Abstract
Water deficit affects agricultural systems negatively globally. This research objective was to mitigate drought’s detrimental effects on plants metabolite profiling by utilizing biofertilizers and mineral nutrition. The carbohydrate content and fatty acid profile of Licorice (Glycyrrhiza glabra) were assessed under Silicon (Si) nutrition, Claroiedoglomus etunicatum inoculation (F), and drought stress (100, 80, 60, 40, and 20% of field capacity (FC)). Results showed that Si application increased total sugar content under severe drought levels (20 and 40% FC) and made it reach 12.41 and 12.63 g/100 g DW, respectively. Sucrose, as the predominant sugar of licorice, was at its highest level (13.1 g/100 g DW) in response to integrated values of F and Si (60% FC). Gas chromatography–mass spectrometry showed that the majority of fatty acid components in plants were 9-Octadecenoic acid (8.72–71.27%), 9,12-Octadecadienoic acid (0.1–56.43%), Hexadecanoic acid (12.84–30.59%), Octadecanoic acid (6.9–15.3%), Docosanoic acid (0.57–2.77%), Eicosanoic acid (1.07–2.64%), and 7-Hexadecenoic acid (0.26–2.62%). Since a lower omega6/omega3 ratio represents a healthier product, the lowest ratio (0.25%) was observed in well-watered inoculated plants. Also, severe drought-treated plants under integrated Si and F applications showed a low omega6/omega3 ratio (1.88%). In conclusion, Si and F improved synergistically the carbohydrate content and fatty acid profile in plants, despite the drought stress.
Similar content being viewed by others
Introduction
Licorice (Glycyrrhiza glabra L. family: Fabaceae) is a valuable medicinal plant which is commonly processed in the biopharmaceutical and nutraceutical industries1. It is also considered as a food additive because of its high sweetness. Careless overexploitation of wild ecotypes of G. glabra has recently resulted in a rapid reduction of its populations, if not extinction. Because of the plant’s high economic value and the risk of extinction owing to overharvesting, it appears vital to grow and domesticate this valuable species2. It has various physiologically-active compounds, including terpenes, flavonoids, polysaccharides, sugars, amino acids, minerals, lipids, and glycosides3. Recently, polysaccharides have been identified with distinctive biological functions, including antimicrobial and immunomodulation effects4. Numerous studies have suggested that licorice polysaccharides can regulate immunity, while having antiviral and antioxidant activities, with minimal cytotoxic effects. Since this valuable medicinal-industrial plant has been harvested indiscriminately, it is endangered and needs to be cultivated. Since many cultivated areas are facing water deficits as a widespread abiotic stress, the deficit has negatively affected plant productivity and disrupted normal metabolism5. Drough has many detrimental effects on quantity and quality of plant production systems. As a result of prolonged drought, cell turgor maintenance happens via the buildup of organic osmolytes including carbohydrates, sugars, and fatty acids6. Sugars, as one of the main components of licorice roots, are osmotic adjustors and signaling molecules, capable of being produced by carbohydrate metabolism, as they activate a variety of protective reactions to help tolerate drought stress. Sugars are also known to provide essential carbon content and energy for development, cell proliferation, differentiation, and preservation7. Also, plant sucrose, which is high in licorice root extract, and its products that result from hydrolysis, as well as products such as fructose and glucose transporters, can regulate their redistribution under abiotic stress between source and sink8. So, when water-deficit conditions exist, sugar transportation occurs in the roots by upregulating the expression of some transporter genes. Furthermore, the composition of fatty acids and biosynthesis are often altered. These various harmful impacts of water deficit on basic metabolites of licorice, carbohydrates and fatty acids, affect their critical roles on licorice quality for food and pharmaceutical industries. Wild licorice plants are well-suited to growing in challenging situations, including drought, and on lands with nutrient deficiency9. These are the two main causes that usually limit licorice production. Glycyrrhiza plants are grown to help restore ecosystems that have been degraded, especially in arid and semi-arid areas. In this regard, plants have evolved a variety of stress-resistance strategies. Plant–microbe mutualism may influence plant development, nutrient uptake, and resistance to water-deficit stress. So, there are several ways to mitigate these negative impacts of drought stress on the quantity of carbohydrates and the profile of lipids10. Since some minerals can reduce the effects of stresses, including drought stress, Si was used in the present study. Mineral elements such as exogenous Si can partly neutralize the negative impact of water-deficit on plant metabolites11. Numerous mechanisms are described in improvements through Si-mediated growth, including the activation of photosynthetic enzymes and enzymatic antioxidant defense systems, an enhanced water use efficiency, better nutrient uptake, regulating stomatal behavior and hydraulic conductance, regulate aquaporins, and the accumulation of organic osmolytes4. Although Si is often not regarded as an essential element, previous research have shown that it helps mitigate abiotic stress in plant species such as Lens culinaris12, G. glabra9, and Glycyrrhiza uralensis13. Another strategy to reduce the effects of drought stress on the quantity and quality of plant metabolites is to use biofertilizers such as mycorrhiza. Arbuscular mycorrhizal fungi (AMF) are the broadest genus capable of symbiosis in the plant kingdom. They are another strategy to improve plant metabolomics under irrigation regimes14. AMF is considered as a key player in agronomic practices, as it has important components for sustainable management in agricultural ecosystems15. AMF-colonization can improve the establishment of extensive hyphal networks which assist in water absorption, and leading to better soil structures. AMF colonization of roots can improve plant development by enhancing nutrient uptake, ion homeostasis, root development, accumulating osmolytes, induction of drought-responsive genes, and activation of different metabolic pathways16. Previous cases of research on Ceratonia silique17 and G. glabra9 have already explained the positive effects of AMF on plant drought resistance and metabolite accumulation.
In the present study, a pot experiment was carried out to evaluate the impacts of AMF and Si, individually and in combination, on licorice carbohydrate content and on fatty acid profile, under different levels of drought stress.
