Abstract
Background: Haematological patients with severe thrombocytopenia and high thrombotic risk face challenges related to balancing bleeding and thrombosis risks. This study investigated factors associated with bleeding and thrombosis in high-risk haematological oncology patients with severe thrombocytopenia not receiving anticoagulant therapy and characterized their clinical features when both events occurred. Methods: A total of 446 haematological oncology patients with Caprini scores ≥ 5 were included from July 2022 to June 2023 at Mianyang City Central Hospital. Those not receiving prophylactic anticoagulants due to an admission platelet count < 50 × 109/L were studied. Patients were categorized into bleeding/nonbleeding and thrombotic/nonthrombotic groups on the basis of hospital course. Relevant clinical data were collected, and univariate/multivariate logistic regression was used to analyse the influencing factors. The platelet count at admission was assessed via ROC curves for thrombosis prediction. Results: In the bleeding group, higher proportions of patients with leukaemia, myeloid tumours, lung infections, and a central venous catheter (CVC) with two lumens were observed, along with shorter catheter durations, lower initial and minimum platelet counts during hospitalization, and prolonged plasminogen times (all P < 0.05). The thrombotic group had a greater thrombosis history, initial platelet count, use of two venous catheter lumens, parenteral nutrition, sedation, and autologous haematopoietic stem cell transplantation (Auto-HSCT), with a lower leukaemia proportion (P < 0.05). Logistic regression identified lymphoma type and minimum platelet count as bleeding protective factors and the Charlson Comorbidity Index (CCI) score as an independent risk factor. Thrombosis history, two venous catheter lumens, and sedation were risk factors for thrombosis. The median platelet count was lower at bleeding and thrombosis than at admission (P = 0.007). The platelet count at admission had predictive value for thrombosis, especially severe thrombocytopenia, with an AUC of 0.735 (95% CI 0.613–0.858, P = 0.003) and a cut-off value of 42.5 × 109/L. Conclusions: For haematological neoplasm patients with a high risk of venous thromboembolism (VTE), severe thrombocytopenia and high CCI scores, risk prevention and control of bleeding take precedence over thrombosis prophylaxis. Prophylactic anticoagulation is still recommended for patients with lymphoma assessed at high risk for VTE and with platelet counts of at least 42.5 × 109/L.
Similar content being viewed by others
Introduction
Thrombosis is a common complication faced by all patients with malignant diseases1,2. The incidence of venous thromboembolism (VTE) in patients with haematological malignancies has been reported to range from 2.5–9.3%3. This is comparable to that of solid tumours. The incidence of bleeding in haematological malignant tumours can reach 20–51.3%4 because of the disease itself, therapeutic factors, abnormalities in coagulation and thrombocytopenia5,6. Therefore, patients with haematological malignancies are often challenged by the dual risks of bleeding and thrombosis at the same time. Especially when thrombocytopenia is known to be severe, thrombosis prophylaxis and treatment must be attempted to avoid and reduce the occurrence of bleeding events. This becomes a difficult clinical issue. Most existing guidelines support neutral and noninterventional strategies in the case of severe thrombocytopenia7,8,9,10, both in terms of thromboprophylaxis and interventional therapy when thrombosis occurs. Whether such treatment principles can effectively reduce the risk of bleeding and thrombosis has rarely been studied. There are also few clinical studies on the coexistence of thrombotic and bleeding events in haematological oncology patients. Therefore, how to balance the risks of thrombosis and bleeding in haematological oncology patients with high thrombotic risk and severe thrombocytopenia needs to be further explored. The aim of this study was to investigate the risk factors associated with the occurrence of bleeding and thrombosis in haematological oncology patients at high risk of thrombosis with severe thrombocytopenia in the absence of prophylactic anticoagulation. This study also examined the clinical features when bleeding and thrombosis coexisted. This study aimed to provide a basis and solutions for balancing, preventing and managing thrombosis and bleeding in such contradictory and challenging settings.
Methods
Study population
This study included 446 patients consecutively admitted to the Department of Hematology at Mianyang Central Hospital (Mianyang, China) from July 2022 to June 2023. These patients had a Caprini score of ≥ 5 and were not treated with prophylactic anticoagulant therapy because their minimum platelet count was < 50 × 109/L at the time of admission. The following are the inclusion criteria: (1) aged ≥ 15 years, (2) diagnosed with haematological malignancies, (3) a Caprini score ≥ 5, (4) a minimal platelet count < 50 × 109/L, (5) not prophylactically anticoagulated, (6) able to read and communicate normally, and (7) willing to participate. The following are the exclusion criteria: (1) mental illness or cognitive impairment, (2) poor compliance, (3) other malignant diseases, (4) those who reported missing important data or were unavailable, (5) those who opted to forgo treatment, and (6) those with a hospital stay of less than 24 h. A flow chart of patient screening (Fig. 1).
