Abstract
Ecosystem services (ES), as a link between human activities and natural ecosystems, are crucial for maintaining ecological balance and supporting economic development. Ecosystem Services Value (ESV) is an indicator used to quantify ecosystem services. Accurately estimating the dynamics of ESV and its influencing factors is significant for regional sustainable development. This paper constructs an ESV valuation model incorporating construction land based on the modified equivalence factor method. It also examines the dynamic evolution of land use and ESV in the study area, as well as the interactions and influencing factors of ESV, using methods such as land-use transition matrix, ESV trade-off and synergy analysis, and XGBoost-SHAP models. The results show that: (1) during the study period, the changes in the single dynamics of cultivated land and construction land in the middle reaches of the Yellow River were significant, at -2.953% and 1.897%, respectively. The overall land dynamic rate averaged 0.152%, peaking between 2005 and 2010. Land-use type conversion was mainly between cultivated land, forest, and grassland. (2) ESV in the middle reaches of the Yellow River gradually decreased, with a total reduction of 21.951%. Areas with lower and middle ESV values contracted, while the remaining levels expanded, showing a spatial distribution pattern of decreasing from northwest to southeast. (3) The degree and direction of interactions between various ecosystem services in the study area changed over the 24 years, with the extremes of trade-off and synergy increasing. The relationship between water supply services and other services was the most significant. (4) Nighttime light brightness was the primary factor affecting ESV changes in the middle reaches of the Yellow River. Average slope, forest proportion, and annual average temperature had a positive impact on ESV, while nighttime light brightness, cultivated land proportion, population density, and average elevation had a negative impact. Other factors had minimal influence. The findings of this study provide important theoretical support for the formulation of targeted ecological protection measures, promoting the sustainable development of the Yellow River Basin.
Similar content being viewed by others
Introduction
Ecosystem services(ES) refer to the ecological characteristics, functions, or processes that directly or indirectly promote human well-being, i.e., the benefits people derive from ecosystems1. As global environmental issues become increasingly prominent, how to assess ES and understand their driving factors to provide scientific recommendations for environmental protection and economic development has gradually become a popular topic in fields such as environmental science, economics, and sociology2. As a key player in global ecological protection, the Chinese government is exploring ways to incorporate ecological value and ecological protection compensation into the decision-making process of socio-economic activities3. In 2003, 2008, and 2015, Xie Gaodi et al. proposed and modified the “Unit Area-based Ecosystem Services Value (ESV) Assessment Method for China” based on the value assessment model proposed by Costanza, considering China’s national conditions. This significantly influenced ESV research in China4,5,6. However, since this method was designed based on China’s ecological environment, its applicability in specific regions is relatively low. Therefore, it is necessary to adjust and improve the assessment model in accordance with the actual conditions of the study area to enhance the accuracy of ecosystem service value estimation. Currently, adjustments to the value equivalent table are primarily made based on national average grain yield and regional grain yield7, or by selecting different indicators such as GDP and population to reflect the value variation of the same land-use type in different ecological zones8. Additionally, many current studies on ESV assume that construction land is not part of natural resources and cannot provide ES, simply setting the service value of construction land to zero. This neglects the fact that the existence and development of construction land must rely on ecosystems9. Therefore, based on Xie Gaodi’s ecosystem service value assessment model and the ecosystem service value equivalent table for China’s terrestrial ecosystems per unit area, this study modifies the value equivalent table and incorporates an equivalence factor for construction land, providing a comprehensive reflection of the ecosystem service values across different land types.
Changes in land use structure are closely related to ecosystems10 and are important factors affecting ESV. Global ESV loss, estimated at approximately $12 trillion annually11, is caused by land conversion due to urban expansion12, land degradation resulting from agricultural activities13, and other factors. Therefore, scientifically quantifying the spatiotemporal variation characteristics of ESV during the changes in various land use types and analyzing their feedback mechanisms in depth is of great practical significance for formulating ecological compensation policies, optimizing land spatial ecological restoration zones, and systematically constructing an ecological security pattern14 .
Due to the diversity of ecosystem service functions, the uneven spatial distribution, and the diversity of human activities, the relationships among these services exhibit trade-offs or synergies under the influence of natural and anthropogenic factors15. Scholars have employed methods such as hotspot detection, spatial overlay analysis, and root mean square deviation16,17,18 to conduct studies at various scales, including urban areas19, provincial regions17, metropolitan areas20, city clusters21, river basins22,23, major grain-producing regions24, and ecological functional zones25. These studies have scientifically revealed the patterns of interaction between economic development and the ecological environment in these regions26. In summary, significant progress has been made in the research on land use change and ESV trade-offs and synergies. However, related research in regions with important ecological functions remains relatively weak. The upper, middle, and lower reaches of the Yellow River have distinct terrain and climatic conditions. Analyzing the trade-offs and synergies between ecosystem service functions in the middle reaches of the Yellow River is of great significance for formulating ecological protection policies and implementing ecological protection projects in the region.
Existing studies mainly employ methods such as Pearson correlation analysis27, linear regression28, and geographically weighted regression (GWR)29, among which the linear regression model is the most widely used. While these methods have advantages such as simplicity, ease of implementation, and efficiency, they often fail to accurately capture the nonlinear relationships between ESV and its influencing factors, which may lead to biased conclusions. Compared to traditional methods, machine learning is particularly suitable for revealing the complex nonlinear relationships between ESV and its influencing factors30. Many scholars have attempted to apply machine learning models to the analysis of ESV and its influencing factors, such as decision trees (LGB)31, random forests (RF)32, and extreme gradient boosting (XGBoost)33, achieving good results. Compared to other machine learning methods like random forests, XGBoost excels in modeling complex nonlinear relationships, handling high-dimensional data, and dealing with data noise. In addition, XGBoost has a solid theoretical foundation, allowing it to fully explore the complexity of data and improve the scientific rigor and applicability of the model. However, as a “black-box” model, the internal mechanisms of XGBoost and the specific contributions of individual features to the prediction results are often difficult to intuitively understand. The SHAP (Shapley Additive exPlanations) method provides a clearer explanatory framework by assigning contribution values to each feature in model predictions34, enabling researchers to gain deeper insights into the key factors influencing ESV. Therefore, this study combines XGBoost with the SHAP method to analyze the relationship between ESV and its influencing factors, providing a more comprehensive understanding of the driving mechanisms of natural and human activity factors on the ecological environment.
The middle reaches of the Yellow River flow through the Loess Plateau, a core region of China’s important ecological barrier and economic zone. However, due to the relative fragility of the ecosystem and the long history and increasing intensity of human activities, the pressure on ecosystems and their services has intensified, affecting people’s well-being25. This paper constructs a comprehensive evaluation model for ESV suitable for the middle reaches of the Yellow River, providing a more comprehensive estimation of the ESV in this region. It also characterizes and quantifies the spatiotemporal evolution features and trade-off/synergy effects of ESV. By combining the XGBoost model with SHAP methods, the study visualizes the key factors and mechanisms influencing ESV, opening a new approach for research in this field. The research findings provide scientific evidence and data for ecological protection and high-quality development in the Yellow River Basin, and can also serve as a reference for studies in the entire Yellow River Basin and other regions.
