their inclusion of an O─I group, their reactivity as iodine(I) reagents does not reflect this term, and therefore the term iodine(I) carboxylates will be used henceforth. Nevertheless, the solid-state structure of CH3C(O)OI was later confirmed by an SCXRD study via isolation of the stabilised iodine(I) carboxylate, C(O)O─I─N, complexes using 4-substituted pyridine derivatives39. This overlooked ability to stabilise iodine(I) carboxylates and definitively characterise them in the solid state via SCXRD40, has been recently revitalised, fuelled by the observation that these charge-neutral C(O)O─I─N derivatives can themselves be considered iodine(I) species, and are therefore analogous to [N─I─N]+ type complexes.
The reactivity of iodine(I) carboxylate complexes as iodination reagents have been tested on antipyrine as a model substrate, though they were found to be lacklustre in comparison to [I(pyridine)2]BF4 (Fig. 1)41. Anionic dioxoiodane complexes, which feature an [O‒I‒O]− motif, can also be seen as closely related analogues to the [N─I─N]+ and C(O)O‒I‒N complexes and are likewise known as organic reagents42,43.
To date, no solid-state examples of RO─I (R = alkyl) exist, stabilised or otherwise. This presents an interesting question as to the necessity of the carbonyl group connected to the iodine-coordinated oxygen atom, and its role in promoting O‒I‒N complex formation. This year, a novel subset of O─I─N derivatives based on sulfonates of the general form RS(O)2O─I─L (R = Me, 4-tolyl, C7H15; L = 4-substituted pyridine) was reported44, which highlighted that non-carbonyl O─I─N complexes can be isolated in the solid state. Nevertheless, their observed decomposition within seconds of being removed from their low-temperature parent reaction mixtures also supports that the carbonyl group is favourably stabilising the O─I─N complex formation, given that iodine(I) carboxylate complexes can be isolated without this same rapid decomposition. Therefore, to better explore this mystery, the pursuit of non-carbonyl O─I─N complexes was attempted based on pnictogen (P, As) alternatives, with six iodine(I) phosphinate complexes stabilised by a variety of Lewis bases being successfully synthesised.
Results and discussion
Synthesis
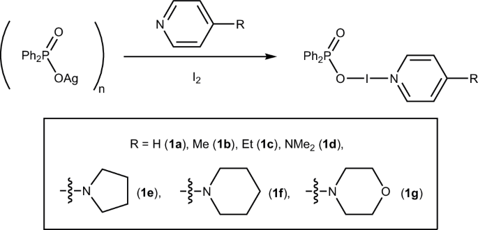
The commercially available diphenylphosphinic acid, Ph2P(O)OH, was seen as a pnictogen analogue of benzoic acid that had previously found success in the synthesis of iodine(I) complexes. This precursor was seen as an ideal analogue, especially given that the silver(I) derivative, (Ph2P(O)OAg)n (silver(I) diphenylphosphinate), necessary for subsequent iodine(I) complex synthesis had also already been reported45. Nonetheless, a higher-yielding procedure for the synthesis of (Ph2P(O)OAg)n (1) was developed, which gave the species in an 82% yield (Supplementary Note 2).
Reaction of (Ph2P(O)OAg)n with a Lewis base (L), followed by I2 (in a 1:1:1 stoichiometry), gave iodine(I) pnictogenates of the form Ph2P(O)O─I─L (Fig. 2; Supplementary Note 3), which were achieved when L = 4-methylpyridine (4-Mepy; 1b), 4-ethylpyridine (4-Etpy; 1c), 4-dimethylaminopyridine (DMAP; 1d), 4-pyrrolidinopyridine (4-pyrpy; 1e), 4-piperidinopyridine (4-pippy; 1f), 4-morpholinopyridine (4-morpy; 1g). It should be noted that the IUPAC names would be: pyridine iodine(1+) diphenyldioxidophosphate(1−) (1a), and so forth, but will be shortened to iodine(I) phosphinates (for R2P(O)O derivatives), or more generally, to iodine(I) pnictogenates.
Interestingly, these phosphorus-based analogues differed in their apparent stabilities in solution, ranging from unstable (1a) to relatively stable in dry solvents (1b, 1c, 1e, 1g), and even demonstrating apparent water-tolerance in non-treated solvents (1d, 1f), which are important traits toward their appeal as prospective iodination reagents.
Solution studies
The 1H NMR studies (Supplementary Figs. 1, 4, 7, 10, 13, 16) revealed predominantly only minor coordination shifts upon coordination of the free ligands (b–g) in comparison to their respective iodine(I) derivatives (1b–1g), with differences in the aromatic substituted pyridines ranging from 0.00 to 0.42 ppm, though most fell under 0.20 ppm, with only 4-morpy demonstrating notable coordination shifts of 0.26 and 0.42 ppm.
