Abstract
Achieving climate change mitigation targets necessitates individual consumption and lifestyle changes that are both highly effective at cutting emissions and broadly accepted by the public. Yet, precisely which changes fit the effectiveness-acceptability criteria remains unclear. We systematically map the effectiveness-acceptability frontier with a novel priority evaluator method, an individually‑parameterized scenario generator that pinpoints which actions satisfy both crucial conditions, using a representative sample of the Swiss population (n = 2793). We find that people favor mitigation options that are both financially cost-effective and require fewer behavioral changes. The adoption of effective but more expensive technologically-driven mitigation options is strongly influenced by income levels. Policy should, therefore, support the most accepted low‑cost actions, make high‑impact technologies affordable for lower‑income households, and avoid politically costly measures that deliver little emission reduction.
Similar content being viewed by others
Introduction
Mitigating climate change requires major shifts away from greenhouse gas-intensive consumption patterns and lifestyles1,2,3. Yet, the uptake of such individual mitigation measures has remained very low4, particularly for many effective but also costly mitigation options.
Mitigating climate change can be regarded as a political optimization challenge: identifying and fostering mitigation options that are both effective in reducing emissions while remaining acceptable to the mass public. Existing research on individual climate actions has yet to systematically address this optimization challenge. While previous literature has made important contributions to understand individuals’ willingness to reduce emissions, it either explores individuals’ willingness to reduce emissions without making personalized costs and behavioral consequences explicit5,6 or relies on model-based approaches that do not capture individual-level perceptions of feasibility of and willingness to adopt different mitigation options7. Another large strand of literature applies (incentivized) laboratory experiments to make personal costs salient, but often at the cost of ecological validity (but see ref. 8 for an example of how to address this issue). As a result, there are limited insights into how people prioritize mitigation options when facing real-world trade-offs between behavioral and monetary costs, and the resulting emissions reductions.
We address this gap via a personalized scenario tool that simultaneously quantifies mitigation effectiveness and costs across a range of individualized options. Within the ‘priority evaluator’ choice-task tool, individuals are presented with information on their personal climate footprint, options for reducing it, and the effectiveness and costs of mitigation options. Respondents are then tasked with developing mitigation strategies towards reaching a personalized 30% emissions reduction target, parameterized by their individually estimated cost and mitigation benefits9,10,11.
Exploring how individuals develop mitigation strategies in a framework where choices are made voluntarily, but within a scarcity induced scenario of meeting an emission reduction target, allows for the identification of the most effective, yet publicly acceptable, mitigation options. Although our focus is on voluntary emission reductions, this approach offers insights into how climate policies could be better aligned with people’s mitigation preferences, thereby increasing the acceptability of new climate policies and improving the impact of chosen political interventions12,13,14. From this research, we also derive a set of policy recommendations aimed at facilitating what we identify as the most effective yet publicly acceptable mitigation options.
First, we are interested in understanding when people are willing to reduce their emissions, as captured by stated preferences in our choice task. Although we encourage emission reductions by presenting participants with a personalized target (a 30% reduction based on their current overall emissions), individuals’ level of engagement with the choice task is entirely voluntary. Existing research commonly finds that even climate concerned individuals are unwilling to substantially reduce their emissions voluntarily15,16. This reluctance is usually attributed both to structural and psychological barriers17,18, such as limited financial resources19,20 or the difficulty in overcoming ingrained habits and strong lifestyle attachments2,21,22. However, these barriers to behavioral change are likely to vary greatly by socio-demographic (e.g., age, education, gender, income), behavioral (e.g., car and house ownership) as well as attitudinal characteristics (e.g., political ideology, climate attitudes and norms, self-efficacy perceptions). Therefore, we expect that the likelihood of achieving this target will differ substantially by socio-demographic, behavioral and attitudinal factors.
Second, we identify how preferences for mitigation options vary by their behavioral and monetary cost implications. Individual actions can, in principle, reduce greenhouse gas emissions in two ways: i) via changes to current behaviors (e.g. travelling less, changing dietary habits, lowering room temperatures); and ii), by adopting low-carbon, end-user technologies (e.g. switching from petrol or diesel vehicles to fully electric cars, replacing oil-based heating systems with heat pumps, or installing thermal or photovoltaic collectors to meet household energy consumption). Generally, people prefer making less personally costly (behavioral and financial) changes over making more difficult or expensive personal lifestyle changes (e.g., changing dietary habits or adopting financially costly low-carbon end-user technologies)15,23,24. We expect, therefore, that individuals are likely to prefer reducing emissions by adopting behaviorally and financially less costly mitigation options, rather than costly and inconvenient mitigation options.
Third, we presume that the financial and behavioral implications of different mitigation options vary across an individual’s characteristics and financial circumstances. Environmental choices depend on both motivational and structural factors17. Specifically, we examine how climate change attitudes and income levels influence how individuals seek to reduce their emissions16,25,26. Lower income levels can be a major barrier to individual climate mitigation, particularly for the adoption of costlier, low-carbon technologies. As individuals are presumed to prefer convenient mitigation options, we expect that they are generally more likely to favor low-carbon technologies (e.g., replacing oil-based heating systems with heat pumps or installing thermal or photovoltaic collectors to meet household energy consumption) as well as purchasing carbon offsets (certificates). However, as the financial costs of these options can be considerable27,28,29, adoption likely depends on income30. Therefore, we expect that higher income individuals tend to adopt low-carbon technology and certificates more often than individuals with lower income levels. Further, concern about climate change is a fundamental driver of climate action16, with more concerned individuals more likely to accept higher non-financial costs of mitigation. Therefore, we expect participants with more climate concern to be more likely to accept mitigation options focusing on behavioral changes.
To assess these arguments and expectations, we use data from an original online survey with a population-representative sample of the adult resident population of Switzerland in Autumn 2022 (n = 2793). The survey-embedded choice task consisted of two main components (Fig. 1): a life cycle assessment (LCA)-based carbon calculator for identifying participants’ current emissions, and a priority evaluation task where participants created a personalized mitigation plan by evaluating various emission reduction options, along with their effectiveness and associated costs9,10,11. The survey also included items capturing income levels, climate attitudes, and other variables of interest.
Illustration of the two main components. Carbon calculator (left): Participants answered questions about their emission-related behaviors and lifestyles. Priority evaluator (right): Example of choice task (hypothetical values in italics for illustration). Participants were informed about their estimated carbon emissions based on prior survey responses and tasked to reduce them by 30% by selecting from a list of mitigation options. These options included a binary choice of whether to adopt a measure and, for some, a choice of the specific measure/amount via dropdown menus. Cost/savings in CHF were displayed for each measure. Target status was displayed by a dynamic bar (‘After changes’) as well as a color signal (orange = target not reached / green = target reached).
