Abstract
The Córdoba Courtyards Festival, declared Intangible Cultural Heritage by UNESCO in 2012, has bolstered tourism activity and the city of Córdoba’s international renown. This study analyzes the relationship between visitors’ perceptions of the event’s quality and the impact of these impressions on their emotional experiences, satisfaction, and future behavioral intentions. To this end, fieldwork was carried out at the 2022 edition of the Fiesta de los Patios (Courtyards Festival), with 586 valid surveys being obtained, to which a structural equation model (PLS-SEM) was applied to evaluate these interactions. The results show that perceived quality has a direct effect on tourists’ degrees of satisfaction and the quality of their emotional experiences. In addition, both their levels of satisfaction and the quality of their emotional experiences shape their intentions to revisit and recommend the event. These findings underscore the importance of management geared towards continuously improving quality to boost visitors’ loyalty and burnish the Destination image. This study has key implications for tourism management, highlighting the need for strategies that optimize perceptions of the event and guarantee memorable experiences.
Similar content being viewed by others
Introduction
Tourism linked to Intangible Cultural Heritage (ICH) has received increasing academic attention in recent years, as it is recognized that these manifestations constitute unique but also fragile tourism resources, whose management requires a balance between preservation and development (UNESCO, 2003; Lenzerini, 2011). The Convention for the Safeguarding of the Intangible Cultural Heritage (UNESCO, 2003) underscores the importance of protecting living traditions—such as rituals, festivals, traditional knowledge, and folk arts—which, in addition to generating cultural identity, can become high-value tourist attractions.
From a tourism perspective, several studies have analyzed the relationship between ICH and the visitor experience. Also underlined the relevance of ICH as a driver of local development. Shakya (2024) shows how intangible heritage can promote rural sustainability in Europe, while Lonardi (2022) analyzes its role in preserving minority identities.
At the institutional level, the World Tourism Organization (UNWTO, 2013) has pointed out that tourism associated with ICH constitutes an opportunity to diversify the offer and generate authentic experiences.
Although the Fiesta de los Patios (Courtyard Festival) has international recognition as a result of its designation as an Intangible Cultural Heritage by UNESCO, empirical studies on intangible heritage that analyze the influence of its listing on visitors’ perceptions of quality, lived experience, and loyalty to the event are scarce. In other words, there is a gap in the literature on this aspect. In a tourism context where destinations compete by creating authentic experiences, this study provides empirical evidence of an Intangible Cultural Heritage on the factors that enable visitor loyalty through the management of perceived quality and the emotions generated by the event.
Intangible Cultural Heritage inscriptions are often understood as tourism experiences, which highlights the value of these recognitions from the perspective of tourist engagement (Alahakoon & Udunuwara, 2022). On an annual basis, UNESCO publishes its Intangible Cultural Heritage (ICH) and World Heritage Sites (WHS) inscriptions. The objective of drawing up these lists is to uphold these places to preserve them for future generations, although they also constitute an important tourism draw as well (Mariani and Guizzardi, 2020). Under the umbrella of the inscription granted by UNESCO, a distinction is created—a “brand” that is considered synonymous with the tourism quality of the destination and plays a key role in its economic development (Vena Oya et al., 2022). Several authors have pointed out the positive relationship between the generational transmission of Intangible Cultural Heritage inscriptions as a tourism resource (Kim et al., 2019), as in many cases they are what enable an ICH to survive (Qiu et al., 2020).
In 2012 the Córdoba Courtyards Fiesta was declared ICH, as it was deemed to “promote the courtyard’s function as an intercultural meeting site promoting a sustainable and collective way of life based on the forging of solid social ties and networks of solidarity and exchanges between neighbors, stimulating, at the same time, the acquisition of knowledge and respect for nature” (UNESCO, 2012). In economic terms, the designation resulted in an increase in tourism to the city of Córdoba, as it elevated the event to an international level that it had previously lacked (Manjavacas Ruiz, 2018).
The scientific literature has indicated the importance of perceived quality with regard to tourism experiences and the development of loyalty to a destination (Tran et al., 2022). In the field of cultural tourism, tourists’ satisfaction, in addition to being the result of comparing expectations and experiences (Kozak et al., 2005), also affects the likelihood that they will recommend the destination and return to it (Bayih and Singh, 2020). In addition, it has been shown that the emotions tourists feel during their visits play a fundamental role in the creation of affective bonds with the destination, strengthening their future behavioral intentions (Nguyen and Duong, 2025).
The aim of this study, then, is to analyze the effect that perceived quality has on the emotional experiences, satisfaction, and future behavioral intentions of tourists who visit the Córdoba Courtyards Festival. That is, the main objective of this research is to analyze the influence of perceived value on the emotional experience, satisfaction, and behavioral intention of tourists attending the Córdoba Courtyards Festival, in order to identify the key factors that favor the generation of tourist loyalty in the context of an event declared intangible cultural heritage by UNESCO. Based on the existing literature in this field, we seek to understand how perceptions of the quality of the destination impact the generation of positive emotions in visitors, and their degrees of satisfaction, and how these factors, in turn, affect their loyalty and their recommendations of the event to third parties. Intangible Cultural Heritage inscriptions are often understood as tourism experiences, which highlights the value of these inscriptions from the point of view of the touristic experience (Alahakoon and Udunuwara, 2022). The specific objectives of the research are to evaluate the effect of perceived quality on tourist satisfaction, the relationship between perceived value and emotional experience and behavioral intention, as well as to validate the structural equation model that integrates these relationships in the field of intangible heritage.
In this study, a structural equation model (PLS-SEM) will be applied to analyze the relationships between perceived quality, satisfaction, emotional experience, and behavioral intention. The results are expected to be useful for the issuance of recommendations for the enhanced management of tourist events and to burnish the image of the Córdoba Courtyards Festival as a sustainable and competitive attraction in the tourism market. For efficient management of tourist destinations, information on the influence of the quality of the services provided on satisfaction and loyalty is necessary. Therefore, this study makes both a theoretical and practical contribution, offering useful tools for the design and promotion of cultural events.
Literature review
Tourists’ perceptions of quality
Aaker (1991) defines perceived quality as the customer’s perception of the quality of a product, or its superiority or inferiority in relation to its intended purpose of use; that is, the quality that consumers perceive will refer to the impression that they get of the product (Solin and Curry, 2023). Applying this definition to the field of Tourism, the quality tourists perceive can be defined as their judgments based on the feelings generated by the experiences they have had at a given destination (Jin, Lee and Lee, 2015). Other authors, however, define perceived quality not as the tourist’s emotional response, but rather a cognitive one, to the quality of the destination infrastructure, accommodations, and entertainment offerings (Tran et al., 2022; Hazel and Kang, 2018).