Prior observations of the carbonyl carbon atom (via 13C NMR studies) or of the fluorinated substituents of the carbonyl substituents (via 19F NMR studies) both found negligible coordination shifts upon iodine(I) formation46,47. However, the inclusion of a phosphorus atom, with its 100% abundance 31P nuclei and close proximity to the iodine atom, was envisioned to provide a valuable new NMR handle for these iodine(I) phosphinates. This proved true with notable, though modest, coordination shifts of 7.1–10.0 ppm in relation to (Ph2P(O)OAg)n (18.4 ppm), though it should be noted that both these species were by necessity recorded in (CD3)2SO, preventing a direct comparison to the iodine(I) phosphinate complexes that were collected in CD2Cl2 (Supplementary Figs. 3, 6, 9, 12, 15, 18). Nevertheless, differences between the Lewis base incorporated in the iodine(I) phosphinates (all recorded in CD2Cl2) were also reflected in the 31P{1H} NMR chemical shifts (Supplementary Note 5), with values ranging from 25.5 ppm (1e) to 28.4 ppm (1b/1c).
Nevertheless, the solution studies were primarily focussed on the 15N NMR chemical shifts (determined from 1H–15N HMBC experiments; Supplementary Figs. 2, 5, 8, 11, 14, 17), as these have previously been demonstrated to show characteristic coordination shifts (ΔδN) of >100 ppm upon of the formation of iodine(I) complexes for both the [N─I─N]+ and C(O)O─I─N motifs39,47,48. The coordination shift is defined as the difference between the chemical shift of the coordinating (pyridinic) nitrogen atom in the free ligand (δ[15NLigand]) and the respective iodine(I) complex (δ[15NComplex]) incorporating that same ligand and is usually reported as a positive value.
The free ligands (also in CD2Cl2) 4-Mepy (b, −75.1 ppm)46, 4-Etpy (c, −75.6 ppm)49, DMAP (d, −105.3 ppm)13, 4-pyrpy (e, −110.0 ppm)50, 4-pippy (f, −104.2 ppm)39, and 4-morpy (g, −99.1 ppm)47, were all found to demonstrate significant coordination shifts upon formation of the iodine(I) phosphinates (Supplementary Note 5), with ΔδN values of 101.1 (1b; δN = −176.2), 99.6 (1c; δN = −175.2), 117.6 (1d; δN = −222.9), 118.1 (1e; δN = −228.1), 119.2 (1f; δN = −223.4), 116.3 (1g; δN = −215.4) ppm. These large ΔδN values are consistent with prior observations for analogous iodine(I) carboxylate complexes39,46,50, though the iodine(I) pnictogenates demonstrated slightly larger values by comparison, e.g., PhC(O)O─I─(DMAP) (ΔδN = 100.9) versus 1d (ΔδN = 117.6) and PhC(O)O─I─(4-pippy) (ΔδN = 104.9) versus 1f (ΔδN = 119.2).
Unfortunately, complex 1a could not be isolated in a pure form, as observed by the additional peaks in the 1H and 31P NMR spectra. Despite the 15N NMR chemical shift of −163.7 ppm observed in the reaction mixture giving a characteristic ΔδN value of 96.0 ppm (cf. py (a) = −67.7 ppm)13, which is indicative of successful iodine(I) formation, the possibility of similar chemical shifts being observed for the protonated free ligands means these observations are ambiguous15.
Solid-state studies
The solid-state structures for 1b–1g were definitively established via single-crystal X-ray diffraction (SCXRD; Fig. 3), with the solid-state structure of 1a understandably remaining elusive due to its high reactivity as observed in solution by NMR studies. In iodine(I) carboxylates, the relationship between the O─I and I─N bond lengths is such that strong Lewis bases generally cause shorter I─N (and concomitantly longer O─I) distances, and vice versa for weaker Lewis bases39, with retention of the overall intramolecular O···N distance that remains fairly constant (4.45 Å)47,51. These iodine(I) phosphinates also demonstrated fairly consistent intramolecular O···N distances for the halogen-bonded iodine atoms, despite the variation of their stabilising Lewis bases incorporated, with values ranging from 4.411(4) (1b) to 4.457(4) Å (1e/1f) (average = 4.43 Å). The I─N bond lengths did demonstrate the general trend of being shorter for the stronger Lewis bases, e.g., the shortest and longest I─N distances of 2.182(2) and 2.249(3) Å were for the DMAP (1d) and 4-Etpy (1c) derivatives, respectively. These inversely coincided with the range of O─I bond lengths of 1d (2.251(2) Å) to 1e (2.198(3) Å; N.B. the O─I distance for 1c was 2.204(2) Å, which is crystallography indistinguishable to 1e to a 3σ tolerance). The O─I─N angles were all effectively linear (180°), with an overall average of 176.3°, and the largest deviation from linearity observed of 5.1° (1f) being negligible. The formally inequivalent P=O and P─O bonds were always visibly differentiated in all the iodine(I) phosphinate derivatives, with narrow ranges of 1.481(3)–1.493(2) and 1.532(4)–1.546(2) Å, respectively, indicating distinct double- and single-bond character in their bonding.
