Abstract
Social insurance contribution evasion is a pervasive issue, particularly in China, with significant socioeconomic repercussions. This study develops a tripartite evolutionary game model involving local governments, enterprises, and employees to explore evolutionarily stable strategies (ESS) under various scenarios. We identify four potential ESS within the game system, with the final outcome depending on central government rewards for local governments’ enforcement efforts, penalties imposed by enterprises on employees for work indolence, and employee reciprocity toward compliant enterprises. When these three parameters exceed critical thresholds, the system converges toward an optimal strategy combination characterized by strict collection, compliant contribution, and active engagement. Measures that can accelerate convergence toward the ideal equilibrium include reducing the cost of strict collection, increasing penalties for non-compliant enterprises, strengthening employee whistleblowing incentives, and lowering social insurance contributions. These findings offer valuable insights for policymakers to curb contribution evasion.
Similar content being viewed by others
Introduction
In response to pressures of a rapidly aging population on the sustainability of social insurance funds, China established high contribution rates when designing its social insurance system in the 1990s. Before 2015, the statutory contribution rate for the social insurance system covering pension, medical care, unemployment, work-related injury, and maternity was about 30% for employers and 11% for employees, with the total rate equaling approximately 41%. Although China has repeatedly reduced these rates since 2015, lowering the total rate to 33.95% by 2022, the country still ranks among the highest globally across 175 countries or regions with social insurance systems. Such high contributions constitute a significant share of firms’ labor costs and impose heavy financial burdens (Xiao et al., 2024), negatively impacting their production and business activities. Existing research suggests that the substantial burden of corporate social insurance contributions can lead to various adverse outcomes, including reduced employment (Kugler and Kugler, 2009; Iturbe-Ormaetxe, 2015), lower investment (Rauh, 2006; Phan and Hegde, 2013), diminished production efficiency (Zhao and Lu, 2018; Li et al., 2024), and weaker ESG performance (Li et al., 2023).
Evasion of social insurance contributions is prevalent in many developing countries, such as Uruguay, Colombia, Mexico, Peru, and Vietnam (Kritzer, 2000; Castel and To, 2012). Nonetheless, the problem is particularly acute in China. Under China’s self-reporting rule for social insurance contributions, enterprises often underreport either the contribution base or the number of employees in pursuit of self-interest. According to the “China Enterprise Social Insurance White Paper 2022”, the proportion of fully compliant enterprises ranged from only 24.1% to 31.0% between 2016 and 2022 and exhibited a declining trend. Such practices severely undermine the sustainability of social insurance funds, necessitating prompt and effective regulation. However, addressing contribution evasion poses greater challenges than combating tax evasion. On one hand, tax evasion is explicitly illegal and strictly enforced, whereas contribution evasion operates within a less regulated legal framework. On the other hand, the incentives for contribution evasion are more complex. While employees gain immediate financial benefits from tax evasion, contribution evasion involves a trade-off between current income gains and future social insurance benefits. To navigate these complexities, tackling contribution evasion requires not only regulatory measures but also the design of appropriate incentive mechanisms.
Compliance with social insurance contributions is shaped by dynamic interactions among local governments, enterprises, and employees, with strategies evolving through ongoing conflicts, negotiations, and adaptations. Static game models, which assume fixed strategies and equilibria, cannot capture these temporal dynamics. In contrast, evolutionary game theory provides a more suitable framework by modeling the gradual adaptation of strategies over time. This approach provides a deeper understanding of the path toward long-term equilibrium and reflects the evolving nature of stakeholder behavior, influenced by incentives, penalties, and feedback loops. By identifying key drivers of compliance, policymakers can design more effective interventions that foster sustainable contribution behavior and reduce resistance. This dynamic perspective offers a comprehensive strategy for addressing contribution evasion and ensuring the long-term sustainability of the social insurance fund.
The existing literature has employed evolutionary game models to analyze the problem of tax evasion (Antoci et al., 2014; Lorenz, 2019; Giovanni et al., 2019, 2023), focusing on stakeholder interactions and strategies to enhance compliance. Similarly, some scholars have applied this framework to investigate social insurance contribution evasion. For example, Hu and Jing (2014) constructed a model involving enterprises and employees and found that the evolutionarily stable strategy of the game system depends on the cost-benefit relationship for enterprises. They suggested that adjusting penalty levels and strengthening employee reciprocity could encourage enterprises to comply. Jiang et al (2017) examined the behavioral evolution between collection agencies and enterprises, arguing that increasing penalties for non-compliant enterprises and reducing collection costs for agencies could help curb evasion. Additionally, a few studies have explored the effects of government regulation on social insurance contribution evasion. Qiu and Lyu (2023) investigated the evolution of contribution behavior under different collection strategies using an evolutionary game model. Their simulation results showed that identifying and penalizing 10% to 20% of violations would lead to widespread compliance.
While previous studies have provided valuable insights into addressing social insurance contribution evasion, most focus on bilateral interactions, such as those between governments and enterprises or between enterprises and employees. This emphasis overlooks a more holistic analysis of multi-stakeholder dynamics. This study develops an evolutionary game model involving local governments, enterprises, and employees to explore their interactions and evolutionary trajectories toward equilibrium. We identify key constraints that stabilize the game system in an ideal state and investigate factors influencing convergence through numerical simulations. The goal is to offer policy recommendations for optimizing interventions and incentive structures that mitigate social insurance contribution evasion.
Our study makes three major contributions. First, in contrast to prior qualitative research on contribution evasion, we employ an evolutionary game model to analyze the behavioral strategies of local governments, enterprises, and employees, as well as the evolutionarily stable states of the game system across different scenarios. The convergence of strategies in these stable states sheds light on the dynamic interactions among stakeholders. Second, we identify the critical conditions that influence strategy selection and promote sustained contribution compliance. Our findings highlight the importance of aligning stakeholder incentives, including central government rewards for local governments’ enforcement efforts, penalties imposed by enterprises on employees for work indolence, and employee reciprocity toward compliant enterprises. This underscores the need for a coordinated and multi-level policy approach. Third, through numerical simulations, we investigate the evolutionary dynamics of decision-making behaviors, illustrating how factors such as strict collection costs, penalties for non-compliance, employee whistleblowing incentives, and social insurance burdens impact the speed of convergence to the ideal state. This analysis provides a foundation for refining enforcement strategies and anticipating stakeholder responses.
Related literature
To reduce labor costs and improve financial conditions, enterprises, especially private and labor-intensive enterprises, often evade social insurance contributions (Nyland et al., 2006; Nyland et al., 2011; Li and Wu, 2018). Such evasion is more prevalent in regions with ambiguous regulations, weak enforcement, and small penalties (Rickne, 2013; Chen and Wu, 2014). Previous studies have found a series of adverse consequences caused by contribution evasion. From a micro perspective, it undermines employees’ rights to future benefits, distorts labor market activities, and disrupts fair competition among enterprises, as fully compliant firms bear higher labor costs compared to those evading contributions (Bailey and Turner, 2001; Nyland et al., 2011; Li et al., 2020). From a macro perspective, it exacerbates deficits in social insurance funds, weakens the redistribution effect of social insurance, and reduces economic efficiency (Han and Meng, 2021). Therefore, combating evasion to ensure full compliance is essential for the sustainable development of the social insurance system.
The collection of social insurance contributions involves four steps: registration, declaration, examination, and collection (Liu, 2011). The prevalence of contribution evasion depends on enterprises’ financial conditions, employees’ attitudes, and government enforcement. When the contribution burden exceeds an enterprise’s financial capacity, it may adopt various evasion tactics to reduce its immediate expenses. For example, enterprises might not register formal employees for social insurance, hire informal labor, underreport contribution bases, or contribute based only on basic wages instead of total wage income (Bailey and Turner, 2001; Frazier, 2004; Tang and Feng, 2021). If employees prioritize current income over long-term benefits or lack confidence in the sustainability of the social insurance system, they may collude with enterprises to evade or underpay contributions (Nyland et al., 2006; Li et al., 2020). Likewise, local governments might relax supervision and tolerate evasion to enhance the competitiveness of local enterprises, attract foreign investment, increase employment, and boost tax revenues (Gillion, 2000). Since enterprises, employees, and local governments all have incentives to evade contributions, balancing their interests is essential to curb evasion.