Data and methods
Overview of the study area
The middle reaches of the Yellow River are located between 104°27′E to 113°39′E and 33°45′N to 40°11′N, stretching from Hekou Town in Inner Mongolia to Taohuayu in Zhengzhou, Henan35. The total length is 1206 km, with a basin area of 344,000 km², accounting for 43.270% of the total basin area. According to the natural watershed boundaries defined by the Yellow River Water Conservancy Commission of the Ministry of Water Resources, the study area includes 30 prefecture-level cities and 226 counties from Gansu, Ningxia, Inner Mongolia, Shaanxi, Shanxi, and Henan (Fig. 1). 61% of the area of the middle reaches of the Yellow River is located in the Loess Plateau, characterized by ravines and gullies, where soil and water conservation is difficult, and the ecological environment is inherently fragile. The climate varies from east to west, with a temperate monsoon climate in the east and a temperate continental climate in the west. The average precipitation is 800 mm and 400 mm, respectively, with significant annual temperature variation, reaching 40 °C and 30 °C, respectively. The main land use types in the middle reaches of the Yellow River were cultivated land, grassland, and forest. Among them, the area of cultivated land accounted for 34.929%, grassland for 35.565%, and forest for 20.983% of the total area. The main landforms include the Ordos Plateau, the northern Shaanxi Plateau, the eastern Longdong Plateau, the Jinzhong Basin, the southern Jin Basin, the Guanzhong Plain, and the western Henan Basin. The middle reaches of the Yellow River are an important origin of Chinese civilization, with a long history of livestock and crop farming, rich cultural heritage, and numerous cultural sites. The region is rich in various mineral resources such as coal and oil and is an important energy and chemical industry base in China, with industries such as mining, coal, and petrochemical sectors concentrated in the area. Along with the development of the socio-economic sector and the increasing intensity of resource exploitation, the pressure on sustainable ecological development has become more severe, leading to the degradation of ecosystem service functions and a decline in ESV.
Geographical location of the middle reaches of the Yellow River. The base map used in this study is the 2019 China map, which has been reviewed and approved with the map review number GS (2019)1822 by the standard map service system of the ministry of natural resources. The base map was unmodified and created using ArcGIS 10.8 software.
Data sources
The study selected panel data from 226 counties in the middle reaches of the Yellow River from 2000 to 2023 as the research sample. Based on the research needs, land use types were categorized into six categories: cultivated land, forest, grassland, water area, construction land, and unused land. The county-level administrative vector data came from the National Vector Dataset of China, provided by the National Geomatics Center of China (https://www.ngcc.cn/ngcc/). Land use raster data were sourced from the Resource and Environmental Science Data Center of the Chinese Academy of Sciences (http://www.resdc.cn/). Six datasets from 2000, 2005, 2010, 2015, 2020, and 2023 were selected, with a spatial resolution of 30 m × 30 m and a unified coordinate system of Krasovsky_1940_Albers. Among them, the original spatial resolution of the 2023 land use data was 1 km × 1 km, which was resampled and validated for accuracy to convert it to 30 m × 30 m, ensuring data consistency. In the analysis of driving factors for ecosystem service value (ESV), this study selected 6 natural influencing factors and 4 social influencing factors. The Digital Elevation Model (DEM) and slope data were obtained from the Earth Spatial Data Cloud (http://www.gscloud.cn/) with a resolution of 30 m × 30 m. Annual average temperature and precipitation data were sourced from the China Meteorological Data Service Center (http://cdc.cma.gov.cn). The Normalized Difference Vegetation Index (NDVI) data were obtained from the Resource and Environmental Science Data Center of the Chinese Academy of Sciences (http://www.resdc.cn/). Socio-economic data came from the “China County Statistical Yearbook,” the “China Science and Technology Statistical Yearbook,” the “National Agricultural Product Cost and Benefit Compilation,” as well as statistical yearbooks and bulletins from provincial and municipal statistical bureaus. Any adjustments related to administrative divisions were based on the relevant years’ government statistical data.
Research methodology
Land-use change
This study uses land use dynamic degree and land use transfer matrix to analyze the land use and its spatiotemporal changes in the study area over six periods.
-
(1)
Land use dynamic degree is a key indicator for quantifying the process of land use transformation in a region. The single land use dynamic degree measures the quantity change of a specific land use type within a certain time frame; the comprehensive land use dynamic degree characterizes the overall change rate of all land use types in the study area36. The calculation formula is as follows:
$$K=\frac{{{U_b} - {U_a}}}{{{U_a}}} \times \frac{1}{T} \times 100\%$$(1)$${L_C}=\frac{{\mathop \sum \nolimits_{{i=1}}^{6} \Delta {L_{{U_{i - j}}}}}}{{2\mathop \sum \nolimits_{{i=1}}^{6} \Delta {L_{{U_i}}}}} \times \frac{1}{T} \times 100\%$$(2)
In the formula: K represents the Single Land Use Dynamic Degree (%);\({U_a}\) and \({U_b}\) represent the area (km²) of the land type at the initial and final periods, respectively; \({L_C}\) represents the Comprehensive Land Use Dynamic Degree (%); \(\Delta {L_{{U_{i - j}}}}\)represents the absolute value (km²) of the area converted from land type i to land type j; \(\Delta {L_{{U_i}}}\) represents the area (km²) of land type i; T represents the study period (years).
-
(2)
The land use transfer matrix is a spatial analysis method that represents the conversion relationships between different land use types in different periods in the form of a matrix37.
$${A_{ij}}=\left[ {\begin{array}{*{20}{c}} {{A_{11}}}& \cdots &{{A_{1n}}} \\ \vdots & \ddots & \vdots \\ {{A_{n1}}}& \cdots &{{A_{nn}}} \end{array}} \right]$$(3)
In the formula: A represents the conversion area (km²) of each land type; \(i(i=1,2,3, \cdots ,n)\) and \(j(j=1,2,3, \cdots ,n)\) represent the initial and final land types, respectively; n represents the number of land types, \(n=6\).
ESV calculation
Referring to the ESV equivalency factor system proposed by Xie Gaodi et al.6 based on the framework by Costanza et al.38, one standard ESV equivalency is set as 1/7 of the economic value generated by food production per unit area. Based on the actual grain planting conditions in the middle reaches of the Yellow River, this study selects the sowing area and yield of three major crops—rice, wheat, and maize—from 2000 to 2023. Referring to the study by Yang Shuo et al.35, the crop prices are based on the average grain unit price in the middle reaches of the Yellow River from 2000 to 2023. The calculated ESV equivalency factor for the middle reaches of the Yellow River is 1883.460 yuan/hm².
The formula is as follows:
In the formula: E represents the economic value of the unit area ES equivalency coefficient (yuan/hm²); \({m_i}{\mkern 1mu}\)represents the sowing area of the i-th crop (hm²); \({p_i}\)represents the yield per unit area of the i-th crop (kg/hm²); \({q_i}\) represents the average price of the i-th crop (yuan/kg); M represents the total sowing area of all crops (hm²).
-
(1)
ESV calculation for non-construction land
In the formula, \(ES{V_{\text{e}}}\) represents the ESV of non- construction land (yuan); \({A_k}\) represents the area (hm²) of different land types of non- construction land; \({E_k}\) represents the ESV per unit area (yuan·hm⁻²), \(\:k\) represents the land use type, Q represents the correction factor.
-
(2)
ESV Calculation for construction land
The existence and development of construction land rely on ecosystems, and they negatively affect ESV through the discharge of wastewater, exhaust gases, and solid waste. The method proposed by Zhao et al., Hu, and Wang Lei et al.39,40,41 is used to estimate the ecosystem service functions such as water supply, natural gas land regulation, and environmental purification, to determine the ESV per unit area of construction land in the study area.
The first part is the calculation of water supply value:
In the formula, \(C{V_w}\) represents the water supply value per unit area of construction land, \({C_W}\)represents the cost of wastewater treatment, W represents the total water volume, \({P_W}\) represents the water supply unit price, \({\text{A}}\) represents the area of construction land.
The second part is the calculation of gas regulation value:
In the formula, \(C{V_{\text{g}}}\) represents the gas regulation value per unit area of construction land, \({c_q}\) represents the cost of treating exhaust gases.
The third part is the calculation of environmental purification value:
In the formula, \({\text{C}}{{\text{V}}_c}\) represents the environmental purification value per unit area of construction land, \({C_r}\) represents the cost of treating household waste, \({C_c}\) represents the cost of treating industrial waste.