Materials and methods
Plant materials
This study was carried out in the College of Agriculture, Shiraz University. The seeds of G. glabra (voucher number: MPH-2670-1) were collected from Eghlid area (Aspas village, 52° 23′ 58″ E and 30° 38′ 31″ N), a region in the north of Fars province, Iran. The collection was done following national and scientific guidelines as described by Esmaeili et al.1 and based on the International Standard for Sustainable Wild Collection of Medicinal and Aromatic Plants (ISSC-MAP) (Version 1.0) prepared by the Medicinal Plant Specialist Group of the IUCN Species Survival Commission (The World Conservation Union). Also the permission to collect seeds was obtained from the (Iranian Government Organization) Natural Resources and Watershed Management Organization. The seeds were scarified by soaking in concentrated H2SO4 (97%- Merck) for 10 min, washed with running water several times, and immediately sown in transplant trays with Peat Moss and perlite mix, 2:118. Two seeds were sown in each cell of the trays. They were placed in the greenhouse (Day: 27 ± 1 °C, night: 23 ± 1 °C, humidity: 70 ± 3%, light: 40,000 Lux) after sowing. A month after germination, the seedlings were transplanted into small plastic pots containing 250 mL of field soil and sand mixture (2:1) (non-sterilized). Bigger pots were used for transplanting 6-month-old seedlings in a sandy medium (soil and sand mixture (2:1)).
Mycorrhizal inoculation preparation
Claroiedoglomus etunicatum was provided by the soil biology lab at Shiraz University. It was previously separated by Dr. Mehdi Zarei in the Department of Soil Sciences. The inoculum (250 g) was added to the root zone as transplanting took place in the final pots. Each mycorrhizal pot received soil containing fungal spores, mycorrhizal roots, and mycelia of C. etunicatum, and the non-mycorrhizal pots received an equal amount of washed sand19.
Growth situation and treatment application
After two weeks of adaptation and plant establishment in the pots, irrigation treatments were carried out for two months. Irrigation was performed to make the soil reach five different levels of moisture, either at or below field capacity (FC). These levels were either 20, 40, 60, 80, and 100% FC (control). Drought stress treatments are shown as “W”, as W100, W80, W60, W40, and W20. Silicon application is represented by “Si” at two levels, with Si (Si1) and without (Si0). Fungi inoculation was also shown by “F” at two levels, with (F1) and without (F0) fungi inoculation. Si was dissolved in the irrigation water as SiO2 at 300 mg/L concentration. As the plants consumed water and as evaporation occurred, the weight of pots decreased gradually through the course of observations20. After eight weeks, and under the respective conditions of growth, the plants were harvested for analysis.
Total sugar extraction and determination
The quantification of total sugar in the roots and rhizomes of licorice was carried out according to a procedure in the available literature with little modifications21. A grinder was used for crushing the samples before extraction. In the extraction stage, 100 mg of dried-ground sample was poured into a microtube and then 2 mL ethanol (80%) was added. The solution was kept at room temperature a night. In being decanted into another 15-mL tube after centrifugation at 3000 rpm for 10 min, the residue was stored in the centrifuge tube. This extraction was repeated two more times. After that, 80% ethanol was added to the supernatant in a 15-mL volumetric flask. The total soluble sugar content of this extract was determined. Total soluble sugar was measured by adding 25 µL soluble sugar extract into a microplate cell. Then, the procedure was followed by the addition of 25 µL phenol (5%) and 125 µL sulfuric acid. The absorbance was read at 490 nm by an Epoch microplate spectrophotometer (USA)21.
Starch extraction and determination
The residue from total sugar extraction, was used for starch determination according to a procedure in the available literature with little modifications22. The residue in each test tube, occurring from total sugar extraction, was dried at 80 °C for one h. Then, the tubes were filled with 200 µL cold distilled water and awaited complete absorption. Then, 260 µL of the tube was filled with perchloric acid (52%), and the tube was occasionally swirled with a vortex15. Again, 400 µL cold distilled water was added to the suspension and centrifuged at 3000 rpm (10 min). The supernatant was subsequently decanted into a 2 mL tube. This was followed by adding 100 µL cold distilled water and 130 µL perchloric acid (52%) to the residue of the test tubes. A vortex was used for swirling this suspension for 15 min. Centrifuged and decanted supernatants were mixed into the 2 mL tube. For starch analysis, 100 µL of starch extract were added into a microplate cell. Then, 200 µL of anthrone reagent was gradually added to the cells. The microplate was relocated into an oven (65 °C) where it remained for exactly 20 min. After cooling at ambient temperature, the absorbance was read at 630 nm by an Epoch microplate spectrophotometer (USA)22.
Glucose, sucrose, and fructose profiling by HPLC
HPLC–RID was used for determining the free sugar contents individually. The isocratic Agilent 1100 HPLC method was used for identifying free sugars at 40 °C. The HPLC system was provided with an Agilent smart line RID detector and a carbohydrate column (4.6 × 250 mm, 5 mm, Agilent). At a flow rate of 1.5 mL/min, the mobile phase consisted of a deionized water/acetonitrile (20:80 v/v) composition. The injection volume amounted to 20 µL. An internal normalization of the chromatographic peak area was used for analyzing the data23.
Preparation of oil extracts from licorice
The roots were harvested, cleaned from the soil, and dried at ambient temperature. Then, the dried roots were ground by an electric grinder. Licorice powder (500 mg) was suspended in a hydrolysis buffer (5.0 mL) and included normal saline: methanol: hydrochloric acid (1:1:2) which was mixed attentively and incubated at 70 °C for three days to allow the hydrolysis of the licorice biomass. In these conditions, proteins, lipids, and carbohydrates were digested to amino acids, fatty acids, and monosaccharides, respectively24. Accordingly, 3.0 mL hexane was added to normal saline: methanol: hydrochloric acid hydrolysate and vortexed for 10 min to allow the separation of fatty acids. The fatty acid that existed in the hydrolysate was separated from biomass overnight at ambient temperature. The fatty acid in the upper phase (hexane phase) was isolated and characterized chemically using GC–MS25.
Fatty acids methyl esters (FAMEs) profiling by GC–MS
The GC–MS analysis was performed using an Agilent gas chromatography (Agilent 7890B GC 7955A MSD) equipped with a fused silica capillary HP-5MS column (30 m × 0.25 mm id; thickness 0.25 µm), coupled with a single quadrupole mass spectrometer. At a flow rate of 1.0 mL/min, helium was used as a carrier gas. The temperatures of the ion source and interface were 250 °C and 300 °C, respectively. The oven temperature program was set to increase from 80 to 240 °C as follows: 80 °C for 4 min, which rose to 140 °C at a rate of 20 °C/min. Thereafter, it reached 250 °C at 10 °C/min and was held at 240 °C for 10 min. By comparing the retention times and fragmentation patterns of the linked peaks with those described in the Wily 7n and NIST05a libraries, the GC–MS apparatus software rightly detected fatty acids26.
