Abstract
Five sets of germacrane isomers (1/8/17, 2/7/10/11/13/16/18, 3/4/5/14/20, 6/12/15, and 9/19) with different skeletal types, including seven new ones (1–3, 8–9, and 15–16) were isolated from the whole plant of Carpesium divaricatum. Among them, there are six pairs of stereoisomers (1/8, 2/13, 4/14, 6/12, 7/11 and 10/11). The planar structures and relative configurations of the new compounds were elucidated by detailed spectroscopic analysis. The absolute configurations of 4, 10, 11, and 17 were established by circular dichroism (CD) spectra and X-ray crystallographic analyses, and the stereochemistry of the new compounds 1–3, 8–9, and 15–16 were determined by similar CD spectra with 4, 10, 11, and 17, respectively. The confusion in the literature about subtypes I and II of germacranolides was clarified in this paper. The NMR data of 10–11, and the absolute configurations of the known compounds 4–6, 13–14, and 17–20 were reported for the first time. Compounds 13, 17, and 18 showed cytotoxicity against human cervical (HeLa), colon (LoVo) and stomach cancer (BGC-823) cell lines with IC50 values in the range 4.72–13.68 μM compared with the control cis-platin (7.90–15.34 μM).
Similar content being viewed by others
Introduction
The genus Carpesium (Asteraceae) includes 25 species worldwide, most of which are distributed across Asia and Europe, particularly in southwest China1,2. The plant Carpesium divaricatum, as a Chinese folk medicine, has been used for the treatment of fevers, colds, bruises, and inflammatory diseases3,4,5,6,7. Previous investigations indicated that a series of diverse compounds were isolated, including sesquiterpenoid lactones, acyclic diterpenes, and thymol derivatives, with the sesquiterpenoid lactones being the major constituents5,6,7,8,9,10,11.
Germacranolides are one of the main sesquiterpene lactones, reported with broad bioactivities including cytotoxicity, anti-inflammation and anti-malaria2,4,10,11,12,13. So far, 54 germacranolides from the Carpesium plants have been reported2,12,14. The parent nucleus of the germacranolides contains a 5-membered γ-lactone ring fused to a circular 10-membered carbocycle, with different post-modifications to produce complex and diverse structural features. In addition, these germacranolides contain as many as nine stereogenic centers, creating the problem of stereo configuration. The relative configurations of 2, 5-hemiacetal-linked germacranolides are often deduced by NOESY analysis7,8,9,11,15,16,17,18,19,20, but their absolute configurations have rarely been reported12,14. The undefined absolute configuration and the incorrect depiction of the epoxy bonds cause significant confusion within the structures of this kind of compounds7,8,9,11,15,16,17,18,19,20.
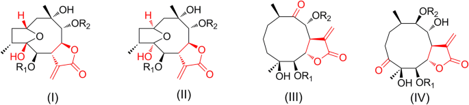
In our continuing effort to search for bioactive constituents from C. divaricatum, germacrane isomers attracted our attention due to their structural diversity. Five sets of germacrane isomers (1/8/17, 2/7/10/11/13/16/18, 3/4/5/14/20, 6/12/15, and 9/19), including seven new ones (1–3, 8–9, and 15–16) were indentified in the current investigation. Notably, these germacranolides include six pairs of stereoisomers (1/8, 2/13, 4/14, 6/12, 7/11 and 10/11). Structurally, these germacrane isomers belong to different skeletal types. According to the configuration of 2,5-hemiacetal group, linkage site of the ketone group and the position of 5-membered γ-lactone ring, the germacranolides could be further divided into several subtypes (Fig. 1). Compounds 1–7 together with the reported compounds ineupatolide B–C21 are attributable to subtype I (named 2β,5β-epoxygermacranolide), which contains a 5-membered α-methylene-γ-lactone ring linkage at C-7 and C-8, and the 2β,5β-hemiacetal group on the macro-ring system. Compounds 8–14 and the known compounds divaricin A–C8 are assigned as subtype II (named 2α,5α-epoxygermacranolide), having a 7,8-α-methylene-γ-lactone ring and the 2α,5α-hemiacetal group. The known compounds incaspitolide A–C22,23 and eight germacranolides we previously reported from C. divaricatum12 are classified as subtype III (named 9-oxo-germacranolide) with structural features of one 6,7-α-methylene-γ-lactone ring and the 9-ketone group. Compounds 15–20 represent subtype IV (named 3-oxo-germacranolide), possessing a 6,7-α-methylene-γ-lactone ring and the 9-ketone group. Both subtypes I and II are 2,5-hemiacetal-linked germacranolides, but their configurations at the bridgehead carbons between 5-membered ring and 9-membered ring are opposite. Subtypes III and IV have similar skeletons, but linkage sites of the ketone group are different (9-ketone group in subtype III and 3-ketone group in subtype IV). Twenty analogues here we further isolated from same species represent other three subtypes of germacranolides (subtypes I–II and IV). NOESY spectrum, circular dichroism (CD) method and X-ray data analysis were used to confirm their relative and absolute configurations. In this paper, the isolation, the structural elucidation, the absolute configuration and bioactive evaluation of these compounds were present. The confusion in the literature about subtypes I and II of germacranolides is also discussed.
