Abstract
Recent studies have shown that the knowledge of society about the functioning of the brain does not correspond to neuroscience data. The high prevalence of neuromyths can become a problem in the development of educational technologies. The goal of this study is to identify the prevalence of neuromyths among pre-service teachers and students of other faculties. The prevalence of neuromyths among 958 university students was studied using an anonymous survey. It was found that the specialty influenced the results: chemistry and biology students, as well as physics, mathematics, and computer science students, answered better. The effect of education is weak. Nevertheless, it has led to an alignment of results between the specialties in the older group. Self-education has a significant positive effect on students’ recognition of neurofacts. The study confirms that certain neuromyths are especially popular among students and allows us to draw conclusions about the prevalence of neuromyths among future teachers.
Similar content being viewed by others
Introduction
Throughout history, knowledge from various scientific fields has been enriching pedagogical science. At the turn of the 20th and 21st centuries, interest in interdisciplinary cognitive research using the achievements of neuroscience also increased, for example, campaigns to popularise and create research groups and university programmes (Torrijos-Muelas et al., 2020). Currently, the development of neuroimaging technologies and new discoveries about the functioning of the human body allows us to expand our understanding of the brain (Bukina et al., 2021; Han et al., 2019; Janssen et al., 2021; Khramova et al., 2021; Kurkin et al., 2020; Mcdowell et al., 2013).
Perhaps in the future, teachers will be able to fully use this data to modernise education on their own (Ansari, 2014; Goswami, 2004; Howard-Jones, 2014; Stern, 2005). Some scientists complain about this interdisciplinary connection because of the complexity and ambiguity of its organisation, and problems that may arise in the process (Busso and Pollack, 2015; Horvath and Donoghue, 2016; Willingham, 2009). One reason for concern is the susceptibility of teachers (with insufficient knowledge of neuroscience) to the influence of common myths about the development of the child’s brain.
The concept of “neuromyth” is not new, but the modern definition was formed at the beginning of the 21st century. In 2002, the Organization for Economic Cooperation and Development (OECD, 2002) defined neuromyth as a misconception caused by “a misunderstanding, a misreading and, in some cases, a deliberate warping of the scientifically established facts to make a relevant case for education or for other purposes”.
The interest in the application of new technologies based on neuroscientific myths in the educational process without a sufficient theoretical basis increases the prevalence of neuromyths among teachers (Fischer et al., 2010; Howard-Jones, 2014). There is a problem of using unreliable sources of information as the main ones. For example, questionable Internet sources that describe simplified or false research results and methods, with the assistance of which it is supposedly possible to improve educational indicators (Papadatou-Pastou et al., 2017; Zambo and Zambo, 2009). Another reason for the spread of neuromyths is publications and materials prepared by non-specialists in this field (Goswami, 2006). According to several reports, the mention of the brain and its images in the description and advertising of educational courses is the reason for increasing faith in their effectiveness (Ferrero et al., 2016; Lindell and Kidd, 2013; Weisberg et al., 2008). Im et al. (2017) found a similar effect when trust in the text content increased when brain images were added. There were also results showing that mentions of the brain are not a decisive factor, although they had a greater impact on teachers than students (Luiz et al., 2020).
Teachers’ enthusiasm for pedagogical technologies based on neuroscientific myths may not pose a direct danger to students. However, this can negatively affect the learning process and confuse the teachers themselves if they do not obtain the intended result. Using deliberately false concepts can cause wasted study time, as well as a lack of confidence, especially among novice teachers (Dekker et al., 2012; Howard-Jones and Fenton, 2012).
Researchers from different countries studied the prevalence of belief in neuromyths among teachers with different work experience, both among practicing and future specialists, for example, in South Korea (Im et al., 2018), Australia (Hughes et al., 2020), Portugal (Rato et al., 2013), America (Macdonald et al., 2017), Morocco (Janati Idrissi et al., 2020), Hong Kong (Ching et al., 2020), Turkey (Dündar and Gündüz, 2016), India (Sundaramoorthy et al., 2022) and others. Many authors have tried to find factors influencing the belief in neuromyths (predictors) (Howard-Jones et al., 2009; van Dijk and Lane, 2020). The results often did not coincide, presumably because of various factors, such as the difference in samples by population, age, and cultural characteristics, or analysis methods. According to some studies (Canbulat and Kiriktas, 2017; Dekker et al., 2012; Ferrero et al., 2016; Papadatou-Pastou et al., 2017), participants with higher levels of brain knowledge tend to trust neuromyths more. Other researchers have obtained opposite results, in which subjects with better brain knowledge were able to better identify neuromyths (Ching et al., 2020; Howard-Jones et al., 2009; Macdonald et al., 2017; van Dijk and Lane, 2020). Comparisons of subjects by preferred sources of information about neuromyths and facts (scientific or popular science journals), as well as physiological characteristics (gender, age) may also differ (Ferrero et al., 2016; Macdonald et al., 2017).
Scientists suggest different ways to solve the problem of the spread of neuromyths among teachers. One of them is conducting and distributing interdisciplinary research (Spitzer, 2012). It is also proposed to create a cooperation system between neuroscience and education by including in this system a qualified expert versed in related fields of sciences (Coch and Daniel, 2020), or by mediation with the assistance of cognitive psychology (Bruer, 1997), etc.
