Abstract
Background
Defining the kinetics of SARS-CoV-2 antibody responses is critical for informing the management of reinfections, vaccinations, and therapeutics of Coronavirus disease 2019 (COVID-19).
Methods
Using four antibody assays, we evaluated antibody titers against SARS-CoV-2 nucleocapsid (N), spike (S), and receptor binding domain (RBD) in 98 convalescent participants with varying COVID-19 disease severities (asymptomatic, mild, moderate or severe) at 1, 3, 6, and 12-months post-SARS-CoV-2-positive PCR and in 17 non-vaccinated, non-infected controls.
Results
Increasing acute COVID-19 disease severity correlates with higher anti-N and anti-RBD titers throughout 12 months post-infection. Anti-N and anti-RBD titers decline over time in all participants, except for increased anti-RBD titers post-vaccination, with hospitalized participants exhibiting faster decay rates. Less than 50% of participants retain anti-N titers above controls at 12 months, with non-hospitalized participants falling below controls sooner. Nearly all participants maintain anti-RBD titers above controls for 12 months, suggesting long-term protection against severe reinfections. Nonetheless, by 6 months, few participants retain >50% of their initial 1-month anti-N or anti-RBD titers. Notably, vaccine-induced anti-RBD titers are higher in non-hospitalized participants. Lastly, early convalescent titers correlate with age but not with Post-Acute Sequelae of SARS-CoV-2 infection (PASC) status or steroid use.
Conclusion
Hospitalized participants initially develop higher anti-SARS-CoV-2 antibody titers that decline faster relative to non-hospitalized participants. While anti-N titers fall below control levels in some participants, anti-RBD titers remain above controls over 12 months, demonstrating long-lived antibody responses known to protect against severe disease. These findings advance our understanding of COVID-19 antibody dynamics.
Plain Language Summary
This study explores how the immune system responds to COVID-19 over time by measuring antibodies, small proteins that help fight infection. We studied 98 participants who recovered from COVID-19 with varying illness severities and 17 who were never infected. Blood samples were collected over a year to track changes in antibody levels. Our results show that severe illness leads to higher antibody levels, though with a more precipitous antibody decline than in milder cases. Notably, antibodies that offer long-term protection against severe COVID-19 remain high for 12 months after the infection in most individuals. Lastly, vaccination boosts antibody levels, particularly in individuals with milder illness. Our research enhances understanding of immunity post COVID-19 and informs vaccination and reinfection prevention strategies.
Similar content being viewed by others
Introduction
Severe acute respiratory syndrome coronavirus 2 (SARS-CoV-2) infection, leading to Coronavirus disease 2019 (COVID-19), has accounted for more than 766 million infections and nearly 7 million deaths worldwide1. Although SARS-CoV-2 vaccines have substantially lowered severe COVID-19 cases, vaccination coverage remains suboptimal. As of May 2024, only around 22% of US adults have received updated 2023-2024 COVID-19 vaccinations2. The ongoing emergence of new variants, reinfections, vaccine hesitancy, and immune escape from monoclonal antibodies3 underscores the continued need to study longitudinal immune responses to SARS-CoV-2 infection and vaccination.
The humoral immune response to SARS-CoV-2 infection or vaccination is multifaceted, leading to production of diverse antibodies to multiple epitopes that emerge with different kinetics and have distinct roles in immune protection4. For example, antibodies to the nucleocapsid (N) protein are made early in the infection5, do not have viral neutralizing capacity, and are generated only in response to the natural SARS-CoV-2 infection and not vaccination. Interestingly, anti-N antibodies may be generated due to cross-reactivity to other coronaviruses6. In turn, antibodies to the receptor binding domain (RBD) of the spike (S) protein emerge slightly later post-infection, are responsible for viral neutralization, and are produced in response to both natural SARS-CoV-2 infection and vaccination, as currently approved vaccines encode S6.
While some studies suggest that more severe COVID-19 disease correlates with higher antibody titers to SARS-CoV-27,8, other studies found no differences in antibody levels between individuals with different illness severities9,10. The difference in findings in the existing literature may relate to variation in study design, such as inclusion of small cohorts, focus on short-term follow-up of up to 6 months, lack of inclusion of asymptomatic individuals, or primary focus on either N, RBD, or S antibody dynamics. Also, few studies have directly compared SARS-CoV-2 antibody titers in the same cohort of individuals prior to and post-SARS-CoV-2 vaccination. Given that different SARS-CoV-2 antibodies serve different functions, it continues to be important to discern the time course that specific SARS-CoV-2 antibodies follow and whether these patterns vary in individuals with different initial peak disease severities. Understanding these temporal kinetics and longevity of specific SARS-CoV-2 antibodies will continue to inform strategies to minimize infectious surges and their severity, aid in vaccination and therapy approaches, and provide tailored clinical advice to patients on timing of vaccinations.
In this study, we show that antibody titers to SARS-CoV-2 epitopes exhibit distinct dynamics over 12 months. Anti-RBD titers remain elevated in most individuals, indicating long-lived responses associated with protection against severe disease, while anti-N titers decline more rapidly. Our findings reveal differential antibody trajectories by disease severity and vaccination status and highlight the potential of vaccination to enhance immunity. These insights may offer valuable guidance for optimizing vaccine timing and strategies to mitigate reinfections.
Methods
Institutional review board
This study was approved by the UT Austin Institutional Review Board (IRB ID: 2020-04-0117). Written informed consent was obtained from all participants in accordance with local and national regulations and all participant data were anonymized.
Participant recruitment
The study size was determined through power analysis during the study design phase. With an anticipated Cohen’s D effect size of 0.6, alpha of 0.05, and power of 0.86, we calculated a required sample size of 50 participants per group (hospitalized vs. non-hospitalized).. Our final enrollment of participants across severity groups met these predetermined sample size requirements. We recruited 98 participants positive for a first acute SARS-CoV-2 infection and 17 healthy participant controls (controls) with no known COVID-19 exposure in Central Texas between July 2020 and September 2021 (Fig. 1). Participants were recruited using multiple approaches, including word of mouth, lab websites of participating principal investigators, advertisements, physician referrals, and referrals from Austin Public Health.
a Sample size of acute COVID-19 participants in the cohort by disease severity. b Participant serum was collected at 1, 3, 6, and 12 months post-positive PCR. c ELISA schematic of detection of N and RBD antibodies in participant serum. d Reported COVID-19 cases in the recruitment county (Travis County) over the time of recruitment. e Distribution of symptom onset or PCR+ for asymptomatic individuals in the cohort by acute COVID-19 severity. (Short tick marks = individual participants’ symptom onset or PCR+; Long tick marks = interquartile range within each disease severity group.)
Each participant’s disease severity was categorized as asymptomatic (no symptoms, non-hospitalized), mild (symptomatic, non-hospitalized), severe (hospitalized, non-intensive care unit), or critical (hospitalized, intensive care unit). For some analyses, participants were categorized by hospitalization status (asymptomatic and mildly ill (non-hospitalized); severely and critically ill (hospitalized)). COVID-19 status was confirmed by PCR or Atellica IM sCOVG assay (Ref. 11207388, Siemens Healthineers, Pennsylvania, USA). To minimize potential confounding effects on antibody dynamics, individuals with autoimmune diseases or those taking immunosuppressive protein drugs (e.g., biologics) were excluded from the study. However, participants who transiently received immunosuppressive drugs (e.g., corticosteroids) as treatment during acute COVID-19 infection were eligible for inclusion. In addition to negative PCR and anti-SARS-CoV-2 antibody test status, healthy controls also reported no COVID-19 symptoms at the time of enrollment.