Effectively mitigating contribution evasion requires a combination of strategies. These strategies include optimizing the social insurance system, empowering employees to supervise, and introducing social oversight mechanisms. On one hand, high contribution rates are the primary cause of evasion. Lower rates could motivate enterprises to contribute by alleviating their burden, thereby increasing the financial sustainability of social insurance funds (Chen and Turner, 2015; Han and Meng, 2021). On the other hand, a centralized and unified collection system is more efficient than a decentralized one (Enoff and McKinnon, 2011). Tang and Feng (2021) found that transferring the collection responsibility from the social security department to the tax department increases the actual corporate contribution rate by 3%. For employees, the perception of contributions as taxes or savings is the main incentive for evasion (Castel and To, 2012). Tying social insurance benefits more closely to contributions could motivate employees to actively monitor employers’ behavior. Empowering employees to report employer evasion could effectively enhance employer compliance (Kumler et al., 2020). Moreover, social supervision is an effective way to improve enterprise compliance. In regions with stronger social supervision, enterprises exhibit higher actual contribution rates and participation rates (Zhao et al., 2023).
In summary, existing literature has examined the causes, consequences, and governance of social insurance contribution evasion, as well as the strategic choices of enterprises, employees, and local governments. However, these studies lack a comprehensive analysis of the interactions among stakeholders and how their behaviors evolve over time. To address this gap, we develop a tripartite evolutionary game model to investigate stakeholder interactions and their evolutionary trajectories toward a stable state, while optimizing policy tools and incentive mechanisms to effectively mitigate contribution evasion.
Model construction
Notations and assumptions
In the context of social insurance contribution evasion, we construct a tripartite evolutionary game model consisting of local governments, enterprises, and employees to explore the evolutionary behaviors of these participants and the stable strategies within the game system. Local governments, enterprises, and employees are all considered boundedly rational agents (Friedman, 1991), making decisions based on a cost-benefit analysis of available options and the anticipated behaviors of other participants. The following assumptions are made to characterize the decision-making behavior of each participant:
-
(1)
Complete information. The participants are assumed to possess complete information, implying the absence of information asymmetry. In this case, all participants are fully aware of each other’s strategic choices, enabling them to make optimal decisions based on shared information. This assumption is adopted for several key reasons: First, it simplifies the model, providing a clear representation of interactions among the various parties involved in the social insurance contribution process. Second, many evolutionary game models rely on the assumption of complete information because it approximates how decision-makers make rational choices based on available data. Although information asymmetry is common in real-world settings, the primary objective of our study is to elucidate the core mechanisms driving social insurance contribution behavior, rather than to explore the intricacies of information acquisition. Finally, advancements in information technology have substantially improved the ability of governments, enterprises, and employees to access each other’s behavioral information, further supporting the plausibility of the complete information assumption in the digital economy.
-
(2)
Action space. Local governments are the primary agents responsible for the collection of social insurance contributions. They typically adopt one of two actions. The first involves strictly adhering to central government guidelines and developing stringent collection plans. The second adopts a more lenient stance on collecting contributions, driven by local economic objectives such as attracting investment, increasing employment, and gaining an advantage in political competition. This leniency often tolerates or even tacitly encourages businesses to evade contributions, with the aim of stimulating regional economic growth. Consequently, the action space for local governments is defined as {strict collection, lax collection}. Let \(x\) (\(x\in [0,1]\)) denote the probability that local governments choose strict collection, while \(1-x\) represents the probability of lax collection.
For enterprises, social insurance contributions constitute a mandatory and continuous cash outflow that significantly impacts their regular operations and long-term development. To maximize profits, enterprises must comprehensively evaluate various constraints, such as liquidity, labor productivity, and the intensity of government supervision, to decide whether to fully comply with contribution standards or engage in evasion practices, such as underreporting the contribution base or the number of contributing employees. Thus, the action space for enterprises is {compliance, evasion}. We denote \(y\) (\(y\in [0,1]\)) as the probability of enterprises choosing compliance, and \(1-y\) as the probability of evasion.
Employees play a dual role in the social insurance system as both contributors and beneficiaries. Although employers are in charge of deducting and remitting social insurance contributions from employees, which places employees at a disadvantage in the payment process, employees can still take active measures to protect their rights. They may adjust their work attitudes based on enterprise compliance or report contribution evasion to labor protection authorities. Alternatively, passive employees may endure welfare losses due to employer evasion or face implicit penalties for failing to engage. Thus, employees’ actions are categorized as {active engagement, passive response}. Let \(z\) (\(z\in [0,1]\)) denote the probability that employees choose active engagement, and \(1-z\) represents the probability of passive response.
Note that the game is dynamic, with participants continuously adjusting their strategies over time until an evolutionarily stable strategy is reached. Consequently, x, y, and z are all functions of time t, reflecting the evolving nature of participants’ actions.
-
(3)
Payoffs. Table 1 shows the relevant parameter symbols and their meanings. All parameters are assumed to be positive values.
Table 1 Parameter descriptions.
For local governments, the cost of strict collection is denoted as \({C}_{GS}\), while the cost of lax collection is denoted as \({C}_{GL}\). Since collecting social insurance contributions requires substantial investments in human, material, and financial resources, the cost of strict collection is greater than that of lax collection, i.e., \({C}_{GS} > {C}_{GL}\). The benefits local governments receive include social insurance contributions paid by both enterprises and employees. Additionally, local governments receive a reward \({B}_{G}\) from the central government for enforcing strict collection. These rewards may take the form of commendations from higher authorities, preferential policies, fiscal transfers, and other incentives. Conversely, if local governments adopt a lax collection strategy that leads to enterprise contribution evasion, the central government imposes a penalty \({P}_{G}\) for inadequate collections.
For enterprises, operational revenues under full compliance with contribution regulations are denoted as \({R}_{FC}\), and the associated social insurance contributions are denoted as \(S\). If employees adopt an active engagement strategy and work diligently, the enterprise’s operational revenues increase by \(\alpha {R}_{FC}\) due to higher labor productivity, where \(0\le \alpha \le 1\) represents the degree of employee reciprocity toward the enterprise. However, if employees opt for a passive response strategy, enterprises may increase work pressure or transfer the burden of social insurance contributions onto employees by reducing employee welfare. Such implicit penalties are quantified as \({P}_{E}\). When enterprises engage in evasion, revenues become \({R}_{FE}\) and contributions are denoted as \(\eta S\), where \(0 < \eta < 1\) reflects the degree of compliance, with lower values indicating more severe evasion. If employees actively report enterprise evasion to labor protection authorities, enterprises would face penalties \({P}_{F}\) imposed by local governments. Note that the operational revenues of non-compliance are greater than those of compliance (\({R}_{FE} > {R}_{FC}\)), as evading contributions allows enterprises to retain more funds for production. The penalty for evasion imposed by the local government is greater than the evaded contributions but less than the total revenues gained from evasion, i.e., \((1-\eta )S < {P}_{F} < (1-\eta )S+{R}_{FE}-{R}_{FC}\).
Employees are also required to contribute to social insurance. Since enterprises withhold and remit social insurance contributions on behalf of employees, the amount paid by employees is a certain percentage, \(\varphi\), of the contributions made by the enterprise. Upon retirement, employees would receive social insurance benefits \({R}_{E}\) when the enterprise fully complies with contribution regulations, but receive \(\theta {R}_{E}\) when the enterprise violates these regulations. \(\theta\) quantifies the loss in social insurance benefits due to enterprise evasion, with lower values indicating a greater loss in employee welfare. Employees who engage actively incur additional costs. Let \({C}_{ER}\) and \({C}_{EJ}\) represent the costs incurred by employees when reciprocating toward enterprise and reporting the evasion, respectively. Given that the cost of reciprocity is immediate and certain, involving foregone leisure hours, while the cost of reporting is relatively lower due to the government’s establishment of a whistleblower protection mechanism, we assume that \({C}_{ER} > {C}_{EJ}\). Reporting enterprise evasion would also result in compensation \({B}_{E}\) provided by local governments, and the compensation for reporting evasion is greater than the cost of reporting, i.e., \({B}_{E} > {C}_{EJ}\). Additionally, we are unable to determine the relative magnitude between the implicit penalties imposed on employees by enterprises and the costs incurred by employees for reciprocation. Thus, either \({P}_{E} < {C}_{ER}\) or \({P}_{E} > {C}_{ER}\) is possible.
