Abstract
Narcolepsy is a severe sleep disorder with characteristics of fatigue, fragmented sleep, cataplexy and hypnagogic hallucinations. Earlier clinical studies have reported the onset of schizophrenia after narcolepsy but the causality behind narcolepsy and schizophrenia is unknown. Our goal was to understand the causality between narcolepsy and schizophrenia. To estimate the comorbidity between narcolepsy and schizophrenia, we employed data from the FinRegistry that contains data for the total population of Finland in total 7.2 million individuals (N = 1664 individuals with narcolepsy and 55,372 with schizophrenia). We then used Mendelian randomization and previously published genome-wide association data to test the causality between narcolepsy and schizophrenia. We observed a robust causal association from narcolepsy to schizophrenia using the HLA-independent lead variants (P-value = 6.0 × 10−4), which was accentuated when including the HLA locus (P-value = 4.48 × 10−7). Furthermore, we observed a modest bidirectional causality from schizophrenia to narcolepsy (P-value = 0.015). There was no evidence of pleiotropy. Our findings indicate a causal relationship where narcolepsy may increase the risk for schizophrenia, and a bidirectional causality from schizophrenia to narcolepsy. Additionally, our results clarify the psychiatric burden in narcolepsy.
Similar content being viewed by others
Introduction
Narcolepsy is a severe neurological sleep disorder with likely an autoimmune origin [1]. It was first described in 1880 by Gélineau, with symptoms of daytime sleepiness, fragmented nighttime sleep, loss of muscle tone by positive emotions (cataplexy) and sleep attacks that can occur during the day and result in a tendency to fall asleep suddenly [2, 3]. Based on clinical manifestation and symptoms in narcolepsy it has been divided into narcolepsy type 1 (NT1) with cataplexy, and narcolepsy type 2 (NT2) without cataplexy. The severity of NT1 may be related to the loss of the majority of hypocretin/orexin neurons that produce wake-consolidating neurotransmitter, hypocretin. At least some of the hypocretin neurons are still partially present in NT2 and it is currently unknown whether NT2 also has an autoimmune origin [4]. The prevalence of NT1 is estimated to be around 0.02%, which mainly stems from the prevalence of cataplexy being 0.02% [5]. Yet the prevalence of narcolepsy without cataplexy is not well-established although the prevalence of NT2 is larger than NT1 and estimated around 0.06% [3]. The age of onset of narcolepsy can vary but according to epidemiological studies, it has two peaks around ages 15 and 35. Furthermore, narcolepsy affects men and women approximately at similar rates [6].
In addition to classical sleep symptoms, narcolepsy is related to lower mood [7,8,9]. However, sometimes patients with narcolepsy have symptoms that overlap with other psychiatric diseases, most importantly schizophrenia [10, 11].
Schizophrenia, is a severe psychiatric disorder, and is characterized by delusions, hallucinations, catatonic behavior, and diminished emotional expression [12] and has a clear genetic component (heritability = 79%) [13]. The lifetime prevalence of schizophrenia is estimated at 0.87% [14], although this number could vary significantly regarding economic, geographical, and migration status and being a part of an ethnic minority [15]. Schizophrenia is more prevalent in men than women with a median risk ratio of 1.4:1 [16].
Furthermore, both narcolepsy and schizophrenia have underlying genetic associations with immune factors, particularly in the Human Leukocyte Antigen (HLA) region [17, 18]. The HLA locus is positioned on 6p21 and encodes genes playing crucial roles in immune system regulation and is implicated in susceptibility to several diseases with immune components [19]. More than 90% of the people with NT1 carry at least one copy of the HLA-DQB1*06:02 allele located at the extended HLA region. This allele has been reported in earlier work to increase the risk for narcolepsy with the majority of NT1 cases being DQB1*06:02 positive [20,21,22].
Clinicians have reported several cases of dual diagnosis of both narcolepsy and schizophrenia, where the patients have complained about hallucinations, delusions, sleeping problems and catalepsy during the first hospital visits [23]. Unimodal and multimodal hallucinations are more frequent in schizophrenia and narcolepsy respectively, with hypnagogic/hypnopompic hallucinations typically occurring in the latter. Anxiety and dissociative symptoms are mutual among both, however, depressive symptoms are more severe in schizophrenia [23]. Consequently, the patients have received an initial diagnosis of schizophrenia [24, 25]. The occurrence of hallucinations and delusions in both disorders makes the differential diagnosis difficult.
The diagnosis of narcolepsy typically occurs after unsuccessful treatment with antipsychotic drugs and manifestations of severe sleeping problems, with improvements for both conditions after taking measures to treat narcolepsy [24, 25]. Clinical studies in patient cohorts estimate the schizophrenia prevalence secondary to narcolepsy to be around 9.8% and ranging between 5–13% [26,27,28], approximately 11 times higher than in the general population. These observations raise the question of shared causality between narcolepsy and schizophrenia as well as suggest that narcolepsy may cause symptoms of schizophrenia.
Methods
Narcolepsy cohorts
Current genetic analyses have focused on NT1, and genome-wide summary statistics are available for NT1 but not for NT2 specifically. Here we use data specific for NT1 [1], and data that includes both NT1 and NT2 from FinnGen. NT1 as exposure data: NT1 GWAS summary statistics were obtained from a previous meta-analysis [1]. In summary, a multi-ethnic cohort of 6073 individuals with NT1 and 84,856 healthy controls were included in their study. Some of the subjects were collected from other studies [29, 30]. All cases were HLA-DQB1*06:02-positive, hypocretin-1 deficient and had cataplexy. GWAS summary statistics (SNPs’ significance of p < 5 × 10−8) from this study were used and the previously identified independent lead variants were selected as the exposure instruments in our study. All the variants, except two, were located in different chromosomes, and those two were independent from each other.