Blood samples from COVID-19 participants were collected at four time intervals post-infection: 1, 3, 6, and 12-months following the initial positive SARS-CoV-2 test result. Participants were recruited within 2 weeks of each defined timepoint. A total of 8 specimens were collected outside of these defined time windows (Supplementary Fig. 1) and were only included in the analyses when time was treated as a continuous variable. Samples from COVID-19 negative controls were collected once. EMR records were reviewed for steroid administration for downstream analysis.
Sample collection and preparation
After the initial consent visit, participants were contacted via phone or email for sample collection at 1, 3, 6, and 12 months post-initial SARS-CoV-2 testing. Patient information and survey responses for this study were collected using REDCap (Research Electronic Data Capture). Blood samples were collected in Ethylenediaminetetraacetic acid (EDTA) tubes (Greiner Bio-One Vacuette EDTA tubes cat. no. 456002 or BD Vacutainer EDTA tubes cat. No. 367899) at hospitals in the Austin area, at the UT Health Austin outpatient center, or in participant homes between July 2020 and September 2022. The samples, processed the same day of collection, were centrifuged at 2000 rpm at 4°C for 10 min and plasma was aliquoted and stored at -80°C for future immune assays (except for one participant, who had only serum banked for one timepoint). In addition to samples, participants were surveyed about vaccination status, reinfections, and symptoms at each visit.
Enzyme-linked immunosorbent assays
Participant plasma samples were tested using four SARS-CoV-2 assays. First, two commercial semi-quantitative enzyme-linked immunosorbent assays (ELISA) were used to detect IgG titers against SARS-CoV-2 N and RBD antigens (Cat. No. Nucleocapsid 448007, RBD 447707, BioLegend, California, USA). The ELISAs were run according to manufacturer’s protocol, except the S309 antibody11, which binds the SARS-CoV-2 S protein, was substituted for the BioLegend-supplied anti-RBD standard antibody to ensure consistency between RBD and S assays. Prior to substituting S309, we validated its use as an appropriate standard in the BioLegend anti-RBD ELISA assay (Supplementary Fig. 2). Second, Anti-RBD IgG titers were additionally measured using an indirect chemiluminescent immunoassay using the Atellica IM sCOVG assay (Ref. 11207388, Siemens Healthineers, Pennsylvania, USA) following manufacturer’s instructions. Finally, research ELISAs were developed to quantify IgG titers against whole SARS-CoV-2 S protein. In all assays, antibody titers were assessed against S, RBD, and N proteins derived from the Wuhan strain of SARS-CoV-2. Participant plasma samples for ELISAs were diluted at ratios 1:250, 1:750, 1:2250, 1:6750, and 1:20250 and run in duplicate. For ELISAs, two COVID-positive participant samples were included across multiple plates as internal batch controls, and results were measured using a FlexStation 3 Multi-Mode Microplate Reader (Molecular Devices, California, USA) at an optical density of 450 nm and 570 nm. The absorbance at 570 nm was then subtracted from the absorbance at 450 nm to remove background. Unless specified otherwise, anti-N and anti-RBD commercial ELISA results were used in the data analysis.
For the development of research ELISAs, HexaPro S protein12 was coated at 1 µg/mL on Costar® 96-well assay plates (High Binding polystyrene, Corning) overnight at 4 °C. Plates were blocked with 5% milk in 0.1% Tween-20 in phosphate buffered saline (PBS-T) for 1 h at room temperature. The S309 standard control antibody at 100 ng/mL was serially diluted three-fold seven times in PBS-T milk. Both participant samples and standards were run in duplicate. Antibody was allowed to bind for 45 min at room temperature, plates were washed three times with PBS-T, and 325 ng/mL goat anti-human Fc-HRP secondary (Southern Biotech, 1:2000 dilution from 0.65 mg/mL stock) was added for 30 min at room temperature. After washing three times with PBS-T, Pierce TMB Substrate (Thermo Fisher) was added. The colorimetric reaction was quenched using 50 µL of 1 N HCl and absorbance of each well at 450 nm was measured.
Statistics and reproducibility
Antibody concentrations in ELISAs were quantified using standard curves. The standard curve data were modeled using the four-parameter logistic (4PL) curve-fitting method13. The quality of the curve fit was assessed using the standard recovery procedure with recovery values between 70 and 120%14. The 4PL equation was subsequently used to calculate unknown concentrations in the sample’s serial dilution set; the concentrations that best fit the curve were selected.
To model longitudinal antibody decay to natural infection exclusively, RBD data collected after a subject received a vaccination or was reinfected were excluded from analyses unless otherwise noted. To account for reinfections during the study, samples with anti-N and anti-RBD titers that were 1·5 times higher relative to their preceding titer were considered a reinfection, even if COVID-19 symptoms were not reported by the participant. Antibody titers were log10-transformed for modeling and statistical analysis (or for downstream analysis).
The association between increasing disease severity and antibody levels at different timepoints was measured using cumulative link models15, while controlling for age and sex. The Wilcoxon rank-sum test with Benjamin/Hochberg p-value correction was used for pairwise comparisons between disease severity groups for each time point in which titers differed significantly across severity groups. We used the nonparametric Spearman’s correlation to measure the strength and direction of association between continuous measures. Generalized additive mixed effect modeling with the R package mgcv (v 1.8.40) was used to evaluate the significance of severity in longitudinal antibody decay while controlling for age and sex.
Survival analysis was performed to estimate time to titers falling below the 95%-quantile-control-levels and time to titers falling below half of 1-month titers for all severities using the R package Interval (v 1.1.0.8)16. Rate parameters (lambdas) referred to as decay constants, were calculated based on the parametric exponential survival model. Our data were interval and right censored due to unknown exact time-to-event.
For all analyses except those in which pre- and post-vaccination titers were assessed, datapoints for anti-RBD and anti-S were excluded for samples collected after participant vaccination. Datapoints for antibody titers to all antigens were excluded post reinfection.
All graphing and analyses were conducted using R 4.1.0. and an alpha of 0·05 was used to determine significance across all statistical testing. Computational analyses were performed using the Biomedical Research Computing Facility at UT Austin, Center for Biomedical Research Support. RRID#: SCR\_021979.
Sensitivity analyses
Several sensitivity analyses were performed to assess the robustness of our findings. First, we validated antibody measurements using multiple assays, comparing anti-RBD titers between commercial ELISA and Siemens chemiluminescent immunoassay, and correlating anti-RBD with anti-S titers. Second, we conducted analyses both including and excluding post-vaccination samples to assess vaccination effects on antibody dynamics. Third, we employed two different thresholds to evaluate antibody persistence: maintenance of >50% of initial (1-month) titers and maintenance of titers above the 95% quantile of control levels. Finally, all analyses of severity-dependent antibody responses were performed both with and without controlling for age and sex to account for potential demographic confounding effects.
Reporting summary
Further information on research design is available in the Nature Portfolio Reporting Summary linked to this article.