Statistical analysis
The pot experiment was set up in a factorial arrangement with four replications in a completely randomized design. It comprised three factors including drought levels, AMF inoculation, and Si nutrition. The data were examined by the GLM test using Minitab software (Version 17; Available from: http://www.minitab.com/en-US/products/minitab/). In the case of significant interactions, the slice method was applied for mean comparisons. Tukey’s test at the 5% level operated to make mean comparisons. Then graphs created by Microsoft Excel software (Version 2016; Microsoft Corporation. Retrieved from https://www.microsoft.com/en-us/microsoft-365/excel). Minitab (Version 17; Available from: http://www.minitab.com/en-US/products/minitab/) was also employed to perform the principal component analysis (PCA).
Results
Total sugar quantity of licorice under mentioned treatments
In the present study, the total sugar content was significantly (p-value < 0.05) affected by the interaction among Si, F, and drought levels (Fig. 1). The results showed that exogenous Si assisted licorice plants significantly in maintaining soluble sugar content, despite severe drought stress levels (W20 and W40), compared to non-Si-treated plants that faced the same stress levels. In this regard, higher amounts of total soluble sugar were achieved (12.63 and 12.41 g/100 g DW) in response to W40Si1 and W20Si1, respectively. Furthermore, integrated Si and F inoculation ultimately increased the total sugar content (12.26 g/100 g DW) in the face of severe drought stress (W20), whereas F inoculation per se had a smaller effect (Fig. 1).
Total sugar content of licorice root under drought stress integrated by silicon nutrition and mycorrhiza inoculation. According to the analysis of variance that triple effects of fungi, drought levels and Si showed significant difference, slice method used for mean comparisons. Mean values with the same letters are not significantly different (p < 0.05), Tukey test. W stands for water deficit treatment (5 levels including 100% (W100), 80% (W80), 60% (W60), 40% (W40), and 20% (W20) of field capacity), Si stands for silicon application (two levels including Si0 (no Si application) and Si1 (Si application)) and F stands for mycorrhiza inoculation (two levels including F0 (no inoculation) and F1 (inoculated)).
Soluble carbohydrate profiling of licorice
HPLC profiling of soluble carbohydrates in licorice roots showed a high sucrose content (13.1 g/100 g DW) in response to the W60Si1F1 treatment, compared to all other inoculated plants and many other non-inoculated plants. High glucose contents were observed in plants of the W100Si0F1 (2.5 g/100 g DW) and W80Si0F0 (2.4 g/100 g DW). High contents of fructose in the present study were recorded in treatment groups of W100Si1F0 (0.8 g/100 g DW), W80Si1F1 (0.8 g/100 g DW), and W40Si1F1 (0.7 g/100 g DW). Irrespective of F inoculation, Si-treated licorice plants showed high sucrose contents of 11.2, 13.1, and 13.7 g/ 100 g DW when situated in 40, 60, and 80% FC irrigation, respectively (Fig. 2A–C).
HPLC analysis of (A) sucrose, (B) glucose and (C) fructose among drought stress, Si application and mycorrhiza inoculation interactions in examined Licorice plants. According to the analysis of variance that triple effects of fungi, drought levels and Si showed significant difference, slice method used for mean comparisons. Mean values with the same letters are not significantly different in each treatment (p < 0.05), Tukey test. W stands for water deficit treatment (5 levels including 100% (W100), 80% (W80), 60% (W60), 40% (W40), and 20% (W20) of field capacity), Si stands for silicon application (two levels including Si0 (no Si application) and Si1 (Si application)) and F stands for mycorrhiza inoculation (two levels including F0 (no inoculation) and F1 (inoculated)).
Starch quantity of licorice under mentioned treatments
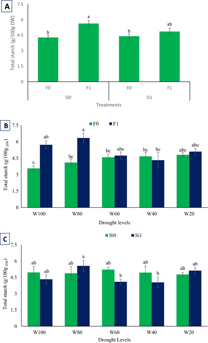
In using the exogenous Si, the starch content in licorice roots varied among fungi-inoculated and non-inoculated plants. It was observed that inoculated treatments caused higher starch contents. Maximum starch content was observed in response to Si0F1 (5.63 g/100 g DW), while minimum quantities were observed in Si0F0 (4.27 g/100 g DW) and Si1F0 (4.4 g/100 g DW) (Fig. 3A).
Total starch content variation among (A) Si application and fungi inoculation interactions, (B) various drought levels and fungi inoculation interactions and (C) various drought levels and Si application interactions in examined Licorice plants. According to the analysis of variance that only the multiple effects of fungi and Si showed significant difference, just its mean comparison is shown. Mean values with the same letters are not significantly different (p < 0.05), Tukey test. W stands for water deficit treatment (5 levels including 100% (W100), 80% (W80), 60% (W60), 40% (W40), and 20% (W20) of field capacity), Si stands for silicon application (two levels including Si0 (no Si application) and Si1 (Si application)) and F stands for mycorrhiza inoculation (two levels including F0 (no inoculation) and F1 (inoculated)).
In well-irrigated treatments (80 and 100% FC), there was a significant (p-value < 0.05) difference between the effects of F0 and F1, although such a difference was not caused by other drought levels. Through the interaction between W and F, a minimum starch value was observed in response to W100F0 (3.56 g/100 g DW), while a maximum was achieved in W80 F1 (6.33 g/100 g DW) (Fig. 3B). The results showed that the quantity of starch decreased significantly (p-value < 0.05) parallel to an increase in drought stress severity. Despite the effects of exogenous Si, the W60 and W40 treatments caused the lowest starch contents (4.09 and 4.04 g/100 g DW, respectively) (Fig. 3C).