NT1 and NT2 as outcome data: First, full summary statistics from FinnGen (259 cases and 374,605 controls), a large cohort that includes genotypic and phenotypic data of 520,210 Finns [31], for narcolepsy from release 12 (R12) (ICD-10 code G47.4 from outpatient and inpatient data, ICD-9 code 3471A and ICD-8 code 34700 from inpatient-only data and Kela reimbursement. Kela is the social insurance institution of Finland, which reimburses some of the costs for prescription medicines used for the treatment of an illness, code 214 corresponding to narcolepsy type 1 and 2. Secondly, we used the summary statistics from a previous GWAS specific for NT1 [1].
Schizophrenia cohorts
Schizophrenia as outcome data: For schizophrenia, we used the publicly available summary statistics for three distinct cohorts with a cumulative count of 74,776 individuals diagnosed with schizophrenia and 101,023 healthy controls, derived from the study conducted by Trubetskoy et al. [32]: (i) European cohort consisting of 53,386 cases and 77,258 controls. (ii) Core cohort with a total number of 67,390 schizophrenia/schizoaffective disorder cases and 94,015 controls, encompassing the European cohort and an east Asian cohort (14,004 cases and 16,757 controls). (iii) Primary cohort comprising the European ancestry cohort and the east Asian cohort, in addition to African-American (6152 cases 3918 controls) and Latino individuals (1234 cases and 3090 controls). The version 6 of the GWAS summary statistics for these cohorts were procured from publicly accessible datasets published by the Psychiatric Genomics Consortium (PGC) (https://doi.org/10.6084/m9.figshare.19426775.v6). The files that were used are: “PGC3_SCZ_wave3.european.autosome.public.v3.vcf.tsv.gz”, “PGC3_SCZ_wave3.core.autosome.public.v3.vcf.tsv.gz” and “PGC3_SCZ_wave3.primary.autosome.public.v3.vcf.tsv.gz”.
Schizophrenia as exposure data: For the exposure data, we used the individual lead variants (SNPs) from the Psychiatric Genomics Consortium [32]. They identified the independent signals through implementing stepwise analyses, and Bayesian fine-mapping using FINEMAP which was based on LD clumping procedure to select the independent causal variants.
Mendelian randomization (MR)
The MR analyses were performed using the TwoSampleMR R package [33] version 0.6.6 and R version 4.4.1. In brief, MR aims to use genetic variants independently associated with an exposure as instrumental variables to assess the causal impact of the exposure on the outcome. It does this by assessing the effect of the exposure instruments on the outcome and performing a weighted linear regression of the effects of variants on the outcome against their effect on the exposure, with multiple weighting approaches. The regression slope then represents the magnitude of the one-directional causal estimate of the exposure to the outcome. To provide an accurate causal estimate, the genetic variants selected as exposure instruments need to satisfy the following three core MR assumptions [34] by being:
-
1.
Predictive of the exposure, usually satisfied by selecting those variants that meet a stringent statistical threshold (P - value < 5 × 10−8) for association with the exposure;
-
2.
Independent of confounding factors of the exposure-outcome association;
-
3.
Not pleiotropic (i.e. is conditionally independent of the outcome given the exposure and the confounding factors).
To assess causality, we used multiple MR approaches which vary in statistical power and flexibility of the MR assumption violation. Primarily, we adopted Inverse Variance Weighted (IVW) as our main MR method, which combines all the Instrumental Variables (IV)-specific ratio estimates (weighting each instrument by the inverse of the square of the instrument’s effect size standard error) [34] and is the most statistically powerful, but requires that all genetic instruments satisfy the above assumptions. We also used the Weighted Median (WM) approach which relaxes the requirement that all instruments satisfy the above assumptions but at least 50% of the genetic variants are assumed to be valid [35], sacrificing statistical power for greater instrument flexibility. Additionally, we applied the MR-Egger approach which uses Egger regression to estimate the causal effect while also testing (and accounting) for causal estimate bias due to pleiotropy [36]. It allows violation of the pleiotropy assumption (assumption 3 above) but adds the requirement that the direct pleiotropic effects of the genetic variants on the outcome are distributed independently of the genetic associations with the exposure, referred to as the Instrument Strength Independent of Direct Effect (InSIDE) assumption. The last two models we applied are both mode-based estimations (MBE) which are simple (unweighted)- and weighted-MBE. MBE approaches use the modal (most frequent) effect estimate from all the instruments and allow the majority of instruments to be invalid (violate one or more of the above assumptions). In comparison to weighted median-based estimators and IVW, MBE methods are less powerful in identifying the causality between the exposure and the outcome but exceed the statistical power of MR Egger [37, 38]. We considered our MR causal estimates to be statistically significant if they had an IVW P - value < 0.05.
Sensitivity analysis
The rigor of MR relies on the indirect effect of instruments on the outcome, only via the exposure. Otherwise, the causality might be biased due to pathways other than those involving the exposure, which is referred to as “horizontal pleiotropy” [39]. The presence of pleiotropy was tested in our study using the MR Egger intercept. Afterwards, we performed a leave-one-out analysis, which repeats the MR but excludes each SNP one at a time, to test if a single SNP drives the MR association results. We then performed the analysis again using schizophrenia lead variants from Trubetskoy et al. as the exposure instruments against NT1 and narcolepsy including both NT1 and NT2 as the outcome to test the robustness of our findings.