In comparison to the closest matching iodine(I) carboxylate complex (Supplementary Note 7), PhC(O)O─I─L, for which only three solid-state structures of different Lewis bases (L) are known (L = py, DMAP, 4-morpy), the P(O)O─I─L complexes demonstrated generally shorter I─N (and longer O─I) bond lengths. This can be seen in the direct comparison of the O─I/I─N bond lengths of PhC(O)O─I─(DMAP) (2.210(3)/2.241(3) Å) with 1d (2.251(2)/2.182(2) Å)39, and PhC(O)O─I─(4-morpy) (2.230(4)/2.232(4) Å) with 1g (2.247(4)/2.206(4) Å)39, as well as the approximate comparison of PhC(O)O─I─(py) (O─I/I─N = 2.169(5)/2.292(6) and 2.159(5)/2.299(7) Å) with 1b (2.236(2)/2.222(3) Å) and 1c (2.204(2)/2.249(3) Å) for which no direct analogue is available for comparison39,40; in all these comparisons, the Ph2P(O)O─I derivatives are shorter beyond a 3σ tolerance when compared to the PhC(O)O─I derivatives. When compared to the only other known non-carbonyl O─I─L derivatives, that is, the sulfonate iodine(I) derivatives of the form RS(O)2O─I─L44, 1b–1g possess longer I─N (and shorter O─I) bond lengths. This is illustrated by the direct comparison of the O─I/I─N bond lengths of MeS(O)2O─I─(4-Mepy) (2.347(4)/2.154(4) Å) and (tolyl)S(O)2O─I─(4-Mepy) (2.358(5)/2.142(4) Å) with 1b (2.236(2)/2.222(3) Å), and of MeS(O)2O─I─(DMAP) (2.331(2)/2.140(3) Å) and (tolyl)S(O)2O─I─(DMAP) (2.339(2)/2.142(2) Å) with 1d (2.251(2)/2.182(2) Å). These solid-state comparisons indicate that the iodine(I) pnictogenate complexes 1b–1g lie in the penumbra between the less reactive carbonyl and unwieldy more reactive sulfonate O─I─N complexes, making them attractive prospects as potential iodination reagents.
Interestingly, despite their aforementioned slight intolerance to water, only the monohydrated solid-state structures could be obtained for 1b, 1c, and 1g (and also potentially 1d, as an unknown solvate(s) in its solid-state structure had to be accounted for with Platon Squeeze) upon relaxation of the Schlenk handling techniques52. Attempts to obtain the non-hydrated solid-state structures for those complexes were unsuccessful, though such hydrated structures have been observed previously for even more unstable iodine(I) complexes46. For the solid-state structures of 1b, 1c, and 1g, were all observed as 1:1 hydrates with a pair of H2O molecules bridging across two neighbouring P=O groups in a planar, diamond-shaped motif (Fig. 4). The possibility of the hydrogen-bonding inducing structural anomalies was considered, as had been observed previously in [N─I─N]- complexes53, in comparison to the three non-hydrated solid-state structures 1d, 1e, and 1f, though no structural anomalies were observed to support similar behaviour for the iodine(I) phosphinate complexes.
Computational studies
The reliability of computational methods, which had been successfully utilised previously to excellently reproduce the molecular geometries obtained from SCXRD studies of [N─I─N]+ and RC(O)O─I─N (iodine(I) carboxylate) halogen-bonded iodine(I) complexes13,15,23,39,46,49,54,55,56,57, was also explored to see if they remained broadly applicable for this iodine(I) pnictogenate complexes (Supplementary Note 6). The geometry optimisations were performed at the M06-2X/def2-TZVP level of theory58 in the SPARTAN'20 programme59 with CH2Cl2 (dielectric = 8.82) as the solvent (Supplementary Notes 8, 9), and using a conductor-like polarisable continuum model (C-PCM)60,61. Additionally, this enabled the pyridine derivative 1a (Fig. 5), for which the solid-state structure could not be obtained, to also be explored structurally.
In terms of the general geometric features, such as the intramolecular O···N distances, the computationally calculated models, 1acalc–1gcalc, showed excellent agreement with the SCXRD-determined structures, with an average O···N distance of 4.42 Å (cf. SCXRD = 4.43 Å). This was also observed for the Ph2P(O)O as a whole, with the averages of the calculated P─O and P=O bond lengths of 1.55 and 1.49 Å, respectively, matching well with the experimentally determined values (cf. 1.54 and 1.49 Å, respectively). Nevertheless, for the halogen-bonded bond lengths of interest, the accuracy was slightly diminished in the computational models, with differences ranging from 0.007–0.074 Å (O─I) and 0.004–0.036 Å (I─N). It should also be noted that in all but one case, the O─I bond lengths were underestimated, and the I─N bond lengths overestimated in the calculated models, with the one exception (1e) agreeing extremely well (O─I/I─N for 1e: calc. = 2.2054/2.2119 Å; expt. = 2.198(3)/2.216(3) Å), such that these generalisations are not appropriate (to a 3σ tolerance, assuming approximate parity in e.s.d. values).
