Abstract
The objective of this study was to investigates the influence of selenium and anthocyanin on the growth performance, apparent digestibility, antioxidant and immune parameters, lipid metabolism, biochemical and hormone parameters, rumen fermentation, and rumen microbiota compositions of goat doe. A total of forty-eight goat does (pregnant for 98 d) with similar body weights (45.35 ± 5.70 kg; mean ± SD) were randomly divided into four groups with 6 replicates, with 2 goats for each replicate according to a completely randomized design. The experimental period lasted for 42 d, which consisted of a pretrial period of 7 d and a formal period of 35 d. The four diets were as follows: (1) negative control, basal diet (CON); (2) positive control 1, CON with 4.8 mg/kg selenium-yeast (Se); (3) positive control 2, CON with 50 mg/kg purple corn anthocyanin pigment (PCP, An); and (4) treatment, CON with 4.8 mg/kg selenium-yeast + 50 mg/kg PCP (SeAn). The results indicated that the apparent digestibilities of crude protein and phosphorus in the goats receiving Se, An, and SeAn were greater (p < 0.05) than those in the CON group. The addition of SeAn resulted in higher (p < 0.05) levels of superoxide dismutase and catalase and lower (p < 0.05) concentrations of glucose and malondialdehyde than those in the CON group. In addition, compared with the CON group, the groups receiving Se, An, and SeAn presented higher (p < 0.05) immunoglobulin A levels. Compared with the other three groups, the SeAn group had lower (p < 0.05) creatinine and total cholesterol levels and higher (p < 0.05) progesterone levels. Compared with the CON group, the An and SeAn treatment groups presented showed lower (p < 0.05) levels of acetic acid and a lower ratio of acetate to propionate, whereas they presented higher (p < 0.05) levels of propionic acid and butyric acid. Moreover, compared with the other treatments, dietary supplementation with SeAn decreased (p < 0.05) the relative abundance of Verrucomicrobiota at the phylum level. Goats receiving An and SeAn showed increased (p < 0.05) relative abundances of Ruminococcus and Butyrivibrio in ruminal fluid compared to the CON group at the genus level. Collectively, the results of the current study indicate that dietary supplementation with SeAn can improve the apparent digestibility, antioxidant activity, immune activity, lipid metabolism, hormone, and rumen fermentation parameters and microbiota compositions of goat doe.
During the perinatal period, goat does are prone to a loss of balance between cellular redox and endogenous antioxidant capacity, which causes a series of cell and tissue damage and ultimately induces oxidative stress (OS) in the body1. This is because the increased nutritional needs of goat does necessitate the use of body fat oxidation for energy supply, accompanied by the production of a large amount of free fatty acids, free radicals (FRs), or reactive oxygen species (ROS)1. Concurrently, OS reduces the immune performance, production performance, and reproductive performance of goat does, leading to secondary diseases such as retained placenta and mastitis, which severely affect breeding efficiency2. Thus, OS is a harmful redox imbalance in the body of goat does and is the main factor that induces various nutritional metabolic diseases1. How to effectively alleviate OS in perinatal goat does has become an urgent technical problem to be solved.
The dietary inclusion of functional amino acids, fatty acids, and feed additives (e.g., herbs, natural antioxidants, prebiotics, and probiotics) is regarded as the key nutritional strategy for enhancing antioxidant functions and mitigating OS status in goats3,4. Selenium (Se) is among the most important essential micronutrient elements in goats and is the focal element of numerous FR elimination enzymes, both of which are important roles in maintaining an organism’s antioxidation ability5,6. Thus, because of the excessive economic losses caused by Se deficiency in the livestock industry, Se can increase the antioxidant potential in ruminants, and Se is frequently supplemented in ruminant animals7. Alternatively, Se can protect cells from excessive accumulation of ROS, thereby boosting immune function and antioxidant activity in ruminants. For example, Kachuee et al.8 reported that supplementation with Se increases the serum Se concentration and subsequently increases immune function by elevating blood immunoglobulin G levels during the perinatal stage in Merghoz goats. In addition, Barcelos et al.9 reported that the consumption of Se could improve lipid metabolism parameters by decreasing total cholesterol (TCH) and high-density lipoprotein cholesterol (HDL-C) levels and improve immune and antioxidant functions by increasing the total protein content of dairy goats during the peripartum period. Anthocyanins are a major source of polyphenol compounds, which are strong natural antioxidants that widely exist in natural plants and food fields10,11. Previous studies have shown that anthocyanins in extracts can be degraded in the rumen, but remnant anthocyanins can bypass the rumen to reach the small intestine, some anthocyanins can form a cycle in the liver in which bile salt is secreted into the small intestine and then absorbed into the tissue and metabolites in ruminants12. Specifically, anthocyanins can enhance the antioxidant status because they can not only reduce FRs with multiple hydroxyl groups but also prevent oxidative damage to DNA from hydroxyl radicals in ruminants13,14. In addition, anthocyanins can inhibit the expression of various transcription factor genes, such as nuclear factor kappa-B (NF-κB), increase the activity of superoxide dismutase (SOD) and glutathione peroxidase (GPX) enzymes, and improve antioxidant activity in ruminants15. Feng et al.16 reported that the inclusion of anthocyanin extract increases blood TAC, SOD, GPX, catalase (CAT), immunoglobulin G (IgG), and immunoglobulin M (IgM) concentrations and improves the antioxidant capacity and immune function of goats. Similarly, Zhang et al.17 reported that dietary supplementation with anthocyanins from Dioscorea alata L. increases blood total antioxidant capacity (TAC), SOD, and GPX concentrations and decreases malondialdehyde (MDA) concentrations, thus enhancing the antioxidant properties of perinatal Hainan black goats. Hence, the feeding of anthocyanin-rich feed could enhance antioxidant potential and minimize both economic and environmental expenses in ruminants18. Hence, from a practical and economic perspective, the use of Se and anthocyanins as strategies for mitigating OS status and inflammation by scavenging FRs and enhancing antioxidant activity can improve ruminant health715,.
In addition to the antioxidative protection provided by individual dietary antioxidants, strong evidence indicates that additive and synergistic interactions occur among antioxidants. Interestingly, polyphenols may be responsible for synergism with other natural antioxidants, such as high 2,2-diphenyl-1-picryl-hydrazyl (DPPH) radical activity and antioxidant activity in vitro19. For example, Sentkowska and Pyrzyńska20 reported that tea polyphenols and Se have multiple similar antioxidant functions, and the combined effect of the two is stronger than the individual effects alone. Specifically, some studies have shown that Se and anthocyanins exhibit protective effects against OS status, increase antioxidant functions in animals, and exhibit synergistic effects21,22. However, to the best of our knowledge, little is known about the in vivo effects of anthocyanins and Se in goats. We hypothesized that Se and anthocyanins could improve the antioxidant potential, rumen fermentation, and microflora in goats. Accordingly, the purpose of this research was to observe the effects of Se and anthocyanins on antioxidant activity, immune activity, lipid metabolism, hormone levels, rumen fermentation parameters, and rumen microbiota composition in goats.
Materials and methods
Ethical approval
All animal procedures are reported in accordance with ARRIVE guidelines (https://arriveguidelines.org). All experimental goat manipulations were performed in accordance with the relevant guidelines and regulations of the Fuxing Animal Husbandry Goat Farm (Xishui, China). All experimental animal care procedures were approved by the Rules of Animal Welfare and Experimental Animal Ethics of Guizhou University (EAE-GZU-2023-T148), Guizhou, China.