Perceived quality is understood to be one of the key factors when developing marketing strategies in the tourism industry (Wang et al., 2017), as it is one of the vital components in the creation of the destination “brand” (Horng et al., 2012). So much so that perceived quality allows the brand to be differentiated from its competitors and, in this way, consumers justify their purchases (Shi et al., 2022). If tourists perceive the destination to be of high quality, their self-congruence with the destination brand will be stronger (Xu et al., 2021). Therefore, it is of great importance for tourism managers to be aware of the characteristics of destinations that enhance tourists’ perceptions of their quality. However, due to its subjective nature, quality is often difficult to define. In addition, it is constantly changing, as tourists continually evaluate quality in comparison to their expectations (Chi et al., 2020a). That is, the perceived quality of a tourist destination is the result of visitors’ judgments, in which they compare their expectations regarding the service, and their perceptions of it, which is subjective (Parasuraman et al., 1988)
Perceived quality has been used in various studies to study tourists’ levels of satisfaction, as well as their future behavioral intentions (Vinh and Phuong, 2017).
In relation to the influence of perceived quality on tourists’ satisfaction, there are several studies that associate the two concepts. The study carried out by Ranjbarian and Pool (2015), stresses how tourists’ perceptions of the quality and value of a destination have a direct effect on their degrees of satisfaction, and how both factors impact their plans in terms of their future behavior and intentions to return. In this way, perceived quality can become an important predictor of the satisfaction experienced on the trip (Kao et al., 2008).
In the tourism sphere, in addition to highlighting the effect of perceived quality on satisfaction, emphasis is placed on the effect of this perception of quality on tourists’ future behavioral intentions. Perceived quality plays a key role in gauging tourists’ behavioral intentions, as, by analyzing their evaluations of the image of the destination, and their memories of past consumption there, their intention to return to that specific destination can be explained (Ruan et al., 2020). Perceived quality is fundamental in the process of creating loyalty toward the destination brand (Tran et al., 2020). Therefore, perceived quality also emerges as the main construct when explaining and predicting tourists’ future behavioral intentions; that is, their loyalty (Chi et al., 2020b; Loureiro y Gonzálezl, 2008). Studies such as that conducted by Wani et al. (2023) highlight how tourists’ future behavioral intentions are positively influenced by their perceived value. They also support the mediating role of tourists’ satisfaction levels in the impact of perceived value on behavioral intentions.
There are several studies that point to the positive influence of tourists’ subjective judgments of perceived quality on their future intentions (Sharafuddin et al., 2022). In this way, it can be stated that perceived quality shapes the development of loyalty towards the destination as a brand; that is, that tourists’ subjective judgments after evaluating the perceived quality of the destination will influence images generated of it, and, consequently, their intention to revisit it (Huang, 2025). If tourists perceive a destination as having personality and find it exciting, they are more likely to recommend it and share their positive impressions with family and friends. All tourists seek excitement when deciding to visit a destination, so if they perceive it as an exciting, satisfying, and high-quality destination, they are more likely to make positive recommendations (Kovačić y Šagovnović, 2023).
Therefore, positive evaluations of perceived quality result in high satisfaction and increase tourist motivation to visit the destination again and recommend it to third parties (Tran et al., 2022). Thus, perceived quality impacts satisfaction and, directly and indirectly, behavioral intention (Le et al., 2024). Perceived quality and value must be considered when designing tourism strategies in order to devise more profitable tourism products, as guaranteeing high perceived quality entails an emotional experience and positive satisfaction, which translates into the generation of loyalty towards the destination (Wang and Li, 2023; Sharafuddin et al., 2024).
Tourists’ satisfaction
Satisfaction can be defined as a consumer’s overall assessment of a given product or service, taking into account all aspects or attributes of it (Kozak et al., 2005). That is, satisfaction is a way of measuring both the cognitive and emotional reactions of tourists (Dominguez-Quintero et al., 2020). In this way, satisfaction can be considered the mental process by which a consumer compares their expectations of a product or service and their actual experience during its consumption. This definition encompasses both the emotional and cognitive aspects of satisfaction. (Prayag et al., 2021).
Studies such as those carried out by Kusumawati and Rahayu (2020) and Kumar et al. (2020) confirm the power of the affective component of satisfaction to generate loyalty towards destinations as brands. Tourist satisfaction has a direct impact on their behavioral intention, which affects revisit intention and destination reputation. (Syakier and Hanafiah, 2022). Satisfaction felt during the visit will create an experience, one which persists in tourists’ memories, and this influences the generation of loyalty to the destination (Fu et al., 2023; Tiwari et al., 2023). Thus, those tourists who feel greater satisfaction with a destination will display behaviors consistent with their satisfaction, such as expressing their intention to revisit it, recommending it to third parties, or creating a community of proponents of the destination (Vareiro et al., 2019; Altunel and Erkurt, 2015). Thus, satisfaction is an excellent predictor of tourists’ behavioral intention, both in terms of returning and promoting the destination (Wani et al., 2023) and in cultural destinations, achieving tourist satisfaction is key to guaranteeing their success and survival (Dai et al., 2021).
Therefore, tourist satisfaction entails the adoption of loyal behavior towards the destination, and, consequently, can be considered the main factor predicting visitors’ behavior (Tran et al., 2023; Dini et al., 2024; Bayihy and Singh, 2020).
Emotional experience
The consumer experience can be defined as the set of feelings and emotions that the consumer experiences during the consumption process, with their interaction with the people and the environment at the destination forming part of this, triggering cognitive, emotional and behavioral responses (Jain et al., 2017). That is, the consumer experience is shaped by the physical and emotional experience had by the consumer in all the phases of the consumption chain (Mascarenhas et al., 2006). Within the consumer experience, different components can be identified, highlighting the emotional component, which refers to people’s affective and emotional reactions (Pekovic and Rolland, 2020).
Applying this definition to tourism, this activity is, at the end of the day, another form of consumption in which an experience is had, and in which the emotional component constitutes a key element in the shaping of tourists’ behaviors (Su and Hsu, 2013). In this way, emotional experiences, both positive and negative, play a fundamental role in the generation of future behavioral intentions (Su et al., 2020), as, based on the emotions felt during the visit to a given destination, tourists will have a behavioral response; that is, emotions emerge as drivers and motivators of tourists’ behavior (Gao et al., 2021).
There are several studies in the field of marketing and tourism that have studied the role of the emotional experience on the generation of tourism behaviors (Su and Hsu, 2013; Su et al., 2014), which is of great relevance to tourism management (Akgün et al., 2020). Having positive experiences at a destination triggers sharing and recommendations of it, which, in turn, results in the enhancement of the tourist Destination's reputation and its positive promotion (Akgün et al., 2020).