Due to the disproportionately high effect size of the HLA locus in NT1 [40], the effect sizes were computed with and without lead variants from the HLA locus. Furthermore, sensitivity analyses for ethnic-specific associations were carried out using all ethnicities provided by the Psychiatric Genetics Consortium for schizophrenia [32].
Power calculation of mendelian randomization
In the next step, we assessed the power of mendelian randomization to identify the causality between an exposure and an outcome. For this purpose, we used mRnd (https://shiny.cnsgenomics.com/mRnd/), an online tool which calculates the statistical power, taking into account the amount of phenotypic variance explained by the genetic variants [41]. This tool uses as the input the sample size, proportion of cases, odds ratio, and the amount of phenotypic variance of the exposure explained by the instrumental variables [41].
Leave-one-out analysis
Finally, we used leave-one-out analysis to test if any individual SNP is responsible for driving the causality. This analysis repeats the MR, excluding each variant one at a time and then computes the causal effect without that one variant.
Results
Dual cases of narcolepsy and schizophrenia in the Finnish population
We retrieved the number of individuals with narcolepsy and schizophrenia among Finnish individuals in the FinRegistry database. FinRegistry is a joint research project of the Finnish Institute for Health and Welfare (THL) and the Data Science Genetic Epidemiology research group at the Institute for Molecular Medicine Finland (FIMM), University of Helsinki, which provides statistical and machine learning models to study disease occurrences, using the health conditions, medications, vaccinations and laboratory results from over 7.2 million Finns, https://www.finregistry.fi/ [42]. There were 1664 individuals with narcolepsy of which 880 and 784 were females and males, respectively. There was a total of 55,372 schizophrenia patients, including 26,366 females and 29,006 males. The population-level prevalence of narcolepsy was similar between males and females (0.03%). The prevalence of narcolepsy is 0.03% in FinRegistry and 0.05% in FinnGen R12 whereas the prevalence of schizophrenia is 1.04% and 1.51% in FinRegistry and FinnGen R12. The prevalence of both diseases is higher in FinnGen than in FinRegistry.
We also examined the overlapping cases of narcolepsy and schizophrenia in FinRegistry, and 34 cases were documented. The observed prevalence of schizophrenia in narcolepsy (2%) was more than two times higher than the expected relative schizophrenia cases in the general population (0.87%) [14]. This observation was significant when tested with Fisher’s exact test (P - value < 1 × 10−5) [43].
Mendelian Randomization analysis of NT1 with schizophrenia
To understand the possible causal relationship between NT1 as a risk factor for schizophrenia we then performed Two-sample MR predicting schizophrenia with NT1 and vice versa.
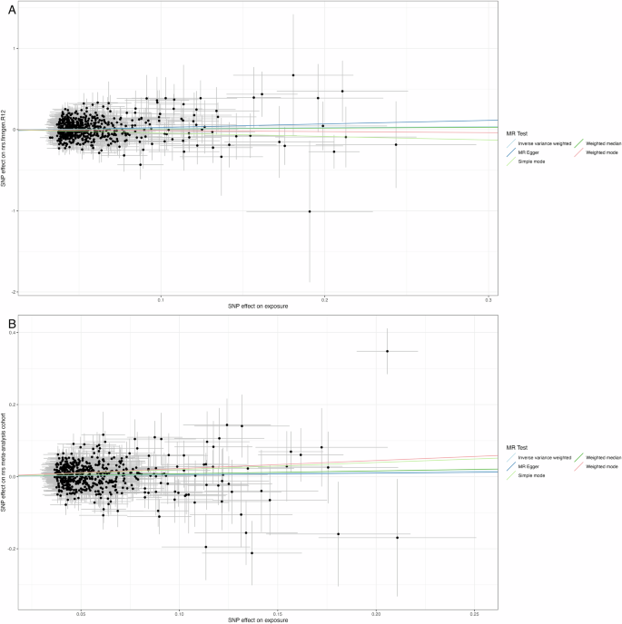
We used variants from previously published GWAS specific for NT1 [1] which reported 13 independent variants outside the HLA region. We tested the causality from NT1 to schizophrenia with non-HLA variants and with all variants including, rs2002779, one lead variant from the HLA region, in linkage disequilibrium (LD) with HLA-DQB1*06:02. We observed a causal relationship from NT1 to schizophrenia in the HLA-independent analysis (P - value = 0.0006, Beta = 0.058, SE = 0.017 and OR [95% CI] = 1.06 [1.024–1.096]) in European ancestry, with concordant effects across different MR methods (Fig. 1A and Table 1). Furthermore, when we include rs2002779, we observed an even stronger causal relationship from NT1 to schizophrenia (P - value = 4.48 × 10−7, Beta = 0.052, SE = 0.01 and OR [95% CI] = 1.054 [1.032–1.076]) for European ancestry (Fig. 1B and Table 1).
A shows the results using non-HLA lead variants and B shows the results after including one lead variant in LD with HLA-DQB1*06:02. The x and y axes show the effect sizes (log odds ratio) of each SNP for both phenotypes. The horizontal and the vertical lines demonstrate the standard errors of the effect sizes.
Subsequently, we replicated the examination within both the core cohort (Supplementary Fig. 1 and Supplementary Table 1), encompassing individuals of European and East Asian ancestry, and the primary cohort (Supplementary Fig. 2 and Supplementary Table 2), comprising individuals of European, East Asian, African-American, and Latino ancestry. These cohorts exhibited similar results (P - value < 0.05 for both cohorts).
