Abstract
One of the main objectives of this study is to find an analysis method that has a low environmental and health impact and contributes to achieving sustainability. A simple and sensitive method was established for determination of lacidipine in pure active pharmaceutical ingredient, pharmaceutical formulation and spiked human plasma in presence of its acid induced degradation product. The native emission was measured at 430 nm after the excitation at 281 nm. A 0.5% Tween-80 solution was used to enhance fluorescence intensity. Peak amplitude of the first derivative synchronous was measured at 409 nm by using constant wavelength difference (Δλ = λem - λex = costant) which equal 160 nm. The regression plot of the proposed first derivative synchronous spectrofluorimetric method was found to be linear over the range of 50–300 ng/mL with a determination coefficient equals 0.9997, limit of detection (LOD) was 14.51 ng/mL but limit of quantification (LOQ) was 43.97 ng/mL.
Similar content being viewed by others
Introduction
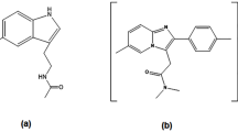
Lacidipine is diethyl (E)−4-{2-[(tert-butoxycarbonyl)vinyl]phenyl}−1,4-dihydro-2,6-dimethylpyridine-3,5-dicarboxylate as in Fig. 1. Lacidipine is a calcium channel blocker as antihypertensive drug. The reported analytical methods for determination of lacidipine in biological samples and pharmaceutical formulations are LC-MS/MS1,2,3, HPLC4,5,6,7,8,9,10,11,12,13, UV spectrophotometry14,15,16,17,18,19 and other methods for determination20,21,22,23,24,25. The British Pharmacopeia showed that it melts at 178oc, it describes gas chromatographic method for separation and its chromatographic conditions.
Fluorescence spectrometry is an essential analytical technique for chemical quantification because of its great sensitivity. Overlapping broadband spectra may cause problems with multicomponent analysis’s selectivity26,27. The frequent occurrence of fluorescence spectrum overlapping problems limits the use of spectrofluorimetry for multicomponent measurement. The synchronous detection mode, which looks at the excitation and emission spectra at the same time, might help with this issue. This method enhances band resolution by decreasing overlap and spectral band narrowing. Furthermore, the resolution and selectivity of synchronous spectra can be improved by applying mathematical derivatization techniques such as first- or second-order derivatives. When combined, these techniques increase the clarity and precision of the analysis28,29.
The fluorescence spectra of lacidipine and its degradation product showed a considerable overlap when they were first observed. The authors are therefore urged to create a first derivative synchronous spectrofluorimetric method that will allow the drug and its degradation product to be determined simultaneously in different matrices.
Experimental
Instrumentation
Software and instruments that had been used in this proposed study include; Spectrofluorometer Jasco FP-6200 (Japan). UV lamp (Germany). Rotary evaporator Scilogex-RE 100-pro (USA). Hot plate Torrey pines Scientific (USA), pH meter Jenway 3510 (England).
Materials and reagents
Pure samples
Lacidipine (99.65%) was kindly supplied by Egyphar for pharmaceutical products, Egypt.
Pharmaceutical formulation
Lacirex 4 mg tablets (batch no. 4019 A) which were used in this proposed study, purchased from pharmacy.
Chemicals
All reagents which used during this proposed study were HPLC grade to avoid any effect of impurities, reagents from (Sigma-Aldrich, Germany) are acetone, acetonitrile, ethanol, methanol, 1-propanol, tetrahydrofuran, boric and acetic acids, from (Merck, Germany) are sodium dodecyl sulphate (SDS) and tween-80, from (Winlab, UK) is cetyltrimethylammonium bromide (CTAB), from (Riedel–deHäen, Germany) is phosphoric acid, from (El–Nasr, Egypt) methyl cellulose (MC) and from (FlukaChemie, Germany) β-cyclodextrin (β‐CD).
Standard solutions
The concentration of lacidipine stock standard solution was (1 mg/mL) but the concentration of working solution was (1 µg/mL) by dilution of proposed stock solution with methanol.