Replicator dynamic equations
According to the above payoffs for each participant, we can obtain eight strategy combinations of the tripartite game involving local governments, enterprises, and employees. The payoff matrix is shown in Table 2.
Suppose that the expected payoffs of local governments selecting strict collection and lax collection are represented by \({U}_{x}\) and \({U}_{1-x}\), respectively. Then \({U}_{x}\) and \({U}_{1-x}\) can be derived from the payoff matrix as follows:
The average expected payoffs \({\bar{U}}_{x}\) are denoted by:
Thus, the replicator dynamic equation for local governments choosing the strict collection strategy is:
Similarly, we can derive the replicator dynamic equations for enterprises choosing the compliance strategy and employees choosing the active engagement strategy as follows:
By combining Eqs. (4)-(6), we obtain the three-dimensional replicator dynamic system for local governments, enterprises, and employees:
Given that participants in the game are boundedly rational, they cannot identify the optimal strategy from the outset. Instead, they continuously adjust their strategies through trial and error until a stable equilibrium is reached.
Model analysis
Strategic stability analysis of local governments
In this subsection, we analyze how the strategic choices of enterprises and employees influence the decision-making process of local governments. By investigating the evolutionary dynamics of these interactions, we identify the conditions under which strict collection becomes the evolutionarily stable strategy (ESS) for local governments. Additionally, we explore the factors that shape and affect local governments’ strategic decisions.
Proposition 1: Let x, y, and z represent the probabilities that local governments, enterprises, and employees choose the strategies of strict collection, compliance, and active engagement, respectively. If the rewards provided by the central government to local governments are less than the cost difference between strict and lax collection, local governments are more likely to adopt strict collection when the probabilities of enterprise evasion or employee passivity increase; that is, x increases as y or z decreases. If the rewards exceed the cost difference, local governments will inevitably adopt strict collection.
Proposition 1 indicates that the probability of local governments adopting strict collection is influenced not only by the rewards provided by the central government but also by the strategic choices of enterprises and employees. Specifically, when the rewards are relatively small and the likelihood of enterprise evasion or passive employee responses is high, local governments are more inclined to implement strict collection strategies to curb evasion. Conversely, when the rewards are sufficiently large, local governments are bound to adopt a strict collection strategy.
Proof: Let \(F(x)=0\), then we get \({y}^{* }=1-\frac{{C}_{GS}-{C}_{GL}-{B}_{G}}{{P}_{G}+{P}_{F}-z{P}_{F}}\). If \({B}_{G} < {C}_{GS}-{C}_{GL}\), we have \(0 < {y}^{* } < 1\). When \(y={y}^{* }\), any value of \(x\) (\(0\le x\le 1\)) is an ESS. In other words, when the probability of enterprises compliance is fixed at \({y}^{* }\), the probability of strict collection by local governments does not change over time. The replicated dynamic phase diagram is shown in Fig. 1a. When \(y\ne {y}^{* }\), both \(x=0\) and \(x=1\) are possible evolutionarily stable points. The first derivative of \(F(x)\) with respect to \(x\) is as follows:
Evolution phase diagram of local governments.
We discuss the evolutionary stability in the following two cases:
-
(1)
\(y < {y}^{* }\). In this case, \({F}_{x}(x){|}_{x=0} > 0\) and \({F}_{x}(x){|}_{x=1} < 0\), so \(x=1\) is the ESS. The corresponding replicated dynamic phase diagram is shown in Fig. 1b. It suggests that when the probability of enterprise compliance is low, the local government’s strategy shifts from lax collection to strict collection. Strict collection becomes the ESS for the local government.
-
(2)
\(y > {y}^{* }\). In this case, \({F}_{x}(x){|}_{x=0} < 0\) and \({F}_{x}(x){|}_{x=1} > 0\), so \(x=0\) is the ESS. The corresponding replicated dynamic phase diagram is shown in Fig. 1c. It indicates that when the probability of enterprise compliance is high, the local government will ultimately adopt the strategy of lax collection.
If \({B}_{G} > {C}_{GS}-{C}_{GL}\), we have \({y}^{* } > 1\), which implies that \(y < {y}^{* }\). Thus, \(x=1\) is the ESS, meaning that the local government will inevitably adopt the strict collection strategy.
Similarly, we can derive \({z}^{* }=\frac{{B}_{G}+{C}_{GL}-{C}_{GS}+(1-y)({P}_{G}+{P}_{F})}{(1-y){P}_{F}}\). If \({B}_{G} < {C}_{GS}-{C}_{GL}\), then \(0 < {z}^{* } < 1\). When \(z={z}^{* }\), \(F(x)\equiv 0\); at this point, all values of \(x\) within the feasible region are in a stable state. When \(z < {z}^{* }\), we have \({F}_{x}(x){|}_{x=0} > 0\), \({F}_{x}(x){|}_{x=1} < 0\), so \(x=1\) (strict collection) is the ESS. When \(z > {z}^{* }\), we have \({F}_{x}(x){|}_{x=0} < 0\), \({F}_{x}(x){|}_{x=1} > 0\), so \(x=0\) (lax collection) is the ESS. This suggests that strict collection becomes the ESS when employees exhibit a high probability of passive response, while lax collection becomes the ESS when active engagement is more prevalent. If \({B}_{G} > {C}_{GS}-{C}_{GL}\), then \({z}^{* } > 1\), which implies that \(z < {z}^{* }\), and thus strict collection is the ESS.
Proposition 2: The probability of local governments adopting strict collection is negatively correlated with collection costs and positively correlated with rewards and penalties from the central government, i.e., x increases as \({C}_{GS}\) decreases, or as \({B}_{G}\) or \({P}_{G}\) increases.
Proof: By taking the partial derivatives of \({y}^{* }\) with respect to \({C}_{GS}\), \({B}_{G}\), and \({P}_{G}\), we obtain: \(\frac{\partial {y}^{* }}{\partial {C}_{GS}} < 0\), \(\frac{\partial {y}^{* }}{\partial {B}_{G}} > 0\), \(\frac{\partial {y}^{* }}{\partial {P}_{G}} > 0\). Thus, \({y}^{* }\) becomes greater if \({C}_{GS}\) decreases or \({B}_{G}\) and \({P}_{G}\) increase, which makes the condition \(y < {y}^{* }\) more easily satisfied. As a result, the local government is more inclined to adopt a strict collection strategy. Similarly, taking the partial derivatives of \({z}^{* }\) with respect to \({C}_{GS}\), \({B}_{G}\), and \({P}_{G}\) yields the same conclusion.
Strategic stability analysis of enterprises
In this subsection, we analyze how the strategic choices of local governments and employees influence the decisions made by enterprises and identify the conditions under which compliance or evasion becomes the ESS. We also examine the factors that affect enterprises’ strategic choices.
Proposition 3: If employee reciprocity toward enterprises is high, enterprises are more likely to comply when the probabilities of local governments enforcing strict collection and employees engaging actively increase; that is, y increases as x or z increases. If employee reciprocity is low, enterprises will inevitably adopt evasion.
Proposition 3 highlights that the probability of enterprises complying with social insurance contribution regulations is jointly determined by the degree of employee reciprocity toward enterprises and the strategic choices of local governments and employees. A higher level of reciprocity, along with a higher probability of strict collection by local governments or proactive engagement by employees, motivates enterprises to adopt compliance as their ESS.