Flow chart of patient screening.
Clinical information
Basic clinical information and relevant factors relevant to thrombosis and bleeding reported in the literature were collected for all patients, including physical characteristics (gender, age, height, weight, body mass index (BMI)), health history (smoking, alcohol consumption, diabetes mellitus, hypertension, coronary artery disease, hyperlipidaemia, history of thrombosis), disease characteristics (types of haematological malignancies, cellular origin, lower limb oedema, septicaemia, lymph node mediastinal involvement, extranodal disease, coexisting pulmonary infection, Charlson Comorbidity Index (CCI) score, Caprini score), laboratory tests, diagnostic status (bedridden for > 72 h, intravenous catheter placement, erythropoietin (EPO), parenteral nutrition, steroids, immunomodulators, sedation, chemotherapy, Autologous Haematopoietic Stem Cell Transplantation (Auto-HSCT)), and patient survival outcomes3,4,11,12,13,14,15,16,17,18. The patients were divided into bleeding and nonbleeding groups according to whether bleeding occurred during hospitalization. The patients were divided into thrombotic and nonthrombotic groups according to whether thrombosis occurred.
Definitions
Severe thrombocytopenia was defined as a platelet count <50 × 109/L19.
Bleeding events are graded according to the Common Terminology Criteria for Adverse Events (CTCAE) 3.0 criteria, with grades 1–5.
A Caprini score of ≥5 was x bleeding symptoms but previous treatment with short-term tertiary or greater thrombocytopenia after medium- and high-dose chemotherapy.
Statistical methods
This study used SPSS 27.0 statistical software for statistical analysis. For one-way statistical analyses between the two groups, the normality of the sample data was first determined via the Kolmogorov–Smirnov normality test for continuous (quantitative) data. If the data were normally distributed, the independent samples t test was applied, and the mean ± standard deviation was used. If the data were not normally distributed, the Wilcoxon test was applied, and the median (interquartile spacing) was used. For categorical (qualitative) data, the χ2 test or Fisher’s exact test was applied, and frequencies (%) were used. Multiple analyses were performed by setting the variables with p values < 0.05 from the results of the univariate analyses in each group separately as independent variables and performing binary logistic regression analyses via the input method.
For descriptive statistical analysis, the normality of the sample data was determined via the Shapiro‒Wilk normality test for continuous (quantitative) data. The mean ± standard deviation was used if the data were normally distributed, and the median (IQR) was used if the data were not normally distributed. For categorical (qualitative) data, frequency (%) was used for statistical description. For the analyses of the three groups, for continuous (quantitative) data, the normality of the sample data was first determined via the Shapiro‒Wilk normality test. If the data conformed to a normal distribution, one-way ANOVA was applied, and the results are expressed as the means ± standard deviations. If the data were not normally distributed, the Kruskal‒Wallis H test was applied, and the median (quartiles) was used. For two-by-two comparisons, the independent samples Kruskal‒Wallis test was applied.
The ability of the platelet count at admission to predict thrombosis was evaluated by plotting an ROC curve. Differences were considered statistically significant when the two-sided p value was < 0.05.
Results
Clinical characterization of haematological oncology patients with a high risk of thrombosis suffering thrombosis and bleeding simultaneously or sequentially during the same hospital stay
Among the 1137 patients, 11 had thrombosis combined with haemorrhagic events. Most of the patients were male (63.74%), the median age was 52.09 ± 20.04 years, and the median BMI was 22.67 kg/m². In terms of health history, 27.27% of the patients had a history of thrombosis, 72.73% had no smoking habit, and 91.91% had no history of alcohol consumption or diabetes. All personnel had no history of hypertension, coronary heart disease, or hyperlipidaemia. In terms of disease characteristics, 54.55% of the patients had myeloid leukaemia, 90.91% had no lower limb oedema, 63.64% had no sepsis, 81.82% had no mediastinal involvement of the lymph nodes, and all had no extranodal disease; however, 72.73% had a combined lung infection. In this group, the median CCI score was 4, the median Caprini score was 6, and the ISTH DIC score was 5.33 ± 1.58. For the initial laboratory tests, the serum ALB concentration was 35.78 ± 4.90 g/L, the glomerular filtration rate (GFR) was 69.54 ± 32.67 mL/min, the median creatinine concentration was 70.50 µmol/L, and the median endogenous creatinine clearance rate (CCr) was 87.80 mL/min. The median platelet count during hospitalization was a minimum of 25 × 109/L. In terms of treatment status, 45.45% of patients were bedridden for more than 72 consecutive hours, 90.91% received EPO and immunomodulators, 63.64% were treated with parenteral nutrition and steroids, 72.73% received chemotherapy, 18.18% received sedation and Auto-HSCT, and 72.73% of the patients had an intravenous catheter placed, with the majority of the types of catheters being single lumen (62.50%) and a peripherally inserted central catheter (PICC) (75.00%), and the length of intravenous catheter retention was 105.88 ± 91.00 days. A total of 90.91% of the patients survived. With respect to the timing of bleeding and thrombus occurrence, thrombus occurred first in 45.45% (5/11) of patients, bleeding occurred first in 36.36% (4/11) of patients, and thrombus and bleeding occurred simultaneously in 18.18% (2/11) of patients (Table 1).