Standard solution of lacidipine acid induced degradation product
A total of 100 mg of pure lacidipine was dissolved in a minimal volume of methanol in a 100 mL volumetric flask. Then, 50 mL of 1 N hydrochloric acid was added. The mixture was heated under reflux for 10 h to induce acid hydrolysis. After cooling, the solution was neutralized using 1 N sodium hydroxide until pH 7 was reached. The resulting mixture was evaporated under vacuum to dryness. The residue was extracted three times using 25 mL of methanol each time. The combined extracts were filtered to remove any insoluble materials. The filtrate was transferred to a 100 mL volumetric flask and diluted to volume with methanol to obtain a stock degradation solution equivalent to 1 mg/mL of lacidipine. A working solution (1 µg/mL) was prepared by further dilution of the stock solution with methanol. The proposed degradation pathway is illustrated in Fig. 2.
Procedures
Construction of a calibration curve
Aliquots equivalent to 0.5–3 µg of lacidipine were transferred into separate 10 mL volumetric flasks. After addition of 1.5 mL of Britton–Robinson buffer (pH 5.0) and 1 mL of 0.5% tween-80, the volume was completed to 10 mL with distilled water. The resulting concentrations ranged from 50 to 300 ng/mL. Synchronous fluorescence spectra were measured at a constant wavelength difference (Δλ = 160 nm), and the first derivative amplitude was recorded at 409 nm.
Analysis of laboratory prepared mixtures
The procedure of the proposed method was applied using aliquots of lacidipine solution (1 µg/mL) containing (2.5–0.5 µg) with aliquots of its acid induced degradation product solution (1 µg/mL) containing (0.5–2.5 µg), hence regression equation calculated the concentrations of lacidipine.
Analysis of pharmaceutical Preparation
Ten Lacirex 4 mg tablets were finely powdered. A portion of the powder equivalent to 10 mg of lacidipine was transferred into a 100 mL conical flask with a screw cap. Then, 75 mL of methanol was added. The mixture was vigorously shaken for 15 min, followed by sonication for 30 min. After that, the volume was completed to 100 mL with methanol to obtain a stock solution containing 100 µg/mL of lacidipine. This solution was further diluted with the same solvent to prepare a working solution of 1 µg/mL.
Procedure for Spiked Human Plasma Human plasma was obtained from the tumor unit at Al-Azhar University (Cairo, Egypt). In 10 mL centrifuge tubes, 1 mL of drug-free human plasma was transferred. Aliquots from lacidipine and its degradation product standard solutions (1 µg/mL) were then added. Protein precipitation was performed by adding 5 mL of methanol. The samples were vortexed and centrifuged at 400 rpm for 30 min. The resulting protein-free supernatants were evaporated to dryness using a rotary evaporator under vacuum. The residues were reconstituted with 1.5 mL of Britton–Robinson buffer (pH 5) and 1 mL of 0.5% tween-80 solution. The volume was then completed to 10 mL with distilled water and mixed well. The final solutions were filtered through 0.45 μm membrane filters to remove suspended materials and protein residues. To evaluate the method’s ability to detect lacidipine in spiked plasma, quality control (QC) samples were prepared to reduce potential matrix interferences. These samples were categorized as low (LQC), medium (MQC), and high (HQC) concentrations:
-
LQC was set at three times the lower limit of quantification (LLOQ).
-
MQC was prepared at 30–50% of the highest concentration in the calibration range.
-
HQC represented 70% of the highest concentration.
All QC samples were prepared and analyzed using the general procedure, and the percentage recovery (%R) was calculated accordingly. A separate calibration curve was constructed for plasma analysis to eliminate potential matrix effects caused by endogenous plasma components. Standard lacidipine solutions were spiked into blank human plasma and subjected to the full sample preparation procedure (protein precipitation, centrifugation, evaporation, and reconstitution). The regression equation derived from these spiked plasma samples was exclusively used to calculate lacidipine concentrations in unknown plasma samples as in Table 5.