Whilst toxic, arsenic-based iodine(I) complexes would be pariahs as iodination reagents, especially toward the synthesis of pharmaceutical compounds, they were of interest to test the fundamental scope of iodine(I) complex synthesis on Group 15 elements. To this end, cacodylic acid (Me2As(O)OH) was also investigated in an analogous fashion to Ph2P(O)OH. Unfortunately, there was no literature procedure for the preparation of (Me2As(O)OAg)n, nor could this material be prepared in a similar fashion to the carboxylic and phosphinic acids without significant contamination, and was therefore ultimately abandoned. However, it should be noted that the corresponding As(O)O─I─N motif was proposed to be viable based on computational DFT studies (Fig. 6), which demonstrated comparable bond lengths/angles to known iodine(I) complexes.
Reactivity studies
The reactivity of 1b–1g as potential iodination reagents was also of particular interest, given that they represented a distinctly-different motif compared to prior O─I─N complexes primarily based on iodine(I) carboxylates (RC(O)O─I─L; L = Lewis base), in both the hybridisation and electronegativity of the oxygen-adjacent substituent (with sp3 P versus sp2 C). The utility of antipyrine’s straightforward conversion to iodo-antipyrine has been previously demonstrated41,62,63 and provides a useful benchmark in quantifying the reactivity of these iodine(I) phosphinates. The main limitation found for 1b–1g was an inability to isolate and purify the bulk quantities necessary to proceed with such reactivity tests, with only 1d and 1f being found amenable. The importance of purifying the bulk material is due to the potential for the elemental iodine used in the synthesis of the iodine(I) pnictogenates also accomplishing the same iodination of antipyrine, and in better yield than observed under the same conditions for PhC(O)O─I─(DMAP)41.
These reactivity tests were performed over three reaction times (0.5, 2, and 22 h; Supplementary Note 4) in triplicate for 1d and 1f, which gave effectively indiscernible average percentage yields over the three reaction times tested (Table 1). When compared to [I(py)2]BF4 (Barluenga’s reagent), which can be considered the industry standard for such iodinations, [I(py)2]BF4 outperformed at 2 h with an average yield of 93%, though was identical at 0.5 h (65%) to 1d (64%) and 1f (65%). In comparison to I2, the iodine(I) phosphinates performed better at shorter reaction times (2 h) with yields of 75/73% (1d/1f) to the 55% observed for I2, though I2 gave higher yields (90%) at 22 h (cf. 77/76% for 1d/1f). Most interestingly, though, was a marked improvement in comparison to the structurally similar iodine(I) carboxylates, with 1d (75%) and 1f (73%) at 2 h giving double the yields of PhC(O)O─I─(DMAP) (37%). Altogether, these comparisons show that the iodine(I) pnictogenates (1d and 1f) can give respectable iodination yields that seem to crest at ~75–80% on a timescale analogous to currently utilised iodination reagents, and though they perform slightly worse than Barluenga’s reagent overall, they greatly outperform iodine(I) carboxylates.
These surprising reactivity results support the potential of iodine(I) phosphinates as viable iodination reagents, which is a tantalising prospect if this can be combined with their other advantages. The structural studies of 1b–1g had indicated that the tetrahedrally coordinated phosphorus atom of the Ph2P(O) substituent would project one of the Ph rings away from the iodine atom, whilst the other Ph ring would be proximal to the iodine atom (Fig. 7); a trait not possible in iodine(I) carboxylate complexes at the sp2-hybridised carbonyl carbon atom. In the iodine(I) pnictogenates this could potentially be utilised, most likely in analogous R2P(O) groups bearing bulkier R groups, to facially block one side of the iodine atom, which could be relevant toward future enantioselective applications. The ability to introduce chirality at the phosphorus atom, e.g., with enantiopure BINOL ([1,1’-binaphthalene]-2,2’-diol) derivatives of the form (BINOL)P(O)O─I─L (Fig. 8), much closer to the iodine atom than other prior examples50,64, is also a highly attractive prospect given that these proof-of-concept iodine(I) pnictogenate complexes demonstrate water tolerance in the solid state and respectable reactivity as iodination reagents.