Teachers have a significant impact on the formation and development of the student’s personality. At the same time, many authors point to insufficient theoretical training in neuroscience for both working and future teachers, which may indirectly negatively affect the quality of education of schoolchildren. A significant number of scientists note the special popularity of some neuromyths among pre-service teachers (Canbulat and Kiriktas, 2017; Ching et al., 2020; van Dijk and Lane, 2020; Dündar and Gündüz, 2016; Düvel et al., 2017; Im et al., 2018; Kim and Sankey, 2018; Luiz et al., 2020; Papadatou-Pastou et al., 2017; van Tardif et al., 2015). Teachers and pre-service teachers meet with some neuromyths even in studying at the university or professional training events (Blanchette Sarrasin et al., 2019; Grospietsch and Mayer, 2020; Lethaby and Harries, 2016). Rogers and Anisa (2022) compared the knowledge of neuromyths among 1st and 5th-year pre-service teachers. Besides the questionnaire, they conducted an interview in which future teachers named their own positive learning experience and the positive experience of their students (when neuroscientific misconceptions were used in class) as the main reasons for believing in neuromyths. Pre-service teachers also noted that they often encountered myths in studying psychology courses at the university and from other teachers and curators at school, as well as in the media. In the study by McMahon et al. (2019), pre-service teachers noted neuromyths influenced them already at school age, for example, they performed brain exercises or were classified by their learning style.
“How and why pre-service teachers and other students should differ in their beliefs in neuromyths?”—This question is currently little studied. Prerequisites for differences can be concluded in the difference in academic disciplines, as well as basic training before admission, in the features of the psychological portrait. In the discussion, we compared our results with two relevant studies (future science teachers in comparison with future mathematics teachers, as well as a comparison of future biology teachers depending on their level of education) (Dündar and Gündüz, 2016; Grospietsch and Mayer, 2020).
Since there is a bulk of work devoted to the study of the influence of neuromyths on future teachers, we considered the problem from a different angle—we compared the neuroscientific literacy of students of various specialties to identify the correlation between the specialty of university education and students’ belief in neuromyths. The main goal of this study is to compare the results of pre-service teachers with the results of students of other specialties. The following factors of influence are considered: the student’s faculty (with special attention paid to future teachers), the level of education, as well as reading reliable literature. The last two factors reveal the effect of learning on reducing belief in neuromyths.
Methods
Participants
1074 students from the following typical regional six universities participated in the survey: Saratov State University (Saratov), Innopolis University (Kazan), Immanuel Kant Baltic Federal University (Kaliningrad), Kozma Minin Nizhny Novgorod State Pedagogical University (Nizhny Novgorod), Volgograd State Pedagogical University (Volgograd), Samara State University of Social Sciences and Education (Samara). Students for the study were recruited based on the following principles:
-
on a volunteer basis,
-
from the following specialisation groups: pedagogy, psychology, chemistry and biology, physics, mathematics, and computer science,
-
forming balanced samples by the following factors: specialty and level of education.
Since in our study we decided, first, to focus on young professionals receiving pedagogical education for the first time, we excluded the results of all respondents over 35 years old (25 people). Several departments had to be excluded from the study, as the number of respondents in them was too small in comparison with larger groups (85 people). Several people were excluded due to incorrect answers in the questionnaires (including incorrect data filling or empty questionnaires; 6 people).
The final sample comprised 958 students (725 women, 233 men; average age = 19.8 years; SD = 2.41). Students were divided into four major groups, depending on their specialisation. In the first group (n = 382), we gathered pre-service teachers (Pedagogy group, see Table 1). The second group (n = 172) combined the results of chemistry and biology students (C&B group). In the third group (n = 218), there were psychology students, including special education pre-service teachers and educational psychology students (Psychology group). The fourth group (n = 186) represented physics, mathematics, and computer science students (P&M&IT group).
Students of different levels of education participated in the survey: bachelor’s degree students in the 1st and 2nd years of study (so-called, Younger group) and bachelor’s degree students from the 3rd to the 5th year of study, master’s students, PhD students, etc. (so-called, Older group) (Table 1). Among all respondents, approximately 67% were interested in neuroscience. Among future teachers (n = 382), about 59% were interested in neuroscience.
Questionnaires
The survey was based on the study by Dekker et al. (2012). Also, we partially used the items of other researchers (Herculano-Houzel, 2002; Howard-Jones et al., 2009; Lilienfeld et al., 2009). In the text, we will mark facts with the letter F, and myths with the letter M before the number of the question. Several questions (items F11, F12, M9, and M10) about the technical principles of brain research were added by the present authors. In compiling the survey, we abandoned several items due to the emergence of mixed information in the scientific literature (e.g., the question of the effect of caffeine on children’s behaviour, as well as the question of fatty acid supplements that affect academic performance, and some others) (Macdonald et al., 2017). The survey was conducted in Russian. We have partially reformulated some items during the translation (while preserving the original meaning) to avoid ambiguity.
We divided the survey into two parts: (i) a part with questions and (ii) a part to fill in demographic data and answers to additional questions. The first part comprised 45 questions with facts about the brain (20 items) and neuromyths (25 items), the questions were mixed. A list of the facts presented (translation of phrases from Russian into English) is given in Supplementary Table A1 and the myths—in Supplementary Table A2 in Appendix A. All 20 facts about the brain were formulated as correct statements, all 25 neuromyths were false statements. The answer options were “I agree”, “I disagree”, and we also added the option “I do not know” to avoid a random answer. The correct answer is to agree with the fact and disagree with the myth. In the second part, the participants noted their age, gender, faculty, and educational level. There they also noted the sources of information from which they received knowledge about neuroscience (we used this information as the factor of reading reliable literature) and the degree of personal interest in this area.
We did not use the term neuromyth in the survey to avoid a biased attitude to the questions. Participation in the study was voluntary, the participants were informed about the anonymity of the results. The results were collected online. The students’ answers are presented in the Supplementary Table which is available in the Harvard Dataverse repository, https://doi.org/10.7910/DVN/VZ5JFG.