Fatty acid content and composition of licorice roots
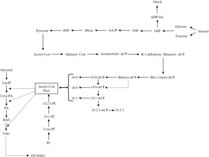
In general, the main fatty acid components in licorice were 9-Octadecenoic acid (8.72–71.27%), 9,12-Octadecadienoic acid (0.1–56.43%), Hexadecanoic acid (12.84–30.59%), Octadecanoic acid (6.9–15.3%), and Docosanoic acid (0.57–2.77%), Eicosanoic acid (1.07–2.64%), 7-Hexadecenoic acid (0.26–2.62%), and 9,12,15-Octadecatrienoic acid (0.1–2.56%), respectively (Table 1). Using exogenous Si and mycorrhizal inoculation caused changes in the fatty acids (FAs), concerning quantity and quality. Maximum saturated fatty acids (SFA) were observed in response to W20Si1F1 (52.98%). The maximum increase in unsaturated fatty acids (UFA) was observed in W100Si0F0 (76.06%) and W20Si0F1 (75.24%). Polyunsaturated fatty acids (PUFA) and omega 6 showed their maximum quantities, 58.43 and 56.43%, respectively, in response to W40Si0F0. Monounsaturated fatty acids (MUFA) showed their highest content (73.17%) in W100Si0F0, whereas omega-9 (71.71%) acquired maximum value by the W100Si0F1. Since a lower omega6/omega3 ratio reflects better quality in most food products, its best ratio in the present study was observed in response to W100Si0F1 (0.25%), W20Si1F1 (1.88%), and W100Si1F0 (2.46%), respectively (Table 1). The integrated biosynthetic pathways of sugars, fatty acids, as well as omega 3, 6, 7, and 9 are presented in Figs. 4 and 5.
Integrated Carbohydrate and fatty acid biosynthesis pathways [Adapted from59 with modifications]. G6P glucose 6-phosphate, ADP-Glc ADP-glucose, T6P trehalose 6- phosphate, F6P fructose 6-phosphate, GA3P glyceraldehyde 3-phosphate, 3PGA 3-phosphoglyceric acid, PEP phosphoenolpyruvate, CoA coenzyme A, ACP acyl-carrier protein, Lyso-PC lysophosphatidylcholine, Lyso-PA lysophosphatidic acid, DAG diacylglycerol, TAG triacylglycerol. This figure is created by Microsoft PowerPoint software (Version 2016; Microsoft Corporation. Retrieved from https://www.microsoft.com/en-us/microsoft-365/powerpoint).
Omega (3 and 6) fatty acid biosynthesis pathways [Adapted from60,61 with modifications]. This figure is created by Microsoft PowerPoint software (Version 2016; Microsoft Corporation. Retrieved from https://www.microsoft.com/en-us/microsoft-365/powerpoint).
Principle component analysis of sugars and fatty acids of G. glabra under a combination of mycorrhiza, silicon, and drought levels
In the biplot of PC analysis, the first two PCs explained 59.9% of variations in glucose, sucrose, fructose, and fatty acid contents as a result of the treatments (Fig. 6). The first PC explained 39.7% of the variation as it comprised sucrose, omega-6/omega-3, omega-6, PUFA, omega-3, and SFA. In contrast, the second PC accounted for 20.2% of the variations, comprising fructose, glucose, UFA, MUFA, and omega-9. In the present study, the projection of vectors, representing treatments, on the two detected PCs in the bi-plot, divided the treatments into two distinct groups. The first group comprised W80Si0F0, W80Si1F0, W60Si0F0, W60Si1F1, W40Si0F0, W40Si1F0, W40Si0F1, W20Si1F0, W80Si0F1, W80Si1F1, W60Si1F0, W60Si0F1, W40Si1F1, and W20Si0F1 and in association with the first PC, it linked with soluble carbohydrate contents. Meanwhile, the second group comprised W100Si0F0, W100Si0F1, W100Si1F1, W100Si1F0, W20Si0F0, and W20Si1F1 because these treatments had a greater association with the second PC-linked traits. The results indicated that each treatment group had a better performance when scattered between the PC vectors (Fig. 6).
Principal component analysis of studied treatments on sugars and fatty acids of licorice. SFA saturated fatty acid, USFA unsaturated fatty acid, MUFA monounsaturated fatty acid, PUFA polyunsaturated fatty acid. *Treatments (T) are shown with numbers; 1: W100 Si0 F0; 2: W100 Si1 F0; 3: W100 Si0 F1; 4: W100 Si1 F1; 5: W80 Si0 F0; 6: W80 Si1 F0; 7: W80 Si0 F1; 8: W80 Si1 F1; 9: W60 Si0 F0; 10: W60 Si1 F0; 11: W60 Si0 F1; 12: W60 Si1 F1; 13: W40 Si0 F0; 14: W40 Si1 F0; 15: W40 Si0 F1; 16: W40 Si1 F1;17: W20 Si0 F0; 18: W20 Si1 F0; 19: W20 Si0 F1; 20: W20 Si1 F1.
Discussion
Carbohydrates
Sugars are one of the most important quality parameters in licorice root. Present results indicated that sugar storage in licorice roots can be induced by AM symbiosis, which is a good strategy to overcome drought conditions. In addition to increasing product quality, sugars can protect membrane integrity, inhibit structural changes to insoluble proteins and maintain osmotic equilibrium in plant cells under harsh environments27. In a study on Triticum aestivum, Rhizophagus intraradices was used as an AMF to assess how it affected sugar metabolism. It was observed that sugar and starch contents increased in mycorrhizal wheat plants. Their results revealed changes in sugar metabolism through the modulation of starch phosphorylase, sucrose synthase, and sucrose-phosphate synthase. Variations in the sugar contents of non-mycorrhizal inoculated plants and mycorrhizal inoculated plants were ultimately reflected in the accumulation of reducing sugars that can scavenge ROS, which is critical under stressed conditions. Thus, inoculated plants could better tolerate drought stress28. Sucrose, as an osmolyte, is mainly produced in the leaves and is the primary form of carbohydrate. Mycorrhizal inoculated licorice in the current study, showed a higher sucrose concentration, that are aimed for long-distance transportation in the process of supplying the enormous demand for sugars under water-deficit stress29.