Conclusion
In conclusion, a series of iodine(I) pnictogenate complexes of the general form Ph2P(O)O─I─L (L = Lewis base) were synthesised via cation exchange of the respective silver(I) complex, (Ph2P(O)OAg)n, which itself was straightforwardly derived from Ph2P(O)OH. The procedure was analogously attempted for Me2As(O)OH, though the respective silver(I) precursor could not be prepared cleanly and was ultimately abandoned, though computational studies suggest that iodine(I) arsenate complexes of the form R2As(O)O─I─L would indeed be viable based on their calculated bond lengths and angles in comparison to known analogues. The synthesised iodine(I) phosphinates demonstrated decent stability and water tolerance in the solid state and were found to possess markedly improved reactivity as iodination reagents in comparison to their carbon-based analogues, iodine(I) carboxylates. Whilst not capable of yielding the same maximum yields as Barluenga’s reagent in terms of iodination when tested with antipyrine as the substrate, the iodine(I) phosphinates were found to be high-yielding within the same timeframe. The potential advantages of incorporating an sp3 phosphorus atom, compared to an sp2 carbon in iodine(I) carboxylates which have previously been the focus of recent studies, are a more responsive NMR-active nuclei (31P) and the ability to introduce chirality closer to the reactive iodine(I) centre. These advantages, in combination with their aforementioned excellent performance as iodination reagents, make iodine(I) pnictogenates an attractive new class of complexes with a bright future in the field of halogen bonding.
Methods
General considerations (Supplementary Note 1)
All reagents were obtained from commercial suppliers and used without further purification. Where required, reactions were carried out under an argon atmosphere using the Schlenk technique in oven-dried glassware, using a Schlenk line equipped with a gas‐drying unit. Dry CH2Cl2 was obtained by passing deoxygenated solvents through activated alumina columns (MBraun SPS‐800 Series solvent purification system) and stored under argon over 3 Å molecular sieves. The silver(I) precursor, (Ph2P(O)OAg)n, was prepared by an alternate procedure than previously described45. For structural NMR assignments, 1H NMR and 1H–15N NMR correlation spectra were recorded on a Bruker Avance III 500 MHz spectrometer in CD2Cl2. Chemical shifts are reported on the δ scale in ppm using the residual solvent signal as internal standard (CH2Cl2 in CD2Cl2: δH 5.32), or for 1H–15N NMR spectroscopy, to an external CD3NO2 standard. For the 1H NMR spectroscopy, each resonance was assigned according to the following conventions: chemical shift (δ) measured in ppm, observed multiplicity, observed coupling constant (J Hz), and number of hydrogens. Multiplicities are denoted as s (singlet), d (doublet), t (triplet), q (quartet), m (multiplet), and br (broad). For the 1H–15N HMBC spectroscopy, spectral windows of 4, 6, or 7 (6–10, 3–9, or 2–9; as required for nitrogen-based substituents) ppm (1H) and 300 ppm (15N) were used, with 1024 points in the direct dimension and 1024 increments used in the indirect dimension, with subsequent peak shape analysis being performed to give the reported 15N NMR resonances. The 31P{1H} NMR spectra were recorded on a Bruker Avance 300 MHz spectrometer, and chemical shifts are reported on the δ scale in ppm to an external H3PO4 standard. Multiplicities are denoted as s (singlet), d (doublet), t (triplet), q (quartet), m (multiplet), and br (broad).
Single-crystal X-ray diffraction
The single crystal X-ray data were collected at 120 K using mirror-monochromated Cu-Kα (λ = 1.54184 Å) radiation on a Rigaku XtaLAB Synergy-R diffractometer with a HyPix-Arc 100 detector. All structures were solved by intrinsic phasing (SHELXT)65 and refined by full-matrix least-squares on F2 using Olex266, utilising the SHELXL module67. Anisotropic displacement parameters were assigned to non-H atoms, and isotropic displacement parameters for all H atoms were constrained to multiples of the equivalent displacement parameters of their parent atoms with Uiso(H) = 1.2 Ueq(CH) or 1.5 Ueq(CH2, CH3, OH) of their respective parent atoms. The SCXRD data for 1b–1g (CCDC 2346048-2346053) are provided free of charge by the joint Cambridge Crystallographic Data Centre and Fachinformationszentrum Karlsruhe Access Structures service.
Please refer to the Supplementary Information for further details of the synthesis, characterisation and computational studies.
Data availability
All data generated or analysed during this study are included in this published article (and its supplementary information files). The X-ray crystallographic coordinates for all structures reported in this study (Supplementary Data 1) have been deposited at the Cambridge Crystallographic Data Centre (CCDC), under deposition numbers 2346048–2346053. These data can be obtained free of charge from The Cambridge Crystallographic Data Centre via www.ccdc.cam.ac.uk/data_request/cif. The combined Checkcif reports for all structures reported have also been generated and included (Supplementary Data 2).
References
Cavallo, G. et al. The halogen bond. Chem. Rev. 116, 2478–2601 (2016).
Gilday, L. C. et al. Halogen bonding in supramolecular chemistry. Chem. Rev. 115, 7118–7195 (2015).
Pancholi, J. & Beer, P. D. Halogen bonding motifs for anion recognition. Coord. Chem. Rev. 416, 213281 (2020).
Saccone, M. & Catalano, L. Halogen bonding beyond crystals in materials science. J. Phys. Chem. B 123, 9281–9290 (2019).
Desiraju, G. R. et al. Definition of the halogen bond (IUPAC Recommendations 2013). Pure Appl. Chem. 85, 1711–1713 (2013).
