Abstract
Type 1 diabetes mellitus (T1DM) is a metabolic disorder for which the underlying molecular mechanisms remain largely unclear. This investigation aimed to elucidate essential candidate genes and pathways in T1DM by integrated bioinformatics analysis. In this study, differentially expressed genes (DEGs) were analyzed using DESeq2 of R package from GSE162689 of the Gene Expression Omnibus (GEO). Gene ontology (GO) enrichment analysis, REACTOME pathway enrichment analysis, and construction and analysis of protein–protein interaction (PPI) network, modules, miRNA-hub gene regulatory network and TF-hub gene regulatory network, and validation of hub genes were performed. A total of 952 DEGs (477 up regulated and 475 down regulated genes) were identified in T1DM. GO and REACTOME enrichment result results showed that DEGs mainly enriched in multicellular organism development, detection of stimulus, diseases of signal transduction by growth factor receptors and second messengers, and olfactory signaling pathway. The top hub genes such as MYC, EGFR, LNX1, YBX1, HSP90AA1, ESR1, FN1, TK1, ANLN and SMAD9 were screened out as the critical genes among the DEGs from the PPI network, modules, miRNA-hub gene regulatory network and TF-hub gene regulatory network. Receiver operating characteristic curve (ROC) analysis confirmed that these genes were significantly associated with T1DM. In conclusion, the identified DEGs, particularly the hub genes, strengthen the understanding of the advancement and progression of T1DM, and certain genes might be used as candidate target molecules to diagnose, monitor and treat T1DM.
Similar content being viewed by others
Introduction
Type 1 diabetes mellitus (T1DM) is chronic autoimmune diabetes characterized by autoimmune mediated destruction of pancreatic beta cells1. T1DM is most generally identified in children and adolescents2. Epidemiological studies have shown that the incidence of T1DM has been increasing by 2–5% globally3. T1DM is a complex disease affected by numerous environmental factors, genetic factors and their interactions4,5. Several T1DM associated complications include cardiovascular disease6, hypertension7, diabetic retinopathy8, diabetic nephropathy9, diabetic neuropathy10, obesity11 and cognitive impairment12. Therefore, it is crucial to understand the precise molecular mechanisms associated in the progression of T1DM and thus establish effective diagnostic, prognostics and therapeutic strategies.
Although the remarkable improvement is achieved in the treatment of T1DM is insulin therapy13, the long-term survival rates of T1DM still remain low worldwide. One of the major reasons is that most patients with T1DM were diagnosed at advanced stages. It is crucial to find out novel diagnostic biomarkers, prognostic biomarkers and therapeutic targets for the early diagnosis, prognosis and timely treatment of T1DM. Therefore, it is still urgent to further explore the exact molecular mechanisms of the development of T1DM. At present, several genes and signaling pathway are identified; for example vitamin D receptor (VDR)14, HLA-B and HLA-A15, HLA-DQ16, HLA‐DQB1, HLA‐DQA1 and HLA‐DRB117, IDDM218, CaMKII/NF-κB/TGF-β1 and PPAR-γ signaling pathway19, Keap1/Nrf2 signaling pathway20, HIF-1/VEGF pathway21, NLRP3 and NLRP1 inflammasomes signaling pathway22 and NO/cGMP signaling pathway23. Therefore, it is crucial to examine the accurate molecular targets included in occurrence and advancement of T1DM, in order to make a contribution to the diagnosis and treatment of T1DM.
Next generation sequencing (NGS) platform for gene expression analysis have been increasingly recognized as approaches with significant clinical value in areas such as molecular diagnosis, prognostic prediction and identification of novel therapeutic targets24. In recent years, NGS data analysis has been effective in detecting the advancement of T1DM, and even in screening biomarkers for T1DM prognosis, diagnosis and therapy. We therefore used an NGS dataset to investigate the molecular pathogenesis of T1DM.
In the present investigation, we selected NGS dataset GSE16268925, from Gene Expression Omnibus database (GEO) (http://www.ncbi.nlm.nih.gov/geo/)26 and used the DESeq2 package in R software to screen DEGs. We performed subsequent bioinformatics analysis, including gene ontology (GO) enrichment and REACTOME pathway enrichment analysis, and construction and analysis of protein–protein interaction (PPI) network, module analysis, construction and analysis of miRNA-hub gene regulatory network and TF-hub gene regulatory network. The hub genes were validated by receiver operating characteristic curve (ROC) analysis. This investigation might offer better insight into potential molecular mechanisms to examine preventive and therapeutic strategies.
Materials and methods
Data resources
NGS dataset of T1DM (GSE162689)25 was downloaded from the GEO database. The GSE162689 NGS data was composed of 27 T1DM samples and 32 normal control samples was based on the GPL24014 Ion Torrent S5 XL (Homo sapiens).
Identification of DEGs
Differentially expressed genes (DEGs) between T1DM and normal control samples were identified by using the DESeq2 package in R language software27. DEGs were considered when an adjusted P < 0.05, and a |log2 fold change|> 0.63 for up regulated genes and |log2 fold change|< − 1.3 for down regulated genes. The adjusted P values, by employing Benjamini and Hochberg false discovery rate28, were aimed to correct the occurrence of false positive results. The DEGs were presented in volcano plot and heat map drawn using a plotting tool ggplot2 and gplots based on the R language.
GO and REACTOME pathway enrichment analysis of DEGs
One online tool, g:Profiler (http://biit.cs.ut.ee/gprofiler/)29, was applied to carried out the functional annotation for DEGs. Gene Ontology (GO) (http://geneontology.org/)30 generally performs enrichment analysis of genomes. GO terms includes biological processes (BP), cellular components (CC) and molecular functions (MF) in the GO enrichment analysis. REACTOME (https://reactome.org/)31 is a comprehensive database of genomic, chemical, and systemic functional information. GO and pathway enrichment analyses were used to identify the significant GO terms and pathways. P < 0.05 was set as the cutoff criterion.
Construction of the PPI network and module analysis
PPI network was established using the IntAct Molecular Interaction Database (https://www.ebi.ac.uk/intact/)32. To assess possible PPI correlations, previously identified DEGs were mapped to the IntAct database, followed by extraction of PPI pairs with a combined score > 0.4. Cytoscape 3.8.2 software (www.cytoscape.org/)33 was then employed to visualize the PPI network, and the Cytoscape plugin Network Analyzer was used to calculate the node degree34, betweenness centrality35, stress centrality36 and closeness centrality37 of each node in PPI network. Specifically, nodes with a higher node degree, betweenness centrality, stress centrality and closeness centrality were likely to play a more vital role in maintaining the stability of the entire network. The PEWCC1 (http://apps.cytoscape.org/apps/PEWCC1)38 plug-in was applied to analyze the modules in the PPI networks, with the default parameters (node score = 0.2, K-core ≧ 2, and max depth = 100).
MiRNA-hub gene regulatory network construction
The miRNAs targeting the T1DM related were predicted using the miRNet database (https://www.mirnet.ca/)39, and those predicted by at least 14 databases (TarBase, miRTarBase, miRecords, miRanda, miR2Disease, HMDD, PhenomiR, SM2miR, PharmacomiR, EpimiR, starBase, TransmiR, ADmiRE, and TAM 2.0) were selected for constructing the miRNA-hub gene regulatory network by Cytoscape 3.8.2 software33.
TF-hub gene regulatory network construction
The TFs targeting the T1DM related were predicted using the NetworkAnalyst database (https://www.networkanalyst.ca/)40, and those predicted by RegNetwork database was selected for constructing the TF-hub gene regulatory network by Cytoscape 3.8.2 software33.
Validation of hub genes by receiver operating characteristic curve (ROC) analysis
A ROC curve analysis is an approach for visualizing, organizing and selecting classifiers based on their achievement of hub genes. A diagnostic test was firstly performed in order to estimate the diagnostic value of hub genes in T1DM. ROC curves were obtained by plotting the sensitivity, against the specificity using the R package “pROC”41. Area under the curve (AUC) was used to measure the accuracy of these diagnostic values of the hub genes An AUC > 0.9 determined that the model had a favorable fitting effect.
Ethical approval
This article does not contain any studies with human participants or animals performed by any of the authors.
Informed consent
No informed consent because this study does not contain human or animals participants.
Results
Identification of DEGs
On the basis of the cut‐off criteria, DEGs in GEO dataset was identified between T1DN and normal control samples (Supplementary Table S1). There were 952 DEGs, including 477 up regulated and 475 down regulated genes in GSE162689 with the threshold of adjusted P < 0.05, and a |log2 fold change|> 0.63 for up regulated genes and |log2 fold change|< − 1.3 for down regulated genes. Volcano plots (Fig. 1) showed the correlation of all DEGs from the NGS data. Heat map of the up regulated and down regulated genes were indicated in Fig. 2.
GO and REACTOME pathway enrichment analysis of DEGs
To characterize the functional roles of the above DEGs, we used GO (Table 1) and REACTOME pathway (Table 2) enrichment analyses. The BP category of the GO analysis results showed that up regulated genes were significantly enriched in multicellular organism development and nitrogen compound metabolic process. For CC, these up regulated were enriched in membrane-enclosed lumen and nuclear lumen. Moreover, up regulated genes were significantly enriched in protein binding and transcription regulator activity in the MF categories. In addition, the most significantly enriched GO terms for down regulated genes were detection of stimulus and multicellular organismal process (BP), cell periphery and plasma membrane (CC), and transmembrane signaling receptor activity and molecular transducer activity (MF). According to REACTOME pathway enrichment analysis, up regulated genes were significantly enriched in diseases of signal transduction by growth factor receptors and second messengers and formation of the cornified envelope. Down regulated genes were enriched in olfactory signaling pathway and sensory perception.
Construction of the PPI network and module analysis
The PPI network of the DEGs was constructed with 5111 nodes and 9392 edges by using the IntAct database (Fig. 3). A node with a higher node degree, betweenness centrality, stress centrality and closeness centrality consider as a hub genes and are listed in Table 3. The hub genes included MYC, EGFR, LNX1, YBX1, HSP90AA1, ESR1, FN1, TK1, ANLN and SMAD9. To detect significant modules in the PPI network, the PEWCC1 plug‐in was used for analysis, and two modules that had the highest degree stood out. GO and pathway enrichment analysis showed that module 1 contained 28 nodes and 63 edges (Fig. 4A), which were associated with diseases of signal transduction by growth factor receptors and second messengers, disease, nitrogen compound metabolic process and membrane-enclosed lumen, while module 2 had 14 nodes and 30 edges (Fig. 4B), which were mainly associated with signal transduction, multicellular organismal process and detection of stimulus.
Modules of isolated form PPI of DEGs. (A) The most significant module was obtained from PPI network with 28 nodes and 63 edges for up regulated genes (B) The most significant module was obtained from PPI network with 14 nodes and 30 edges for down regulated genes. Up regulated genes are marked in green; down regulated genes are marked in red.
MiRNA-hub gene regulatory network construction
The network of miRNAs and predicted targets (hub genes) is presented in Table 4. Based on the miRNAs, a miRNA -hub gene regulatory network was constructed with 2568 nodes (miRNA: 2259; hub gene: 309) and 16,618 interaction pairs (Fig. 5). Notably, MYC targeted 194 miRNAs, including hsa-mir-4677-3p; HSP90AA1 targeted 188 miRNAs, including hsa-mir-3125; FKBP5 targeted 116 miRNAs, including hsa-mir-4779; RNPS1 targeted 109 miRNAs, including hsa-mir-548az-3p; SQSTM1 targeted 108 miRNAs, including hsa-mir-106a-5p; ANLN targeted 127 miRNAs, including hsa-mir-664a-3p; CDK1 targeted 109 miRNAs, including hsa-mir-5688;FN1 targeted 105 miRNAs, including hsa-mir-199b-3p;ESR1 targeted 98 miRNAs, including hsa-mir-206; TK1 targeted 80 miRNAs, including hsa-mir-6512-3p.
TF-hub gene regulatory network construction
The network of TFs and predicted targets (hub genes) is presented in Table 4. Based on the TFs, a TF -hub gene regulatory network was constructed with 899 nodes (TF: 604; hub gene: 295) and 3542 interaction pairs (Fig. 6). Notably, MAPK3 targeted 48 TFs, including JUND; HSP90AA1 targeted 35 TFs, including HSF2; SQSTM1 targeted 34 TFs, including SMAD4; STUB1 targeted 31 TFs, including ATF6; EGFR targeted 27 TFs, including ELF3; ESR1 targeted 126 TFs, including ELF3; SMAD9 targeted 38 TFs, including ELF3; CDK1 targeted 36 TFs, including ELF3; FN1 targeted 25 TFs, including ELF3; NEK6 targeted 16 TFs, including ELF3.