Proof: Let \(F(y)=0\), then we get \({x}^{* }=\frac{{R}_{FE}+(1-\eta )S-(1+z\alpha ){R}_{FC}-z{P}_{F}}{(1-z){P}_{F}}\). If \(\alpha > \frac{{R}_{FE}+(1-\eta )S-{R}_{FC}-{P}_{F}}{z{R}_{FC}}\), then \(0 < {x}^{* } < 1\). When \(x={x}^{* }\), all \(y\) values (\(0\le y\le 1\)) will make the enterprise be in an ESS. The replicated dynamic phase diagram is shown in Fig. 2a. When \(x\ne {x}^{* }\), both \(y=0\) and \(y=1\) are possible evolutionarily stable points. Taking the partial derivative of \(F(y)\) with respect to \(y\), we obtain:
Evolution phase diagram of enterprises.
We discuss the ESS in the following two cases:
-
(1)
\(x < {x}^{* }\). In this case, \({F}_{y}(y){|}_{y=0} < 0\) and \({F}_{y}(y){|}_{y=1} > 0\), so \(y=0\) is the ESS. The corresponding replicated dynamic phase diagram is shown in Fig. 2b. It suggests that when the probability of local governments adopting strict collection is low, enterprises are more likely to evade contributions, making evasion the ESS.
-
(2)
\(x > {x}^{* }\). In this case, \({F}_{y}(y){|}_{y=0} > 0\) and \({F}_{y}(y){|}_{y=1} < 0\), so \(y=1\) is the ESS. The corresponding replicated dynamic phase diagram is shown in Fig. 2c. It indicates that when the probability of local governments adopting strict collection is high, enterprises will eventually choose compliance.
If \(\alpha < \frac{{R}_{FE}+(1-\eta )S-{R}_{FC}-{P}_{F}}{z{R}_{FC}}\), we have \({x}^{* } > 1\), which implies that \(x < {x}^{* }\). Thus, \(y=0\) is the ESS, indicating that enterprises will inevitably adopt the evasion strategy.
Similarly, we can derive \({z}^{* * }=\frac{{R}_{FE}+(1-\eta )S-{R}_{FC}-x{P}_{F}}{\alpha {R}_{FC}+(1-x){P}_{F}}\). If \(\alpha > \frac{{R}_{FE}+(1-\eta )S-{R}_{FC}-{P}_{F}}{{R}_{FC}}\), we have \(0 < {z}^{* * } < 1\). When \(z={z}^{* * }\), \(F(y)\equiv 0\); at this point, all values of \(y\) within the feasible region are in a stable state. When \(z < {z}^{* * }\),\({F}_{y}(y){|}_{y=0} < 0\), \({F}_{y}(y){|}_{y=1} > 0\), \(y=0\) (evasion) is the ESS. When \(z > {z}^{* * }\), \({F}_{y}(y){|}_{y=0} > 0\), \({F}_{y}(y){|}_{y=1} < 0\), \(y=1\) (compliance) is the ESS. If \(\alpha < \frac{{R}_{FE}+(1-\eta )S-{R}_{FC}-{P}_{F}}{{R}_{FC}}\), then \({z}^{* * } > 1\), which implies that \(z < {z}^{* * }\), and thus evasion is the ESS. Therefore, the probability of enterprises complying with social insurance contribution regulations is influenced by employee reciprocity toward enterprises, as well as the strategic choices of local governments and employees.
Proposition 4: The probability of enterprise compliance is positively correlated with operational revenues and penalties imposed by local governments, and negatively correlated with social insurance contributions, i.e., y increases as \({R}_{FC}\) or \({P}_{F}\) increases, or as \(S\) decreases.
Proof: By taking the partial derivatives of \({x}^{* }\) with respect to \({R}_{FC}\), \(S\), and \({P}_{F}\), we obtain: \(\frac{\partial {x}^{* }}{\partial {R}_{FC}} < 0\), \(\frac{\partial {x}^{* }}{\partial S} > 0\), \(\frac{\partial {x}^{* }}{\partial {P}_{F}} < 0\). Thus, \({x}^{* }\) becomes smaller if \(S\) decreases or \({R}_{FC}\) and \({P}_{F}\) increase, making the condition \(x > {x}^{* }\) more easily satisfied. Consequently, enterprises are more willing to adopt the strategy of compliance. Similarly, taking the partial derivatives of \({z}^{* * }\) with respect to \({R}_{FC}\), \(S\), and \({P}_{F}\) leads to the same conclusion.
Strategic stability analysis of employees
This subsection explores how employees develop their strategies and identifies the conditions under which active engagement or passive response becomes the ESS.
Proposition 5: If the implicit penalties imposed on employees by enterprises are less than the costs incurred by employees for reciprocation, employees are more likely to take proactive actions when the probability of enterprise evasion increases; that is, z increases as y decreases. If the implicit penalties exceed the costs of reciprocation, employees will inevitably adopt active engagement.
Proposition 5 suggests that the ESS of employees is influenced by both the relative magnitude of the implicit penalties imposed on employees by enterprises and the costs incurred by employees for reciprocation, as well as enterprises’ strategies. When the costs of reciprocation exceed the implicit penalties and the probability of enterprise evasion is high, employees tend to adopt proactive actions, such as reporting evasion to labor protection authorities. When the implicit penalties are greater than the costs of reciprocation, employees are bound to adopt an active engagement strategy.
Proof: Let \(F(z)=0\), then we get \({y}^{* * }=\frac{{B}_{E}-{C}_{EJ}}{{B}_{E}-{C}_{EJ}-{P}_{E}+{C}_{ER}}\), indicating that employees’ strategy is solely determined by enterprises’ choice. Since \({B}_{E} > {C}_{EJ}\), if \({P}_{E} < {C}_{ER}\), then \(0 < {y}^{* * } < 1\). When \(y={y}^{* * }\), although \(z\) remains uncertain, it is in a stable state. The replicated dynamic phase diagram is shown in Fig. 3a. When \(y\ne {y}^{* * }\), both \(z=0\) and \(z=1\) are possible evolutionarily stable points. Taking the partial derivative of \(F(z)\) with respect to \(z\), we obtain:
Evolution phase diagram of employees.
Then we discuss the ESS in the following two cases:
-
(1)
\(y < {y}^{* * }\). In this case, \({F}_{z}(z){|}_{z=0} > 0\) and \({F}_{z}(z){|}_{z=1} < 0\), so \(z=1\) is the ESS. The corresponding replicated dynamic phase diagram is shown in Fig. 3b, which illustrates that when the probability of enterprise evasion is high, employees’ strategy evolves toward active engagement.
-
(2)
\(y > {y}^{* * }\). In this case, \({F}_{z}(z){|}_{z=0} < 0\) and \({F}_{z}(z){|}_{z=1} > 0\), so \(z=0\) is the ESS. The corresponding replicated dynamic phase diagram is shown in Fig. 3c, illustrating that when the probability of enterprises complying is high, employees’ strategy stabilizes at passive response.
If \({P}_{E} > {C}_{ER}\), we have \({y}^{* * } > 1\), which implies that \(y < {y}^{* * }\). Thus, \(z=1\) is the ESS, indicating that employees will inevitably adopt the active engagement strategy.
Proposition 6: The probability of active engagement by employees is positively correlated with enterprises’ implicit penalties on employees and negatively correlated with employees’ reciprocating costs, i.e., z increases as \({P}_{E}\) increases or as \({C}_{ER}\) decreases.
Proof: By taking the partial derivatives of \({y}^{* * }\) with respect to \({P}_{E}\) and \({C}_{ER}\), we obtain \(\frac{\partial {y}^{* * }}{\partial {P}_{E}} > 0\) and \(\frac{\partial {y}^{* * }}{\partial {C}_{ER}} < 0\). Thus, \({y}^{* * }\) becomes greater if \({P}_{E}\) increases or \({C}_{ER}\) decreases, making the condition \(y < {y}^{* * }\) more easily satisfied. As a result, employees are willing to adopt the strategy of active engagement. This suggests that employees can be motivated to engage actively by increasing the penalties enterprises impose for work indolence and reducing employees’ reciprocating costs.