Materials
The purple corn anthocyanin pigment (PCP) was obtained from Nanjing Herd Source Biotechnology Co., Ltd. (Nanjing, China). The PCP contains 2619 µg/g anthocyanin as determined by high-performance liquid chromatography‒tandem mass spectrometry according to our previous study23. Selenium-yeast (SY) was purchased from Jiangsu Qianbo Bioengineering Co., Ltd. (Jiangsu, China), and the main Se chemical forms were selenomethionine and selenocysteine, with a Se concentration of 2000 ppm.
Animals, diets, and experimental design
The general required concentration of Se in the basal diet is 0.1–0.3 mg/kg24, but the maximum tolerable concentration of Se is 5.0–8.0 mg/kg in ruminants25. Our previous study demonstrated that supplementation with 4.8 mg/kg SY did not cause goat poisoning and could improve antioxidant activity and fatty acid, amino acid, and meat quality in growing goats26. In addition, Wang et al.27 reported that dietary supplementation with 4.8 mg/kg SY increased antioxidant and immune functions by improving muscle immunity and reducing the concentrations of inflammatory molecules in goats. Alternatively, supplementation with 50 mg/kg PCP could improve blood antioxidant activity, ruminal fluid fermentation, and the microbiota in goats28. Further research revealed that supplementation with 50 mg/kg PCP could increase muscle antioxidant activity and improve polyunsaturated fatty acid levels and meat quality in goats23. However, the effects of high levels of SY (4.8 mg/kg) and PCP on antioxidant activity, rumen fermentation, and microbiota composition during the perinatal stage in goats remain unknown. Therefore, on the basis of our previous studies, a total of 48 Qianbei pockmarked goat does (pregnant for 98 d) with similar body weights (45.35 ± 5.70 kg; mean ± SD) were randomly divided into four groups with 6 replicates, with 2 goats for each replicate according to a completely randomized design. All Qianbei pockmarked goat does were provided by the Fuxing Animal Husbandry Goat Farm. All the goats were kept in pens, and each pen housed 2 experimental animals. The four diets were as follows: (1) negative control, basal diet (CON); (2) positive control 1, basal diet with 4.8 mg/kg SY (Se); (3) positive control 2, basal diet with 50 mg/kg PCP (An); and (4) treatment, basal diet with 4.8 mg/kg SY + 50 mg/kg PCP (SeAn). The experimental feeding period lasted for 42 d, which consisted of a pretrial period of 7 d and a formal period of 35 d. All experimental animals were allowed ad libitum access to feed daily at 08:00 and 17:00, and water was taken freely. The nutrient requirements of the experimental animals were based on the NRC29, and the chemical compositions of the basal diet are shown in Table 1.
Chemical composition
The chemical compositions of dry matter (DM; method 934.01), crude protein (CP; method 988.05), ether extract (EE; method 920.39), neutral detergent fibre (NDF; method 2002.04), acid detergent fibre (ADF; method 973.18), calcium (Ca; method 927.02), and phosphorus (P; method 964.06) of the feed were analysed according to the method of the AOAC30. The gross energy (GE) was detected using an automatic bomb calorimeter.
Temperature-humidity index
The air temperature and relative humidity in the rabbit pen were observed every day at 06:00, 12:00, 16:00, and 22:00 by a digital temperature-humidity recorder (DL336001; Deli Group Co., Ltd., Ningbo, China). The temperature-humidity index (THI) was calculated according to the following formula31: THI = (1.8 × AT + 32) - [(0.55–0.0055 × RH) × (1.8 × AT–26)], where THI is the temperature-humidity index, AT is the air temperature (℃), and RH is the relative humidity (%). During the experimental period, the air temperature ranged from 0.75–16.50℃, the average air temperature was 4.93℃, the humidity ranged from 57.00 to 93.00%, and the average humidity was 82.50%, the THI ranged from 34.71 to 61.18, and the average THI was 42.46.
Growth performance and apparent digestibility
The feeding amount and feeding surplus were collected every day to calculate dry matter intake (DMI). To calculate the initial weight and final weight, each goat was weighed on the first day and last day before the morning feeding.
Faecal samples were collected three times at 06:00, 14:00, and 14:00 every day during the last 5 d, oven dried at 65℃ for 72 h, ground and passed through a 1-mm sieve until chemical composition analysis. The apparent nutrient digestibility of the experimental diets was calculated using the acid-insoluble ash (AIA) method via the following equation: apparent nutrient digestibility (%) =[(1– AIA in diet/AIA in faecal sample × nutrient in faecal sample/nutrient in diet)]× 10032.
Blood parameters
At the end of the experimental period, each goat from each pen was selected (n = 6), and a volume of 10 mL of blood was collected via a vacuette tube containing heparin sodium (Taizhou Qiujing Medical Instrument Co., Ltd., Jiangsu, China). Next, the sample was centrifuged at 4000 ×g for 10 min, and the plasma was collected and stored at − 80℃ for further analysis. The antioxidant and immune parameters included: TAC, SOD, GPX, CAT, MDA, and superoxide anion radical (O2−.), along with immunoglobulin A (IgA), IgG, and IgM; the lipid metabolism parameters were triglyceride (TG), creatinine (Cr), TCH, low-density lipoprotein cholesterol (LDL-C), and HDL-C; and the biochemical and hormone parameters were glucose (Glu), urea nitrogen (UN), oestradiol 2 (E2), oestradiol 3 (E3), progesterone, and prolactin. All plasma parameters were analysed by commercial kits (Nanjing Jiancheng Bioengineering Institute, Nanjiang, China) operating in strict accordance with according to the kit instructions.
Rumen fermentation parameters
On the last day of the experimental period, each experimental animal from each replicate (6 goats per group) was selected, and the ruminal fluid of the goats was collected by a vacuum pump through the mouth. The first 50 mL of sample was discarded to avoid saliva, and the second 50 mL of sample was collected for further analysis. The pH was detected immediately by a portable pH meter. After that, a volume of 10 mL of the ruminal fluid sample was mixed with 2.5 mL of HCl (6 mol/L) to analyse ammonia nitrogen (NH3-N) and volatile fatty acids (VFA).
The NH3-N content was analysed as described by Bremner and Keeney33. The VFAs were analysed according to the methods of Park and Lee34, with minor modifications. Briefly, the individual VFAs of the uminal fluid were analysed by gas chromatography (Agilent Technologies Inc., Santa Clara, CA). The GC conditions were as follows: capillary column (Agilent HP-INNOWAX; 30 m × 250 μm × 0.25 μm; Agilent J&W Scientific, Folsom, CA) with a flame ionization detector; oven temperature, 100℃; inlet temperature, 220℃; detector temperature, 250℃; flow rate, 4.0 mL/min, carrier gas, helium; and injection volume, 2 µL.
Rumen microbiota composition
A 30 mL volume of the ruminal fluid sample was kept in a 50 mL tube, covered with dry ice in a box, and immediately sent to Shanghai Majorbio Biopharm Technology Co., Ltd. (Shanghai, China) for analysis of the rumen microbiota. Simultaneously, data analysis was performed by the online Majorbio Cloud Platform (www.majorbio.com).