The ability of a destination to generate positive emotions in tourists who visit it will have a direct influence on their satisfaction with it and their affective commitment and loyalty to it (Nguyen and Duong, 2025). Tourists’ positive impressions of a destination result in, first, an increase in their intention to revisit it; and, second, it turns these tourists into proponents of the destination, which bolsters its reputation (Akgün et al., 2020). Along these lines, studies such as the one carried out by Nguyen and Doung (2025) argue that the emotional value perceived by tourists has an indirect influence on loyalty, through satisfaction and affective commitment. The relationship between emotional experiences and tourist satisfaction has been increasingly supported by theoretical and empirical research, and this is particularly relevant in tourism, where emotional regulation processes shape not only immediate affective reactions but also the retrospective evaluation of the experience, directly influencing satisfaction and memory retention. A tourist destination is understood as a composite of services and experiences that elicit emotional responses—both positive and negative—which are critical to satisfaction (Xu et al., 2019). Xu et al. (2019) has demonstrated that emotions experienced during visits to cultural attractions like museums significantly contribute to overall satisfaction, confirming the affective component’s role in evaluative judgments. That is, tourists’ emotional experience and perception of the destination shape their satisfaction (Kovačić y Šagovnović, 2023). Similarly, Hosany and Prayag (2013) emphasized that tourists’ emotional bonds to destinations—through emotions such as joy, love, positive surprise, or unpleasantness—serve as key indicators of post-consumption satisfaction or dissatisfaction. Ma et al. (2018) further identified specific emotional dimensions—such as excitement, happiness, and relaxation on the positive side, and irritation or boredom on the negative—that correlate strongly with visitor satisfaction levels. Collectively, these studies support the notion that emotional experiences are not merely by-products of tourism but central components that actively shape tourists’ satisfaction and future behavioral intentions.
Sociodemographic profile
The analysis of the sociodemographic profile of cultural tourists is a key research area in the field of tourism. Knowing this profile is essential to the efficient management of tourism destinations, which has led to it being a topic widely studied in the scientific literature (Menor-Campos et al., 2020). Several studies have linked variables such as gender, age, educational level, and income with satisfaction and emotional experience during a visit (Heung et al., 2001; Bhat and Darzi, 2018; Pasaco-González et al., 2023). Therefore, it is pertinent to present in this paper a framework for the typical sociodemographic profile of cultural tourists, which allows for a more precise interpretation of the results of our sample and a comparison with previous literature.
In general terms, the scientific literature agrees on the sociodemographic profile of the cultural tourist, except for the gender and age variables involved, on which there is no consensus. First, with regard to the gender variable, no conclusive results are found, with some studies indicating a greater preference for visiting cultural destinations (Vong and Ung, 2012; Remoaldo et al., 2014; Ramires et al., 2018), while others indicate that men are more motivated to visit this kind of destination (Correia et al., 2013; Antón et al., 2017; Adie and Hall, 2017).
Regarding the age variable, some studies cite a wide age range for cultural tourists, placing them between 26 and 45 years old (Remoaldo et al., 2014), while others cite a narrower one; specifically, between 30 and 44 (Antón et al., 2017), and between 38 and 47 (Huh et al., 2006).
In relation to educational level, most of the studies state that visitors of destinations rich in culture and heritage tend to have high ones (Huh et al., 2006; Remoaldo et al., 2017; Antón et al., 2017; Ramires et al., 2018). Likewise, most of the studies assert that the income levels of these visitors range from middle to upper middle class (Chen and Huang, 2018; Ramires et al., 2018).
These sociodemographic profile characteristics have been connected to variables such as satisfaction and emotional experience by various authors. Regarding gender, there are inconsistent results, as some studies show greater satisfaction among women with the experience (Heung et al., 2001), while others, such as that conducted by Bhat and Darzi (2018), highlight greater satisfaction among men. Regarding age, the study conducted by Pasaco-Gonzalez et al., 2023, shows significant differences by age in relation to the quality of the experience, highlighting how the 26–45 age group gives a higher rating to the assessment of whether the tourist experience allowed them to disconnect from their daily routine.
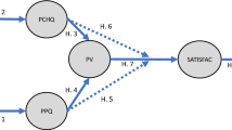
Based on the review carried out, the following hypotheses are proposed, which will be tested using the PLS-SEM method (Fig. 1):
H1: The Destination Service Quality (DSQ) positively influences (indirect) behavior (B).
H2: The Destination Service Quality (DSQ) positively influences the (indirect) emotional experience (EE).
H3: The Destination Service Quality (DSQ) positively influences (direct) satisfaction (SAT).
H4: The emotional experience (EE) positively influences consumers’ behavioral (direct) (B).
H5: Satisfaction with the Courtyards Festival (SAT) positively influences consumers’ behavior (direct) (B).
H6: Satisfaction with the Courtyards Festival (SAT) positively influences the (direct) emotional experience (EE).
Methodology
Survey design and data collection
The methodology used in this study was based on a field study of a representative sample of tourists who visited the city of Córdoba during the 2022 edition of the Fiesta de los Patios de Córdoba (Courtyards Festival), declared Intangible Cultural Heritage by UNESCO in 2012. The questionnaire used was intended to gather their opinions on a series of issues related to both the Courtyards Festival and Córdoba as a tourist destination. The questionnaire used, in order to guarantee the validity of both it and the items evaluated, was based on previous studies (McKercher, 2002; Poria et al., 2003; Lee et al., 2004; Yuan and Jang, 2008; Devesa et al., 2010; Correia et al., 2013; Remoaldo et al., 2014). Table 1 shows the different dimensions used, indicating the previous studies in which each of the items that make up these dimensions are defined.
When drawing up the questionnaire, a four-phase process was followed: in the first phase, the scientific literature was selected addressing the aspects that have been studied; secondly, an expert in the field analyzed the items collected; in a third phase a group of tourism activity managers in the city reviewed the items used; finally, in the fourth phase, a pre-test of 45 questionnaires for tourists was carried out in order to detect errors or deviations.
The questionnaire was divided into three clearly differentiated parts. The first included polytomous questions about tourists’ stays and spending in Córdoba and the city as a tourist destination. Responses were measured on a seven-point Likert scale ranging from 1 (not at all interesting) to 7 (very interesting). The second of the blocks focused on aspects such as evaluations, perceptions, levels of satisfaction and loyalty in relation to the Courtyards Festival. The items were measured on a seven-point Likert scale ranging from 1 (not satisfied/very little/disagree strongly) to 7 (very satisfied/very high/agree strongly). Finally, the third block referred to the sociodemographic profile, with questions related to age, gender, education level, income level, and professional category.
The questionnaire included 5 indicators (listed in Table 3) used to measure each of the model’s factors (the quality of the tourism destination, satisfaction with the Courtyards Festival, emotional and cultural experience, and behavioral intention), as well as questions about the participants’ sociodemographic characteristics, which allowed their profiles to be identified.
In relation to the data collection process, convenience sampling was used, which is frequently used in this type of research, where tourists were available to be surveyed in a space and time (Finn, Elliott-White and Walton, 2000). The fieldwork took place from 3 to 16 May, 2022 on the different routes where the Courtyards could be visited, and the time to complete the survey in no case was more than ten minutes. This process was carried out with the expectation that the respondents had already visited at least two patios, so that they could give a well-founded opinion (Correia et al., 2013; Remoaldo et al., 2014). The questionnaires were distributed in two languages: Spanish and English. Each respondent chose the language of the survey. The sample for this study consisted of 586 valid surveys.