Evolutionary stability analysis of the system
Letting \(F(x)=0\), \(F(y)=0\), and \(F(z)=0\), we can obtain twelve equilibrium points. Pure equilibrium points are: \({E}_{1}(0,0,0)\), \({E}_{2}(1,0,0)\), \({E}_{3}(0,1,0)\), \({E}_{4}(0,0,1)\), \({E}_{5}(1,1,0)\), \({E}_{6}(0,1,1)\), \({E}_{7}(1,0,1)\), and \({E}_{8}(1,1,1)\). Mixed equilibrium points are as follows: \({E}_{9}\left(0,\frac{{B}_{E}-{C}_{EJ}}{{B}_{E}-{C}_{EJ}-{P}_{E}+{C}_{ER}},\frac{{R}_{FE}+(1-\eta )S-{R}_{FC}}{\alpha {R}_{FC}+{P}_{F}}\right)\), \({E}_{10}\left(1,\frac{{B}_{E}-{C}_{EJ}}{{B}_{E}-{C}_{EJ}-{P}_{E}+{C}_{ER}},\frac{{R}_{FE}+(1-\eta )S-{R}_{FC}-{P}_{F}}{\alpha {R}_{FC}}\right)\), \({E}_{11}\left(\frac{{R}_{FE}+(1-\eta )S-{R}_{FC}}{{P}_{F}},\frac{{P}_{G}+{P}_{F}-{C}_{GS}+{C}_{GL}+{B}_{G}}{{P}_{G}+{P}_{F}},0\right)\), and \({E}_{12}\left(\tilde{x},\frac{{B}_{E}-{C}_{EJ}}{{B}_{E}-{C}_{EJ}-{P}_{E}+{C}_{ER}},\tilde{z}\right)\),
where \(\tilde{x}=\alpha {R}_{FC}+{P}_{F}+\frac{(\alpha {R}_{FC}+{P}_{F}){P}_{F}({C}_{ER}-{P}_{E})-[{R}_{FE}+(1-\eta )S-{R}_{FC}]{P}_{F}({C}_{ER}-{P}_{E})}{{P}_{F}[({B}_{G}+{C}_{GL}-{C}_{GS})({B}_{E}-{C}_{EJ}-{P}_{E}+{C}_{ER})+{P}_{G}({C}_{ER}-{P}_{E})]}\), and \(\tilde{z}=\frac{({B}_{G}+{C}_{GL}-{C}_{GS})({B}_{E}-{C}_{EJ}-{P}_{E}+{C}_{ER})+({P}_{G}+{P}_{F})({C}_{ER}-{P}_{E})}{{P}_{F}({C}_{ER}-{P}_{E})}\).
Since mixed equilibrium points are unstable in asymmetric games (Hopkins, 2002; Hofbauer and Sandholm, 2007), we focus on the eight pure equilibrium points and analyze their asymptotic stability using the Jacobian matrix of the system:
Theorem 1 (Lyapunov Stability Theorem): An equilibrium point of a dynamic system is stable if and only if all the eigenvalues of the Jacobian matrix, evaluated at that equilibrium point, have negative real parts (Shintani and Linton, 2004).
Based on Theorem 1, we evaluate the stability of the equilibrium points and identify potential stable equilibrium points, all of whose eigenvalues are negative. The eigenvalues of the Jacobian matrix J for different equilibrium points are presented in Table 3.
Proposition 7: The replicator dynamic system has four possible evolutionarily stable points, and the final evolutionary stability is determined by the rewards provided by the central government, the relative magnitude of implicit penalties and reciprocation costs, and the degree of employee reciprocity toward enterprises.
Proof: Recalling that \({R}_{FC}-{R}_{FE}-(1-\eta )S+{P}_{F} < 0\) and \({B}_{E} > {C}_{EJ}\), only \({E}_{4}(0,0,1)\), \({E}_{6}(0,1,1)\), \({E}_{7}(1,0,1)\), and \({E}_{8}(1,1,1)\) may serve as the ESS of the social insurance contribution collection system. Specifically, the following three scenarios will be discussed:
-
(1)
When \({B}_{G} > {C}_{GS}-{C}_{GL}\), \({E}_{7}(1,0,1)\) and \({E}_{8}(1,1,1)\) are possible evolutionarily stable points. If \(\alpha > \frac{{R}_{FE}-{R}_{FC}+(1-\eta )S-{P}_{F}}{{R}_{FC}}\equiv {\alpha }^{* }\) and \({P}_{E} > {C}_{ER}\), \({E}_{8}(1,1,1)\) is the unique ESS. This is the ideal state of the system. If \(\alpha < {\alpha }^{* }\), \({E}_{7}(1,0,1)\) is the ESS.
-
(2)
When \({C}_{GS}-{C}_{GL}-{P}_{G} < {B}_{G} < {C}_{GS}-{C}_{GL}\), \({E}_{6}(0,1,1)\) and \({E}_{7}(1,0,1)\) are possible evolutionarily stable points. If \(\alpha > {\alpha }^{* }\) and \({P}_{E} > {C}_{ER}\), the ESS is \({E}_{6}(0,1,1)\); otherwise, it is \({E}_{7}(1,0,1)\).
-
(3)
When \({B}_{G} < {C}_{GS}-{C}_{GL}-{P}_{G}\), \({E}_{4}(0,0,1)\) and \({E}_{6}(0,1,1)\) are possible evolutionarily stable points. If \(\alpha > {\alpha }^{* }\) and \({P}_{E} > {C}_{ER}\), the ESS is \({E}_{6}(0,1,1)\); otherwise, it is \({E}_{4}(0,0,1)\).
According to Proposition 7, three key conditions influence the game dynamics and evolutionary outcomes. First, the rewards provided by the central government to local governments must exceed the cost difference between strict and lax collection. Second, the implicit penalties imposed on employees by enterprises must exceed the costs incurred by employees for reciprocation. Third, employee reciprocation must outweigh the additional benefits enterprises gain from evasion (i.e., the increased revenues from evasion, plus the evaded contributions, minus the penalties imposed by local governments). When these three conditions are met, the strategy combination of participants will stably evolve to (strict collection, compliance, active engagement). This scenario generates a virtuous cycle whereby rigorous governmental enforcement promotes enterprise compliance with social insurance regulations, which further incentivizes employees to increase their productivity as a form of reciprocity. As a result, the issue of social insurance contribution evasion is effectively resolved.
Simulation results
Parameter setting
To validate the theoretical analysis and examine the impact of changes in key parameters, we utilize Matlab software to numerically simulate the evolutionary path of the game system. Drawing on China’s social insurance contribution collection practices and constraints of the model, the baseline parameter values are set as follows: \({C}_{GS}=\)20, \({C}_{GL}=\)10, \({R}_{FC}=\)100, \({R}_{FE}=\)120, \(S=\)40, \(\eta =\)0.7, \({P}_{F}=\)15, \({R}_{E}=\)40, \({P}_{G}=\)5, \({C}_{EJ}=\)3, \({C}_{ER}=\)5, \({B}_{E}=\)8, and \({P}_{E}=\)8. We further calculate that \({\alpha }^{* }=\)0.17. The initial strategy selection probabilities for local governments, enterprises, and employees are all set to 0.5.
Evolutionary path analysis
According to Proposition 7, we simulate three scenarios to explore the impact of the rewards provided by the central government to local governments on the evolutionary paths toward equilibrium strategies, given the condition that \({P}_{E} > {C}_{ER}\).
Scenario 1: We set \({B}_{G}=\)3 to satisfy \({B}_{G} < {C}_{GS}-{C}_{GL}-{P}_{G}\). Allowing the replicator dynamic system to evolve from the initial point \((0.5,0.5,0.5)\) over 100 iterations, we observe the dynamic evolutionary paths of tripartite game strategies with different values of \(\alpha\). Figure 4 shows that when \(\alpha =\)0.1, the system stabilizes at \((0,0,1)\), while for \(\alpha =\)0.25, it evolves to \((0,1,1)\). Low employee reciprocation increases the relative payoffs of evasion for enterprises, while insufficient rewards from the central government enhance the relative payoffs of lax collection for local governments. This results in an evolutionarily stable strategy combination of (lax collection, evasion, active engagement). Conversely, higher employee reciprocation incentivizes enterprises to comply, shifting the strategy combination to (lax collection, compliance, active engagement).
Evolutionary paths when \({B}_{G}=\)3.