Based on their responses to the carbon calculator, participants were presented with a set of personalized emission reductions options. They could adopt either behavioral changes (e.g., less air travel or dietary changes), technology-based options (e.g., buying a less carbon intensive car, replacing a fossil fuel heating system), or offset emissions by buying CO2 certificates to meet their 30% emissions reduction goal. Given the large differences in initial individual carbon footprints, such a proportional target of 30% for all participants is more realistic than a uniform, absolute reduction target for everyone31. While the IPCC places the total potential of consumption-based measures in reducing GHG emissions at 40–70% by 20504, we opt for a somewhat lower 30% target that might be more realistic when looking at behavioral changes and low-carbon technology adoption, as the IPCC report also includes effects of changes in infrastructure design and use.
The priority evaluator methodology improves on several limitations common to ex-ante stated preference approaches. Such designs often rely on more generic attributes which are not directly tailored to the respondent’s circumstances or current behaviours, reducing potential realism and study relevance32. Stated preferences and discrete choice experiments are useful for eliciting preferences over multiple attributes, but are insufficient to reveal how people prioritize competing behavioural changes. Moreover, cost considerations are often simplified via a single monetary term or willingness to pay, which could potentially overlook the temporal sequencing of costs and benefits. In contrast, real-world personal mitigation decisions frequently involve an upfront investment and subsequent annual savings/expenses. Failing to differentiate these factors could limit behavioural inferences.
The priority evaluator method advances on the extant literature by generating personalized decision-making scenario. Here, respondents evaluate and prioritize specific mitigation actions based upon their stated current lifestyles, financial situation, and emissions profile. Costs and benefits are calculated for each respondent based upon their baseline behaviours, making these trade-offs more concrete and better reflective of those faced in real-life. Within a realistic emissions-reduction objective, this approach allows us to observe how individuals prioritise and combine behavioural and technological adjustments while accounting for costs and feasibility constraints. As a result, it offers a closer approximation of real-world mitigation decision-making under emissions reduction constraints and provides new insights into behavioural priorities that shape individual pathways to climate mitigation. While this is an improvement, this stated preference approach may still overstate behavioural willingness estimates because the associated costs remain hypothetical and not yet experienced. Additionally, some respondents may have treated the priority evaluator as a costless game aimed at reaching the emission reduction target, or the framing of the task may have influenced the magnitude of the emission reduction effort. We return to these points in the discussion.
Results
We first explore individual characteristics associated with meeting the 30% reduction target. Next, we investigate which options participants used to reduce their emissions, what the cost implications were, and how effective they were. Hence, we shed light on how preferences are influenced by trade-offs between the costs and effectiveness of various mitigation options. Last, we explore how preferences differ by climate concern and income, as these factors are likely to influence the willingness and ability of individuals to choose specific mitigation options.
Which factors are associated with reaching one’s emissions reduction target?
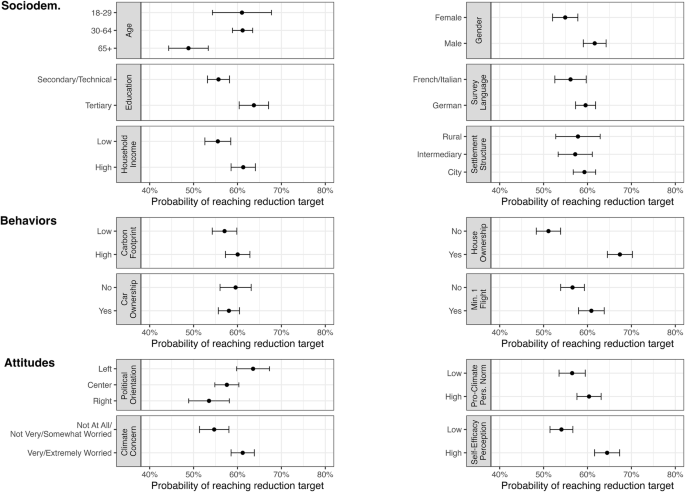
The likelihood of reaching the emission reduction target varies strongly by socio-demographic, behavioral, and attitudinal predictors – largely in line with theoretical expectations (see Fig. 2). Compared to the full sample average (55.8%), participants have a higher probability of reaching the 30% emission reduction target if they are younger (61.0%), hold a higher education degree (63.8%), identify as being male (61.6%), or have a higher household income (61.3%). The likelihood of reaching the target is also higher for owners of (semi-) detached houses (67.4%) and for those that fly at least once a year (60.1%). Additionally, the likelihood of reaching the target is higher for participants who identify as politically left (63.6%) or hold strong climate attitudes (i.e., high climate concern (61.2%), pro-climate personal norms (60.3%) or stronger self-efficacy perceptions (64.5%)).
Probabilities are calculated from logistic regression model estimates (see Supplementary Table 10), regressing target status (reached/not reached) on socio-demographic, behavioral and attitudinal variables. Error bars represent 95% confidence intervals. Probabilities are calculated for representative values using a counterfactual approach: for each observation in the dataset, a key variable is set to a specific value of interest, while all other covariates remain at their observed levels (n = 2’973).
How do people prefer to reduce their emissions?
Next, we examine preferences for reducing emissions to identify effective and acceptable mitigation options. The results point to trade-offs between effectiveness and costs (in a financial and behavioral sense), as most participants favor mitigation options that maximize reductions and minimize (upfront) costs (Fig. 3).
Illustration of 15 potential mitigation options based on choice shares in % of participants for whom the option was available (x-axis), and emission reductions as % of participants’ current emissions for whom option was available (y-axis). Colors indicate mitigation options type (blue = Technology, red = Behavior, yellow = CO2 certificates). The point size indicates one-time costs of mitigation options in Swiss Francs (CHF). The vertical dashed line depicts the average choice probability of all mitigation options (given they were available). The horizontal dashed line depicts the average emission reduction in % of initial CO2 of all mitigation options. See Supplementary Table 12 for full results.
We find that study participants most frequently chose strategies that are effective, but also relatively inexpensive to reduce their emissions, such as adopting low-carbon technology (if they were available to them). Heat pumps are chosen most often out of all mitigation options (58.0%), and they are also the most effective option to reduce emissions. Participants who chose this option reduced their emissions on average by 43.6%. Installing solar panels was similarly attractive (53.8%), although much less effective (with an average emission reduction of 6.6%). Replacing cars was chosen less often (32.3%), although study participants still reduced their emissions by 13.7% on average by choosing this option.
The comparatively widespread preference for heat pumps is likely derived from the heightened effectiveness, even if it does carry notable upfront costs (35,000 CHF). While solar panels are much less effective, they are comparatively less expensive than other technology-based mitigation options (21,000 CHF upfront costs). Replacing one’s car, although effective and similarly costly (~22’000 CHF), might be somewhat less attractive because electric cars are associated with additional behavioral costs (e.g., challenges with charging28).