The reported method
The published method30 based on UV spectrophotometric method of lacidipine in tablets and bulk, it depend on the reaction of lacidipine with HCl, FeCl3 and K3Fe(CN)6 to produce bluish green colored chromogen with an absorption maximum at 740 nm.
Results & discussion
Spectral characteristic
Lacidipine exhibits native fluorescence with a maximum excitation wavelength at 281 nm and an emission maximum at 430 nm, as shown in Fig. 3. The acid-induced degradation product of lacidipine displays its own fluorescence profile, with excitation at 272 nm and emission at 341 nm, illustrated in Fig. 4. However, the emission spectra of lacidipine and its degradation product show a significant overlap, as demonstrated in Fig. 5, making it difficult to selectively quantify lacidipine in the presence of its degradation product using conventional fluorescence measurement. To resolve this overlap and improve spectral selectivity, synchronous fluorescence scanning was performed using a constant wavelength difference (Δλ = 160 nm). Under these conditions, lacidipine and its degradation product produced distinct synchronous fluorescence signals with enhanced resolution, as presented in Fig. 6. To further improve selectivity and minimize spectral interference, first derivative synchronous fluorescence spectra were applied. This approach allowed for the selective determination of lacidipine at 409 nm, with minimal interference from its degradation product, as clearly observed in Fig. 7.The applicability of the proposed method for determination of lacidipine in spiked plasma and complex mixtures was confirmed by measuring a series of plasma-spiked samples and synthetic mixtures, as shown in Fig. 8.
Confirmation of degradation product
The degradation of lacidipine was observed by heating under reflux with 1 N hydrochloric acid for 10 h, to confirmation of degradation product TLC, IR1,H NMR and mass spectrometry techniques were used.
Confirmation of degradation product using TLC
Separation was done by using mobile phase system consists of (toluene: acetone: methanol: ammonia 25%) (60:20:6:2, by volume), although retention factor (Rf) for lacidipine was 0.79 but for its acid induced degradation was 0.92.
Confirmation of degradation product using IR
In IR spectrum of lacidipine a peak for carbonyl group of ester bond was observed at 1631.82 cm−1 and peak at 1196.49 cm−1 due to (C-O-C) in ester linkage as in Fig. 1S, but in spectrum of degradation product as in Fig. 2S the peak of carbonyl group (C = O) was shifted to 1789.53 cm−1 and disappearance of ester linkage (C-O-C) peak which indicate the cleavage of ester linkage and formation of (-COOH) carboxyl group.
Confirmation of degradation product using1HNMR
Spectra of pure lacidipine as in Fig. 3S and its degradation product in dimethyl sulfoxide (DMSO) showed: δ 8.87 (s, 1 H, NH), 8.14–8.17 (d, J = 14.5 Hz, 1 H, vinylic H), 7.37–7.50 (m, 4 H, Ar-H), 6.37–6.40 (d, J = 14.5 Hz, 1 H, vinylic H), 4.52 (s, 1 H, CH), 4.21–4.25 (m, 4 H, CH2), 2.21(s, 6 H, CH3), 1.48 (s, 9 H, CH3), 1.35–1.38 (m, 6 H, CH3). While the degradation product in (DMSO) as in Fig. 4S, showed: δ 11.19 (s, 1 H, OH), 9.94 (s, 2 H, OH), 8.95 (s, 1 H, NH), 8.51–8.54 (d, J = 15.2 Hz, 1 H, vinylic H), 7.41–7.48 (m, 4 H, Ar-H), 6.27–6.30 (d, J = 15.2 Hz, 1 H, vinylic H), 4.67 (s, 1 H, CH), 2.26 (s, 6 H, CH3). The appearance of 3 protons of 3 (-COOH) carboxyl groups at 11.19 ppm indicates the cleavage of ester linkage and formation of 3 (-COOH) carboxyl groups and disappear a triplet signal 1.3 ppm which indicate cleavage of ester.