Scenario 2: We set \({B}_{G}=\)7 to let \({C}_{GS}-{C}_{GL}-{P}_{G} < {B}_{G} < {C}_{GS}-{C}_{GL}\). The evolution of the equilibrium strategy is illustrated in Fig. 5. When \(\alpha =\)0.1, the replicator dynamic system stabilizes at \((1,0,1)\), corresponding to (strict collection, evasion, active engagement). When \(\alpha =\)0.25, it stabilizes at \((0,1,1)\), corresponding to (lax collection, compliance, active engagement). If employee reciprocation is low, the payoff of compliance for enterprises is less than that of evasion, leading enterprises to rationally choose evasion. In this case, the payoff of strict collection for local governments exceeds that of lax collection (\({B}_{G} > {C}_{GS}-{C}_{GL}-{P}_{G}\)), prompting local governments to adopt a strict collection strategy. If employee reciprocation is high, enterprises’ rational strategy shifts to compliance. However, the payoffs of lax collection become greater than those of strict collection (\({B}_{G} < {C}_{GS}-{C}_{GL}\)), local governments are more inclined to adopt a lax collection strategy.
Evolutionary paths when \({B}_{G}=\)7.
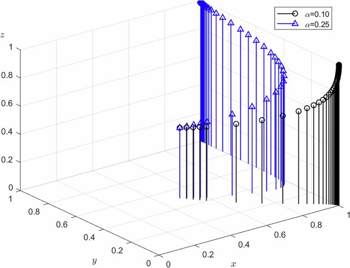
Scenario 3: To satisfy \({B}_{G} > {C}_{GS}-{C}_{GL}\), we set \({B}_{G}=\)15. Figure 6 shows that when \(\alpha =\)0.1, the replicator dynamic system stabilizes at \((1,0,1)\), corresponding to (strict collection, evasion, active engagement). This occurs because the relatively low employee reciprocation makes the payoff of evasion exceed that of compliance. Driven by profit maximization, enterprises choose to evade contributions. When \(\alpha =\)0.25, the system stabilizes at \((1,1,1)\), achieving the ideal state (strict collection, compliance, active engagement). These findings highlight the importance of increasing central government rewards to local governments and enhancing employee reciprocation as essential measures for effectively mitigating contribution evasion.
Evolutionary paths when \({B}_{G}=\)15.
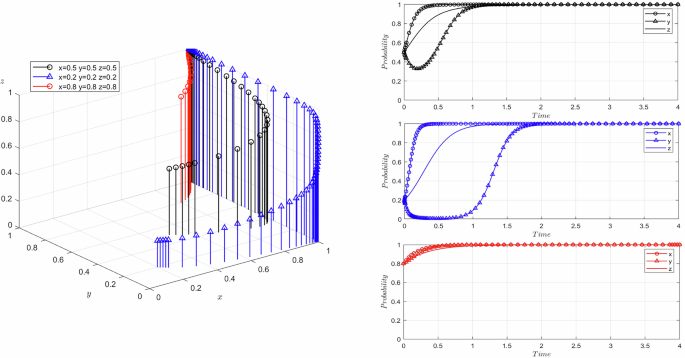
Since \((1,1,1)\) is the ideal evolutionarily stable point, we set \({B}_{G}=\)15 and \(\alpha =\)0.25 to satisfy the conditions \({B}_{G} > {C}_{GS}-{C}_{GL}\) and \(\alpha > {\alpha }^{* }\), and investigate the influence of initial strategy intentions on the evolutionary outcomes of the replicator dynamic system. As shown in Fig. 7, the strategy combinations eventually stabilize at \((1,1,1)\), regardless of whether the initial point is \((0.2,0.2,0.2)\), \((0.5,0.5,0.5)\), or \((0.8,0.8,0.8)\). However, the initial intentions affect the speed of convergence to the stable state. Generally, the closer the initial intentions are to the stable point \((1,1,1)\), the faster the system converges.
Evolutionary paths converge to (1,1,1) from different initial points.
Sensitivity analysis
Previous analysis focuses on the key factors required for the game system to reach an ideal stable state. We now turn to examine measures that may accelerate convergence toward this state. Although the game involves three parties, the government plays a pivotal role in shaping the strategic choices of the other two through a range of comprehensive interventions. Internally, local governments can enhance their motivation for strict collection by improving collection efficiency and lowering associated administrative costs. The design of reward and punishment mechanisms can be optimized to provide economic incentives that encourage enterprises and employees to adjust their behaviors. From an external perspective, the central government should address the root cause of the high contribution burden on enterprise, which underlies evasion behavior. This subsection investigates how changes in four critical factors affect the convergence speed toward the ideal stable state. These factors include the cost of strict collection by local governments, the penalty imposed on enterprises, the compensation offered to employees, and the level of enterprise contributions, under the parameter settings of \({B}_{G}=\)15 and \(\alpha =\)0.25.
-
(1)
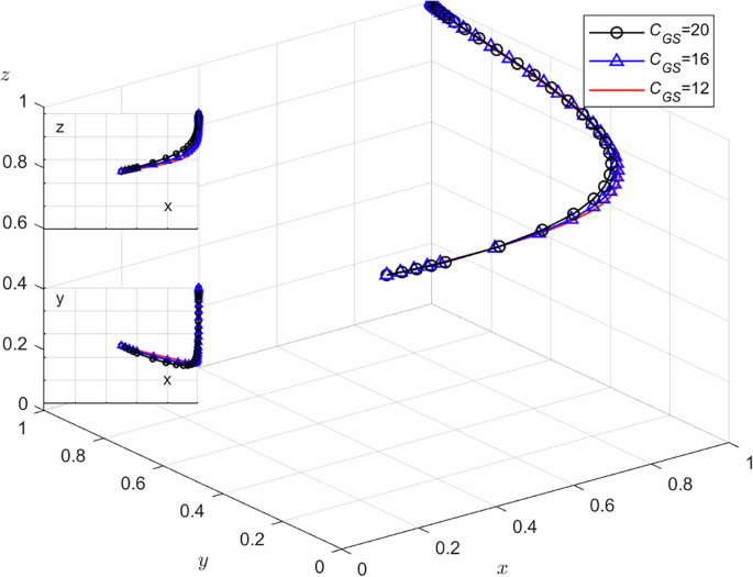
The cost of strict collection
To investigate how the convergence speed of the game system is influenced by local government’s costs of strict collection, we set \({C}_{GS}=\)20, 16, and 12, respectively. As shown in Fig. 8, a decrease in \({C}_{GS}\) increases the probability of both enterprise compliance and local governments strict collection, accelerating the convergence to the ESS. The collection of social insurance contributions is inherently costly due to the need for processing large volumes of complex, hierarchical data. To mitigate these costs, local governments can adopt advanced technologies such as cloud computing, artificial intelligence, and blockchain, and integrate social insurance contribution data with tax administration systems to accurately identify non-compliant firms. Additionally, administrative expenses, including communication and coordination costs, contribute significantly to overall costs. Addressing interdepartmental conflicts of interest and fostering cross-departmental collaboration can effectively reduce these expenses and improve collection efficiency.
Fig. 8 Sensitivity analysis of the cost of strict collection.
-
(2)
The penalty imposed on enterprises
We assign \({P}_{F}=\)15, 20, 25 to examine how variations in local government penalties for non-compliant enterprises affect the convergence speed. Figure 9 illustrates that higher penalties increase the likelihood of enterprise compliance, thereby accelerating convergence to the ESS. Raising penalties increases the costs associated with evasion, which can potentially outweigh the additional profits enterprises may gain from non-compliance. As a result, profit-maximizing enterprises are incentivized to comply. In addition to economic penalties, such as overdue payment fines and stricter standards, reputational punishments could also be employed. For example, local governments could publicize severe evasion cases through media outlets, online platforms, and social networks, or include violators on discredited firm lists.
Fig. 9 Sensitivity analysis of the penalty imposed on enterprises.
-
(3)
The compensation offered to employees
Figure 10 presents the impact of employee compensation provided by local governments on the convergence speed by setting \({B}_{E}=\)8, 13, and 18. It can be observed that increased compensation motivates employees to actively report instances of enterprise non-compliance, which in turn creates greater pressure on enterprises to comply with contribution mandates. As a result, the system converges more quickly to the ESS. To enhance this effect, local governments could consider raising the standards for employee compensation for those who participate in reporting, thereby increasing the perceived benefits of active engagement. In addition, expanding and diversifying reporting channels, such as anonymous hotlines and online platforms, would further empower employees to report violations without fear of retaliation.