Results and Discussion
Structural Elucidation of Compounds from Subtype I
Compound 1 (Fig. 2) was obtained as white needles. The molecular formula was assigned as C23H34O9 on the basis of the positive-ion HRESIMS ion at m/z 477.2104 [M + Na]+, together with its 1H and 13C NMR data (Tables 1 and 2). The IR spectrum showed the presence of hydroxyl (3493 cm−1) and carbonyl (1767 and 1737 cm−1) functional groups. The 1H NMR spectrum of 1 displayed the presence of two isobutyryloxy groups, which was further confirmed by the HRESIMS data of 1 with fragment ions at m/z 367.1758 [M + 1-HOiBu]+ and 261.1127 [M + 1-HOiBu-HOiBu-H2O]+. The 1H and 13C NMR spectra of 1 also showed an α-methylene-γ-lactone moiety at δH 5.68 (1 H, dd, J = 3.0, 1.2 Hz, Ha-13) and 6.13 (1 H, dd, J = 3.6, 1.2 Hz, Hb-13), δC 134.8 (C-11), 124.2 (C-13) and 170.2 (C-12); two lactone carbonyl carbons at δC 176.6 (C-1′) and 178.0 (C-1″); a dioxygenated carbon at δC 105.6 (C-5); one oxygenated tertiary carbon at 72.0 (C-10); five methines including four oxygenated ones at δH 4.30 (1 H, m, H-2), 4.87 (1 H, d, J = 7.2 Hz, H-6), 3.90 (1 H, m, H-7), 4.70 (1 H, dd, J = 6.0, 6.0 Hz, H-8) and 5.07 (1 H, d, J = 4.8 Hz, H-9), δC 70.9 (C-2), 74.4 (C-6), 45.9 (C-7), 78.1 (C-8), and 80.3 (C-9); and two methyl groups at δH 1.33 (3 H, s, CH3-14), 0.99 (3 H, d, J = 7.2 Hz, CH3-15). These observations and analyses of 1H-1H COSY, HSQC, and HMBC spectra (Fig. 3) suggested that the structure of 1 was similar to that of 2β,5-epoxy-5,10-dihydroxy-6α-angeloyloxy-9β-isobutyryloxy-germacran-8α,12-olide (4)9, except for an isobutyryloxy group in 1 compared to the angeloyloxy group at C-6 in 4.
The relative configuration of 1 was determined by analysis of the NOESY data (Fig. 4). The NOE correlations of H3-15/H-6 and H-6/H-8 indicated they were cofacial and were arbitrarily assigned as α-orientations, whereas the correlations of H-7/H-9 and H-9/H3-14 showed their β-orientations. The NOE correlations of H-2/H-4 and H-6/H3-15, and the lack of correlation of H-4 with H-7, suggested that H-2, and 5-OH were β-oriented. Thus, the relative configuration of 1 was established.
Compound 2 possessed molecular formula of C25H36O9 based on the HRESIMS ion at m/z 503.2261 [M + Na]+. The 1H and 13C NMR data of 2 were similar to those of 1, except that the isobutyryloxy groups at C-6 and C-9 in 1 were replaced by an angeloyloxy group at C-6 and a 3-methylbutyryloxy group at C-9 in 2. The 1H-1H COSY, HSQC, and HMBC spectra supported the structure of 2 as shown. The NOE correlations of H-2/H-4, H-6/H3-15, H-6/H-8, H-7/H-9 and H-9/H3-14 in 2 indicated that 2 had the same relative configuration as 1.
Compounds 3–4 shared the same molecular formula C24H34O9 from their HRESIMS at m/z 489.2112 [M + Na]+ and m/z 489.2100 [M + Na]+. The 1H and 13C NMR data of 3 showed a great similarity with those of 4, except for the ester residues at C-6. The angeloyloxy group at C-8 in 4 was placed by a tigloyloxy group in 324. The 1H-1H COSY, HSQC and HMBC spectra of 3 confirmed this observation, leading to the assignment of its planar structure. The relative configuration of 3 was deduced to be the same as 4, on the basis of similar ROESY data.
Compounds 4–7 were identified as 2β,5-epoxy-5,10-dihydroxy-6α-angeloyloxy-9β-isobutyryloxy-germacran-8α,12-olide (4)9, ineupatolide A (5)21, 2β,5-epoxy- 5,10-dihydroxy-6α,9β-diangeloyloxy-germacran-8α,12-olide (6)15,16,17,18,19,20 and ineupatolide (7)8,14,15 by comparison of their MS, 1H NMR, and 13C NMR spectroscopic data, as well as optical rotation data with reported data. The conclusions were also confirmed by the 1H-1H COSY, HSQC, HMBC, and NOESY spectra. However, only compound 7 has been reported the absolute configuration before.
Fortunately, a single crystal of 4 was obtained from MeOH. The X-ray crystallographic analysis [flack parameter:−0.10(12)] unambiguously established the absolute configuration of 4 as 2R, 4R, 5S, 6R, 7S, 8S, 9R, and 10S (Fig. 5). Based on the established absolute configuration of 4, we deduced the absolute configurations of 1–3 and 4–6 from similar CD data (supplementary information Fig. C1). Due to the fact that there are some differences in the CD spectra of 1 and 5, the absolute configurations of 1 and 5 were further confirmed by using quantum chemical electronic circular dichroism (ECD) calculations. It was clear that the calculated ECD spectra of (2R, 4R, 5S, 6R, 7S, 8S, 9R, 10S)-1 and 5 were matched very well with the experimental ECD spectra of 1 and 5 (supplementary information C2). Thus, the structures of compounds 1–6 were defined as shown, named (2R, 5S)-cardivarolide A (1), (2R, 5S)-cardivarolide B (2), (2R, 5S)-ciscardivarolide C (3), (2R, 5S)-cardivarolide C (4), ineupatolide A (5), and (2R, 5S)-cardivarolide D (6), respectively.