Statistical techniques
The model proposed is designed to explore the relationships between tourism destination quality, satisfaction with the Courtyards Festival, emotional and cultural experiences, and behavioral intentions. To compare these relationships, the PLS-SEM approach was employed, a technique widely used to analyze predictive models featuring small samples and complex structures (Hair et al., 2017).
In terms of methodology, a structural equation model (SEM) was used; a technique widely recognized in social scientific research to evaluate complex theoretical relationships between multiple variables (Hair and Alamer, 2022). Given the small sample, the PLS-SEM method was chosen, using SmartPLS 4 software.
Likewise, those items that are not significant have been eliminated from the model.
Results
The analysis is structured into three sections: first, a descriptive analysis of the sample is carried out; then the reflective measurement model is evaluated; and, finally, the structural model is evaluated. For the descriptive analysis of the sample, a frequency analysis was performed to characterize the tourists’ profile. The sample exhibits a remarkable balance in terms of gender (Table 2): 58.50% women and 40% men. Regarding age, there is a trend towards middle age, with the largest group located between ages 23–40 (54.30%) and a slightly lower proportion of people over 40 (45.70%). Regarding educational level, most of the respondents had a university education (40.4%), standing out as the most representative group.
In relation to the model, the first step for its validation was to examine the individual reliability of the indicators (see Table 3). It may be observed that the factorial loads (λ) are equal to or greater than 0.60, according to studies such as that by Carmines and Zeller (1997), although some authors, such as Hair et al. (1999), consider them acceptable with a load equal to or greater than 0.5 (Hair et al., 1999).
The level of collinearity between the indicators (value indicated in parentheses) was evaluated by the variance inflation factor (VIF): all VIF values were below 5 and are, therefore, considered acceptable, following Hair et al. (2017).
The figures in Table 5 reflect the acceptability of the measurement model, according to the study by Ramayah et al. (2018), based on internal consistency analyses like Cronbach’s alpha (>0.6), composite reliability (>0.7) and Henseler’s rho (>0.7). Table 4 provides evidence of the convergent validity of the construct through the average variance extracted (AVE). In this study, upon selecting items with a factorial load greater than 0.6 (Table 3), the only items eliminated were those necessary to meet the AVE criterion, whose value must be greater than 0.5 (Hair et al., 2017).
To assess discriminant validity and determine the extent to which a construct differs from the rest, various methods were employed, as shown in Tables 6, 7. This implies that the variance of a variable shared with its indicators must be greater than that shared with the other variables in the model (Barclay et al., 1995). In this study, several approaches were applied to evaluate this validity: (1) using correlations of latent variables, according to the Fornell–Larcker criterion, where the correlations between the constructs were compared with the square root of the average variance extracted (AVE) for each of them, and it was observed that the correlations were less than this square root (represented at the bottom of the diagonal in Table 5); (2) when examining the cross-loads, where it was verified that the load of each variable was greater than all the cross-loads in the other variables (Table 6); and (3) when calculating the Heterotrait-Monotrait ratio (HTMT), which is shown on the diagonal (values underlined in Table 5). These HTMT values must be less than 0.9, according to Henseler et al. (2015), this being the main criterion for the evaluation of discriminant validity in PLS-SEM.
Regarding the cross-loading test of the constructs under study, Table 7 shows that the factor loadings of one indicator in one construct are greater than all the cross-loadings of the other constructs, as suggested by Chin (1998).
Previous analyses show the composite reliability, as well as the convergent and discriminant validity, of the dimensional model. Therefore, the data used in this study are reliable and adequate to test the planned structural model and the seven research hypotheses (Table 8).
Subsequently, the structural model was tested using a bootstrapping process, a one-tailed t-distribution table and 5,000 subsamples with a significance level of 5%.
In particular, the hypotheses related to the influence of perceptions of the quality of service at the destination on behavior (β = 0.406, p < 0.001), emotional experience (β = 0.367, p < 0.001) and satisfaction (β = 0.560, p < 0.001) were statistically significant, at the 1% level.
Likewise, the results support the H4 hypothesis, where emotional experience positively influences behavior (β = 0.506, p < 0.001). Similarly, the H5 hypothesis is confirmed, establishing that satisfaction positively and significantly affects behavior (β = 0.725, p < 0.001). It was also verified that satisfaction has a positive effect on emotional experience (β = 0.656, p < 0.001).
The R² and adjusted R² coefficients are used to evaluate the model’s effectiveness. In Table 9, moderate values ranging from 0 to 1 are presented, with R² standing out as the strongest indicator, which denotes greater predictive accuracy. In addition to R², another criterion used to assess the predictive relevance of the structural model is Q². Chin (1998) suggests that the predictive relevance of the constructs should be positive (>0). However, other studies, such as that by Hair et al. (2017), argue that values less than 0.02 are small, those less than 0.15 are moderate, and 0.35 or more indicates high relevance in terms of the predictive validity of the model proposed. The model of this study demonstrates good predictive validity, as shown in Table 9.
Other model fit indices have also been calculated (Fig. 2). The root mean squared error (RMSE) was determined, which measures the average size of the discrepancies between the observed and expected correlations (Hair et al., 2022). In this case, the RMSE is greater than 0.8.
Discussion
The results obtained in this study confirm the vital importance of the quality perceived by tourists participating in the Córdoba Courtyards Festival and how these perceptions impact their emotional experiences, satisfaction, and future behavioral intentions with respect to the event. These findings are in line with those in the literature presented and validate the fundamental role of perceived quality in the creation of satisfactory tourist experiences.
Authors such as Ranjbarian and Pool (2015), and Kao et al. (2008), have stated that perceived quality is a determining factor when it comes to tourists’ satisfaction with destinations. The results confirmed H3, which posits the positive and direct influence of perceived quality on satisfaction (p < 0.001). This means that participants in this event who perceive high quality tend to experience greater satisfaction, which accords with scientific research in the tourism field reflecting this direct and positive relationship (Tran et al., 2022; Wang et al., 2017).
Hypothesis 2, which posits that perceived quality positively influences tourists’ emotional experiences, has been confirmed (p < 0.001). This hypothesis is supported in the scientific literature, which confirms that a better perception of the quality of a destination favors greater satisfaction with it, which, in turn, gives rise to positive emotions, which fuel the generation of loyalty to the destination (Nguyen and Duong, 2025). Our findings confirm that perceived quality has a direct and positive effect on emotional experiences (H2, β = 0.367, p < 0.001), providing empirical evidence for a link that until now had been mainly pointed out in the theoretical literature (Nguyen and Duong, 2025). Thus, the proposed model coherently integrates the three constructs: perceived quality acts as a primary antecedent that determines both satisfaction and emotional experience; in turn, satisfaction reinforces emotional experience, configuring a reciprocal process in which emotions and cognitive evaluation feedback to each other.