Data analysis
We analysed the influence on the correctness of answers of the following factors: gender, specialisation, level of education (group), and the fact of reading reliable literature. The size of each group is shown in Table 1. Before the statistical analysis, the data were checked for normality using the Shapiro–Wilk test. The data did not meet the normality criterion in all groups; therefore, we performed multiple statistical comparisons using the Wilcoxon test. For each type of comparison, the Holm–Bonferroni correction was applied to reduce the effect of the multiple comparisons problem on significance levels in statistical test results. We used Python statsmodels module to carry out the statistical analyses.
Results
Brain knowledge
Figure 1 illustrates statistics of answers to the facts about the brain among all interviewed students. Out of 20 facts, over 60% of all students more accurately noted 14 statements and 6 statements received correct answers from over 80% of students.
The most well-known facts were about the preferred ways of obtaining information (item F9, see Table 2; 92%), the effect of hormones on personality (item F1; 88%), the influence of the brain on emotions (item F13; 86%) and mental practice on productivity (item F14; 86%).
The largest number of all surveyed students (42%) did not agree with the fact about problems with academic performance (item F8): “Learning problems associated with developmental differences in brain function can be remediated by education”. Much fewer respondents (26%) were against the fact that “When a brain region is damaged other parts of the brain can take up its function” (item F10).
The facts with the largest number of answers “I don’t know” among all respondents are “Learning occurs through modification of the brains’ neural connections” (item F18; 37%), and “Brain–computer interfaces allow you to control external devices using mentally generated commands” (item F12; 34%).
Table 2 presents statistics of answers to the facts about the brain for four selected groups. Full description of the facts can be found in Supplementary Table A1 in Appendix A.
Neuromyths
Figure 2 presents the statistics of answers to the myths about the brain among all respondents. Over 50% of students agreed with 11 out of 25 neuromyths.
The most popular (90%) among all students surveyed was the neuromyth about learning styles (item M20, see Table 3) “Individuals learn better when they receive information in their preferred learning style (e.g., auditory, visual, kinaesthetic)”. The following are item M21 about the differences in the dominance of the hemispheres, as well as item M22 about exercises for the development of motor skills (both about 73%).
Neuromyths with the highest number of answers “I don’t know” among all respondents “Electroencephalography, magnetoencephalography and magnetic resonance imaging are various ways to visualise the electrical activity of the brain” (item M9; 39%), “The volume of blood in the brain increases with physical exertion” (item M18; 30%), and “Children are less attentive after consuming sugary drinks and snacks” (item M12; 29%).
Table 3 shows the answers to questions with neuromyths in four groups. Full description of the neuromyths can be found in Supplementary Table A2 in Appendix A.
Results of statistical analysis
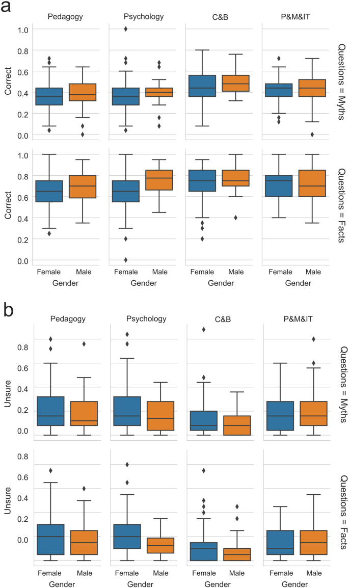
We have first tested the effect of gender. Figure 3 depicts the association between the shares of correct/unsure answers and gender. Each subplot column represents different areas of education. As can be seen, there are no significant differences between male and female answers for each group. This applies to both shares of correct and unsure answers. Thus, gender has no significant effect on identifying facts and myths. Consequently, we discarded this factor in further analysis.
Figure 4 contains boxplots of the shares of correct and unsure answers by the specialisation and by the level of education. The results concerning facts and myths are presented separately. For Fig. 4a, c, we aggregated data by the specialisation, and for Fig. 4b, d we aggregated data by the level of education.
a and c show the data aggregated by the specialisation, and b and d show the data aggregated by the level of education. p-values of the significant effects were evaluated with the Wilcoxon test: *p < 0.05, **p < 10−3, ***p < 10−4, ****p < 10−5, *****p < 10−6, ******p < 10−8. Wilcoxon effect sizes for significant comparisons in (a): C&B vs. Pedagogy—0.32, Pedagogy vs. P&M&IT— 0.24, C&B vs. Psychology—0.36, P&M&IT vs. Psychology—0.27 (for myths); C&B vs. Pedagogy— 0.26, Pedagogy vs. P&M&IT—0.2, C&B vs. Psychology—0.27, P&M&IT vs. Psychology—0.2 (for facts). In C: C&B vs. Pedagogy—0.23, C&B vs. Psychology—0.26, C&B vs. P&M&IT—0.24 (for myths); C&B vs. Pedagogy—0.28, C&B vs. Psychology—0.32, C&B vs. P&M&IT—0.24, Pedagogy vs. P&M&IT—0.12 and P&M&IT vs. Psychology—0.13 (for facts).
Based on the results in Fig. 4a, c, it is clear that biology students give the right answers more often and less unsure answers than other groups. Moreover, people from P&M&IT group are more confident in identifying facts, compared to pedagogy and psychology groups. Figure 4a shows that myths and facts are identified best of all by C&B and P&M&IT groups. No difference in the correctness of answers is observed between these groups.
We have not found significant differences in the shares of correct and unsure answers between the younger and the older groups.