Total microbial genomic DNA was extracted from ruminal fluid samples using the EZNA® soil DNA Kit (Omega Biotek, Norcross, GA, USA). The quality and concentration of the DNA were determined by 1.0% agarose gel electrophoresis and a NanoDrop® ND-2000 spectrophotometer (Thermo Scientific Inc., USA). The hypervariable region V3-V4 of the bacterial 16S rRNA gene was amplified with the primer pair 338 F (5’-ACTCCTACGGGAGGCAGCAG-3’) and 806R (5’-GGACTACHVGGGTWTCTAAT-3’) by an ABI GeneAmp® 9700 PCR thermocycler (ABI, CA, USA). The PCR mixture included 4 µL of 5× Fast Pfu buffer, 2 µL of 2.5 mM dNTPs, 0.8 µL of each primer (5 µM), 0.4 µL of Fast Pfu polymerase, 10 ng of template DNA, and ddH2O to a final volume of 20 µL. The PCR amplification cycling conditions were as follows: initial denaturation at 95℃ for 3 min, followed by 27 cycles of denaturation at 95℃ for 30 s, annealing at 55℃ for 30 s, and extension at 72℃ for 45 s, a single extension at 72℃ for 10 min, and a final extension at 4℃.
Raw FASTQ files were demultiplexed using an in-house Perl script, quality-filtered by Fastp version 0.19.6, and merged by FLASH version 1.2.7. The optimized sequences were clustered into operational taxonomic units (OTUs) using UPARSE 7.1 with a 97% sequence similarity level. The most abundant sequence for each OTU was selected as a representative sequence. The taxonomy of each representative OTU sequence was analysed by RDP Classifier version 2.2 against the 16 S rRNA gene database (e.g. Silva v138) using a confidence threshold of 0.7.
Statistical analysis
The animal pens were used as experimental units for DMI and apparent digestibility parameters (n = 6), and the animals were used as experimental units for plasma biochemical parameters, ruminal fluid fermentation, and ruminal fluid microbiota compositions (n = 6). The data for apparent digestibilities, plasma biochemical parameters, and ruminal fluid fermentation parameters were analysed via one-way analysis of variance by Statistical Analysis System 9.1.3 software (SAS Institute, Cary, NC, USA). Bioinformatic analysis of the ruminal fluid microorganisms was carried out using the Majorbio Cloud platform (https://cloud.majorbio.com). On the basis of the OTU information, rarefaction curves and alpha diversity indices (including Sobs, Shannon, Simpson, Ace, Chao, and Coverage) were calculated with Mothur v1.30.1. The similarity among the microbial communities in different samples was determined by principal component analysis (PCA) and principal coordinate analysis (PCoA) based on Bray‒Curtis dissimilarity using the vegan v2.5-3 package. PERMANOVA was used to assess the percentage of variation explained by the treatment along with its statistical significance using the vegan v2.5-3 package. Differences were considered to be statistically significant at the 0.05 level.
Results
Growth performance and apparent digestibility
The DMI, initial weight, and final weight did not differ (p > 0.05) across the four groups (Table 2). Similarly, there were no differences (p > 0.05) in the apparent digestibilities of DM, GE, EE, NDF, ADF, or Ca among the four dietary treatments. However, the apparent digestibilities of CP and P in the goats receiving Se, An, and SeAn were greater (p < 0.05) than those in the CON group.
Antioxidant and immune parameters
No differences (p > 0.05) were detected in the TAC, O2−., IgG, or IgM levels among all the treatments (Table 3). Compared with the CON treatment, the SeAn treatment led to increases (p < 0.05) in the SOD and CAT levels but it decreased (p < 0.05) the MDA level. Feeding with Se, An, and SeAn increased (p < 0.05) the GPX concentration. In addition, compared with those in the CON group, the IgA concentration in the goats in the Se, An, and SeAn groups was greater (p < 0.05), and the IgA concentration in the Se and SeAn groups was greater (p < 0.05) than that in the An group.
Lipid metabolism parameters
No differences (p > 0.05) were detected in the plasma TG, LDL-C, and HDL-C levels among the four groups (Table 4). The Se, An, and SeAn groups presented lower (p < 0.05) levels of Cr and TCH. Moreover, the inclusion of SeAn decreased (p < 0.05) the Cr and TCH levels relative to those in the Se and An groups.
Biochemical and hormone parameters
No differences (p > 0.05) in UN, E3, or prolactin levels were detected among all the treatments (Table 5). Compared with the CON and Se treatments, the SeAn treatment resulted in decreased (p < 0.05) plasma Glu concentration. Compared with the other three treatments, the CON treatment resulted in decreased (p < 0.05) plasma E2 and progesterone levels. In addition, the progesterone level in the SeAn treatment group was greater (p < 0.05) than those of the Se and An groups.
Rumen fermentation parameters
There were no differences (p > 0.05) in the ruminal fluid pH, NH3-N, or total VFA (TVFA) among all the treatments (Table 6). Compared with the CON group, the An and SeAn treatment groups presented lower (p < 0.05) levels of acetic acid and a lower ratio of acetate to propionate, whereas they presented higher (p < 0.05) levels of propionic acid and butyric acid.
Alpha diversity analysis
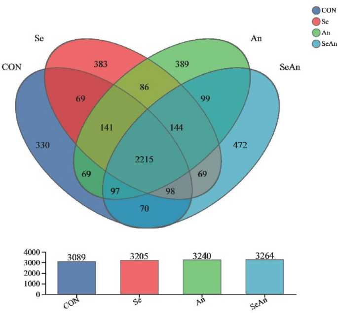
A total of one million seven hundred and sixty-four thousand eight hundred and seventy-six (1764876) effective sequences from twenty-four samples were obtained. In addition, seven hundred thirty-seven million eight hundred and sixty-seven thousand eight hundred and one (737867801) effective bases were obtained, with an average length of four hundred and eighteen (418) bp in this study. A total of four thousand five hundred and fifty-five (4555) OTUs were obtained, and these were classified into one domain, one kingdom, twenty phyla, forty classes, ninety-eight orders, one hundred and sixty-seven families, three hundred and forty-eight genera, and seven hundred and fifty-one species. Moreover, there was no difference (p > 0.05) among the 4 groups in terms of the α diversity index (Sobs, Shannon, Simpson, Ace, Chao, and coverage) in this study (Table 7). The CON, Se, An, and SeAn treatments contained three thousand and eighty-nine (3089), three thousand two hundred and five (3205), three thousand two hundred and forty (3240), and three thousand two hundred and sixty-four (3264) OTUs, respectively, and two thousand two hundred and fifteen (2215) identical OTUs were detected in all four treatments (Fig. 1).
Effect of selenium and anthocyanin on ruminal fluid Ve nn diagram. CON, control; Se, dietary supplemented with 4.8 mg/kg selenium-yeast; An, dietary supplemented with 50 mg/kg purple corn anthocyanins; SeAn, dietary supplemented with 4.8 mg/kg selenium-yeast + 50 mg/kg purple corn anthocyanins.
Beta diversity analysis
For PCA, the contributions of PC1 and PC2 were 8.49 and 7.93%, respectively (Fig. 2). For PCoA, the contributions of PC1 and PC2 were 16.90 and 12.19%, respectively.
Effect of selenium and anthocyanin on ruminal fluid beta diversity analysis. (A) PCA analysis. (B) PCoA analysis. CON, control; Se, dietary supplemented with 4.8 mg/kg selenium-yeast; An, dietary supplemented with 50 mg/kg purple corn anthocyanins; SeAn, dietary supplemented with 4.8 mg/kg selenium-yeast + 50 mg/kg purple corn anthocyanins.