Laboratory findings at three different stages (admission, bleeding and thrombosis) were subjected to one-way ANOVA or the Kruskal‒Wallis H test. The results showed that the median platelet count was lower at the time of bleeding and thrombosis than at admission (23 vs. 26 vs. 161 × 109/L, H = 9.845, P = 0.007). A two-by-two comparison revealed that platelet counts were significantly lower during bleeding than at admission (Z = 12.455, P = 0.008) and during thrombosis than at admission (Z = 9.227, P = 0.075). There was no statistically significant difference in platelet counts during bleeding versus thrombosis (23 vs. 26 × 109/L, Z=-3.227, P = 1.000). The median white blood cell count was lower during bleeding than during thrombosis and at baseline, but the difference was not statistically significant (1.48 vs. 3.54 vs. 10.52 × 109/L, H = 3.416; P = 0.181). The median neutrophil granulocyte count (NEUT) was lower during bleeding than during thrombosis and at baseline, but the difference was not statistically significant (1.07 vs. 2.15 vs. 8.71 × 109/L, H = 4.065; P = 0.131). D-dimer was significantly lower during bleeding than during thrombosis and baseline (1.40 vs. 3.68 vs. 3.20 µg/L, H = 0.129, P = 0.938) (Tables 2 and 3).
Comparison of the clinical characteristics of haemato-oncology patients with bleeding (bleeding group) and without bleeding (nonbleeding group) among those with high Caprini scores and those who were not treated with prophylactic anticoagulant agents due to severe thrombocytopenia
Among the 446 patients included, 284 did not experience bleeding, and 162 (36.32%) did. The bleeding group had a higher percentage of leukaemia (80.25% vs. 63.03%, P < 0.001), higher percentage of myeloid tumours (77.16% vs. 65.49%, P = 0.025), higher rate of lung infections (64.81% vs. 50.70%, P = 0.004), higher percentage of indwelling intravenous catheters central venous catheter (CVC) (18.09% vs. 5.52%, P = 0.001), higher proportion of 2 intravenous catheter lumens (23.80% vs. 12.88%, P = 0.030), shorter length of time with the intravenous catheter (60 vs. 89 days, P = 0.015), lower initial platelet and minimum platelet counts during hospitalization (20 vs. 39.5 × 109/L, 6 vs. 14 × 109/L, P < 0.001), longer prothrombin time (PT) (12 vs. 11.7, P = 0.031), and significant difference in the CCI score (Z=-3.266, P = 0.001). The other variables were not statistically significant (Table 4).
Comparison of the clinical characteristics of haemato-oncology patients with thrombosis (thrombotic group) and without thrombosis (nonthrombotic group) and those with high Caprini scores who were not treated with prophylactic anticoagulant agents due to severe thrombocytopenia
Among the 446 patients included, 432 did not have thrombosis, and 14 (3.14%) had thrombosis. The thrombotic group had a greater proportion of patients with a history of thrombosis (35.71% vs. 3.24%, P < 0.001), a greater initial platelet count (76 vs. 31 × 109/L, P = 0.003), and a greater proportion of patients with 2 venous catheter lumens (70.00% vs. 14.57%, P < 0.001). More patients in the thrombotic group were treated with parenteral nutrition (57.14% vs. 22.22%, P = 0.007), sedation (14.29% vs. 0.69%, P = 0.009), and Auto-HSCT (28.57% vs. 3.01%, P = 0.004). There were fewer leukaemia patients in the thrombotic group (35.71% vs. 70.37%, P = 0.006), and the remaining patients were not significantly different (Table 4).