In summary, the ESV of construction land (\(ES{V_{\text{c}}}\)) can be expressed as:
The final ESV per unit area in the middle reaches of the Yellow River is shown in Table 1.
ES trade-offs and synergies
The Ecosystem Service Trade-off and Synergy Degree (ESTD) model is established on the basis of linear data fitting, reflecting both the direction and magnitude of interactions among different ecosystem service functions. Its purpose is to provide an overall evaluation of the interactions in ecosystem service changes within the study area. In this paper, the ESTD index is applied to analyze the trade-off and synergy effects among ecosystem services in the study area from 2000 to 202342,43. The formula is as follows:
In the formula, \({\text{E}}{{\text{S}}_{ia}}\) and \({\text{E}}{{\text{S}}_{ib}}\) represent the ecosystem service values at the initial and final periods of the study, respectively; \({\text{ESC}}{{\text{L}}_i}\) represents the change in ecosystem service value; \({\text{ESTD}}\)represents the degree of trade-off and synergy between ES; when \({\text{ESTD}}_{{{\text{ij}}}} {\text{ > 0}}\), the relationship is synergistic; otherwise, it is a trade-off relationship.
XGBoost
XGBoost (Extreme Gradient Boosting) is an efficient gradient boosting algorithm, widely used in classification tasks. It uses the gradient boosting algorithm to improve its accuracy, training a new decision tree based on the prediction errors from previous rounds, and then adds it to the overall model. The objective function of XGBoost consists of two parts: the loss function and the regularization term44. Given the training dataset \(T=\{ ({x_1},{y_1}),({x_2},{y_2}), \cdots ,({x_n},{y_n})\}\), the loss function \(l({y_i},{\hat {y}_i})\), and the regularization term \(\Omega ({f_k})\), the overall objective function can be denoted as:
In the formula, \(\mathcal{L}(\emptyset )\) represents the expression in the linear space, i represents the i-th sample, k represents the k-th tree, and \({\hat {y}_i}\) represents the prediction value of the i-th sample \({x_i}\).
To optimize the objective function, a second-order Taylor expansion is used, removing the constant terms and optimizing the loss function term; a regularization expansion is used, removing the constant terms and optimizing the regularization term. The objective function is further simplified as:
In the formula, \({g_i}\) represents the first-order derivative of the data point in the loss function; \({h_i}\) represents the second-order derivative of the data point in the loss function.
SHAP
By combining the SHAP (Shapley Additive exPlanations) method45, the prediction process of the model can be analyzed in depth to understand the contribution of features to the prediction results. The SHAP value algorithm compensates for the difficulty in explaining the impact of feature variations on results in the XGBoost model, effectively explaining machine learning predictions and quantifying the importance and direction of each influencing factor on ESV changes.
For a model with n features, the Shapley value of feature i is calculated as follows:
In the formula, \(N=\{ 1,2, \cdots ,n\}\) represents the set of all features, and the model prediction value corresponding to the feature combination in S. S represents the number of elements in subset S, \(v(S)\)represents a function, and represents the model prediction value corresponding to the feature combination in subset S.
Accuracy evaluation
Root Mean Square Error (RMSE), Mean Absolute Error (MAE), and R-squared (R²) are used as indicators to evaluate the modeling accuracy of XGBoost. The closer RMSE is to 0, the smaller the MAE value, and the closer the R² value is to 1, the higher the model accuracy. The formulas for each indicator are as follows46.
In the formula, n represents the total number of samples; \(\bar {y}\) represents the mean value of variable y; \({\hat {y}_i}\) represents the predicted value of variable y.
Results and analysis
Spatiotemporal dynamic analysis of land use change
Land use dynamic degree
Using formulas (1) and (2), the single dynamic degree and comprehensive dynamic degree of the 6 land use types can be obtained (Fig. 2).
Land use dynamic degree in the middle reaches of the Yellow River from 2000 to 2023.
From 2000 to 2023, the primary characteristics were the single dynamic degree changes of cultivated land and construction land, which were − 2.953% and 1.897%, respectively. This indicates that the area of cultivated land continuously decreased, while the area of construction land continuously increased. These two types had the highest negative and positive growth among the six land use types. During the 2000–2005 and 2005–2010 periods, the single dynamic degree of cultivated land was − 0.479% and − 0.664%, with the largest absolute values, indicating a rapid and extensive reduction phase. Although it increased to -0.071% after 2010, the growth was small, and in subsequent years, the dynamic degree remained less than 0, showing that cultivated land faces significant stress. The single dynamic degree of construction land was the highest from 2005 to 2010, with little difference in other periods, indicating that during the study period, the demand for construction land was rigid.
From 2000 to 2023, the average comprehensive land dynamic degree was 0.152%. Among them, the maximum comprehensive land dynamic degree was 0.323% between 2005 and 2010, indicating that land changes were frequent and large in this period, leading to significant disturbances to the ecosystem.
Land transfer matrix analysis
Using formula (3), the land use transfer matrix Sankey diagram (Fig. 3) was calculated. Between 2000 and 2023, the land use type conversions mainly occurred between cultivated land, forest, and grassland. Among them, the largest area of land conversion was from cultivated land, totaling 626,78.998 km², and the largest area of land conversion to was grassland, totaling 59,010.457 km².During the study period, land use type changes in the middle reaches of the Yellow River were large, with high intensity of human activity in the development of construction land and unused land.
Land use transfer matrix Sankey diagram of the middle reaches of the Yellow River from 2000 to 2023.
From the spatial transfer map of land use in the middle reaches of the Yellow River, it can be observed that cultivated land is the largest land use type in this area (Fig. 4), occupying 36.514% of the total basin area, followed by grassland and forest, which occupy 34.181% and 23.796% of the area, respectively. These three land use types are distributed across most of the basin. The conversion of cultivated land is more pronounced, with its transformation into forest and grassland concentrated in the central part of Shaanxi Province, including counties such as Yanchuan, Yanchang, and Anse, as well as parts of Gansu Province’s southern region and northern Shanxi Province. The interconversion of cultivated land to construction land is mainly distributed in the Jinzhong urban agglomeration, Guanzhong urban agglomeration, and Central Plains urban agglomeration. The conversion of forest into grassland is concentrated in the Ziwuling-Huanglongshan ecological protection area and water conservation area in Shaanxi Province, as well as areas in the Lüliang Mountains, Taihang Mountains, and the Yellow River and its tributaries in Shanxi Province. From 2010 to 2023, compared to 2000–2010, the conversion of cultivated land and forest to construction land became more pronounced, concentrated in counties such as Xi’an in Shaanxi Province, Luoyang in Henan Province, and the central urban area of Taiyuan in Shanxi Province, with a tendency to spread to surrounding areas. The conversion of unused and other land is concentrated at the junction of the Ordos Plateau and the Loess Plateau of Shanxi and Shaanxi.
Spatial transfer of land use types in the middle reaches of the Yellow River from 2000 to 2023. The base map used in this study is the 2019 China map, which has been reviewed and approved with the map review number GS (2019)1822 by the standard map service system of the ministry of natural resources. The base map was unmodified and created using ArcGIS 10.8 software.
Dynamic changes in ESV of the middle reaches of the Yellow River
Temporal evolution characteristics
Data from six key years (2000, 2005, 2010, 2015, 2020, and 2023) in the Middle Reaches of Yellow River were selected to estimate the ESV, and the results are shown in Table 2. From 2000 to 2023, due to the inclusion of the change in ESV for construction land, the overall ESV in the middle reaches of the Yellow River showed a gradual decline, with the greatest decline occurring between 2005 and 2010, totaling a reduction of 747.189 × 108 yuan. Specifically, over the 24 years, the ESV of forest, grassland, and water area showed some fluctuation and increase, with increases of 89.947 × 108 yuan, 20.351 × 108 yuan, and 11.649 × 108 yuan, respectively. The ESV of unused land remained almost unchanged, while the ESV of cultivated land and construction land gradually declined. Among these, the change in ESV for construction land was particularly significant, with a change rate of 80.930% (-1351.974 × 108 yuan). The main reason is that with the development of China’s economy, infrastructure construction gradually improved, the living standards of people increased, and the population grew accordingly, leading to an increase in construction land area and a decrease in ESV. Especially between 2005 and 2010, China’s industrialization and urbanization processes advanced continuously, and after the outbreak of the global financial crisis in 2008, the government implemented infrastructure investment-led plans to offset external economic shocks, leading to significant changes in land development patterns.