Confirmation of degradation product using mass spectrometry
Molecular ion peak for lacidipine was obtained at m/z = 455 as in Fig. 5S but ion peak for its degradation at m/z = 343 as in Fig. 6S.
Experimental parameters optimization
Effect of constant wavelength difference (Δλ selection)
Δλ was tested at 10 nm intervals by experimental trials it was found that Δλ = 160 nm obtain best result for separation of lacidipine from its acid induced degradation.
Effect of surfactant type
Undoubtedly impact of surfactant on fluorescence intensity so trials were done to choose the best one by using 1 mL 0.5% w/v solution of each following surfactants; tween-80, anionic surfactant (SDS), (MC), cationic surfactant (CTAB), β-cyclodextrin (β‐CD) and without it, tween-80 was shown to enhance the native fluorescence of lacidipine as in Fig. 7S.
Effect of the volume of Tween-80
Different volume of surfactant effect on synchronous fluorescence intensity so after trial experiments on different volumes the optimum volume of tween-80 was chosen to enhance intensity was 1 mL as in Fig. 8S.
Effect of diluting solvent
Distilled water, ethanol, methanol, acetone, tetrahydrofuran, 1-propanol and acetonitrile were tested, and by experiment water show high synchronous fluorescence intensity while acetone show low intensity as in Fig. 9S, but intensity of rest of solvent between low and high,
Effect of pH
The effect of pH has prominent impact on intensity of synchronous fluorescence, so 1.5 mL of Britton Robinson buffer was added to adjust pH, (pH 5) show high synchronous fluorescence intensity as in Fig. 10S but by increasing pH there was significant reduction on intensity.
Effect of buffer volume
The volume of Britton Robinson buffer also effect on synchronous fluorescence intensity, by increasing volume of buffer there was gradually increasing on intensity but when volume of buffer reach to 1.5 mL there was significant peak intensity as in Fig. 11S, but by increasing more there was gradually slight reduction on intensity.
Validation of the method
According to recommendation of ICH Q2 (R1) about validation of analytical procedures.
Linearity and range
The linearity of the proposed method was assessed by analyzing lacidipine standard solutions in the concentration range of 50 to 300 ng/mL. A calibration graph was constructed by plotting the peak amplitude of the first derivative synchronous fluorescence spectra at 409 nm against the corresponding drug concentrations. The regression plot showed excellent linearity, with a correlation coefficient (r²) of 0.9997, indicating a strong linear relationship between concentration and response Fig. 12S. The corresponding regression parameters are provided in Table 1. The linearity was further confirmed by the regression equation (y = 0.1138x + 0.4045) and the correlation coefficient (r² = 0.9997), as shown in Table 1.
The range of the method, defined according to ICH Q2 (R1) as the interval between the highest and lowest concentration levels where acceptable accuracy, precision, and linearity were achieved, was established as 50–300 ng/mL. This range was confirmed through experimental validation of both intra-day and inter-day precision and accuracy studies, as summarized in Table 1.
Limit of quantification (LOQ) and limit of detection (LOD)
LOQ and LOD had been calculated and in Table 1 results were tabulated.
Robustness
Minor changes did not have any clear effect on the intensity of synchronous fluorescence, and the %RSD of the responses was < 2%, confirming the robustness of the procedure as in Table 1.
Accuracy
Percent recovery (%R) of 3 different concentration levels were measured (100 ng/mL, 150 ng/mL, 250 ng/mL), each concentration was measured 3different times through 1 day (intraday), so accuracy which equal mean % recovery equal 100.21 as in Table 1.
Precision
Calculation of precision not only depend on measuring 3 different concentration levels in one day but also measuring these concentrations at 3 different times through 3 different days (interday), if mean %R and SD calculated on 3 concentrations through 3 different times through 1 day (intraday) precision it called repeatability, but if mean %R and SD calculated on 3 concentrations through 3 different days (interday) precision called Intermediate as in Table 1.