Mendelian Randomization analysis of schizophrenia to NT1
We assessed if there is a reverse causal relationship from schizophrenia to NT1, to examine if schizophrenia increased the risk for NT1. We used variants from Trubetskoy et al. [32] as the exposure instruments for schizophrenia, NT1 summary statistics from an earlier published NT1 GWAS [1] as outcome data. We found a bidirectional causality from schizophrenia to the narcolepsy meta-analysis. We observed a positive effect estimate with FinnGen data, which also includes NT2 cases, although the relationship was not significant, possibly due to smaller number of affected individuals (N = 259 narcolepsy cases in FinnGen versus 6073 individuals in NT1 meta-analysis) and consequently power in this cohort (Fig. 2, Table 2).
A and B show the schizophrenia Trubetskoy et al. cohort [32] and FinnGen release 12, and Narcolepsy meta-analysis [1], respectively. The x and y axes show the effect sizes (log odds ratio) of each SNP for both diseases. The horizontal and the vertical lines show the standard errors of the effect sizes.
Sensitivity analyses
As earlier studies suggest that there are immune components both in NT1 and schizophrenia, we wanted to test if confounding factors, or other mediating factors are present causing pleiotropy. Therefore, we used the MR Egger intercept to assess significant horizontal pleiotropy across all the instruments. We observed no evidence of overall horizontal pleiotropy, through studying the MR Egger intercept, in the analysis where NT1 was tested as a risk factor for schizophrenia or where schizophrenia was tested as a risk factor for NT1 (Table 3). The results for core and primary cohorts are shown in supplementary Table 3.
Power calculation of mendelian randomization
To calculate the statistical power of our study, we used mRnd online tool. Our study showed a robust power to detect the causality from narcolepsy to schizophrenia, and even more power when including a lead variant from the HLA region. The results were consistent in European (Table 4), core, and primary schizophrenia cohorts (Supplementary Table 4). Our study showed a high power in detecting causality from schizophrenia to narcolepsy in the narcolepsy meta-analysis, but a lower power in FinnGen cohort (Table 4). These results may be due to the smaller narcolepsy sample size in the latter.
Leave-one-out analysis
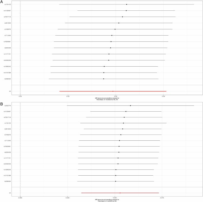
Finally, we performed leave-one-out analysis to test if any individual SNP is responsible for driving the MR results. This analysis repeats the MR, excluding each variant one at a time and then computing the causal effect without that one variant (Fig. 3, Supplementary Tables 5 and 6). The findings were consistent, and no single variant was responsible for the causal relationship between NT1 and schizophrenia. The results for the core cohort are shown in Supplementary Fig. 3 and Supplementary Tables 7 and 8, and the results for the primary cohort are shown in Supplementary Fig. 4 and Supplementary Tables 9 and 10. The results for schizophrenia to NT1 meta-analysis and FinnGen R12 narcolepsy cohort are shown in the Supplementary Tables 11 and 12, respectively.
A shows the results using non-HLA lead variants and B shows the results using the lead variants including one HLA- region variant.
Discussion
In the present study, we implemented MR to test whether there is a causal relationship between NT1 and schizophrenia. Epidemiological analysis of the total population of Finland in 7.2 million individuals showed a higher prevalence of schizophrenia among the NT1 patients than within the population free of NT1 supporting the role of NT1 and schizophrenia co-occurring in a subset of patients with NT1. In addition, MR analysis using data for NT1, and earlier curated data from the psychiatric genetics consortium showed a causal relationship from NT1 to schizophrenia, and a bidirectional causality from schizophrenia to narcolepsy meta-analysis cohort. Overall, these results support the relationship between NT1 and schizophrenia and suggest that NT1 may increase the risk of developing schizophrenia, and vice versa.
In the FinRegistry cohort that represents the Finnish population, the prevalence of NT1 is 0.03% which is in agreement with earlier reported values in Finland and globally. However, the observed prevalence of schizophrenia in the population of Finland is 1% but among those with NT1 it was over 2% and thus approximately two times higher than the expected relative schizophrenia cases in the general population (0.87%) [14]. To put these values into the context of existing literature, we want to highlight that several studies have earlier described overlapping cases of NT1 and schizophrenia in clinical samples: Plazzi et al. reported that the cases who have both schizophrenia and NT1 develop more severe symptoms, may require hospitalization, and have poorer response to psychosis treatment relative to schizophrenia itself, and the majority of them were HLA DQB1∗03:01/06:02 positive, in comparison to each condition separately [23]. Similarly. Huang et al. reported a higher prevalence of depressive symptoms and hospitalization in patients with both narcolepsy-cataplexy and schizophrenia compared to schizophrenia-only patients [26]. The reported cases of schizophrenia-like symptoms in narcoleptic patients [10, 23, 25] are in concordance with the overlapping cases of NT1 and schizophrenia observed in the Finnish population and overall expand our understanding of the relationship between narcolepsy and schizophrenia.
Our MR investigation suggested that NT1 increases the risk for schizophrenia. on the other hand, we also found a modest bidirectional causality from schizophrenia to narcolepsy in one of the tested cohorts. Our study showed a robust power in detecting the causal relationship between narcolepsy and schizophrenia. In addition, our analysis indicated the absence of significant pleiotropy, suggesting that the genetic variations influencing the outcome are not driven by strong pleiotropic factors. Overall, the findings provide some insight into the co-occurrence of NT1 and schizophrenia cases reported in prior research [23].