H4 was also validated, which postulates that emotional experience has a positive impact on future behavioral intentions (p < 0.001). These results concur with those of previous studies that have noted the importance of emotions in the development of intentions to revisit and recommend destinations (Su and Hsu, 2013; Gao et al., 2021). In this way, the Courtyards Festival, by generating positive emotions in visitors, in addition to improving individual experiences, also serves to enhance the reputation of and promote the tourism destination, in line with what was indicated by Akgün et al. (2020).
Regarding the relationship between satisfaction and behavioral intention (H5), the results show a markedly positive and significant relationship (p < 0.001). This finding is also in keeping with the existing literature, which states that satisfied tourists are more likely to recommend the destination and to return for future editions; that is, they are more likely to be loyal to the destination (Vareiro et al., 2019; Bayihy and Singh, 2020). This is why satisfaction, in addition to being an indicator of the Destination quality, plays a fundamental role in bolstering tourists’ loyalty to it.
Finally, H6, which refers to the fact that satisfaction positively influences emotional experiences, has also been confirmed (p < 0.001). Previous studies have indicated that satisfactory experiences at a destination favor the forging of affective connections with it; that is, they intensify the positive emotions that tourists enjoy during their visits (Xu et al., 2019; Kovačić and Šagovnović, 2023). Therefore, this study shows that there is also an inverse effect: satisfaction with the event reinforces and enhances the emotional experience (H6). This suggests that the relationship between satisfaction and emotional experiences is not unidirectional, but bidirectional. That is, positive emotions contribute to increased satisfaction, and in turn, high satisfaction consolidates and intensifies the emotions felt, generating stronger ties with the destination. This finding contributes to our knowledge of affective processes in the field of cultural and heritage tourism. In this way, emotional bonds are generated with the destination that are more lasting (Nguyen and Duong, 2025).
This study, in addition to being in line with existing literature on the links between satisfaction, emotional experience, perceived value, and behavioral intention, represents a relevant contribution to the field of tourism in Intangible Heritage destinations. Although previous research has addressed the aspects of perceived quality, satisfaction, and emotional experience, few studies integrate these constructs in a model and apply it to an event declared Intangible Heritage of Humanity, such as the Fiesta de los Patios in Córdoba. The results show evidence of a real event, which contributes to the practical relevance of the model. Applying a structural equation model (PLS-SEM) reinforces the robustness of the results and provides a framework that justifies why tourism destination promoters prioritize quality and emotional interaction as fundamental factors in the process of tourism loyalty, and in this, the research objectives have been achieved.
The results obtained indicate the vital importance of adequate management of the perceived quality of the Courtyards Festival event, as it has a significant impact on tourists’ levels of satisfaction, emotional experiences, and their future behavioral intentions. Therefore, tourism planning based on these elements will bolster the destination image and its competitiveness in the tourism market.
Conclusions
In this study, the key role of perceived quality in the generation of satisfaction, emotional experiences and behavioral intentions in tourists who visit the Córdoba Courtyards Festival has become clear. The results are consistent with previous research, which shows that perceptions of high quality at destinations contribute to greater satisfaction and positive emotions, factors that significantly influence loyalty to destinations; that is, the intention to revisit and to recommend the event to third parties.
First, it has been confirmed that the quality perceived by tourists at the event has a positive influence on their satisfaction levels and emotional experiences they have during the event. This suggests that managing aspects related to organization, environment and beauty of the event is essential for optimizing the overall perception of the experience.
Secondly, the relationship between emotional experience and behavioral intention has also been confirmed in this article. Visitors who experience pleasant emotions during the event are more likely to recommend it and consider returning in the future. This confirms that emotions play a key role in developing loyalty and promoting the tourism destination, though other factors such as accessibility and event sustainability may also influence these intentions.
Third, satisfaction is confirmed as a determining factor in shaping behavioral intentions. Satisfied visitors, in addition to expressing their desire to return, become ambassadors and promoters of the destination, publicizing the Courtyards Festival through word of mouth and other forms of recommendation. However, this study suggests that satisfaction alone is not enough to guarantee long-term loyalty, as other contextual factors may play an important role in tourists’ decisions to recommend or return.
From the point of view of tourism management, this study stresses how important it is that strategies designed to promote tourism destinations guarantee perceptions of high quality in the organization of the event, favoring memorable and satisfactory experiences. Improving infrastructure, optimizing services and implementing actions that enhance the emotional experience can significantly contribute to establishing the event as a sustainable and competitive tourist attraction.
This way, this study examined how perceived quality relates to visitors’ satisfaction, emotional experience, and behavioral intentions in the context of the Córdoba Courtyards Festival. The results of the PLS-SEM model showed statistically significant associations between these constructs. In particular, higher levels of perceived quality were associated with higher satisfaction and with more positive emotional experiences. Satisfaction and emotional experience, in turn, were associated with stronger intentions to revisit the festival and to recommend it to others.
In terms of the implications of this research, firstly, with regard to theoretical implications, this study contributes to filling the gap in the scientific literature on the constructs of perceived quality, emotional experience, satisfaction and behavioral intention, applied specifically to a real and specific event such as the Fiesta de los Patios de Córdoba, which was declared Intangible Cultural Heritage by UNESCO in 2012. It also provides empirical evidence of how being an Intangible Cultural Heritage inscription influences tourist loyalty, as well as setting a useful precedent for applying this model in future research on destinations or events with similar characteristics.
Secondly, with regard to practical implications, this study provides evidence of the direct influence of perceived quality on satisfaction, emotions and behavioral intention, so these findings will be useful for tourism managers in developing tourism products that provide a more immersive and emotionally impactful experience, thereby increasing tourist satisfaction. Furthermore, knowing the sociodemographic profile of this event, in addition to being extendable to other similar events, makes it possible to tailor cultural offerings to the audience that is the target of this event, as well as to those who are not so attracted to this type of heritage. Finally, the results are highly relevant from a tourism marketing perspective, as knowing that emotions and satisfaction will influence behavioral intentions, both in terms of recommendations and return visits, gives us a clue about the new direction of marketing campaigns. It is clear that, in addition to focusing on the cultural and historical appeal of the event, they should also emphasize the ability of heritage to create exciting and memorable experiences.
Regarding the limitations encountered in the research, first and foremost, the time constraints of the fieldwork can be noted. The Fiesta de los Patios is an event that lasts 15 days each year. The data collected correspond to the 2022 edition, which does not allow for observing variations in the perception of quality, satisfaction, or emotions over the years, which is proposed as a future line of research. Future research could employ probability sampling and/or collect data longitudinally across different years to examine the stability or variability of effects over time. Another limitation of the research is the use of convenience sampling for sample collection; although this is common in research of this type, it limits the ability to generalize the results to all event visitors. The sample was obtained only from tourists available to respond on the designated routes, which could have introduced biases related to the participants’ willingness to participate or their sociodemographic characteristics.