Rumen microbiota composition
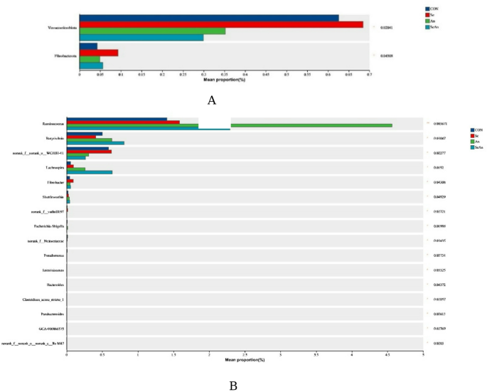
At the phylum level, the top 5 dominant bacteria were Firmicutes, Bacteroidota, Patescibacteria, Actinobacteriota, and Desulfobacterota (Fig. 3A). In addition, dietary supplementation with SeAn decreased (p < 0.05) the relative abundance of Verrucomicrobiota relative to that in the other groups (Fig. 4A). At the genus level, the top 5 dominant bacteria were Prevotella, Rikenellaceae_RC9_gut_group, Succiniclasticum, norank_f__F082, and NK4A214_group (Fig. 3B). Moreover, compared with those in the CON group, the relative abundances of ruminal fluid Ruminococcus and Butyrivibrio in the An and SeAn groups increased (p < 0.05; Fig. 4B).
Effect of selenium and anthocyanin on rumen dominant bacteria. (A) Phylum level. (B) Genus level. CON, control; Se, dietary supplemented with 4.8 mg/kg selenium-yeast; An, dietary supplemented with 50 mg/kg purple corn anthocyanins; SeAn, dietary supplemented with 4.8 mg/kg selenium-yeast + 50 mg/kg purple corn anthocyanins.
Effect of selenium and anthocyanin on the significant differences of ruminal fluid microbiota composition. (A) Phylum level. (B) Genus level. *p < 0.05, **p < 0.01. CON, control; Se, dietary supplemented with 4.8 mg/kg selenium-yeast; An, dietary supplemented with 50 mg/kg purple corn anthocyanins; SeAn, dietary supplemented with 4.8 mg/kg selenium-yeast + 50 mg/kg purple corn anthocyanins.
Discussion
The OS status not only causes mucosal cell damage but also leads to a decrease in digestive tract secretion function, resulting reduced in digestion, absorption, transportation, assimilation metabolism, and feed utilization efficiency in small ruminants35. Qiao et al.36 reported that dietary supplementation with antioxidants could increase SOD activity and glutathione reductase activity and decrease the MDA level in blood, thus increasing the apparent digestibilities of DM and organic matter in sheep. As efficient antioxidants, anthocyanin and Se have broad physiological functions in immunologic enhancement, antioxidant potential improvement, and OS prevention in ruminants37,38. Thus, we observed that the inclusion of anthocyanin and Se increase the apparent digestibilities of CP and P in goats. This occurred because the dietary addition of anthocyanin and Se could inhibit proinflammatory processes in the intestine or antimicrobial effects in farm animals39 and thus improve the feed digestibility and absorption of nutrients by increasing the activity of digestive enzymes.
On the one hand, anthocyanins can inhibit intestinal α-glucosidase and pancreatic α-amylase; on the other hand, anthocyanins can increase insulin-regulated glucose transporter gene expression and decrease retinol binding protein 4 gene expression, thus decreasing insulin resistance40. Interestingly, Se and anthocyanins have synergistic effects on antioxidant status, and alleviate OS in rats21. Hence, we found that SeAn could decrease the plasma Glu concentration, suggesting its potential value in the prevention of diabetes in goats and in improving their goat’s health. The antioxidant system of animal bodies is a defence system against FR damage, including both enzymatic and nonenzymatic systems. The enzymatic system consists of SOD, GPX, CAT, and other antioxidant enzymes. The nonenzymatic system is composed of substances such as vitamin C, vitamin E, glutathione, cysteine, copper, iron, zinc, and selenium41. The function of the antioxidant system in organisms is to eliminate excess FRs. Excessive production of FRs or decreased antioxidant system function can lead to a large excess of FRs in organisms, thereby causing damage to these animals42. Notably, antioxidant components can improve the antioxidant capacity in animal tissues by reducing oxygen concentrations and quenching oxygen, thus preventing peroxide production while activating antioxidant enzymes. Anthocyanins can complex with metal ions (Fe2+), thereby reducing the catalytic effect of active metal ions on FR generation and increasing the antioxidant effect43. Indeed, anthocyanins have been shown to increase the antioxidant activity of ruminants by activating Nrf2 and inhibiting the NF-κB signalling pathway23. Selenium is a micronutrient that is highly important for cell metabolism and protects cells from excessive accumulation of ROS, thereby increasing their antioxidant potential44. Of interest, anthocyanins may be associated with other antioxidants, thus enhancing antioxidant enzyme activity and increasing the mRNA expression of these enzymes in rats45. For instance, purple corn anthocyanins and vitamin E are widely hypothesised to offer protection against diseases such as atherosclerosis, inflammation, and cancers46. Specifically, various studies have shown that anthocyanins and Se have a protective effect against OS in animals because they can increase SOD, GPX, and CAT activities and decrease MDA levels22,47. Moreover, the synergistic effect between plant polyphenols and minimal requirements (vitamin E, vitamin C, and Se) results in stronger antioxidant capacity and reduces OS in animals48. For example, Li et al.21 reported that Se and anthocyanins exhibit protective effects against OS, increase the antioxidant status, and have synergistic effects in rats. Hence, dietary supplementation with SeAn in the goat diet could increase the activity of plasma antioxidant enzymes (including SOD, GPX, and CAT) and decrease the activity of oxidation products (consisting of MDA and NO) in this study. This is probably because (1) anthocyanins can effectively scavenge superoxide anions, hydroxyl radicals, and hydrogen peroxide and inhibit DNA oxidative damage and decrease lipid peroxidation by decreasing total cholesterol and malondialdehyde concentrations49,50, and (2) the antioxidants of vitamin E, polyphenols, and antioxidant enzymes (e.g., SOD, CAT, glutathione reductase, and GPX) have synergistic effects on the in scavenging of FRs49,51. The dietary addition of plant polyphenols could play a part in the downregulation of inflammation pathways and stimulate the immune system and the production of defences (i.e., immunoglobulins) in farm animals. Thus, the inclusion of Se and SeAn increased the plasma IgA concentration of the goats. However, goats receiving anthocyanin had decreased blood IgA concentration compared to the Se and SeAn treatment goats, possibly because (1) the anthocyanin concentration was not high enough to improve the antioxidative status on the basis of SOD and GPX52 and (2) the absorption of anthocyanin by small ruminants was lower than that in nonruminant animals12.
The OS increased blood TC and TG concentrations, and the addition of antioxidants reduced these elevated concentrations in animals53. For example, Zhang et al.54 reported that supplemental Cu increased the activities of serum SOD and GPX and decreased the MDA and TCH concentrations in cashmere goats. In addition, antioxidants can reduce OS, protect kidney cells from damage, and thus help lower Cr levels55. Thus, we found that the Se, An, and SeAn supplementation decreased plasma Cr and TCH levels, which could be related to the antioxidative effect of SeAn, reflected by increased activity of antioxidant enzymes (SOD, GPX, and CAT; Table 3) as well as decreased MDA concentration in the SeAn treatment group. Moreover, various studies have indicated that antioxidants can inhibit cholesterol synthesis by decreasing the gene expression of 3-hydroxy-3-methylglutaryl coenzyme A56,57. Another possible mechanism is that SeAn might contribute to the actions of lipid metabolites and regulate the expression of specific lipid metabolism genes.