Figures 5 and 6 contain boxplots of the shares of correct and unsure answers by the specialisation and by the level of education without aggregation by any of these factors. Figure 5b shows that students from the younger P&M&IT and C&B groups are more accurate in identifying facts than the others but this effect evens out in the older group. Figure 5a shows that no significant differences were found between the younger and older groups when dividing by specialisation. However, visual analysis clarifies that the results obtained in Fig. 5b are related to the fact that the pre-service teachers and psychology students begin to identify facts more accurately as the level of education increases, while C&B, on the contrary, gives fewer correct answers.
a shows data for correct answers in comparison of education levels for different specialisations, and b shows data for correct answers in comparison of specialisations for different education levels. p values of the significant effects were evaluated with the Wilcoxon test: *p < 0.05, **p < 10−2, ***p < 10−3, ****p < 10−4, *****p < 10−6. Wilcoxon effect sizes for significant comparisons in (b): C&B vs. Pedagogy—0.36, C&B vs. Psychology—0.36, C&B vs. P&M&IT—0.21 (for myths, younger group); Pedagogy vs. P&M&IT—0.29, C&B vs. Psychology—0.35, Pedagogy vs. P&M&IT— 0.29 (for myths, older group); C&B vs. Pedagogy—0.38, Pedagogy vs. P&M&IT—0.26, P&M&IT vs. Psychology—0.25 and C&B vs. Psychology—0.36 (for facts, younger group).
a shows data for unsure answers in comparison of education levels for different specialisations, and b shows data for unsure answers in comparison of specialisations for different education levels. p values of the significant effects were evaluated with the Wilcoxon test: *p < 10−2, **p < 10−4, ***p < 10−5. Wilcoxon effect sizes for significant comparisons in (b): C&B vs. Pedagogy—0.31, C&B vs. Psychology—0.33, C&B vs. P&M&IT—0.32 (for myths, younger group); C&B vs. Pedagogy—0.39, C&B vs. Psychology—0.4, C&B vs. P&M&IT—0.25 (for facts, younger group).
At the same time, students from the younger C&B group gave the most accurate answers regarding myths. In the older group, the accuracy of P&M&IT students also increases, and their results do not differ from the results of C&B students. Analysis of the results in Fig. 5a shows that the last effect is due to the fact that the P&M&IT students give more accurate answers to myths with increasing levels of education, while C&B students, on the contrary, begin to distinguish myths worse than before. The accuracy of identifying facts in pedagogy and psychology students’ groups is better in the older group, while the accuracy of identifying the myths stays the same.
Figure 6 shows the same contrasts as Fig. 5 but for uncertain responses. Figure 6b demonstrates that C&B has the least share of uncertain responses in the younger group, but these differences become insignificant in the older group. Just as with the shares of correct answers, there are no significant differences between education levels for each specialisation. It is clear from Fig. 6 that on average everyone, except C&B, begins to give fewer unsure responses with increasing the level of education. As a consequence, there is no difference between the areas of education in the older group.
Figure 7 shows the shares of correct answers to myths and facts depending on the reading of reliable scientific sources (scientific literature, articles, reports, etс.). We aggregated all data without dividing by education level or specialisation because we aimed to study the main effect of reading reliable literature. The results have revealed that reading reliable scientific sources helped respondents to recognise facts more precisely. However, both groups have shown similar results in recognising myths.

a shows data for correct answers to myths, and b shows data for correct answers to facts. p value of the significant effect was evaluated with the Wilcoxon test: *p < 10−4. Wilcoxon effect sizes for significant comparisons: No vs. Yes—0.14 (for facts).
Effect sizes for all significant comparisons (see figure captions for Figs. 4–7) are medium.
Discussion
The goal of this study was to investigate the level of neuroscientific literacy, as well as the prevalence of neuromyths among pre-service teachers and students of other educational fields on the example of six regional universities in Russia. Below, we will discuss the features of our research in comparison with the results of other authors.
Pre-service teachers demonstrated good results when checking their neuroscience literacy—half of the respondents answered 16 out of 20 facts about the brain more accurately. The answers to the F8 turned out to be unexpected—39% of pre-service teachers felt that learning would not help to correct the problems with academic performance associated with differences in brain development. For example, there were 24% comparable answers among students from Greece (Papadatou-Pastou et al., 2017), 19% among students from Turkey (Dündar and Gündüz, 2016), and only 5% among students from the USA (van Dijk and Lane, 2020). Although the authors themselves suggest that the sample could affect the result, over 50% were engaged in special education there (van Dijk and Lane, 2020). We assume that such results in our study may be related to (1) the incorrect interpretation of the question by the respondents (the degree and type of differences in brain development were not specified, which could confuse them); and (2) insufficient knowledge of students in inclusive education. These factors were more likely to influence the responses of non-teaching students from the C&B group (50%).
According to our results, some neuromyths are especially popular among students, which also coincides with similar studies in other countries (Ching et al., 2020; Dekker et al., 2012; Dündar and Gündüz, 2016; Pei et al., 2015). Myths about learning styles (92%), hemispheric dominance (80%), and exercises for connecting hemispheres, as well as for literacy skills (77% and 75%) turned out to be the most popular neuromyths among Russian pre-service teachers.
The myth of learning styles is one of the most popular among respondents in most of the studies we reviewed (Ching et al., 2020; Ferrero et al., 2016; Gleichgerrcht et al., 2015; Grospietsch and Mayer., 2019; Karakus et al., 2015; Papadatou-Pastou et al., 2017; Pei et al., 2015). The main reason for this is its widespread popularisation, including in the pedagogical environment and the training of pre-service teachers (Torrijos-Muelas et al., 2020). Although we do not consider this myth damaging enough for the learning process despite its popularity, because it is impossible to present all educational information in only one specific form. However, such an approach to learning can distract the teacher’s attention from more significant issues, as well as cause some discomfort to the students.