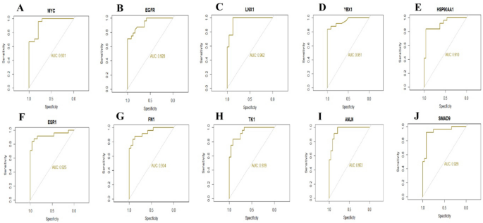
Validation of hub genes by receiver operating characteristic curve (ROC) analysis
As these 10 hub genes are prominently expressed in T1DM, we performed a ROC curve analysis to evaluate their sensitivity and specificity for the diagnosis of T1DM. As shown in Fig. 7, MYC, EGFR, LNX1, YBX1, HSP90AA1, ESR1, FN1, TK1, ANLN and SMAD9 achieved an AUC value of > 0.9, demonstrating that these genes have high sensitivity and specificity for T1DM diagnosis. The results suggested that MYC, EGFR, LNX1, YBX1, HSP90AA1, ESR1, FN1, TK1, ANLN and SMAD9 can be used as biomarkers for the diagnosis of T1DM.
Discussion
T1DM is the common forms of chronic autoimmune diabetes that affect an individual's quality of childhood life42. However, the potential causes of T1DM remain uncertain. Understanding the underlying molecular pathogenesis of T1DM is of key importance for diagnosis, prognosis and identifying drug targets. As NGS data can provide information regarding the expression levels of thousands of genes in the human genome simultaneously, this methodology has been widely used to predict the potential diagnostic and therapeutic targets for T1DM. In the present investigation, we analyzed the NGS dataset GSE162689, which includes 27 T1DM samples and 32 normal control samples. We identified 477 up regulated and 475 down regulated genes between T1DM samples and normal control samples using DESeq2 package in R language software. FGA (fibrinogen alpha chain)43 and FGB (fibrinogen beta chain)44 levels are correlated with disease severity in patients with cardiovascular disease, but these genes might provide new targets for the development of drugs to treat T1DM. IGF245, IAPP (islet amyloid polypeptide)46, INS (insulin)47 and MAFA (MAF bZIP transcription factor A)48 are proved to be involved in T1DM. Altered expression of ADCYAP1 was observed to be associated with the progression of type 2 diabetes mellitus49. Gold et al.50 reported that CSNK1G1 might be essential for cognitive impairment. Therefore, these genes are might be essential in the advancement of T1DM and its complications.
Furthermore, we investigated the biological functions of these DEGs by using online website, and GO and pathway enrichment analysis. Husemoen et al.51, Zhang et al.52, Hartz et al.53, Słomiński et al.54, Johansson et al.55, Pan et al.56, Lopez-Sanz et al.57, Grant58, Słomiński et al.59, Galán et al.60, Jordan et al.61, Winkler et al.62, Yip et al.63, Crookshank et al.64, Lempainen et al.65, Qu and Polychronakos66, Morrison et al.67, Zhang et al.68, Gerlinger-Romero et al.69, Belanger et al.70, Dieter et al.71, Wanic et al.72, Ushijima Wanic et al.73, Guo et al.74, Davis et al.75, Elbarbary et al.76, Villasenor et al.77, Zhang et al.78, Lee et al.79, Zhi et al.80, Li Calzi et al.81, Sebastiani et al.82, Cherney et al.83, Doggrell84 and Yanagihara et al.85 studied the clinical and prognostic values of FLG (filaggrin), FGF21, PEMT (phosphatidylethanolamine N-methyltransferase) KL (klotho), CEL (carboxyl ester lipase), FOSL2, STAT1, TCF7L2, TP53, EGFR (epidermal growth factor receptor), ETS1, KCNJ8, DEAF1, GCG (glucagon), IKZF4, OAS1, IRS1, ABCG2, FBXO32, PTBP1, BACH2, CNDP2, KLF11, MT1E, DPP4, SLC29A3, RGS16, MAS1, GCGR (glucagon receptor), HLA-C, VASP (vasodilator stimulated phosphoprotein), CCR2, PTGS2, GLP1R and JMJD6 in patients with T1DM. Vassilev et al.86, Qin et al.87, Ma et al.88, West et al.89, Hoffmann et al.90, Deary et al.91, Belangero et al.92, Jung et al.93, Tang et al.94, Goodier et al.95, Petyuk et al.96, Roux et al.97, Castrogiovanni et al.98, Suleiman et al.99, Haack et al.100, Kwiatkowski et al.101, Pinacho et al.102, Luo et al.103, He et al.104, Moudi et al.105, Thevenon et al.106, Li et al.107, Reitz et al.108, Jenkins and Escayg109, Letronne et al.110, Ma et al.111, Chabbert et al.112, Abramsson et al.113, Aeby et al.114 and Roll et al.115 showed the diagnostic values of genes include DCC (DCC netrin 1 receptor), PLP1, SNX19, SH3RF1, TNFRSF1A, NCSTN (nicastrin), DGCR2, NPAS2, CDNF (cerebral dopamine neurotrophic factor), SMCR8, HSPA2, STUB1, CHID1, ATP13A2, SQSTM1, LIG3, SP4, ACSL6, ERN1, ATF6B, LRFN2, NRG3, LRRTM3, GABRA2, ADAM30, GABRR2, TSHZ3, LOXL1, SCN1B and SRPX2 in patients with cognitive impairment. Previous studies have shown that genes include KCP (kielin cysteine rich BMP regulator)116, NOG (noggin)117, COL6A3118, BTG2119, RPS6120, KLF15121, KLF3122, ZFP36123, ETV5124, TLE3125, NNMT (nicotinamide N-methyltransferase)126, WDTC1127, ZFHX3128, SIAH2129, MBOAT7130, RUNX1T1131, MAPK4132, KLF9133, SELENBP1134, HELZ2135, ELK1136, SERTAD2137, CRTC3138, ABCB11139, TACR1140, SLC22A11141, PER3142, P2RX5143, MFAP5144, FGL1145, OLFM4146, NTN1147, ESR1148, ABCB1149, VAV3150 and LAMB3151 can be used as clinical prognostic biomarkers for obesity. Genes include STAR (steroidogenic acute regulatory protein)152, IL1RN153, AQP5154, EGR1155, SFTPD (surfactant protein D)156, KLF10157, PODXL (podocalyxin like)158, FOXN3159, IL6R160, PBX1161, APOD (apolipoprotein D)162, ACVR2B163, CD34164, INSR (insulin receptor)165, APOA5166, STAR (steroidogenic acute regulatory protein)167, PDK4168, GLS (glutaminase)169, FKBP5170, SLC6A15171, MT2A172, SLC38A4173, AQP7174, ABHD15175, ABCA1176, ZNRF1177, PPP1R3B178, MAOA (monoamine oxidase A)179, UBE2E2180, RNASEK (ribonuclease K)181, PREX1182, DGKG (diacylglycerol kinase gamma)183, POSTN (periostin)184, COMP (cartilage oligomeric matrix protein)185, GAP43186, P2RY12187, SELL (selectin L)188 and DLG2189 were related to type 2 diabetes mellitus. Expression of ERRFI1190, ALOX12191, SOCS5192, DDIT4193, DUSP4194, IL6ST195, DUSP1196, SMAD1197, NCL (nucleolin)198, METTL14199, FMOD (fibromodulin)200, CYGB (cytoglobin)201, UNC5A202 and TAAR9203 are believed to be associated with diabetic nephropathy. Genes include FAP (fibroblast activation protein alpha)204, EYA4205, BCL9206, IRF2BP2207, EGR3208, GADD45B209, DMD (dystrophin)210, LSR (lipolysis stimulated lipoprotein receptor)211, DLL4212, SUN2213, SOS1214, PIK3CA215, GAMT (guanidinoacetate N-methyltransferase)216, RBM47217, HSP90AA1218, GAB1219, S1PR1220, EDNRB (endothelin receptor type B)221, NFKBIA (NFKB inhibitor alpha)222, GJA1223, GADD45G224, PHLDA1225, CMPK2226, FIGN (fidgetin, microtubule severing factor)227, KCNJ2228, ABCC9229, DIRAS3230, EPHX1231, RAB4A232, UBIAD1233, CASQ2234, TTN (titin)235, KCNH1236, JPH2237, OXGR1238, UCHL1239, SERPINA3240, MMP28241, ADAMTS2242, P2RY1243, CSF2RA244, MYO1F245, SELPLG (selectin P ligand)246 and SAMHD1247 have been reported to be associated with cardiovascular disease. Previous studies had shown that the altered expression of genes include MAOB (monoamine oxidase B)248, VEGFC (vascular endothelial growth factor C)249, DBP (D-box binding PAR bZIP transcription factor)250, MYADM (myeloid associated differentiation marker)251, NES (nestin)252, SMURF1253, EDNRB (endothelin receptor type B)254, MUC6255, TOR2A256, TNKS (tankyrase)257, NEDD9258, ASIC1259, ADAMTS8260, DYSF (dysferlin)261, SLC26A9262, SLC45A3263 and KCNQ2264 were closely related to the occurrence of hypertension. Yang et al.265, Zhang et al.266 and Wang et al.267 revealed that genes include SYVN1, BTG1 and CFB (complement factor B) might be the potential targets for diabetic retinopathy diagnosis and treatment. Study indicating that these enriched genes might play important roles in the progression of T1DM.
Construction of PPI network of DEGs may be favorable for understanding the relationship of advancing T1DM. The results of the present investigation might provide potential biomarkers for the diagnosis of T1DM. SMAD9 plays an important role in the development of hypertension268. Our results indicate the importance of this hub gene might be involved in occurrence and development of T1DM. MYC (MYC proto-oncogene, bHLH transcription factor), LNX1, YBX1, FN1, TK1 and ANLN (anillin actin binding protein) are likely to provide new potential biomarkers for clinical practice or treatment of T1DM with further research.
In this investigation, the miRNA-hub gene regulatory network and TF-hub gene regulatory network that regulates T1DM was constructed. CDK1269, hsa-mir-199b-3p270, JUND271 and FOXF2272 are a promising biomarkers in obesity detection and diagnosis. Hsa-mir-106a-5p273, hsa-mir-206274, SMAD4275 and ATF6276 biomarkers were confirmed in type 2 diabetes mellitus progression. Hsa-mir-106a-5p277 and HSF2278 have been shown to promote cardiovascular disease.. Mendes-Silva et al.279 reported that hsa-mir-664a-3p promotes cognitive impairment. Some scholars pointed out that ELF3 was involved in the pathogenesis of diabetic nephropathy280. Previous studies have shown that SRY is involved in the development of hypertension281. Our results showed that these hub genes, miRNAs and TFs are might be involved in progression of T1DM. Together, RNPS1, MAPK3, NEK6, hsa-mir-4677-3p, hsa-mir-3125, hsa-mir-4779, hsa-mir-548az-3p, hsa-mir-5688, hsa-mir-6512-3p, XAB2, KHDRBS1 and RELA might be effective targets in T1DM, but more experimental investigations and clinical trials are needed.
In conclusion, the study used a comprehensive bioinformatics analysis methods to identify DEGs, as well as unique biological functions and pathways of T1DM, thereby enhancing the current understanding of the molecular pathogenesis of T1DM. Moreover, these results might provide potential biomarkers for the initial and proper diagnosis of T1DM, as well as potential therapeutic targets for the advancementof novel T1DM treatments.
Data availability
The datasets supporting the conclusions of this article are available in the GEO (Gene Expression Omnibus) (https://www.ncbi.nlm.nih.gov/geo/) repository. [(GSE162689) (https://www.ncbi.nlm.nih.gov/geo/query/acc.cgi?acc=GSE162689].
References
Bekris, L. M., Kavanagh, T. J. & Lernmark, A. Targeting type 1 diabetes before and at the clinical onset of disease. Endocr. Metab. Immune Disord. Drug Targets. 6(1), 103–124. https://doi.org/10.2174/187153006776056576 (2006).
Haller, M. J., Atkinson, M. A. & Schatz, D. Type 1 diabetes mellitus: etiology, presentation, and management. Pediatr. Clin. N. Am. 52(6), 1553–1578. https://doi.org/10.1016/j.pcl.2005.07.006 (2005).
Maahs, D. M., West, N. A., Lawrence, J. M. & Mayer-Davis, E. J. Epidemiology of type 1 diabetes. Endocrinol. Metab. Clin. N. Am. 39(3), 481–497. https://doi.org/10.1016/j.ecl.2010.05.011 (2010).
Akerblom, H. K., Vaarala, O., Hyöty, H., Ilonen, J. & Knip, M. Environmental factors in the etiology of type 1 diabetes. Am. J. Med. Genet. 115(1), 18–29. https://doi.org/10.1002/ajmg.10340 (2002).
Pociot, F. & Lernmark, Å. Genetic risk factors for type 1 diabetes. Lancet 387(10035), 2331–2339. https://doi.org/10.1016/S0140-6736(16)30582-7 (2016).