Multifactorial analysis of risk factors associated with the occurrence of bleeding and thrombotic events in haemato-oncology patients with high Caprini scores who were not treated with prophylactic anticoagulant agents due to severe thrombocytopenia
Univariate analysis revealed that haematological malignancy type, cellular origin, coinfection of the lungs, CCI score, initial platelet count, initial PT, minimum platelet count, types of intravenous catheter, lumen numbers of the intravenous catheter, and length of time the intravenous catheter was left in place may be risk factors for bleeding. These variables were set as independent variables and analysed via binary logistic regression via the input method with the inclusion criterion P < 0.05 and exclusion criterion P > 0.1. The results revealed that lymphoma type (OR = 0.122, 95% CI 0.029–0.524, P = 0.005) and the minimum platelet count (OR = 0.925, 95% CI 0.893–0.959, P < 0.001) were protective factors against bleeding. The CCI score (OR = 1.331, 95% CI 1.049–1.687, P = 0.018) was an independent risk factor for bleeding.
Univariate analysis revealed that thrombosis history, haematological malignancy type, initial platelet count, number of venous catheter lumens, parenteral nutrition, sedation, and Auto-HSCT may be risk factors for thrombosis. They were set as independent variables and analysed via binary logistic regression via the input method with the inclusion criterion P < 0.05 and the exclusion criterion P > 0.1. The results revealed that thrombosis history (OR = 17.284, 95% CI 1.666–179.291, P = 0.017), 2 venous catheter lumens (OR = 7.852, 95% CI 1.025–60.169, P = 0.047), and sedation treatment (OR = 34.969, 95% CI 1.582–772.771, P = 0.024) were independent risk factors for thrombosis (Table 5).
Predictive efficacy of platelet count on admission in patients with high Caprini scores who are not treated with prophylactic anticoagulant agents due to severe thrombocytopenia
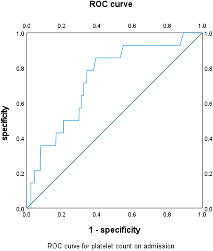
An ROC curve was constructed for platelet counts on admission in 446 included patients with high Caprini scores who were not treated with prophylactic anticoagulant agents because of thrombocytopenia.
ROC curves were used to analyse and evaluate the predictive value of the platelet count on admission for thrombosis events in this group of patients. The area under the ROC curve (AUC) was 0.735 (95% CI 0.613–0.858, P = 0.003), the sensitivity was 85.7%, the specificity was 60.6%, and the cut-off value was 42.5 × 109/L. The platelet count on admission has good value for predicting thrombosis in patients with high Caprini scores who are not treated with prophylactic anticoagulant agents due to severe thrombocytopenia (Fig. 2).
ROC curve for platelet count on admission.
Discussion
Bleeding and thrombosis are two adverse events that patients with haematological malignancies often experience. Previous studies on thrombosis in haematological tumours have focused mainly on the mechanisms of thrombosis, prevention, treatment strategies for recurrence, risk factors and risk prediction models. Most clinical studies8,20,21 excluded patients with platelet counts < 50 × 109/L. These patients, especially those with haematological malignancies, are often at high risk of both bleeding and thrombosis, making it difficult to make clinical decisions, and may face very serious consequences. The 446 patients accounted for 39.23% of the haemato-oncology patients admitted with a high risk of thrombosis during the same hospitalization. This suggests that a significant proportion of haematological oncology patients may face such a dilemma where present guidelines and a consensus cannot provide specific treatment recommendations.
For the 446 patients with haematological neoplasms included in this study, the analysis of risk factors associated with bleeding and thrombosis revealed that prolonged prothrombin time and disease types such as leukaemia may be risk factors for bleeding. This finding is consistent with those of Ting Liang, Woodruff and Bonlokke et al.5,22,23. In terms of risk factors for thrombotic events, the findings of the present study differ from those of several studies3,24,25,26. This study did not suggest that age and chemotherapy were related to thrombotic events. The reason may be the heterogeneity of the included subjects, ethnicity, and chemotherapy regimens for different diseases. Univariate analysis revealed that different haematological tumour types, initial platelet counts, and indwelling 2-lumen intravenous catheters were common risk factors for bleeding and thrombosis. Multiple analyses revealed that among haematological neoplasms, lymphoma and the lowest platelet count during hospitalization were protective factors for bleeding, and the CCI score was an independent risk factor for bleeding. Thrombosis history, indwelling 2-lumen intravenous catheters, and sedation treatment were independent risk factors for thrombosis. The predictive effects of thrombosis history, indwelling 2-lumen intravenous catheters, and sedation treatment on thrombotic events have been demonstrated in several clinical studies4,11,14,27,28. Multiple analyses suggest that lymphoma is a protective factor against bleeding among different diseases. Compared with lymphoma, leukaemia and myeloma are more prone to bleeding events. In this group of patients, 54.55% of patients with coexisting bleeding and thrombosis had myeloid tumours. This is related to the fact that patients with acute leukaemia or myelodysplastic syndrome tend to have thrombocytopenia and are more likely to have an abnormal coagulation function. However, patients with multiple myeloma may suffer severe bleeding due to increased blood viscosity or impaired antibody-mediated coagulation factors5. In a study on a population with nonvariceal upper gastrointestinal bleeding (NVUGIB) occurring during treatment with oral anticoagulants (OACs), Kim et al.29 noted that the CCI was a significant risk factor for the development of rebleeding in upper gastrointestinal bleeding patients. This finding is similar to the findings of this study, suggesting that the CCI is an independent risk factor for bleeding in patients with high-risk Caprini scores and those who are unanticoagulated due to severe thrombocytopenia. Our analysis revealed that the most common complication among the 162 patients with bleeding was infection, which occurred in 82.72% of the patients. Among these patients, 64.81% had a combined grade 3 or higher lung infection, implying that infection may be an important risk factor for bleeding in unanticoagulated patients with high risk Caprini scores because of thrombocytopenia.