Antioxidants can regulate the metabolism of oestradiol by reducing OS in animals and alleviating cellular oxidative damage58. Specifically, Ma et al.59 reported that melatonin therapy increased E2 concentration and improved the uterine microenvironment by promoting the expression of antioxidant enzymes, such as SOD and CAT. Progesterone inhibits the spontaneous activity of the uterus and maintains uterine quiescence to promote placental development, and maintain normal pregnancy60. Shi et al.61 reported that OS reduced antioxidant activity parameters and subsequently decreased progesterone and testosterone levels in animals. In the current study, we found that the SeAn induced increase in increased progesterone concentration may be due to an increase in antioxidant activity (SOD and GPX), and a decrease in oxidative products (MDA) in goats.
Rumen fermentation parameters, including ruminal fluid pH, NH3-N, and VFAs, are among the most important fermentation physiology indices for goats. The normal range of the pH value of the rumen fluid is 5.5 to 7.5, which is suitable for normal fermentation activities of microorganisms62. The NH3-N is the main nitrogen source for rumen microbial fermentation and can affect microbial activity. In the current study, the inclusion of Se and anthocyanins did not affect the ruminal fluid pH or NH3-N values in goats, indicating that Se and anthocyanins are less likely to cause side effects on rumen microorganisms. However, Shi et al.63 demonstrated that a basal diet supplemented with Se could decrease the ruminal fluid pH and NH3-N concentration in male sheep. The reasons for these different results may be that different states of Se have different degradability potential in the rumen and with respect to animal breeds and physiological periods.
VFAs are feed fermentation products in the rumen and are the main energy source for ruminants, supplying approximately 75–80% of the ruminant’s requirements64. Propionic acid is the main raw material for gluconeogenesis in ruminants. An increase in propionic acid can prevent amino acids from dissociating to produce VFAs and carbon dioxide65. In the rumen, anthocyanins might interact and/or synergize with substrates, microorganisms, and enzymes, which could affect fibre degradability and decrease potential methane emissions; since anthocyanins interfere with ruminal fatty acid biohydrogenation, they can increase n-3 and n-6 polyunsaturated fatty acids (PUFAs), linoleic acid, and conjugated linoleic acid in milk and meat, as well as improve their quality15. Moreover, anthocyanins and Se can reduce FRs and chelate pro-oxidant metals and can affect ruminal digestibility and fermentation kinetics, as well as animal productive behaviour, reducing the effects of OS in ruminants15. Hence, in this study, the ruminal fluid acetic acid level and the ratio of acetate to propionate decreased in the goats that receiced An and SeAn, whereas propionic acid and butyric acid levels increased. Possible reasons for these observations were that (1) anthocyanins include anthocyanidins and soluble sugars, and the fermentation of the sugars released from anthocyanins should increase the ruminal concentrations of propionic acid and butyric acid66; and (2) natural antioxidants (such as Se and anthocyanins) can be used as alternative sources of carbon for the metabolism of the ruminal microbiome and inhibit ruminal fluid methanogenesis in small ruminants67. In similar experiments carried out on beef bulls, Gao et al.68 reported that the dietary addition of red cabbage extract increased the ruminal concentration of TVFAs, decreased the acetate to propionate ratio, and slightly modified the rumen bacterial community, but it did not affect nutrient digestibility or plasma antioxidants in beef bulls. However, the addition of Se did not affect the rumen fermentation parameters, perhaps because Se might be partially transformed into an insoluble form by ruminal microorganisms, which could decrease its bioavailability in the gastrointestinal system69.
The rumen of ruminants is a complex microecosystem, in which there is a dynamic balance that is both collaborative and constrained between rumen microorganisms and the host and between microbes70. Fibre plays an important role in ruminants and is an essential nutrient for them. Rumen microorganisms use animal feed as nutrients, and fibre-decomposing bacteria can decompose cellulose and produce various organic acids and alcohols through fermentation71. Metagenomic analysis revealed that Fibrobacterota, Bacteroidota, Firmicutes I, Verrucomicrobiota, and Patescibacteria encode genes for carbohydrate-active enzymes72. Gharechahi et al.73 (2021) reported that Verrucomicrobiota and Fibrobacterota were enriched for genes related to the degradation of lignocellulosic polymers and the fermentation of degraded products into short-chain VFAs after lignocellulosic biomass was cultured in cattle. Moreover, a high-fibre diet (> 40% NDF of DM) showed the relative abundance of Fibrobacterota in the rumen of ruminants38. Hence, the results of the current study revealed that dietary supplementation with SeAn significantly affected the relative abundances of Verrucomicrobiota and Fibrobacterota in the ruminal fluid of goats, suggesting that the inclusion of Se and An in the goat diet conferred beneficial effects on fibre degradation. Interestingly, Liu et al.74 reported that taurine feeding could increase the apparent digestibility of fibre by regulating the ruminal fluid bacterial community of castrated Simmental steers. However, fibre digestibility (NDF and ADF) did not differ among the four treatments in this study, perhaps because anthocyanin and Se resulted in relatively rapid passage of fibre through the rumen. Moreover, the relative abundances of Verrucomicrobiota and Fibrobacterota with respect to the An and SeAn treatments were lower than those in the Se treatment, perhaps because most of the anthocyanin content was not broken down in the rumen and instead bypassed the rumen to reach the small intestine for digestion and absorption12, thus resulting in a lack of efficient fibre degradation in the rumen.
The most significant cellulolytic bacteria in anaerobic reactors are Ruminococcus, Butyrivibrio, and Bacteroides75. In this study, at the genus level, we found that SeAn treatments could significantly increase the relative abundances of the ruminal fluids Ruminococcus and Butyrivibrio in goats. This was likely because antioxidants could enhance the antioxidant status and protect the organism from peroxidation damage, thus increasing the abundance of the rumen microbiota; simultaneously, the ruminal fluid of Ruminococcus and Butyrivibrio could improve anthocyanin bioavailability in the rumen18. These findings are in line with the results of previous studies on lactating dairy cows by Yu et al.76, reported that dietary supplementation with citrus flavonoid extract could increase the abundance of Ruminococcus, Clostridium, and Butyrivibrio and carbohydrate metabolism in the ruminal fluid. Similarly, Taethaisong et al.18 reported that the inclusion of anthocyanin-rich purple neem foliage could increase the relative ruminal fluid abundances of Butyrivibrio fibrisolvens, Fibrobacter succinogenes, Ruminococcus albus, Ruminococcus flavefaciens, and Streptococcus bovis in Anglo-Nubian Thai native goats.
Conclusion
The results of the current research suggest that dietary supplementation with SeAn can improve the apparent digestibility, antioxidant activity, immune activity, lipid metabolism, hormone parameters, rumen fermentation, and rumen microbiota composition in goat does. However, one limitation of this study was that we did not consider the effect of SeAn on the health status of goat does throughout the pregnancy period. In addition, further studies are needed to understand the mechanism by which SeAn alleviates OS in goat does from a cellular and molecular perspective; this is also one limitation of this study.
Data availability
The raw sequencing reads were deposited into the NCBI Sequence Read Archive database (Accession Number: PRJNA971548).
References
Celi, P., Trana, A. D. & Claps, S. Effects of plane of nutrition on oxidative stress in goats during the peripartum period. Vet. J. 184, 95–99. https://doi.org/10.1016/j.tvjl.2009.01.014 (2010).