Aakeröy, C. B. et al. The quest for a molecular capsule assembled via halogen bonds. CrystEngComm. 14, 6366–6368 (2012).
Priimagi, A. et al. Halogen bonding versus hydrogen bonding in driving self-assembly and performance of light-responsive supramolecular polymers. Adv. Funct. Mater. 22, 2572–2579 (2012).
Dumele, O., Trapp, N. & Diederich, F. Halogen bonding molecular capsules. Angew. Chem. Int. Ed. 54, 12339–12344 (2015).
Szell, P. M. J., Zablotny, S. & Bryce, D. L. Halogen bonding as a supramolecular dynamics catalyst. Nat. Commun. 10, 916 (2019).
An, S., Hao, A. & Xing, P. [N···I···N]+ type halogen-bonding-driven supramolecular helical polymers with modulated chirality. ACS Nano 16, 19220–19228 (2022).
An, S., Hao, A. & Xing, P. Supramolecular axial chirality in [N–I–N]+-type halogen bonded dimers. Chem. Sci. 14, 10194–10202 (2023).
Carlsson, A.-C. C., Gräfenstein, J., Laurila, J. L., Bergquist, J. & Erdélyi, M. Symmetry of [N–X–N]+ halogen bonds in solution. Chem. Commun. 48, 1458–1460 (2012).
Ward, J. S., Fiorini, G., Frontera, A. & Rissanen, K. Asymmetric [N–I–N]+ halonium complexes. Chem. Commun. 56, 8428–8431 (2020).
Yu, S. & Ward, J. S. Ligand exchange among iodine(I) complexes. Dalton Trans 51, 4668–4674 (2022).
Ward, J. S., Gomila, R. M., Frontera, A. & Rissanen, K. Iodine(I) complexes incorporating sterically bulky 2-substituted pyridines. RSC Adv. 12, 8674–8682 (2022).
Ward, J. S. The solid-state hierarchy and iodination potential of [bis(3-acetaminopyridine)iodine(I)]PF6. CrystEngComm. 24, 7029–7033 (2022).
Ward, J. S., Sievänen, E. I. & Rissanen, K. Solid-state NMR spectroscopy of Iodine(I) complexes. Chem. Asian J. 18, e202201203 (2023).
Kumar, P. et al. The impact of ortho-substituents on bonding in Silver(I) and Halogen(I) complexes of 2-mono- and 2,6-disubstituted pyridines: an in-depth experimental and theoretical study. Chem. Eur. J. 29, e202303643 (2023).
Turunen, L. et al. [N⋅⋅⋅I+ ⋅⋅⋅N] Halogen-bonded dimeric capsules from Tetrakis(3-pyridyl)ethylene cavitands. Angew. Chem. Int. Ed. 55, 14033–14036 (2016).
Turunen, L., Warzok, U., Schalley, C. A. & Rissanen, K. Nano-sized I12L6 molecular capsules based on the [N⋅⋅⋅I+⋅⋅⋅N] halogen bond. Chem 3, 861–869 (2017).
Turunen, L. et al. Tetrameric and dimeric [N⋅⋅⋅I+⋅⋅⋅N] halogen-bonded supramolecular cages. Chem. Eur. J. 23, 11714–11718 (2017).
Taipale, E. et al. Dimeric iodine(I) and silver(I) cages from tripodal N-donor ligands via the [N–Ag–N]+ to [N–I–N]+ cation exchange reaction. Inorg. Chem. Front. 9, 2231–2239 (2022).
Yu, S., Kalenius, E., Frontera, A. & Rissanen, K. Macrocyclic complexes based on [N⋯I⋯N]+ halogen bonds. Chem. Commun. 57, 12464–12467 (2021).
Hassel, O. & Hope, H. Structure of the solid compound formed by addition of two molecules of iodine to one molecule of pyridine. Acta Chem. Scand. 15, 407–416 (1961).
Creighton, J. A., Haque, I. & Wood, J. L. The iododipyridinium ion. Chem. Commun. 229, (1966).
Haque, I. & Wood, J. L. The vibrational spectra and structure of the bis(pyridine)iodine(I), bis(pyridine)bromine(I), bis(γ-picoline)iodine-(I) and bis(γ-picollne)bromine(I) cations. J. Mol. Struct. 2, 217–238 (1968).
Barluenga, J., González, J. M., Campos, P. J. & Asensio, G. I. (py)2BF4, a new reagent in organic synthesis: general method for the 1,2-Iodofunctionalization of olefins. Angew. Chem. Int. Ed. 24, 319–320 (1985).
Barluenga, J., González, J. M., Garcia-Martin, M. A., Campos, P. J. & Asensio, G. An expeditious and general aromatic iodination procedure. J. Chem. Soc. Chem. Commun. 1016–1017 (1992).