Results
Participant demographics
Ninety-eight participants with PCR-confirmed SARS-CoV-2 infections and 17 age- and sex-matched controls without history of COVID-19 infection or vaccination were enrolled into the study. Participants were stratified by self-reported COVID-19 severity, with 10 (10%) asymptomatic, 42 (43%) mildly ill (symptomatic, non-hospitalized), 35 (36%) severely ill (hospitalized, non-intensive care unit (ICU)), and 11 (11%) critically ill (hospitalized, ICU) participants. Of the COVID-19 positive cohort, 79 (81%) participants had biospecimens collected at 1 month, and 52 (51%) had biospecimens collected at all four timepoints (1, 3, 6, and 12 months), with an average of 3.6 samples per infected participant (Supplementary Fig. 1). The drop in biospecimen collection was due to participants being lost to follow-up. All samples (365) were assayed for anti-N and anti-RBD IgG titers, and 306 (84%) were assayed for anti-S IgG titers.
Participant ages spanned 18–87 years and the median age for the COVID-19 positive cohort was 42 years. 51 (52%) of the SARS-CoV-2 positive participants were female and 46 participants (47%) identified as Hispanic, with additional demographic and clinical information provided in Table 1. Enrollment in the study was restricted to unvaccinated participants. Between their positive PCR test and the end of the study, 65 (57%) participants received at least one COVID-19 vaccination. Sixteen (14%) participants experienced reinfections during the study, determined by either participant reporting a reinfection or a 1·5-fold increase in anti-N and anti-RBD titers relative to the prior sample collection timepoint.
Concordant antibody measurements across laboratory-developed and commercial assays
We analyzed anti-SARS-CoV-2 titers across four different assays and measured associations between antibody responses to RBD versus whole S protein at 1, 3, 6, and 12 months post-acute SARS-CoV-2 infection for participants with different disease severities. Anti-RBD titers, assayed with a commercial ELISA kit, were similar to anti-RBD titers assayed with the Siemens large-scale indirect chemiluminescent immunoassay (Supplementary Fig. 3A, Spearman correlation R = 0.88, p < 2 × 2e − 16). Anti-RBD titers also strongly correlated with anti-S titers by ELISA, validating the anti-S laboratory-developed ELISA (Supplementary Fig. 3B, Spearman correlation R = 0.83, p < 2 × 2e − 16).
Anti-SARS-CoV-2 antibody titers correlate with acute COVID-19 severity both initially and in convalescence
We next sought to determine whether there was a difference in convalescent SARS-CoV-2 antibody titers based on acute COVID-19 severity. We found that anti-N, anti-RBD, and anti-S IgG titers were significantly associated with acute disease severity at 1 month post-positive SARS-CoV-2 PCR (overall anti-N p.adj = 1 × 3E − 4, anti-RBD p.adj = 8 × 5E − 3, anti-S p.adj = 8 × 5E − 3, controlling for age and sex) (Fig. 2a–c), with the critically ill participants exhibiting the highest convalescent antibody titers. Notably, the association between acute disease severity and convalescent antibody titers was maintained over 12 months for anti-N IgG (3 months p.adj = 0.0012, 6 months p.adj = 0.0021, 12 months p.adj = 0.01), and for 3 months for anti-RBD IgG (3 months p.adj = 0.0094). While overall acute disease severity was significantly associated with anti-N titers up to 12 months, pairwise comparisons between severity groups at 12 months did not demonstrate statistical significance post-correction for multiple testing. Notably, we had lower power to resolve persistent association between severity and titers for anti-RBD and -S compared to anti-N because post-vaccination data were removed for these 2 assays.
Box and whisker plots of a Anti-N, b Anti-S, and c Anti-RBD (measured with the BioLegend anti-RBD ELISA kit) IgG titers for asymptomatic (A), mild (M), severe (S), and critical (Crt) groups at 1, 3, 6, and 12 months post-positive SARS-CoV-2 PCR. Sample sizes (n) for Anti-N are 1 month (n = 79), 3 months (n = 83), 6 months (n = 83), and 12 months (n = 66); for Anti-S are 1 month (n = 63), 3 months (n = 57), 6 months (n = 31), and 12 months (n = 11); and for Anti-RBD are 1 month (n = 75), 3 months (n = 61), 6 months (n = 37), and 12 months (n = 16). Global p-values were obtained using a cumulative link model testing the association between disease severity and antibody titers, controlling for age and sex. Pairwise comparisons were performed using the Wilcoxon test with FDR correction (* p.adj ≤ 0.05, ** p.adj ≤ 0.01, *** p.adj ≤ 0.001). Dotted lines indicate the 95% quantile of healthy controls.
Vaccination increases anti-RBD titers in hospitalized and non-hospitalized participants, but decreases the ratio of anti-RBD:anti-S
As antibodies against SARS-CoV-2 RBD are associated with viral neutralization, we sought to test the extent to which vaccination increased participants’ anti-RBD antibody titers. We evaluated anti-N and anti-RBD titers at 3, 6, and 12 months post-positive SARS-CoV-2 PCR, relative to participants’ titers at 1-month post-infection. Participant samples were stratified by hospitalization status, and we compared mean antibody titers in samples categorized by vaccination status (i.e., before and after vaccination). In pre-vaccination samples from both hospitalized and non-hospitalized participants, a decline in anti-N and anti-RBD levels is evident over the 12 month time-course (Fig. 3a, b). As expected, anti-N titers were not impacted by vaccination (Fig. 3a). Anti-RBD titers increased significantly following vaccination, regardless of participants’ hospitalization status (non-hospitalized: p = 1 × 5E − 6 (3 months), p = 5 × 4E − 6 (6 months), p = 3E − 4 (12 months) and for hospitalized: p = 3E − 3 (3 months), p = 3 × 9E − 7 (6 months), p = 3E − 3 (12 months)) (Fig. 3b). The ratio of anti-RBD/ anti-N titers did not differ significantly between hospitalized versus non-hospitalized participants at any timepoint (Supplementary Fig. 4), although this ratio did increase in both groups following vaccination, as expected (Fig. 3a, b). Notably, anti-RBD titers were elevated to a greater extent after vaccination in non-hospitalized compared to hospitalized participants at 3- (p.adj = 4E − 2) and 12-month (p.adj = 4 × 7E − 2) timepoints.
Log2 fold change compared to 1-month for a Anti-N and b anti-RBD IgG levels. Hospitalized sample sizes (n): 3 months before 1st vaccination (n = 25), after 1st vaccination (n = 11); 6 months before 1st vaccination (n = 14), after 1st vaccination (n = 25); 12 months non-hospitalized (n = 5), hospitalized (n = 25). Anti-N non-hospitalized sample sizes (n): 3 months non-hospitalized (n = 36), hospitalized (n = 11); 6 months non-hospitalized (n = 23), hospitalized (n = 21); 12 months non-hospitalized (n = 11), hospitalized (n = 25). c Anti-RBD to anti-S ratio at 1, 3, 6, and 12 months post-positive SARS-CoV2 PCR, separated by whether the samples were collected before or after the 1st vaccination. Before 1st vaccination sample sizes (n): 1 month non-hospitalized (n = 36), hospitalized (n = 39); 3 months non-hospitalized (n = 36), hospitalized (n = 25); 6 months non-hospitalized (n = 23), hospitalized (n = 14); 12 months non-hospitalized (n = 11), hospitalized (n = 5). After 1st vaccination sample sizes (n): 1 month non-hospitalized (n = 1), hospitalized (n = 3); 3 months non-hospitalized (n = 11), hospitalized (n = 11); 6 months non-hospitalized (n = 21), hospitalized (n = 25); 12 months non-hospitalized (n = 25), hospitalized (n = 25). d Anti-RBD to anti-S IgG ratio before and after 1st vaccination for all samples; paired sample size (n = 49). Pairwise comparisons were performed using the Wilcoxon test with FDR correction (* p.adj ≤ 0.05, ** p.adj ≤ 0.01, *** p.adj ≤ 0.001). Dashed lines indicate 1-month titer levels.