Similarly, study participants frequently opted for purchasing CO2 certificates (33.2%), resulting in an average emission reduction of 20.6% among those who selected this option. This is likely due to the relatively low cost of the certificates, as prices were randomly varied from 20 to 200 CHF per ton of CO2 in the choice task - a common price range for nature-based offsetting. Further research should explore how much individuals would be willing to pay for more reliable and permanent forms of carbon dioxide removal methods, such as direct air capture and geological storage33,34.
Contrary to our expectations, participants frequently prioritized behavioral changes over new technologies, even when technological options were available. Particularly, participants frequently chose to reduce their long-haul (36.3%) and medium-haul flights (37.7%) to reduce emissions. These are effective options to reduce emissions (with average emission reductions of 28.5% and 13.9% respectively). Other options relying on behavioral change were also chosen quite often, such as reducing room temperature (53.3%), reducing car mileage (43.3%), and reducing the number of short-haul flights (44.0%). However, these options are less effective in reducing emissions, with average emission reductions of 6.1%, 5.2%, and 3.5%, respectively.
While effective in reducing emissions, the willingness to reduce air travel (see also Supplementary Figs. 10, 11, and 12) seems surprising at first, given the high utility people gain from leisure travel35. However, the COVID-induced disruption of air travel might have allowed participants to reevaluate their consumption habits at the time of the survey36. Other popular mitigation options based on behavioral changes, such as reducing room temperatures and reduce car use, might be attractive due to their low non-financial costs, particularly at the extent they were used (see Supplementary Figs. 9 and 13). While these options are, therefore, also not very effective, they might still be valuable in complementing more effective options.
Our findings also point to some mitigation options that were less attractive. Specifically, we observe that study participants were less likely to choose more expensive structural house refurbishment options: such as insulating the facade (16.9%), insulating the roof (24.8%), replacing windows (25.0%), or installing controlled ventilation systems (6.6%). These mitigation options vary quite substantially in their effectiveness (with average emission reductions ranging from 5.7% up to 17.5%). The lower adoption of structural house refurbishments may be attributed to their relatively poor cost-benefit ratio and high upfront costs (e.g., over 60,000 CHF for facade or roof insulation). Further, individuals were less likely to choose more fundamental behavioral changes to reduce emissions, such as changing one’s diet (26.3%) as well as selling one’s car without replacing it (5.9%). While selling one’s car yields relatively strong emission reductions (with an average emission reduction of 13.9%), changing one’s diet has less of an effect (with an average emission reduction of 2.9%). Dietary changes may be less appealing because the perceived behavioral costs outweigh the benefits in terms of emission reductions. This is evident in the fact that most participants were only willing to adopt a flexitarian diet, with few participants choosing to make more fundamental changes, such as becoming vegetarian (see Supplementary Fig. 16). In a similar vein, selling one’s car and fully substituting car travel by switching to alternative transport modes is likely seen as overly burdensome.
In summary, our findings support the expectation that study participants prefer affordable and more convenient mitigation options over those that incur higher financial or behavioral costs. However, participants are willing to adopt rather costly low-carbon technologies, such as heat pumps and electric vehicles, as these are more likely to be seen as being cost-effective. Additionally, there is a notable willingness to reduce air travel, particularly given its significant potential for emission reductions.
Why do people prefer different mitigation options?
Last, we explore how variation in the adoption of certain mitigation options is shaped by income and climate concern (Fig. 4).
Choice shares are calculated from logistic regression estimates, regressing mitigation option choice (yes/no) on income and climate concern among participants for whom the respective option was available, controlling for socio-demographic variables (see Supplementary Tables 15–29). Colors indicate mitigation option type (blue = Technology, red = Behavior, yellow = CO2 certificates. Shapes indicate individual characteristic level: Points indicate low levels of income (i.e., < 6,000 CHF) and climate concern (i.e., not at all/not very/somewhat worried), triangles indicate high levels of income (i.e. > 12,000 CHF) and climate concern (i.e., very/extremely worried). Choice shares are calculated for low/high levels using a counterfactual approach: for each observation in the dataset, a key variable is set to high/low level, while all other covariates remain at their observed levels (n = 2,973). Error bars indicate 95% confidence intervals. Black bar outlines and error bars denote statistically significant effect of predictor on choice probability (α = 0.05).
When comparing income groups, we observe the biggest differences in the adoption of certain low-carbon technologies. Specifically, participants with higher incomes were more likely than those with lower incomes to replace their cars (38.2% vs. 29.0%) and to install heat pumps (64.6% vs. 48.6%). Interestingly, lower-income participants were more likely to select facade insulation compared to higher-income participants (21.0% vs. 14.2%). We also find minor income-based differences for one behavioral option: selling one’s car, which was chosen more often by lower-income participants (7.7% vs. 4.4%). No income-based differences were observed for purchasing carbon certificates.
Turning to climate concern, we identify substantial differences in preferences for behavioral based mitigation options between participants with low and high levels of concern. Those with higher climate concern were more likely to sell their car than participants with low levels of concern (7.4% vs. 4.2%), reduce car mileage (46.9% vs. 41.3%), reduce medium flights (42.3% vs. 31.2%), reduce long flights (41.1% vs. 29.9%), change their diet (30.8% vs. 23.4%), and reduce room temperatures (57.2% vs. 50.6%). We further find similar differences for low-carbon technology adoption: participants with higher climate concern were more likely to replace their cars (37.0% vs. 29.7%) and purchase carbon certificates (38.3% vs. 28.0%). No differences were observed for facade insulation.
These findings largely support the expectation that financial capacity facilitates the adoption of low-carbon technology. There are also some differences with regards to certain behavioral change-based mitigation options, but they are much less pronounced. Meanwhile, higher levels of climate concern are associated with greater uptake of behavioral change-based mitigation options – consistent with our expectation that climate concern facilitates acceptance of the behavioral costs of mitigation options.
Discussion
Major changes in consumption behavior and lifestyles are required to achieve net zero greenhouse gas emissions within the next two to three decades1,2,3,4. Here we introduce a new choice-based task, the ‘priority evaluator’, to identify what people are willing to do to meet climate mitigation targets within a highly personalized cost and benefit scenario.
Our results indicate that emission reductions vary strongly by socio-demographic, behavioral and attitudinal factors. People commonly reduce their emissions by trying to optimize the cost-benefit-balance of mitigation options, suggesting a more strategic and deliberate decision-making process than often assumed. This contrasts with previous research arguing that people simply prefer behaviorally convenient and financially less costly options. While people do prefer low-carbon technologies that require minimal behavioral changes, these options are typically more expensive, and their adoption is income-dependent due their substantial upfront costs. At the same time, the adoption of more behaviorally costly options is more closely tied to individuals’ levels of climate concern.