This type of germacranolides has significant confusion because almost all of the compounds have been determined by comparison of their spectroscopic data with those of ineupatolide (7)15. In addition to the previous incorrect assignment of the absolute configuration of ineupatolide (7)15,21, the depiction of the epoxy bonds, in which the bonds of 2,5-epoxy group were depicted with bold or dashed lines, is also incorrect15,16. Thus, it is suggested that the structures of germacranolides of this type (subtype I) should be depicted as shown.
Structural Elucidation of Compounds from Subtype II
Compound 8 had the same molecular formula (C23H34O9, m/z 477.2101 [M + Na]+ in HRESIMS) and the same planar structure as 1 according to the 1H-1H COSY, HSQC, and HMBC spectra (Fig. 3). Comparing the 1HNMR data of 8 with 1, the main difference was downfield signals of H-7 (δ 3.30 in 8 and 3.90 in 1), H-9 (δ 4.59 in 8 and 5.07 in 1), and H-8 (δ 5.24 in 8 and 4.70 in 1) in 8 (see Table 1). These results suggested that 8 and 1 had different configurations8. The relative configuration of 8 was elucidated by NOESY analysis (Fig. 4). The NOE correlations of H-4/H-7, H3-15 (4-CH3) /H-3a, H-3a/H-2 and H-2/H-1b, indicated that H-2, H3-15, and 5-OH had α-orientations8. The β-orientations of H-7, H-9 and H3-14, and α-orientations of H-6 and H-8 could be deduced from the correlations of H-4/H-7, H-7/H-9, H-9/H3-14 and H-8/H-6. Compared with 1, compound 8 had the opposite configurations of H-2 and 5-OH linkage to the bridgehead carbons between 5-membered ring and 9-membered ring. Therefore, H-4 in space was much closer to H-7 but H3-15 was far away from H-6 in 8, compared to those of 1 (supplementary information Fig. C3). Thus, NOE correlations of H3-15/H-6 and H-4/H-6 were not observed in 8. On the basis of these data, the relative configuration of 8 was established.
The molecular formula of compound 9 was assigned as C24H36O9 by the positive-ion HRESIMS ion at m/z 491.2271 [M + Na]+, the same as that of 20. The 1H and 13C NMR data of 9 were similar to those of 8, except for the ester residues at C-9. The 2-methylbutyryloxy group at C-9 appeared in 9 instead of the isobutyryloxy group in 8. The 1H-1H COSY, HSQC, and HMBC spectra supported the structure of 9 as shown. The NOE correlations of H-4/H-7, H-8/H-6, H-7/H-9 and H-9/H3-14 in 8 and 9 indicated that 9 had the same relative configuration as 8.
Compounds 10–14 were identified as (2S, 4R, 5R, 6R, 7S, 8S, 9R, 10S, 2″R) -2,5-epoxy-5,10-dihydroxy-6-angeloyloxy-9-2-methylbutyryloxy-germacran-8,12-olide (10)14,25,26, (2S, 4R, 5R, 6R, 7S, 8S, 9R, 10S, 2″S)-2,5-epoxy-5,10-dihydroxy-6-angeloyloxy-9-2-methylbutyryloxy-germacran-8,12-olide (11)14,25,26, (2S, 4R, 5R, 6R, 7S, 8S, 9R, 10S)-2,5-epoxy-5,10-dihydroxy-6-angeloyloxy-9-angeloyloxy-germacran-8,12-olide (12)8,14,25,26, 2α,5-epoxy-5,10-dihydroxy-6α-angeloyloxy-9β-3-methylbutyryloxy-germacran-8,12-olide (13)18,19,20,25,26, and 2α,5-epoxy-5,10-dihydroxy-6α-angeloyloxy-9β-isobutyryloxy-germacran-8,12-olide (14)9,19,20,26 by comparison of their MS, 1H NMR, and 13CNMR spectral with reported data. The conclusions were also confirmed by the 1H-1H COSY, HSQC, HMBC, and NOESY spectra. However, the absolute configurations of 13–14 have not been concluded in the literature.
Herein, we further confirmed the absolute configurations of 10 and 11 by X-ray crystallographic analysis. Although a suitable single crystal of compound 10 or 11 was not obtained through many attempts with different solvents, mixed trigonal crystals of 10 and 11 (1:1) were obtained from MeOH. Both compounds have the same nuclear structures, and the only difference is that the absolute configuration of 2-methylbutyryloxy group at C-9 is 2″R or 2″S. Because the minor difference does not affect their crystal structures, the X-ray diffraction experiment of the mixture crystal supported the absolute configuration of the nuclear structure. The X-ray crystallographic analysis [flack parameter = −0.0(2)] unambiguously established the absolute configurations of 10 and 11 as 2S, 4R, 5R, 6R, 7S, 8S, 9R, and 10S (Fig. 6).