From Table 3, it can be seen that in the primary service types of the Yellow River Basin’s middle reaches, the ESV of provisioning services shows a declining trend year by year, with a total decrease of 1337.946 × 108 yuan. The service values of food production, raw material production, and water supply have been consistently decreasing, indicating the ongoing encroachment on cultivated land during urban development. Water supply occupies a central position in the materials needed for human life, and industrial development consumes large amounts of water resources. The increase in construction land area also requires significant water resource input, which has led to a year-by-year decline in the ESV of water resource supply in type of secondary services, with a decrease of 1319.424 × 108 yuan over the 24 years. The ESV of regulating and supporting services has gradually increased. The value of regulating services accounts for over 80%, indicating their dominant role in the ecosystem of the middle reaches of the Yellow River. Among them, hydrological regulation and climate regulation play important roles in regulating the ecological environment and increasing ESV, with increases of 24.261 × 108 yuan and 25.116 × 108 yuan, respectively. In supporting services, soil conservation and biodiversity account for 54% and over 41%, respectively, playing a key role in supporting the ecological environment. The ESV of cultural services shows a fluctuating increase, but it remains relatively stable. Overall, it can be concluded that in the middle reaches of the Yellow River, the ESV of hydrological regulation accounts for the largest proportion, having a significant driving effect on the improvement of the ecological environment.
Spatial evolution characteristics
A 5 km × 5 km grid unit was used to divide the study area into 16,368 grid points. The ESV was categorized into five intervals (low-value area, lower-value area, middle-value area, higher-value area, and high-value area) using the natural breaks method. ESV for the middle reaches of the Yellow River was calculated, and visualizations of ESV for the years 2000, 2005, 2010, 2015, 2020, and 2023 were produced using ArcGIS 10.8.
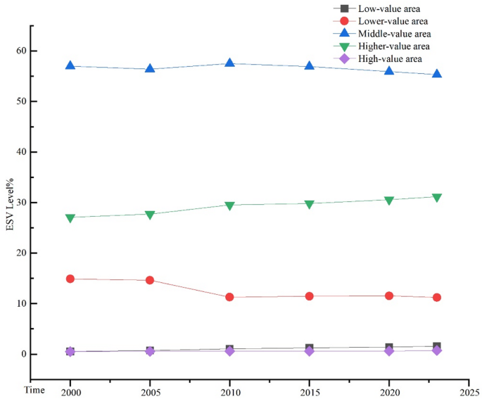
As shown in Figs. 5 and 6, during the study period, the ESV in the middle reaches of the Yellow River primarily exhibited a reduction in the lower-value area and middle-value area, while the other areas expanded. Spatially, a gradual decrease in ESV from northwest to southeast is evident. Specifically, the areas of the lower-value area and middle-value area decreased by 3.671% and 1.690%, respectively, while the higher-value area expanded by 4.068%. The expansion of the low-value and high-value areas was not significant. The low-value area occupies a small area, approximately 1.076%, and is scattered spatially, specifically in the southern part of Inner Mongolia, northeastern Gansu, southern Shaanxi, and central and southwestern Shanxi. These areas overlap with the spatial location of the lower-value area. The lower-value area is mainly concentrated in the Inner Mongolia Plateau and the Guanzhong Plain urban agglomeration. The land types are mainly construction land and cultivated land, covering approximately 12.497% of the area. The middle-value area covers the largest area, approximately 56.512%, and is distributed across most of the Loess Plateau, with land use types dominated by forests and grasslands. The higher-value area and high-value area cover approximately 29.307% and 0.603%, respectively, and are primarily distributed in the ecological function areas of the Loess Plateau’s hilly and ravine regions and the Qinling Mountains, with land use mainly consisting of forests. The higher-value area and high-value area generally have abundant precipitation, mild climates, lush grasslands and forests, high vegetation coverage, and rich biodiversity. The lower-middle-value area and low-value area are distributed in major agricultural production areas and key development zones, with higher land-use intensity and less vegetation. The Inner Mongolia Plateau and Loess Plateau receive less precipitation, with large diurnal temperature variation and low tree survival rates. Additionally, the Loess Plateau has deep soil layers and loose soil, making it suitable for farming. This region contains many major agricultural production areas and abundant energy resources, which, during energy development and urban expansion, have adverse effects on the ecological environment. The Guanzhong Plain, with its flat terrain and population concentration, is home to key development zones and major agricultural production areas. While driving economic development, it also faces relatively severe environmental pollution.
Spatial distribution of ESV in the middle reaches of the Yellow River from 2000 to 2023. The base map used in this study is the 2019 China map, which has been reviewed and approved with the map review number GS (2019)1822 by the standard map service system of the ministry of natural resources. The base map was unmodified and created using ArcGIS 10.8 software.
Changes in the area proportion of different ESV levels in the study area.
Analysis of trade-offs and synergies in ES
The secondary ecosystem services in the middle reaches of the Yellow River were analyzed for trade-offs and synergies, examining the degree and direction of interactions among individual ecosystem services during the periods 2000–2005, 2005–2010, 2010–2015, 2015–2020, and 2020–2023. The final results are presented in Fig. 7.
Trade-off and synergy of ES in the middle reaches of the Yellow River from 2000 to 2023. (1) Food production, (2) Raw material production, (3) Water supply, (4) Gas regulation, (5) Climate regulation, (6) Environmental purification, (7) Hydrological regulation, (8) Soil conservation, (9) Nutrient cycling, (10) Biodiversity, (11) Aesthetic landscape.
During 2000–2005, synergies accounted for 45.455% of the trade-off–synergy relationships. Food Production, Raw Material Production, Water Supply, and Gas Regulation exhibited trade-offs, reflecting the characteristics of resource competition. In contrast, a significant synergy (8.920) was maintained between Hydrological Regulation and Soil Conservation, partly due to soil and water conservation projects in the upper and middle reaches of the Yellow River. In particular, the implementation of the Grain for Green program and the Soil and Water Conservation Law effectively reduced soil erosion, thereby strengthening the synergy between Soil Conservation and Hydrological Regulation. Nevertheless, services such as Food Production and Raw Material Production continued to exhibit strong trade-offs with other ecosystem services, primarily due to excessive cultivation and agricultural expansion placing great pressure on land resources.
The changes from 2005 to 2010 were particularly striking, as the relationship between Water Supply and Soil Conservation shifted from a trade-off to a high level of synergy (63.947). This transformation was closely linked to the implementation of multiple ecological restoration projects starting in 2005. In particular, the Grain for Green and Grassland Program and the Natural Forest Protection Program significantly altered land use structures, substantially enhancing Water Supply and Soil Conservation capacities. These policies not only curbed excessive agricultural expansion but also increased vegetation cover, restored natural hydrological cycles, reduced soil erosion, improved soil infiltration, and stabilized groundwater fluctuations, thereby fostering stronger synergies between Water Supply and Soil Conservation.
Between 2010 and 2015, the proportion of synergistic relationships among ecosystem services further increased to 67.273%, indicating more pronounced interactions among ecosystem functions. Gas Regulation demonstrated strong synergies with Biodiversity and Aesthetic Landscape, while trade-offs with Hydrological Regulation and other services persisted. This period marked an important policy transition in the Yellow River Basin, including the launch of the Ecological Civilization Construction strategy and the strengthening of ecological protection policies, such as wetland conservation and grassland restoration. These policies enhanced Biodiversity protection and Aesthetic Landscape restoration, while simultaneously reinforcing support for Water Supply and Climate Regulation. However, despite the overall increase in synergies, trade-offs between Hydrological Regulation and Food Production persisted, reflecting ongoing tensions between agricultural production pressure and ecological protection.