Nathan, D. M. et al. Intensive diabetes treatment and cardiovascular disease in patients with type 1 diabetes. N. Engl. J. Med. 353(25), 2643–2653. https://doi.org/10.1056/NEJMoa052187 (2005).
de Boer, I. H. et al. Insulin therapy, hyperglycemia, and hypertension in type 1 diabetes mellitus. Arch. Intern. Med. 168(17), 1867–1873. https://doi.org/10.1001/archinternmed.2008.2 (2008).
Hammes, H. P. et al. Diabetic retinopathy in type 1 diabetes-a contemporary analysis of 8,784 patients. Diabetologia 54(8), 1977–1984. https://doi.org/10.1007/s00125-011-2198-1 (2011).
Pätäri, A. et al. Nephrinuria in diabetic nephropathy of type 1 diabetes. Diabetes 52(12), 2969–2974. https://doi.org/10.2337/diabetes.52.12.2969 (2003).
González-Clemente, J. M. et al. Diabetic neuropathy is associated with activation of the TNF-alpha system in subjects with type 1 diabetes mellitus. Clin. Endocrinol. (Oxf). 63(5), 525–529. https://doi.org/10.1111/j.1365-2265.2005.02376.x (2005).
Sandhu, N. et al. Prevalence of overweight and obesity in children and adolescents with type 1 diabetes mellitus. J. Pediatr. Endocrinol. Metab. 21(7), 631–640. https://doi.org/10.1515/JPEM.2008.21.7.631 (2008).
Brismar, T. et al. Predictors of cognitive impairment in type 1 diabetes. Psychoneuroendocrinology 32(8–10), 1041–1051. https://doi.org/10.1016/j.psyneuen.2007.08.002 (2007).
Charbonnel, B., Penfornis, A., Varroud-Vial, M., Kusnik-Joinville, O. & Detournay, B. Insulin therapy for diabetes mellitus: Treatment regimens and associated costs. Diabetes Metab. 38(2), 156–163. https://doi.org/10.1016/j.diabet.2011.10.003 (2012).
Chang, T. J. et al. Vitamin D receptor gene polymorphisms influence susceptibility to type 1 diabetes mellitus in the Taiwanese population. Clin. Endocrinol. (Oxf). 52(5), 575–580. https://doi.org/10.1046/j.1365-2265.2000.00985.x (2000).
Nejentsev, S. et al. Localization of type 1 diabetes susceptibility to the MHC class I genes HLA-B and HLA-A. Nature 450(7171), 887–892. https://doi.org/10.1038/nature06406 (2007).
Thorsby, E. & Rønningen, K. S. Particular HLA-DQ molecules play a dominant role in determining susceptibility or resistance to type 1 (insulin-dependent) diabetes mellitus. Diabetologia 36(5), 371–377. https://doi.org/10.1007/BF00402270 (1993).
Nejentsev, S. et al. Population-based genetic screening for the estimation of Type 1 diabetes mellitus risk in Finland: Selective genotyping of markers in the HLA-DQB1, HLA-DQA1 and HLA-DRB1 loci. Diabet. Med. 16(12), 985–992. https://doi.org/10.1046/j.1464-5491.1999.00186.x (1999).
Barratt, B. J. et al. Remapping the insulin gene/IDDM2 locus in type 1 diabetes. Diabetes 53(7), 1884–1889. https://doi.org/10.2337/diabetes.53.7.1884 (2004).
Gbr, A. A., Abdel Baky, N. A., Mohamed, E. A. & Zaky, H. S. Cardioprotective effect of pioglitazone and curcumin against diabetic cardiomyopathy in type 1 diabetes mellitus: impact on CaMKII/NF-κB/TGF-β1 and PPAR-γ signaling pathway. Naunyn Schmiedebergs Arch. Pharmacol. 394(2), 349–360. https://doi.org/10.1007/s00210-020-01979-y (2021).
Lou, Y. et al. Inhibition of the Keap1/Nrf2 signaling pathway significantly promotes the progression of type 1 diabetes mellitus. Oxid. Med. Cell Longev. 2021, 7866720. https://doi.org/10.1155/2021/7866720 (2021).
Güzel, D. et al. Effect of intermittent hypoxia on the cardiac HIF-1/VEGF pathway in experimental type 1 diabetes mellitus. Anatol. J. Cardiol. 16(2), 76–83. https://doi.org/10.5152/akd.2015.5925 (2016).
Liu, H. et al. Downregulated NLRP3 and NLRP1 inflammasomes signaling pathways in the development and progression of type 1 diabetes mellitus. Biomed. Pharmacother. 94, 619–626. https://doi.org/10.1016/j.biopha.2017.07.102 (2017).
Farkas, K. et al. Impairment of the NO/cGMP pathway in the fasting and postprandial state in type 1 diabetes mellitus. Exp. Clin. Endocrinol. Diabetes. 112(5), 258–263. https://doi.org/10.1055/s-2004-817973 (2004).
Potter, S. S. Single-cell RNA sequencing for the study of development, physiology and disease. Nat. Rev. Nephrol. 14(8), 479–492. https://doi.org/10.1038/s41581-018-0021-7 (2018).
Seiron, P. et al. Transcriptional analysis of islets of Langerhans from organ donors of different ages. PLoS One 16(3), e0247888. https://doi.org/10.1371/journal.pone.0247888 (2021).
Clough, E. & Barrett, T. The gene expression omnibus database. Methods Mol. Biol. 1418, 93–110. https://doi.org/10.1007/978-1-4939-3578-9_5 (2016).
Varet, H., Brillet-Guéguen, L., Coppée, J. Y. & Dillies, M. A. SARTools: A DESeq2- and EdgeR-based R pipeline for comprehensive differential analysis of RNA-Seq data. PLoS One 11(6), e0157022. https://doi.org/10.1371/journal.pone.0157022 (2016).
Hardcastle, T. J. Generalized empirical Bayesian methods for discovery of differential data in high-throughput biology. Bioinformatics 32(2), 195–202. https://doi.org/10.1093/bioinformatics/btv569 (2016).
Reimand, J., Kull, M., Peterson, H., Hansen, J. & Vilo, J. g:Profiler—A web-based toolset for functional profiling of gene lists from large-scale experiments. Nucleic Acids Res. 35(Web Server issue), W193–W200. https://doi.org/10.1093/nar/gkm226 (2007).
Thomas, P. D. The gene ontology and the meaning of biological function. Methods Mol. Biol. 1446, 15–24. https://doi.org/10.1007/978-1-4939-3743-1_2 (2017).
Fabregat, A. et al. The reactome pathway knowledgebase. Nucleic Acids Res. 46(D1), D649–D655. https://doi.org/10.1093/nar/gkx1132 (2018).
Orchard, S. et al. The MIntAct project—IntAct as a common curation platform for 11 molecular interaction databases. Nucleic Acids Res. 42, D358–D363. https://doi.org/10.1093/nar/gkt1115 (2014).
Shannon, P. et al. Ideker T Cytoscape: A software environment for integrated models of biomolecular interaction networks. Genome Res. 13(11), 2498–2504. https://doi.org/10.1101/gr.1239303 (2003).
Przulj, N., Wigle, D. A. & Jurisica, I. Functional topology in a network of protein interactions. Bioinformatics 20(3), 340–348. https://doi.org/10.1093/bioinformatics/btg415 (2004).
Nguyen, T. P., Liu, W. C. & Jordán, F. Inferring pleiotropy by network analysis: Linked diseases in the human PPI network. BMC Syst. Biol. 5, 179. https://doi.org/10.1186/1752-0509-5-179 (2011).
Shi, Z. & Zhang, B. Fast network centrality analysis using GPUs. BMC Bioinform. 12, 149. https://doi.org/10.1186/1471-2105-12-149 (2011).
Fadhal, E., Gamieldien, J. & Mwambene, E. C. Protein interaction networks as metric spaces: A novel perspective on distribution of hubs. BMC Syst. Biol. 8, 6. https://doi.org/10.1186/1752-0509-8-6 (2014).
Zaki, N., Efimov, D. & Berengueres, J. Protein complex detection using interaction reliability assessment and weighted clustering coefficient. BMC Bioinform. 14, 163. https://doi.org/10.1186/1471-2105-14 (2013).
Fan, Y. & Xia, J. miRNet-functional analysis and visual exploration of miRNA-target interactions in a network context. Methods Mol. Biol. 1819, 215–233. https://doi.org/10.1007/978-1-4939-8618-7_10 (2018).
Zhou, G. et al. NetworkAnalyst 3.0: A visual analytics platform for comprehensive gene expression profiling and meta-analysis. Nucleic Acids Res. 47, W234–W241. https://doi.org/10.1093/nar/gkz240 (2019).
Robin, X. et al. pROC: An open-source package for R and S+ to analyze and compare ROC curves. BMC Bioinform. 12, 77. https://doi.org/10.1186/1471-2105-12-77 (2011).
Gillespie, K. M. Type 1 diabetes: Pathogenesis and prevention. CMAJ 175(2), 165–170. https://doi.org/10.1503/cmaj.060244 (2006).
Jacquemin, B. et al. Common genetic polymorphisms and haplotypes of fibrinogen alpha, beta, and gamma chains affect fibrinogen levels and the response to proinflammatory stimulation in myocardial infarction survivors: The AIRGENE study. J. Am. Coll. Cardiol. 52(11), 941–952. https://doi.org/10.1016/j.jacc.2008.06.016 (2008).
Theodoraki, E. V. et al. Fibrinogen beta variants confer protection against coronary artery disease in a Greek case-control study. BMC Med. Genet. 11, 28. https://doi.org/10.1186/1471-2350-11-28 (2010).
Vafiadis, P., Bennett, S. T., Todd, J. A., Grabs, R. & Polychronakos, C. Divergence between genetic determinants of IGF2 transcription levels in leukocytes and of IDDM2-encoded susceptibility to type 1 diabetes. J. Clin. Endocrinol. Metab. 83(8), 2933–2939. https://doi.org/10.1210/jcem.83.8.5048 (1998).
Paulsson, J. F. et al. High plasma levels of islet amyloid polypeptide in young with new-onset of type 1 diabetes mellitus. PLoS One 9(3), e93053. https://doi.org/10.1371/journal.pone.0093053 (2014).
Pugliese, A. et al. The insulin gene is transcribed in the human thymus and transcription levels correlated with allelic variation at the INS VNTR-IDDM2 susceptibility locus for type 1 diabetes. Nat. Genet. 15(3), 293–297. https://doi.org/10.1038/ng0397-293 (1997).
Iacovazzo, D. et al. MAFA missense mutation causes familial insulinomatosis and diabetes mellitus. Proc. Natl. Acad. Sci. U. S. A. 115(5), 1027–1032. https://doi.org/10.1073/pnas.1712262115 (2018).
Gu, H. F. Genetic variation screening and association studies of the adenylate cyclase activating polypeptide 1 (ADCYAP1) gene in patients with type 2 diabetes. Hum. Mutat. 19(5), 572–573. https://doi.org/10.1002/humu.9034 (2002).
Gold, N. B. et al. Heterozygous de novo variants in CSNK1G1 are associated with syndromic developmental delay and autism spectrum disorder. Clin. Genet. 98(6), 571–576. https://doi.org/10.1111/cge.13851 (2020).
Husemoen, L. L. et al. No association between loss-of-function mutations in filaggrin and diabetes, cardiovascular disease, and all-cause mortality. PLoS One 8(12), e84293. https://doi.org/10.1371/journal.pone.0084293 (2013).
Zhang, J. et al. The role of FGF21 in type 1 diabetes and its complications. Int. J. Biol. Sci. 14(9), 1000–1011. https://doi.org/10.7150/ijbs.25026 (2018).
Hartz, C. S., Nieman, K. M., Jacobs, R. L., Vance, D. E. & Schalinske, K. L. Hepatic phosphatidylethanolamine N-methyltransferase expression is increased in diabetic rats. J. Nutr. 136(12), 3005–3009. https://doi.org/10.1093/jn/136.12.3005 (2006).
Słomiński, B., Ryba-Stanisławowska, M., Skrzypkowska, M., Gabig-Cimińska, M. & Myśliwiec, M. A new potential mode of cardiorenal protection of KLOTHO gene variability in type 1 diabetic adolescents. J. Mol. Med. (Berl). 98(7), 955–962. https://doi.org/10.1007/s00109-020-01918-7 (2020).
Johansson, B. B. et al. Diabetes and pancreatic exocrine dysfunction due to mutations in the carboxyl ester lipase gene-maturity onset diabetes of the young (CEL-MODY): A protein misfolding disease. J. Biol. Chem. 286(40), 34593–34605. https://doi.org/10.1074/jbc.M111.222679 (2011).
Pan, S. et al. microRNA-143-3p contributes to inflammatory reactions by targeting FOSL2 in PBMCs from patients with autoimmune diabetes mellitus. Acta Diabetol. 58(1), 63–72. https://doi.org/10.1007/s00592-020-01591-9 (2021).