Considering the essential role of anti-RBD in viral neutralization, we next tested if the relative titers of antibodies against RBD versus total S protein differed according to hospitalization or vaccine status. Prior to vaccination, hospitalized participants had a significantly higher anti-RBD to anti-S IgG ratio at 1-month post-PCR test compared to non-hospitalized participants (p.adj = 0·048). Similarly, post-vaccination, hospitalized participants had an elevated ratio of anti-RBD to anti-S IgG at 3 months post-PCR test relative to non-hospitalized participants (p.adj = 0.017) (Fig. 3c). In addition, paired comparisons of mean titers pre- and post-first vaccination across all disease severities demonstrated that the anti-RBD to anti-S IgG ratio significantly decreased in convalescent participants post-vaccination (p = 1 × 1e−4) (Fig. 3d).
Anti-N SARS-CoV-2 antibody titers decay faster, but remain higher, in hospitalized compared to non-hospitalized participants over 12 months post-SARS-CoV-2 infection
We next analyzed the decay kinetics of anti-N IgG titers (for all samples) and anti-RBD IgG titers (for pre-vaccination samples) over the course of 12 months post-confirmed infection. Anti-N and anti-RBD titers declined over 12 months for participants of all disease severities (Fig. 4a, b). However, the rate of decay was generally greater in hospitalized relative to non-hospitalized participants. Specifically, as a measure of antibody longevity, we examined the percent of participants at 3, 6, and 12 months who sustained SARS-CoV-2 antibody titers against N and RBD above 50% of their individual 1-month levels (Fig. 4c, d). The proportion of participants with anti-N titers remaining above 50% of their 1-month levels declined with decay constant of 0.604 month−1 in hospitalized versus 0.237 month−1 non-hospitalized participants, and anti-RBD titers declined with decay constants of 0.628 month−1 in hospitalized versus 0.345 month−1 non-hospitalized participants. Of note, despite the faster antibody decay rate in hospitalized participants, given their substantially higher anti-N and anti-RBD titers at 1 month, antibody titers generally remained higher over the study period in hospitalized relative to non-hospitalized participants (Fig. 4a, b; overall anti-N p.adj = 1 × 3E − 4, anti-RBD p.adj = 8 × 5E − 3, controlling for age and sex).
Longitudinal decay of a anti-N and b anti-RBD antibody titers in participants stratified by initial disease severity. Participant timepoints are connected by light gray lines. The healthy controls 95% confidence interval is represented by a dashed line. Percentage of participants whose c anti-N titers and d anti-RBD titers remained above 50% of their respective 1-month post-infection titers over 12 months. Percentage of participants whose e anti-N and f anti-RBD antibody titers remained above the 95th quantile of controls over 12 months in all participants. Sample sizes are provided in the tables accompanying each respective plot. Dashed lines in c–f represent 95% confidence intervals.
For anti-N, there was a significant difference in the frequencies of non-hospitalized versus hospitalized participants retaining titers above 50% of initial titers (asymptotic logrank two-sample test p value = 0.01). By 3 months, 50% of non-hospitalized and 22.2% hospitalized participants retained at least 50% of their 1-month anti-N titers (Fig. 4c). By 6 months, only 25% of non-hospitalized and 3.3% of hospitalized participants retained anti-N titers above 50% of 1-month levels, consistent with a faster antibody decay rate for hospitalized participants. For anti-RBD, by 3 months, 56.5% of non-hospitalized and 30% hospitalized participants had titers above 50% of their 1-month titers (Fig. 4d). This percentage decreased to 14.3% of non-hospitalized and 0% of hospitalized participants by 6 months and to 0% by 12 months for both non-hospitalized and hospitalized participants, indicating that none of the participants retained 50% of their initial RBD by 12 months of infection. However, there was no significant difference in the rate of decline in anti-RBD titers between non-hospitalized and hospitalized participants.
Longevity of anti-SARS-Cov-2 antibody titers in participants relative to uninfected control participant titers
To evaluate when anti-SARS-CoV-2 antibody titers decline to levels of uninfected control participants, we compared anti-N and anti-RBD IgG titers in infected participants over 12 months post-confirmed infection relative to the 95% quantile of titers in uninfected control participants (Fig. 4e, f). We observed that the frequency of participants with anti-N titers over control levels declined faster for non-hospitalized compared to hospitalized participants (asymptotic logrank two-sample test p value = 0.002). At 1 and 3 months post-infection, over 50% of non-hospitalized and hospitalized participants had antibody titers exceeding the 95% quantile of control levels (Fig. 4e, f). By 6 months, 46.5% of non-hospitalized and 71.8% of hospitalized participants maintained anti-N antibody levels above control titers. Finally, by 12 months, less than 25% of non-hospitalized and 50% of hospitalized participants retained anti-N antibody levels above control titers, demonstrating a faster decline in the frequency of non-hospitalized participants whose anti-N titers remain above control levels. Interestingly, although anti-RBD titers decayed with time (Fig. 4b), they remained above the 95% quantile of pre-COVID-19 control levels over 12 months, regardless of acute disease severity (Fig. 4f).
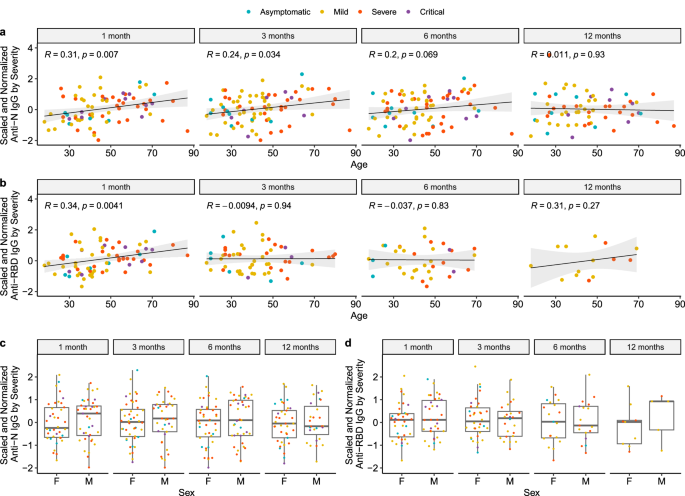
Age correlates with SARS-CoV-2 antibody titers at early post-infection timepoints
There was a moderate, but significant positive correlation between age and antibody titers at 1 month for anti-N (Spearman correlation R = 0.32, p = 0.0049), and for anti-RBD antibodies (Fig. 5a, b, Spearman correlation R = 0.35 with p = 0.0023. These correlations remained significant despite controlling for severity. However, it remains possible that the correction may not completely remove the association between age and severity, as further explored in the discussion. In contrast, there was no correlation between sex and antibody titers at any of the tested timepoints (Fig. 5c, d).
Correlation between age and a anti-N IgG levels and b anti-RBD IgG levels while controlling for disease severity. Sample sizes (n) are as follows: anti-N 1 month (n = 79), 3 months (n = 83), 6 months (n = 83), 12 months (n = 66); anti-RBD 1 month (n = 75), 3 months (n = 61), 6 months (n = 37), 12 months (n = 16). Correlation between sex and c anti-N IgG levels and d anti-RBD IgG levels while controlling for disease severity. Sample sizes (n) are as follows: anti-N 1 month female (n = 40), male (n = 39); 3 months female (n = 45), male (n = 38); 6 months female (n = 43), male (n = 40); 12 months female (n = 38), male (n = 28); anti-RBD 1 month female (n = 39), male (n = 36); 3 months female (n = 35), male (n = 26); 6 months female (n = 19), male (n = 18); 12 months female (n = 9), male (n = 7). F female, M male.