Fig. 10 Sensitivity analysis of the compensation offered to employees.
-
(4)
The level of enterprise contributions
By setting \(S=\)40, 30, and 20, we simulate the evolutionary paths under varying levels of social insurance contributions. As shown in Fig. 11, lowering contributions encourages enterprise compliance, consistent with existing empirical evidence (Chen and Turner, 2015; Han and Meng, 2021), and accelerates the system’s convergence to the ideal stable state. China has already implemented policies to reduce social insurance contributions with positive outcomes. Further reductions could stimulate market vitality. However, it is crucial to manage the financial risks of the social insurance fund to ensure long-term sustainability.
Sensitivity analysis of the level of enterprise contributions.
Conclusions and implications
Globally, social insurance contribution evasion has led to a series of adverse consequences at both macro and micro levels. In China, this issue is particularly severe, posing significant challenges to the sustainable development of the social insurance system. This study develops a tripartite evolutionary game model involving local governments, enterprises, and employees to explore the stability of strategies in social insurance contribution collection. Furthermore, we identify key constraints that influence the evolution of the game system toward an ideal stable state and examine the factors that affect the speed of this evolutionary process.
Our findings indicate that the strategic decisions of the participants are mutually interdependent. Local governments tend to adopt strict collection strategies when enterprise evasion or employee passivity is prevalent. Enterprises are more likely to comply when the probability of strict collection by local governments or active engagement by employees increases. Employees are inclined to take proactive actions if enterprises exhibit a strong tendency to evade contributions. The strategy combination of the three parties stabilizes at the ideal state of (strict collection, compliance, and active engagement) when three conditions are met: (1) the rewards provided by the central government to local governments exceed the cost difference between strict and lax collection, (2) the implicit penalties imposed on employees by enterprises surpass the costs incurred by employees for reciprocation, and (3) the benefits of reciprocation for employees outweigh the additional gains enterprises obtain through evasion. Simulation results based on the sensitivity analysis of key parameters confirm that the convergence of the system toward the ideal stable state can be accelerated by measures such as reducing the costs of strict collection for local governments, increasing penalties for non-compliant enterprises, enhancing compensation for employee reporting, and lowering social insurance contributions.
According to the above findings, we propose the following policy recommendations to effectively curb social insurance contribution evasion. First, optimize the incentive and compensation mechanism. The central government should offer local governments differentiated rewards or accountability based on actual collection rates. Local governments can discourage evasion by increasing both economic and reputational punishments for non-compliant enterprises. They should also encourage employee supervision by improving compensation standards for employees who report evasion and by expanding reporting channels through new media tools. It is also necessary to educate employees that active work attitudes could promote enterprise profitability and foster a mutually beneficial relationship between enterprises and employees.
Second, strengthen digital governance. Establishing a unified national social insurance contribution collection system can enable seamless data interconnection among tax, human resources, social security, and healthcare departments. This system will support efficient data sharing between central and local governments, as well as across departments and regions. Moreover, advanced technologies such as cloud computing, artificial intelligence, and blockchain can help monitor corporate profitability, social insurance contributions, and tax payments. These tools can enable local governments to identify evasion behaviors more accurately, lower collection costs, and improve overall efficiency.
Third, further reduce social insurance contributions. As a major component of labor costs, social insurance contributions significantly impact corporate profitability. Amid economic slowdown and labor shortage, labor-intensive and small-scale enterprises face mounting operational challenges. Reducing the contribution burden on these enterprises is essential. However, such reduction may increase the risk of imbalances in the social insurance fund. To address this, the government must ensure the financial sustainability of the social insurance fund by extending the minimum payment period, developing market-based fund investment and operation models, and refining the parameters for benefit entitlement and accrual.
There are several limitations to our study. We focus on the strategic choices among stakeholders and their influencing factors under the assumption of complete information and a static benefit-penalty mechanism. However, this simplified approach may not fully capture the complexities of real-world settings, where information is often incomplete. Future research could incorporate more realistic elements, such as information asymmetry, to better reflect the actual decision-making processes of stakeholders. Additionally, the dynamic nature of benefit-penalty mechanisms, where incentives and disincentives evolve over time, requires further exploration. Investigating these dynamics could provide deeper insights into how stakeholder behavior shifts in response to changing incentives.
Data availability
Data sharing is not applicable to this article as no datasets were generated or analyzed during the current study.
References
Antoci A, Russu P, Zarri L (2014) Tax evasion in a behaviorally heterogeneous society: An evolutionary analysis. Econ Model 42:106–115. https://doi.org/10.1016/j.econmod.2014.06.002
Bailey C, Turner J (2001) Strategies to reduce contribution evasion in social security financing. World Dev 29(2):385–393. https://doi.org/10.1016/S0305-750X(00)00100-5
Castel P, To TT (2012) Informal employment in the formal sector: Wages and social security tax evasion in Vietnam. J Asia Pac Econ 17(4):616–631. https://doi.org/10.1080/13547860.2012.724551
Chen BR, Wu M (2014) Industrial agglomeration and employer compliance with social security contribution: Evidence from China. J Regional Sci 54(4):586–605. https://doi.org/10.1111/jors.12096
Chen T, Turner JA (2015) Fragmentation in social security old-age benefit provision in China. J Aging Soc Policy 27(2):107–122. https://doi.org/10.1080/08959420.2014.977647
Enoff LD, Mckinnon R (2011) Social security contribution collection and compliance: Improving governance to extend social protection. Int Soc Security Rev 64(4):99–119. https://doi.org/10.1111/j.1468-246X.2011.01413.x
Frazier MW (2004) China’s pension reform and its discontents. China J 51:97–114. https://doi.org/10.2307/3182148
Friedman D (1991) Evolutionary games in economics. Econometrica 59(3):637–666. https://doi.org/10.2307/2938222
Gillion C (2000) The development and reform of social security pensions: The approach of the international labour office. Int Soc Security Rev 53(1):35–63. https://doi.org/10.1111/1468-246X.00062
Giovanni DD, Lamantia F, Pezzino M (2019) A behavioral model of evolutionary dynamics and optimal regulation of tax evasion. Struct Change Econ Dyn 50:79–89. https://doi.org/10.1016/j.strueco.2019.05.004
Giovanni DD, Lamantia F, Pezzino M (2023) Evolutionary dynamics of compliance in a two-population game of auditors and taxpayers. Commun Nonlinear Sci Numer Simul 117: 106945. https://doi.org/10.1016/j.cnsns.2022.106945
Han J, Meng Y (2021) Decreased contribution rates increase public pension fund revenue: Evidence from China. J Aging Soc Policy 33(2):120–137. https://doi.org/10.1080/08959420.2019.1707056