Lopez-Sanz, L. et al. SOCS1-targeted therapy ameliorates renal and vascular oxidative stress in diabetes via STAT1 and PI3K inhibition. Lab Investig. 98(10), 1276–1290. https://doi.org/10.1038/s41374-018-0043-6 (2018).
Grant, S. F. A. The TCF7L2 locus: A genetic window into the pathogenesis of type 1 and type 2 diabetes. Diabetes Care 42(9), 1624–1629. https://doi.org/10.2337/dci19-0001 (2019).
Słomiński, B., Skrzypkowska, M., Ryba-Stanisławowska, M., Myśliwiec, M. & Trzonkowski, P. Associations of TP53 codon 72 polymorphism with complications and comorbidities in patients with type 1 diabetes. J. Mol. Med. (Berl). 99(5), 675–683. https://doi.org/10.1007/s00109-020-02035-1 (2021).
Galán, M. et al. A novel role for epidermal growth factor receptor tyrosine kinase and its downstream endoplasmic reticulum stress in cardiac damage and microvascular dysfunction in type 1 diabetes mellitus. Hypertension 60(1), 71–80. https://doi.org/10.1161/HYPERTENSIONAHA.112.192500 (2012).
Jordan, M. A., Poulton, L. D., Fletcher, J. M. & Baxter, A. G. Allelic variation of Ets1 does not contribute to NK and NKT cell deficiencies in type 1 diabetes susceptible NOD mice. Rev. Diabet. Stud. 6(2), 104–116. https://doi.org/10.1900/RDS.2009.6.104 (2009).
Winkler, M., Lutz, R., Russ, U., Quast, U. & Bryan, J. Analysis of two KCNJ11 neonatal diabetes mutations, V59G and V59A, and the analogous KCNJ8 I60G substitution: Differences between the channel subtypes formed with SUR1. J. Biol. Chem. 284(11), 6752–6762. https://doi.org/10.1074/jbc.M805435200 (2009).
Yip, L. et al. Inflammation and hyperglycemia mediate Deaf1 splicing in the pancreatic lymph nodes via distinct pathways during type 1 diabetes. Diabetes 64(2), 604–617. https://doi.org/10.2337/db14-0803 (2015).
Crookshank, J. A. et al. Changes in insulin, glucagon and ER stress precede immune activation in type 1 diabetes. J. Endocrinol. 239(2), 181–195. https://doi.org/10.1530/JOE-18-0328 (2018).
Lempainen, J. et al. Associations of polymorphisms in non-HLA loci with autoantibodies at the diagnosis of type 1 diabetes: INS and IKZF4 associate with insulin autoantibodies. Pediatr Diabetes. 14(7), 490–496. https://doi.org/10.1111/pedi.12046 (2013).
Qu, H. Q., Polychronakos, C., Type I Diabetes Genetics Consortium. Reassessment of the type I diabetes association of the OAS1 locus. Genes Immun. 10(Suppl 1), S69–S73. https://doi.org/10.1038/gene.2009.95 (2009).
Morrison, V. A., Onengut-Gumuscu, S. & Concannon, P. A functional variant of IRS1 is associated with type 1 diabetes in families from the US and UK. Mol. Genet. Metab. 81(4), 291–294. https://doi.org/10.1016/j.ymgme.2003.10.018 (2004).
Zhang, D. et al. Effects of ABCG2 and SLCO1B1 gene variants on inflammation markers in patients with hypercholesterolemia and diabetes mellitus treated with rosuvastatin. Eur. J. Clin. Pharmacol. 76(7), 939–946. https://doi.org/10.1007/s00228-020-02882-4 (2020).
Gerlinger-Romero, F., Yonamine, C. Y., Junior, D. C., Esteves, J. V. & Machado, U. F. Dysregulation between TRIM63/FBXO32 expression and soleus muscle wasting in diabetic rats: Potential role of miR-1-3p, -29a/b-3p, and -133a/b-3p. Mol. Cell Biochem. 427(1–2), 187–199. https://doi.org/10.1007/s11010-016-2910-z (2017).
Belanger, K., Nutter, C. A., Li, J., Yu, P. & Kuyumcu-Martinez, M. N. A developmentally regulated spliced variant of PTBP1 is upregulated in type 1 diabetic hearts. Biochem. Biophys. Res. Commun. 509(2), 384–389. https://doi.org/10.1016/j.bbrc.2018.12.150 (2019).
Dieter, C. et al. The rs11755527 polymorphism in the BACH2 gene and type 1 diabetes mellitus: Case control study in a Brazilian population. Arch. Endocrinol. Metab. 64(2), 138–143. https://doi.org/10.20945/2359-3997000000214 (2020).
Wanic, K. et al. Exclusion of polymorphisms in carnosinase genes (CNDP1 and CNDP2) as a cause of diabetic nephropathy in type 1 diabetes: Results of large case-control and follow-up studies. Diabetes 57(9), 2547–2551. https://doi.org/10.2337/db07-1303 (2008).
Ushijima, K. et al. Kawamura T;KLF11 variant in a family clinically diagnosed with early childhood-onset type 1B diabetes. Pediatr. Diabetes. 20(6), 712–719. https://doi.org/10.1111/pedi.12868 (2019).
Guo, M. et al. Using hESCs to probe the interaction of the diabetes-associated genes CDKAL1 and MT1E. Cell Rep. 19(8), 1512–1521. https://doi.org/10.1016/j.celrep.2017.04.070 (2017).
Davis, H., Jones Briscoe, V., Dumbadze, S. & Davis, S. N. Using DPP-4 inhibitors to modulate beta cell function in type 1 diabetes and in the treatment of diabetic kidney disease. Expert. Opin. Investig. Drugs. 28(4), 377–388. https://doi.org/10.1080/13543784.2019.1592156 (2019).
Elbarbary, N. S. et al. An Egyptian family with H syndrome due to a novel mutation in SLC29A3 illustrating overlapping features with pigmented hypertrichotic dermatosis with insulin-dependent diabetes and Faisalabad histiocytosis. Pediatr. Diabetes. 14(6), 466–472. https://doi.org/10.1111/j.1399-5448.2012.00925.x (2013).
Villasenor, A. et al. Rgs16 and Rgs8 in embryonic endocrine pancreas and mouse models of diabetes. Dis. Model Mech. 3(9–10), 567–580. https://doi.org/10.1242/dmm.003210 (2010).
Zhang, L. et al. MAS-1 adjuvant immunotherapy generates robust Th2 type and regulatory immune responses providing long-term protection from diabetes in late-stage pre-diabetic NOD mice. Autoimmunity 47(5), 341–350. https://doi.org/10.3109/08916934.2014.910768 (2014).
Lee, Y., Wang, M. Y., Du, X. Q., Charron, M. J. & Unger, R. H. Glucagon receptor knockout prevents insulin-deficient type 1 diabetes in mice. Diabetes 60(2), 391–397. https://doi.org/10.2337/db10-0426 (2011).
Zhi, D. et al. Killer cell immunoglobulin-like receptor along with HLA-C ligand genes are associated with type 1 diabetes in Chinese Han population. Diabetes Metab. Res. Rev. 27(8), 872–877. https://doi.org/10.1002/dmrr.1264 (2011).
Li Calzi, S. et al. Carbon monoxide and nitric oxide mediate cytoskeletal reorganization in microvascular cells via vasodilator-stimulated phosphoprotein phosphorylation: evidence for blunted responsiveness in diabetes. Diabetes 57(9), 2488–2494. https://doi.org/10.2337/db08-0381 (2008).
Sebastiani, G. et al. Regulatory T-cells from pancreatic lymphnodes of patients with type-1 diabetes express increased levels of microRNA miR-125a-5p that limits CCR2 expression. Sci. Rep. 7(1), 6897. https://doi.org/10.1038/s41598-017-07172-1 (2017).
Cherney, D. Z. et al. Renal hyperfiltration is a determinant of endothelial function responses to cyclooxygenase 2 inhibition in type 1 diabetes. Diabetes Care 33(6), 1344–1346. https://doi.org/10.2337/dc09-2340 (2010).
Doggrell, S. A. Do glucagon-like peptide-1 receptor (GLP-1R) agonists have potential as adjuncts in the treatment of type 1 diabetes?. Expert Opin. Pharmacother. 19(15), 1655–1661. https://doi.org/10.1080/14656566.2018.1519547 (2018).
Yanagihara, T., Tomino, T., Uruno, T. & Fukui, Y. Thymic epithelial cell-specific deletion of Jmjd6 reduces Aire protein expression and exacerbates disease development in a mouse model of autoimmune diabetes. Biochem. Biophys. Res. Commun. 489(1), 8–13. https://doi.org/10.1016/j.bbrc.2017.05.113 (2017).
Vassilev, P. et al. Unique effects of social defeat stress in adolescent male mice on the Netrin-1/DCC pathway, prefrontal cortex dopamine and cognition (Social stress in adolescent vs. adult male mice). Neuro https://doi.org/10.1523/ENEURO.0045-21.2021 (2021).
Qin, W. et al. A family-based association study of PLP1 and schizophrenia. Neurosci. Lett. 375(3), 207–210. https://doi.org/10.1016/j.neulet.2004.11.013 (2005).
Ma, L. et al. Schizophrenia risk variants influence multiple classes of transcripts of sorting nexin 19 (SNX19). Mol. Psychiatry. 25(4), 831–843. https://doi.org/10.1038/s41380-018-0293-0 (2020).
West, R. J. H., Ugbode, C., Gao, F. B. & Sweeney, S. T. The pro-apoptotic JNK scaffold POSH/SH3RF1 mediates CHMP2BIntron5-associated toxicity in animal models of frontotemporal dementia. Hum. Mol. Genet. 27(8), 1382–1395. https://doi.org/10.1093/hmg/ddy048 (2018).
Hoffmann, L. A. et al. TNFRSF1A R92Q mutation in association with a multiple sclerosis-like demyelinating syndrome. Neurology 70(13 Pt 2), 1155–1156. https://doi.org/10.1212/01.wnl.0000296279.98236.8a (2008).
Deary, I. J. et al. Nicastrin gene polymorphisms, cognitive ability level and cognitive ageing. Neurosci. Lett. 373(2), 110–114. https://doi.org/10.1016/j.neulet.2004.09.073 (2005).
Belangero, S. I. et al. DGCR2 influences cortical thickness through a mechanism independent of schizophrenia pathogenesis. Psychiatry Res. 274, 391–394. https://doi.org/10.1016/j.psychres.2019.02.068 (2019).
Jung, J. S. et al. Association between restless legs syndrome and CLOCK and NPAS2 gene polymorphisms in schizophrenia. Chronobiol. Int. 31(7), 838–844. https://doi.org/10.3109/07420528.2014.914034 (2014).
Tang, T., Li, Y., Jiao, Q., Du, X. & Jiang, H. Cerebral dopamine neurotrophic factor: A potential therapeutic agent for Parkinson’s disease. Neurosci. Bull. 33(5), 568–575. https://doi.org/10.1007/s12264-017-0123-4 (2017).
Goodier, J. L. et al. C9orf72-associated SMCR8 protein binds in the ubiquitin pathway and with proteins linked with neurological disease. Acta Neuropathol. Commun. 8(1), 110. https://doi.org/10.1186/s40478-020-00982-x (2020).
Petyuk, V. A. et al. The human brainome: network analysis identifies HSPA2 as a novel Alzheimer’s disease target. Brain 141(9), 2721–2739. https://doi.org/10.1093/brain/awy215 (2018).
Roux, T. et al. Clinical, neuropathological, and genetic characterization of STUB1 variants in cerebellar ataxias: A frequent cause of predominant cognitive impairment. Genet. Med. 22(11), 1851–1862. https://doi.org/10.1038/s41436-020-0899-x (2020).
Castrogiovanni, P. et al. Brain CHID1 expression correlates with NRGN and CALB1 in healthy subjects and AD patients. Cells 10(4), 882. https://doi.org/10.3390/cells10040882 (2021).
Suleiman, J., Hamwi, N. & El-Hattab, A. W. ATP13A2 novel mutations causing a rare form of juvenile-onset Parkinson disease. Brain Dev. 40(9), 824–826. https://doi.org/10.1016/j.braindev.2018.05.017 (2018).
Haack, T. B. et al. Absence of the autophagy adaptor SQSTM1/p62 causes childhood-onset neurodegeneration with ataxia, dystonia, and gaze palsy. Am. J. Hum. Genet. 99(3), 735–743. https://doi.org/10.1016/j.ajhg.2016.06.026 (2016).
Kwiatkowski, D. et al. Association between single-nucleotide polymorphisms of the hOGG1, NEIL1, APEX1, FEN1, LIG1, and LIG3 genes and Alzheimer’s disease risk. Neuropsychobiology 73(2), 98–107. https://doi.org/10.1159/000444643 (2016).