In Russian schools, teachers are most often not familiar with the Brain Gym programme, which is popular in only a few regions of the world, and the effectiveness of this programme has long been recognised as unproven (Hyatt, 2007). However, myths about the positive impact of certain exercises are spreading in Russian communities of teachers and psychologists. Usually, they are called “Brain Development Exercises”. These exercises are extremely similar to those used in the programme. This probably supports their popularity even without direct commercial influence.
The results for item M19 “Environments that are rich in stimulus improve the brains of pre-school children” were not as high (69%) as for the others: 94% in the USA (van Dijk and Lane, 2020), 95% in the UK (Dekker et al., 2012). As Ferrero et al. (2016) emphasise, such popularity may also be a consequence of the widespread distribution of commercial educational products developed in isolation from proven neuroscientific knowledge. As in a previous study (Dekker et al., 2012), the popularity of certain myths is also noticeable among Russian students. They are distributed through educational websites, conferences, and advertising of various educational programmes for brain development when teaching schoolchildren and students, as well as through rumours.
It should be noted that by adding the “I don’t know” answer option, we avoided a large number of randomised responses. About 20–40% of all respondents answered “I don’t know” to more than half of the facts and neuromyths. In particular, noticeable difficulties were caused by the questions we added, that relate to the procedures for conducting brain research (items F11, F12, M9, and M10). Such results also highlight the problem of students’ limited knowledge on this topic, especially among future teachers and psychology students. Students from the C&B group showed noticeably better results in this type of question.
We found that the gender of the respondent did not affect the correctness of the answers.
In comparing neuroscience literacy among students of various faculties we revealed that the C&B and P&M&IT groups showed better initial levels of neuroscience competence compared to the Pedagogy and Psychology groups. Regarding the C&B group, this may be a consequence of preparing for university. The reasons for the decline in the results of determining facts and myths in the C&B group during the education process are unclear. According to Dündar and Gündüz (2016), future teachers of natural sciences coped better with the identification of neuromyths compared to pre-service teachers of pedagogical and mathematical faculties. However, in the study by Grospietsch and Mayer (2020), biology pre-service teachers demonstrated a fairly high faith in neuromyths, although the quality of scientific knowledge increased among older students.
Psychology, pedagogy, and brain basics are laid at the time of studying at university, as well as partially at school. In Russian universities, future teachers and students of some other faculties study the course of age-related anatomy. But the allotted time may not be enough to understand the features of the brain functioning in children. We have analysed the curricula of this course at several universities mentioned in this article. Based on the available data, the topics of interest averaged from 4 to 13 h of lectures and practices (Samara State University of Social Sciences and Education, n.d.; Saratov State University, n.d.). Although the difference between the groups with the change in education level is not significant, it can be noted that the Pedagogy and Psychology groups have become better at determining facts with increasing levels of education. The reason for this may be taking the course of age-related anatomy or similar in correspondence with the curriculum. However, maintaining the same level of knowledge of neuromyths may signal that such courses do not contain information about them or do not reduce belief in them.
We can conclude that despite the differences between students of different faculties, their neuroscience literacy is relatively levelled as they continue to study. For example, the training and taking the course of age-related anatomy or other similar courses by pre-service teachers contributes to this.
Various authors believe that to prevent neuromyths, it is necessary to increase neuroscientific literacy through targeted training, teaching courses on the topic that would include general knowledge of neuroscience and a description of methods of neuroscientific research (Ching et al., 2020; Dekker et al., 2012; Im et al., 2018; Kim and Sankey, 2018; Papadatou-Pastou et al., 2017). However, there are mixed results here as well. Some researchers confirm the effectiveness of such training in improving neuroscience literacy (Anderson et al., 2018; Privitera, 2021; Roehrig et al., 2012; Ruiz-Martin et al., 2022; Schwartz et al., 2019). Others note that participation in the courses had a positive effect on literacy, but did not eliminate faith in neuromyths (Canbulat and Kiriktas, 2017; Im et al., 2018; Macdonald et al., 2017; Torrijos-Muelas et al., 2020). In the work by Dijk and Lane (2020), pedagogical students less trusted both neuromyths and neuroscientific facts after passing specialised training.
Considering ways to disprove neuromyths, Kowalski and Kujawski Taylor (2012) considered a direct refutation of myths to be the most reliable of them. However, there is a possibility of the opposite reaction to a direct refutation—strengthening faith in myths (Grospietsch and Mayer, 2020). Lithander et al. (2021) studied the effectiveness of various forms of refutation (refutation-only, refutation-explanation, refutation-explanation, and image) and determined that all three forms were effective a month after correction.
Despite the mixed results, at the moment, reading reliable scientific literature and participating in relevant courses seem quite effective in improving neuroscience literacy.
The increased belief in neuromyths among future teachers is worrying. Perhaps this is due to the relaying of the experience of their former teachers, and they choose a pedagogical style “the same as they were taught”. It is also possible that higher values of belief in neuromyths are associated with insufficient knowledge of age-related anatomy or psychology of schoolchildren. In our opinion, we can propose not only increasing psychological training, but it is also necessary to integrate modern knowledge from the field of neuroscience into the teacher training system.
Conclusions
The problem of the prevalence of neuromyths in the pedagogical environment is noted by scientists from different countries of the world. The reason for this, first, is the complexity of interpreting the results of neuroscientific research for an untrained person, hence distortions and simplifications of information arise. In this case, the inclusion (and updating) of existing neuromyths and their refutations in the programme of university courses can have a positive effect, as well as an increase in the number of hours allocated to the relevant topics.