The coexistence of thrombosis and bleeding is known as thrombohemorrhagic syndrome (TSH)30,31. As reported in the literature, the incidence of TSH in cancer patients is as high as 14.3%, with a mortality rate of 4.4%32. No relevant clinical reports of TSH in haematological tumours have been published to date. This study is the first to present the clinical characteristics of high Caprini score, high-risk haematological oncology patients who developed thrombosis and bleeding during the same hospitalization. The incidence of thrombosis and bleeding syndrome in this group of haematological neoplasms was 9.67%, and the mortality rate was 0.88%. Compared with other haematological neoplasms, leukaemia is more prone to TSH. This is related to the fact that leukaemia is associated with thrombocytopenia and high thrombotic risk due to oncological disease16. In addition, 72.73% of the patients in this cohort had a combination of grade 3 or higher lung infection and indwelling venous catheters. These findings are related to high risk factors for both bleeding and thrombosis and are in line with the literature3,11,33. In this group of patients, the median platelet count at the time of thrombosis and bleeding was < 30 × 109/L. This finding suggests that a reduction in platelet count does not imply a reduction in thrombotic risk, which is consistent with the findings of several other studies9,34,35,36. Bleeding and thrombosis are influenced by multiple factors. On the one hand, thrombocytopenia suggests an increased risk of bleeding; on the other hand, thrombotic events may still occur during severe thrombocytopenia.
There have been several guidelines for the management of cancer-associated thrombosis (CAT)9,20,37,38,39 in recent years, but the management of thromboprophylaxis in oncology patients with thrombocytopenia (TP) is somewhat divergent. The European Haematology Association (EHA)40 recommends graded management strategies on a case-by-case basis and, by degrees of thrombocytopenia, the National Cancer Institute Common Terminology Criteria for Adverse Events (NCI CTCAE). For grade 3 thrombocytopenia (PLT < 50 to 25 × 109/L), the International Society on Thrombosis and Haemostasis (ISTH) and National Comprehensive Cancer Network (NCCN) guidelines9,41 recommend a 50% reduction in anticoagulation agents. The International Initiative on Thrombosis and Cancer (ITAC) guidelines39 recommend individualized treatment. Multiple guidelines9,37,39,40,41 agree that anticoagulation should be discontinued in patients with grade 4 thrombocytopenia (PLT < 25 × 109/L). The Hokusai test, the Caravaggio test and the SELECT-D test suggested that different anticoagulants should be used only when the platelet count is > 50 × 109/L, 75 × 109/L and 100 × 109/L, respectively42. Although the study by Houghton et al.19 concluded that anticoagulation should be discontinued during periods of severe thrombocytopenia (< 50 × 109/L) in haematological oncology patients to reduce adverse events, the NCCN guidelines41 also state that prophylactic anticoagulation is unsafe in patients with AML who have platelet counts < 50 × 109/L.
However, our study revealed that when haematological oncology patients with high Caprini scores are admitted to the hospital, there is still a high risk of thrombosis even if the platelet count reaches 42.5 × 109/L or higher; therefore, prophylactic anticoagulation should still be considered. Compared with patients with other haematological tumours, patients with lymphoma may have a greater thrombotic risk when they are at dual risk of both thrombosis and bleeding. Presumably, whether this threshold can be further lowered for lymphoma patients deserves further exploration.