Pinacho, R. et al. Increased SP4 and SP1 transcription factor expression in the postmortem hippocampus of chronic schizophrenia. J. Psychiatr. Res. 58, 189–196. https://doi.org/10.1016/j.jpsychires.2014.08.006 (2014).
Luo, X. J. et al. Association of haplotypes spanning PDZ-GEF2, LOC728637 and ACSL6 with schizophrenia in Han Chinese. J. Med. Genet. 45(12), 818–826. https://doi.org/10.1136/jmg.2008.060657 (2008).
He, L. et al. Exome-wide age-of-onset analysis reveals exonic variants in ERN1 and SPPL2C associated with Alzheimer’s disease. Transl. Psychiatry. 11(1), 146. https://doi.org/10.1038/s41398-021-01263-4 (2021).
Moudi, M. et al. Polymorphism in the 3’-UTR of LIF but Not in the ATF6B gene associates with schizophrenia susceptibility: A case-control study and in silico analyses. J. Mol. Neurosci. 70(12), 2093–2101. https://doi.org/10.1007/s12031-020-01616-6 (2020).
Thevenon, J. et al. Heterozygous deletion of the LRFN2 gene is associated with working memory deficits. Eur. J. Hum. Genet. 24(6), 911–918. https://doi.org/10.1038/ejhg.2015.221 (2016).
Li, Z. et al. NRG3 contributes to cognitive deficits in chronic patients with schizophrenia. Schizophr. Res. 215, 134–139. https://doi.org/10.1016/j.schres.2019.10.060 (2020).
Reitz, C., Conrad, C., Roszkowski, K., Rogers, R. S. & Mayeux, R. Effect of genetic variation in LRRTM3 on risk of Alzheimer disease. Arch. Neurol. 69(7), 894–900. https://doi.org/10.1001/archneurol.2011.2463 (2012).
Jenkins, A. & Escayg, A. Reply: Novel GABRA2 variants in epileptic encephalopathy and intellectual disability with seizures. Brain 142(5), e16. https://doi.org/10.1093/brain/awz086 (2019).
Letronne, F. et al. ADAM30 downregulates APP-linked defects through cathepsin D activation in Alzheimer’s disease. EBioMedicine 9, 278–292. https://doi.org/10.1016/j.ebiom.2016.06.002 (2016).
Ma, Z. et al. Genetic polymorphism of GABRR2 modulates individuals’ general cognitive ability in healthy Chinese Han People. Cell Mol. Neurobiol. 37(1), 93–100. https://doi.org/10.1007/s10571-016-0347-2 (2017).
Chabbert, D. et al. Postnatal Tshz3 deletion drives altered corticostriatal function and autism spectrum disorder-like behavior. Biol. Psychiatry. 86(4), 274–285. https://doi.org/10.1016/j.biopsych.2019.03.974 (2019).
Abramsson, A. et al. No association of LOXL1 gene polymorphisms with Alzheimer’s disease. Neuromol. Med. 13(2), 160–166. https://doi.org/10.1007/s12017-011-8144-z (2011).
Aeby, A. et al. SCN1B-linked early infantile developmental and epileptic encephalopathy. Ann. Clin. Transl. Neurol. 6(12), 2354–2367. https://doi.org/10.1002/acn3.50921 (2019).
Roll, P. et al. SRPX2 mutations in disorders of language cortex and cognition. Hum. Mol. Genet. 15(7), 1195–1207. https://doi.org/10.1093/hmg/ddl035 (2006).
Soofi, A. et al. The kielin/chordin-like protein (KCP) attenuates high-fat diet-induced obesity and metabolic syndrome in mice. J. Biol. Chem. 292(22), 9051–9062. https://doi.org/10.1074/jbc.M116.771428 (2017).
Blázquez-Medela, A. M. et al. Noggin depletion in adipocytes promotes obesity in mice. Mol. Metab. 25, 50–63. https://doi.org/10.1016/j.molmet.2019.04.004 (2019).
McCulloch, L. J. et al. COL6A3 is regulated by leptin in human adipose tissue and reduced in obesity. Endocrinology 156(1), 134–146. https://doi.org/10.1210/en.2014-1042 (2015).
Gan, M. et al. Genistein inhibits high fat diet-induced obesity through miR-222 by targeting BTG2 and adipor1. Food Funct. 11(3), 2418–2426. https://doi.org/10.1039/c9fo00861f (2020).
Han, X., Guo, J., You, Y., Zhan, J. & Huang, W. p-Coumaric acid prevents obesity via activating thermogenesis in brown adipose tissue mediated by mTORC1-RPS6. FASEB J. 34(6), 7810–7824. https://doi.org/10.1096/fj.202000333R (2020).
Wang, G. et al. Teneligliptin promotes bile acid synthesis and attenuates lipid accumulation in obese mice by targeting the KLF15-Fgf15 pathway. Chem. Res. Toxicol. 33(8), 2164–2171. https://doi.org/10.1021/acs.chemrestox.0c00192 (2020).
Zhou, X. et al. miR-324-5p promotes adipocyte differentiation and lipid droplet accumulation by targeting Krueppel-like factor 3 (KLF3). J. Cell Physiol. 235(10), 7484–7495. https://doi.org/10.1002/jcp.29652 (2020).
Caracciolo, V. et al. Myeloid-specific deletion of Zfp36 protects against insulin resistance and fatty liver in diet-induced obese mice. Am. J. Physiol. Endocrinol. Metab. 315(4), E676–E693. https://doi.org/10.1152/ajpendo.00224.2017 (2018).
Lv, D., Zhou, D., Zhang, Y., Zhang, S. & Zhu, Y. M. Two obesity susceptibility loci in LYPLAL1 and ETV5 independently associated with childhood hypertension in Chinese population. Gene 627, 284–289. https://doi.org/10.1016/j.gene.2017.06.030 (2017).
Pearson, S. et al. Loss of TLE3 promotes the mitochondrial program in beige adipocytes and improves glucose metabolism. Genes Dev. 33(13–14), 747–762. https://doi.org/10.1101/gad.321059.118 (2019).
Brachs, S. et al. Genetic nicotinamide N-methyltransferase (Nnmt) deficiency in male mice improves insulin sensitivity in diet-induced obesity but does not affect glucose tolerance. Diabetes 68(3), 527–542. https://doi.org/10.2337/db18-0780 (2019).
Lai, C. Q. et al. WDTC1, the ortholog of Drosophila adipose gene, associates with human obesity, modulated by MUFA intake. Obesity (Silver Spring) 17(3), 593–600. https://doi.org/10.1038/oby.2008.561 (2009).
Yang, S. A. Association study between ZFHX3 gene polymorphisms and obesity in Korean population. J. Exerc Rehabil. 13(4), 491–494. https://doi.org/10.12965/jer.1735080.540 (2017).
Kilroy, G. et al. The ubiquitin ligase Siah2 regulates obesity-induced adipose tissue inflammation. Obesity (Silver Spring) 23(11), 2223–2232. https://doi.org/10.1002/oby.21220 (2015).
Zusi, C. et al. Association between MBOAT7 rs641738 polymorphism and non-alcoholic fatty liver in overweight or obese children. Nutr. Metab. Cardiovasc. Dis. 31(5), 1548–1555. https://doi.org/10.1016/j.numecd.2021.01.020 (2021).
Zhou, Y., Hambly, B. D., Simmons, D. & McLachlan, C. S. RUNX1T1 rs34269950 is associated with obesity and metabolic syndrome. QJM https://doi.org/10.1093/qjmed/hcaa208 (2020).
Gao, Y. et al. MiR-127 attenuates adipogenesis by targeting MAPK4 and HOXC6 in porcine adipocytes. J. Cell Physiol. 234(12), 21838–21850. https://doi.org/10.1002/jcp.28660 (2019).
Wei, Z. et al. MiR-142-3p inhibits adipogenic differentiation and autophagy in obesity through targeting KLF9. Mol. Cell Endocrinol. 518, 111028. https://doi.org/10.1016/j.mce.2020.111028 (2020).
Randi, E. B., Casili, G., Jacquemai, S. & Szabo, C. Selenium-binding protein 1 (SELENBP1) supports hydrogen sulfide biosynthesis and adipogenesis. Antioxidants (Basel). 10(3), 361. https://doi.org/10.3390/antiox10030361 (2021).
Yoshino, S. et al. Protection against high-fat diet-induced obesity in Helz2-deficient male mice due to enhanced expression of hepatic leptin receptor. Endocrinology 155(9), 3459–3472. https://doi.org/10.1210/en.2013-2160 (2014).
Pang, L. et al. miR-1275 inhibits adipogenesis via ELK1 and its expression decreases in obese subjects. J. Mol. Endocrinol. 57(1), 33–43. https://doi.org/10.1530/JME-16-0007 (2016).
Chen, C. et al. miR-128-3p regulates 3T3-L1 adipogenesis and lipolysis by targeting Pparg and Sertad2. J. Physiol. Biochem. 74(3), 381–393. https://doi.org/10.1007/s13105-018-0625-1 (2018).
Prats-Puig, A. et al. Soluble CRTC3: A newly identified protein released by adipose tissue that is associated with childhood obesity. Clin. Chem. 62(3), 476–484. https://doi.org/10.1373/clinchem.2015.249136 (2016).
Henkel, A. S. et al. Hepatic overexpression of abcb11 promotes hypercholesterolemia and obesity in mice. Gastroenterology 141(4), 1404-1411.e14112. https://doi.org/10.1053/j.gastro.2011.06.062 (2011).
Klöting, N., Wilke, B. & Klöting, I. Alleles on rat chromosome 4 (D4Got41-Fabp1/Tacr1) regulate subphenotypes of obesity. Obes. Res. 13(3), 589–595. https://doi.org/10.1038/oby.2005.63 (2005).
Giri, A. K. et al. Multifaceted genome-wide study identifies novel regulatory loci in SLC22A11 and ZNF45 for body mass index in Indians. Mol. Genet. Genom. 295(4), 1013–1026. https://doi.org/10.1007/s00438-020-01678-6 (2020).
Samblas, M. et al. PTPRS and PER3 methylation levels are associated with childhood obesity: Results from a genome-wide methylation analysis. Pediatr. Obes. 13(3), 149–158. https://doi.org/10.1111/ijpo.12224 (2018).
Ussar, S. et al. ASC-1, PAT2, and P2RX5 are cell surface markers for white, beige, and brown adipocytes. Sci. Transl. Med. 6(247), 247ra103. https://doi.org/10.1126/scitranslmed.3008490 (2014).
Vaittinen, M. et al. MFAP5 is related to obesity-associated adipose tissue and extracellular matrix remodeling and inflammation. Obesity (Silver Spring) 23(7), 1371–1378. https://doi.org/10.1002/oby.21103 (2015).
Wu, H. T. et al. Targeting fibrinogen-like protein 1 is a novel therapeutic strategy to combat obesity. FASEB J. 34(2), 2958–2967. https://doi.org/10.1096/fj.201901925R (2020).
Albuquerque, D., Nóbrega, C., Rodríguez-López, R. & Manco, L. Association study of common polymorphisms in MSRA, TFAP2B, MC4R, NRXN3, PPARGC1A, TMEM18, SEC16B, HOXB5 and OLFM4 genes with obesity-related traits among Portuguese children. J. Hum. Genet. 59(6), 307–313. https://doi.org/10.1038/jhg.2014.23 (2014).
Sharma, M. et al. Netrin-1 alters adipose tissue macrophage fate and function in obesity. Immunometabolism. 1(2), e190010. https://doi.org/10.20900/immunometab20190010 (2019).
Guclu-Geyik, F., Coban, N., Can, G. & Erginel-Unaltuna, N. The rs2175898 polymorphism in the ESR1 gene has a significant sex-specific effect on obesity. Biochem. Genet. 58(6), 935–952. https://doi.org/10.1007/s10528-020-09987-6 (2020).
Ichihara, S. et al. Association of a polymorphism of ABCB1 with obesity in Japanese individuals. Genomics 91(6), 512–516. https://doi.org/10.1016/j.ygeno.2008.03.004 (2008).
Menacho-Márquez, M. et al. Chronic sympathoexcitation through loss of Vav3, a Rac1 activator, results in divergent effects on metabolic syndrome and obesity depending on diet. Cell Metab. 18(2), 199–211. https://doi.org/10.1016/j.cmet.2013.07.001 (2013).
Jiao, H. et al. Whole-exome sequencing suggests LAMB3 as a susceptibility gene for morbid obesity. Diabetes 65(10), 2980–2989. https://doi.org/10.2337/db16-052 (2016).
Qiu, Y. et al. Steroidogenic acute regulatory protein (StAR) overexpression attenuates HFD-induced hepatic steatosis and insulin resistance. Biochim. Biophys. Acta Mol. Basis Dis. 1863(4), 978–990. https://doi.org/10.1016/j.bbadis.2017.01.026 (2017).