Similar to the present study, higher sucrose content in inoculated plants was also observed in Pinus tabulaeformis30 and Sorghum bicolor31. Osmolytes can maintain the integrity of membranes against the negative impacts of drought stress. Sinks usually trigger a demand for sugars in fungi to obtain energy from shoot tissues, which is followed by the hydrolysis of starch to sugars in seedlings inoculated with mycorrhizal fungi. These can assist in upholding osmotic equilibrium in plant cells, and thus preserve membrane integrity, whereby mycorrhizal fungi can increase the sugar content of the host plant32. Mycorrhizal colonization has often resulted in the accumulation of osmotic solutes under drought stress by modifying the osmotic balance through the carbohydrate profile, AMF can optimize physiological processes in the host plant33. In clover, regardless of the soil moisture, the leaves of AMF seedlings, as inoculated by P. occultum, had considerably greater levels of fructose, glucose, and sucrose than those inoculated with F. mosseae. AMF colonization by F. mosseae and P. occultum caused a significant increase in sucrose, fructose, and glucose contents in plant leaf, despite drought stress, meaning that osmolytes protected and stabilized plant macromolecules, thereby improving the ability of plants in resisting drought tolerance by osmotic adjustment34. In addition to the effect of AMF on the carbohydrates content, mineral nutrition such as Si, as evaluated in the current study, could be also effective on plant metabolism.
A study on sugarcane showed that Si plays a role in the synthesis and storage of sucrose. Low Si quantities can combine effectively and physically with sucrose, thereby preventing invertase from binding to its substrate. Even when sucrose is inverted, the putative fructose-silicate structure remains in its original state, mostly by prohibiting bacteria from metabolizing fructose. Since Si was used to deal with drought stress, Si supplementation might contribute to a higher water-uptake capacity by plants35. Higher Si levels led to greater soluble sugar concentrations. In Si-treated plants, however, a higher rate of photosynthesis occurred probably due to a simultaneous rise in soluble sugars and starch concentrations. Since epidermal cell walls are filled with a solid layer of Si, they are inherently strong barriers against fungal infections and water loss36. Also, since the drought stress causes minerals’ insufficiency, deficiencies in plant nutrients have been reportedly alleviated by Si treatments. Another study showed that Si reduced the sucrose content in barley leaves under drought stress, while it enhanced the sucrose level in barley grains37. In Oryza sativa, sucrose, fructose, and glucose contents decreased in Si-treated seedlings. Si may restrict sugar transportation in the phloem of roots and, thus, reduce photosynthesis in the shoots, as evidenced by their low sucrose content38.
In addition to sugars, which are known as basic osmolytes, the main type of carbohydrate storage in plants is starch. Carbohydrates are necessary for osmoprotection and carbon storage in plants as soon as they are exposed to drought stress. To meet this necessity, there is usually an increase in starch and sucrose catabolism, as well as sucrose metabolism in enzymatic activity, resulting in changes to carbohydrate metabolism that usually concerns glucose, sucrose, dextrins, and maltose production. Starch can be reduced to dextrins and maltose, respectively, via enzymes α- and β-amylases. Meanwhile, extra carbon can be stored in two ways, either as soluble sugars in vacuoles, as polymeric forms such as starch in plastids, or as oil molecules in vesicles39. Starch synthase, branching, and debranching enzymes are required for starch synthesis, while β- amylase, and α-amylase are precursors of starch metabolism. The abiotic stress response in plants is influenced by starch metabolism, although starch degradation has reportedly decreased because of this in some crops40. Enzymatic degradation of plant polymeric carbohydrates like starch and cellulose into simple sugars can sometimes lead to the provision of valuable end-products in the industry41. Similar to the present results, where a lower level of irrigation led to lower starch content, Si-treated barley plants reportedly varied distinctively in their quantity of starch, which enhanced dramatically under drought stress. It was observed that applying Si to barley, with the addition of osmotic stress-induced Si transporters, causes Si to be transported to the shoots, thereby having reason to increase starch content and to regulate ABA homeostasis, with the ultimate effect of improving plant tolerance to stress42. In barley, drought stress was seen to have smaller effects on sugars, particularly insoluble starch, important tricarboxylic acid cycle metabolites, 2-oxoglutarate, and fumarate, as well as glycolytic intermediates of glucose-6phosphate, fructose-6phosphate, and 3-Phosphoglyceric acid. Drought stress caused carbohydrates to accumulate in the leaves and be a replacement for osmotic molecules. Drought stress is known to affect glucose metabolism and starch availability. Under drought stress, starch globules tend to aggregate and metabolic rearrangements usually occur43.
Fatty acids
In organisms, FAs are are the major components of membrane lipids, while variations in FAs saturation levels and compositions are linked to plant tolerance against drought44,45. Plants can aim at compensating for water loss in soils with low water levels by stomatal closure, which inhibits CO2 availability for photosynthesis. Variations in fatty acid content could result from their capacity to be used as a carbon source for fatty acid production. Fatty acid composition can vary under drought stress situations46. In a study on Folsomia candida, drought-induced fatty acid desaturation, together with membrane-protecting cryoprotective accumulation, were designated as key forms of physiological adaptations to tolerance against desiccation. Acclimation to drought has reportedly resulted in changes to membrane fatty acids, along with a considerable decrease in cell membrane transition temperature as this can occur expectedly in the process of plant adaption to drought47. Researchers discovered lower levels of linoleic acid in several Brassica species when they were subjected to drought stress48. Drought stress tends to elevate ROS levels, and plants utilize a variety of ways to cope with the adverse outcomes of drought. Some plants can change their oil content and compositions, to compensate for variations in water relations within the cells and organs. Drought stress can cause an increase in SFAs and a decrease in UFAs, which reduces the fluidity of cell membrane lipids. A high concentration of UFAs should be viewed as a key mechanism for improving plant tolerance against drought49.
Since drought stress can affect the fatty acid synthesis pathway, it also has a considerable impact on Delta12-fatty-acid desaturase, a key enzyme in fatty acid synthesis50.