Ezquerra, J. et al. Efficient reagents for the synthesis of 5-, 7-, and 5,7-substituted indoles starting from aromatic amines: scope and limitations. J. Org. Chem. 61, 5804–5812 (1996).
Espuña, G. et al. Control of the iodination reaction on activated aromatic residues in peptides. Chem. Commun. 1307–1308 (2000).
Barluenga, J., González-Bobes, F., Murguía, M. C., Ananthoju, S. R. & González, J. M. Bis(pyridine)iodonium tetrafluoroborate (IPy2BF4): a versatile oxidizing reagent. Chem. Eur. J. 10, 4206–4213 (2004).
Tanner, D. D. & Gidley, G. C. Free-radical iodination. A novel synthetic method. J. Am. Chem. Soc. 90, 808–809 (1968).
Barluenga, J., González-Bobes, F. & González, J. M. Activation of alkanes upon reaction with PhI(OAc)2–I2. Angew. Chem. Int. Ed. 41, 2556–2558 (2002).
Montoro, R. & Wirth, T. Direct iodination of alkanes. Org. Lett. 5, 4729–4731 (2003).
Kawasumi, R. et al. One-step conversion of levulinic acid to succinic acid using I2/t-BuOK system: the iodoform reaction revisited. Sci. Rep. 7, 17967 (2017).
Tanner, D. D., Gidley, G. C., Das, N., Rowe, J. E. & Potter, A. On the structure of tert-butyl hypoiodite. J. Am. Chem. Soc. 106, 5261–5267 (1984).
Courtneidge, J. L., Lusztyk, J. & Pagé, D. Alkoxyl radicals from alcohols. Spectroscopic detection of intermediate alkyl and acyl hypoiodites in the Suárez and Beebe reactions. Tetrahedron Lett. 35, 1003–1006 (1994).
Hokamp, T., Storm, A. T., Yusubov, M. & Wirth, T. Iodine monoacetate for efficient oxyiodinations of alkenes and alkynes. Synlett 29, 415–418 (2018).
Yu, S., Ward, J. S., Truong, K.-N. & Rissanen, K. Carbonyl hypoiodites as extremely strong halogen bond donors. Angew. Chem. Int. Ed. 60, 20739–20743 (2021).
Hartl, H. & Hedrich, M. Crystal and molecular structures of benzoato-pyridine-iodine(I) and phthalato-bis(pyridine-iodine(I)). Z. Naturforsch. B 36b, 922–928 (1981).
Wilson, L. M. E., Rissanen, K. & Ward, J. S. Iodination of antipyrine with [N–I–N]+ and carbonyl hypoiodite iodine(I) complexes. New J. Chem. 47, 2978–2982 (2023).
Ashikari, Y., Shimizu, A., Nokami, T. & Yoshida, J. Halogen and chalcogen cation pools stabilized by DMSO. Versatile reagents for alkene difunctionalization. J. Am. Chem. Soc. 135, 16070–16073 (2013).
Muñiz, K., García, B., Martínez, C. & Piccinelli, A. Dioxoiodane compounds as versatile sources for Iodine(I) chemistry. Chem. Eur. J. 23, 1539–1545 (2017).
Puttreddy, R., Kumar, P. & Rissanen, K. Pyridine Iodine(I) cations: kinetic trapping as a sulfonate complexes. Chem. Eur. J. 30, e202304178 (2024).
Moodley, V., Mthethwa, L., Pillay, M. N., Omondi, B. & van Zyl, W. E. The silver(I) coordination polymer [AgO2PPh2]n and unsupported Ag⋯Ag interactions derived from aminophosphinate and phosphinic acid. Polyhedron 99, 87–95 (2015).
Ward, J. S. et al. Carbonyl hypoiodites from pivalic and trimesic acid and their silver(I) intermediates. Dalton Trans. 51, 14646–14653 (2022).
Kolařík, V., Rissanen, K. & Ward, J. S. Fluoro and trifluoromethyl benzoyl hypoiodite complexes with substituted pyridines. Chem. Asian. J. 19, e202400349 (2024).
Carlsson, A.-C. C. et al. Substituent effects on the [N–I–N]+ halogen bond. J. Am. Chem. Soc. 138, 9853–9863 (2016).
Kramer, E., Yu, S., Ward, J. S. & Rissanen, K. Dihypoiodites stabilised by 4-ethylpyridine through O–I–N halogen bonds. Dalton Trans. 50, 14990–14993 (2021).
Mattila, M., Rissanen, K. & Ward, J. S. Chiral carbonyl hypoiodites. Chem. Commun. 59, 4648–4651 (2023).
Groom, C. R., Bruno, I. J., Lightfoot, M. P. & Ward, S. C. The Cambridge structural database. Acta Crystallogr. Sect. B 72, 171–179 (2016).
Spek, A. L. PLATON SQUEEZE: a tool for the calculation of the disordered solvent contribution to the calculated structure factors. Acta Crystallogr. Sect. C 71, 9–18 (2015).