Margaryan, S., Kriegova, E., Fillerova, R., Smotkova Kraiczova, V. & Manukyan, G. Hypomethylation of IL1RN and NFKB1 genes is linked to the dysbalance in IL1β/IL-1Ra axis in female patients with type 2 diabetes mellitus. PLoS One 15(5), e0233737. https://doi.org/10.1371/journal.pone.0233737 (2020).
Gao, C. & Zhang, W. Urinary AQP5 is independently associated with eGFR decline in patients with type 2 diabetes and nephropathy. Diabetes Res. Clin. Pract. 155, 107805. https://doi.org/10.1016/j.diabres.2019.107805 (2019).
Wu, J. et al. Egr-1 transcriptionally activates protein phosphatase PTP1B to facilitate hyperinsulinemia-induced insulin resistance in the liver in type 2 diabetes. FEBS Lett. 593(21), 3054–3063. https://doi.org/10.1002/1873-3468.13537 (2019).
Pueyo, N. et al. Common genetic variants of surfactant protein-D (SP-D) are associated with type 2 diabetes. PLoS One 8(4), e60468. https://doi.org/10.1371/journal.pone.0060468 (2013).
Gutierrez-Aguilar, R. et al. Minor contribution of SMAD7 and KLF10 variants to genetic susceptibility of type 2 diabetes. Diabetes Metab. 33(5), 372–378. https://doi.org/10.1016/j.diabet.2007.06.002 (2007).
El-Ashmawy, H. M., Selim, F. O., Hosny, T. A. M. & Almassry, H. N. Association of serum podocalyxin levels with peripheral arterial disease in patients with type 2 diabetes. J. Diabetes Complicat. 33(7), 495–499. https://doi.org/10.1016/j.jdiacomp.2019.04.003 (2019).
Erickson, M. L., Karanth, S., Ravussin, E. & Schlegel, A. FOXN3 hyperglycemic risk allele and insulin sensitivity in humans. BMJ Open Diabetes Res. Care. 7(1), e000688. https://doi.org/10.1136/bmjdrc-2019-000688 (2019).
Wu, X. et al. IL6R inhibits viability and apoptosis of pancreatic beta-cells in type 2 diabetes mellitus via regulation by miR-22 of the JAK/STAT signaling pathway. Diabetes Metab. Syndr. Obes. 12, 1645–1657. https://doi.org/10.2147/DMSO.S211700 (2019).
Duesing, K. et al. Evaluating the association of common PBX1 variants with type 2 diabetes. BMC Med. Genet. 9, 14. https://doi.org/10.1186/1471-2350-9-14 (2008).
Do Carmo, S., Fournier, D., Mounier, C. & Rassart, E. Human apolipoprotein D overexpression in transgenic mice induces insulin resistance and alters lipid metabolism. Am. J. Physiol. Endocrinol. Metab. 296(4), E802–E811. https://doi.org/10.1152/ajpendo.90725.2008 (2009).
Dupont, S. et al. No evidence for linkage or for diabetes-associated mutations in the activin type 2B receptor gene (ACVR2B) in French patients with mature-onset diabetes of the young or type 2 diabetes. Diabetes 50(5), 1219–1221. https://doi.org/10.2337/diabetes.50.5.1219 (2001).
Tripaldi, R. et al. Endogenous PCSK9 may influence circulating CD45neg/CD34bright and CD45neg/CD34bright/CD146neg cells in patients with type 2 diabetes mellitus. Sci. Rep. 11(1), 9659. https://doi.org/10.1038/s41598-021-88941-x (2021).
Parvin, M. et al. Functional polymorphism located in the microRNA binding site of the insulin receptor (INSR) gene confers risk for type 2 diabetes mellitus in the Bangladeshi population. Biochem. Genet. 57(1), 20–33. https://doi.org/10.1007/s10528-018-9872-7 (2019).
Weber, K. S. et al. Associations between explorative dietary patterns and serum lipid levels and their interactions with ApoA5 and ApoE haplotype in patients with recently diagnosed type 2 diabetes. Cardiovasc. Diabetol. 15(1), 138. https://doi.org/10.1186/s12933-016-0455-9 (2016).
Qiu, Y. et al. Steroidogenic acute regulatory protein (StAR) overexpression reduces inflammation and insulin resistance in obese mice. J. Cell Biochem. 118(11), 3932–3942. https://doi.org/10.1002/jcb.26046 (2017).
Mori, J. et al. ANG II causes insulin resistance and induces cardiac metabolic switch and inefficiency: A critical role of PDK4. Am. J. Physiol. Heart Circ. Physiol. 304(8), H1103–H1113. https://doi.org/10.1152/ajpheart.00636.2012 (2013).
Griffin, J. W. D., Liu, Y., Bradshaw, P. C. & Wang, K. In silico preliminary association of ammonia metabolism genes GLS, CPS1, and GLUL with risk of Alzheimer’s disease, major depressive disorder, and type 2 diabetes. J. Mol. Neurosci. 64(3), 385–396. https://doi.org/10.1007/s12031-018-1035-0 (2018).
Sidibeh, C. O. et al. FKBP5 expression in human adipose tissue: potential role in glucose and lipid metabolism, adipogenesis and type 2 diabetes. Endocrine 62(1), 116–128. https://doi.org/10.1007/s12020-018-1674-5 (2018).
Haydar, S. et al. Fine-scale haplotype mapping of MUT, AACS, SLC6A15 and PRKCA genes indicates association with insulin resistance of metabolic syndrome and relationship with branched chain amino acid metabolism or regulation. PLoS One 14(3), e0214122. https://doi.org/10.1371/journal.pone.0214122 (2019).
Yang, L. et al. Polymorphisms in metallothionein-1 and -2 genes associated with the risk of type 2 diabetes mellitus and its complications. Am. J. Physiol. Endocrinol. Metab. 294(5), E987–E992. https://doi.org/10.1152/ajpendo.90234.2008 (2008).
González-Renteria, S. M. et al. Association of the polymorphisms 292 C>T and 1304 G>A in the SLC38A4 gene with hyperglycaemia. Diabetes Metab. Res. Rev. 29(1), 39–43. https://doi.org/10.1002/dmrr.2344 (2013).
Lebeck, J., Søndergaard, E. & Nielsen, S. Increased AQP7 abundance in skeletal muscle from obese men with type 2 diabetes. Am. J. Physiol. Endocrinol. Metab. 315(3), E367–E373. https://doi.org/10.1152/ajpendo.00468.2017 (2018).
Xia, W. et al. Loss of ABHD15 impairs the anti-lipolytic action of insulin by altering PDE3B stability and contributes to insulin resistance. Cell Rep. 23(7), 1948–1961. https://doi.org/10.1016/j.celrep.2018.04.055 (2018).
Ben Aissa, M. et al. Discovery of nonlipogenic ABCA1 inducing compounds with potential in Alzheimer’s disease and type 2 diabetes. ACS Pharmacol. Transl. Sci. 4(1), 143–154. https://doi.org/10.1021/acsptsci.0c00149 (2021).
Peng, D. et al. Common variants in or near ZNRF1, COLEC12, SCYL1BP1 and API5 are associated with diabetic retinopathy in Chinese patients with type 2 diabetes. Diabetologia 58(6), 1231–1238. https://doi.org/10.1007/s00125-015-3569-9 (2015).
Manning, A. K. et al. A long non-coding RNA, LOC157273, is an effector transcript at the chromosome 8p23.1-PPP1R3B metabolic traits and type 2 diabetes risk locus. Front. Genet. 11, 615. https://doi.org/10.3389/fgene.2020.00615 (2020).
Ganic, E., Johansson, J. K., Bennet, H., Fex, M. & Artner, I. Islet-specific monoamine oxidase A and B expression depends on MafA transcriptional activity and is compromised in type 2 diabetes. Biochem. Biophys. Res. Commun. 468(4), 629–635. https://doi.org/10.1016/j.bbrc.2015.11.002 (2015).
Plengvidhya, N. et al. Impact of KCNQ1, CDKN2A/2B, CDKAL1, HHEX, MTNR1B, SLC30A8, TCF7L2, and UBE2E2 on risk of developing type 2 diabetes in Thai population. BMC Med. Genet. 19(1), 93. https://doi.org/10.1186/s12881-018-0614-9 (2018).
Traurig, M. et al. Analysis of SLC16A11 variants in 12,811 American Indians: Genotype-obesity interaction for type 2 diabetes and an association with RNASEK expression. Diabetes 65(2), 510–519. https://doi.org/10.2337/db15-0571 (2016).
Lewis, J. P. et al. Analysis of candidate genes on chromosome 20q12-13.1 reveals evidence for BMI mediated association of PREX1 with type 2 diabetes in European Americans. Genomics 96(4), 211–219. https://doi.org/10.1016/j.ygeno.2010.07.006 (2010).
Mannerås-Holm, L., Kirchner, H., Björnholm, M., Chibalin, A. V. & Zierath, J. R. mRNA expression of diacylglycerol kinase isoforms in insulin-sensitive tissues: Effects of obesity and insulin resistance. Physiol. Rep. 3(4), e12372. https://doi.org/10.14814/phy2.12372 (2015).
Luo, Y. et al. Plasma periostin levels are increased in chinese subjects with obesity and type 2 diabetes and are positively correlated with glucose and lipid parameters. Mediat. Inflamm. 2016, 6423637. https://doi.org/10.1155/2016/6423637 (2016).
Arellano Perez Vertti, R. D., Aguilar Muñiz, L. S., Morán Martínez, J., González Galarza, F. F. & Arguello, A. R. Cartilage oligomeric matrix protein levels in type 2 diabetes associated with primary knee osteoarthritis patients. Genet. Test Mol. Biomark. 23(1), 16–22. https://doi.org/10.1089/gtmb.2018.0184 (2019).
Bursova, S. et al. Expression of growth-associated protein 43 in the skin nerve fibers of patients with type 2 diabetes mellitus. J. Neurol. Sci. 315(1–2), 60–63. https://doi.org/10.1016/j.jns.2011.11.038 (2012).
Fejes, Z. et al. Hyperglycaemia suppresses microRNA expression in platelets to increase P2RY12 and SELP levels in type 2 diabetes mellitus. Thromb. Haemost. 117(3), 529–542. https://doi.org/10.1160/TH16-04-0322 (2017).
Stavarachi, M. et al. Investigation of P213S SELL gene polymorphism in type 2 diabetes mellitus and related end stage renal disease. A case-control study. Rom. J. Morphol. Embryol. 52(3 Suppl), 995–998 (2011).
Yang, C. H. et al. E2f8 and Dlg2 genes have independent effects on impaired insulin secretion associated with hyperglycaemia. Diabetologia 63(7), 1333–1348. https://doi.org/10.1007/s00125-020-05137-0 (2020).
Lee, I. S. et al. Novel ERBB receptor feedback inhibitor 1 (ERRFI1) + 808 T/G polymorphism confers protective effect on diabetic nephropathy in a Korean population. Dis. Mark. 34(2), 113–124. https://doi.org/10.3233/DMA-120949 (2013).
Roumeliotis, A. K. et al. Association of ALOX12 gene polymorphism with all-cause and cardiovascular mortality in diabetic nephropathy. Int. Urol. Nephrol. 50(2), 321–329. https://doi.org/10.1007/s11255-017-1755-z (2018).
Tsai, Y. C. et al. Angpt2 induces mesangial cell apoptosis through the microRNA-33-5p-SOCS5 loop in diabetic nephropathy. Mol. Ther. Nucleic Acids. 13, 543–555. https://doi.org/10.1016/j.omtn.2018.10.003 (2018).
Wang, H. et al. In vitro and in vivo inhibition of mTOR by 1,25-dihydroxyvitamin D3 to improve early diabetic nephropathy via the DDIT4/TSC2/mTOR pathway. Endocrine 54(2), 348–359. https://doi.org/10.1007/s12020-016-0999-1 (2016).
Denhez, B. et al. Diabetes-induced DUSP4 reduction promotes podocyte dysfunction and progression of diabetic nephropathy. Diabetes 68(5), 1026–1039. https://doi.org/10.2337/db18-0837 (2019).
Huang, H., Zhang, G. & Ge, Z. lncRNA MALAT1 promotes renal fibrosis in diabetic nephropathy by targeting the miR-2355-3p/IL6ST axis. Front. Pharmacol. 12, 647650. https://doi.org/10.3389/fphar.2021.647650 (2021).
Sheng, J. et al. DUSP1 recuses diabetic nephropathy via repressing JNK-Mff-mitochondrial fission pathways. J. Cell Physiol. 234(3), 3043–3057. https://doi.org/10.1002/jcp.27124 (2019).
Doi, T. et al. Urinary IgG4 and Smad1 are specific biomarkers for renal structural and functional changes in early stages of diabetic nephropathy. Diabetes 67(5), 986–993. https://doi.org/10.2337/db17-1043 (2018).