Minerals are also effective in mitigating water-deficit stress by affecting fatty acids. A previous study showed how Si has notable impacts on oil quantity, SFA, and the unsaturated fatty acid profile of flax51. In line with the present study, drought stress affected rapeseed cultivars differently52. A study on Hordeum vulgare showed that the application of Si on stressed plants enhanced the ratio of UFA/SFA in drought-tolerant cultivars, compared to non-Si-amended treatments53. Another study showed that the composition of fatty acids can alter membrane fluidity and activities which is important under stressed conditions. Adding Si to drought treatments significantly reduced stearic and oleic acid levels. A study on Brassica napus revealed how drought stress reduced linolenic acid (%) but increased oleic acid (%)54,55. Another strategy for mitigating drough stress is AMF application that is effective in nutrient availability for plants56. Research on Poncirus trifoliata showed that AMF inoculation caused a substantial increase in methyl oleate, methyl linoleate, and methyl linolenate concentrations in the roots, despite severe drought conditions. In contrast, methyl stearate levels decreased in the roots under severe drought conditions. These variations in the profile of FAs in mycorrhized roots have led to a higher unsaturation index that reportedly reduced oxidative damage57. This causes better resistance under harsh stressed conditions. In the genome of Rhizophagus irregularis, researchers have discovered genes that encode enzymes for the breakdown and elongation of FAs. Furthermore, FAs in host plants are delivered to AMF for the maintenance of mycorrhizal colonization, which is mediated by the adenosine triphosphate-binding cassette transporter. Thus, FAs are crucial for AM development and for triggering plant resistance to abiotic stress. AMF could influence the composition of FAs and the quantity of UFAs to improve drought resistance by host plants which is similary observed in the current results58.
Conclusion
A major challenge that licorice production currently faces in the industry is drought stress that causes undesirable variations in various metabolites’ contents and compositions. The protective effects of Si and AMF treatments appear to be connected with the accumulation of primary and secondary metabolites and mineral absorption, thereby improving plant quality so that licorice production could remain partly unaffected despite water-deficit situations. As an unfavorable metabolite profile tends to reduce the quality of licorice roots and, thus, makes it almost unsuitable for licorice processing industries, so the provision of appropriate and adequate mineral nutrition, such as exogenous Si and biofertilizers such as arbuscular mycorrhiza, could offer a suitable approach to reduce the adverse effects of water-deficits where licorice is cultivated.. These alterations to carbohydrate and fatty acid profile and contents were to better protection of the plant against drought stress. The current findings provide a practical foundation for the use of Si fertilizers and AMF to better enable licorice production where irrigation systems lean toward a policy of water conservation. Exogenous application of AMF and Si can have synergistic roles in mitigating the adverse effects of water-deficit by improving quantity and quality of sugars and the omega fatty acids in licorice. These findings bring prospective insight into world water deficit crisis conquering.
Data availability
The datasets used and/or analysed during the current study are available from the corresponding author on reasonable request.
References
Esmaeili, H., Karami, A., Hadian, J., Saharkhiz, M. J. & Ebrahimi, S. N. Variation in the phytochemical contents and antioxidant activity of Glycyrrhiza glabra populations collected in Iran. Ind. Crops Prod. 137, 248–259 (2019).
Mousavi, S. S., Karami, A. & Filippo, M. Photosynthesis and chlorophyll fluorescence of iranian licorice (Glycyrrhiza glabra L.) accessions under salinity stress. Front. Plant Sci. 13, 3996 (2022).
Taarji, N. et al. Interfacial and emulsifying properties of purified glycyrrhizin and non-purified glycyrrhizin-rich extracts from liquorice root (Glycyrrhiza glabra). Food Chem. 337, 127949 (2021).
Mousavi, S. S., Karami, A., Saharkhiz, M. J., Etemadi, M. & Ravanbakhsh, M. Microbial amelioration of salinity stress in endangered accessions of Iranian licorice (Glycyrrhiza glabra L.). BMC Plant Biol. 22(1), 1–17 (2022).
Rezakhani, L., Motesharezadeh, B., Tehrani, M. M., Etesami, H. & Hosseini, H. M. Phosphate–solubilizing bacteria and silicon synergistically augment phosphorus (P) uptake by wheat (Triticum aestivum L.) plant fertilized with soluble or insoluble P source. Ecotoxicol. Environ. Saf. 173, 504–13 (2019).
Ali, M. et al. Silicon mediated improvement in the growth and ion homeostasis by decreasing Na+ uptake in maize (Zea mays L.) cultivars exposed to salinity stress. Plant Physiol. Biochem. 158, 208–18 (2021).
Goyal, P. et al. A comprehensive transcriptome-wide identification and screening of WRKY gene family engaged in abiotic stress in Glycyrrhiza glabra. Sci. Rep. 10(1), 1–18 (2020).
Haghighi, T. M. & Saharkhiz, M. J. Mycorrhizal colonization and silicon nutrition mitigates drought stress in Licorice (Glycyrrhiza glabra L.) with morphophysiological and biochemical perspectives. Ind. Crops Prod. 178, 114650 (2022).
Haghighi, T. M., Saharkhiz, M. J., Kavoosi, G. & Jowkar, A. Monitoring amino acid profile and protein quality of Licorice (Glycyrrhiza glabra L.) under drought stress, silicon nutrition and mycorrhiza inoculation. Sci. Hortic. 295, 110808 (2022).
Zhang, X. et al. Measurement of metabolite variations and analysis of related gene expression in Chinese liquorice (Glycyrrhiza uralensis) plants under UV-B irradiation. Sci. Rep. 8(1), 1–17 (2018).
Shen, Z. et al. Silicon improves ion homeostasis and growth of liquorice under salt stress by reducing plant Na+ uptake. Sci. Rep. 12(1), 1–13 (2022).
Biju, S., Fuentes, S. & Gupta, D. Silicon modulates nitro-oxidative homeostasis along with the antioxidant metabolism to promote drought stress tolerance in lentil plants. Physiol. Plant 172(2), 1382–1398 (2021).
Cui, G. et al. Exogenous silicon relieve drought stress and salt stress of Glycyrrhiza uralensis seedlings by regulating proline metabolism and nitrogen assimilation. J. Hortic. Sci. Biotechnol. 96, 1–10 (2021).
Fujita, M. et al. Response of tomatoes primed by mycorrhizal colonization to virulent and avirulent bacterial pathogens. Sci. Rep. 12(1), 1–12 (2022).
Sadat Darakeh, S. A. S., Weisany, W., Diyanat, M. & Ebrahimi, R. Bio-organic fertilizers induce biochemical changes and affect seed oil fatty acids composition in black cumin (Nigella sativa Linn.). Ind Crops Prod. 164, 113383 (2021).
Leventis, G. et al. Arbuscular mycorrhizal fungi enhance growth of tomato under normal and drought conditions, via different water regulation mechanisms. Rhizosphere 19, 100394 (2021).
Boutasknit, A. et al. Assemblage of indigenous arbuscular mycorrhizal fungi and green waste compost enhance drought stress tolerance in carob (Ceratonia siliqua L.) trees. Sci. Rep. 11(1), 1–23 (2021).