Previous studies have highlighted the shared mechanisms of the immune system and autoimmunity between narcolepsy and schizophrenia, many of them pointing to the role of HLA region variants or variants related to the essential genes for immunity [29, 44]. GWAS analysis in Hallmayer et al. on narcolepsy patients identified variants in the T cell receptor Alpha (TCRA) locus [29]. Furthermore, HLA-DQB1*06:02 is the most significantly associated gene with NT1 and is often genotyped to aid clinical decision-making [20]. HLA molecules interact with TCR subtypes and are the most important regulators for adaptive immune responses [45]. In the context of narcolepsy, HLA/TCR interaction likely contributes to the destruction of hypocretin neurons [29, 46]. Similarly, the strongest genetic risk factor for schizophrenia is located in the HLA region but with a separate association encoding for complement 4 (C4) that is not part of the narcolepsy risk haplotype [47]. These findings suggest an immune signal, although perhaps separate, in both diseases. Our finding contributes to the understanding of causality from NT1 to schizophrenia but does not solve the molecular mechanisms that connect the two diseases.
Our results show a causal association from schizophrenia to NT1, only in the narcolepsy meta-analysis cohort, and not in the FinnGen cohort. This finding may indicate real biology but more likely is affected by power and smaller N of narcolepsy patients in FinnGen alone. Furthermore, there are clear sleep disturbances in individuals with schizophrenia [48]. Based on data from the UK Biobank, people with schizophrenia had longer sleep duration, took more naps and had poorer sleep efficiency [49]. Furthermore, Hombali et al. conducted an assessment of narcolepsy incidence in various psychiatric disorders, including schizophrenia, mood disorders, and anxiety disorders, revealing a 12.5% occurrence rate [50]. Together with our current data, these findings highlight overall comorbidity between narcolepsy and schizophrenia.
Limitations
Our study should be interpreted in the light of following limitations. Current genome-wide data allows assessment for only NT1 or jointly for NT1 and NT2. Therefore, we cannot perform specific analysis for NT2. Furthermore, assessment of subtypes of schizophrenia or schizoaffective disorders, as they might be informative for future studies as clinical and biological mechanisms in schizophrenia subtypes may be different from each other. Our NT1 cohorts have relatively small sample sizes which do not confer high power to test pleiotropic effects. In addition, the prevalence of narcolepsy and schizophrenia is higher in FinnGen R12 in comparison to FinRegistry and effect estimates in MR in FinnGen may not represent direct population values from the total population.
Conclusion
In conclusion, our research highlights the bidirectional causality between NT1 and schizophrenia and the most prominent SNPs with the highest effect on this causality. Our findings show that the schizophrenia diagnosis in narcoleptic patients is a phenomenon that does not occur only by chance but also having NT1 can be considered as a risk factor for developing schizophrenia. Our findings may help to elucidate the possible mechanisms in dual cases of narcolepsy-schizophrenia, which could be beneficial for early and precise diagnosis of either disorder or the development of treatment approaches.
Data availability
Data and code used in this study are available upon reasonable request. The FinnGen individual-level data may be accessed through applications to the Finnish Biobanks’ FinnBB portal, Fingenious (www.finbb.fi). Summary data can be accessed through the FinnGen website https://www.finngen.fi/en/access_results.
References
Ollila HM, Sharon E, Lin L, Sinnott-Armstrong N, Ambati A, Yogeshwar SM, et al. Narcolepsy risk loci outline role of T cell autoimmunity and infectious triggers in Narcolepsy. Nat Commun. 2023;14:2709.
Thorpy MJ, Hiller G. The medical and economic burden of Narcolepsy: implications for managed care. Am Health Drug Benefits. 2017;10:233–41.
Longstreth WT Jr., Koepsell TD, Ton TG, Hendrickson AF, van Belle G. The epidemiology of Narcolepsy. Sleep. 2007;30:13–26.
Mahoney CE, Cogswell A, Koralnik IJ, Scammell TE. The neurobiological basis of Narcolepsy. Nature reviews Neuroscience. 2019;20:83–93.
Kornum BR, Knudsen S, Ollila HM, Pizza F, Jennum PJ, Dauvilliers Y, et al. Narcolepsy. Nat Rev Dis Primers. 2017;3:16100.
Hanin C, Arnulf I, Maranci JB, Lecendreux M, Levinson DF, Cohen D, et al. Narcolepsy and psychosis: a systematic review. Acta psychiatrica Scandinavica. 2021;144:28–41.
Daniels E, King MA, Smith IE, Shneerson JM. Health-related quality of life in Narcolepsy. J Sleep Res. 2001;10:75–81.
Dauvilliers Y, Paquereau J, Bastuji H, Drouot X, Weil JS, Viot-Blanc V. Psychological health in central hypersomnias: the French Harmony study. J Neurol Neurosurg Psychiatry. 2009;80:636–41.
Fortuyn HA, Mulders PC, Renier WO, Buitelaar JK, Overeem S. Narcolepsy and psychiatry: an evolving association of increasing interest. Sleep Med. 2011;12:714–9.
Canellas F, Lin L, Julia MR, Clemente A, Vives-Bauza C, Ollila HM, et al. Dual cases of type 1 Narcolepsy with schizophrenia and other psychotic disorders. Journal of clinical sleep medicine. 2014;10:1011–8.
Sarkanen T, Niemelä V, Landtblom A-M, Partinen M. Psychosis in patients with Narcolepsy as an adverse effect of sodium oxybate. Frontiers in Neurology. 2014;5:136.