This study has several limitations. On the one hand, the study was a retrospective, single-centre analysis. Factors such as biomarkers, chemotherapy regimens, and other potentially relevant factors reported in the literature were not analysed in this study because of sample size limitations and some missing information. We also did not stratify the studies for factors such as haematological tumour type, degree of thrombocytopenia or bleeding. To explore these issues further, subsequent studies could be stratified by expanding the sample size. On the other hand, this study was initiated on the basis of the current state of the clinical environment. Under the VTE prevention system intervention, certain basic or physical prophylactic measures have been routinely taken in this group of medical records. Moreover, the diagnosis of thrombosis is based on imaging, which may miss some asymptomatic venous thromboembolism patients, which may have some impact on thrombosis judgement and prevention. To further validate these effects, future studies could be explored in prospective cohort studies.
Conclusions
In conclusion, in those with haematological malignancies other than lymphoma and a high risk for VTE combined with severe thrombocytopenia, especially those with a high CCI score, bleeding risk prevention and control takes precedence over thrombosis prophylaxis. Prophylactic anticoagulation should be recommended for lymphoma patients, especially those with a high risk of VTE and platelet counts of at least 42.5 × 109/L. In conclusion, for haematological oncology patients assessed as having a high risk for VTE in combination with a reduced platelet count, how to balance thrombosis and bleeding risk is not an uncommon and tricky clinical dilemma that deserves more in-depth discussion.
Data availability
The data generated or analyzed during this study are all included in this published article. For any further inquiries, please feel free to contact the corresponding author.
Abbreviations
- CVC:
-
Central venous catheter
- Auto-HSCT:
-
Autologous haematopoietic stem cell transplantation
- VTE:
-
Venous thromboembolism
- BMI:
-
Body mass index
- CCI:
-
Charlson comorbidity index
- EPO:
-
Erythropoietin
- GFR:
-
Glomerular filtration rate
- CCr:
-
Endogenous creatinine clearance rate
- PICC:
-
Peripherally inserted central catheter
- NEUT:
-
Neutrophil granulocyte count
- NVUGIB:
-
N0n-variceal upper gastrointestinal bleeding
- OAC:
-
Oral anticoagulants
- TSH:
-
Thrombohemorrhagic syndrome
- CAT:
-
Cancer-associated thrombosis
- TP:
-
Thrombocytopenia
- EHA:
-
European Hematology Association
- NCICTCAE:
-
National Cancer Institute Common Terminology Criteria for Adverse Events
- ISTH:
-
International Society on Thrombosis and Haemostasis
- NCCN:
-
National Comprehensive Cancer Network
- ITAC:
-
International Initiative on Thrombosis and Cancer
References
Moik, F., Ay, C. & Pabinger, I. Risk prediction for cancer-associated thrombosis in ambulatory patients with cancer: past, present and future. Thromb. Res.191(Suppl 1), S3–11 (2020).
Mulder, F. I. et al. Venous thromboembolism in cancer patients: a population-based cohort study. Blood. 137(14), 1959–1969 (2021).
Bakalov, V. et al. Risk factors for venous thromboembolism in hospitalized patients with hematological malignancy: an analysis of the National Inpatient Sample, 2011–2015. Leuk. Lymphoma. 61(2), 370–376 (2020).
Wang, T. F., Leader, A. & Sanfilippo, K. M. Thrombosis and bleeding in hematological malignancy. Best Pract. Res. Clin. Haematol.35(1), 101353 (2022).
Bonlokke, S. T., Ommen, H. B. & Hvas, A. M. Altered fibrinolysis in Hematological Malignances. Semin Thromb. Hemost.47(5), 569–580 (2021).
Al-Samkari, H. & Connors, J. M. Managing the competing risks of thrombosis, bleeding, and anticoagulation in patients with malignancy. Blood Adv.3(22), 3770–3779 (2019).
Khorana, A. A. et al. Cancer-associated venous thromboembolism. Nat. Rev. Dis. Primers. 8(1), 11 (2022).
Lyman, G. H. et al. American Society of Hematology 2021 guidelines for management of venous thromboembolism: prevention and treatment in patients with cancer. Blood Adv.5(4), 927–974 (2021).
Samuelson, B. B. et al. Management of cancer-associated thrombosis in patients with thrombocytopenia: guidance from the SSC of the ISTH. J. Thromb. Haemost. 16(6), 1246–1249 (2018).
Livneh, N. et al. Anticoagulation in patients with atrial fibrillation, thrombocytopenia and hematological malignancy. J. Thromb. Thrombolysis. 52(2), 590–596 (2021).
Li, L. et al. The risk factors for deep venous thrombosis in critically ill older adult patients: a subgroup analysis of a prospective, multicenter, observational study. BMC Geriatr.22(1), 977 (2022).
Martella, F. et al. Frequency and risk factors for thrombosis in acute myeloid leukemia and high-risk myelodysplastic syndromes treated with intensive chemotherapy: a two centers observational study. Ann. Hematol.101(4), 855–867 (2022).