Another limitation worth highlighting is that the research focused exclusively on the visitor perspective. Other agents linked to the festival (such as residents, organizers, or local institutions) were not included in the analysis, which could enrich the overall understanding of the event, which could also be considered a future line of research. Including these stakeholders would allow triangulating perceptions and obtaining a multi-actor understanding of how quality is interpreted, produced and negotiated in practice.
Fourth, the study focuses on four constructs: perceived quality, satisfaction, emotional experience and behavioral intention. Although this offers a parsimonious model, the explanatory power could be extended with other relevant constructs in tourism consumption: e.g., expectations management, place attachment, perceived authenticity of the heritage, previous experience with the festival, sustainability perceptions, and digital experience variables (e.g., social media-induced imagery). These variables could act as antecedents, mediators, or moderators, and their inclusion could improve the predictive performance of the model.
As new lines of research, we propose exploring other factors that also shape tourists’ loyalty, as well as their relationships with the rest of the factors impacting loyalty to this event.
Data availability
Data were provided within the manuscript or supplementary information files.
References
Aaker DA (1991). Managing brand equity. Capitalizing on the value of the brand name. Free Press, New York
Adie BA, Hall CM (2017) Who visits World Heritage? A comparative analysis of three cultural sites. J Herit Tour 12:67–80
Akgün AE, Ayar H, Keskin H, Onal I (2020) The relationships among nostalgic emotion, destination images and tourist behaviors: an empirical study of Istanbul. J Destin Mark Manag 16:100355
Alahakoon T, Udunuwara M (2022) Intangible cultural heritage as a peak touristic experience in Sri Lanka. J Herit Tour 17:312–326
Altunel MC, Erkurt B (2015) Cultural tourism in Istanbul: the mediation effect of tourist experience and satisfaction on the relationship between involvement and recommendation intention. J Destin Mark Manag 4:213–221
Antón C, Camarero C, Laguna-García M (2017) Towards a new approach of destination loyalty drivers: satisfaction, visit intensity and tourist motivation. Curr Issues Tour 20:238–260
Barclay D, Higgins C, Thompson R (1995) ‘The partial least squares (PLS) approach to causal modeling: personal computer adoption and use as an illustration’. Technol Stud 2:285–309
Bayih BE, Singh A (2020) Modeling domestic tourism: motivations, satisfaction and tourist behavioral intentions. Heliyon 6:e04839
Bhat A, y Darzi M (2018) Antecedents of tourist loyalty to tourist destinations: a mediated-moderation study. Int J Tour Cities 4:261–278
Carmines, EG, Zeller, RA (1997) Reliability and validity assessment, https://doi.org/10.4135/9781412985642
Chen G, Huang S (2018) Understanding Chinese cultural tourists: typology and profile. J Travel Tour Mark 35:162–177
Chi HK, Huang KC, Nguyen HM (2020a) Elements of destination brand equity and destination familiarity regarding travel intention. J Retail Consum Serv 52:101728
Chi X, Lee K, Ahn Y-J, Kiatkawsin K (2020b) Tourist-perceived quality and loyalty intentions towards rural tourism in China. Sustainability 12:1–18
Chin WW (1998) Commentary: issues and opinion on structural equation modeling. MIS Quarterly 22:vii–xvi
Correia A, Kozak M, Ferradeira J (2013) From tourist motivations to tourist satisfaction. Int J Cult Tour Hospital Res 7:411–424
Dai T, Zheng X, Yan J (2021) Contradictory or aligned? The nexus between authenticity in heritage conservation and heritage tourism, and its impact on satisfaction. Habitat Int 107:1–13
Devesa M, Laguna M, Palacios A (2010) The role of motivation in visitor satisfaction: empirical evidence in rural tourism. Tour Manag 31:547–552
Dini M, Curina I, Hegner S (2024) Unlocking destination cultural reputation: the role of sustainable on-site activity involvement as moderator. TQM J 36:215–233
Dominguez-Quintero AM, Gonzalez-Rodriguez MR, Paddison B (2020) The mediating role of experience quality on authenticity and satisfaction in the context of cultural-heritage tourism. Curr Issues Tour 23:248–260
Finn, M, Elliott-White, M, Walton, M (2000). Tourism and leisure research methods: data collection, analysis, and interpretation. Pearson education
Fu X, Sittithai T, Chankoson T (2023) Factors affecting the development of Lipu Yi costumes: intangible cultural heritage tourism. J Cult Herit Manag Sustain Dev. https://doi.org/10.1108/JCHMSD-05-2022-006
Gao Y, Ma Y, Bai K, Li Y, Liu X(2021) Which factors influence individual pro-environmental behavior in the tourism context: rationality, affect, or morality? Asia Pac J Tour Res 26:516–538
Hair JF, Hult GTM, Ringle CM, Sarstedt M (2017) A primer on partial least squares structural equation modeling (PLS-SEM), 2nd edn. SAGE Publications, Thousand Oaks
Hair JF, Hult, GTM, Ringle CM, Sarstedt M, Lux G, Troiville J (2022) Modèles d'équations structurelles partial least squares (PLS-SEM). Presses de L'Université de Provence
Hair J, Anderson R, Tatham R, Black W, Cano D (1999) Análisis cluster. Prentice Hall Internacional. Inc. España, 407–454
Hair, J, Alamer, A Partial Least Squares Structural Equation Modeling (PLS-SEM) in second language and education research:Guidelines using an applied example, https://doi.org/10.1016/j.rmal.2022.100027 (2022)
Henseler, J, Ringle, CM, Sarstedt, M A new criterion for assessing discriminant validity in variance-based structural equation modeling, https://doi.org/10.1007/s11747-014-0403-8 (2015)
Hazel D, Kang J (2018) The contributions of perceived CSR information substantiality toward consumers’ cognitive, affective, and conative responses: the hierarchy of effects model approach. Cloth Text Res J 36:62–77
Heung V, Qu H, y Chu R (2001) The relationship between vacation factors and socio-demographic and travelling characteristics: the case of Japanese leisure travellers. Tour Manag 22:259–269
Horng JS, Liu CH, Chiu HY, Tsai CY (2012) The role of international tourist perceptions of brand equity and travel intention in culinary tourism. Serv Ind J 32:2607–2621
Hosany S, Prayag G (2013) Patterns of tourists’ emotional responses, satisfaction, and intention to recommend. J Bus Res 66:730–737
Huang Y-C (2025) Exploring the mutual relationships of brand equity in the tourism and hospitality sector. Manag Decis 63:242–263
Huh J, Uysal M, McCleary K (2006) Cultural/heritage destinations: tourist satisfaction and market segmentation (2006). J Hospital Leis Mark 14:81–99
Jain R, Aagja J, Bagdare S (2017) Customer experience—a review and research agenda. J Serv Theory Pract 27:642–662