Yaseen, A. et al. Flavonoid enriched supplementation abrogates prenatal stress and enhances goat kids performance reared in a sub-tropical environment. Res. Vet. Sci. 146, 70–79. https://doi.org/10.1016/j.rvsc.2022.03.005 (2022).
Kotsampasi, B., Karatzia, M. A., Tsiokos, D. & Chadio, S. Nutritional strategies to alleviate stress and improve welfare in dairy ruminants. Animals 14, 2573. https://doi.org/10.3390/ani14172573 (2024).
Devaraj, C., Sejian, V., Shashank, C. G., Silpa, M. V. & Bhatta, R. The effect of an antioxidant supplement based on selenium, electrolytes, and vitamins on relieving transportation stress in goats. Small Ruminant Res. 241, 107392. https://doi.org/10.1016/j.smallrumres.2024.107392 (2024).
Kachuee, R., Moeini, M. M. & Souri, M. The effect of dietary organic and inorganic selenium supplementation on serum Se, Cu, Fe and Zn status during the late pregnancy in Merghoz goats and their kids. Small Ruminant Res. 110, 20–27. https://doi.org/10.1016/j.smallrumres.2012.08.010 (2013).
de Vasconcelos, A. M. et al. M. F. Organic selenium supplementation on metabolic profile of dairy goats. Trop. Anim. Health Prod. 55, 146. https://doi.org/10.1007/s11250-023-03572-w (2023).
Hendawy, A. O. et al. Effects of selenium supplementation on rumen microbiota, rumen fermentation, and apparent nutrient digestibility of ruminant animals: a review. Fermentation 8, 4. https://doi.org/10.3390/fermentation8010004 (2022).
Kachuee, R., Moeini, M. & Souri, M. Effects of organic and inorganic selenium supplementation during late pregnancy on colostrum and serum se status, performance and passive immunity in Merghoz goats. Anim. Prod. Sci. 54, 1016–1022. https://doi.org/10.1071/AN13150 (2013).
Barcelos, B. et al. Effect of selenium and vitamin E supplementation on the metabolic status of dairy goats and respective goat kids in the peripartum period. Trop. Anim. Health Prod. 54, 36. https://doi.org/10.1007/s11250-021-03034-1 (2022).
Xu, D. P. et al. Natural antioxidants in foods and medicinal plants: extraction, assessment and resources. Int. J. Mol. Sci. 18, 96. https://doi.org/10.3390/ijms18010096 (2017).
Göçmen, R., Kanbur, G., Parlat, S. S. & Özdemir, E. Performance, immune response, and meat quality in Newcastle-vaccinated quail fed with colored corn in place of yellow maize. Trop. Anim. Health Prod. 55, 237. https://doi.org/10.1007/s11250-023-03654-9 (2023).
Hosoda, K., Eruden, B., Matsuyama, H. & Shioya, S. Silage fermentative quality and characteristics of anthocyanin stability in anthocyanin-rich corn (Zea Mays L). Asian-Australas J. Anim. Sci. 22, 528–533. https://doi.org/10.5713/ajas.2009.80525 (2009).
Suganya, D. P., Saravana, K. M. & Mohan, D. S. DNA damage protecting activity and free radical scavenging activity of anthocyanins from red sorghum (Sorghum bicolor) bran. Biotechnol. Res. Int. 1–9. (2012). https://doi.org/10.1155/2012/258787 (2012).
Ban, C., Wen, G., Srisaikham, S., Wongdee, T. & Lounglawan, P. Effect of anthocyanin rich black sugarcane on milk production and antioxidant capacity in lactating dairy cows. Sci. Rep. 15, 3407. https://doi.org/10.1038/s41598-025-88010-7 (2025).
Lazalde-Cruz, R. et al. Z. M. Potential effects of delphinidin-3-O-sambubioside and cyanidin-3-O-sambubioside of Hibiscus Sabdariffa L. on ruminant meat and milk quality. Animals 11, 2827. https://doi.org/10.3390/ani11102827 (2021).
Feng, H., Shi, H., Yang, F., Yun, Y. & Wang, X. Impact of anthocyanins derived from Dioscorea Alata L. on growth performance, carcass characteristics, antioxidant capacity, and immune function of Hainan black goats. Front Vet. Sci 10, 1283947. https://doi.org/10.3389/fvets.2023.1283947
Zhang, Y., Shi, H., Yun, Y., Feng, H. & Wang, X. The effect of anthocyanins from Dioscorea Alata L. on antioxidant properties of perinatal Hainan black goats and its possible mechanism in the mammary gland. Animals 12, 3320. https://doi.org/10.3390/ani12233320 (2022).
Taethaisong, N. et al. Consumption of purple Neem foliage rich in anthocyanins improves rumen fermentation, growth performance and plasma antioxidant activity in growing goats. Fermentation 8, 373. https://doi.org/10.3390/fermentation8080373 (2022).
Colon, M. & Nerín, C. Synergistic, antagonistic and additive interactions of green tea polyphenols. Eur. Food Res. Technol. 242, 211–220. https://doi.org/10.1007/s00217-015-2532-9 (2016).
Sentkowska, A. & Pyrzyńska, K. Investigation of antioxidant activity of selenium compounds and their mixtures with tea polyphenols. Mol. Biol. Rep. 46, 3019–3024. https://doi.org/10.1007/s11033-019-04738-2 (2019).
Li, X. et al. Protective effects of selenium, vitamin E, and purple Carrot anthocyanins on D-galactose-induced oxidative damage in blood, liver, heart and kidney rats. Biol. Trace Elem. Res. 173, 433–442. https://doi.org/10.1007/s12011-016-0681-8 (2016).
Hassanen, N. & Ahmed, M. Protective effect of anthocyanins, β-carotene, chromium and selenium on oxidative stress in diabetic rats. Global J. Agric. Food Saf. Sci. 1, 479–501. https://americanij.com/index.php/aij/article/view/54/53 (2014).
Tian, X. Z. et al. Effects of purple corn anthocyanin on growth performance, meat quality, muscle antioxidant status, and fatty acid profiles in goats. Foods 11, 1255. https://doi.org/10.3390/foods11091255 (2022).
Shi, L., Ren, Y., Zhang, C., Yue, W. & Lei, F. Effects of organic selenium (se-enriched yeast) supplementation in gestation diet on antioxidant status, hormone profile and haemato-biochemical parameters in Taihang black goats. Anim. Feed Sci. Tech. 238, 57–65. https://doi.org/10.1016/j.anifeedsci.2018.02.004 (2018).
Arshad, M. A., Ebeid, H. M. & Hassan, F. Revisiting the effects of different dietary sources of selenium on the health and performance of dairy animals: a review. Biol. Trace Elem. Res. 199, 3319–3337. https://doi.org/10.1007/s12011-020-02480-6 (2021).
Tian, X. Z. et al. Effect of supplementation with selenium-yeast on muscle antioxidant activity, meat quality, fatty acids and amino acids in goats. Front. Vet. Sci. 8, 813672. https://doi.org/10.3389/fvets.2021.813672 (2022).
Wang, X. et al. Differentially expressed genes and signalling pathways regulated by high selenium involved in antioxidant and immune functions of goats based on transcriptome sequencing. Int. J. Mol. Sci. 24, 1124. https://doi.org/10.3390/ijms24021124 (2023).
Tian, X. Z. et al. Effects of purple corn anthocyanin on blood biochemical indexes, ruminal fluid fermentation, and rumen microbiota in goats. Front. Vet. Sci. 8, 715710. https://doi.org/10.3389/fvets.2021.715710 (2021).