Yu, S. et al. Halogen-bonded [N–I–N]− complexes with symmetric or asymmetric three-center–four-electron bonds. Cryst. Growth Des. 23, 662–669 (2023).
Yu, S., Kumar, P., Ward, J. S., Frontera, A. & Rissanen, K. A. A “nucleophilic” iodine in a halogen-bonded iodonium complex manifests an unprecedented I+···Ag+ interaction. Chem 7, 948–958 (2021).
Ward, J. S., Frontera, A. & Rissanen, K. Utility of three-coordinate silver complexes toward the formation of iodonium ions. Inorg. Chem. 60, 5383–5390 (2021).
Kumar, P. et al. Linear bis-coordinate Silver(I) and Iodine(I) complexes with R3R2R1N tertiary amines. Chem. Eur. J. 29, e202302162 (2023).
Ward, J. S., Frontera, A. & Rissanen, K. Iodonium complexes of the tertiary amines quinuclidine and 1-ethylpiperidine. Dalton Trans. 50, 8297–8301 (2021).
Zhao, Y. & Truhlar, D. G. The M06 suite of density functionals for main group thermochemistry, thermochemical kinetics, noncovalent interactions, excited states, and transition elements: two new functionals and systematic testing of four M06-class functionals and 12 other function. Theor. Chem. Acc. 120, 215–241 (2008).
Spartan’20 (Wavefunction Inc., Irvine, CA, USA, 2018).
Zhang, X. & Herbert, J. M. Excited-state deactivation pathways in uracil versus hydrated uracil: solvatochromatic shift in the 1nπ* state is the key. J. Phys. Chem. B 118, 7806–7817 (2014).
Lange, A. W. & Herbert, J. M. Symmetric versus asymmetric discretization of the integral equations in polarizable continuum solvation models. Chem. Phys. Lett. 509, 77–87 (2011).
Campos, P. J., Arranz, J. & Rodríguez, M. A. α-Iodination of enaminones with bis(pyridine)iodonium(I) tetrafluoroborate. Tetrahedron Lett. 38, 8397–8400 (1997).
Schumacher, C. et al. Halogen bonding and mechanochemistry combined: synthesis, characterization, and application of N-iodosaccharin pyridine complexes. Org. Chem. Front. 11, 781–795 (2024).
von der Heiden, D. et al. Are bis(pyridine)iodine(I) complexes applicable for asymmetric halogenation? Org. Biomol. Chem. 19, 8307–8323 (2021).
Sheldrick, G. M. SHELXT-integrated space-group and crystal-structure determination. Acta Crystallogr. Sect. A 71, 3–8 (2015).
Dolomanov, O. V., Bourhis, L. J., Gildea, R. J., Howard, J. A. K. & Puschmann, H. OLEX2: a complete structure solution, refinement and analysis program. J. Appl. Crystallogr. 42, 339–341 (2009).
Sheldrick, G. M. Crystal structure refinement with SHELXL. Acta Crystallogr. Sect. C 71, 3–8 (2015).
Acknowledgements
Prof. Risto S. Laitinen is thanked for useful discussions regarding the naming of the complexes. K.R. and J.S.W. gratefully acknowledge the Research Council of Finland (formerly the Academy of Finland, grant numbers 351121 and 356187, respectively) for funding.
Author information
Authors and Affiliations
Contributions
S.M. was responsible for the investigation and methodology. K.R. was responsible for supervision and additional writing, reviewing, and editing. J.S.W. was responsible for the conceptualisation, investigation (SCXRD), and supervision, as well as the visualisation and writing of the original draft. K.R. and J.S.W. were both responsible for the acquisition of funding.
Corresponding author
Ethics declarations
Competing interests
The authors declare no competing interests.
Peer review
Peer review information
Communications Chemistry thanks the anonymous reviewers for their contribution to the peer review of this work.
Additional information
Publisher’s note Springer Nature remains neutral with regard to jurisdictional claims in published maps and institutional affiliations.
Rights and permissions
Open Access This article is licensed under a Creative Commons Attribution 4.0 International License, which permits use, sharing, adaptation, distribution and reproduction in any medium or format, as long as you give appropriate credit to the original author(s) and the source, provide a link to the Creative Commons licence, and indicate if changes were made. The images or other third party material in this article are included in the article’s Creative Commons licence, unless indicated otherwise in a credit line to the material. If material is not included in the article’s Creative Commons licence and your intended use is not permitted by statutory regulation or exceeds the permitted use, you will need to obtain permission directly from the copyright holder. To view a copy of this licence, visit http://creativecommons.org/licenses/by/4.0/.
About this article
Cite this article
Mohan, S., Rissanen, K. & Ward, J.S. Iodine(I) pnictogenate complexes as Iodination reagents. Commun Chem 7, 159 (2024). https://doi.org/10.1038/s42004-024-01240-0
Received:
Accepted:
Published:
Version of record:
DOI: https://doi.org/10.1038/s42004-024-01240-0