Diagnostic and statistical manual of mental disorders: DSM-5American Psychiatric A, American Psychiatric Association DSMTF, editors. Arlington, VA: American Psychiatric Association; 2013.
Hilker R, Helenius D, Fagerlund B, Skytthe A, Christensen K, Werge TM, et al. Heritability of Schizophrenia and Schizophrenia spectrum based on the nationwide Danish twin register. Biological Psychiatry. 2018;83:492–8.
Perala J, Suvisaari J, Saarni SI, Kuoppasalmi K, Isometsa E, Pirkola S, et al. Lifetime prevalence of psychotic and bipolar I disorders in a general population. Archives of General Psychiatry. 2007;64:19–28.
Saha S, Chant D, Welham J, McGrath J. A systematic review of the prevalence of schizophrenia. PLoS Medicine. 2005;2:e141.
McGrath J, Saha S, Welham J, El Saadi O, MacCauley C, Chant D. A systematic review of the incidence of schizophrenia: the distribution of rates and the influence of sex, urbanicity, migrant status and methodology. BMC Medicine. 2004;2:13.
Ollila HM, Ravel JM, Han F, Faraco J, Lin L, Zheng X, et al. HLA-DPB1 and HLA class I confer risk of and protection from Narcolepsy. American Journal of Human Genetics. 2015;96:136–46.
Schizophrenia Working Group of the Psychiatric Genomics C. Biological insights from 108 schizophrenia-associated genetic loci. Nature. 2014;511:421–7.
Shiina T, Hosomichi K, Inoko H, Kulski JK. The HLA genomic loci map: expression, interaction, diversity and disease. Journal of Human Genetics. 2009;54:15–39.
Tafti M, Hor H, Dauvilliers Y, Lammers GJ, Overeem S, Mayer G, et al. DQB1 locus alone explains most of the risk and protection in Narcolepsy with cataplexy in Europe. Sleep. 2014;37:19–25.
Honda Y, Juji T, Matsuki K, Naohara T, Satake M, Inoko H, et al. HLA-DR2 and Dw2 in Narcolepsy and in other disorders of excessive somnolence without cataplexy. Sleep. 1986;9:133–42.
Mignot E, Hayduk R, Black J, Grumet FC, Guilleminault C. HLA DQB1*0602 is associated with cataplexy in 509 narcoleptic patients. Sleep. 1997;20:1012–20.
Plazzi G, Fabbri C, Pizza F, Serretti A. Schizophrenia-like symptoms in Narcolepsy type 1: shared and distinctive clinical characteristics. Neuropsychobiology. 2015;71:218–24.
Cavalier Y, Kothare SV. The association of Schizophrenia and Narcolepsy in adolescents. Pediatric neurology. 2018;83:56–7.
Talih FR. Narcolepsy presenting as Schizophrenia: a literature review and two case reports. Innovations in Clinical Neuroscience. 2011;8:30–4.
Huang YS, Guilleminault C, Chen CH, Lai PC, Hwang FM. Narcolepsy-cataplexy and schizophrenia in adolescents. Sleep Medicine. 2014;15:15–22.
Roy A. Psychiatric aspects of Narcolepsy. The British Journal of Psychiatry. 1976;128:562–5.
Sours JA. Narcolepsy and other disturbances in the sleep-waking rhythm: a study of 115 cases with review of the literature. The Journal of Nervous and Mental Disease. 1963;137:525–42.
Hallmayer J, Faraco J, Lin L, Hesselson S, Winkelmann J, Kawashima M, et al. Narcolepsy is strongly associated with the T-cell receptor alpha locus. Nature Genetics. 2009;41:708–11.
Han F, Faraco J, Dong XS, Ollila HM, Lin L, Li J, et al. Genome wide analysis of Narcolepsy in China implicates novel immune loci and reveals changes in association prior to versus after the 2009 H1N1 Influenza pandemic. PLoS Genetics. 2013;9:e1003880.
Kurki MI, Karjalainen J, Palta P, Sipilä TP, Kristiansson K, Donner KM, et al. Author correction: FinnGen provides genetic insights from a well-phenotyped isolated population. Nature. 2023;615:E19.
Trubetskoy V, Pardinas AF, Qi T, Panagiotaropoulou G, Awasthi S, Bigdeli TB, et al. Mapping genomic loci implicates genes and synaptic biology in Schizophrenia. Nature. 2022;604:502–8.
Hemani G, Zheng J, Elsworth B, Wade KH, Haberland V, Baird D, et al. The MR-Base platform supports systematic causal inference across the human phenome. Elife. 2018;7:e34408. https://doi.org/10.7554/elife.34408. Available from: http://europepmc.org/abstract/MED/29846171, https://europepmc.org/articles/PMC5976434, https://europepmc.org/articles/PMC5976434?pdf=render.
Burgess S, Butterworth A, Thompson SG. Mendelian randomization analysis with multiple genetic variants using summarized data. Genetic Epidemiology. 2013;37:658–65.
Bowden J, Davey Smith G, Haycock PC, Burgess S. Consistent estimation in mendelian randomization with some invalid instruments using a weighted median estimator. Genetic Epidemiology. 2016;40:304–14.
Bowden J, Davey Smith G, Burgess S. Mendelian randomization with invalid instruments: effect estimation and bias detection through Egger regression. International Journal of Epidemiology. 2015;44:512–25.
Hartwig FP, Davey Smith G, Bowden J. Robust inference in summary data Mendelian randomization via the zero modal pleiotropy assumption. International Journal of Epidemiology. 2017;46:1985–98.