Specificity
The specificity of the proposed method was evaluated by testing lacidipine in the presence of its acid degradation product. Two experimental approaches were used:
In the first approach, mixtures containing different concentrations of lacidipine and its degradation product were prepared and analyzed using the proposed first derivative synchronous spectrofluorimetric method. The successful selective determination of lacidipine in these mixtures is shown in Table 2. In the second approach, the standard addition technique was applied to tablet samples to assess the method’s ability to recover lacidipine in the presence of pharmaceutical excipients. The results, presented in Table 3, confirmed the accuracy and selectivity of the method in complex matrices. No interference was observed from the degradation product or from common excipients, indicating that the proposed method is specific for lacidipine.
Environmental profile of the proposed method
Green solvent selection tool (GSST)
Selection of green solvent is one of the main essential steps to maintaining sustainability, some of solvent used in industry and labs have problem issues for environment and health so it is time for using green solvent, recently the pharmaceutical corporations as Pfizer, AstraZeneca, GSK and Sanofi don’t use any solvent except with special specifications which maintain sustainability31GSST provide service to select solvent with low environmental and health risks, 3 parameters of solvent are described in 3D Hansen solubility space as in Fig. 9. Theses parameters are polarity, hydrogen bonding and dispersion, color and size of sphere related to characters and impact on environment, the color range from dark green (good solvent) to dark red (bad solvent) and values of G score values range from 10 (good solvent) to 1(bad solvent), for example water has large dark green sphere which indicating a good green solvent with high G score but carbon disulfide has low dark red sphere which indicating bad solvent.
Solvent’s spider diagram based on safety data sheet (SDS)
A spider diagram as in Fig. 9 is a visually description of quantitative variables, in proposed case these variables are health impact, stability, fire safety, general properties and odor32each variable have subgroups and according the data score value was determined from − 5 to + 5 as shown in Table 1S.
Complex GAPI
CGAPI is advanced tool for evaluation the greenness of the analytical procedure, it provide service for researchers to maintain sustainability to their analytical procedures, CGAPI is a modern version than GAPI due to it include process related to steps before analysis and it provide more information through assessment, it depend on visual colored presentation each color has significant mean, green color indicate the method has low impact, yellow color mean medium impact, but red color mean bad impact on environment33 as in Table 4.
Agree tool
This tool used to evaluate suitability of procedures of analytical chemistry for maintaining sustainability and evaluation for its greenness, it provide visual pictogram and numerical value that describe the greenness of a method, Agree tool not only associated with procedures but also it concern with reagent, energy consumption and waste product34its features based on the twelve principles of green analytical chemistry, each of 12 input variables was transformed in a scale in 0–1 range as in Table 4.
BAGI
BAGI convert focus from environmental impact (green chemistry) to applicability and practically (white chemistry), due to importance of analysis in pharmaceutical industry, food, and environmental monitoring BAGI reduce gap between real world application and theoretical analytical procedure35this tool has significant effect on encourage development of analytical procedures as in Table 4.
Application to finished pharmaceutical formulation
The lacidipine in 4 mg Lacirex tablets had been determined by the proposed method, the percent recovery which obtained by the proposed method seem to be satisfactory results when comparing with label claim, and there was no interference from additives and excipients as the result of standard addition techniques as in Table 3.
Analysis of spiked human plasma
The quantification of lacidipine in spiked human plasma was based on its own calibration curve, which was generated using plasma matrix-matched standards. The resulting regression equation (y = 0.1138x + 0.4045) was used throughout the plasma analysis to ensure accurate results and avoid bias from matrix interference as shown in Table 6. Due to sensitivity of spectrofluorimetric technique monitoring lacidipine at therapeutic levels in spiked plasma samples was done successfully, recovery of lacidipine in spiked human plasma by the first derivative synchronous spectrofluorimetric method were tabulated in Table 5, plasma Cmax was found 230.68 ± 20.21ng/mL36 which exceeding the respective lower limit of detection (LLOD) of drug, according to the FDA guidelines acceptable % recovery of spiked human plasma samples fall within ranges as in Table 6. Five component mixtures of lacidipine and its degradation product were measured by the proposed method at 409 nm in spiked human plasma as in Fig. 9.