National Research Council (NRC). Nutrient Requirements of Goats: angora, dairy, and Meat Goats in Temperate and Tropical Countries (National Academies, 1981).
Association of official analytical chemists (AOAC). Official methods of analysis of the Association of Official Analytical Chemists, 18th Edition, Arlington, MA, USA. (2005).
Zhong, S. et al. Temperature and humidity index (THI)-induced rumen bacterial community changes in goats. Appl. Microbiol. Biotechnol. 103, 3193–3203. https://doi.org/10.1007/s00253-019-09673-7 (2019).
Sun, B. et al. Effects of Moringa Oleifera leaves as a substitute for alfalfa meal on nutrient digestibility, growth performance, carcass trait, meat quality, antioxidant capacity and biochemical parameters of rabbits. J. Anim. Physiol. Anim. Nutr. 102, 1–10. https://doi.org/10.1111/jpn.12678 (2017).
Bremner, J. M. & Keeney, D. R. Steam distillation methods for determination of ammonium, nitrate and nitrite. Anal. Chim. Acta. 32, 485–495. https://doi.org/10.1016/S0003-2670(00)88973-4 (1965).
Park, K. & Lee, H. Effects of nitrogen gas Flushing in comparison with argon on rumen fermentation characteristics in in vitro studies. J. Anim. Sci. Technol. 62, 52–57. https://doi.org/10.5187/jast.2020.62.1.52 (2020).
Marai, I. F. M., El-Darawany, A. A., Fadiel, A. & Abdel-Hafez, M. A. M. Physiological traits as affected by heat stress in sheep—a review. Small Ruminant Res. 71, 1–12. https://doi.org/10.1016/j.smallrumres.2006.10.003 (2007).
Qiao, G. H. et al. Effect of several supplemental Chinese herbs additives on rumen fermentation, antioxidant function and nutrient digestibility in sheep. J. Anim. Physiol. Anim. Nutr. 96, 930–938. https://doi.org/10.1111/j.1439-0396.2011.01211.x (2012).
Hosoda, K. et al. Anthocyanin and Proanthocyanidin contents, antioxidant activity, and in situ degradability of black and red rice grains. Asian-Australas J. Anim. Sci. 31, 1213–1220. https://doi.org/10.5713/ajas.17.0655 (2018).
Wang, X. et al. Effects of supplementing a yeast culture in a pelleted total mixed ration on fiber degradation, fermentation parameters, and the bacterial community in the rumen of sheep. Anim. Feed Sci. Tech. 296, 115565. https://doi.org/10.1016/j.anifeedsci.2022.115565 (2023).
Gessner, D. K., Ringseis, R. & Eder, K. Potential of plant polyphenols to combat oxidative stress and inflammatory processes in farm animals. J. Anim. Physiol. Anim. Nutr. 101, 605–628. https://doi.org/10.1111/jpn.12579 (2017).
Różańska, D. & Regulska-Ilow, B. The significance of anthocyanins in the prevention and treatment of type 2 diabetes. Adv. Clin. Exp. Med. 27, 135–142. https://doi.org/10.17219/acem/64983 (2018).
Ighodaro, O. M. & Akinloye, O. A. First line defence antioxidants-superoxide dismutase (SOD), catalase (CAT) and glutathione peroxidase (GPX): their fundamental role in the entire antioxidant defence grid. Alex J. Med. 54, 287–293. https://doi.org/10.1016/j.ajme.2017.09.001 (2018).
Huo, B., Wu, T., Song, C. & Shen, X. Effects of selenium deficiency in the environment on antioxidant systems of Wumen semi-fine wool sheep. Pol. J. Environ. Stud. 29, 1649–1657. https://doi.org/10.15244/PJOES/109492 (2020).
Lv, Q. Z. et al. Current state of knowledge on the antioxidant effects and mechanisms of action of polyphenolic compounds. Nat. Prod. Commun. 16, 1–13. https://doi.org/10.1177/1934578X211027745 (2021).
Woch, W. & Hawrylak-Nowak, B. Selected antioxidant properties of alfalfa, radish, and white mustard sprouts biofortified with selenium. Acta Agrobot. 72, 1768. https://doi.org/10.5586/aa.1768 (2019).
Cho, J. et al. Antioxidant and memory enhancing effects of purple sweet potato anthocyanin and cordyceps mushroom extract. Arch. Pharm. Res. 26, 821–825. https://doi.org/10.1007/BF02980027 (2003).
Hagiwara, A. et al. Pronounced Inhibition by a natural anthocyanin, purple corn color, of 2-amino-1-methyl-6-phenylimidazo[4,5-b]pyridine (PhIP)-associated colorectal carcinogenesis in male f344 rats pretreated with 1,2-dimethylhydrazine. Cancer Lett. 171, 17–25. https://doi.org/10.1016/s0304-3835(01)00510-9 (2001).
Eldakak, A. The protective effect of some natural antioxidants against Azithromycin induced testicular dysfunction in rats. Am. Int. J. Contemp. Sci. Res. 2, 39–60 (2015).
Engler, P., Desguerets, C., Benarbia, M. E. A. & Mallem, Y. Supplementing young cattle with a rumen-protected grape extract around vaccination increases humoral response and antioxidant defenses. Vet. Anim. Sci. 15, 100232. https://doi.org/10.1016/j.vas.2022.100232 (2022).
Fang, Y. Z., Yang, S. & Wu, G. Free radicals, antioxidants, and nutrition. Nutrition 18, 872–879. https://doi.org/10.1016/s0899-9007(02)00916-4 (2002).
Garcia, C. & Blesso, C. N. Antioxidant properties of anthocyanins and their mechanism of action in atherosclerosis. Free Radic Biol. Med. 172, 152–166. https://doi.org/10.1016/j.freeradbiomed.2021.05.040 (2021).
Piao, M., Tu, Y., Zhang, N., Diao, Q. & Bi, Y. Advances in the application of phytogenic extracts as antioxidants and their potential mechanisms in ruminants. Antioxidants 12, 879. https://doi.org/10.3390/antiox12040879 (2023).
Antunović, Z. et al. Influence of red corn rich in anthocyanins on productive traits, blood metabolic profile, and antioxidative status of fattening lambs. Animals 12, 612. https://doi.org/10.3390/ani12050612 (2022).
Jiang, H. et al. Effects of dietary lycopene supplementation on plasma lipid profile, lipid peroxidation and antioxidant defense system in feedlot Bamei lamb. Asian-Australas J. Anim. Sci. 28, 958–965. https://doi.org/10.5713/ajas.14.0887 (2015).
Zhang, W. et al. Effect of different levels of copper and molybdenum supplements on serum lipid profiles and antioxidant status in cashmere goats. Biol. Trace Elem. Res. 148, 309–315. https://doi.org/10.1007/s12011-012-9380-2 (2012).
Dennis, J. M. & Witting, P. K. Protective role for antioxidants in acute kidney disease. Nutrients 9, 718. https://doi.org/10.3390/nu9070718 (2017).
Trapani, L., Segatto, M., Incerpi, S. & Pallottini, V. 3-hydroxy-3-methylglutaryl coenzyme A reductase regulation by antioxidant compounds: new therapeutic tools for hypercholesterolemia? Curr. Mol. Med. 11, 790–797. https://doi.org/10.2174/156652411798062403 (2011).