Pereira, T. J., Chiquoine, L. P., Larranaga, A. J. & Abella, S. R. Seed germination of a rare gypsum associated species, Arctomecon californica (Papaveraceae), in the Mojave Desert. J. Arid Environ. 184, 104313 (2021).
Zarei, M., Abadi, V. A. J. M. & da Silva, J. A. T. Potential of arbuscular mycorrhizae and tall fescue in remediation of soils polluted with zinc. Chem. Ecol. 36(2), 122–137 (2020).
Mira-García, A. B., Vera, J., Conejero, W., Conesa, M. R. & Ruiz-Sánchez, M. C. Evapotranspiration in young lime trees with automated irrigation. Sci. Hortic. 288, 110396 (2021).
Taban, A., Saharkhiz, M. J. & Khorram, M. Formulation and assessment of nano-encapsulated bioherbicides based on biopolymers and essential oil. Ind Crops Prod. 149, 112348 (2020).
Taban, A., Saharkhiz, M. J. & Kavoosi, G. Development of pre-emergence herbicide based on Arabic gum-gelatin, apple pectin and savory essential oil nano-particles: A potential green alternative to metribuzin. Int. J. Biol. Macromol. 167, 756–765 (2021).
Karabagias, I. K. Seeking of reliable markers related to Greek nectar honey geographical and botanical origin identification based on sugar profile by HPLC-RI and electro-chemical parameters using multivariate statistics. Eur. Food Res. Technol. 245(4), 805–816 (2019).
Brodkorb, A. et al. INFOGEST static in vitro simulation of gastrointestinal food digestion. Nat. Protoc. 14(4), 991–1014 (2019).
Nateghpour, B., Kavoosi, G. & Mirakhorli, N. Amino acid profile of the peel of three citrus species and its effect on the combination of amino acids and fatty acids Chlorella vulgaris. J. Food Compos. Anal. 1(98), 103808 (2021).
Tammekivi, E. et al. Comparison of derivatization methods for the quantitative gas chromatographic analysis of oils. Anal. Methods 11(28), 3514–3522 (2019).
Mechri, B., Tekaya, M., Attia, F., Hammami, M. & Chehab, H. Drought stress improved the capacity of Rhizophagus irregularis for inducing the accumulation of oleuropein and mannitol in olive (Olea europaea) roots. Plant Physiol. Biochem. 156, 178–191 (2020).
Spagnoletti, F. N. et al. The arbuscular mycorrhizal fungus Rhizophagus intraradices reduces the root rot caused by Fusarium pseudograminearum in wheat. Rhizosphere 19, 100369 (2021).
Cai, M. et al. Application of glycyrrhiza polysaccharide nanofibers loaded with tea tree essential oil/gliadin nanoparticles in meat preservation. Food Biosci. 43, 101270 (2021).
Wang, J. et al. Effects of ectomycorrhizal fungi (Suillus variegatus) on the growth, hydraulic function, and non-structural carbohydrates of Pinus tabulaeformis under drought stress. BMC Plant Biol. 21(1), 1–13 (2021).
Tovignan, T. K. et al. Terminal drought effect on sugar partitioning and metabolism is modulated by leaf stay-green and panicle size in the stem of sweet sorghum (Sorghum bicolor L. Moench). CABI Agric. Biosci. 1(1), 1–11 (2020).
Parihar, M. et al. The potential of arbuscular mycorrhizal fungi in C cycling: A review. Arch. Microbiol. 202, 1581–1596 (2020).
Madmony, A., Tognetti, R., Zamponi, L., Capretti, P. & Michelozzi, M. Monoterpene responses to interacting effects of drought stress and infection by the fungus Heterobasidion parviporum in two clones of Norway spruce (Picea abies). Environ. Exp. Bot. 152, 137–148 (2018).
Liang, S.-M. et al. Physiological responses of mycorrhizal symbiosis to drought stress in white clover. Not. Bot. Horti Agrobot Cluj-Napoca. 49(1), 12209 (2021).
Wang, J., Nayak, S., Koch, K. & Ming, R. Carbon partitioning in sugarcane (Saccharum species). Front. Plant Sci. 4, 201 (2013).
Thorne, S. J., Hartley, S. E. & Maathuis, F. J. M. The effect of silicon on osmotic and drought stress tolerance in wheat landraces. Plants 10(4), 814 (2021).
Maillard, A. et al. Silicon transcriptionally regulates sulfur and ABA metabolism and delays leaf senescence in barley under combined sulfur deficiency and osmotic stress. Environ. Exp. Bot. 155, 394–410 (2018).
Cuong, T. X., Ullah, H., Datta, A. & Hanh, T. C. Effects of silicon-based fertilizer on growth, yield and nutrient uptake of rice in tropical zone of Vietnam. Rice Sci. 24(5), 283–290 (2017).
Teng, Y. et al. Sucrose fatty acid esters: Synthesis, emulsifying capacities, biological activities and structure-property profiles. Crit. Rev. Food Sci. Nutr. 61, 3297–3317. https://doi.org/10.1080/10408398.2020.1798346 (2020).
Mousavi, S. S., Karami, A., Saharkhiz, M. J., Etemadi, M. & Zarshenas, M. M. Evaluation of metabolites in Iranian Licorice accessions under salinity stress and Azotobacter sp. inoculation. Sci. Rep. 12(1), 1–13 (2022).
Tappiban, P., Smith, D. R., Triwitayakorn, K. & Bao, J. Recent understanding of starch biosynthesis in cassava for quality improvement: A review. Trends Food Sci. Technol. 83, 167–180 (2019).
Hosseini, S. A. et al. Induction of barley silicon transporter HvLsi1 and HvLsi2, increased silicon concentration in the shoot and regulated starch and ABA homeostasis under osmotic stress and concomitant potassium deficiency. Front. Plant Sci. 8, 1359 (2017).
Xalxo, R., Yadu, B., Chandra, J., Chandrakar, V. & Keshavkant, S. Alteration in carbohydrate metabolism modulates thermotolerance of plant under heat stress. Heat Stress Toler. Plants Physiol. Mol. Genet. Perspect. 2020, 77–115 (2020).