Statistical comparison
Statistics had been used to compare reported method with proposed one as in Table 7, by trials under investigation in pharmaceutical dosage form didn’t obtain any statistically significant difference when student’s t-test and F test conducted at 95% confidence level, so the proposed method was precise and accurate.
Conclusion
Determination of lacidipine and its degradation product was done in spiked human plasma and laboratory prepared mixtures by using spectroflurimetric method in first derivative synchronous mode, the proposed method was fully validated and maintain sustainability, sensitivity was regarded one of the main features of this technique that enable analyzing low concentration of lacidipine and its degradation product in solvents and human plasma.
Data availability
The data that support the findings of this study are available from the corresponding author, upon reasonable request.
References
Chatki, P. K., Hotha, K. K., Kolagatla, P. R. R., Bharathi, D. V. & Venkateswarulu, V. LC-MS/MS determination and Pharmacokinetic study of lacidipine in human plasma. Biomed. Chromatogr. 27, 838–845 (2013).
Chen, H. et al. Determination of lacidipine in human plasma by LC-MS/MS: application in a bioequivalence study. Int. J. Clin. Pharmacol. Ther. 56, 493 (2018).
Tang, J., Zhu, R., Zhao, R., Cheng, G. & Peng, W. Ultra-performance liquid chromatography–tandem mass spectrometry for the determination of lacidipine in human plasma and its application in a Pharmacokinetic study. J. Pharm. Biomed. Anal. 47, 923–928 (2008).
Channabasavaraj, K., Nagaraju, P., Shantha, K. & Reddy, S. Reverse phase HPLC method for determination of lacidipine in pharmaceutical preparations. Int. J. Pharm. Sci. Rev. Res. 5, 111–114 (2010).
Dos Farmaseutikal, D. Development and validation of a HPLC method for the determination of lacidipine in pure form and in pharmaceutical dosage form. Malaysian J. Anal. Sci. 16, 213–219 (2012).
Mohan, A., Patel, H. B. & Saravanan, D. Development and validation of a reversed-phase ultra-performance liquid chromatographic method for assay of lacidipine and related substances. J. AOAC Int. 94, 1800–1806 (2011).
Muralidharan, S. High performance liquid chromatographic method development and its validation for lacidipine. Int. J. PharmTech Res. 5, 79–85 (2013).
Nozal, M. J., Bernal, J. L., Jiménez, J. J., Martı́n, M. T. & Diez, F. J. Development and validation of a liquid chromatographic method for determination of lacidipine residues on surfaces in the manufacture of pharmaceuticals. J. Chromatogr. A. 1024, 115–122 (2004).
Pellegatti, M., Braggio, S., Sartori, S., Franceschetti, F. & Bolelli, G. Validation of a high-performance liquid chromatographic—radioimmunoassay method for the determination of lacidipine in plasma. J. Chromatogr. B Biomed. Sci. Appl. 573, 105–111 (1992).
Qumbar, M., Zafar, A., Imam, S. S., Fazil, M. & Ali, A. DOE-based stability indicating RP-HPLC method for determination of lacidipine in Niosomal gel in rat: Pharmacokinetic determination. Pharm. Anal. Acta. 5, 8 (2014).
Ramesh, G., Vishnu, Y. V., Reddy, P. C., Kumar, Y. S. & Rao, Y. M. Development of high performance liquid chromatography method for lacidipine in rabbit serum: application to Pharmacokinetic study. Anal. Chim. Acta. 632, 278–283 (2009).
Rossato, P., Scandola, M. & Grossi, P. Investigation into lacidipine and related metabolites by high-performance liquid chromatography—mass spectrometry. J. Chromatogr. A. 647, 155–166 (1993).
Shaik, M. & Reddy, C. S. Development and validation of RP-HPLC assay method for determination of lacidipine in tablets. J. Pharm. Sci. Res. 11, 2204–2207 (2019).