Government actions that are well aligned with people’s mitigation preferences can play a critical role in facilitating individual climate action. To be most effective, climate policies should target the mitigation options that people are more willing to adopt, and that also have the highest emission reduction potential12,13,14. Conversely, governments should seek to abstain from targeting less preferred options to avoid both policy ineffectiveness and policy backlash37. This is particularly important as governments need to prioritize climate action under fiscal and administrative constraints38.
Drawing upon our findings, we outline a set of policy recommendations aimed at facilitating the most effective yet publicly acceptable individual-level mitigation options. Building on our results, Fig. 5 translates the effectiveness-versus-acceptance map into concrete policy guidance. Each mitigation option is placed in one of four quadrants, according to the dimensions of acceptance and effectiveness. Accordingly, government actions (in bullet points) should first focus on the dark-shaded options in the upper-right quadrant, where both public willingness and mitigation potential are greatest. Importantly, we focus on policies that enjoy comparatively higher levels of public support (e.g., incentives and subsidies), over those that commonly receive more pushback (e.g., taxes and bans)39.
Color transparency indicates the political priority policymakers could assign to implementing policies (with increasing priority from light to dark shades).
Study participants favored relatively affordable, high-impact technologies such as heat pumps and low-carbon vehicles, yet uptake rose markedly with income. Policies should therefore focus on lowering personal financial barriers for these technologies, making it easier for lower-income households to adopt them (Fig. 5, panel i)40,41,42,43. At the same time, stricter low-emission standards and technology phase-outs can spur technological innovation and cost reductions for low-carbon technology44,45.
Study participants indicated that they were willing to substantially reduce their air travel. However, this willingness differed substantially by climate concern, highlighting the importance of motivational factors in adopting mitigation options that are behaviorally more costly16. While short to medium-distance flights can be substituted with improved ground transport options such as high-speed rail46, for long-distance flights there is no low-carbon alternative available in near future, making demand reduction the only viable option47. Innovative policy designs, such as a frequent flyer levy or a progressive air travel tax, have been proposed as perhaps the most just and publicly acceptable policies to this end48.
Carbon offsets were frequently chosen to reduce emissions. Here, policies should support carbon dioxide removal technologies and infrastructure for permanent and durable carbon storage49 while reducing costs associated with these technologies to make them scalable and more acceptable to the public33,50.
Government action should also facilitate frequently chosen but comparatively less effective mitigation options (Fig. 5, panel ii). While their mitigation effect per individual is limited, these options can still lead to substantial emission reductions at the aggregate level due to their widespread availability and adoption potential (e.g., reducing room temperatures and car mileage). As to reducing car mileage, low-carbon alternatives such as public transport or active transport should be made more affordable and safer to increase their mode share51,52,53. Room temperature reductions can be facilitated by making smart thermostats mandatory54, and installing solar panels can be incentivized through attractive feed-in tariffs and subsidies to allow for earlier break-even55.
While governments may also want to introduce policies targeting less popular but highly effective mitigation options (Fig. 5, panel iii), they should prioritize policy designs that avoid significant additional public expenditure, given the low popularity of these options and limited fiscal space38. For instance, regulatory policies aimed at stricter insulation standards can ensure that house refurbishments result in reduced energy consumption56. Changes to the built environment in urban areas and eliminating environmentally harmful tax breaks could disincentivize car ownership57,58,59. However, these policies also carry greater political risks – as they largely involve policy designs with limited public support and may invoke ‘backlash’ against climate policy37. Accordingly, more careful attention to the design elements, stakeholder engagement, policy roll-out and communication strategies are rather critical for such governmental actions60.
Governments should avoid introducing policies that target the least frequently chosen and least effective mitigation options (Fig. 5, panel iv). Policies aimed at those options risk political backlash, potentially with negative spill-over effects on public support for other options, without having a substantive effect on emissions.
Overall, a wide range of incentive-based and regulatory policy instruments is available to policymakers to facilitate commonly preferred and effective mitigation options. While incentive-based policies such as subsidies are often criticized for being cost-inefficient27,61,62, costs can be kept at moderate levels if policies focus on mitigation options that people are more willing to adopt, and if they target low-income households. More difficult-to-adopt policies such as high levels of carbon taxation should be avoided for now but can be implemented later once low-carbon technology is more mature27,63,64.
The research presented here also has some limitations. First, we focused on a relative reduction target, which seems realistic given the large differences in emissions between individuals at the outset. However, larger individual emission reductions will likely be necessary to reach net-zero goals4. Future research could use the same study design to examine choices under the scenario of an absolute target (e.g., reduce to 3 tons of CO2eq per person), which is likely to induce larger distributional impacts and stronger resistance from high emitters36. Further, we limited the number of possible choices in the choice task to a limited set of impactful and salient mitigation options to keep the application accessible for a lay audience, but also because average effects of less impactful mitigation options on emissions are harder to estimate or highly context dependent. Accordingly, some behaviors that are common in practice (e.g., buying locally produced products) are excluded from the choice task. As a result, we also cannot derive any policy recommendations regarding those behaviours, but this does not imply that such behaviors could not be effective (e.g., setting standards for the level of recyclable materials in packaging or incentivizing the use of Swiss produce in public canteens). Additionally, we also do not investigate how information environments shape behavioral intentions65. Future research could also examine how behavioral intentions are shaped by the information environment available to consumers, likely via randomized information treatments.
The interpretation and generalisability of such ex-ante stated behaviour methods are constrained by the experimental design scenario. When experimental attributes are insufficiently salient (e.g., either due to framing, cognitive demands, or survey timing), the revealed stated preferences may not fully reflect true trade-offs66,67. Our findings should be understood as decisions made within this stylised, parameterised context, and are most generalizable to other situations where similar considerations apply. Further, while having respondents evaluate and prioritize specific mitigation actions based upon their stated current lifestyles, financial situation, and emissions profile adds elements of realism and personalization to the choice scenario, the cost implications remain ultimately hypothetical. As a result, respondents may overstate actual willingness to adopt mitigation behaviours. Future research should therefore examine how behavioural willingness of ex-ante experiments compare to real-world behaviours, particular in such priority evaluator-based methods. Also, we cannot rule out that some respondents treated the priority evaluator like a costless exercise aimed at reaching the specific 30% emission reduction target used in the task, or that the framing of the scenario influenced the magnitude of emission reductions chosen. Nonetheless, by personalizing financial and emissions impacts, the priority evaluator-based approach likely increases realism and attribute salience relative to more abstract stated-preference designs.
Finally, some findings may be context-dependent. While Switzerland is a typical case of a wealthy, high-emitting country, it also offers a high-quality public transport system, providing reasonably good alternatives to private motorized transport68. In countries with less developed public transport, willingness to switch modes might be lower. Future research could thus apply the method presented here to diverse contexts, with varying levels of emissions and infrastructure quality.