Considering similar CD data of 8–11 and 13–14 resulted in the conclusion of the absolute configurations of 8–9 and 13–14 as 2S, 4R, 5R, 6R, 7S, 8S, 9R, and 10S (supplementary information Fig. C4). Thus, the structures of new compounds 8–9 and known compounds 10–14 were defined as shown and named (2S, 5R)-isocardivarolide A (8), (2S, 5R)-isocardivarolide E (9), (2S, 5R, 2″R)-ineupatolide (10), (2S, 5R, 2″S)-ineupatolide (11), ent-divaricin B (12), (2S, 5R)-isocardivarolide B (13), and (2S,5R)-isocardivarolide C (14), respectively.
In addition, compounds 10 and 11 were usually reported as a mixture from C. triste25,26. Although both of them were separated successfully in the literature14, the NMR data have not been reported. Herein, the NMR data of 10 and 11 were reported for the first time. The MS, 1H NMR, and 13CNMR spectroscopic data of compound 12 were consistent or superposable with those of divaricin B8,19,20,26. These data indicated that both of them shared the same relative configurations. However, all isolated compounds 1–11 and 13–14 had negative optical rotation, but divaricin B has the opposite optical rotation (\({[{\rm{\alpha }}]}_{{\rm{D}}}^{20}\) − 15.6 of 12 and \({[{\rm{\alpha }}]}_{{\rm{D}}}^{20}\) + 18 of divaricin B19), which suggested that divaricin B and compound 12 could be enantiomers and have the opposite absolute configuration. Herein, in order to distinguish two compounds, compound 12 was named ent-divaricin B. The MS, NMR, CD and optical rotation data of 12 was also reported in the paper.
Similarly, there is confusion in the literature about this class of compounds (subtype II) due to the incorrect depiction of the epoxy bonds. Thus, the structures of germacranolides of this type (subtype II) were depicted correctly in this paper.
Structural Elucidation of Compounds from Subtype IV
The molecular formula of compound 15 was assigned as C25H34O9 by positive-ion HRESIMS ion at m/z 501.2101 [M + Na]+, the same as those of 6 and 12. However, the 1H and 13C NMR data implied that the structure of 15 was similar to that of 1722,25 (supplementary information S24), except that two isobutyryloxy groups of 17 were replaced by two angeloyloxy groups in 15, which was further confirmed by the 1H-1H COSY, HSQC, and HMBC spectra (Fig. 3). The relative configuration of 15 was determined by analysis of ROESY data. The key NOE correlations of H-8/H-6, H-7/H-5, H-5/H3-15, H-7/H-9, and H-9/H-10 indicated that 15 had the same relative configuration as 17 (Fig. 4).
Compound 16 was the isomers of 2, 7, 10, 11, 13, 18 and 19, based on its HRESIMS (m/z 503.2263 [M + Na]+, C25H36O9Na). The 1H and 13C NMR data were similar to those of 17, except for an angeloyloxy group at C-6 and the 3-methylbutyryloxy groups at c-9 in 16 instead of two isobutyryloxy groups in 17. The conclusion was confirmed by analysis of relevant 1H-1H COSY, HSQC and HMBC data. The relative configuration of 16 was determined to be the same as that of 15 by comparison of their ROESY data.
Compounds 17–20 were identified as incaspitolide D (17)23,27, 4β,8α-dihydroxy-5β-angeloyloxy-9β-2-methylbutyryloxy-3-oxo-germacran-6α,12-olide (18)17, 4β,8α-dihydroxy-5β-isobutyryloxy-9β-3-methylbutyryloxy-3-oxo-germacran-6α,12-olide (19)22, and 4β,8α-dihydroxy-5β-angeloyloxy-9β-isobutyryloxy-3-oxo-germacran-6α,12-olide (20)28, by comparison of their MS, 1H NMR, and 13CNMR spectroscopic data, as well as optical rotation data with reported data. However, their absolute configurations have not been reported.
Therefore, the absolute configuration of 17 was determined to be 4R, 5R, 6S, 7R, 8R, 9R, and 10R by X-ray crystallographic analysis [flack parameter: −0.00(11)] (Fig. 7). Similar CD data of 15–17 and 18–20 assigned the absolute configurations of 15–16 and 18–20 as 4R, 5R, 6S, 7R, 8R, 9R, and 10R (supplementary information Fig. C5). Thus, the structures of new compounds 15–16 (named cardivarolide F and cardivarolide G, respectively) and the known compounds 18–20 were elucidated as shown.
All compounds were evaluated for their cytotoxic activity against human cervical (HeLa), colon (LoVo), stomach (BGC-823), and breast cancer (MCF-7) cell lines. Compounds 13, 17, and 18 exhibited cytotoxicity against HeLa (IC50 values of 7.60, 5.76, and 4.72 μM), LoVo (IC50 values of 7.81, 8.00, and 7.31 μM), and BGC-823 (IC50 values of 12.68, 13.68, and 11.67 μM) cell lines, and the IC50 values were lower than that of the positive control cis-platin (IC50 values of 7.90, 13.03, and 15.34 μM, respectively).