Wang, S. et al. Long non-coding RNA CYP4B1-PS1-001 inhibits proliferation and fibrosis in diabetic nephropathy by interacting with nucleolin. Cell Physiol. Biochem. 49(6), 2174–2187. https://doi.org/10.1159/000493821 (2018).
Xu, Z. et al. METTL14-regulated PI3K/Akt signaling pathway via PTEN affects HDAC5-mediated epithelial-mesenchymal transition of renal tubular cells in diabetic kidney disease. Cell Death Dis. 12(1), 32. https://doi.org/10.1038/s41419-020-03312-0 (2021).
Feng, S. et al. Identification of lumican and fibromodulin as hub genes associated with accumulation of extracellular matrix in diabetic nephropathy. Kidney Blood Press. Res. https://doi.org/10.1159/000514013 (2021).
Xu, Z. J. et al. Liuwei Dihuang pill treats diabetic nephropathy in rats by inhibiting of TGF-β/SMADS, MAPK, and NF-kB and upregulating expression of cytoglobin in renal tissues. Medicine (Baltimore) 96(3), e5879. https://doi.org/10.1097/MD.0000000000005879 (2017).
Jiao, X. et al. Netrin-1 works with UNC5B to regulate angiogenesis in diabetic kidney disease. Front. Med. 14(3), 293–304. https://doi.org/10.1007/s11684-019-0715-7 (2020).
Ruiz-Hernández, A. et al. Diabetic nephropathy produces alterations in the tissue expression profile of the orphan receptors GPR149, GPR153, GPR176, TAAR3, TAAR5 and TAAR9 in Wistar rats. Nucleosides Nucleotides Nucleic Acids. 39(8), 1150–1161. https://doi.org/10.1080/15257770.2020.1780437 (2020).
Heckmann, M. B. et al. Relationship between cardiac fibroblast activation protein activity by positron emission tomography and cardiovascular disease. Circ. Cardiovasc. Imaging. 13(9), e010628. https://doi.org/10.1161/CIRCIMAGING.120.010628 (2020).
Williams, T. et al. Eya4 induces hypertrophy via regulation of p27kip1. Circ. Cardiovasc. Genet. 8(6), 752–764. https://doi.org/10.1161/CIRCGENETICS.115.001134 (2015).
Cantù, C. et al. Mutations in Bcl9 and Pygo genes cause congenital heart defects by tissue-specific perturbation of Wnt/β-catenin signaling. Genes Dev. 32(21–22), 1443–1458. https://doi.org/10.1101/gad.315531.118 (2018).
Chen, H. H. et al. IRF2BP2 reduces macrophage inflammation and susceptibility to atherosclerosis. Circ. Res. 117(8), 671–683. https://doi.org/10.1161/CIRCRESAHA.114.305777 (2015).
Li, X. et al. Association of Egr3 genetic polymorphisms and coronary artery disease in the Uygur and Han of China. Lipids Health Dis. 13, 84. https://doi.org/10.1186/1476-511X-13-84 (2014).
Wang, J. et al. GADD45B inhibits MKK7-induced cardiac hypertrophy and the polymorphisms of GADD45B is associated with inter-ventricular septum hypertrophy. Biochem. Biophys. Res. Commun. 372(4), 623–628. https://doi.org/10.1016/j.bbrc.2008.05.122 (2008).
Rodriguez-Gonzalez, M., Lubian-Gutierrez, M., Cascales-Poyatos, H. M., Perez-Reviriego, A. A. & Castellano-Martinez, A. Role of the renin–angiotensin-aldosterone system in dystrophin-deficient cardiomyopathy. Int. J. Mol. Sci. 22(1), 356. https://doi.org/10.3390/ijms22010356 (2020).
Yen, F. T. et al. Lipolysis stimulated lipoprotein receptor: A novel molecular link between hyperlipidemia, weight gain, and atherosclerosis in mice. J. Biol. Chem. 283(37), 25650–25659. https://doi.org/10.1074/jbc.M801027200 (2008).
Nakano, T. et al. Uremic Toxin indoxyl sulfate promotes proinflammatory macrophage activation via the interplay of OATP2B1 and Dll4-notch signaling. Circulation 139(1), 78–96. https://doi.org/10.1161/CIRCULATIONAHA.118.034588 (2019).
Stewart, R. M., Rodriguez, E. C. & King, M. C. Ablation of SUN2-containing LINC complexes drives cardiac hypertrophy without interstitial fibrosis. Mol. Biol. Cell. 30(14), 1664–1675. https://doi.org/10.1091/mbc.E18-07-0438 (2019).
Cowan, J. R. et al. SOS1 gain-of-function variants in dilated cardiomyopathy. Circ. Genom. Precis Med. 13(4), e002892. https://doi.org/10.1161/CIRCGEN.119.002892 (2020).
Yang, X., Li, X., Lin, Q. & Xu, Q. Up-regulation of microRNA-203 inhibits myocardial fibrosis and oxidative stress in mice with diabetic cardiomyopathy through the inhibition of PI3K/Akt signaling pathway via PIK3CA. Gene 715, 143995. https://doi.org/10.1016/j.gene.2019.143995 (2019).
Schmidt, A. et al. Severely altered guanidino compound levels, disturbed body weight homeostasis and impaired fertility in a mouse model of guanidinoacetate N-methyltransferase (GAMT) deficiency. Hum. Mol. Genet. 13(9), 905–921. https://doi.org/10.1093/hmg/ddh112 (2004).
Liu, C. et al. Identifying RBM47, HCK, CD53, TYROBP, and HAVCR2 as hub genes in advanced atherosclerotic plaques by network-based analysis and validation. Front. Genet. 11, 602908. https://doi.org/10.3389/fgene.2020.602908 (2021).
Zhu, W. S. et al. Hsp90aa1: A novel target gene of miR-1 in cardiac ischemia/reperfusion injury. Sci. Rep. 6, 24498. https://doi.org/10.1038/srep24498 (2016).
Qian, X. et al. Enhanced autophagy in GAB1-deficient vascular endothelial cells is responsible for atherosclerosis progression. Front. Physiol. 11, 559396. https://doi.org/10.3389/fphys.2020.559396 (2021).
Cannavo, A. et al. β1-adrenergic receptor and sphingosine-1-phosphate receptor 1 (S1PR1) reciprocal downregulation influences cardiac hypertrophic response and progression to heart failure: protective role of S1PR1 cardiac gene therapy. Circulation 128(15), 1612–1622. https://doi.org/10.1161/CIRCULATIONAHA.113.002659 (2013).
Stobdan, T., Zhou, D., Williams, A. T., Cabrales, P. & Haddad, G. G. Cardiac-specific knockout and pharmacological inhibition of Endothelin receptor type B lead to cardiac resistance to extreme hypoxia. J. Mol. Med. (Berl). 96(9), 975–982. https://doi.org/10.1007/s00109-018-1673-2 (2018).
Song, K. Y., Zhang, X. Z., Li, F. & Ji, Q. R. Silencing of ATP2B1-AS1 contributes to protection against myocardial infarction in mouse via blocking NFKBIA-mediated NF-κB signalling pathway. J. Cell Mol. Med. 24(8), 4466–4479. https://doi.org/10.1111/jcmm.15105 (2020).
Yang, B. et al. The muscle-specific microRNA miR-1 regulates cardiac arrhythmogenic potential by targeting GJA1 and KCNJ2 [published correction appears in Nat Med. 2011 Dec;17(12):1693]. Nat. Med. 13(4), 486–491. https://doi.org/10.1038/nm1569 (2007).
Wan, X. et al. MicroRNA-128-1-5p attenuates myocardial ischemia/reperfusion injury by suppressing Gadd45g-mediated apoptotic signaling. Biochem. Biophys. Res. Commun. 530(1), 314–321. https://doi.org/10.1016/j.bbrc.2020.07.009 (2020).
Guo, Y. et al. PHLDA1 is a new therapeutic target of oxidative stress and ischemia reperfusion-induced myocardial injury. Life Sci. 245, 117347. https://doi.org/10.1016/j.lfs.2020.117347 (2020).
Lai, J. H. et al. Mitochondrial protein CMPK2 regulates IFN alpha-enhanced foam cell formation, potentially contributing to premature atherosclerosis in SLE. Arthritis Res. Ther. 23(1), 120. https://doi.org/10.1186/s13075-021-02470-6 (2021).
Wang, D. et al. A genetic variant in FIGN gene reduces the risk of congenital heart disease in Han Chinese populations. Pediatr. Cardiol. 38(6), 1169–1174. https://doi.org/10.1007/s00246-017-1636-3 (2017).
Vega, A. L., Tester, D. J., Ackerman, M. J. & Makielski, J. C. Protein kinase A-dependent biophysical phenotype for V227F-KCNJ2 mutation in catecholaminergic polymorphic ventricular tachycardia. Circ. Arrhythm Electrophysiol. 2(5), 540–547. https://doi.org/10.1161/CIRCEP.109.872309 (2009).
Minoretti, P. et al. A novel Val734Ile variant in the ABCC9 gene associated with myocardial infarction. Clin. Chim Acta. 370(1–2), 124–128. https://doi.org/10.1016/j.cca.2006.02.007 (2006).
Zhuo, C., Jiang, R., Lin, X. & Shao, M. LncRNA H19 inhibits autophagy by epigenetically silencing of DIRAS3 in diabetic cardiomyopathy. Oncotarget 8(1), 1429–1437. https://doi.org/10.18632/oncotarget.13637 (2017).
Edin, M. L. et al. Epoxide hydrolase 1 (EPHX1) hydrolyzes epoxyeicosanoids and impairs cardiac recovery after ischemia. J. Biol. Chem. 293(9), 3281–3292. https://doi.org/10.1074/jbc.RA117.000298 (2018).
Sack, M. N. Rab4a signaling unmasks a pivotal link between myocardial homeostasis and metabolic remodeling in the diabetic heart. J. Mol. Cell Cardiol. 49(6), 908–910. https://doi.org/10.1016/j.yjmcc.2010.09.002 (2010).
Yan, B. & Wang, J. UBIAD1 expression is associated with cardiac hypertrophy in spontaneously hypertensive rats. Mol. Med. Rep. 19(1), 651–659. https://doi.org/10.3892/mmr.2018.9693 (2019).
Ng, K. et al. An international multicenter evaluation of inheritance patterns, arrhythmic risks, and underlying mechanisms of CASQ2-catecholaminergic polymorphic ventricular tachycardia. Circulation 142(10), 932–947. https://doi.org/10.1161/CIRCULATIONAHA.120.045723 (2020).
Linschoten, M. et al. Truncating titin (TTN) variants in chemotherapy-induced cardiomyopathy. J. Card. Fail. 23(6), 476–479. https://doi.org/10.1016/j.cardfail.2017.03.003 (2017).
Noori, M. R., Zhang, B. & Pan, L. Is KCNH1 mutation related to coronary artery ectasia. BMC Cardiovasc. Disord. 19(1), 296. https://doi.org/10.1186/s12872-019-01276-4 (2019).
Hu, J. et al. RBFox2-miR-34a-Jph2 axis contributes to cardiac decompensation during heart failure. Proc. Natl. Acad. Sci. U. S. A. 116(13), 6172–6180. https://doi.org/10.1073/pnas.1822176116 (2019).
Omede, A. et al. The oxoglutarate receptor 1 (OXGR1) modulates pressure overload-induced cardiac hypertrophy in mice. Biochem. Biophys. Res. Commun. 479(4), 708–714. https://doi.org/10.1016/j.bbrc.2016.09.147 (2016).
Bi, H. L. et al. Inhibition of UCHL1 by LDN-57444 attenuates Ang II-Induced atrial fibrillation in mice. Hypertens. Res. 43(3), 168–177. https://doi.org/10.1038/s41440-019-0354-z (2020).
Zhao, L. et al. Circulating Serpina3 levels predict the major adverse cardiac events in patients with myocardial infarction. Int. J. Cardiol. 300, 34–38. https://doi.org/10.1016/j.ijcard.2019.08.034 (2020).
Zhou, K., Li, Y., Xu, Y. & Guo, R. Circulating matrix metalloproteinase-28 levels are related to GRACE scores and short-term outcomes in patients with acute myocardial infarction. Biomed. Res. Int. 2020, 9206703. https://doi.org/10.1155/2020/9206703 (2020).
Wang, X. et al. Critical role of ADAMTS2 (a disintegrin and metalloproteinase with thrombospondin motifs 2) in cardiac hypertrophy induced by pressure overload. Hypertension 69(6), 1060–1069. https://doi.org/10.1161/HYPERTENSIONAHA.116.08581 (2017).
Timur, A. A. et al. P2RY1 and P2RY12 polymorphisms and on-aspirin platelet reactivity in patients with coronary artery disease. Int. J. Lab. Hematol. 34(5), 473–483. https://doi.org/10.1111/j.1751-553X.2012.01420.x (2012).