PASC status is not associated with anti-N and anti-RBD convalescent antibody titers
In our study, participants who had at least one persistent symptom per body system for longer than 1 month after a positive COVID-19 test at 2 or more visits were classified as having post-acute sequelae of COVID-19 (PASC). Using this criterion, 16.3% of the cohort developed PASC, which included long-term symptoms such as brain fog, fatigue, insomnia, headaches, myalgias, cough, and dyspnea (Table 2). Stratifying participants by disease severity groups, 0/10 (0%) of asymptomatic, 6/42 (14.3%) of mildly ill, 8/35 (22.9%) of severely ill, and 2/11 (18.2%) of critically ill participants reported PASC symptoms. There was no significant correlation between PASC status and anti-N or anti-RBD antibody titers at initial or subsequent timepoints over the course of 12 months.
No association between acute stage immunosuppression treatment and convalescent anti-N and anti-RBD antibody titers
We also evaluated whether treatment with steroids during acute infection affected anti-N and anti-RBD antibody titers over the course of a year in hospitalized participants. We did not find that steroid treatment correlated with a difference in antibody titers in hospitalized participants at any time point (Fig. 6).
a Anti-N IgG levels and b anti-RBD IgG levels in hospitalized participants across 1, 3, 6, and 12 months post-SARS-CoV-2 infection, stratified by treatment with (+) and without (−) steroid. Anti-N titers sample sizes (n): 1 month −steroid (n = 7), +steroid (n = 35); 3 months −steroid (n = 8), +steroid (n = 28); 6 months −steroid (n = 8), +steroid (n = 31); 12 months −steroid (n = 7), +steroid (n = 23). Anti-RBD titers sample sizes (n): 1 month −steroid (n = 7), +steroid (n = 32); 3 months −steroid (n = 7), +steroid (n = 18); 6 months −steroid (n = 4), +steroid (n = 10); 12 months −steroid (n = 0), +steroid (n = 5). Pairwise comparisons of titers in participants treated with and without steroids were performed using the Wilcoxon test (p > 0.05 for all comparisons).
Discussion
Despite the advent of vaccines, SARS-CoV-2 continues to be a global threat to public health, with several hundred individuals still being hospitalized for and dying of COVID-19 each week in the United States17 as well as continued resurgence of new variants leading to reinfections. Understanding the longevity of SARS-CoV-2 antibody responses is crucial for assessing the likelihood of reinfections and the efficacy as well as timing of vaccinations. In this study, we used four different assays to investigate the antibody responses to SARS-CoV-2 N, RBD, and S proteins in 98 participants compared to 17 uninfected controls. Our analysis offers insights into SARS-CoV-2 antibody dynamics in individuals with different acute disease severities over 12 months post-COVID-19 infection with potential to inform vaccination strategies in the general population.
As specific SARS-CoV-2 antibodies serve different roles, their individual characterization is necessary to fully evaluate the SARS-CoV-2 immune response. For example, anti-N antibody titers remain the best indicators of natural infection as N is not currently included in vaccines used in the United States18. In turn, anti-RBD antibodies, a subset of anti-S antibodies, are important for viral neutralization and inhibition of SARS-CoV-2 infection by blocking either the ACE2-RBD binding interactions or S-mediated membrane fusion19,20. SARS-CoV-2 neutralizing antibody titers correlate with total anti-S and anti-RBD serum titers, and increasing titers of both neutralizing and total binding antibodies have been shown to correlate with protection from disease21. In fact, a threshold of anti-RBD titers has been identified that correlates with multiple protective activities of humoral immunity22. In our study, we found that anti-N, anti-S, and anti-RBD antibodies at 1 month post-infection were higher in severely and critically ill participants compared to mildly ill and asymptomatic participants, with higher titers generally persisting over the 12 months of the study. The higher antibody titers in hospitalized versus non-hospitalized participants may indicate more protection from re-infection for those who experienced severe disease; however, it is important to note that antibody quality can also differ between patients, with some reports indicating that milder patients have higher affinity antibodies that may be more potent23. Nonetheless, our findings indicate that both non-hospitalized and hospitalized participants mount robust antibody responses to SARS-CoV-2 which persist over 12 months.
The observed association of disease severity with higher SARS-CoV-2 antibody titers is in line with other studies7,8 and may be attributed to severely ill individuals having a higher viral load, resulting in elevated B cell activation24. There are several possible explanations for the failure of higher anti-RBD titers, which are generally a correlate for protection from COVID-19, to protect hospitalized patients from experiencing more severe disease. First, anti-RBD antibodies may have arisen too late to provide adequate protection against rising viral titers in patients with more severe disease25, although these higher viral titers ultimately stimulate a strong antibody response. Other studies suggest that the functional quality of antibodies may better predict immune protection than the absolute quantity of antibodies26,27,28, as the serum repertoire may be dominated by a few clonotypes, which can vary in their ability to mediate neutralization or other antibody-mediated effector functions29. Consequently, severe patients may generate higher titer, but less protective antibody responses based on the SARS-CoV-2 epitopes recognized, the affinity of the antibodies for these epitopes, or their Fc effector functions, such that severe patients may require higher antibody titers to be protected from infection.
As COVID-19 transitions to an endemic disease, determining the minimal level of SARS-CoV-2 antibodies necessary to prevent reinfection and severe disease, as well as identifying the optimal vaccination schedule to maintain these levels, are of primary public health concern. Many studies have demonstrated that antibody-mediated immunity protects against SARS-CoV-2 reinfections up to 7 months post-infection30,31. Interestingly, while both hospitalized and non-hospitalized individuals in our study developed higher anti-RBD titers post-vaccination, we observed a greater increase in RBD titers in non-hospitalized participants compared to hospitalized participants post-vaccination. This difference may reflect that non-hospitalized participants had lower viral loads that did not elicit as strong of a B cell response. The greater increase in antibody titers observed post-vaccination in non-hospitalized versus hospitalized participants suggests that asymptomatic/mild individuals may benefit even more from vaccination compared to severely ill individuals in the first few months after acute illness. Given that only 22% of the general population is currently vaccinated with the updated booster2, our data raise the suggestion that mildly ill individuals may benefit the most from vaccinations to increase antibody titers and may benefit from vaccination earlier after infection due to lower anti-RBD titers starting as early as 1-month post positive PCR test. Interestingly, we found that while vaccination boosted anti-RBD titers in participants of all severities, the anti-RBD:anti-S ratio declined, suggesting that vaccines could be further improved to elicit a higher frequency of neutralizing antibodies.