Cao, Y. et al. Production of free monounsaturated fatty acids by metabolically engineered Escherichia coli. Biotechnol. Biofuels 7(1), 1–11 (2014).
Wu, Q.-S., He, J.-D., Srivastava, A. K., Zou, Y.-N. & Kuča, K. Mycorrhizas enhance drought tolerance of citrus by altering root fatty acid compositions and their saturation levels. Tree Physiol. 39(7), 1149–1158 (2019).
Yadav, S. et al. Effect of abiotic stress on crops. In Sustainable Crop Production (InTech Open, 2020).
Aram, S., Weisany, W., Daliri, M. S. & Mirkalaie, S. A. A. M. Phenology, physiology, and fatty acid profile of Canola (Brassica napus L.) under agronomic management practices (direct seeding and transplanting) and zinc foliar application. J. Soil Sci. Plant Nutr. 21(2), 1735–44 (2021).
Fard, N. S., Abad, H. H. S., Rad, A. H. S., Heravan, E. M. & Daneshian, J. Effect of drought stress on qualitative characteristics of canola cultivars in winter cultivation. Ind. Crops Prod. 114, 87–92 (2018).
Xue, D., Zhang, X., Lu, X., Chen, G. & Chen, Z.-H. Molecular and evolutionary mechanisms of cuticular wax for plant drought tolerance. Front. Plant Sci. 8, 621 (2017).
Fathy, W. et al. Recombinant overexpression of the Escherichia coli acetyl-CoA carboxylase gene in Synechocystis sp. boosts lipid production. J. Basic Microbiol. 61(4), 330–8 (2021).
El-Beltagi, H. S., Sofy, M. R., Aldaej, M. I. & Mohamed, H. I. Silicon alleviates copper toxicity in flax plants by up-regulating antioxidant defense and secondary metabolites and decreasing oxidative damage. Sustainability 12(11), 4732 (2020).
Musayeva, K. et al. Milk fatty acid profile in cows as influenced by diet supplementation with rapeseed pomace and extruded full-fat soya in different feeding periods. Acta Vet. Brno. 90(1), 27–34 (2021).
Ghorbanpour, M., Mohammadi, H. & Kariman, K. Nanosilicon-based recovery of barley (Hordeum vulgare) plants subjected to drought stress. Environ. Sci. Nano 7(2), 443–461 (2020).
Dai, H. et al. Effect of intermittent warming on the quality and lipid metabolism of blueberry (Vaccinium corymbosum L., cv. Duke) fruit. Front Plant Sci. 11, 2254 (2020).
Hiremath, S. S. et al. Silencing of fatty acid desaturase (FAD7) gene enhances membrane stability and photosynthetic efficiency under heat stress in tobacco (Nicotiana benthamiana). Indian J. Exp. Biol. 55(8), 532–541 (2017).
Keshavarz, H. Study of water deficit conditions and beneficial microbes on the oil quality and agronomic traits of canola (Brassica napus L.). Grasas Y Aceites 71(3), 373 (2020).
Mousavi, S. S. & Karami, A. Application of endophyte microbes for production of secondary metabolites. In Application of Microbes in Environmental and Microbial Biotechnology 1–37 (Springer, 2022).
Fonseca-García, C. et al. Transcriptome analysis of the differential effect of the NADPH oxidase gene RbohB in Phaseolus vulgaris roots following Rhizobium tropici and Rhizophagus irregularis inoculation. BMC Genom. 20(1), 1–18 (2019).
Koundouros, N. & Poulogiannis, G. Reprogramming of fatty acid metabolism in cancer. Br. J. Cancer 122(1), 4–22 (2020).
Christie, W. W. & Harwood, J. L. Oxidation of polyunsaturated fatty acids to produce lipid mediators. Essays Biochem. 64(3), 401–421 (2020).
Siahbalaei, R., Kavoosi, G. & Noroozi, M. Manipulation of Chlorella vulgaris polyunsaturated ω-3 fatty acid profile by supplementation with vegetable amino acids and fatty acids. Phycol. Res. 69(2), 116–123 (2021).
Acknowledgements
The authors wish to extend their thanks and appreciation to Shiraz University Research and Technology Council as well as Shiraz University of Medical Sciences for their financial supports.
Author information
Authors and Affiliations
Contributions
T.M.H.: Investigation, Methodology, Writing—Original draft preparation, Data analysis, M.J.S.: Supervision, Validation, Funding acquisition, Reviewing, and Editing. G.K.: Methodology, Data analysis, Reviewing and Editing.
Corresponding author
Ethics declarations
Competing interests
The authors declare no competing interests.
Additional information
Publisher's note
Springer Nature remains neutral with regard to jurisdictional claims in published maps and institutional affiliations.
Rights and permissions
Open Access This article is licensed under a Creative Commons Attribution 4.0 International License, which permits use, sharing, adaptation, distribution and reproduction in any medium or format, as long as you give appropriate credit to the original author(s) and the source, provide a link to the Creative Commons licence, and indicate if changes were made. The images or other third party material in this article are included in the article's Creative Commons licence, unless indicated otherwise in a credit line to the material. If material is not included in the article's Creative Commons licence and your intended use is not permitted by statutory regulation or exceeds the permitted use, you will need to obtain permission directly from the copyright holder. To view a copy of this licence, visit http://creativecommons.org/licenses/by/4.0/.
About this article
Cite this article
Haghighi, T.M., Saharkhiz, M.J., Kavoosi, G. et al. Adaptation of Glycyrrhiza glabra L. to water deficiency based on carbohydrate and fatty acid quantity and quality. Sci Rep 13, 1766 (2023). https://doi.org/10.1038/s41598-023-28807-6
Received:
Accepted:
Published:
Version of record:
DOI: https://doi.org/10.1038/s41598-023-28807-6
This article is cited by
-
Assessment of Physio-biochemical Processes During Seed Filling in Lallemantia Species Under Drought Stress
Journal of Plant Growth Regulation (2025)
-
A comprehensive model for predicting the development of defense system of Capparis spinosa L.: a novel approach to assess the physiological indices
Scientific Reports (2023)
-
Microbial inoculants improve growth in Zea mays L. under drought stress by up-regulating antioxidant, mineral acquisition, and ultrastructure modulations
Symbiosis (2023)
-
Microbial inoculants alter resilience towards drought stress in wheat plants
Plant Growth Regulation (2023)