In conclusion, five sets of germacrane isomers (1/8/17, 2/7/10/11/13/16/18, 3/4/5/14/20, 6/12/15, and 9/19) representing three subtypes of germacranolides (subtypes I–II and IV) were isolated from the whole plant of C. divaricatum. The isolated germacrane isomers, including seven new ones (1–3, 8–9, and 15–16), contained a 5-membered γ-lactone ring fused to a circular 10-membered carbocycle. Subtypes I and II have the same planar structure, but the absolute configurations at C-2 and C-5 are different (2R, 5S in subtype I and 2S, 5R in subtype II). We obtained six pairs of stereoisomers (1/8, 2/13, 4/14, 6/12, 7/11 and 10/11) from the same plant. The isolation of these stereoisomers is a huge challenge because they are highly oxygenated and have similar structures.
The absolute configurations of compounds 4, 10, 11, and 17 were unambiguously established by X-ray crystallographic analyses. The other compounds with the same skeleton were determined by comparison of NOESY and CD data with those of 4, 10, 11, and 17. Our findings have clarified the confusion in the literature about subtypes I and II of germacranolides. Compounds 13, 17, and 18 showed significant cytotoxicity against three human tumor cell lines. These findings are an important addition to the present knowledge on the structurally diverse and biologically important germacranolide family.
Methods
General Experimental Procedures
Optical rotations were measured on a Perkin-Elmer 241 polarimeter (Perkin-Elmer, Waltham, MA, USA) and UV spectra were recorded on Shimadzu UV-2501 PC (Shimadzu, Kyoto, Japan). IR data were recorded using a Shimadzu FTIR-8400S spectrophotometer (Shimadzu, Kyoto, Japan). 1H and 13C-NMR data were acquired with Bruker 600 and Bruker 500 instruments (Bruker, Rheinstetten, Germany) using the solvent signals (CD3OD: δH 3.31/δC 49.0 ppm;) as references. HRESIMS data were acquired using Q-TOF analyzer in SYNAPT HDMS system (Waters, Milford, MA, USA). CD spectra were recorded on a JASCO J-815 Spectropolarimeter (Jasco, Tokyo, Japan). X-ray diffraction data were collected on the Agilent GEMINITME instrument (CrysAlisPro software, Version 1.171.35.11; Agilent, Santa Clara, CA, USA). HPLC was performed using Waters 2535 system (Waters, Milford, MA, USA) with the following components: preparative column, a Daisogel-C18-100A (10 μm, 30 × 250 mm, ChuangXinTongHeng Sci.&Tech., Beijing, China) and a YMC-Pack ODS-A column (5 μm, 10 × 250 mm, YMC, Kyoto, Japan); and detector, Waters 2489 UV. Sephadex LH-20 (40–70 μm, Pharmacia Biotech AB, Uppsala, Sweden), silica gel (60–100, 100–200, and 200–300 mesh) and silica gel GF254 sheets (0.20–0.25 mm) (Qingdao Marine Chemical Plant, Qingdao, China) were used for column chromatography and TLC, respectively. TLC spots were visualized under UV light and by dipping into 5% H2SO4 in EtOH followed by heating.
Plant Material
The whole plants of C. divaricatum were collected from EnShi, Hubei province of China, in August of 2013. They were identified by Prof. Ben-Gang Zhang of Institute of Medicinal Plant Development. A voucher specimen (No. 20130828) was deposited in the National Compound Library of Traditional Chinese Medicines, Institute of Medicinal Plant Development, Chinese Academy of Medical Sciences and Peking Union Medical College (CAMS & PUMC), China.
Extraction and Isolation
The air-dried plants (9 kg) were extracted three times (7 days each time) with EtOH–H2O (95:5) at room temperature. The combined extract was concentrated under reduced pressure to furnish a dark brown residue (570 g), which was suspended in H2O and partitioned in turn with petroleum ether (bp 60–90 °C), EtOAc, and n-BuOH. The EtOAc extract (207 g) was separated chromatographically on silica gel column (60–100 mesh, 16 × 20 cm) with a gradient mixture of CH2Cl2–MeOH (100:1, 60:1, 30:1, 15:1, and 6:1) as eluent. Five fractions were collected according to TLC analysis. Fraction A (CH2Cl2–MeOH, 100:1, 140 g) was separated by silica gel column chromatography (CC) (100–200 mesh, 16 × 20 cm) with petroleum ether–Aceton (50:1, 25:1, 20:1, 15:1, 12:1, 10:1, 7:1, 5:1, 3:1, and 1:1) as eluent to give fractions A1–A11. Fraction A10 (petroleum ether–Aceton, 3:1, 40 g) was separated by Sephadex LH-20 CC (5 × 200 cm, MeOH) to give Fr.A10S1–Fr.A10S3. Fraction A10S2 (20 g) was then subjected to MCI gel CC (6 × 50 cm) with a gradient mixture of MeOH–H2O (60:40, 80:20, and 100:0, 4000 mL each) to give three fractions (Fr.A10S2M1–Fr.A10S2M3).