Boehm FJ, Zhou X. Statistical methods for Mendelian randomization in genome-wide association studies: a review. Computational and Structural Biotechnology Journal. 2022;20:2338–51.
Minelli C, Del Greco MF, van der Plaat DA, Bowden J, Sheehan NA, Thompson J. The use of two-sample methods for Mendelian randomization analyses on single large datasets. International Journal of Epidemiology. 2021;50:1651–9.
Miyagawa T, Tokunaga K Genetics of narcolepsy. Hum Genome Var. 2019;6:4. https://doi.org/10.1038/s41439-018-0033-7. Available from: http://europepmc.org/abstract/MED/30652006, https://www.nature.com/articles/s41439-018-0033-7.pdf, https://europepmc.org/articles/PMC6325123, https://europepmc.org/articles/PMC6325123?pdf=render.
Brion MJ, Shakhbazov K, Visscher PM. Calculating statistical power in Mendelian randomization studies. Int J Epidemiol. 2013;42:1497–501.
Viippola E, Kuitunen S, Rodosthenous R, Vabalas A, Hartonen T, Vartiainen P, et al. Data resource profile: nationwide registry data for high-throughput epidemiology and machine learning (FinRegistry). Int J Epidemiol. 2023;52:e195–e200.
Kim H-Y. Statistical notes for clinical researchers: Chi-squared test and Fisher’s exact test. Restorative Dentistry & Endodontics. 2017;42:152–5.
Ermakov E, Melamud M, Buneva V, Ivanova S. Immune system abnormalities in Schizophrenia: an integrative view and translational perspectives. Frontiers in Psychiatry. 2022;13:1–21.
Pietra G, Romagnani C, Manzini C, Moretta L, Mingari M. The emerging role of HLA-E-Restricted CD8 T lymphocytes in the adaptive immune response to pathogens and tumors. Journal of Biomedicine & Biotechnology. 2010;2010:907092.
Fuschiotti P, Pasqual N, Hierle V, Borel E, London J, Marche PN, et al. Analysis of the TCR alpha-chain rearrangement profile in human T lymphocytes. Molecular Immunology. 2007;44:3380–8.
Sekar A, Bialas AR, de Rivera H, Davis A, Hammond TR, Kamitaki N, et al. Schizophrenia risk from complex variation of complement component 4. Nature. 2016;530:177–83.
Kaskie R, Graziano B, Ferrarelli F. Schizophrenia and sleep disorders: links, risks, and management challenges. Nature and Science of Sleep. 2017;9:227–39.
Wainberg M, Jones S, Beaupre L, Hill S, Felsky D, Rivas M, et al. Association of accelerometer-derived sleep measures with lifetime psychiatric diagnoses: a Cross-Sectional Study of 89,205 participants from the UK Biobank. PLoS Medicine. 2021;18:e1003782.
Hombali A, Seow E, Yuan Q, Chang SHS, Satghare P, Kumar S, et al. Prevalence and correlates of sleep disorder symptoms in psychiatric disorders. Psychiatry Research. 2019;279:116–22.
Acknowledgements
This work was supported by The Alfred Kordelin foundation (RE), NIH R01HG012810, R01CA283469 and R01AI170850 (HMO). We want to acknowledge the participants and investigators of the FinnGen study. The FinnGen project is funded by two grants from Business Finland (HUS 4685/31/2016 and UH 4386/31/2016) and the following industry partners: AbbVie Inc., AstraZeneca UK Ltd, Biogen MA Inc., Bristol Myers Squibb (and Celgene Corporation & Celgene International II Sàrl), Genentech Inc., Merck Sharp & Dohme LCC, Pfizer Inc., GlaxoSmithKline Intellectual Property Development Ltd., Sanofi US Services Inc., Maze Therapeutics Inc., Janssen Biotech Inc, Novartis Pharma AG, and Boehringer Ingelheim International GmbH. Following biobanks are acknowledged for delivering biobank samples to FinnGen: Auria Biobank (www.auria.fi/biopankki), THL Biobank (www.thl.fi/biobank), Helsinki Biobank (www.helsinginbiopankki.fi), Biobank Borealis of Northern Finland (https://www.ppshp.fi/Tutkimus-ja-opetus/Biopankki/Pages/Biobank-Borealis-briefly-in-English.aspx), Finnish Clinical Biobank Tampere (www.tays.fi/en-US/Research_and_development/Finnish_Clinical_Biobank_Tampere), Biobank of Eastern Finland (www.ita-suomenbiopankki.fi/en), Central Finland Biobank (www.ksshp.fi/fi-FI/Potilaalle/Biopankki), Finnish Red Cross Blood Service Biobank (www.veripalvelu.fi/verenluovutus/biopankkitoiminta), Terveystalo Biobank (www.terveystalo.com/fi/Yritystietoa/Terveystalo-Biopankki/Biopankki/) and Arctic Biobank (https://www.oulu.fi/en/university/faculties-and-units/faculty-medicine/northern-finland-birth-cohorts-and-arctic-biobank). All Finnish Biobanks are members of BBMRI.fi infrastructure (www.bbmri.fi). Finnish Biobank Cooperative -FINBB (https://finbb.fi/) is the coordinator of BBMRI-ERIC operations in Finland. The Finnish biobank data can be accessed through the Fingenious® services (https://site.fingenious.fi/en/) managed by FINBB.
Author information
Authors and Affiliations
Consortia
Contributions
HMO and RE designed the study plan. HMO and MP collected the samples. HMO and MP curated the data. RE conducted the data analysis. AMT, SEJ, and EV commented and refined the analysis. All the authors contributed to drafting, editing and finalizing the manuscript.