Khoury and colleagues recently modeled neutralizing antibody titers relative to reported protection from multiple vaccine studies to suggest that just 3% of mean convalescent antibody levels were sufficient to protect against severe infection32. This finding suggests that low levels of antibodies are sufficient to protect against severe disease and mitigate reinfections, likely because antibodies provide immune protection through mechanisms beyond neutralization, such as opsonization and antibody-dependent cellular cytotoxicity. Our study extends prior research, demonstrating that anti-RBD levels remain above control levels up to 12 months post-infection for participants across acute disease severities. Although less than 12% of participants in our cohort retained 50% of their initial RBD antibody titers beyond 6 months post-infection, and none retained 50% titers at 12 months post-infection, we find that anti-RBD levels remain above control levels up to 12 months post-infection for participants across acute disease severities. These findings suggest that most convalescent individuals retain sufficient antibody titers for protection against severe infections for up to 12 months after infection. Interestingly, antibody titers in participants with more severe disease decayed faster than in participants with mild disease. While the basis for this difference is not known, severe patients may have fewer circulating plasmablasts entering the long-lived plasmablast compartment, resulting in more rapid decay of serum titers. Alternatively, antibodies in severe patients may be cleared from circulation more rapidly due to reduced FcRn-mediated recirculation or increased Fc-mediated clearance from circulation. Despite their faster antibody decay rate, participants who experienced severe acute COVID-19 disease had such high titers at 1 month that they retained higher levels of anti-N and anti-RBD antibody titers over the course of 12 months compared to participants who experienced mild disease.
Notably, even with waning serum antibody levels over time, other parts of the immune system could help protect individuals from reinfections. For example, upon re-exposure to SARS-CoV-2, the synthesis of IgA antibodies in the mucous membranes of the respiratory tract may prevent or impede SARS-CoV-2 infection33. Furthermore, memory T cells and NK cells can also provide effective anti-viral memory immune responses mitigating reinfection34. Previously, we reported that individuals with multiple sclerosis who were depleted of B cells, do not mount strong antibody responses, but also do not generally develop severe disease35, indicating that other arms of the immune system are protective and may be able to prevent reinfection, even when antibody responses are very minimal.
Beyond the humoral and cellular immune system, immune responses to infections are also influenced by multiple other factors, such as age, sex, comorbid conditions, and administered medications. Age influences B cell physiology, leading to decreased B cell production in the bone marrow and fewer memory B cells in the elderly36. Older age and male sex have been associated with higher susceptibility to severe acute COVID-19 disease37, although less is known about the relationship between these demographic factors and convalescent anti-SARS-CoV-2 antibody titers. While some studies have found higher convalescent SARS-CoV-2 antibodies in association with older age and male sex38, others noted an association with younger age and female sex39. Our results indicate a moderate positive age correlation with 1-month anti-RBD and 1- and 3-month anti-N titers, and we did not observe an association between sex and convalescent titers. It is possible that the age-antibody correlation may partially be driven by higher disease severity in older participants. Although our analyses adjusted for binned disease severity (i.e., asymptomatic, mild, severe, critical), it is possible that a positive correlation arises because older participants likely comprise more severe cases in each severity category, thus possibly rendering the adjustment of binned severity insufficient to fully decouple its effect from age. Nonetheless, it is interesting to note that despite the known decline in B-cell activity that occurs with age, older individuals in our study mounted robust antibody responses although the elevated titers post-infection were not sufficient to protect from severe disease. Further research is needed to clarify how different demographic factors may impact an individual’s humoral immune response post-COVID-19.
PASC has emerged as a multi-system disease in a subset of patients with COVID-19, with symptoms lasting for weeks to months following recovery from acute COVID-19 infection and leading to significant functional disability in affected individuals40. In our cohort, 16·3% of the individuals experienced PASC, a comparable rate to other studies citing 10–60% of individuals experiencing PASC following acute COVID-1940,41. We found no correlation between PASC status and anti-N or anti-RBD antibody titers at any timepoint, suggesting that the magnitude of convalescent antibodies may not be predictive of the likelihood of developing PASC. These results also support findings from other studies demonstrating that initial antibody titers or vaccine boosters did not affect PASC outcomes42.
Another factor that could potentially influence convalescent antibody levels is immunosuppressant use during acute stage of COVID-19, as steroids are known to suppress plasma cell differentiation43. Steroids became the cornerstone of treatment early during the pandemic44. Although steroids effectively reduce the excessive inflammatory response during the initial stages of COVID-19, their impact on the development of long-term SARS-CoV-2 immunity remains uncertain. In our study, no significant associations were found between RBD and N titers post-infection and steroid use in acute infection for hospitalized participants, though future studies with larger cohorts of individuals receiving steroids are needed to validate our finding that steroid administration does not influence convalescent COVID-19 titers.
The strengths of our study include a large cohort of both vaccinated and unvaccinated COVID-19 positive individuals studied longitudinally over 12 months with inclusion of COVID-19 negative controls; a high retention rate across multiple sample collections over the course of 1 year; inclusion of participants who were asymptomatic or had mild, severe, or critical disease; the ability to measure longitudinal antibody titers to natural infection versus vaccination; and use of four different assays to measure antibody titers for key SARS-CoV-2 antigens. Our study also had limitations. First, the cohort was primarily comprised of adult individuals in one geographic location, and we did not evaluate pediatric individuals. Second, our study did not assess specific SARS-CoV-2 variants, limiting our ability to generalize evaluation of antibody titer dynamics in response to evolving SARS-CoV-2 variants. Finally, we did not directly examine neutralizing titers or cellular mediated immunity, which are both critical aspects of SARS-CoV-2 immune responses.
Conclusion
In conclusion, our study characterizes the dynamics of anti-N, -RBD, and -S antibodies in individuals following SARS-CoV-2 infection, while considering their disease severity and vaccination history. We found a significant association between acute COVID-19 severity and the levels of SARS-CoV-2 antibodies in the convalescent period over the course of 12 months. As expected, convalescent anti-N antibodies decreased irrespective of vaccination, while anti-RBD antibodies increased post-vaccination in both hospitalized and non-hospitalized participants, with a higher increase in those who were non-hospitalized. Higher antibody decay rates pre-vaccination were observed in hospitalized relative to non-hospitalized individuals, despite the fact that hospitalized individuals maintained higher anti-N and anti-RBD titers over the course of 12 months. Only a small fraction of participants of any disease severity retained 50% of their initial antibodies at 6 months. Interestingly, while at 12 months, less than half of all participants maintained anti-N antibody levels above controls, anti-RBD levels remained consistently higher than control levels in all participants regardless of initial disease severity, potentially providing protection against severe reinfections32. While there was a moderate age correlation with early-stage antibody levels, neither sex, PASC status, or acute immunosuppression treatment affected convalescent antibody levels. Overall, our findings contribute to the evolving understanding of SARS-CoV-2 antibody dynamics.
Data availability
The data used to generate all figures are available in the Supplementary Data 1–3, along with data description. Additional study data are not publicly available due to participant privacy and sensitivity concerns. These data may be obtained from the corresponding authors upon reasonable request, subject to ethical and regulatory approvals.
Code availability
All code and scripts used for data cleaning, graphing, and analysis in this study were written in R (version 4.1.0) and executed using RStudio (version 2024.04.02.764). These scripts are publicly available in the GitHub. The repository includes instructions for running the code and a list of required R packages. The repository has been archived in Zenodo to ensure long-term accessibility.
References
World Health Organization. WHO Coronavirus (COVID-19) Dashboard [Internet]. WHO Health Emergency Dashboard. 2023 [cited 2023 Jan 3]. https://covid19.who.int/
CDC. COVID Data Tracker: COVID-19 Vaccinations in the United States [Internet]. Centers for Disease Control and Prevention. 2020 [cited 2023 Jun 27]. https://covid.cdc.gov/covid-data-tracker/#vaccination-states-jurisdictions
Focosi, D. et al. Monoclonal antibody therapies against SARS-CoV-2. Lancet Infect. Dis. 22, e311–e326 (2022).
