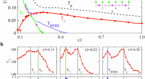
Two types of magnetic order appear in metals, 'itinerant-electron' magnetism and 'local-moment' magnetism. A class of strongly correlated electron materials bridges these two extremes, with itinerant-electron magnetism reigning at low temperature and local-moment magnetism at high temperature. It has been a long-standing goal to quantitatively describe the transition between these two. This paper reports a simple semi-quantitative solution to the latter problem that provides a new framework for interpreting the physics of heavy electron materials.
- Yi-feng Yang
- Zachary Fisk
- David Pines