In our study, we investigated the differences in neurobiological literacy and the prevalence of neuromyths among pre-service teachers and students of other specialties. As considered in the discussion, the study indicates some specific differences in the results of students of different specialisations. Specialisation had some influence on the success of choosing the right answers in a survey of a biology and chemistry students’ group. Presumably, in the younger group this could be influenced by preparation for university entrance exams.
The recognition skills of neuroscientific facts among pre-service teachers and psychology students have increased in the older groups, which may indicate a positive effect of university education. At the same time, the ability to recognise neuromyths remained at the same level, which may be the source of the problem of the spread of neuromyths among teaching staff—despite the increase in neuroscientific literacy, future teachers trust neuromyths to the same extent even after a long study at the university.
One limitation of our study is the imbalance of the samples by specialisation. In order to balance the number of participants from pedagogical and psychological faculties and others, it was necessary to combine students in groups of related specialisations (C&B and P&M&IT groups).
The results of this study confirm the problem of the prevalence of neuromyths among students and, in particular, future teachers. These results may serve as a reason for further research in this direction, as well as the search for ways to reduce belief in neuromyths.
Data availability
The datasets generated during and analysed during the current study are available in the Harvard Dataverse repository, https://doi.org/10.7910/DVN/VZ5JFG.
References
Anderson RK, Boaler J, Dieckmann JA (2018) Achieving elusive teacher change through challenging myths about learning: a blended approach. Educ Sci 8(3):98. https://doi.org/10.3390/educsci8030098
Ansari D (2014) Mind, brain, and education: a discussion of practical, conceptual, and ethical issues. In: Clausen J, Levy N (eds) Handbook of Neuroethics, Springer, pp 1703–1719. https://doi.org/10.1007/978-94-007-4707-4_146
Blanchette Sarrasin J, Riopel M, Masson S (2019) Neuromyths and their origin among teachers in Quebec. Mind Brain Educ 13(2):100–109. https://doi.org/10.1111/mbe.12193
Bruer JT (1997) Education and the brain: a bridge too far. Educ Res 26(8):4–16. https://doi.org/10.3102/0013189X026008004
Bukina TV, Khramova MV, Kurkin SA (2021) Modern research on primary school children brain functioning in the learning process: review. Izv Vuz Appl Nonlinear Dyn 29(3):449–456. https://doi.org/10.18500/0869-6632-2021-29-3-449-456
Busso DS, Pollack C (2015) No brain left behind: consequences of neuroscience discourse for education. Learn Media Technol 40(2):168–186. https://doi.org/10.1080/17439884.2014.908908
Canbulat T, Kiriktas H (2017) Assessment of educational neuromyths among teachers and teacher candidates. J Educ Learn 6(2):326. https://doi.org/10.5539/jel.v6n2p326
Ching FNY, So WWM, Lo SK, Wong SWH (2020) Preservice teachers’ neuroscience literacy and perceptions of neuroscience in education: Implications for teacher education. Trends Neurosci Educ 21:100144. https://doi.org/10.1016/j.tine.2020.100144
Coch D, Daniel D (2020) Lost in Translation: educational psychologists as intermediaries between neuroscience and education. Front Educ 5. https://doi.org/10.3389/feduc.2020.618464
Dekker S, Lee NC, Howard-Jones P, Jolles J (2012) Neuromyths in education: prevalence and predictors of misconceptions among teachers. Front Psychol 3:429. https://doi.org/10.3389/fpsyg.2012.00429
Dündar S, Gündüz N (2016) Misconceptions regarding the brain: the neuromyths of preservice teachers. Mind Brain Educ 10(4):212–232. https://doi.org/10.1111/mbe.12119
Düvel N, Wolf A, Kopiez R (2017) Neuromyths in music education: prevalence and predictors of misconceptions among teachers and students. Front Psychol 8:629. https://doi.org/10.3389/fpsyg.2017.00629
Ferrero M, Garaizar P, Vadillo MA (2016) Neuromyths in education: prevalence among spanish teachers and an exploration of cross-cultural variation. Front Hum Neurosci 10:496. https://doi.org/10.3389/fnhum.2016.00496
Fischer KW, Goswami U, Geake J, the Task Force on the Future of Educational Neuroscience (2010) The future of educational neuroscience. Mind Brain Educ 4(2):68–80. https://doi.org/10.1111/j.1751-228X.2010.01086.x
Gleichgerrcht E, Lira Luttges B, Salvarezza F, Campos AL (2015) Educational neuromyths among teachers in Latin America: educational neuromyths among Latin American teachers. Mind Brain Education 9(3):170–178. https://doi.org/10.1111/mbe.12086
Goswami U (2004) Neuroscience and education. Br J Educ Psychol 74:1–14. https://doi.org/10.1348/000709904322848798
Goswami U (2006) Neuroscience and education: from research to practice? Nat Rev Neurosci 7(5):406–413. https://doi.org/10.1038/nrn1907
Grospietsch F, Mayer J (2020) Misconceptions about neuroscience—prevalence and persistence of neuromyths in education. Neuroforum 26(2):63–71. https://doi.org/10.1515/nf-2020-0006
Grospietsch F, Mayer J (2019) Pre-service science teachers’ neuroscience literacy: neuromyths and a professional understanding of learning and memory. Front Hum Neurosci 13:20. https://doi.org/10.3389/fnhum.2019.00020