Further, the timing of the survey, fielded towards the end of the COVID-19 pandemic, may have influenced the results. While the survey was fielded in summer 2022, when COVID-related restrictions have largely been lifted in Switzerland, people’s prior experiences from the previous two years may still have shaped their responses, rendering some of the findings potentially time-specific. In particular, reduced international travel may have led to overly optimistic evaluations of willingness to reduce flying. Similarly, lower consumption during the pandemic could have temporarily boosted the willingness to adopt low-carbon technologies or invest in house refurbishments, due to heightened personal savings. Future research should seek to replicate studies that were conducted during COVID-19 like this one to see whether these findings persist.
In conclusion, we submit that the research presented here can help policymakers identify effective mitigation options that individuals (i.e., citizens, consumers) would prioritize when trying to reduce their emissions in the absence of measures that are enacted and enforced in a top-down manner. This, in turn, could accelerate progress in reducing emissions by enabling policymakers to avoid political battles over unpopular mitigation options with limited emission reduction potential and focus on incentivizing the adoption of both technology-focused and behavioral change-focused mitigation options that perform well in terms of both acceptability and effectiveness.
Methods
Data
The survey was administered to existing panelists who take part in the Swiss Mobility Panel (SMP), a longitudinal panel drawn from a nationally representative sample of adult (18–80 years) residents of Switzerland (i.e., the population register of the Federal Statistical Office BFS/SRPH of Switzerland). The BFS sample mirrors the Swiss resident population. The survey was fielded in the third wave of the SMP between 29/04/2022 and 21/07/202269. Participants were recruited via postal invitation letters, and the survey was administered online. The invited sample comprises 9’088 participants from the existing panelists. The realized sample consists of 5940 participants. The choice task on which this study is based was randomly allocated to 2/3 of the realized sample and answered by 3454 participants (analytic sample). The analysis is based on 2793 participants (final analytic sample). The survey flow can be found in the supplementary information (Supplementary Fig. 1). The criteria based on which participants were excluded from the analytic sample and how it differs regarding socio-demographic characteristics from the realized sample can be found in the supplementary information (Supplementary Table 2-6). Importantly, the analysis excluded participants that did not comply with the choice task. The survey could be completed in German, French, Italian, or English. The survey instrument was pre–registered at https://osf.io/gfepk/.
Carbon calculator
The online, survey-based carbon calculator has the goal to approximately calculate a participants’ yearly carbon footprint (CO2 equivalent greenhouse gas emissions) based on a list of survey items. The goal is to achieve a high level of accuracy with the least number of survey items to keep response burden to a minimum. The carbon calculator follows a consumption-based accounting method. This means that the calculated carbon footprints should represent all emissions regardless of whether they occur in the country of residence (i.e. Switzerland), or elsewhere (e.g. production of goods such as cars outside of Switzerland, emissions generated through international flights, etc.). We calculate per capita emissions for food and transport, while we calculate emissions for heating on the household level.
Priority evaluator
Most research that investigates emission reduction preferences or the plasticity of individual climate mitigation actions use single survey items to capture to what extent people would be willing to change their behaviors and lifestyles5,6,15,70. However, these measurements are commonly without specific reference to the effectiveness, as well as personalized costs and behavioral consequences of individual climate action. We adopt an approach that makes these costs and behavioral consequences transparent. Our approach, which is inspired by research on preferences for policy bundles such as participatory value evaluation (i.e., a mix of public budgeting and choice experiment)71,72, thus allows participants to make trade-offs when selecting their preferred bundles of individual climate mitigation options. This, in turn, allows us to elicit participants’ preferences for different climate mitigation options as well as trade-offs participants make.
This priority evaluator method is based on previous work from Jäggi11, and works as follows: Using each participant’s approximate annual CO2 emissions as well as survey inputs regarding current behaviors and lifestyles, the participants were shown an individualized, interactive choice task (Fig. 6). Specifically, participants are asked (but not forced) to reduce their current emissions by 30%. Given the vast differences in initial individual carbon footprints, such a proportional target, which was translated into a specific amount of CO2 equivalents to be reduced by each participant, is much more realistic than a uniform, absolute reduction target for everyone31.
Screenshot of priority evaluator as displayed in web-based survey environment for a fictional participant, with all potential mitigation options available. Boxes in red are annotations not displayed to participants. Mitigation options are associated with costs or savings based on existing estimates, to make reduction efforts consequential and thus realistic.
On the left-hand side, three bars were shown:
-
The current emissions (fixed, computed in part “carbon calculator”)
-
The interactive emissions (variable to the changes in the tool)
-
The emission target (fixed to 30% of the current emissions)
On the right-hand side, a table with options to reduce the emissions is shown. These options are split into four categories:
-
Blue: Mobility
-
Purple: Diet
-
Yellow: Housing
-
Grey: Compensation
Figure 6 shows an example where all emission reduction options that were possible are displayed. In the actual survey, only those relevant to the participant were displayed. For instance, someone not having access to a car (i.e., neither owns a car nor has the possibility to drive one) did not get any option about cars. Table 1 shows all possible emission reduction options as well as what conditions need to be met for them to be available. Furthermore, a cost calculation was displayed on the right-hand side of the priority evaluator, considering both one-time and annual costs. Negative numbers represented costs; positive numbers represented savings. The participants could check and uncheck any of the options, change the degree (e.g., the number of flights to reduce) and could observe the changes to their footprint in the second bar. Emission reductions effectiveness for each mitigation option is based on participant’s input values. For example, if someone sells his or her car, the footprint is reduced by the amount of carbon that the car produced. Or if someone reduces their flights, the footprint is reduced by the amount of carbon that this flight emitted. At the end, if a participant wanted to continue the survey without having reached the target, they were shown a pop-up that asked whether they were sure to continue before having reached the target.
The full documentation of the software (carbon calculator, priority evaluator), the underlying sources for the carbon emission estimations and how it was implemented in Qualtrics is available at https://doi.org/10.5281/zenodo.14218066.
Statistical analysis
To investigate what individual characteristics shape whether somebody reaches the target (Fig. 2), we fit a logistic regression model that regresses a variety of socio-demographic and attitudinal variables on a binary outcome that specifies whether a participant has reached the target or not:
Socio-demographic variables include age, education, household income, sex, survey language, settlement structure, carbon footprint, car ownership (binary), house ownership (binary) and whether someone took at least one flight in the survey year (binary). Attitudinal variables include political orientation, climate concern, pro-climate personal norm and self-efficacy perception. We opt for a parsimonious model specification, meaning that we aim to control for the most important confounding variables. Adding additional control variables (like household size or employment status) does not substantively change results (i.e., effect sizes), nor does it substantively improve model fit (Log Likelihood, AIC/BIC) or explanatory power (McFadden Pseudo R2). To assess substantive differences, we calculate predicted probabilities for all variables in the model using a counterfactual approach. This means we generate predictions by changing specific variables to values of interest, while keeping all other variables constant at their observed values. For binary and categorical variables, we estimate predictions for each possible value (or group them). For continuous variables, we calculate predictions at both low and high values, typically defined as one standard deviation above and below the mean ( ± 1 SD)73. The regression results can be found in Supplementary Table 10.