Fraction A10S2M2 (MeOH–H2O, 80:20, 3 g) was purified using preparative HPLC (Daisogel–C18–100 A, 10μm; 250 × 30 mm; 20 mL/min, 60% MeOH in H2O) to yield 1 (30 mg). Fraction A10S2M2 (13 g) was further separated chromatographically on silica gel column (200–300 mesh, 5 × 50 cm) with a gradient mixture of CH2Cl2– MeOH (150:1, 100:1, 50:1, and 20:1) as eluent, and a total of 86 fractions (Fr.A10S2M2-1–86, 200 mL each) were collected. Fraction A10S2M2-56–60 were recrysted with CH2Cl2–MeOH (10:1) to yield 17 (200 mg). Fraction A10S2M2-70 (100 mg) was purified using semipreparative HPLC (YMC–Pack ODS–A column; 5μm; 250 × 10 mm; 2 mL/min, 50% MeOH in H2O) to yield 13 (20 mg) and 14 (30 mg). Fraction A10S2M2-69 (100 mg) was purified using semipreparative HPLC with MeOH–H2O (50:50) to yield 10 (10 mg), 11 (9 mg), and a mixture of 9 and 12 (25 mg). The mixture of 9 and 12 (25 mg) was further purified using semipreparative HPLC (40–80% MeCN in H2O for 40 min) to yield 9 (4.5 mg) and 12 (6.2 mg). Fraction A10S2M2-15–19 (140 mg) were purified using semipreparative HPLC (40–60% MeOH in H2O for 20 min, and followed by 60–80% for 20 min) to yield 6 (10 mg) and 7 (50 mg). Fraction A10S2M2-20–24 (2 g) were separated by preparative HPLC (65% MeOH in H2O) and semipreparative HPLC (60% MeOH in H2O for 10 min, and followed by 60–90% for 25 min; 40–85% MeCN in H2O for 40 min) to yield 5 (6.8 mg), 3 (4 mg), 15 (5 mg), and 18 (12 mg). Fraction A10S2M2-34–50 (1.5 g) were separated by preparative HPLC (70% MeOH in H2O) and semipreparative HPLC (52–75% MeOH in H2O for 25 min, and followed by 75–95% for 10 min) to yield 4 (50 mg). Fraction A10S2M2-74–79 (140 mg) were purified using semipreparative HPLC (60–80% MeOH in H2O for 25 min, and followed by 80–90% for 20 min; 30–70% MeCN in H2O for 40 min) and to yield 8 (4 mg) and 19 (35 mg).
Fraction A9 (petroleum ether-Aceton, 5:1, 30 g) was separated by Sephadex LH-20 CC (5 × 200 cm, MeOH) to give Fr.A9S1–Fr.A9S3. Fraction A9S2 (20 g) was then subjected to MCI gel CC (6 × 50 cm) with a gradient mixture of MeOH–H2O (60:40, 80:20, and 100:0, 4000 mL each) to give three fractions (Fr.A9S2M1–Fr.A9S2M3). Fraction A9S2M2 (10 g) was further separated chromatographically on silica gel column (100–200 mesh, 5 × 50 cm)with a gradient mixture of petroleum ether–Aceton (10:1, 7:1, 5:1, 3.5:1, 2:1, and 1:1) as eluent, and a total of 200 fractions (Fr.A9S2M2-1–200, 50 mL each) were collected. Fraction A9S2M2-113–123 (1 g) were separated by preparative HPLC (65% MeOH in H2O) and semipreparative HPLC (68% MeOH in H2O for 50 min; 40–80% MeCN in H2O for 40 min) to yield 2 (4.6 mg). Fraction A9S2M2-107–112 (2.5 g) were separated by silica gel column chromatography (CC) (200–300 mesh, 5 × 40 cm) with CH2Cl2–MeOH (150:1, 75:1, 30:1, and 15:1) as eluent to give Fr. A9S2M2-107-112-A1–Fr. A9S2M2-107-112-A8. Fraction A9S2M2-107–112–A3 (CH2Cl2–MeOH, 75: 1, 500 mg) was further purified using semipreparative HPLC(65–90% MeOH in H2O for 40 min; 40–80% MeCN in H2O for 40 min) to yield 16 (10 mg) and 20 (10 mg).
X-ray Crystal Structure Analysis
X-ray diffraction data were collected on the Agilent GEMINITME instrument (CrysAlisPro software, Version 1.171.35.11), with enhanced Cu Kα radiation (λ = 1.54184 Å). The structure was solved by direct methods and refined by full-matrix least-squares techniques (SHELXL-97). All non-hydrogen atoms were refined with anisotropic thermal parameters. Hydrogen atoms were located by geometrical calculations and from positions in the electron density maps. Crystallographic data (excluding structure factors) for 4, 10, 11, and 17 in this paper have been deposited with the Cambridge Crystallographic Data Centre (deposition numbers CCDC 1407813, 1407814, and 1407812). Copies of the data can be obtained, free of charge, on application to CCDC, 12 Union Road, Cambridge CB2 1EZ, UK (fax: +44 12 23336033 or e-mail: deposit@ccdc.cam.ac.uk).
A colorless orthorhombic crystal (0.58 × 0.48 × 0.45 mm) of 4 was obtained from MeOH. Crystal data were C24H34O9, M = 466.51, T = 99.5 K, orthorhombic, space group P212121, a = 9.05085(16) Å, b = 14.4036(3) Å, c = 19.1015(3) Å, α = 90.00°, β = 90.00°, γ = 90.00°, V = 2490.16(8) Å3, Z = 4, ρ = 1.244 mg/mm3, μ(Cu Kα) = 0.790 mm−1, measured reflections = 8581, unique reflections = 4706 (Rint = 0.0189), largest difference peak/hole = 0.247/ −0.197 e Å−3, and flack parameter = −0.10(12). The final R indexes [I > 2σ (I)] were R1 = 0.0338, and wR2 = 0.0884. The final R indexes (all data) were R1 = 0.0345, and wR2 = 0.0890. The goodness of fit on F2 was 1.055.