Jin N, Lee S, Lee H (2015) The effect of experience quality on perceived value, satisfaction, image and behavioral intention of water park patrons: new versus repeat visitors. Int J Tour Res 17:82–95
Kao YF, Huang LS, Wu CH (2008) Effects of theatrical elements on experiential quality and loyalty intentions for theme parks. Asia Pac J Tour Res 13:163–174
Kim JH (2014) The antecedents of memorable tourism experiences: The development of a scale to measure the destination attributes associated with memorable experiences. Tour Manag 44:34–45
Kim S, Whitford M, Arcodia C (2019) Development of intangible cultural heritage as a sustainable tourism resource: the intangible cultural heritage practitioners’ perspectives. J Herit Tour 14:422–435
Kovačić S, Šagovnović I (2023) Exploring the relationship between tourists’ emotional experience, destination personality perception, satisfaction and behavioral intentions. Psihologija 56:371–398
Kozak M, Bigné E, Andreu L (2005) Satisfaction and destination loyalty: a comparison between non-repeat and repeat tourists. J Qual Assur Hospital Tour 5:43–59
Kumar DP, Govindarajo NS, Khen MHS (2020) Effect of service quality on visitor satisfaction, destination image and destination loyalty–practical, theoretical and policy implications to avitourism. Int J Cult Tour Hospital Res 14:83–101
Kusumawati A, Rahayu KS (2020) The effect of experience quality on customer perceived value and customer satisfaction and its impact on customer loyalty. TQM J 32:1525–1540
Le TH, Tri HM, Le QT (2024) Visitor satisfaction mediating perceived quality and behavioural intention: a gender-based multigroup analysis. J Int Bus Entrep Dev 16:236–260
Lee CK, Lee YK, Wicks B (2004) Segmentation of festival motivation by nationality and satisfaction. Tour Manag 25:61–70
Lenzerini F (2011) Intangible cultural heritage: the living culture of peoples. Eur J Int Law 22:101–120
Lonardi S (2022) Cultural tourism and intangible cultural heritage: preserving minority languages and traditions in Ladin communities. Sustainability 14:2729
Loureiro SMC, Gonzalez FJM (2008) The importance of quality, satisfaction, trust, and image in relation to rural tourist loyalty. J Travel Tour Mark 25:117–136
Ma ATH, Chow AS, Cheung LT, Lee KM, Liu S (2018) Impacts of tourists’ sociodemographic characteristics on the travel motivation and satisfaction: the case of protected areas in South China. Sustainability 10:1–21
Manjavacas, Ruiz JM (2018) Patrimonio cultural y actividades turísticas. Aproximación crítica a propósito de la Fiesta de Patios de Córdoba. Rev Andal de Antropol 15:127–155
Mariani MN, Guizzardi A (2020) Does designation as a UNESCO World Heritage site influence tourist evaluation of a local destination? J Travel Res. https://doi.org/10.1177/0047287518821737
Mascarenhas OA, Kesavan R, Bernacchi M (2006) Lasting customer loyalty: a total customer experience approach. J Consum Mark 23:397–405
McKercher B (2002) Towards a classification of cultural tourists. Int J Tour Res 4:29–32
Menor-Campos A, Fuentes Jiménez PA, Romero-Montoya ME, López-Guzmán T (2020) Segmentation and sociodemographic profile of heritage tourist. Tour Hosp Manag 26:115–132
Nguyen TTT, Duong TDH (2025) The role of nostalgic emotion in shaping destination image and behavioral intentions–an empirical study. J Hospital Tour Insights 8:735–752
Pasaco-González BS, Campón-Cerro AM, Moreno-Lobato A, Sánchez-Vargas E (2023) The role of demographics and previous experience in tourists’ experiential perceptions. Sustainability 15:3768
Parasuraman AP, Zeithaml VA, Berry LL (1988) SERVQUAL: a multiple-item scale for measuring consumer perceptions of service quality. J Retail 64:12–40
Pekovic S, y Rolland S (2020) Recipes for achieving customer loyalty: a qualitative comparative analysis of the dimensions of customer experience. J Retail Consum Serv 56:102171
Poria Y, Butler R, Airey D (2003) The core of heritage tourism. Ann Tour Res 30:238–254
Prayag G, Alrawadieh Z, Alrawadieh Z (2021) Motivation, emotion and world heritage status in discerning the heritage tourists: a segmentation perspective. Tour Manag Perspect 40:100906
Qiu Q, Zheng T, Xiang Z, Zhang M (2020) Visiting intangible cultural heritage tourism sites: from value cognition to attitude and intention. Sustainability 12:132
Ramayah T, CheahJ-H, Chuah F, Ting H, Memon MA (2018) Partial least squares structural equation modeling (PLS-SEM) using smartPLS 3.0. An updated and practical guide to statistical analysis. Pearson, 1–72
Ramires A, Brandao F, Sousa AC (2018) Motivation-based cluster analysis of international tourists visiting a World Heritage City: the case of Porto, Portugal. J Destin Mark Manag 8:49–60
Ranjbarian B, Pool JK (2015) The impact of perceived quality and value on tourists’ satisfaction and intention to revisit Nowshahr city of Iran. J Qual Assur Hospital Tour 16:103–117
Remoaldo PC, Vareiro L, Ribeiro JC, Santos JF (2014) Does gender affect visiting a World Heritage Site?. Visitor Stud 17:89–106
Romao J, Neuts B, Nijkamp P, y Van Leeuwen E (2015) Culture, product differentiation and market segmentation: a structural analysis of the motivation and satisfaction of tourists in Amsterdam. Tour Econ 21:455–474
Ruan WQ, Zhang SN, Liu CH, Li YQ (2020) A new path for building hotel brand equity: the impacts of technological competence and service innovation implementation through perceived value and trust. J Hospital Mark Manag 29:911–933
Shakya M (2024) Intangible cultural heritage and sustainable rural development: value creation through tourism in Europe. Eur J Cult Manag Policy 14:45–61
Sharafuddin MA, Madhavan, Wangtueai S (2024) Assessing the effectiveness of digital marketing in enhancing tourist experiences and satisfaction: a study of Thailand’s tourism services. Adm Sci 14:273
Sharafuddin MA, Madhavan M, Wangtueai S (2022) Evaluación de la calidad del servicio de destinos insulares: un modelo integrado a través de la cocreación de la imagen digital del destino. Glob Bus Rev
Shi H, Liu Y, Kumail T, Pan L (2022) Tourism destination brand equity, brand authenticity and revisit intention: the mediating role of tourist satisfaction and the moderating role of destination familiarity. Tour Rev 77:751–779
Soli A, Curry A (2023) Perceived quality: in search of a definition. TQM J 35:778–795
Su L, Hsu MK, Boostrom JrRE (2020) From recreation to responsibility: increasing environmentally responsible behavior in tourism. J Bus Res 109:557–573
Su L, Hsu MK, Marshall KP (2014) Understanding the relationship of service fairness, emotions, trust, and tourist behavioral intentions at a city destination in China. J Travel Tour Mark 31:1018–1038
Su L, Hsu MK (2013) Service fairness, consumption emotions, satisfaction, and behavioral intentions: the experience of Chinese heritage tourists. J Travel Tour Mark 30:786–805
Syakier WA, Hanafiah MH (2022) Tour guide performances, tourist satisfaction and behavioural intentions: a study on tours in Kuala Lumpur city centre. J Qual Assur Hospital Tour 23:597–614