Olivi, M. et al. Thrombosis in acute myeloid leukemia: pathogenesis, risk factors and therapeutic challenges. Curr. Treat. Options Oncol.24(6), 693–710 (2023).
Chen, L., Zen, K. Y., Yao, H. & Chen, D. Research progress of characteristics, prevention and treatment of venous thrombosis in hematological malignancies patients. Int. J. Blood Transfus. Hematol.45(4), 346–352. https://doi.org/10.3760/cma.i.cn511693-20220509-00068 (2022). (in Chese).
Chen, X., Huang, J., Liu, J., Deng, H. & Pan, L. Venous thromboembolism risk factors and prophylaxis of elderly intensive care unit patients in a Chinese general hospital. Ann. Palliat. Med.10(4), 4453–4462 (2021).
Breccia, M. & Lo, C. F. Thrombo-hemorrhagic deaths in acute promyelocytic leukemia. Thromb. Res.133(Suppl 2), S112–S116 (2014).
Gómez-Cuervo, C. et al. Predicting the risk for major bleeding in elderly patients with venous thromboembolism using the Charlson index. Findings from the RIETE. J. Thromb. Thrombolysis. 51(4), 1017–1025 (2021).
Sanfilippo, K. M. Venous thromboembolism and risk stratification in hematological malignancies. Thromb. Res.213(Suppl 1), S16–21 (2022).
Houghton, D. E. et al. Analysis of anticoagulation strategies for venous thromboembolism during severe thrombocytopenia in patients with hematologic malignancies: a retrospective cohort. Leuk. Lymphoma. 58(11), 2573–2581 (2017).
Key, N. S. et al. Venous thromboembolism prophylaxis and treatment in patients with Cancer: ASCO Clinical Practice Guideline Update. J. Clin. Oncol.38(5), 496–520 (2020).
Farge, D. et al. 2019 international clinical practice guidelines for the treatment and prophylaxis of venous thromboembolism in patients with cancer. Lancet Oncol.20(10), e566–e581 (2019).
Liang, T. et al. Analyzing and predicting the risk of hemorrhage induced by rivaroxaban. Chin. J. Hosp. Pharm.https://doi.org/10.13286/j.1001-5213.2021.03.09 (2021). (in Chese).
Woodruff, A. E., Wovkulich, M. M., Mogle, B. T. & Hassan, A. K. Association between prothrombin time and bleeding in hospitalized patients receiving rivaroxaban. Am. J. Health Syst. Pharm.75(22), 1783–1789 (2018).
Elshoury, A., Schaefer, J. K., Lim, M. Y., Skalla, D. P. & Streiff, M. B. Update on guidelines for the prevention of cancer-associated thrombosis. J. Natl. Compr. Canc Netw.20(13), 1–8 (2022).
Jarchowsky, O., Avnery, O. & Ellis, M. H. Thrombosis in multiple myeloma: mechanisms, risk assessment and management. Leuk. Lymphoma. 64(12), 1905–1913 (2023).
Mornet, C., Galinat, H., Mingant, F., Ianotto, J. C. & Lippert, E. Thromboses et thrombopathies dans les syndromes myéloprolifératifs [Thrombosis and platelet dysfunction in myeloproliferative neoplasms]. Rev. Med. Interne. 41(5), 319–324 (2020).
Paterno, G. et al. Predictors of early thrombotic events in adult patients with Acute myeloid leukemia: a real-world experience. Cancers. 14(22), 5640 (2022).
Chinese Chapter of the International of Angiology; Peripheral Vascular Disease Chapter, Chinese Geriatrics Society. Chinese expert consensus on prevention and treatment catheter related venous thrombosis (2020 edition). Chin. J. Practical Surg.04(40), 377–383. https://doi.org/10.19538/j.cips.issn1005-2208.2020.04.03 (2020). (in Chese).
Kim, W. S. et al. Re-bleeding and all-cause mortality risk in non-variceal upper gastrointestinal bleeding: focusing on patients receiving oral anticoagulant therapy. Ann. Med.55(2), 2253822 (2023).
Falanga A, Rickles FR. Management of Thrombohemorrhagic Syndromes (THS) in hematologic malignancies. Hematol. Am. Soc. Hematol. Educ. Program. 165–171. https://doi.org/10.1182/asheducation-2007.1.165 (2007).
Castelli, R., Ferrari, B., Cortelezzi, A. & Guariglia, A. Thromboembolic complications in malignant haematological disorders. Curr. Vasc Pharmacol.8(4), 482–494 (2010).
Павловский, Д. П. & Han, Z. W. Thrombotic haemorrhagic syndrome in tumour patients. Int. J. Blood Transfus. Hematol.05(4), 237–239 (1982). (in Chese).