Corresponding author
Ethics declarations
Competing interests
The authors declare no competing interests.
Ethics statement and materials & methods
Patients and control subjects in FinnGen provided informed consent for biobank research, based on the Finnish Biobank Act. Alternatively, separate research cohorts, collected prior the Finnish Biobank Act came into effect (in September 2013) and start of FinnGen (August 2017), were collected based on study-specific consents and later transferred to the Finnish biobanks after approval by Fimea (Finnish Medicines Agency), the National Supervisory Authority for Welfare and Health. Recruitment protocols followed the biobank protocols approved by Fimea. The Coordinating Ethics Committee of the Hospital District of Helsinki and Uusimaa (HUS) statement number for the FinnGen study is Nr HUS/990/2017. The FinnGen study is approved by Finnish Institute for Health and Welfare (permit numbers: THL/2031/6.02.00/2017, THL/1101/5.05.00/2017, THL/341/6.02.00/2018, THL/2222/6.02.00/2018, THL/283/6.02.00/2019, THL/1721/5.05.00/2019 and THL/1524/5.05.00/2020), Digital and population data service agency (permit numbers: VRK43431/2017-3, VRK/6909/2018-3, VRK/4415/2019-3), the Social Insurance Institution (permit numbers: KELA 58/522/2017, KELA 131/522/2018, KELA 70/522/2019, KELA 98/522/2019, KELA 134/522/2019, KELA 138/522/2019, KELA 2/522/2020, KELA 16/522/2020), Findata permit numbers THL/2364/14.02/2020, THL/4055/14.06.00/2020, THL/3433/14.06.00/2020, THL/4432/14.06/2020, THL/5189/14.06/2020, THL/5894/14.06.00/2020, THL/6619/14.06.00/2020, THL/209/14.06.00/2021, THL/688/14.06.00/2021, THL/1284/14.06.00/2021, THL/1965/14.06.00/2021, THL/5546/14.02.00/2020, THL/2658/14.06.00/2021, THL/4235/14.06.00/2021, Statistics Finland (permit numbers: TK-53-1041-17 and TK/143/07.03.00/2020 (earlier TK-53-90-20) TK/1735/07.03.00/2021, TK/3112/07.03.00/2021) and Finnish Registry for Kidney Diseases permission/extract from the meeting minutes on 4th July 2019. The Biobank Access Decisions for FinnGen samples and data utilized in FinnGen Data Freeze 10 include: THL Biobank BB2017_55, BB2017_111, BB2018_19, BB_2018_34, BB_2018_67, BB2018_71, BB2019_7, BB2019_8, BB2019_26, BB2020_1, BB2021_65, Finnish Red Cross Blood Service Biobank 7.12.2017, Helsinki Biobank HUS/359/2017, HUS/248/2020, HUS/150/2022 § 12, §13, §14, §15, §16, §17, §18, and §23, Auria Biobank AB17-5154 and amendment #1 (August 17 2020) and amendments BB_2021-0140, BB_2021-0156 (August 26 2021, Feb 2 2022), BB_2021-0169, BB_2021-0179, BB_2021-0161, AB20-5926 and amendment #1 (April 23 2020)and it´s modification (Sep 22 2021), Biobank Borealis of Northern Finland_2017_1013, 2021_5010, 2021_5018, 2021_5015, 2021_5023, 2021_5017, 2022_6001, Biobank of Eastern Finland 1186/2018 and amendment 22 § /2020, 53§/2021, 13§/2022, 14§/2022, 15§/2022, Finnish Clinical Biobank Tampere MH0004 and amendments (21.02.2020 & 06.10.2020), §8/2021, §9/2022, §10/2022, §12/2022, §20/2022, §21/2022, §22/2022, §23/2022, Central Finland Biobank 1-2017, and Terveystalo Biobank STB 2018001 and amendment 25th Aug 2020, Finnish Hematological Registry and Clinical Biobank decision 18th June 2021, Arctic biobank P0844: ARC_2021_1001.
Additional information
Publisher’s note Springer Nature remains neutral with regard to jurisdictional claims in published maps and institutional affiliations.
Supplementary information
Rights and permissions
Open Access This article is licensed under a Creative Commons Attribution-NonCommercial-NoDerivatives 4.0 International License, which permits any non-commercial use, sharing, distribution and reproduction in any medium or format, as long as you give appropriate credit to the original author(s) and the source, provide a link to the Creative Commons licence, and indicate if you modified the licensed material. You do not have permission under this licence to share adapted material derived from this article or parts of it. The images or other third party material in this article are included in the article’s Creative Commons licence, unless indicated otherwise in a credit line to the material. If material is not included in the article’s Creative Commons licence and your intended use is not permitted by statutory regulation or exceeds the permitted use, you will need to obtain permission directly from the copyright holder. To view a copy of this licence, visit http://creativecommons.org/licenses/by-nc-nd/4.0/.
About this article
Cite this article
Eghtedarian, R., Tervi, A.M., Jones, S.E. et al. Narcolepsy as a potential risk factor for Schizophrenia. Transl Psychiatry 15, 55 (2025). https://doi.org/10.1038/s41398-025-03259-w
Received:
Revised:
Accepted:
Published:
Version of record:
DOI: https://doi.org/10.1038/s41398-025-03259-w
This article is cited by
-
Prevalence of Sleep Disorders in Adults with Attention Deficit Hyperactivity Disorder (ADHD): The Impact of Comorbidity and ADHD Subtype
SN Comprehensive Clinical Medicine (2026)