Tiwari AV, Bajpai N, Pandey P (2023) The role of human emotions in memorable tourism experience and revisit intention. Tour Manag Stud 19:15–27
Tran PKT, Nguyen PD, Le AHN, Tran VT (2022) Linking self-congruity, perceived quality and satisfaction to brand loyalty in a tourism destination: the moderating role of visit frequency. Tour Rev 77:287–301
Tran PKT, Nguyen HKT, Nguyen LT, Nguyen HT, Truong TB, Tran VT (2023) Destination social responsibility drives destination brand loyalty: a case study of domestic tourists in Danang city, Vietnam. Int J Tour Cities 9:302–322
Tran TKP, Nguyen KV, Tran TV (2020) Brand equity and customer satisfaction: a comparative analysis of international and domestic tourists in Vietnam. J Prod Brand Manag 30:180–194
Tung VWS, y Ritchie JRB (2011) Exploring the essence of memorable tourism experiences. Ann Tour Res 38:1367–1386
UNESCO (2003) Convention for the safeguarding of the intangible cultural heritage. Adopted by the 32nd session of the general conference of UNESCO, Paris, 17 October 2003. United Nations Educational, Scientific and Cultural Organization, Paris https://ich.unesco.org/en/convention
UNESCO (2012) Convention for the safeguarding of the intangible cultural heritage?. Seventh Session. Paris
Vareiro L, Ribeiro JC, Remoaldo PC (2019) What influences a tourist to return to a cultural destination?. Int J Tour Res 21:280–290
Vena Oya J, Mudarra Fernández AB, Calahorro López A, Cazallo Antúnez AM (2022) Es eficaz la marca WHS en la atracción de turismo internacional? Evidencia sobre España. Pasos Rev de turismo y Patrim Cultural 20:275–284
Vinh TT, Phuong TTK (2017) Examining the interrelationships among destination brand image, destination perceived quality, tourist satisfaction and tourist loyalty: evidence from Danang city, Vietnam. Int J Tour Policy 7:352–374
Vong LTN, Ung A (2012) Exploring critical factors of Macau´s Heritage tourism: what heritage tourists are looking for when visiting the city´s iconic heritage site. Asia Pac J Tour Res 17:231–245
Wani MD, Dada ZA, Shah SA (2023) Behavioural intention and satisfaction levels among pilgrim tourists in South Asia. Tour Rev 78:1147–1163
Wang L, Li X (2023) The five influencing factors of tourist loyalty: a meta-analysis. PLoS ONE 18:e0283963
Wang T-L, Tran PTK, Tran VT (2017) Destination perceived quality, tourist satisfaction and word-of-mouth. Tour Rev 72:392–410
World Tourism Organization (2013) Tourism and intangible cultural heritage, UNWTO, Madrid
Xu Z, Zhang H, Zhang C, Xu M, Dong N (2019) Exploring the role of emotion in the relationship between museum image and tourists’ behavioral intention: the case of three museums in Xi’an. Sustainability 11:1–20
Xu F, Zhan C, Lu L, Tan J, Li S, Li J (2021) Is the destination brand loyalty mechanism invariable? A comparative study from China. J Destin Mark Manag 22:100658
Yuan J, Jang S (2008) The effects of quality and satisfaction on awareness and behavioral intentions: exploring the role of a wine festival. J Travel Res 46:279–288
Yuksel A, Yuksel F, y Bilim Y (2009) Destination attachment: effects on customer satisfaction and cognitive, affective and conative loyalty. Tour Manag 31:274–284
Acknowledgements
This research received no external funding.
Author information
Authors and Affiliations
Contributions
Conceptualization, C-P and N-R; Methodology, N-R and C-P.; Validation, M-C; Writing—original draft preparation, N-R, C-P, and O-P; Writing—review and editing, C-P, N-R, M-C, and O-P. All authors have read and agreed to the published version of the manuscript.
Corresponding author
Ethics declarations
Competing interests
The authors declare no competing interests.
Ethical approval
The authors confirm that all research was performed in accordance with relevant guidelines/regulations. The University of Cordoba has a Research Integrity Committee and a Code of Responsible Practices and Research Integrity. This UCO Code of Responsible Practices and Research Integrity does not require prior approval for research of this type. The Code states that “All researchers have the obligation to transmit the principles and good practices described below to the persons whose research tasks they coordinate or direct, not allowing practices that call them into question”. The research has been conducted following the ethical principles of honesty, responsibility, respect, freedom, recognition, impartiality and independence, fairness, transparency, and accountability.
Informed consent
Informed consent was obtained from all subjects involved in the study. Informed consent was required by the Survey Platform prior to the start of the survey. The University of Córdoba does not require formal written informed consent for anonymous survey-based studies that do not collect personal or sensitive data. However, prior to beginning the questionnaire, participants were shown an information screen within the survey application explaining the purpose of the study, the voluntary nature of participation, the anonymity of the responses, and the exclusive academic use of the data. Only after acknowledging this information could respondents proceed to complete the survey. No identifiable information was collected at any stage.
Additional information
Publisher’s note Springer Nature remains neutral with regard to jurisdictional claims in published maps and institutional affiliations.
Rights and permissions
Open Access This article is licensed under a Creative Commons Attribution-NonCommercial-NoDerivatives 4.0 International License, which permits any non-commercial use, sharing, distribution and reproduction in any medium or format, as long as you give appropriate credit to the original author(s) and the source, provide a link to the Creative Commons licence, and indicate if you modified the licensed material. You do not have permission under this licence to share adapted material derived from this article or parts of it. The images or other third party material in this article are included in the article’s Creative Commons licence, unless indicated otherwise in a credit line to the material. If material is not included in the article’s Creative Commons licence and your intended use is not permitted by statutory regulation or exceeds the permitted use, you will need to obtain permission directly from the copyright holder. To view a copy of this licence, visit http://creativecommons.org/licenses/by-nc-nd/4.0/.
About this article
Cite this article
Castaño-Prieto, L., Menor-Campos, A., Ortega-Pérez, L. et al. When memories generate loyalty: the perceived quality of Córdoba’s Courtyards Festival and its impact on visitors’ experiences and satisfaction. Humanit Soc Sci Commun 13, 109 (2026). https://doi.org/10.1057/s41599-025-06415-1
Received:
Accepted:
Published:
Version of record:
DOI: https://doi.org/10.1057/s41599-025-06415-1