The second outcome is mitigation option choice (Fig. 3). The variable is operationalized as the choice share of each option in % of participants for whom the option was available. The goal of the paper is primarily to map the popularity of different mitigation options, and secondarily to explore how these preferences are influenced by trade-offs between the behavioral and monetary costs, as well as the effectiveness of these options in reducing emissions. While advanced models, such as MDCEV, have been applied to similar prioritisation tasks, a descriptive analysis is sufficient for our goal of describing priorities74,75. We therefore descriptively plot choice shares in light of the average emission reduction as well as one-time costs. Average emission reduction for each option is calculated as the average for each option in the sample in % of initial emissions amongst those participants that chose the option. In the same way, we calculate average costs/savings for each of the options (one-time and annual, in CHF) amongst those participants that chose the option. Behavioral costs are not quantified, but rather qualitatively derived from the characteristics of the mitigation options. The full calculations can be found in Supplementary Table 12.
To examine how willingness and ability shape the choice of different mitigation options (Fig. 4), we examine how mitigation option choice differs by individual characteristics and fit logistic regression models that regress a variety of socio-demographic variables (income, climate concern, age, education, gender, settlement structure, language) on binary outcomes that specify whether a participant has chosen a mitigation option or not. We again opt for a parsimonious model specification, meaning that we aim to control for the most important confounding variables. Adding additional control variables (like household size or employment status) does not substantively change results (i.e., effect sizes), nor does it substantively improve model fit (Log Likelihood, AIC/BIC) or explanatory power (McFadden Pseudo R2). To assess substantive differences, we calculate predicted probabilities for high and low levels of two key individual characteristics, climate concern and income, using a counterfactual approach. Climate concern, although only one motivational factor in behavioral models to explain willingness for climate action17,76, is generally seen as a higher order attitude that is highly predictive of related attitudes and beliefs16. Climate concern is measured using an item from the European Social Survey, Wave 877 special module on ’public attitudes to climate change’, measuring the extent to how much somebody is worried about climate change. The outcome ranges on a scale from 1 'Not at all worried’ to 5 'Extremely worried’ but is recoded to a binary variable (Low: ‘Not at all worried’/‘Not very worried’/‘Somewhat worried’ vs. High: ‘Very worried’/’Extremely worried’). Income is one of the core concepts explaining the ability (or ‘material capacity’) for climate action, we choose household income rather than personal income as some of the technology-based emission reduction options are likely to be chosen at the household level (car, house refurbishments), and thus household income captures capacity better. Household income is measured by an item asking about participants’ net household income, ranging from 1 'below 2000 CHF per month’ to 11 'over 18,000 CHF per month’. While including the variable as it is in the model, we create two approximately similarly sized groups to make predictions for low and high income. We operationalize low levels of income as participants with income levels < 6000 CHF and high levels of income as participants with income levels > 12,000 CHF.
All analyses were performed using the statistical software R version 4.2.378. To estimate the logistic regression models and calculate counterfactual predictions, we predominantly use the marginaleffects package73. Figures are created using ggplot279.
Data availability
Data is available and can be retrieved from https://osf.io/682et/.
Code availability
All scripts used for pre-processing are publicly available and can be retrieved from https://github.com/flolichtin/PE. All scripts used for data analysis are publicly available and can be retrieved from https://osf.io/682et/. The priority evaluator software is available at https://doi.org/10.5281/zenodo.14218066.
References
Creutzig, F. et al. Towards demand-side solutions for mitigating climate change. Nat. Clim. Chang 8, 260–263 (2018).
Wiedmann, T., Lenzen, M., Keyßer, L. T. & Steinberger, J. K. Scientists’ warning on affluence. Nat. Commun. 11, 3107 (2020).
United Nations Environment Programme. Emissions Gap Report 2022: The Closing Window — Climate Crisis Calls for Rapid Transformation of Societies. (2022).
IPCC. Summary for Policymakers. in Climate Change 2022 - Mitigation of Climate Change (eds. Shukla, P. R. et al.) 3–48 (Cambridge University Press, Cambridge, UK and New York, NY, USA, 2023). https://doi.org/10.1017/9781009157926.001.
Kukowski, C. A. et al. The perceived feasibility of behavior change is positively associated with support for domain-matched climate policies. One Earth 6, 1554–1563 (2023).
Allen, S., Dietz, T. & McCright, A. M. Measuring household energy efficiency behaviors with attention to behavioral plasticity in the United States. Energy Res Soc. Sci. 10, 133–140 (2015).
Tan-Soo, J. S., Qin, P., Quan, Y., Li, J. & Wang, X. Using cost–benefit analyses to identify key opportunities in demand-side mitigation. Nat. Clim. Chang 14, 1158–1164 (2024).
Hoffmann, R., Kanitsar, G. & Seifert, M. Behavioral barriers impede pro-environmental decision-making: Experimental evidence from incentivized laboratory and vignette studies. Ecol. Econ. 225, 108347 (2024).
Permain, D. The Measurement of Passenger Valuations towards Rail Station Facilities: An Application of the ‘Priority Evaluator Method’. (1989).
Hoinville, G. Evaluating Community Preferences. Environ. Plan. A: Econ. Space 3, 33–50 (1971).
Jäggi, B. Decision Modeling on the Household Level for Energy, Fleet Choice and Expenditure. (ETH Zurich, 2015). https://doi.org/10.3929/ethz-a-010594497.
Nielsen, K. S. et al. Realizing the full potential of behavioural science for climate change mitigation. Nat. Clim. Chang 14, 322–330 (2024).
Stern, P. C., Dietz, T., Nielsen, K. S., Peng, W. & Vandenbergh, M. P. Feasible climate mitigation. Nat. Clim. Chang 13, 6–8 (2023).
Nielsen, K. S. et al. Improving Climate Change Mitigation Analysis: A Framework for Examining Feasibility. One Earth 3, 325–336 (2020).
Brock, A., Williams, I. & Kemp, S. “I’ll take the easiest option please”. Carbon reduction preferences of the public. J. Clean. Prod. 429, 139398 (2023).
Steg, L. Psychology of Climate Change. Annu Rev. Psychol. 74, 391–421 (2023).
Kollmuss, A. & Agyeman, J. Mind the Gap: Why do people act environmentally and what are the barriers to pro-environmental behavior? Environ. Educ. Res. 8, 239–260 (2002).
Gifford, R. The dragons of inaction: Psychological barriers that limit climate change mitigation and adaptation. Am. Psychologist 66, 290–302 (2011).