Bachri, M. & Rizky, S. S. UV spectrophotometry with chemometric methods for concurrent assays of antihypertensive components in tablets. Res. J. Pharm. Technol. 16, 4314–4318 (2023).
Chauhan, M. K. et al. Simultaneous Estimation of Gliclazide and lacidipine using spectrophotometric methods and its application in nanostructured lipid carrier (NLC) development. Der Pharmacia Lettre. 6, 352–358 (2014).
Dandu, G., Akkimi, P., Reddy, A. T. & Reddy, B. V. Estimation of Lacidipine in Bulk and Pharmaceutical Dosage Form by Zero Order, and First Order Derivative UV Spectrophotometric Methods. PharmaTutor 7, 73–78 (2019).
Moorthi, C. & Sumithira, G. Spectrophotometric determination of lacidipine in bulk and tablet dosage form. J. Appl. Pharm. Sci. 1, 209–213 (2011).
Nagaraju, P., Channabasavaraj, K. & Shantha Kumar, P. Development and validation of spectrophotometric method for Estimation of lacidipine in tablet dosage form. Int. J. Pharm. Tech. Res. 3, 18–23 (2011).
Parmar, A. & Sharma, S. Derivative UV-vis absorption spectra as an invigorated spectrophotometric method for spectral resolution and quantitative analysis: theoretical aspects and analytical applications: A review. TRAC Trends Anal. Chem. 77, 44–53 (2016).
Feng, X., Xiaoxue, L., Li, L. & Jicheng, L. Rapid detection of three chemical components added illegally into antihypertensive health food by TLC concentration in situ combined with Micro-Raman spectroscopy method. Gaodeng Xuexiao Huaxue Xuebao/Chemical J. Chin. Universities. 39, 1172–1177 (2018).
Kharat, V., Verma, K. & Dhake, J. Determination of lacidipine from urine by HPTLC using off-line SPE. J. Pharm. Biomed. Anal. 28, 789–793 (2002).
Kumar, S., Nagaraju, P. & Kumar, U. S. Development and validation of HPTLC & method for estimation of lacidipine in bulk and pharmaceutical dosage forms. Int. J. Pharm. Sci. Rev. Res. 5, 14─17 (2010).
De Luca, M., Ioele, G., Spatari, C. & Ragno, G. Photodegradation of 1, 4-dihydropyridine antihypertensive drugs: an updated review. Int. J. Pharm. Pharm. Sci. 10, 8–18 (2018).
Toniolo, R., Di Narda, F., Bontempelli, G. & Ursini, F. An electroanalytical investigation on the redox properties of lacidipine supporting its anti-oxidant effect. Bioelectrochemistry 51, 193–200 (2000).
Belal, F., Sharaf EL-Din, M., Tolba, M. & Alaa, H. Micelle‐enhanced spectrofluorimetric method for determination of lacidipine in tablet form; application to content uniformity testing. Luminescence 30, 805–811 (2015).
Serag, A., Alnemari, R. M., Abduljabbar, M. H., Alosaimi, M. E. & Almalki, A. H. Synchronous spectrofluorimetry and chemometric modeling: A synergistic approach for analyzing Simeprevir and daclatasvir, with application to pharmacokinetics evaluation. Spectrochim. Acta Part A Mol. Biomol. Spectrosc. 315, 124245 (2024).
Batubara, A. S., Abdelazim, A. H., Gamal, M., Almrasy, A. A. & Ramzy, S. Green fitted second derivative synchronous spectrofluorometric method for simultaneous determination of Remdesivir and Apixaban at nano gram scale in the spiked human plasma. Spectrochim. Acta Part A Mol. Biomol. Spectrosc. 290, 122265 (2023).
Ramzy, S., Abduljabbar, M. H., Alosaimi, M. E. & Almalki, A. H. Development of a highly sensitive and green first-derivative synchronous fluorescence spectroscopic method for the simultaneous quantification of Telmisartan and rosuvastatin: greenness metric assessment and application to a Pharmacokinetic study in rats. Spectrochim. Acta Part A Mol. Biomol. Spectrosc. 314, 124164 (2024).