Huang, R. et al. miR-532-3p-CSF2RA axis as a key regulator of vulnerable atherosclerotic plaque formation. Can. J. Cardiol. 36(11), 1782–1794. https://doi.org/10.1016/j.cjca.2019.12.018 (2020).
Mo, X. G. et al. NCF2, MYO1F, S1PR4, and FCN1 as potential noninvasive diagnostic biomarkers in patients with obstructive coronary artery: A weighted gene co-expression network analysis. J. Cell Biochem. 120(10), 18219–18235. https://doi.org/10.1002/jcb.29128 (2019).
Tregouet, D. A. et al. SELPLG gene polymorphisms in relation to plasma SELPLG levels and coronary artery disease. Ann. Hum. Genet. 67(Pt 6), 504–511. https://doi.org/10.1046/j.1529-8817.2003.00053.x (2003).
Li, W. et al. SAMHD1 gene mutations are associated with cerebral large-artery atherosclerosis. Biomed. Res. Int. 2015, 739586. https://doi.org/10.1155/2015/739586 (2015).
Guicheney, P., Soliman, H., Launay, J. M., Dreux, C. & Meyer, P. Circulating monoamine oxidase B and phenolsulfotransferase activities in essential hypertensive patients. Clin. Exp. Hypertens. A. 10(4), 533–544. https://doi.org/10.3109/10641968809033907 (1988).
Selvarajah, V. et al. Novel mechanism for buffering dietary salt in humans: Effects of salt loading on skin sodium, vascular endothelial growth factor C, and blood pressure. Hypertension 70(5), 930–937. https://doi.org/10.1161/HYPERTENSIONAHA.117.10003 (2017).
Zhao, Q., Sun, H., Yin, L. & Wang, L. miR-126a-5p-Dbp and miR-31a-Crot/Mrpl4 interaction pairs crucial for the development of hypertension and stroke. Mol. Med. Rep. 20(5), 4151–4167. https://doi.org/10.3892/mmr.2019.10679 (2019).
Sun, L. et al. miR-182-3p/Myadm contribute to pulmonary artery hypertension vascular remodeling via a KLF4/p21-dependent mechanism. Theranostics. 10(12), 5581–5599. https://doi.org/10.7150/thno.44687 (2020).
Zhou, J. J. et al. Nestin represents a potential marker of pulmonary vascular remodeling in pulmonary arterial hypertension associated with congenital heart disease. J. Mol. Cell Cardiol. 149, 41–53. https://doi.org/10.1016/j.yjmcc.2020.09.005 (2020).
Baptista, R. et al. MicroRNA-424(322) as a new marker of disease progression in pulmonary arterial hypertension and its role in right ventricular hypertrophy by targeting SMURF1. Cardiovasc. Res. 114(1), 53–64. https://doi.org/10.1093/cvr/cvx187 (2018).
Zicha, J. et al. Pharmacogenetic analysis of captopril effects on blood pressure: possible role of the Ednrb (endothelin receptor type B) candidate gene. Physiol. Res. 63(2), 263–265. https://doi.org/10.33549/physiolres.932732 (2014).
Zou, L. et al. Identification of a low frequency missense mutation in MUC6 contributing to pulmonary artery hypertension by whole-exome sequencing. Pulm. Circ. 8(3), 2045894018794374. https://doi.org/10.1177/2045894018794374 (2018).
Sun, S. et al. A TOR2A gene product: Salusin-β contributes to attenuated vasodilatation of spontaneously hypertensive rats. Cardiovasc. Drugs Ther. 35(1), 125–139. https://doi.org/10.1007/s10557-020-06983-1 (2021).
Eaaswarkhanth, M., Dos Santos, A. L. C., Gokcumen, O., Al-Mulla, F. & Thanaraj, T. A. Genome-wide selection scan in an Arabian peninsula population identifies a TNKS haplotype linked to metabolic traits and hypertension. Genome Biol. Evol. 12(3), 77–87. https://doi.org/10.1093/gbe/evaa033 (2020).
Wang, J., Yang, K. & Yuan, J. X. NEDD9, a hypoxia-upregulated mediator for pathogenic platelet-endothelial cell interaction in pulmonary hypertension. Am. J. Respir. Crit. Care Med. https://doi.org/10.1164/rccm.202101-0007ED.10.1164/rccm.202101-0007ED (2021).
Nitta, C. H. et al. Role of ASIC1 in the development of chronic hypoxia-induced pulmonary hypertension. Am. J. Physiol. Heart Circ. Physiol. 306(1), H41–H52. https://doi.org/10.1152/ajpheart.00269.2013 (2014).
Omura, J. et al. ADAMTS8 promotes the development of pulmonary arterial hypertension and right ventricular failure: A possible novel therapeutic target. Circ. Res. 125(10), 884–906. https://doi.org/10.1161/CIRCRESAHA.119.315398 (2019).
White, Z. et al. Angiotensin II receptor blocker losartan exacerbates muscle damage and exhibits weak blood pressure-lowering activity in a dysferlin-null model of Limb-Girdle muscular dystrophy type 2B. PLoS One 14(8), e0220903. https://doi.org/10.1371/journal.pone.0220903 (2019).
Amlal, H., Xu, J., Barone, S., Zahedi, K. & Soleimani, M. The chloride channel/transporter Slc26a9 regulates the systemic arterial pressure and renal chloride excretion. J. Mol. Med. (Berl). 91(5), 561–572. https://doi.org/10.1007/s00109-012-0973-1 (2013).
Le Ribeuz, H. et al. In vivo miR-138-5p inhibition alleviates monocrotaline-induced pulmonary hypertension and normalizes pulmonary KCNK3 and SLC45A3 expression. Respir. Res. 21(1), 186. https://doi.org/10.1186/s12931-020-01444-7 (2020).
Berg, T. M-currents (Kv7.2–7.3/KCNQ2-KCNQ3) are responsible for dysfunctional autonomic control in hypertensive rats. Front. Physiol. 7, 584. https://doi.org/10.3389/fphys.2016.00584 (2016).
Yang, S. et al. Experimental study of the protective effects of SYVN1 against diabetic retinopathy. Sci. Rep. 5, 14036. https://doi.org/10.1038/srep14036 (2015).
Zhang, Z. Z., Qin, X. H. & Zhang, J. MicroRNA-183 inhibition exerts suppressive effects on diabetic retinopathy by inactivating BTG1-mediated PI3K/Akt/VEGF signaling pathway. Am. J. Physiol. Endocrinol. Metab. 316(6), E1050–E1060. https://doi.org/10.1152/ajpendo.00444.2018 (2019).
Wang, J. et al. Association of CFH and CFB gene polymorphisms with retinopathy in type 2 diabetic patients. Mediat. Inflamm. 2013, 748435. https://doi.org/10.1155/2013/748435 (2013).
Chen, Y. et al. Association of the gene polymorphisms of BMPR2, ACVRL1, SMAD9 and their interactions with the risk of essential hypertension in the Chinese Han population. Biosci. Rep. 39(1), BSR20181217. https://doi.org/10.1042/BSR20181217 (2019).
Gregg, T. et al. Obesity-dependent CDK1 signaling stimulates mitochondrial respiration at complex I in pancreatic β-cells. J. Biol. Chem. 294(12), 4656–4666. https://doi.org/10.1074/jbc.RA118.006085 (2019).
Karere, G. M. et al. Sex differences in microRNA expression and cardiometabolic risk factors in hispanic adolescents with obesity. J. Pediatr. https://doi.org/10.1016/j.jpeds.2021.03.070 (2021).
Costantino, S. et al. Obesity-induced activation of JunD promotes myocardial lipid accumulation and metabolic cardiomyopathy. Eur. Heart J. 40(12), 997–1008. https://doi.org/10.1093/eurheartj/ehy903 (2019).
Westergren, R. et al. Overexpression of Foxf2 in adipose tissue is associated with lower levels of IRS1 and decreased glucose uptake in vivo. Am. J. Physiol. Endocrinol. Metab. 298(3), E548–E554. https://doi.org/10.1152/ajpendo.00395.2009 (2010).
Catanzaro, G. et al. Circulating microRNAs in elderly type 2 diabetic patients. Int. J. Endocrinol. 2018, 6872635. https://doi.org/10.1155/2018/6872635 (2018).
Demirsoy, İH. et al. Profiles of circulating MiRNAs following metformin treatment in patients with type 2 diabetes. J. Med. Biochem. 37(4), 499–506. https://doi.org/10.2478/jomb-2018-0009 (2018).
Li, L., Bai, Y., Du, R., Tang, L. & Li, L. The role of Smad4 in the regulation of insulin resistance, inflammation and cell proliferation in HTR8-Svneo cells. Cell Biochem. Funct. 39(1), 126–138. https://doi.org/10.1002/cbf.3594 (2021).
Wang, N. et al. Astragalus polysaccharides decreased the expression of PTP1B through relieving ER stress induced activation of ATF6 in a rat model of type 2 diabetes. Mol. Cell Endocrinol. 307(1–2), 89–98. https://doi.org/10.1016/j.mce.2009.03.001 (2009).
Onrat, S. T., Onrat, E., Ercan Onay, E., Yalım, Z. & Avşar, A. The genetic determination of the differentiation between ischemic dilated cardiomyopathy and idiopathic dilated cardiomyopathy. Genet. Test Mol. Biomark. 22(11), 644–651. https://doi.org/10.1089/gtmb.2018.0188 (2018).
Huang, C. Y. et al. Inhibition of HSF2 SUMOylation via MEL18 upregulates IGF-IIR and leads to hypertension-induced cardiac hypertrophy. Int. J. Cardiol. 257, 283–290. https://doi.org/10.1016/j.ijcard.2017.10.102 (2018).
Mendes-Silva, A. P. et al. Shared biologic pathways between alzheimer disease and major depression: A systematic review of microRNA expression studies. Am. J. Geriatr. Psychiatry. 24(10), 903–912. https://doi.org/10.1016/j.jagp.2016.07.017 (2016).
Sakurai, A. et al. Involvement of Elf3 on Smad3 activation-dependent injuries in podocytes and excretion of urinary exosome in diabetic nephropathy. PLoS One 14(5), e0216788. https://doi.org/10.1371/journal.pone.0216788 (2019).
Yan, L. et al. The Y chromosome regulates BMPR2 expression via SRY: A possible reason “why” fewer males develop pulmonary arterial hypertension. Am. J. Respir. Crit. Care Med. 198(12), 1581–1583. https://doi.org/10.1164/rccm.201802-0308LE (2018).
Acknowledgements
I thank Anders Roger Hedin, Uppsala University, Clinical immunology, Olle Korsgren, Uppsala, Uppland, Sweden, very much, the author who deposited their profiling by high throughput sequencing dataset GSE162689, into the public GEO database.
Author information
Authors and Affiliations
Contributions
M.P.—Methodology and validation. B.V.—Writing original draft, and review and editing. S.K.—Formal analysis and resources. C.V.—Software and investigation. S.K.—Supervision and resources.
Corresponding author
Ethics declarations
Competing interests
The authors declare no competing interests.
Additional information
Publisher's note
Springer Nature remains neutral with regard to jurisdictional claims in published maps and institutional affiliations.
Supplementary Information
Rights and permissions
Open Access This article is licensed under a Creative Commons Attribution 4.0 International License, which permits use, sharing, adaptation, distribution and reproduction in any medium or format, as long as you give appropriate credit to the original author(s) and the source, provide a link to the Creative Commons licence, and indicate if changes were made. The images or other third party material in this article are included in the article's Creative Commons licence, unless indicated otherwise in a credit line to the material. If material is not included in the article's Creative Commons licence and your intended use is not permitted by statutory regulation or exceeds the permitted use, you will need to obtain permission directly from the copyright holder. To view a copy of this licence, visit http://creativecommons.org/licenses/by/4.0/.
About this article
Cite this article
Pujar, M., Vastrad, B., Kavatagimath, S. et al. Identification of candidate biomarkers and pathways associated with type 1 diabetes mellitus using bioinformatics analysis. Sci Rep 12, 9157 (2022). https://doi.org/10.1038/s41598-022-13291-1
Received:
Accepted:
Published:
Version of record:
DOI: https://doi.org/10.1038/s41598-022-13291-1
This article is cited by
-
Integrative gene target mapping, RNA sequencing, in silico molecular docking, ADMET profiling and molecular dynamics simulation study of marine derived molecules for type 1 diabetes mellitus
Molecular Diversity (2026)
-
Molecular Mechanisms of Perivascular Macrophages in Alzheimer’s Disease: Insights from Single-Cell Sequencing and Mendelian Randomization
Cellular and Molecular Neurobiology (2025)
-
A comprehensive review of artificial intelligence models for screening major retinal diseases
Artificial Intelligence Review (2024)