Fischer, R. & Boer, D. Values: the dynamic nexus between biology, ecology and culture. Curr. Opin. Psychol. 8, 155–160 (2016).
Stern, P. C. Information, Incentives, and Proenvironmental Consumer Behavior. J. Consum Policy (Dordr.) 22, 461–478 (1999).
Seto, K. C. et al. Carbon Lock-In: Types, Causes, and Policy Implications. Annu Rev. Environ. Resour. 41, 425–452 (2016).
Kurz, T., Gardner, B., Verplanken, B. & Abraham, C. Habitual behaviors or patterns of practice? Explaining and changing repetitive climate-relevant actions. Wiley Interdiscip. Rev. Clim. Change 6, 113–128 (2015).
Diekmann, A. & Preisendörfer, P. Green and Greenback. Rationality Soc. 15, 441–472 (2003).
van der Linden, S. Warm glow is associated with low- but not high-cost sustainable behaviour. Nat. Sustain 1, 28–30 (2018).
Franzen, A. Environmental Attitudes in International Comparison: An Analysis of the ISSP Surveys 1993 and 2000. Soc. Sci. Q 84, 297–308 (2003).
Inglehart, R. Public Support for Environmental Protection: Objective Problems and Subjective Values in 43 Societies. PS Polit. Sci. Polit. 28, 57–72 (1995).
Vona, F. Managing the distributional effects of climate policies: A narrow path to a just transition. Ecol. Econ. 205, 107689 (2023).
Wicki, M., Brückmann, G. & Bernauer, T. How to accelerate the uptake of electric cars? Insights from a choice experiment. J. Clean. Prod. 355, 131774 (2022).
Kircher, K. J. & Zhang, K. M. Heat purchase agreements could lower barriers to heat pump adoption. Appl Energy 286, 116489 (2021).
Meyer, R. & Liebe, U. Are the affluent prepared to pay for the planet? Explaining willingness to pay for public and quasi-private environmental goods in Switzerland. Popul Environ. 32, 42–65 (2010).
Hammar, H. & Jagers, S. C. What is a fair CO2 tax increase? On fair emission reductions in the transport sector. Ecol. Econ. 61, 377–387 (2007).
Hensher, D. A. Hypothetical bias, choice experiments and willingness to pay. Transportation Res. Part B: Methodol. 44, 735–752 (2010).
Sievert, K., Schmidt, T. S. & Steffen, B. Considering technology characteristics to project future costs of direct air capture. Joule 8, 979–999 (2024).
Smith, S. et al. The State of Carbon Dioxide Removal 2024 - 2nd Edition. https://www.stateofcdr.org/, https://doi.org/10.17605/OSF.IO/F85QJ (2024).
Dobruszkes, F., Ramos-Pérez, D. & Decroly, J.-M. Reasons for Flying. in Air Transport: A Tourism Perspective 23–39 (Elsevier, 2019). https://doi.org/10.1016/B978-0-12-812857-2.00003-8.
O’Garra, T. & Fouquet, R. Willingness to reduce travel consumption to support a low-carbon transition beyond COVID-19. Ecol. Econ. 193, 107297 (2022).
Patterson, J. J. Backlash to Climate Policy. Glob. Environ. Polit. 23, 68–90 (2023).
Meckling, J. & Benkler, A. State capacity and varieties of climate policy. Nat. Commun. 15, 9942 (2024).
Stadelmann-Steffen, I. & Dermont, C. The unpopularity of incentive-based instruments: what improves the cost–benefit ratio? Public Choice 175, 37–62 (2018).
Muehlegger, E. & Rapson, D. S. Subsidizing low- and middle-income adoption of electric vehicles: Quasi-experimental evidence from California. J. Public Econ. 216, 104752 (2022).
Brückmann, G. & Bernauer, T. What drives public support for policies to enhance electric vehicle adoption? Environ. Res. Lett. 15, 094002 (2020).
Poblete-Cazenave, M. & Rao, N. D. Social and contextual determinants of heat pump adoption in the US: Implications for subsidy policy design. Energy Res Soc. Sci. 104, 103255 (2023).
Vivier, L., Mastrucci, A. & van Ruijven, B. European Union needs large heat pump and targeted renovation subsidies to meet heating targets. Nat. Clim. Chang 15, 696–697 (2025).
Hoppe, J., Patt, A. & Tröndle, T. Public support for phasing out carbon-intensive technologies: the end of the road for conventional cars in Germany?. Clim. Policy 23, 1–16 (2023).
Tröndle, T., Annaheim, J., Hoppe, J., Hanger-Kopp, S. & Patt, A. Public preferences for phasing-out fossil fuels in the German building and transport sectors. Environ. Res Commun. 5, 081001 (2023).
Chen, Z. Impacts of high-speed rail on domestic air transportation in China. J. Transp. Geogr. 62, 184–196 (2017).
Gössling, S. & Lyle, C. Transition policies for climatically sustainable aviation. Transp. Rev. 41, 643–658 (2021).
Grebe, S., Meijer, C. & Rzeplinska, L. European Frequent Flying Levy Impact Study. www.cedelft.eu (2024).
Brunner, C., Hausfather, Z. & Knutti, R. Durability of carbon dioxide removal is critical for Paris climate goals. Commun. Earth Environ. 5, 645 (2024).
Merk, C., Liebe, U., Meyerhoff, J. & Rehdanz, K. German citizens’ preference for domestic carbon dioxide removal by afforestation is incompatible with national removal potential. Commun. Earth Environ. 4, 100 (2023).
Lichtin, F., Smith, E. K., Axhausen, K. W. & Bernauer, T. How much should public transport services be expanded, and who should pay? Experimental evidence from Switzerland. Transp. Policy (Oxf.) 158, 64–74 (2024).
Göransson, J. & Andersson, H. Factors that make public transport systems attractive: a review of travel preferences and travel mode choices. Eur. Transp. Res. Rev. 15, 32 (2023).
Fosgerau, M., Łukawska, M., Paulsen, M. & Rasmussen, T. K. Bikeability and the induced demand for cycling. Proc. Natl. Acad. Sci. 120, e2220515120 (2023).
Luo, M., Zheng, Q., Zhao, Y., Zhao, F. & Zhou, X. Developing occupant-centric smart home thermostats with energy-saving and comfort-improving goals. Energy Build 299, 113579 (2023).
Dijkgraaf, E., van Dorp, T. P. & Maasland, E. On the Effectiveness of Feed-in Tariffs in the Development of Solar Photovoltaics. Energy J. 39, 81–100 (2018).
Galvin, R. Policy pressure to retrofit Germany’s residential buildings to higher energy efficiency standards: A cost-effective way to reduce CO2 emissions? Build Environ. 237, 110316 (2023).
Harring, N., Jönsson, E., Matti, S., Mundaca, G. & Jagers, S. C. Cross-national analysis of attitudes towards fossil fuel subsidy removal. Nat. Clim. Chang 13, 244–249 (2023).