After trying several solvent systems, the mixture trigonal crystal (0.50 × 0.20 × 0.20 mm) of 10 and 11 (1:1) was from MeOH. Main parameters: C25.487355H27O10.25, M = 497.32, T = 103.1 K, trigonal, space group P3221, a = 18.3947(4) Å, b = 18.3947(4) Å, c = 28.7027(5) Å, α = 90.00°, β = 90.00°, γ = 120.00°, V = 8410.8(3) Å3, Z = 12, ρ = 1.178 mg/mm3, μ(Cu Kα) = 0.774 mm−1, measured reflections = 56790, unique reflections = 10785 (Rint = 0.0359), largest difference peak/hole = 0.857/−0.560 e Å−3, and flack parameter = −0.0(2). The final R indexes [I > 2σ (I)] were R1 = 0.0668, and wR2 = 0.1781. The final R indexes (all data) were R1 = 0.0737, and wR2 = 0.1857. The goodness of fit on F2 was 1.027.
A colorless monoclinic crystal (0.55 × 0.40 × 0.36 mm) of 17 was grown from CH2Cl2-MeOH (20:1). Crystal data: C23H34O9, M = 454.50, T = 101.0 K, monoclinic, space group P21, a = 13.5135(4) Å, b = 9.5039(2) Å, c = 18.8280(6) Å, α = 90.00°, β = 105.051(3)°, γ = 90.00°, V = 2335.13(11) Å3, Z = 4, ρ = 1.293 mg/mm3, μ(Cu Kα) = 0.827 mm−1, measured reflections = 16917, unique reflections = 8859 (Rint = 0.0244), largest difference peak/hole = 0.759/−0.445 e Å−3, and flack parameter = −0.00(11). The final R indexes [I > 2σ (I)] were R1 = 0.0390, and wR2 = 0.1006. The final R indexes (all data) were R1 = 0.0397, and wR2 = 0.1012. The goodness of fit on F2 was 1.024.
Cytotoxicity Assays
The assay was run in triplicate. In a 96-well plate, each well was plated with 2 × 104 cells. After cell attachment overnight, the medium was removed, and each well was treated with 100 μL of medium containing 0.1% DMSO or different concentrations of the test compounds and the positive control cis-platin. The plate was incubated for 4 days at 37 °C in a humidified, 5% CO2 atmosphere. Cytotoxicity was determined using a modified 3-(4,5-dimethylthiazol-2-yl)-2,5-diphenyltetrazolium bromide (MTT) colorimetric assay29. After addition of 10 μL MTT solution (5 mg/mL), cells were incubated at 37 °C for 4 h. After adding 150 μL DMSO, cells were shaken to mix thoroughly. The absorbance of each well was measured at 540 nm in a Multiscan photometer. The IC50 values were calculated by Origin software and listed in Table 3.
References
Mabberley, D. J. Mabberley’s Plant Book (3.ed), 154 (Cambridge University Press: Cambridge, 2008).
Zhang, J. P. et al. The genus carpesium: a review of its ethnopharmacology, phytochemistry and pharmacology. J. Ethnopharmacol. 163, 173–191 (2015).
Editorial board of Chinese Materia Medica. Chinese Materia Medica, Vol. 21 (eds Hu, X. M. et al.) 7761 (Shanghai Science & Technology Press, Shanghai, 1999).
Kim, E. J. et al. Suppression by a sesquiterpene lactone from Carpesium divaricatum of inducible nitric oxide synthase by inhibiting nuclear factor-κB activation. Biochem. Pharmacol. 61, 903–910 (2001).
Zee, O. P. et al. A new cytotoxic acyclic diterpene from Carpesium divaricatum. Arch. Pharm. Res. 22, 225–227 (1999).
Zee, O. P., Kim, D. K. & Lee, K. R. Thymol derivatives from Carpesium divaricatum. Arch. Pharm. Res. 21, 618–620 (1998).
Chung, I. M. et al. Antiplasmodial activity of isolated compounds from Carpesium divaricatum. Phytother. Res. 24, 451–453 (2010).
Maruyama, M. Sesquiterpene lactones from Carpesium divaricatum. Phytochemistry. 29, 547–550 (1990).
Kim, D. K., Lee, K. R. & Zee, O. P. Sesquiterpene lactones from Carpesium divaricatum. Phytochemistry. 46, 1245–1247 (1997).
Kim, D. K. et al. Four new cytotoxic germacranolides from Carpesium divaricatum. J. Nat. Prod. 60, 1199–1202 (1997).
Xie, W. D. et al. Sesquiterpenoids from Carpesium divaricatum and their cytotoxic activity. Fitoterapia. 83, 1351–1355 (2012).
Zhang, T. et al. New highly oxygenated germacranolides from Carpesium divaricatum and their cytotoxic activity. Sci.Rep. 6, 27237, https://doi.org/10.1038/srep27237 (2016).