Chowdhury, M. A., Hossain, N., Kashem, M. A., Shahid, M. D. A. & Alam, A. Immune response in COVID-19: A review. J. Infect. Public Health 13, 1619–1629 (2020).
Van Elslande, J. et al. Antibody response against SARS-CoV-2 spike protein and nucleoprotein evaluated by four automated immunoassays and three ELISAs. Clin. Microbiol Infect. 26, 1557.e1–1557.e7 (2020).
Ju, B. et al. Human neutralizing antibodies elicited by SARS-CoV-2 infection. Nature 584, 115–119 (2020).
Moradi, G. et al. Persistence assessment of SARS-CoV-2-specific IgG antibody in recovered COVID-19 individuals and its association with clinical symptoms and disease severity: a prospective longitudinal cohort study. Int. Immunopharmacol. 98, 107893 (2021).
Yamayoshi, S. et al. Antibody titers against SARS-CoV-2 decline, but do not disappear for several months. EClinicalMedicine 32, 100734 (2021).
Adeniji. O. S. et al. COVID-19 severity is associated with differential antibody Fc-mediated innate immune functions. mBio 12, e00281-21 (2021).
Phipps, W. S. et al. SARS-CoV-2 antibody responses do not predict COVID-19 disease severity. Am. J. Clin. Pathol. 154, 459–465 (2020).
Pinto, D. et al. Cross-neutralization of SARS-CoV-2 by a human monoclonal SARS-CoV antibody. Nature 583, 290–295 (2020).
Hsieh, C. L. et al. Structure-based design of prefusion-stabilized SARS-CoV-2 spikes. Science 369, 1501–1505 (2020).
Giri, B. et al. Microfluidic ELISA employing an enzyme substrate and product species with similar detection properties. Analyst 147, 3118–3118 (2022).
Nix, B. & Wild, D. Calibration curve-fitting. In: The Immunoassay Handbook. 2nd ed. (Nature Publishing Group, New York, NY) p. 198–210; (2001)
Christensen R. H. B. Cumulative Link Models for Ordinal Regression with the R Package ordinal.
Fay, M. P. & Shaw, P. A. Exact and asymptotic weighted logrank tests for interval censored data: the interval R Package. J. Stat. Softw. http://www.jstatsoft.org/v36/i02/ (2010).
C. D. C. COVID Data Tracker: Trends in United States COVID-19 Hospitalizations, Deaths, Emergency Visits, and Test Positivity by Geographic Area [Internet]. Centers for Disease Control and Prevention. 2020 [cited 2023 Jul 5]. https://covid.cdc.gov/covid-data-tracker/#trends_select_select_00
Polack, F. P. et al. Safety and efficacy of the BNT162b2 mRNA Covid-19 vaccine. N. Engl. J. Med. 383, 2603–2615 (2020).
Lee, W. S., Wheatley, A. K., Kent, S. J. & DeKosky, B. J. Antibody-dependent enhancement and SARS-CoV-2 vaccines and therapies. Nat. Microbiol. 5, 1185–1191 (2020).
Yang, Y. & Du, L. SARS-CoV-2 spike protein: a key target for eliciting persistent neutralizing antibodies. Signal Transduct. Target Ther. 6, 95 (2021).
Goldblatt, D., Alter, G., Crotty, S. & Plotkin, S. A. Correlates of protection against SARS‐CoV‐2 infection and COVID‐19 disease. Immunol. Rev. 310, 6–26 (2022).
Bartsch, Y. C. et al. Discrete SARS-CoV-2 antibody titers track with functional humoral stability. Nat. Commun. 12, 1018 (2021).
Hendriks, J. et al. High titers of low affinity antibodies in COVID-19 patients are associated with disease severity. Front. Immunol. 13, 867716 (2022).
Legros, V. et al. A longitudinal study of SARS-CoV-2-infected patients reveals a high correlation between neutralizing antibodies and COVID-19 severity. Cell Mol. Immunol. 18, 318–327 (2021).
Ozonoff, A. et al. Phenotypes of disease severity in a cohort of hospitalized COVID-19 patients: Results from the IMPACC study. eBioMedicine 83, 104208 (2022).
Lu, L. L., Suscovich, T. J., Fortune, S. M. & Alter, G. Beyond binding: antibody effector functions in infectious diseases. Nat. Rev. Immunol. 18, 46–61 (2018).
Plotkin, S. A. Correlates of protection induced by vaccination. Clin. Vaccin. Immunol. 17, 1055–1065 (2010).
Voss, W. N. et al. Prevalent, protective, and convergent IgG recognition of SARS-CoV-2 non-RBD spike epitopes. Science 372, 1108–1112 (2021).
Kuri-Cervantes, L. et al. Comprehensive mapping of immune perturbations associated with severe COVID-19. Sci. Immunol. 5, eabd7114 (2020).
Gerhards, C. et al. Longitudinal assessment of anti-SARS-CoV-2 antibody dynamics and clinical features following convalescence from a COVID-19 infection. Int. J. Infect. Dis. 107, 221–227 (2021).
Grandjean, L. et al. Long-term persistence of spike protein antibody and predictive modeling of antibody dynamics after infection with severe acute respiratory syndrome coronavirus 2. Clin. Infect. Dis. 74, 1220–1229 (2022).
Khoury, D. S. et al. Neutralizing antibody levels are highly predictive of immune protection from symptomatic SARS-CoV-2 infection. Nat. Med. 27, 1205–1211 (2021).
Harris, R. J. Heterogeneity of recombinant antibodies: linking structure to function. Dev. Biol. 122, 117–127 (2005).
Björkström, N. K. & Ponzetta, A. Natural killer cells and unconventional T cells in COVID-19. Curr. Opin. Virol. 49, 176–182 (2021).
Bazzi, S. A. et al. Longitudinal COVID-19 immune trajectories in patients with neurological autoimmunity on anti-CD20 therapy. Mult. Scler. Relat. Disord. 68, 104195 (2022).
Wang, Z. et al. Memory B cell development elicited by mRNA booster vaccinations in the elderly. J. Exp. Med. 220, e20230668 (2023).
Fang, X. et al. Epidemiological, comorbidity factors with severity and prognosis of COVID-19: a systematic review and meta-analysis. Aging 12, 12493–12503 (2020).
Klein, S. L. et al. Sex, age, and hospitalization drive antibody responses in a COVID-19 convalescent plasma donor population. J. Clin. Invest. 130, 6141–6150 (2020).
Ebinger, J. E. et al. Demographic and clinical characteristics associated with variations in antibody response to BNT162b2 COVID-19 vaccination among healthcare workers at an academic medical centre: a longitudinal cohort analysis. BMJ Open 12, e059994 (2022).
Chopra, V., Flanders, S. A., O’Malley, M., Malani, A. N. & Prescott, H. C. Sixty-day outcomes among patients hospitalized With COVID-19. Ann. Intern. Med. 174, 576–578 (2021).
Liang, L. et al. Three-month follow-up study of survivors of coronavirus disease 2019 after discharge. J. Korean Med Sci. 35, e418 (2020).
Wynberg, E. et al. The effect of SARS-CoV-2 vaccination on post-acute sequelae of COVID-19 (PASC): A prospective cohort study. Vaccine 40, 4424–4431 (2022).
Yan, S. X., Deng, X. M., Wang, Q. T., Sun, X. J. & Wei, W. Prednisone treatment inhibits the differentiation of B lymphocytes into plasma cells in MRL/MpSlac-lpr mice. Acta Pharm. Sin. 36, 1367–1376 (2015).