Thalmann, A. & Thalmann, P. Climate Impact of Tax Reliefs in Switzerland. https://www.epfl.ch/labs/leure/wp-content/uploads/2024/12/Climate-impact-of-tax-reliefs.pdf (2024).
Creutzig, F. & Reisch, L. A. A joint research agenda for climate action bridges behavioral sciences and urban planning. Commun. Psychol. 2, 101 (2024).
Carattini, S., Carvalho, M. & Fankhauser, S. Overcoming public resistance to carbon taxes. WIREs Clim. Change 9, e531 (2018).
Drews, S., Savin, I. & van den Bergh, J. A Global Survey of Scientific Consensus and Controversy on Instruments of Climate Policy. Ecol. Econ. 218, 108098 (2024).
van den Bergh, J. C. J. M. & Botzen, W. W. J. Assessing Criticisms of Carbon Pricing. Int. Rev. Environ. Resour. Econ. 18, 315–384 (2024).
Axsen, J., Plötz, P. & Wolinetz, M. Crafting strong, integrated policy mixes for deep CO2 mitigation in road transport. Nat. Clim. Chang 10, 809–818 (2020).
Meckling, J., Sterner, T. & Wagner, G. Policy sequencing toward decarbonization. Nat. Energy 2, 918–922 (2017).
De Ayala, A., Galarraga, I. & Spadaro, J. V. The price of energy efficiency in the Spanish housing market. Energy Policy 94, 16–24 (2016).
Gonçalves, T., Lourenço-Gomes, L. & Pinto, L. M. C. The role of attribute non-attendance on consumer decision-making: Theoretical insights and empirical evidence. Econ. Anal. Policy 76, 788–805 (2022).
Haghani, M. & Sarvi, M. Hypothetical bias and decision-rule effect in modelling discrete directional choices. Transp. Res Part A Policy Pr. 116, 361–388 (2018).
Petersen, T. Watching the Swiss: A network approach to rural and exurban public transport. Transp. Policy (Oxf.) 52, 175–185 (2016).
Lichtin, F. et al. Schweizer Mobilitätspanel. Dritte Erhebungswelle: Priority Evaluator / Tempo 30. https://doi.org/10.3929/ethz-b-000611650 (2023).
Nielsen, K. S. et al. Perceived plasticity of climate-relevant behaviors and policy support among high- and lower-income individuals. Glob. Environ. Chan. 96, 103107 (2026).
Hössinger, R., Peer, S. & Juschten, M. Give citizens a task: An innovative tool to compose policy bundles that reach the climate goal. Transp. Res Part A Policy Pr. 173, 103694 (2023).
Mouter, N. Evaluation Methods in Transport Policy and Planning. in International Encyclopedia of Transportation (ed. Vickerman, R.) vol. 6 230–235 (Elsevier, Amsterdam, 2021).
Arel-Bundock, V., Greifer, N. & Heiss, A. How to Interpret Statistical Models Using marginaleffects for R and Python. J. Stat. Softw. 111, 1–32 (2024).
Heimgartner, D., Lichtin, F. & Axhausen, K. W. Preferred Strategies to Reduce CO2-Emissions by 30%: Insights from a Multiple Discrete-Continuous Extreme Value Model. https://doi.org/10.3929/ethz-b-000681413 (2024).
Mouter, N., Hernandez, J. I. & Itten, A. V. Public participation in crisis policymaking. How 30,000 Dutch citizens advised their government on relaxing COVID-19 lockdown measures. PLoS One 16, e0250614 (2021).
Ajzen, I. The theory of planned behavior. Organ Behav. Hum. Decis. Process 50, 179–211 (1991).
European Social Survey. ESS Round 8 Module on Climate Change and Energy - Question Design Final Module. https://www.europeansocialsurvey.org/sites/default/files/2023-06/ESS8_climate_final_module_template.pdf (2016).
R Core Team. R: A Language and Environment for Statistical Computing. https://www.r-project.org/ (2023).
Wickham, H. Ggplot2: Elegant Graphics for Data Analysis. (Springer-Verlag, New York, 2016).
Acknowledgements
We are grateful to Johannes Brehm, Clara Brügge, Camille Fournier De Lauriere, Jan Freihardt, Sarah Gomm, Ella Henninger, Dennis Kolcava, Vally Koubi, Alessio Levis, David Presberger, Franziska Quoss, Susanne Rhein, and Lea Stapper for valuable feedback on the survey instrument and research design as well as early drafts of the paper. We thank Aurélien Borgeaud for a first exploration of the data as part of his master thesis. Stefano Amberg, Jan Linder, Patricia Maissen, Hanna Pahls, Karin Schatzmann, and Elea Seidlmann provided valuable research assistance. We thank Stefan Wehrli and Patricia Wäger for help with the implementation and fielding of the survey. We are also incredibly grateful to Christoph Dobler for programming the priority evaluator, to Valentin Deuber for his helpful inputs to come up with realistic house refurbishment options, and last to Jan Linder for his continued support and patience throughout the whole research process. The project study design, instruments and data collection methodology were approved by the ETH Zurich Ethics Commission (EK-2021-N-94).
Funding
Open access funding provided by Swiss Federal Institute of Technology Zurich.
Author information
Authors and Affiliations
Contributions
F.L., E.K.S., T.B., and K.W.A. designed the research. F.L. led the data collection. F.L. and D.H. analyzed the data. F.L., E.K.S., and T.B. wrote the first and final version of the manuscript. All authors extensively commented on and approved the final version of the paper.
Corresponding author
Ethics declarations
Competing interests
The authors declare no competing interests.
Additional information
Publisher’s note Springer Nature remains neutral with regard to jurisdictional claims in published maps and institutional affiliations.
Supplementary information
Rights and permissions
Open Access This article is licensed under a Creative Commons Attribution 4.0 International License, which permits use, sharing, adaptation, distribution and reproduction in any medium or format, as long as you give appropriate credit to the original author(s) and the source, provide a link to the Creative Commons licence, and indicate if changes were made. The images or other third party material in this article are included in the article’s Creative Commons licence, unless indicated otherwise in a credit line to the material. If material is not included in the article’s Creative Commons licence and your intended use is not permitted by statutory regulation or exceeds the permitted use, you will need to obtain permission directly from the copyright holder. To view a copy of this licence, visit http://creativecommons.org/licenses/by/4.0/.
About this article
Cite this article
Lichtin, F., Heimgartner, D., Smith, E.K. et al. Personalized scenario testing uncovers feasible and effective choices for climate change mitigation. npj Clim. Action 5, 40 (2026). https://doi.org/10.1038/s44168-026-00369-z
Received:
Accepted:
Published:
Version of record:
DOI: https://doi.org/10.1038/s44168-026-00369-z