From 2015 to 2020, synergies between Water Supply and other ecosystem services were significantly enhanced, particularly with Food Production, Raw Material Production, Soil Conservation, and Nutrient Cycling. With the deepening of ecological restoration projects and the implementation of ecological compensation mechanisms, soil and water conservation and ecological restoration efforts in the Yellow River Basin were further strengthened. For example, ecological compensation policies encouraged local farmers to adopt more environmentally friendly production practices, reducing excessive land exploitation and enhancing the overall benefits of ecosystem services. However, despite the strengthened synergies, certain trade-offs among services remained unresolved. In particular, during years of water scarcity, conflicts between Water Supply and irrigation demands for Food Production became more pronounced.
During 2020–2023, synergies accounted for 67% of the relationships; however, except for Gas Regulation, Water Supply largely exhibited trade-offs with other services. This reflected the dual impacts of post-pandemic economic recovery and land use changes. Although ecological protection policies were gradually implemented during this stage, some regions remained heavily dependent on traditional industries for economic recovery, leading to new conflicts between Water Supply and services such as Soil Conservation and Nutrient Cycling. This suggests that, despite improvements in ecological conditions, tensions between economic development and environmental protection persist, particularly as the restart and expansion of resource-intensive industries continued to challenge the coordination between land use and ecosystem functions.
Driven by human activities and natural factors, land use types in the study area underwent substantial changes, and shifts in ecosystem structure significantly influenced the transformation of ecosystem service functions, thereby further affecting trade-offs and synergies among ecosystem services. Therefore, it is essential to formulate and implement appropriate management policies to improve land use practices and optimize economic development structures. Such measures can mitigate the negative impacts of current unsustainable development patterns on trade-offs and synergies among ecosystem services, and help to alleviate potential conflicts to some extent.
Analysis of the driving factors of ESV
Model construction based on XGBoost
ESV changes are influenced by various factors. Based on the actual situation of the study area and data availability, natural factors such as average elevation (x1), average slope (x2), annual average temperature (x3), annual average precipitation (x4), normalized vegetation index (NDVI) (x5), and forest proportion (x10) were selected, along with human factors such as nighttime light brightness (x6), GDP per capita (x7), population density (x8), and cultivated land proportion (x9). The ESV in the middle reaches of the Yellow River was set as the dependent variable, and the potential influencing factors were set as independent variables. After standardizing the data, machine learning algorithms were used to identify the impact degree and direction of each factor on ESV.
Based on the data from 226 counties in the middle reaches of the Yellow River between 2000 and 2023, the training and testing sets were divided at a ratio of 70% to 30%. Machine learning algorithms such as decision tree (LGB), random forest (RF), and XGBoost were used for fitting and training. The XGBoost algorithm achieved the lowest RMSE (0.117) and MAE (0.072), and the highest R2 (0.914), with the predicted values closest to the actual values. Therefore, this study uses the XGBoost algorithm to explore the influencing factors of ESV changes in the middle reaches of the Yellow River.
Importance analysis of driving factors
The SHAP mean reflects the contribution of each influencing factor to coupling coordination, which is an important method for identifying the main driving factors. Nighttime light brightness objectively reflects industrial production, commercial activities, and energy consumption in human society, and it is the most significant factor affecting ESV changes, accounting for 23.027%. The cultivated land proportion and population density also significantly influence the change in ESV in the middle reaches of the Yellow River, accounting for 18.593% and 17.979%, respectively. This suggests that the degree of human activity plays a significant role in the ecological environmental changes in the middle reaches of the Yellow River. In addition to nighttime light brightness, cultivated land proportion, and population density, other influencing factors in order of importance are average slope, average elevation, forest proportion, GDP per capita, annual average temperature, NDVI, and annual average precipitation (Fig. 8).
Ranking of average influencing factors.
Although the SHAP mean can measure the relative importance of each variable, it cannot intuitively reflect the specific direction of their effects. Therefore, this study further constructs a SHAP visualization summary diagram to reveal the direction of influence of each driving factor on ESV. Where each point represents a sample value, the larger the value the redder the colour and vice versa the bluer. The greater the feature importance of a variable, the higher its ranking, and the positive and negative SHAP values represent the positive and negative impacts on the predicted value, respectively.
As shown in Fig. 9, increases in average slope, forest proportion, and annual average temperature have a positive impact on ESV. Since the 21st century, the government has implemented the policy of returning farmland to forest and grassland, explicitly prohibiting the cultivation of slopes greater than 25°47,48,49. This has significantly reduced soil erosion in these areas and restored vegetation conditions. Dense vegetation roots and leaf litter layers can effectively intercept rainwater, slow down runoff, reduce soil erosion, protect water sources, and enhance biodiversity. At the same time, an increase in forest area can improve the local climate, mitigate soil erosion and land desertification, which plays a crucial role in increasing seedling survival rates and promoting the cultivation of superior species. Therefore, an increase in the forest proportion area promotes ESV. During 2000–2023, the frequency of extreme temperatures in the middle reaches of the Yellow River was relatively low, and the overall temperature showed a moderate increase, which played an important role in extending the growing season of plants and increasing vegetation coverage.
SHAP summary plot of influence factors.
The factors that have a negative impact on ESV are primarily nighttime light brightness, cultivated land proportion, and population density, all of which can to some extent reflect the intensity of human activities. According to the land use change map and land use transfer matrix, during the 24 years, the land use types in the middle reaches of the Yellow River have changed significantly, with a large area of developed construction land. The expansion of construction land is a key indicator of urbanization, but its negative impact on ESV is significant and continuous. High-intensity development and construction drive changes in land use, especially the conversion of cultivated land, forest, and grassland to construction land, which may lead to a substantial reduction in ESV. Additionally, average elevation and NDVI also have a suppressive effect on ESV. When the average elevation is lower, it still has a positive effect on ESV, but as the elevation increases, ESV gradually decreases. This is mainly because the middle reaches of the Yellow River flow through the core region of the Loess Plateau, where the elevation is high, leading to a decrease in temperature, changes in water-heat conditions, and vegetation coverage.
Impact of key factor changes on ESV
According to the degree of influence of each factor, six important influences were selected to analyse the impact of key features on model predictions, as shown in Fig. 10. Among them, the effects of nighttime light brightness, cultivated land proportion and population density on ESV show a more significant negative linear relationship, nighttime light brightness and population density are more concentrated when they are less than 0, and the values of cultivated land proportion are clustered between − 1 and 1, but the whole is more dispersed, which is related to the spatial distribution of cultivated land, construction land and other land types; the effects of average slope on ESV show a positive linear relationship and is more clustered between slope values of 0.051 and 1.612; the factors of average elevation and forest proportion show a non-linear relationship. With the increase of elevation, the ESV shows that it first rises and then decreases at -1.248, because the middle reaches of the Yellow River passes through the hilly and gully areas of the Loess Plateau, and most of the counties and districts have higher elevations, so the average elevation is concentrated at higher values; forest proportion has a greater effect on the ESV in the beginning, and then tends to be stable gradually.
Analysis of ecological model influencing factors based on SHAP dependency plot.
Discussion
The middle reaches of the Yellow River, as an ecologically fragile region with severe soil erosion, is a key target for the management of the Yellow River Basin. This study uses the county level as the basic scale, which is beneficial for studying the spatial-temporal evolution and driving factors of ESV in the middle reaches of the Yellow River. Analyzing the ecosystem service evolution characteristics at the county level enables precise policy formulation, reducing the neglect of regional differences, and is more practical for regional development planning and implementation. Therefore, this study takes 226 counties in the middle reaches of the Yellow River as the research object, serving as a supplement and extension to existing studies.