The RECOVERY Collaborative Group. Dexamethasone in hospitalized patients with Covid-19. N. Engl. J. Med. 384, 693–704 (2021).
Acknowledgements
We are grateful to Hilary Selden for assistance with ordering supplies and Erica Brown for phlebotomy assistance. We appreciate Dell Medical School Neurology and Psychiatry department’s administrative support. We thank the Advanced Protein Therapeutics Facility (University of Texas, RRID: SCR_023740) for providing antibody-related instruments used in this study. This work was supported by Austin Public Health grant 4700 NI210000003 (S.S., E.M., and L.I.R.E), NIAAA K08 T26-1616-11 (E.M.), NIH/NIAID R01AI104870 (L.I.R.E.), Texas Biologics (J.A.M.), research funds from Babson Diagnostics (E.M.), and institutional Dell Medical School Startup funding (E.M.). Servers contributed by Advanced Micro Devices (AMD to L.I.R.E.) were used for data analysis. The study sponsor, Austin Public Health, had no role in study design; collection, analysis, and interpretation of data; writing of the report; or the decision to submit the paper for publication.
Author information
Authors and Affiliations
Contributions
Nadia Siles Alvarado: Drafting/revision of the paper for content, including writing for content; Major role in the acquisition of data; Study concept or design; Analysis or interpretation of data Maisey Schuler: Drafting/revision of the paper for content, including writing for content; major role in the acquisition of data; Study concept or design; Analysis or interpretation of data Cole Maguire: Study concept or design; Analysis or interpretation of data, editing of the paper. Dzifa Amengor: Major role in the acquisition of data, editing of the paper. Annalee Nguyen: Major role in the acquisition of data, editing of the paper. Rebecca Wilen: Major role in the acquisition of data, editing of the paper. Jacob Rogers: Major role in the acquisition of data, editing of the paper. Sam Bazzi: Major role in the acquisition of data, editing of the paper. Blaine Caslin: Major role in the acquisition of data, editing of the paper. Christopher DiPasquale: Major role in the acquisition of data, editing of the paper. Melissa Abigania: Major role in the acquisition of data, editing of the paper. Eric Olson: Major role in the acquisition of data, editing of the paper. Todd Triplett: Analysis or interpretation of data, editing of the paper. Janelle Creaturo: Major role in the acquisition of data, editing of the paper. Kerin Hurley: Major role in the acquisition of data, editing of the paper. Justin F. Rousseau: Analysis or interpretation of data, editing of the paper. Stephen M. Strakowski: funding for the study, editing of the paper. Dennis Wylie: Analysis or interpretation of data, editing of the paper. Jennifer Maynard: Study concept or design; Analysis or interpretation of data, editing of the paper. Lauren I. R. Ehrlich: Drafting/revision of the paper for content, including writing for content; Major role in the acquisition of data; Study concept or design; Analysis or interpretation of data; Obtained funding for the study Esther Melamed: Drafting/revision of the paper for content, including writing for content; Major role in the acquisition of data; Study concept or design; Analysis or interpretation of data; Obtained funding for the study.
Corresponding authors
Ethics declarations
Competing interests
The authors declare the following competing interests: Nadia Siles Alvarado: Recipient of National Consortium for Graduate Degrees for Minorities in Engineering and Science (GEM) Fellowship. Cole Maguire: Recipient of NIDA T32 Training Grant 5T32DA018926-18 for graduate student stipend and travel support for scientific conferences from the European Committee for Treatment and Research in Multiple Sclerosis. Sam Bazzi: Recipient of NIH NIAAA T32AA007471 and Fred Murphy Jones & Homer Lindsey Bruce Endowed Fellowships for graduate student stipend. Christopher DiPasquale: Vice President of Assay Development of Babson Diagnostics, Inc.; holder of stock/stock options for Babson; salary as employee of Babson. Eric Olson: Chairman of the Board of Babson Diagnostics, Inc.; holder of stock/stock options for Babson; salary as employee of Babson. Justin F. Rousseau: Recipient of NIH National Institute of Allergy and Infectious Diseases (NIAID) funding for another project. Stephen M. Strakowski: Recipient of NIH National Institute of Mental Health and Jassen funding for other projects and consulting fees for Sunovion, WebMD, and Meadows Mental Health Policy Institute; holds leadership role with American Brain Coalition and National Network Depression Centers. Jennifer Maynard: Recipient of grant funding from Welch Foundation, Texas Biologics, NIAID, and National Science Foundation; consulting fees from Sidley on behalf of Amgen and Genentech; and travel support for attending PEGS Protein & Antibody Engineering Summit 2023, Gordon conference on Protein Engineering 2023, and MD Anderson & UT Austin Collaborative Research Summit 2023; license holder for HexaPro (multiple non-exclusive licenses) and 3A3 antibody, specific for prefusion spike; and member of scientific advisory boards of Janux (2019–present) and Releviate (2020-present). Lauren I. R. Ehrlich: Recipient of grant funding from NIAID, NIA, CPRIT, APH, and Advanced Micro Devices; travel support for attending scientific conferences from the NIH and UT Austin. Esther Melamed: Recipient of grant funding from NIAAA, Austin Public Health, Babson Diagnostics; consulting fees from Horizon, Roche, Summus; honoraria from the National Center for Health Research and American Academy of Physical Medicine and Rehabilitation; and travel support for scientific conferences from the NIH, National Center for Health Research, and American Academy of Physical Medicine and Rehabilitation. All remaining authors have no competing interests: Maisey Schuler, Dzifa Amengor, Annalee Nguyen, Rebecca Wilen, Jacob Rogers, Blaine Caslin, Melissa Abigania, Todd Triplett, Janelle Creaturo, Kerin Hurley, and Dennis Wylie.
Peer review
Peer review information
Communications Medicine thanks the anonymous reviewers for their contribution to the peer review of this work.
Additional information
Publisher’s note Springer Nature remains neutral with regard to jurisdictional claims in published maps and institutional affiliations.
Rights and permissions
Open Access This article is licensed under a Creative Commons Attribution-NonCommercial-NoDerivatives 4.0 International License, which permits any non-commercial use, sharing, distribution and reproduction in any medium or format, as long as you give appropriate credit to the original author(s) and the source, provide a link to the Creative Commons licence, and indicate if you modified the licensed material. You do not have permission under this licence to share adapted material derived from this article or parts of it. The images or other third party material in this article are included in the article’s Creative Commons licence, unless indicated otherwise in a credit line to the material. If material is not included in the article’s Creative Commons licence and your intended use is not permitted by statutory regulation or exceeds the permitted use, you will need to obtain permission directly from the copyright holder. To view a copy of this licence, visit http://creativecommons.org/licenses/by-nc-nd/4.0/.
About this article
Cite this article
Siles Alvarado, N., Schuler, M., Maguire, C. et al. SARS-CoV-2 humoral immune responses in convalescent individuals over 12 months reveal severity-dependent antibody dynamics. Commun Med 5, 149 (2025). https://doi.org/10.1038/s43856-025-00828-4
Received:
Accepted:
Published:
Version of record:
DOI: https://doi.org/10.1038/s43856-025-00828-4
This article is cited by
-
Differential immune profiles in elderly patients with non-severe versus severe SARS-CoV-2 omicron variant infection: dysregulation of antibody responses and B-cell subsets
Immunity & Ageing (2025)
-
Convalescent Plasma—What is its Perspective in the Treatment of COVID-19 and Other Viral Diseases? A Narrative Review
Bratislava Medical Journal (2025)