Moon, H. I. Antiplasmodial activity of ineupatorolides A from Carpesium rosulatum. Parasitol Res. 100, 1147–1149 (2007).
Liu, Q. X. et al. Isolation, structure elucidation, and absolute configuration of highly oxygenated germacranolides from Carpesium cernuum. J. Nat. Prod. 10, 2479–2486 (2016).
Baruah, R. N., Sharma, R. P. & Thyagarajan, G. Unusual germacranolides from Inula eupatorioides. J. Org. Chem. 45, 4838–4843 (1980).
Baruah, N. C. et al. Germacranolides of Inula eupatorioides. 2. Absolute configuration of the ineupatorolides. J. Org. Chem. 47, 137–140 (1982).
Goswami, A. C. et al. Germacranolides from Inula cappa. Phytochemistry. 23, 367–372 (1984).
Lee, H. J. et al. A germacranolide sesquiterpene lactone suppressed inducible nitric oxide synthase by downregulating NF-κB activity. Can. J. Physiol. Pharmacol. 89, 232–237 (2011).
Moon, H. I. & Zee, O. Antiproliferative effect from sesquiterpene lactones of Carpesium rosulatum MlQ consumed in South Korea on the five human cancer cell Lines. Rec. Nat. Prod. 4, 3149–3155 (2010).
Moon, H. I. & Zee, O. Sesquiterpene lactones from Carpesium rosulatum with potential cytotoxicity against five human cancer cell lines. Hum. Exp. Toxicol. 30, 1083–1087 (2010).
Wang, F. Y. et al. Sesquiterpene lactones from Inula cappa. Phytochem. Lett. 5, 639–642 (2012).
Gao, X., Lin, C. J. & Jia, Z. J. Cytotoxic germacranolides and acyclic diterpenoides from the seeds of Carpesium triste. J. Nat. Prod. 70, 830–834 (2007).
Bohlmann, F., Singh, P. & Jakupovic, J. Further ineupatorolide-like germacranolides from Inula cuspidata. Phytochemistry. 21, 157–160 (1982).
Lin, Y. L. & Ou, J. C. Napalolides A–D, four new sesquiterpene lactones from Carpesium nepalense. J. Nat. Prod. 59, 991–993 (1996).
Kim, M. R. et al. Sesquiterpene lactones from Carpesium triste var. manshuricum. Phytochemistry. 52, 113–115 (1999).
Kim, M. R. et al. Cytotoxic germacranolide sesquiterpene lactones from Carpesium triste var. manshuricum. Arch. Pharm. Res. 30, 556–560 (2007).
Liang, Q. L., Jiang, J. H. & Min, Z. D. A germacrane sesquiterpenoid from Vernonia patula. Chin. J. Nat. Med. 8, 104–106 (2010).
Gonzalez, A. G. et al. Germacranolides from Allagopappus viscosissimus. Phytochemistry. 31, 330–331 (1992).
Wang, B. J. et al. Free radical scavenging and apoptotic effects of Cordyceps sinensis fractionated by supercritical carbon dioxide. Food Chem. Toxicol. 43, 543–552 (2005).
Acknowledgements
This work was financially supported by the CAMS Innovation Fund for Medical Sciences (CIFMS, 2016-I2M-1-010), the Chinese National S&T Special Project on Major New Drug Innovation (2017ZX09301059), and the National Key Research and Development Program of China (2017YFD0201400-2).
Author information
Authors and Affiliations
Contributions
Zhong-Mei Zou designed the study; Tao Zhang performed the experiments with the help of Jia-Huan Chen, Jin-Guang Si, Gang Ding, Qiu-Bo Zhang, Hong-Wu Zhang, and Hong-Mei Jia. The manuscript was prepared by Tao Zhang, and Zhong-Mei Zou. All authors discussed the results and their interpretation and commented on the manuscript at all stages.
Corresponding author
Ethics declarations
Competing Interests
The authors declare no competing interests.
Additional information
Publisher's note: Springer Nature remains neutral with regard to jurisdictional claims in published maps and institutional affiliations.
Electronic supplementary material
Rights and permissions
Open Access This article is licensed under a Creative Commons Attribution 4.0 International License, which permits use, sharing, adaptation, distribution and reproduction in any medium or format, as long as you give appropriate credit to the original author(s) and the source, provide a link to the Creative Commons license, and indicate if changes were made. The images or other third party material in this article are included in the article’s Creative Commons license, unless indicated otherwise in a credit line to the material. If material is not included in the article’s Creative Commons license and your intended use is not permitted by statutory regulation or exceeds the permitted use, you will need to obtain permission directly from the copyright holder. To view a copy of this license, visit http://creativecommons.org/licenses/by/4.0/.
About this article
Cite this article
Zhang, T., Chen, JH., Si, JG. et al. Isolation, Structure Elucidation, and Absolute Configuration of Germacrane Isomers from Carpesium divaricatum. Sci Rep 8, 12418 (2018). https://doi.org/10.1038/s41598-018-30782-2
Received:
Accepted:
Published:
Version of record:
DOI: https://doi.org/10.1038/s41598-018-30782-2
This article is cited by
-
Chemodiversity of terpenoids from Inuleae tribe species (Asteraceae)
Phytochemistry Reviews (2025)
-
Isolation of Nannocystis species from Iran and exploring their natural products
Archives of Microbiology (2022)