Land use changes
From 2000 to 2023, the land use types in the middle reaches of the Yellow River were primarily cultivated land, grassland, and forest. The changes in the single dynamic intensity of cultivated land and construction land showed the highest negative and positive growth rates among the six major land use types, indicating that the area of cultivated land continued to decrease while the area of construction land continued to increase. This is consistent with the findings of H. Yue et al.50 ; the average comprehensive land dynamic intensity was 0.152%. Among them, the comprehensive land dynamic intensity was highest between 2005 and 2010, indicating that land changes were very frequent during this period. The reason for this is that during this period, China was gradually entering a phase of accelerated industrialization and rapid urbanization, which significantly impacted the rate of change in land use types.
Land use type conversion mainly occurred between cultivated land, forest, and grassland. Among them, the largest area converted out was cultivated land, while the largest area converted in was grassland. During the study period, land use type changes in the middle reaches of the Yellow River were significant, with high development intensity of construction land and unused land due to human activities. A comparative analysis of land use and ESV changes in the middle reaches of the Yellow River over 24 years showed that the implementation of ecological projects such as returning cultivated land to forest and grassland contributed to improving the ecological environment quality to some extent. This is consistent with the findings of W. Peng et al.51. The continuous decrease in ESV from 2005 to 2015 was mainly due to the rapid expansion of urban areas in the middle reaches of the Yellow River during this period. Additionally, the dominance of the coal chemical industry and coal mining, which caused surface vegetation damage, was also an important reason. This aligns with the findings of S. Chen52. Among the various land use types, forest and grassland, as major components of the ecosystem, had the most significant contribution to ESV. In contrast, the expansion of unused land and construction land had varying degrees of negative impact on ESV. Therefore, optimizing and enhancing the ecological quality of forests, grasslands, and water areas is an essential approach to improving the ecological environment of the middle reaches of the Yellow River, while the ecological value of unused land should also be reasonably developed. During urbanization, it is crucial to consider ecological compensation mechanisms to alleviate the environmental pressures arising from the expansion of construction land.
Exclusion or non-exclusion of construction land for ESV
In existing ESV evaluation studies based on the equivalence factor method, many scholars, following the research of Xie Gaodi et al.6, did not separately determine the value of construction land. However, with the rapid development of socio-economic levels, the rapid expansion of construction land and its negative impact on the ecological environment cannot be overlooked. By referencing studies of changes in different ecosystem service types in the middle reaches of the Yellow River without considering construction land, and comparing the trends in changes with and without considering construction land, we reveal the changes in the value of different ecosystem services.
Based on the research of Niu Lu, Xiang Yanyu, and others53, the study spans from 2000 to 2023, with research nodes in 2000, 2005, 2010, 2015, 2020, and 2023. In the scenario without considering construction land, ESV in the middle reaches of the Yellow River shows a fluctuating pattern of “increase-decrease-increase” between 2000 and 2023, with an overall increasing trend, from 7132.630 × 108 yuan to 7185.460 × 108 yuan. When considering construction land, the total ecosystem service value decreased from 5944.013 × 108 yuan to 4639.225 × 108 yuan. The results show that the negative impact of construction land on the ecological environment is significant. Among different service types, when construction land is not considered, provisioning services also show a downward trend, but the overall decline is relatively small, with only a decrease of 19.120 × 108 yuan over 24 years. However, when construction land is considered, provisioning services show a large decline, with a total reduction of 1337.943 × 108 yuan, with the largest contribution from water supply services. In the case of regulating and supporting services, the value assessed when considering construction land is higher than that when construction land is not considered. Additionally, in both scenarios, the value of cultural services remains relatively close.
When analyzing the trade-off and synergy relationships between secondary ecosystem services in the middle reaches of the Yellow River, it is also evident that construction land has a significant impact on the degree and direction of interactions between individual ecosystem services. Without considering construction land54, the role of water supply services is not significant, with interactions mainly occurring between hydrological regulation, climate regulation, and soil conservation services, mostly in the form of synergies. However, in the scenario where construction land is considered, water supply services and hydrological regulation services play a larger role, and the relationship between water supply, gas regulation, and other services mainly shows a strong trade-off. It can be observed that the water supply function in the middle reaches of the Yellow River is critical to maintaining the stability of local ecosystems, and sustaining its synergies with other services is essential for protecting vegetation, soil, and water resources. During management, priority should be given to balancing socioeconomic development with ecological protection, while implementing national policies and adopting rational resource management strategies—particularly for water resources—in order to achieve harmonious and sustainable development across the region’s society, economy, and ecosystems.
Visualization of the driving factors of ESV
This paper uses the XGBoost-SHAP model to visually analyze the driving factors of ESV in the middle reaches of the Yellow River. The results show that the model performs well on both the training and testing datasets, with predicted values closely aligning with actual values. The SHAP values clearly reveal the relative importance of each driving factor.
The driving factors are ranked in order of importance as follows: nighttime light brightness, cultivated land proportion, population density, average slope, average elevation, forest proportion, GDP per capita, annual average temperature, NDVI, and annual average precipitation. Regarding natural factors, average slope, forest proportion, and annual average temperature have a positive impact on ESV. Since the 21st century, China has implemented the policy of returning farmland to forest and grassland, prohibiting the cultivation of slopes greater than 25°. As a result, areas with steeper slopes are less impacted by human activities, and their ESV is higher compared to areas with gentler slopes. This is consistent with the research findings of Li Wei55 ; the proportion of forest land also has a significant impact on ESV, reflecting the positive influence of land use type changes on the ecosystem environment; from 2000 to 2023, the temperature in the middle reaches of the Yellow River showed a moderate increase, which played an important role in extending the growing season of plants and increasing vegetation coverage. This is consistent with the findings of J. Wang56; in contrast, average elevation and NDVI have a suppressive effect on ESV. When the region’s average elevation is low, it still has a positive impact on ESV. However, as elevation increases, ESV gradually decreases. This is primarily because the middle reaches of the Yellow River flow through the core area of the Loess Plateau, where, with increasing altitude, temperature decreases, and water-heat conditions and vegetation coverage change. This is consistent with the findings of F Qiang57.
Regarding human activity factors, nighttime light brightness has a particularly significant negative impact on ESV. Furthermore, nighttime light brightness, cultivated land proportion, and population density rank as the top three driving factors of ESV. This is related to the high-intensity human activity disturbances during the rapid urbanization process in the middle reaches of the Yellow River58. To mitigate the impact of nighttime lighting intensity on the ecological environment, urban planners should implement stricter light pollution control measures and promote smart lighting systems. By optimizing lighting designs, unnecessary energy waste and light pollution can be reduced. Furthermore, it is essential to minimize the human disturbance caused by uncontrolled urban sprawl, focusing on ecological restoration within urban spaces. Simultaneously, attention must be paid to the rational spatial planning of various land use types. These efforts not only contribute to the continuous improvement of the ecological environment but also serve as a key measure for promoting coordinated regional development.
Limitations and future research
This study has the following limitations. First, due to the complexity of human activities, it is difficult to fully account for the evaluation of construction land. This study did not fully consider the various factors included in construction land, and further refinement is needed in future research. Second, when examining the factors influencing ESV, future research may consider additional potential influencing factors. The ecosystem is a complex system, and other factors may also impact the ESV. Finally, future research should broaden its scope to examine the ecological conditions of both the upper and lower reaches of the Yellow River basin. This will integrate the upper, middle, and lower reaches into a coordinated ecological management framework, thereby promoting sustainable development.