Ramzy, S., Althobaiti, Y. S. & Almalki, A. H. Eco-friendly second derivative synchronous fluorescence spectroscopic method for simultaneous determination of Rosuvastatin and Ezetimibe in pharmaceutical capsules. Spectrochim. Acta Part A Mol. Biomol. Spectrosc. 325, 125123 (2025).
Ravichandran, V. et al. Spectrophotometric method for the determination of lacidipine in tablets. Indian J. Pharm. Sci. 66, 797–799 (2004).
Larsen, C. et al. A tool for identifying green solvents for printed electronics. Nat. Commun. 12, 4510 (2021).
Shen, Y. et al. Development of greenness index as an evaluation tool to assess reagents: evaluation based on SDS (Safety data Sheet) information. Miner. Eng. 94, 1–9 (2016).
Płotka-Wasylka, J. & Wojnowski, W. Complementary green analytical procedure index (ComplexGAPI) and software. Green Chem. 23, 8657–8665 (2021).
Pena-Pereira, F., Wojnowski, W. & Tobiszewski, M. AGREE—Analytical greenness metric approach and software. Anal. Chem. 92, 10076–10082 (2020).
Manousi, N., Wojnowski, W., Płotka-Wasylka, J. & Samanidou, V. Blue applicability grade index (BAGI) and software: a new tool for the evaluation of method practicality. Green Chem. 25, 7598–7604 (2023).
Fares, A. R., ElMeshad, A. N. & Kassem, M. A. Enhancement of dissolution and oral bioavailability of lacidipine via pluronic P123/F127 mixed polymeric micelles: formulation, optimization using central composite design and in vivo bioavailability study. Drug Deliv. 25, 132–142 (2018).
Funding
Open access funding provided by The Science, Technology & Innovation Funding Authority (STDF) in cooperation with The Egyptian Knowledge Bank (EKB).
Author information
Authors and Affiliations
Contributions
KAMA: Conceptualization, Writing – review & editing, Supervision. MAH: Conceptualization, Methodology, Investigation, Writing – original draft, Supervision. AME: Conceptualization, Writing – review & editing. All authors read and approved the final manuscript.
Corresponding author
Ethics declarations
Competing interests
The authors declare no competing interests.
Ethical approval
All the methods were carried out in accordance with relevant guidelines and regulations according to the Declaration of Helsinki 1975, as revised in 2008. The method and the study were approved by the Ethics Committee of the Faculty of Medicine, Al-Azhar University, Damietta branch. All participants provided written informed consent prior to participation.
Consent for publication
Not applicable to this study.
Additional information
Publisher’s note
Springer Nature remains neutral with regard to jurisdictional claims in published maps and institutional affiliations.
Electronic supplementary material
Below is the link to the electronic supplementary material.
Rights and permissions
Open Access This article is licensed under a Creative Commons Attribution 4.0 International License, which permits use, sharing, adaptation, distribution and reproduction in any medium or format, as long as you give appropriate credit to the original author(s) and the source, provide a link to the Creative Commons licence, and indicate if changes were made. The images or other third party material in this article are included in the article’s Creative Commons licence, unless indicated otherwise in a credit line to the material. If material is not included in the article’s Creative Commons licence and your intended use is not permitted by statutory regulation or exceeds the permitted use, you will need to obtain permission directly from the copyright holder. To view a copy of this licence, visit http://creativecommons.org/licenses/by/4.0/.
About this article
Cite this article
Attia, K.A., Hasan, M.A. & El-Shanawany, A.M. Green first derivative synchronous spectrofluorimetric determination of lacidipine and its acid degradation product in plasma and mixtures. Sci Rep 15, 25888 (2025). https://doi.org/10.1038/s41598-025-11341-y
Received:
Accepted:
Published:
DOI: https://doi.org/10.1038/s41598-025-11341-y