Yanada, M. et al. Severe hemorrhagic complications during remission induction therapy for acute promyelocytic leukemia: incidence, risk factors, and influence on outcome. Eur. J. Haematol.78(3), 213–219 (2007).
Samuelson, B. B., Walter, R. B., Gernsheimer, T. B. & Garcia, D. A. Patients treated for acute VTE during periods of treatment-related thrombocytopenia have high rates of recurrent thrombosis and transfusion-related adverse outcomes. J. Thromb. Thrombolysis. 44(4), 442–447 (2017).
Cortelezzi, A. et al. Incidence of thrombotic complications in patients with haematological malignancies with central venous catheters: a prospective multicentre study. Br. J. Haematol.129(6), 811–817 (2005).
Refaei, M. et al. Incidence of catheter-related thrombosis in acute leukemia patients: a comparative, retrospective study of the safety of peripherally inserted vs. centrally inserted central venous catheters. Ann. Hematol.95(12), 2057–2064 (2016).
Falanga, A. et al. Venous thromboembolism in cancer patients: ESMO Clinical Practice Guideline. Ann. Oncol.34(5), 452–467 (2023).
Streiff, M. B. et al. Update on guidelines for the management of Cancer-Associated thrombosis. Oncologist. 26(1), e24–40 (2021).
Farge, D. et al. 2022 international clinical practice guidelines for the treatment and prophylaxis of venous thromboembolism in patients with cancer, including patients with COVID-19. Lancet Oncol.23(7), e334–e347 (2022).
Falanga, A. et al. EHA guidelines on management of antithrombotic treatments in thrombocytopenic patients with Cancer. Hemasphere. 6(8), e750 (2022).
Streiff, M. B. et al. Cancer-Associated venous thromboembolic Disease, Version 2.2021, NCCN Clinical Practice guidelines in Oncology. J. Natl. Compr. Canc Netw.19(10), 1181–1201 (2021).
Moik, F., Makatsariya, A. & Ay, C. Challenging anticoagulation cases: cancer-associated venous thromboembolism and chemotherapy-induced thrombocytopenia - a case-based review of clinical management. Thromb. Res.199, 38–42 (2021).
Acknowledgements
We are grateful to the Hematology Department of Mianyang Central Hospital for helping to collect the data used in this study.
Funding
This study was supported by a research project from the HealthHumanities Research Center of China (J KRWZ23-04) and the Sichuan Tianfu Aging Industry Development Research Centre of China (TFLLCY2331).
Author information
Authors and Affiliations
Contributions
JW and FX collaborated on the development of the study. MG was involved in topic selection and design,BC coordinated the resources and supervised the implementation. MG, SW, QS, QL, JY, LZ, MY, JT, DY, YX obtained data and cleared up the datasets. JW completed the data analyses and drafted the manuscript, which was guided and revised by FX. All authors approved the final manuscript.
Corresponding author
Ethics declarations
Ethics approval and consent to participate
The studies involving human participants were reviewed and approved by Mianyang Central Hospital (Mianyang, China; approval no. S-2024-0208-01). The patients/participants provided written informed consent to participate in this study. All methods were performed in accordance with the relevant guidelines and regulations, including the Declaration of Helsinki.
Consent for publication
All authors consent to publication.
Competing interests
The authors declare no competing interests.
Additional information
Publisher’s note
Springer Nature remains neutral with regard to jurisdictional claims in published maps and institutional affiliations.
Rights and permissions
Open Access This article is licensed under a Creative Commons Attribution-NonCommercial-NoDerivatives 4.0 International License, which permits any non-commercial use, sharing, distribution and reproduction in any medium or format, as long as you give appropriate credit to the original author(s) and the source, provide a link to the Creative Commons licence, and indicate if you modified the licensed material. You do not have permission under this licence to share adapted material derived from this article or parts of it. The images or other third party material in this article are included in the article’s Creative Commons licence, unless indicated otherwise in a credit line to the material. If material is not included in the article’s Creative Commons licence and your intended use is not permitted by statutory regulation or exceeds the permitted use, you will need to obtain permission directly from the copyright holder. To view a copy of this licence, visit http://creativecommons.org/licenses/by-nc-nd/4.0/.
About this article
Cite this article
Wang, J., Gou, M., Xu, F. et al. Clinical analysis of bleeding and thrombotic events in haematological-oncology patients with severe thrombocytopenia and a high risk of thrombosis. Sci Rep 14, 24272 (2024). https://doi.org/10.1038/s41598-024-75895-z
Received:
Accepted:
Published:
Version of record:
DOI: https://doi.org/10.1038/s41598-024-75895-z