Hofbauer J, Sandholm WH (2007) Evolution in games with randomly disturbed payoffs. J Econ Theory 132(1):47–69. https://doi.org/10.1016/j.jet.2005.05.011
Hopkins E (2002) Two competing models of how people learn in games. Econometrica 70(6):2141–2166. https://doi.org/10.1111/J.1468-0262.2002.00436.X
Hu Q, Jing P (2014) The overdue behavioral relationship of social insurance contribution subject: Evolution and adaptation. Finance Econ 39(10): 19-28. (in Chinese) https://oversea.cnki.net/kcms2/article/abstract?v=vQ2wnlBr1y4KQWBMk7ta_v8pDzaMHE2C6OQ82e77bUhkArOM2o0hFfLe4wZeGOfhXrLfgQ2ZewY67F073xZHgsY8RX-xyZVr1JrW77WSRevGMYe7737WEWyOpeDC91YnrYkjc4wi_N9qVFKHvi0p-_8MBsjdu-ViEJD7D0eTy2pNF3TxeQcB8o1TwHC_0FCu&uniplatform=OVERSEA&language=EN
Iturbe-Ormaetxe I (2015) Salience of social security contributions and employment. Int Tax Public Financ 22:741–759. https://doi.org/10.1007/s10797-014-9322-3
Jiang H, He J, Yao H (2017) The research on how to governance the premium evasion phenomenon in the process of social security fund raising: Based on evolutionary game. Statistics & Decision 33(4): 161-163. (in Chinese) https://oversea.cnki.net/kcms2/article/abstract?v=vQ2wnlBr1y6qaI44axB4Vhd2R68_vupzQA9ResCCHKDD_OoGbzfQhBO63H1IY9wJf4bcDNM-lLooioWETLttSEu3duDY5bIvoykbV8IKj6U1LiytqbszUb2jx4BMzp97dwO7wXkBAETXPb1ShPed7cetS99Gj3Vo2bNZMjrn_Y968BKbu_PPHQvu1vlUw67z&uniplatform=OVERSEA&language=EN
Kritzer BE (2000) Social security privatization in Latin America. Soc Security Bull 63(2):17–37. https://www.ssa.gov/policy/docs/ssb/v63n2/v63n2p17.pdf
Kugler A, Kugler M (2009) Labor market effects of payroll taxes in developing countries: Evidence from Colombia. Econ Dev Cultural Change 57(2):335–358. https://doi.org/10.1086/592839
Kumler T, Verhoogen E, Frias J (2020) Enlisting employees in improving payroll tax compliance: Evidence from Mexico. Rev Econ Stat 102(5):881–896. https://doi.org/10.1162/rest_a_00907
Li J, Zhao Z, Cong L, Xu Y (2024) Impact of social insurance law on total factor productivity: evidence from Chinese micro and small businesses. Appl Econ 56:7937–7959. https://doi.org/10.1080/00036846.2023.2289914
Li R, Zhu Z, Wang X (2023) Pension insurance contributions and ESG performance: Evidence from China. Financ Res Lett 58: 104638. https://doi.org/10.1016/j.frl.2023.104638
Li X, Tian L, Xu J (2020) Missing social security contributions: The role of contribution rate and corporate income tax rate. Int Tax Public Financ 27:1453–1484. https://doi.org/10.1007/s10797-020-09613-6
Li Z, Wu M (2018) Education and welfare program compliance: Firm-level evidence from a pension reform in China. China Econ Rev 48:1–13. https://doi.org/10.1016/j.chieco.2017.08.014
Liu J (2011) Resources, incentives and sectoral interests: A longitudinal study of the system of collecting social insurance contributions in China (1999-2008). Social Sciences in China 3(3):139-156. https://www.scopus.com/pages/publications/84924246775
Lorenz J (2019) Population dynamics of tax avoidance with crowding effects. J Evolut Econ 29:581–609. https://doi.org/10.1007/s00191-018-0572-6
Nyland C, Smyth R, Zhu CJ (2006) What determines the extent to which employers will comply with their social security obligations? Evidence from Chinese firm-level data. Soc Policy Adm 40(2):196–214. https://doi.org/10.1111/j.1467-9515.2006.00484.x
Nyland C, Thomson SB, Zhu CJ (2011) Employer attitudes towards social insurance compliance in Shanghai, China. Int Soc Security Rev 64(4):73–98. https://doi.org/10.1111/j.1468-246X.2011.01412.x
Phan HV, Hegde SP (2013) Pension contributions and firm performance: Evidence from frozen defined benefit plans. Financial Manag 42(2):373–411. https://doi.org/10.1111/j.1755-053X.2012.01218.x
Qiu Y, Lyu T (2023) Research on the governance of contribution collection of social insurance and its audit: Based on evolutionary game. Auditing Research 39(4):18-26. (in Chinese) https://oversea.cnki.net/kcms2/article/abstract?v=vQ2wnlBr1y6DItReL-44wt41WSwsSA3xgVbBW-ZOJpC6FWXyt1lYAU7Am3Cg75Xp_Dft91ClLiOVs3AyYS-OLETMjPmqawPmcRyO7Cn-DoAgZAGYcXMtEn2nuljRln0ULJZ8UpZZdY6vaD6Cte0-gP-0dRfSlfbpFnQmytYR4daJdQsJYHY4vZNROOkZRl9&uniplatform=OVERSEA&language=EN
Rauh JD (2006) Investment and financing constraints: Evidence from the funding of corporate pension plans. J Financ 61(1):33–71. https://doi.org/10.1111/j.1540-6261.2006.00829.x
Rickne J (2013) Labor market conditions and social insurance in China. China Econ Rev 27:52–68. https://doi.org/10.1016/j.chieco.2013.07.003
Shintani M, Linton O (2004) Nonparametric neural network estimation of Lyapunov exponents and a direct test for chaos. J Econ 120(1):1–33. https://doi.org/10.1016/S0304-4076(03)00205-7
Tang J, Feng J (2021) Collecting system and payroll tax compliance: Evidence from Chinese firm-level data. China Econ Q Int 1(2):135–147. https://doi.org/10.1016/j.ceqi.2021.04.001
Xiao R, Xu P, Huang B (2024) Tax incentives and firm social insurance contributions: Evidence from China. China Econ Rev 86: 102210. https://doi.org/10.1016/j.chieco.2024.102210
Zhao J, Lu Z (2018) Does pension contribution rate affect firm productivity? Econ Res J 53(10):97-112. (in Chinese) https://oversea.cnki.net/kcms2/article/abstract?v=vQ2wnlBr1y7dro4AWS_Sj1E3ok6eYh3NR-9SOWaZspgFXu0QUx48LcT0egMA4QLXYtHngoCxYzmMVcEMnaL93KIrGH_42l39R-ywNWfC2fMOiNSLtVbUWQpfmON4SIpof08bvy4eqpB8qRRKBDtmA_CWkekvOYv_3A_pfcUIA5EDHMRpq9xp1A==&uniplatform=OVERSEA&language=en
Zhao R, Tang J, Zhang J, Feng C (2023) Social supervision and the social insurance payment of firms: Evidence from the pilot of social insurance supervision. J Manag World 38(7):170–183. https://doi.org/10.53935/jomw.v2023i2.241
Acknowledgements
This research was supported by the National Natural Science Foundation of China (72474183), Humanities and Social Science Fund of Ministry of Education (25YJC840018), and the National Social Science Fund of China (23ZDA099).
Author information
Authors and Affiliations
Contributions
Conceptualization: Minglu Wang and Yifan Pan; methodology: Minglu Wang and Peng Jing; formal analysis and investigation: Minglu Wang, Yifan Pan, and Peng Jing; visualization: Yifan Pan; writing—original draft preparation: Minglu Wang; writing—review and editing: Yifan Pan and Peng Jing; funding acquisition: Minglu Wang and Peng Jing.
Corresponding author
Ethics declarations
Competing interests
The authors declare no competing interests.
Ethical approval
Ethical approval was not required as the study did not involve human participants.
Informed consent
This article does not contain any studies with human participants performed by any of the authors.
Additional information
Publisher’s note Springer Nature remains neutral with regard to jurisdictional claims in published maps and institutional affiliations.
Rights and permissions
Open Access This article is licensed under a Creative Commons Attribution-NonCommercial-NoDerivatives 4.0 International License, which permits any non-commercial use, sharing, distribution and reproduction in any medium or format, as long as you give appropriate credit to the original author(s) and the source, provide a link to the Creative Commons licence, and indicate if you modified the licensed material. You do not have permission under this licence to share adapted material derived from this article or parts of it. The images or other third party material in this article are included in the article’s Creative Commons licence, unless indicated otherwise in a credit line to the material. If material is not included in the article’s Creative Commons licence and your intended use is not permitted by statutory regulation or exceeds the permitted use, you will need to obtain permission directly from the copyright holder. To view a copy of this licence, visit http://creativecommons.org/licenses/by-nc-nd/4.0/.
About this article
Cite this article
Wang, M., Pan, Y. & Jing, P. Understanding social insurance contribution evasion through evolutionary game theory: insights from China. Humanit Soc Sci Commun 13, 395 (2026). https://doi.org/10.1057/s41599-026-06773-4
Received:
Accepted:
Published:
Version of record:
DOI: https://doi.org/10.1057/s41599-026-06773-4