Han H, Soylu F, Anchan DM (2019) Connecting levels of analysis in educational neuroscience: a review of multi-level structure of educational neuroscience with concrete examples. Trends Neurosci Educ 17:100113. https://doi.org/10.1016/j.tine.2019.100113
Herculano-Houzel S (2002) Do you know your brain? A survey on public neuroscience literacy at the closing of the decade of the brain. Neuroscientist 8(2):98–110. https://doi.org/10.1177/107385840200800206
Horvath JC, Donoghue GM (2016) A bridge too far—revisited: reframing Bruer’s neuroeducation argument for modern science of learning practitioners. Front Psychol 7:377. https://doi.org/10.3389/fpsyg.2016.00377
Howard-Jones PA (2014) Neuroscience and education: myths and messages. Nat Rev Neurosci 15(12):817–824. https://doi.org/10.1038/nrn3817
Howard-Jones PA, Fenton KD (2012) The need for interdisciplinary dialogue in developing ethical approaches to neuroeducational research. Neuroethics 5(2):119–134. https://doi.org/10.1007/s12152-011-9101-0
Howard-Jones P, Franey L, Mashmoushi R, Liao Y-C (2009) The Neuroscience Literacy of Trainee Teachers. Paper presented at the British Educational Research Association Annual Conference, University of Manchester, Manchester, 2–5 September 2009
Hughes B, Sullivan KA, Gilmore L (2020) Why do teachers believe educational neuromyths? Trends Neurosci Educ 21:100145. https://doi.org/10.1016/j.tine.2020.100145
Hyatt K (2007) Brain Gym(R): building stronger brains or wishful thinking? Rem Spec Educ 28(2):117–124. https://doi.org/10.1177/07419325070280020201
Im S-H, Varma K, Varma S (2017) Extending the seductive allure of neuroscience explanations effect to popular articles about educational topics. Br J Educ Psychol 87(4):518–534. https://doi.org/10.1111/bjep.12162
Im S-H, Cho J-Y, Dubinsky JM, Varma S (2018) Taking an educational psychology course improves neuroscience literacy but does not reduce belief in neuromyths. PLoS ONE 13(2):e0192163. https://doi.org/10.1371/journal.pone.0192163
Janati Idrissi A, Alami M, Lamkaddem A, Souirti Z (2020) Brain knowledge and predictors of neuromyths among teachers in Morocco. Trends Neurosci Educ 20:100135. https://doi.org/10.1016/j.tine.2020.100135
Janssen TWP, Grammer JK, Bleichner MG et al. (2021) Opportunities and limitations of mobile neuroimaging technologies in educational neuroscience. Mind Brain Educ 15(4):354–370. https://doi.org/10.1111/mbe.12302
Karakus O, Howard-Jones PA, Jay T (2015) Primary and secondary school teachers’ knowledge and misconceptions about the Brain in Turkey. Procedia—Soc Behav Sci 174:1933–1940. https://doi.org/10.1016/j.sbspro.2015.01.858
Khramova MV, Kuc AK, Maksimenko VA et al. (2021) Monitoring the cortical activity of children and adults during cognitive task completion. Sensors (Basel) 21(18):6021. https://doi.org/10.3390/s21186021
Kim M, Sankey D (2018) Philosophy, neuroscience and pre-service teachers’ beliefs in neuromyths: a call for remedial action. Educ Philos Theory 50(13):1214–1227. https://doi.org/10.1080/00131857.2017.1395736
Kowalski PS, Kujawski Taylor A (2012) Effectiveness of refutational teaching for high- and low-achieving students. J Scholarsh Teach Learn 11(1):79–90
Kurkin SA, Grubov VV, Maksimenko VA et al. (2020) System for monitoring and adjusting the learning process of primary schoolchildren based on the EEG data analysis. Inf-Upr Sist (Inf Control Syst) 5:50–61. https://doi.org/10.31799/1684-8853-2020-5-50-61
Lethaby C, Harries P (2016) Learning styles and teacher training: are we perpetuating neuromyths? ELT J 70(1):16–27. https://doi.org/10.1093/elt/ccv051
Lilienfeld SO, Lynn SJ, Ruscio J, Beyerstein BL (2009) 50 great myths of popular psychology: shattering widespread misconceptions about human behavior. Wiley-Blackwell
Lindell A, Kidd E (2013) Consumers favor “right brain” training: the dangerous lure of neuromarketing. Mind Brain Educ7(1):35–39. https://doi.org/10.1111/mbe.12005
Lithander MPG, Geraci L, Karaca M, Rydberg J (2021) Correcting neuromyths: a comparison of different types of refutations. J Appl Res Mem Cogn 10(4):577–588. https://doi.org/10.1037/h0101862
Luiz I, Lindell AK, Ekuni R (2020) Neurophilia is stronger for educators than students in Brazil. Trends Neurosci Educ 20:100136. https://doi.org/10.1016/j.tine.2020.100136
Macdonald K, Germine L, Anderson A et al. (2017) Dispelling the myth: training in education or neuroscience decreases but does not eliminate beliefs in neuromyths. Front Psychol 8:1314. https://doi.org/10.3389/fpsyg.2017.01314
Mcdowell K, Lin C-T, Oie KS et al. (2013) Real-World neuroimaging technologies. IEEE Access 1:131–149. https://doi.org/10.1109/ACCESS.2013.2260791
Mcmahon K, Yeh C, Etchells P (2019) The impact of a modified initial teacher education on challenging trainees’ understanding of neuromyths. Mind Brain Educ 13 https://doi.org/10.1111/mbe.12219
Organisation for Economic Co-operation and Development (eds) (2002) Understanding the brain: towards a new learning science. OECD, Paris
Papadatou-Pastou M, Haliou E, Vlachos F (2017) Brain knowledge and the prevalence of neuromyths among prospective teachers in Greece. Front Psychol 8:804. https://doi.org/10.3389/fpsyg.2017.00804
Pei X, Howard-Jones PA, Zhang S et al. (2015) Teachers’ understanding about the brain in East China. Procedia Soc Behav Sci 174:3681–3688. https://doi.org/10.1016/j.sbspro.2015.01.1091
Privitera AJ (2021) A scoping review of research on neuroscience training for teachers. Trends Neurosci Educ 24:100157. https://doi.org/10.1016/j.tine.2021.100157
