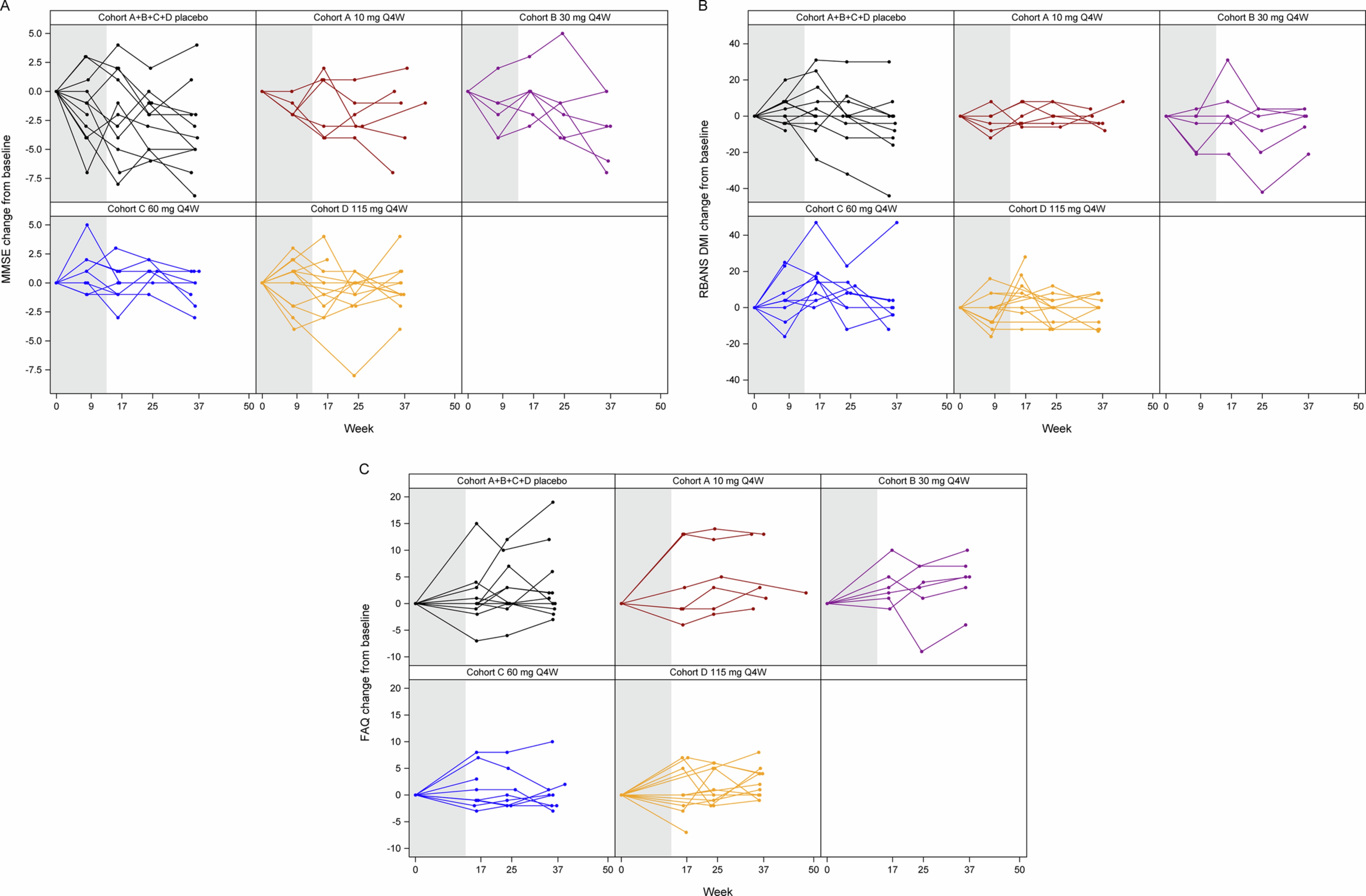
Extended Data Fig. 1: Spaghetti plots of MMSE (A), RBANS DMI (B), and FAQ (C) change from baseline during the MAD period.

FAQ, Functional Activities Questionnaire; MAD, multiple–ascending dose; MMSE, Mini-Mental State Examination; Q4W, every 4 weeks; RBANS DMI, Repeatable Battery for the Assessment of Neuropsychological Status delayed memory index. FAQ was not collected at week 9. Grey shading indicates the 13-week treatment period.