Tian, X. et al. Purple corn anthocyanin affects lipid mechanism, flavor compound profiles, and related gene expression of longissimus thoracis et lumborum muscle in goats. Animals 11, 2407. https://doi.org/10.3390/ani11082407 (2021).
Kumar, S., Lata, K., Mukhopadhyay, S. & Mukherjee, T. K. Role of Estrogen receptors in pro-oxidative and anti-oxidative actions of Estrogens: a perspective. Biochim. Biophys. Acta. 1800, 1127–1135. https://doi.org/10.1016/j.bbagen.2010.04.011 (2010).
Ma, X. et al. The uterine melatonergic systems of AANAT and melatonin membrane receptor 2 (MT2) are essential for endometrial receptivity and early implantation in mice. Int. J. Mol. Sci. 24, 7127. https://doi.org/10.3390/ijms24087127 (2023).
Ilicic, M., Zakar, T. & Paul, J. W. The regulation of uterine function during parturition: an update and recent advances. Reprod. Sci. 27, 3–28. https://doi.org/10.1007/s43032-019-00001-y (2020).
Shi, L. et al. Long-term moderate oxidative stress decreased ovarian reproductive function by reducing follicle quality and progesterone production. PLoS One. 11, e0162194. https://doi.org/10.1371/journal.pone.0162194 (2016).
Zhang, L. et al. Characteristics of rumen microorganisms involved in anaerobic degradation of cellulose at various pH values. RSC Adv. 7, 40303–40310. https://doi.org/10.1039/C7RA06588D (2017).
Shi, L. G. et al. Effect of elemental nano-selenium on feed digestibility, rumen fermentation, and purine derivatives in sheep. Anim. Feed Sci. Tech. 163, 136–142. https://doi.org/10.1016/j.anifeedsci.2010.10.016 (2011).
Wei, H. et al. Astragalus root extract improved average daily gain, immunity, antioxidant status and ruminal microbiota of early weaned Yak calves. J. Sci. Food Agric. 101, 82–90. https://doi.org/10.1002/jsfa.10617 (2021).
Murali, N., Srinivas, K. & Ahring, B. K. Increasing the production of volatile fatty acids from corn Stover using bioaugmentation of a mixed rumen culture with homoacetogenic bacteria. Microorganisms 9, 337. https://doi.org/10.3390/microorganisms9020337 (2021).
Riaz, M., Zia-Ul-Haq, M. & Saad, B. Anthocyanins and Human Health: Biomolecular and Therapeutic Aspects (Springer, 2016).
Ma, T. et al. Dietary supplementation with mulberry leaf flavonoids inhibits methanogenesis in sheep. Anim. Sci. J. 88, 72–78. https://doi.org/10.1111/asj.12556 (2017).
Gao, J., Cheng, B. B., Liu, Y. F., Li, M. M. & Zhao, G. Y. Effects of red cabbage extract rich in anthocyanins on rumen fermentation, rumen bacterial community, nutrient digestion, and plasma indices in beef bulls. Animal 16, 100510. https://doi.org/10.1016/j.animal.2022.100510 (2022).
Tolve, R. et al. Encapsulation of bioactive compounds for the formulation of functional animal feeds: the biofortification of derivate foods. Anim. Feed Sci. Tech. 279, 115036. https://doi.org/10.1016/j.anifeedsci.2021.115036 (2021).
Morgavi, D., Kelly, W., Janssen, P. & Attwood, G. Rumen microbial (meta) genomics and its application to ruminant production. Animal 7, 184–201. https://doi.org/10.1017/S1751731112000419 (2012).
Wang, Y. L., Wang, W. K., Wu, Q. C. & Yang, H. J. The release and catabolism of ferulic acid in plant cell wall by rumen microbes: a review. Anim. Nutr. 9, 335–344. https://doi.org/10.1016/j.aninu.2022.02.003 (2022).
Almeida, A. et al. D. A unified catalog of 204,938 reference genomes from the human gut Microbiome. Nat. Biotechnol. 39, 105–114. https://doi.org/10.1038/s41587-020-0603-3 (2021).
Gharechahi, J. et al. Metagenomic analysis reveals a dynamic Microbiome with diversified adaptive functions to utilize high lignocellulosic forages in the cattle rumen. ISME J. 15, 1108–1120. https://doi.org/10.1038/s41396-020-00837-2 (2021).
Liu, Y., Hu, J., Hu, M. M. & Zhao, G. Effects of taurine on rumen fermentation, nutrient digestion, rumen bacterial community and metabolomics and nitrogen metabolism in beef steers. J. Sci. Food Agric. 103, 3414–3426. https://doi.org/10.1002/jsfa.12474 (2023).
Sharma, V. K. & Hobson, P. N. Interactions among cellulolytic bacteria from an anaerobic digester. Microb. Ecol. 12, 343–353. https://doi.org/10.1007/BF02098575 (1986).
Yu, S. et al. Dietary citrus flavonoid extract improves lactational performance through modulating rumen Microbiome and metabolites in dairy cows. Food Funct. 14, 94–111. https://doi.org/10.1039/d2fo02751h (2023).
Funding
This study has gained the support of the National Natural Science Foundation of China (32260849; 32302779), the Science and Technology Development Plan Project of Jilin Province (YDZJ202401492ZYTS), the Science and Technology Project of Guizhou Province (Qiankehe Support [222] Key 033; Qiankehe Platform Talents-CXTD [2023] 025), the Basic Research Program (Natural Science) Youth Guidance Project of Guizhou Province (Qiankehe Foundation [2024] Youth 106), the Youth Science and Technology Talent Development Project of Guizhou Province (Qianjiaoji [2024] 33), and the Basic Research Project of Guizhou University (2023-16).
Author information
Authors and Affiliations
Contributions
Xingzhou Tian conducted writing-original draft, writing-review and editing, data curation, methodology, funding acquisition, software. Jiaxuan Li and Xu Wang conducted resources, investigation, formal analysis, writing-original draft. Qi Lu contributed investigation, and funding acquisition. Yi Fang contributed writing-review and editing. Rongzhen Zhong contributed writing-original draft, writing-review and editing, project administration.
Corresponding author
Ethics declarations
Competing interests
The authors declare no competing interests.
Conflict of interest
The authors declare no competing interests in this study.
Additional information
Publisher’s note
Springer Nature remains neutral with regard to jurisdictional claims in published maps and institutional affiliations.
Rights and permissions
Open Access This article is licensed under a Creative Commons Attribution-NonCommercial-NoDerivatives 4.0 International License, which permits any non-commercial use, sharing, distribution and reproduction in any medium or format, as long as you give appropriate credit to the original author(s) and the source, provide a link to the Creative Commons licence, and indicate if you modified the licensed material. You do not have permission under this licence to share adapted material derived from this article or parts of it. The images or other third party material in this article are included in the article’s Creative Commons licence, unless indicated otherwise in a credit line to the material. If material is not included in the article’s Creative Commons licence and your intended use is not permitted by statutory regulation or exceeds the permitted use, you will need to obtain permission directly from the copyright holder. To view a copy of this licence, visit http://creativecommons.org/licenses/by-nc-nd/4.0/.
About this article
Cite this article
Tian, X., Li, J., Wang, X. et al. Effects of selenium and anthocyanin on apparent digestibility, blood parameters, rumen fermentation, and microbiota compositions of goat doe. Sci Rep 15, 38207 (2025). https://doi.org/10.1038/s41598-025-22118-8
Received:
Accepted:
Published:
Version of record:
DOI: https://doi.org/10.1038/s41598-025-22118-8