Conclusion
This paper takes the counties along the middle reaches of the Yellow River as the study area, examining land use changes from 2000 to 2023, constructing a modified ESV valuation model that includes construction land, analyzing the trade-offs and synergies between ecosystem service functions across counties in the middle reaches of the Yellow River, and using the XGBoost-SHAP model for the visualization of ESV driving factors. The main conclusions are as follows:
-
(1)
During the study period, the most significant changes in the single dynamic degree of cultivated land and construction land were observed, with values of -2.953% and 1.897%, respectively. The comprehensive land dynamic degree averaged 0.152%, with the highest value recorded between 2005 and 2010, reaching 0.323%. Land use type conversion mainly occurred between cultivated land, forest land, and grassland. Among these, the largest area converted out was cultivated land (626,78.998 km²), while the largest area converted in was grassland (59,010.457 km²).
-
(2)
ESV in the middle reaches of the Yellow River gradually decreased, with a total reduction of 21.951%. Spatially, the ESV in the middle reaches of the Yellow River showed a distribution pattern decreasing from northwest to southeast. Specifically, areas with lower and middle ESV values shrank by 3.671% and 1.690%, respectively, while higher-value areas expanded by 4.068%, with minimal expansion in low- and high-value regions.
-
(3)
The trade-offs and synergies in ecosystem service functions in the study area exhibited dynamic changes, with synergies showing a noticeable increasing trend, rising from 45.455% to 67%. Among these, the relationship between water supply services and other services was the most significant. Over the 24 years, the degree and direction of interactions between various ecosystem services changed, with the extremes of trade-offs and synergies becoming more pronounced.
-
(4)
Nighttime light brightness was the primary factor influencing ESV changes, accounting for 23.027% of the impact. Average slope, forest proportion, and annual average temperature had a positive impact on ESV, while nighttime light brightness, cultivated land proportion, population density, and average elevation had a negative impact. Other factors had a relatively minor influence.
Data availability
The datasets generated during and/or analysed during the current study are available from the corresponding author on reasonable request.
References
Shen, W., Li, Y. & Qin, Y. Research on the influencing factors and multi-scale regulatory pathway of ecosystem health: A case study in the middle reaches of the yellow River, China. J. Clean. Prod. 406, 137038. https://doi.org/10.1016/j.jclepro.2023.137038 (2023).
Ouyang, Z., Zheng, H., Xiao, Y., Polasky, S. & Daily, G. C. Improvements in ecosystem services from investments in natural capital. Science 352, 1455–1459 (2016).
Weishan, Q., Yifeng, Z. & Jing, Y. Measuring and defining Eco-civilization cities in China. Resour. Sci. 35, 1677–1684 (2013).
Xie, G. D., Lu, C. X., Leng, Y. F., Zheng, D. & Li, S. C. Ecological assets valuation of the Tibetan plateau. J. Nat. Resour. (2003).
Xie, G. D., Zhen, L., Lu, C. X., Xiao, Y. & Chen, C. Expert knowledge based valuation method of ecosystem services in China. J. Nat. Resour. 23, 911–919 (2008).
Xie, G. D., Zhang, C. X., Zhang, L. M., Chen, W. H. & Li, S. M. Improvement of the evaluation method for ecosystem service value based on per unit area. J. Nat. Resour. (2015).
Su, K., Wei, D. Z. & Lin, W. X. Evaluation of ecosystem services value and its implications for policy making in China – A case study of Fujian Province. Ecol. Ind. 108, 105752 (2020).
Yue, Y. & Xue, L. Study on the dynamics of land use and ecosystem services value in Shaanxi Province Province. J. China Agricultural Univ. 25, 20–30 (2020).
Venevsky, S. et al. Don river delta hydrological and geomorphological transformation under anthropogenic and natural forcings. Dynamics of delta shoreline, risk of coastal flooding and related management options. Ocean Coast. Manage. 258 (2024).
Guo, S., Huang, J., Zhang, X., Zhu, G. & Wen, Y. LUCC-based analysis of ecosystem service value drivers in the South-North water transfer central line recharge area. Environ. Earth Sci. (2023).
Costanza, R. et al. Changes in the global value of ecosystem services. (Elsevier, 2014).
Turner, B. L. I. et al. Land-use and land-cover change. Science/research plan. Glob. Change Rep. (Sweden) (1995).
Gashaw et al. Estimating the impacts of land use/land cover changes on ecosystem service values: the case of the Andassa watershed in the upper blue nile basin of Ethiopia. Ecosyst. Serv. 31, 219–228 (2018).
Li, P., Liu, C., Liu, L. & Wang, W. Dynamic analysis of supply and demand coupling of ecosystem services in loess hilly region: A case study of Lanzhou, China. Chin. Geogra. Sci. 31, 276–296 (2021).
Li, S. et al. Study on the multi-scale characteristics of ecosystem service trade-offs, synergies and ecosystem service bundles in Beijing. Environ. Earth Sci. 84 (2025).
Tian, Y., Wang, S., Bai, X., Luo, G. & Xu, Y. Trade-offs among ecosystem services in a typical karst watershed, SW China. Sci. Total Environ. 566–567, 1297–1308 (2016).
Zhu, Y., Liu, J. & Zhang, B. Evaluation and trade-offs/synergies of ecosystem services in Jilin Province. Sci. Rep. 15 (2025).
Feng, Q., Zhao, W., Duan, B., Hu, X. & Cherubini, F. Coupling trade-offs and supply-demand of ecosystem services(ES):A new opportunity for ES management. Geogr. Sustain. 2, 6 (2021).
Sylla, M., Hagemann, N. & Szewrański, S. Mapping trade-offs and synergies among peri-urban ecosystem services to address spatial policy. Environ. Sci. Polic. 112 (2020).
Ying, C., Ruolin, M. & Kejun, L. Exploring the Spatial heterogeneity of trade-offs and synergies across ecosystem service bundles based on supply and demand relationships in the Wuhan metropolitan area. Integr. Environ. Assess. Manage. (2025).
Gong, S. et al. Assessing and predicting ecosystem services and their Trade-Offs/Synergies based on land use change in Beijing–Tianjin–Hebei region. Sustainability 16, 5609 (2024).
Padilha, J., Carvalho-Santos, C., Cássio, F. & Pascoal, C. Land cover implications on ecosystem service delivery: a multi-scenario study of trade-offs and synergies in river basins. Environ. Manage. 73 (2024).
Ren, P. Spatiotemporal dynamics of ecosystem services and their trade-offs and synergies in response to natural and social factors: evidence from Yibin, upper Yangtze river. Land 13 (2024).
Wang, X. et al. Trade-offs and synergies of ecosystem services in karst area of China driven by Grain-for-Green program. Chin. Geogra. Sci. 30, 101–114 (2020).
Li, Y. et al. Multiscale characteristics of ecosystem service value trade-offs/synergies and their response to landscape pattern evolution in a typical karst basin in Southern China. Microelectron. J. 81 (2024).
Liu, H., Zheng, L., Wu, J. & Liao, Y. Past and future ecosystem service trade-offs in Poyang lake basin under different land use policy scenarios. Arab. J. Geosci. 13, (2020).
Zeng, X., Huang, Y., Xie, H., Ma, Q. & Li, J. Impacts of land use and land cover change on the landscape pattern and ecosystem services in the Poyang lake Basin, China. Landsc. Ecol. 39 (2024).
Zhang, H., Ahmed, Z., Han, W. & Sun, G. Ecosystem service changes and water management in the Manas river basin. Water 16 (20734441). (2024).
Su, S., Li, D., Hu, Y., Xiao, R. & Zhang, Y. Spatially non-stationary response of ecosystem service value changes to urbanization in Shanghai, China. Ecol. Ind. 45, 332–339 (2014).
Cao, J. & Tao, T. Using machine-learning models to understand nonlinear relationships between land use and travel. Transp. Res. Part. D Transp. Environ. 123, (2023).
Berihun, M. L., Tsunekawa, A., Haregeweyn, N., Tsubo, M. & Fenta, A. Changes in ecosystem service values strongly influenced by human activities in contrasting agro-ecological environments. Ecol. Processes. 10, 1–18 (2021).