Rato J, Abreu AM, Castro-Caldas A (2013) Neuromyths in education: what is fact and what is fiction for Portuguese teachers? Educ Res 55:441–453. https://doi.org/10.1080/00131881.2013.844947
Roehrig GH, Michlin M, Schmitt L et al. (2012) Teaching neuroscience to science teachers: facilitating the translation of inquiry-based teaching instruction to the classroom. LSE 11(4):413–424. https://doi.org/10.1187/cbe.12-04-0045
Rogers J, Anisa C (2022) Are university faculty to blame for the prevalence of educational myths? A Cross-sectional study of trainee teachers. Int J Teach Learn High Educ 33(2):206–215
Ruiz-Martin H, Portero-Tresserra M, Martínez-Molina A, Ferrero M (2022) Tenacious educational neuromyths: prevalence among teachers and an intervention. Trends Neurosci Educ 29:100192. https://doi.org/10.1016/j.tine.2022.100192
Samara State University of Social Sciences and Education (n.d.). Information about ongoing educational programs. https://www.sgspu.ru/sveden/education/eduaccred/. Accessed 5 Sept 2022
Saratov State University. (n.d.). Educational programs. Retrieved Sept 5, 2022, from https://www.sgu.ru/education/courses
Schwartz MS, Hinesley V, Chang Z, Dubinsky JM (2019) Neuroscience knowledge enriches pedagogical choices. Teach Teach Educ 83:87–98. https://doi.org/10.1016/j.tate.2019.04.002
Spitzer M (2012) Education and neuroscience. Trends Neurosci Educ 1(1):1–2. https://doi.org/10.1016/j.tine.2012.09.002
Stern E (2005) Brain goes to school. Trends Cogn Sci 9(12):563–565. https://doi.org/10.1016/j.tics.2005.11.001
Sundaramoorthy J, Pandey V, Lakshmana G RE (2022) Neuromyths in Education: Prevalence Among South Indian School Teachers. Front Educ 7:781735. https://doi.org/10.3389/feduc.2022.781735
Tardif E, Doudin P-A, Meylan N (2015) Neuromyths Among teachers and student teachers. Mind Brain Educ 9(1):50–59. https://doi.org/10.1111/mbe.12070
Torrijos-Muelas M, González-Víllora S, Bodoque-Osma AR (2020) The persistence of neuromyths in the educational settings: a systematic review. Front Psychol 11:591923. https://doi.org/10.3389/fpsyg.2020.591923
van Dijk W, Lane HB (2020) The brain and the US education system: perpetuation of neuromyths. Exceptionality 28(1):16–29. https://doi.org/10.1080/09362835.2018.1480954
Weisberg DS, Keil FC, Goodstein J et al. (2008) The seductive allure of neuroscience explanations. J Cogn Neurosci 20(3):470–477. https://doi.org/10.1162/jocn.2008.20040
Willingham DT (2009) Three problems in the marriage of neuroscience and education. Cortex 45(4):544–545. https://doi.org/10.1016/j.cortex.2008.05.009
Zambo D, Zambo R (2009) What future teachers think about brain research. Teach Educ Psychol 5(2):39–49
Acknowledgements
The work is supported by the Immanuel Kant Baltic Federal University Strategic Academic Leadership Programme (“PRIORITY-2030”). We thank the students and the administration of the Universities for participating in the study.
Author information
Authors and Affiliations
Contributions
MVK—contribution to the research concept and organization of the survey of subjects; editing of the manuscript. TVB—conducting a review analysis of research on the topic, preparing and editing the manuscript. NMS—conducting formal and statistical analysis. SAK and AEH—conducting statistical analysis, critical review of the manuscript and guidance of the research process.
Corresponding author
Ethics declarations
Competing interests
The authors declare no competing interests.
Ethical approval
Approval was obtained from the ethics committee of the Immanuel Kant Baltic Federal University (approval number 7/2022, dated 17 May 2022). The procedures used in this study adhere to the tenets of the Declaration of Helsinki.
Informed consent
Informed consent was received from the participants to take part in the study. The study was explained to the participants on the first web page of the questionnaire. Participants could start filling out the questionnaire or stop responding to questions at any time at will.
Additional information
Publisher’s note Springer Nature remains neutral with regard to jurisdictional claims in published maps and institutional affiliations.
Supplementary information
Rights and permissions
Open Access This article is licensed under a Creative Commons Attribution 4.0 International License, which permits use, sharing, adaptation, distribution and reproduction in any medium or format, as long as you give appropriate credit to the original author(s) and the source, provide a link to the Creative Commons license, and indicate if changes were made. The images or other third party material in this article are included in the article’s Creative Commons license, unless indicated otherwise in a credit line to the material. If material is not included in the article’s Creative Commons license and your intended use is not permitted by statutory regulation or exceeds the permitted use, you will need to obtain permission directly from the copyright holder. To view a copy of this license, visit http://creativecommons.org/licenses/by/4.0/.
About this article
Cite this article
Khramova, M.V., Bukina, T.V., Smirnov, N.M. et al. Prevalence of neuromyths among students and pre-service teachers. Humanit Soc Sci Commun 10, 950 (2023). https://doi.org/10.1057/s41599-023-02412-4
Received:
Accepted:
Published:
Version of record:
DOI: https://doi.org/10.1057/s41599-023-02412-4
This article is cited by
-
Rethinking classroom design to improve learning
Nature Human Behaviour (2025)








