Extended Data Fig. 7: Brain lysoPC association in ROSMAP cohort.
From: Lysophosphatidylcholines are associated with amyloidosis in early stages of Alzheimer’s disease

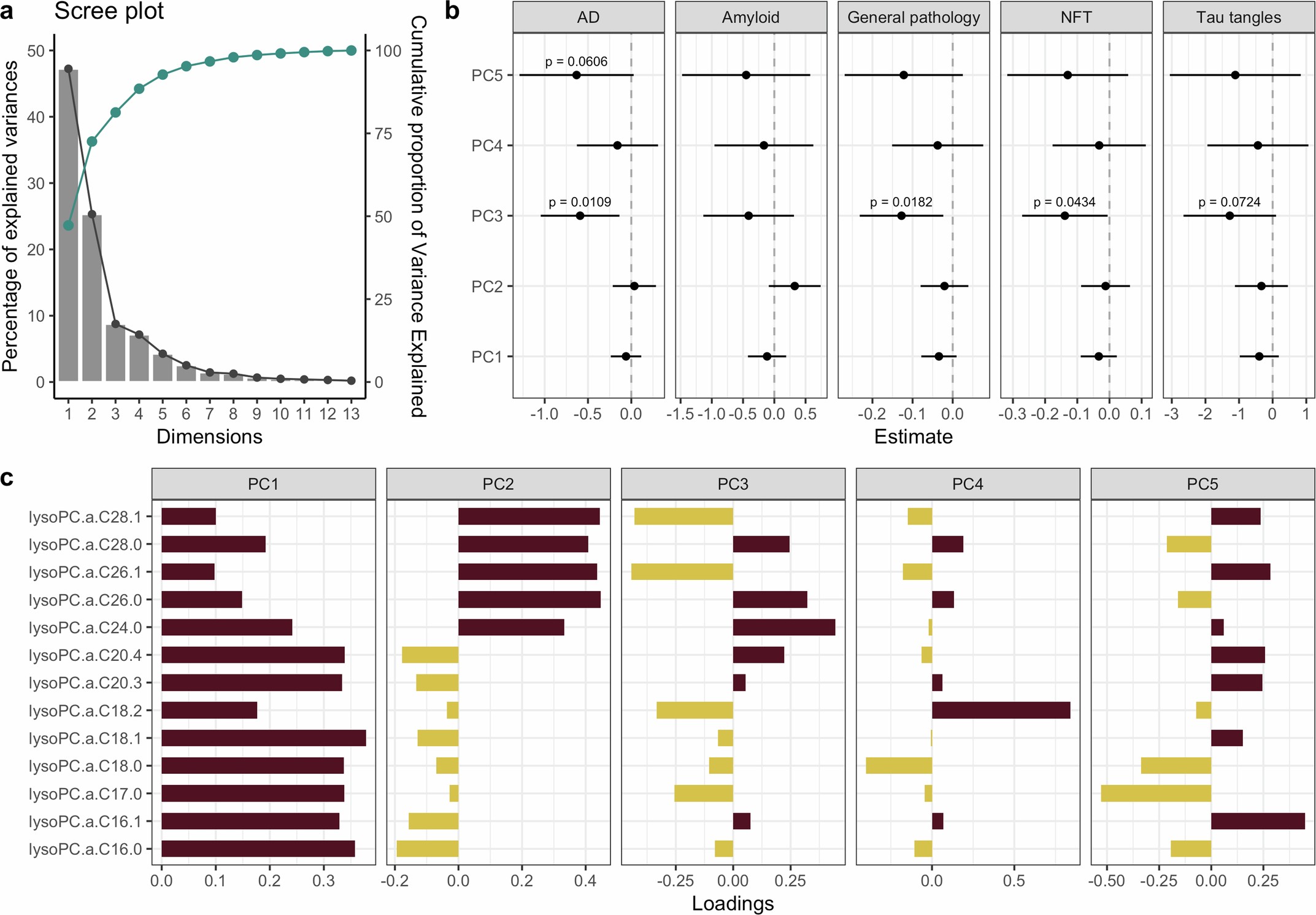
In a, the first five principal components explained over 95% of the variance. In b, PC3 was nominally associated with pathological definition of AD, tau tangles, general pathology and neurofibrillary tangles. In c, lysoPCs detected in the ROSMAP cohort. EPA and DHA carrying lysoPCs were not detected but lysoPC.a.20.4, which carries AHA, was measured.