Zhang, Q., Cheng, J., Wang, N. & MODIS Data Using Random Forest Regression. Fusion of All-Weather Land Surface Temperature From AMSR-E and IEEE Geosci. Remote Sens. Lett. 19, 1–5 https://doi.org/10.1109/LGRS.2021.3120431 (2022).
Xu, H. Study on ecosystem service values of urban green space systems in Suzhou City based on the extreme gradient boosting geographically weighted regression method: spatiotemporal changes, driving factors, and influencing mechanisms. Land 14 (2025).
Vega García, M. & Aznarte, J. L. Shapley additive explanations for NO2 forecasting. Ecol. Inf. 56, 101039. https://doi.org/10.1016/j.ecoinf.2019.101039 (2020).
Yang, S. et al. The coupling relationship and driving mechanism between ecological environment and high-quality economic development in the middle yellow river basin. Sci. Rep. 15, 10688. https://doi.org/10.1038/s41598-025-94462-8 (2025).
Qiu, H., Hu, B. & Zhang, Z. Impacts of land use change on ecosystem service value based on SDGs report–taking Guangxi as an example - ScienceDirect. Ecol. Indic. 133 (2021).
Wu, C., Chen, B., Huang, X. & Wei, Y. H. D. Effect of land-use change and optimization on the ecosystem service values of Jiangsu province, China. Ecol. Ind. 117, 106507 (2020).
Costanza, R., Darge, R., Groot, R. & Belt, H. The value of the world’s ecosystem services and natural capital. Nature (1996).
Zhao, Y. et al. Characteristics of spatial and temporal changes in ecosystem service value and threshold effect in Henan along the yellow River, China. Ecol. Indic. 166 (2024).
Hu, S. Research on ecosystem service value and ecological compensation standard based on land use change (2020).
Wang, L. Research on eco-economic harmony index based on ecosystem services value (2019).
Gong, J. et al. Tradeoffs/synergies of multiple ecosystem services based on land use simulation in a mountain-basin area, Western China. Ecol. Ind. 99, 283–293 (2019).
Yuling, W., Xiaolin, Z., Jiahao, W., Xiaolong, W. & Yongjiu, C. Temporal and Spatial variation of ecosystem service value and its Trade-offs and synergies in the peripheral region of the Poyang lake. GEOGRAPHICAL Sci. 42, 1229–1238. https://doi.org/10.13249/j.cnki.sgs.2022.07.010 (2022).
Du, P. et al. Using XGBoost-SHAP for Understanding the ecosystem services trade-off effects and driving mechanisms in ecologically fragile areas. Front. Plant. Sci. (2025).
Lundberg, S. & Lee, S. I. A unified approach to interpreting model predictions. (2017).
Sharma, P. & Sahoo, B. B. An ANFIS-RSM based modeling and multi-objective optimization of Syngas powered dual-fuel engine. Int. J. Hydrog. Energy. 47, 19298–19318. https://doi.org/10.1016/j.ijhydene.2022.04.093 (2022).
Li, W. & Tan, M. H. NDVI variation tendency under different slopes in Taihang Mountain. J. Chin. J. Eco-Agriculture. 25, 509–519. https://doi.org/10.13930/j.cnki.cjea.160781 (2017).
Wang, Y. F., Li, M. S., Lu, Y. D. & Luo, C. Y. Analysis of definition of slope gradient criterion for farmland to forest. Sci. Tech. Inform. Soil. Water Conserv. 3 (2004).
Tang, K. L., Zhang, K. L. & Lei, A. L. Analysis of the maximum slope for returning farmland to forest in loess hilly-gully region. Chin. Sci. Bull. 43, 4 (1998).
Yue, H., Wang, Z. & Liu, Y. Comprehensive assessment of the ecosystem in yellow river basin based on pattern-quality-service model. Environ. Model. Assess. 30 (2025).
Wang, P. & Xu, M. Dynamics and interactions of water-related ecosystem services in the yellow river Basin, China. J. Geogr Sci. 33, 1681–1701 (2023).
Chen, S. Exploring the pathways of achieving carbon peaking and carbon neutrality targets in the provinces of the yellow river basin of China. Sustainability 16 (2024).
Niu, L., Xiang, Y. Y., Zhang, Q. F., Zhao, J. Y. & Wei, Y. X. Spatiotemporal differentiation characteristics of land use and ecosystem service value in middle reaches of yellow river since 2000. Res. Soil. Water Conserv. 32, 435–443. https://doi.org/10.13869/j.cnki.rswc.2025.05.042 (2025).
Wang, Y. Q. & Sun, X. Y. Trade-off and synergy of ecosystem services in the yellow river basin and their Spatiotemporal heterogeneity. Huan Jing Ke Xue. 46, 972–989. https://doi.org/10.13227/j.hjkx.202402126 (2025).
Wei, L. I. & Minghong, T. NDVI variation tendency under different slopes in Taihang mountain. Chin. J. Eco Agric. (2017).
Wang, J., Lv, Z., Zhen, Z. & Wu, Q. Evolution of the ecological security pattern of the yellow river basin based on ecosystem services: a case study of the Shanxi section, China. Front. Environ. Sci. (2024).
Feng, Q., Zhao, W., Fu, B., Ding, J. & Wang, S. Ecosystem service trade-offs and their influencing factors: A case study in the Loess Plateau of China. Sci. Total Environ. 607–608, 1250–1263 (2017).
Fang, L. et al. Identifying the impacts of natural and human factors on ecosystem service in the Yangtze and yellow river basins. J. Clean. Prod. 314, 127995. https://doi.org/10.1016/j.jclepro.2021.127995 (2021).
Funding
This research was funded by Mechanism Study on the Impact of Near and Far Spatial Transfer of Ecosystem Services in the Fen River Basin on Regional High-Quality Development (Project No.: 2022YD066), and Shanxi Normal University Graduate “Curriculum Ideology” Model Course Development Project (Project No.: 2021YJJG146).
Author information
Authors and Affiliations
Contributions
Conceptualization, Z.Z.; Methodology, Q.C. and S.Y.; Software, Q.C.; Validation, K.Z.; Formal Analysis, Q.C.; Investigation, K.Z. and S.Y.; Resources, S.Y. and K.Z.; Data Curation, Q.C.; Writing—Original Draft Prepa-ration, Q.C.; Writing – Review & Editing, Z.Z.; Visualization, Q.C. and K.Z.; Supervision, Z.Z.; Project Adminis-tration, Z.Z.; Funding Acquisition, Z.Z. All authors have read and agreed to the published version of the manuscript.
Corresponding author
Ethics declarations
Competing interests
The authors declare no competing interests.
Additional information
Publisher’s note
Springer Nature remains neutral with regard to jurisdictional claims in published maps and institutional affiliations.
Rights and permissions
Open Access This article is licensed under a Creative Commons Attribution-NonCommercial-NoDerivatives 4.0 International License, which permits any non-commercial use, sharing, distribution and reproduction in any medium or format, as long as you give appropriate credit to the original author(s) and the source, provide a link to the Creative Commons licence, and indicate if you modified the licensed material. You do not have permission under this licence to share adapted material derived from this article or parts of it. The images or other third party material in this article are included in the article’s Creative Commons licence, unless indicated otherwise in a credit line to the material. If material is not included in the article’s Creative Commons licence and your intended use is not permitted by statutory regulation or exceeds the permitted use, you will need to obtain permission directly from the copyright holder. To view a copy of this licence, visit http://creativecommons.org/licenses/by-nc-nd/4.0/.
About this article
Cite this article
Cui, Q., Zhang, Z., Yang, S. et al. Evolution of trade-offs and synergies in ecosystem service values and visualization of driving factors-a case study of the middle reaches of the Yellow River. Sci Rep 15, 42066 (2025). https://doi.org/10.1038/s41598-025-26191-x
Received:
Accepted:
Published:
Version of record:
DOI: https://doi.org/10.1038/s41598-025-26191-x












